Les Informations Présentées Sur Ce Site Ne Constituent Pas Un Avis Médical. Nous Ne Vendons Rien. L'Exactitude De La Traduction N'Est Pas Garantie. Clause De Non-Responsabilité



Lotion diprolène

Résumé

Qu'est-ce que la lotion Diprolène?

La lotion diprolène (bétaméthasone dipropionate) est un stéroïde topique (pour la peau) utilisé pour traiter l'inflammation causée par un certain nombre de conditions telles que les réactions allergiques eczéma et psoriasis . La lotion Diprolène est disponible en générique formulaire.

Quels sont les effets secondaires de la lotion diprolène?

Les effets secondaires courants de la lotion diprolène comprennent:



  • brûlant
  • démangeaison
  • irritation
  • rougeur
  • sécheresse ou
  • peler sur le site d'application lors de l'application pour la première fois sur la peau

Cela devrait disparaître dans quelques jours car votre corps s'adapte à la lotion Diprolène. D'autres effets secondaires de la lotion diproléène comprennent l'amincissement de votre peau de peau ou des vergetures boursouflées.



Dosage pour la lotion diprolene

La dose recommandée de lotion Diprolène est d'appliquer quelques gouttes sur la peau affectée une ou deux fois par jour et de masser légèrement jusqu'à ce que la lotion disparaisse.

Quelles substances ou suppléments de médicaments interagissent avec la lotion Diprolene?

Il est peu probable que les autres médicaments que vous prenez oralement ou injectes auront un effet sur la lotion diprolène appliquée par voie topique. Mais de nombreux médicaments peuvent interagir les uns avec les autres. Dites à votre médecin tous les médicaments sur ordonnance et en vente libre que vous utilisez.



Lotion diprolène pendant la grossesse ou l'allaitement

Pendant la grossesse, le diprolène ne doit être utilisé que lorsqu'il est prescrit. On ne sait pas si ce médicament passe dans le lait maternel lorsqu'il est appliqué sur la peau. Des médicaments similaires passent dans le lait maternel lorsqu'ils sont pris par la bouche. Consultez votre médecin avant l'allaitement.

Informations Complémentaires

Notre centre de médicaments à effets secondaires de la lotion diprolene (bétaméthasone dipropionate) offre une vue complète des informations sur les médicaments disponibles sur les effets secondaires potentiels lors de la prise de ce médicament.

Informations sur les médicaments de la FDA

Description de la lotion Diprolène

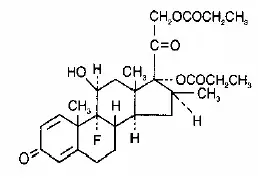
La lotion diprolène (bétaméthasone dipropionate) contient contenant un adrénocorticostéroïde synthétique pour une utilisation topique. La bétaméthasone Un analogue de la prednisolone a un degré élevé d'activité corticostéroïde et un léger degré d'activité minéralocorticoïde. La bétaméthasone dipropionate est l'ester 17 21-dipropionate de la bétaméthasone.

Le dipropionate chimiquement bétaméthasone est le 9-Fluoro-11β1721-trihydroxy-16β-méthylpregna-14-diène-320-dione 1721-dipropionate avec la formule empirique C 28 H 37 Foot 7 Un poids moléculaire de 504,6 et la formule structurelle suivante:

C'est une poudre de poudre inodore blanche à blanc crémeuse dans l'eau; librement soluble dans l'acétone et dans le chloroforme; Parcité, soluble dans l'alcool.

Chaque gramme de lotion diprolène à 0,05% contient 0,643 mg de bétaméthasone dipropionate USP (équivalent à 0,5 mg de bétaméthasone) dans une base de lotion claire à translucide à une base de lotion translucide de l'hydroxypropyl cellulose; alcool isopropylique (30%); L'acide phosphorique utilisé pour ajuster le pH; propylène glycol; eau purifiée; et le monohydrate monobasique phosphate de sodium.

Utilisations pour la lotion Diprolène

Diprolène ® La lotion est un corticostéroïde indiqué pour le soulagement des manifestations inflammatoires et pruritiques des dermatoses sensibles aux corticostéroïdes chez les patients de 13 ans ou plus.

Dosage pour la lotion diprolene

Appliquez quelques gouttes de lotion Diprolène sur les zones cutanées affectées une ou deux fois par jour et massagez légèrement jusqu'à ce que la lotion disparaisse.

La thérapie doit être interrompue lorsque le contrôle est atteint. Si aucune amélioration n'est observée dans les 2 semaines, la réévaluation du diagnostic peut être nécessaire. La lotion Diprolène est un corticostéroïde topique super élevé. Le traitement avec la lotion diprolène doit être limité à 2 semaines consécutives et les quantités ne doivent pas dépasser 50 ml par semaine en raison du potentiel pour que le médicament supprime l'axe hypothalamique-hypophyso-surrénalien (HPA) [voir Avertissements et précautions ].

Diprolène Lotion should not be used with occlusive dressings unless directed by a physician.

Évitez l'utilisation de l'aine du visage ou des axilles ou si une atrophie cutanée est présente sur le site de traitement.

Évitez le contact avec les yeux. Se laver les mains après chaque application.

Diprolène Lotion is for topical use only. It is not for oral ophthalmic or intravaginal use.

Comment fourni

Formes et forces posologiques

Lotion 0,05%. Chaque gramme de lotion diprolène 0,05% contient 0,643 mg de bétaméthasone dipropionate (équivalent à 0,5 mg de bétaméthasone) dans une lotion claire à translucide.

est la cyclobenzaprine 10 mg par narcotique

Stockage et manipulation

Diprolène Lotion 0.05% is a colorless clear to translucent lotion supplied in 30-mL (29 g) ( NDC 0085-0962-01) et 60 ml (58 g) ( NDC 0085-0962- 02) Bouteilles en plastique.

Stocker à 25 ° C (77 ° F); Excursions autorisées à 15-30 ° C (59-86 ° F) [voir Température ambiante contrôlée par l'USP ].

Distribué par: Merck Sharp

Effets secondaires pour la lotion diprolene

Expérience des essais cliniques

Étant donné que les essais cliniques sont menés dans des conditions de réaction indésirables très variables observées dans les essais cliniques d'un médicament ne peuvent pas être directement comparées aux taux dans les essais cliniques d'un autre médicament et peuvent ne pas refléter les taux observés dans la pratique clinique.

Dans les essais cliniques contrôlés, les effets indésirables associés à l'utilisation de la lotion diprolène rapportée à une fréquence inférieure à 1% incluaient le prurit et la vésiculment de l'érythème.

Expérience de commercialisation de la poste

Étant donné que les effets indésirables sont signalés volontairement d'une population de taille incertaine, il n'est pas toujours possible d'estimer de manière fiable leur fréquence ou d'établir une relation causale à l'exposition au médicament.

Les rapports post-commercialisation pour les effets indésirables locaux aux corticostéroïdes topiques peuvent également inclure: Atrophie cutanée Strime Telangiectasies brûlant l'irritation sécheuse éruptions acneiformes hypopigmentation de la dermatite périorale à la dermatite allergique infection secondaire infection secondaire et miliaria.

Réactions d'hypersensibilité constituées de signes et symptômes principalement cutanés, par exemple Contact Dermatite prurittus Dermatite et éruption érythémateuse ont été signalées.

Les effets indésirables ophtalmiques des cataractes glaucome ont augmenté la pression intraoculaire et la choriorétinopathie séreuse centrale ont été signalées avec l'utilisation de corticostéroïdes topiques, y compris des produits topiques de bétaméthasone.

Interactions médicamenteuses pour la lotion diprolène

Aucune information fournie

Avertissements pour la lotion Diprolene

Inclus dans le cadre du 'PRÉCAUTIONS' Section

Précautions pour la lotion Diprolene

Effets sur le système endocrinien

Diprolène Lotion can produce reversible hypothalamic-pituitary-adrenal (HPA) axis suppression with the potential for glucocorticosteroid insufficiency. This may occur during treatment or after withdrawal of treatment. Factors that predispose to HPA axis suppression include the use of highpotency steroids large treatment surface areas prolonged use use of occlusive dressings altered skin barrier liver failure et young age.

L'évaluation de la suppression de l'axe HPA peut être effectuée en utilisant le test de stimulation hormonale adrénocorticotrope (ACTH).

Dans un essai, évaluant les effets de la lotion diproléène sur la lotion diprolène de l'axe HPA, a été appliqué une fois par jour à 7 ml par jour pendant 21 jours pour une peau de cuir chevelu et corporel chez les sujets atteints de psoriasis de psoriasis sur 11 sujets. La suppression de l'axe HPA dans ces sujets a été transitoire et est remise à la normale en une semaine. Chez l'un de ces sujets, les taux de cortisol plasmatiques sont revenus à la normale pendant que le traitement se poursuivait.

Si la suppression de l'axe HPA est documentée, retirez progressivement le médicament, réduisez la fréquence d'application ou le substitut par un corticostéroïde moins puissant. Des signes et des symptômes rarement de sevrage de stéroïdes peuvent survenir nécessitant des corticostéroïdes systémiques supplémentaires.

Le syndrome de Cushing et l'hyperglycémie peuvent également se produire avec des corticostéroïdes topiques. Ces événements sont rares et se produisent généralement après une exposition prolongée à des doses excessivement importantes, en particulier des corticostéroïdes topiques à haute puissance.

Les patients pédiatriques peuvent être plus sensibles à la toxicité systémique en raison de leur plus grande surface de la peau / des rapports de masse corporelle [voir Utiliser dans des populations spécifiques ].

Dosage pour le naproxène sodium 220 mg

Effets indésirables ophtalmiques

L'utilisation de corticostéroïdes topiques, y compris la lotion diprolène, peut augmenter le risque de cataractes sous-capsulaires postérieures et de glaucome. Des cataractes et un glaucome ont été signalés par le marché postal avec l'utilisation de produits corticostéroïdes topiques, y compris la lotion diprolene [voir Effets indésirables ].

Évitez le contact de la lotion diproleène avec les yeux. Conseiller aux patients de signaler tout symptôme visuel et d'envisager une référence à un ophtalmologiste pour évaluation.

Dermatite à contact allergique

La dermatite de contact allergique avec des corticostéroïdes est généralement diagnostiquée en observant le non-guérison plutôt que de noter une exacerbation clinique. Une telle observation doit être corroborée avec des tests de correctifs diagnostiques appropriés. Si l'irritation développe des corticostéroïdes topiques doit être interrompu et une thérapie appropriée instituée.

Informations de conseil des patients

Conseiller au patient de lire l'étiquetage des patients approuvé par la FDA ( Informations sur les patients ).

Informer les patients des éléments suivants:

  • Arrêtez la thérapie lorsque le contrôle est obtenu, sauf indication contraire du médecin.
  • Utilisez pas plus de 50 ml par semaine de lotion Diprolene et pendant 2 semaines consécutives.
  • Évitez le contact avec les yeux.
  • Conseiller aux patients de signaler tout symptôme visuel à leurs prestataires de soins de santé.
  • Évitez l'utilisation de la lotion diprolène sur les aisselles du visage ou les zones de l'aine sauf dirigés par le médecin.
  • N'observe pas la zone de traitement avec un bandage ou une autre couverture à moins que le médecin ne soit dirigé par le médecin.
  • Notez que les réactions locales et l'atrophie cutanée sont plus susceptibles de se produire avec une utilisation occlusive d'utilisation ou une utilisation prolongée de corticostéroïdes de puissance plus élevée.
  • Conseillez à une femme d'utiliser la lotion diprolène sur la plus petite zone de la peau et pendant la durée la plus courte possible pendant la grossesse ou l'allaitement. Conseillez aux femmes de l'allaitement maternel de ne pas appliquer la lotion diproléène directement au mamelon et à l'aréole pour éviter une exposition directe aux nourrissons.

Toxication non clinique

Carcinogenèse Mutagenèse A trouble de la fertilité

Les études animales à long terme n'ont pas été réalisées pour évaluer le potentiel cancérigène du bétaméthasone dipropionate. La bétaméthasone était négative dans le test de mutagénicité bactérienne ( Salmonella typhimurium et Ils ont fait preuve de froid ) et dans le test de mutagénicité des cellules mammifères (CHO / HGPRT). C'était positif dans le in vitro test d'aberration chromosomique des lymphocytes humains et équivoque dans le en vain Dosage de micronucleus de moelle osseuse de souris.

Des études sur des souris et des rats à lapins utilisant des doses intramusculaires allant jusqu'à 1 33 et 2 mg / kg respectivement ont entraîné une augmentation liée à la dose des résorption fœtale chez le lapin et les souris.

Utiliser dans des populations spécifiques

Grossesse

Résumé des risques

Il n'y a pas de données disponibles sur l'utilisation de la lotion diprolène chez les femmes enceintes pour identifier un risque associé au médicament de malformations congénitales majeures ou des résultats défavorables maternels ou fœtaux.

Des études d'observation suggèrent un risque accru de nourrissons à faible poids de naissance avec l'utilisation de plus de 300 grammes de corticostéroïdes topiques puissants ou très puissants pendant une grossesse. Conseillez les femmes enceintes que la lotion diprolène peut augmenter le risque d'avoir un nourrisson à faible poids à la naissance et d'utiliser la lotion diprolène sur la plus petite zone de la peau et pour la plus courte durée possible.

Dans les études de reproduction animale, des malformations accrues, notamment des hernies ombiliques, la céphalocèle et la fente palatine ont été observées après l'administration intramusculaire de bétaméthasone dipropionate à des lapins enceintes. Les données disponibles ne permettent pas le calcul des comparaisons pertinentes entre l'exposition systémique du bétaméthasone dipropionate dans les études animales à l'exposition systémique qui serait attendue chez l'homme après l'utilisation topique de la lotion diproléène (voir (voir Données ).

Le risque de fond de malformations congénitales majeures et de fausse couche pour la population indiquée est inconnue. Toutes les grossesses ont un risque de fond de délai de congédiement perte ou d'autres résultats négatifs. Dans la population générale des États-Unis, le risque estimé de malformations congénitales majeures et de fausse couche dans les grossesses cliniquement reconnues est respectivement de 2 à 4% et 15 à 20%.

Données

Données sur les animaux

Il a été démontré que la bétaméthasone dipropionate provoque des malformations chez le lapin lorsqu'elle est donnée par l'itinéraire intramusculaire à des doses de 0,05 mg / kg. Les anomalies observées comprenaient des hernies ombiliques cephalocele et une fente palatine.

Lactation

Résumé des risques

Il n'y a pas de données concernant l'excrétion du bétaméthasone dipropionate dans le lait maternel Les effets sur le nourrisson allaité ou les effets sur la production de lait après l'application topique de la lotion diprolène aux femmes qui allaitent.

Il est possible que l'administration topique de grandes quantités de dipropionate de bétaméthasone entraîne une absorption systémique suffisante pour produire des quantités détectables dans le lait maternel. Les avantages du développement et de la santé de l'allaitement doivent être pris en compte avec le besoin clinique de la mère de la mère de la mère et tout effet indésirable potentiel sur le nourrisson allaité de la lotion diprolène ou de l'état maternel sous-jacent.

Considérations cliniques

Pour minimiser l'exposition potentielle au nourrisson allaité via le lait maternel, utilisez la lotion diprolène sur la plus petite zone de la peau et pendant la plus courte durée possible pendant l'allaitement. Conseiller aux femmes de l'allaitement maternel de ne pas appliquer la lotion diproléène directement au mamelon et à l'aréole pour éviter une exposition directe au nourrisson [voir Usage pédiatrique ].

Usage pédiatrique

L'utilisation de lotion diprolène chez les patients pédiatriques de moins de 13 ans n'est pas recommandé en raison du potentiel de suppression de l'axe HPA [voir Avertissements et précautions ].

diflucan 100 mg pour l'infection à levures

Dans un essai de sécurité de l'axe HPA ouvert à l'ouverture chez les sujets de 3 mois à 12 ans avec une dermatite atopique de la crème AF diprolène, 0,05% a été appliquée deux fois par jour pendant 2 à 3 semaines sur une surface du corps moyenne de 58% (plage de 35% à 95%). Dans 19 des 60 (32%) sujets évaluables, la suppression surrénalienne a été indiquée par un cortisol de pré-stimulation ≤5 mcg / dl ou un cortisol post-stimulation cosyntropine ≤18 mcg / dl et / ou une augmentation de <7 mcg/dL from the baseline cortisol. Out of the 19 subjects with HPA axis suppression 4 subjects were tested 2 weeks after discontinuation of Diprolène AF Cream et 3 of the 4 (75%) had complete recovery of HPA axis function. The proportion of subjects with adrenal suppression in this trial was progressively greater the younger the age group.

En raison d'un rapport plus élevé de la surface cutanée aux patients pédiatriques de masse corporelle présente un risque plus élevé que les adultes de toxicité systémique lorsqu'ils sont traités avec des médicaments topiques. Ils sont donc également plus à risque de suppression de l'axe HPA et d'insuffisance surrénalienne lors de l'utilisation de corticostéroïdes topiques.

Des effets systémiques rares tels que le retard de croissance linéaire du syndrome de Cushing, la prise de poids retardée et l'hypertension intracrânienne ont été rapportées chez les patients pédiatriques, en particulier ceux qui ont une exposition prolongée à de grandes doses de corticostéroïdes topiques à haute puissance.

Des effets indésirables locaux, notamment une atrophie cutanée, ont également été signalés avec l'utilisation de corticostéroïdes topiques chez les patients pédiatriques.

Évitez l'utilisation de la lotion diprolène dans le traitement de la dermatite des couches.

Utilisation gériatrique

Les essais cliniques de lotion Diprolène comprenaient 56 sujets âgés de 65 ans et plus et 9 sujets âgés de 75 ans et plus. Il y avait une différence numérique pour les réactions du site d'application (les événements les plus fréquemment signalés étaient brûlés et piquants) qui se sont produits dans 15% (10/65) de sujets gériatriques et 11% (38/342) de sujets de moins de 65 ans. D'autres expériences cliniques signalées n'ont pas identifié de différences dans les réponses entre les patients âgés et les patients plus jeunes. Cependant, une plus grande sensibilité de certains personnes âgées ne peut être exclue.

Informations sur la surdose pour la lotion Diprolene

Aucune information fournie

Contre-indications pour la lotion diprolène

Diprolène Lotion is contraindicated in patients who are hypersensitive to betamethasone dipropionate to other corticosteroids or to any ingredient in this preparation.

Pharmacologie clinique for Diprolene Lotion

Mécanisme d'action

Les corticostéroïdes jouent un rôle dans l'inflammation de la fonction immunitaire cellulaire et la régulation des protéines; Cependant, le mécanisme d'action précis de la lotion diproléène dans les dermatoses sensibles aux corticostéroïdes est inconnu.

Pharmacodynamique

Test de vasoconstricteur

Les essais effectués avec la lotion Diprolène à 0,05% indiquent qu'il se trouve dans la gamme de puissance super-élevée comme démontré dans les essais vasoconstricteurs chez des sujets sains par rapport à d'autres corticostéroïdes topiques. Cependant, les scores de blanchiment similaires n'impliquent pas nécessairement l'équivalence thérapeutique.

Pharmacocinétique

Aucun essai pharmacocinétique n'a été mené avec la lotion Diprolène.

L'étendue de l'absorption percutanée des corticostéroïdes topiques est déterminée par de nombreux facteurs, notamment le véhicule, l'intégrité de la barrière épidermique et l'utilisation de pansements occlusifs.

Les corticostéroïdes topiques peuvent être absorbés par la peau intacte normale. L'inflammation et / ou d'autres processus pathologiques dans la peau peut augmenter l'absorption percutanée. Les pansements occlusifs augmentent considérablement l'absorption percutanée des corticostéroïdes topiques [voir Posologie et administration ].

Une fois absorbée par la peau, les corticostéroïdes topiques sont dans des voies pharmacocinétiques similaires aux corticostéroïdes administrés systémiquement.

Les corticostéroïdes sont liés aux protéines plasmatiques à des degrés variables sont métabolisées principalement dans le foie et excrétées par les reins. Certains des corticostéroïdes topiques et leurs métabolites sont également excrétés dans le même .

Études cliniques

L'innocuité et l'efficacité de la lotion diprolène pour le traitement des dermatoses sensibles aux corticostéroïdes ont été évaluées dans deux essais contrôlés par des véhicules randomisés un dans le psoriasis du cuir chevelu et un dans la dermatite séborrhéique. Au total, 263 sujets dont 131 ont reçu une lotion Diprolène ont été inclus dans ces essais. Ces essais ont évalué la lotion diprolène appliquée une fois par jour pendant 21 jours.

Diprolène Lotion was shown to be effective in relieving the signs et symptoms of corticosteroid responsive dermatoses.

Informations sur les patients pour la lotion Diprolene

Diprolène ®
(Breath-Pro-Leen)
(Betaméthasone Dipropionate augmentée) Lotion

Informations importantes: la lotion Diprolène est uniquement utilisée sur la peau. N'utilisez pas la lotion Diprolène dans vos yeux bouche ou vagin.

Qu'est-ce que la lotion Diprolène?

Diprolène Lotion is prescription corticosteroid medicine used on the skin (topical) for the relief of rougeur swelling heat pain (inflammation) et démangeaison caused by certain skin problems in people 13 years of age et older.

  • Diprolène Lotion should not be used in children under 13 years of age.

N'utilisez pas la lotion Diprolene si vous sont allergiques à la bétaméthasone dipropionate ou à l'un des ingrédients de la lotion diproléène. Voir la fin de cette brochure pour une liste complète des ingrédients dans la lotion Diprolene.

Avant d'utiliser Diprolène Lotion, dites à votre fournisseur de soins de santé de toutes vos conditions médicales, y compris si vous:

  • ont eu une irritation ou une autre réaction cutanée à un stéroïde dans le passé.
  • Ayez un amincissement de la peau (atrophie) sur le site de traitement.
  • avoir le diabète.
  • avoir des problèmes de glandes surrénales.
  • avoir des problèmes de foie.
  • avoir des cataractes ou glaucome .
  • sont enceintes ou prévoient de devenir enceintes. On ne sait pas si la lotion Diprolène nuira à votre bébé à naître. Si vous utilisez la lotion diprolène pendant la grossesse, utilisez la lotion Diprolène sur la plus petite zone de la peau et pour les plus brefs délais nécessaires.
  • allaitent ou prévoient d'allaiter. On ne sait pas si la lotion diprolène passe dans votre lait maternel. Les femmes qui allaitent devraient utiliser la lotion diprolène sur la plus petite zone de la peau et pour les plus courts nécessaires en allaitement. N'appliquez pas directement la lotion Diprolène sur le mamelon et l'aréole pour éviter le contact avec votre bébé.

Parlez à votre fournisseur de soins de santé de tous les médicaments que vous prenez y compris les médicaments sur ordonnance et en vente libre des vitamines et des suppléments à base de plantes.

En particulier Dites à votre fournisseur de soins de santé si vous prenez d'autres médicaments corticostéroïdes par voie bouche ou par injection ou utilisez d'autres produits sur votre peau ou votre cuir chevelu qui contiennent des corticostéroïdes.

N'utilisez pas d'autres produits contenant une médecine stéroïde avec une lotion Diprolène sans parler d'abord à votre fournisseur de soins de santé.

Comment dois-je utiliser la lotion Diprolene?

  • Utilisez Diprolène Lotion exactement comme votre fournisseur de soins de santé vous dit de l'utiliser.
  • Appliquez quelques gouttes de lotion diprolène sur la zone de la peau affectée 1 ou 2 fois par jour et massagez légèrement jusqu'à ce que la lotion disparaisse. N'utilisez pas plus de 50 ml de lotion Diprolene en 1 semaine.
  • N'utilisez pas de pommade diprolene pendant plus de 2 semaines consécutives à moins que votre fournisseur de soins de santé ne vous dise de
  • Dites à votre fournisseur de soins de santé si la zone de peau traitée ne s'améliore pas après 2 semaines de traitement avec la lotion Diprolene.
  • Ne pas bander ou envelopper la zone de peau traitée à moins que votre professionnel de la santé ne vous le dise.
  • Diprolène Lotion should not be used to treat diaper rash or rougeur.
  • Évitez d'utiliser la lotion diprolene sur l'aine du visage ou les aisselles (aisselles) ou en cas d'amincissement de la peau (atrophie) est présent au site de traitement.
  • Lavez-vous les mains après avoir appliqué la lotion Diprolène à moins que vous n'utilisiez le médicament pour traiter vos mains.

Quels sont les effets secondaires possibles de la lotion diprolène?

Diprolène Lotion may cause serious side effects including:

  • Diprolène Lotion can pass through your skin. Trop de lotion Diprolène traversant votre peau peut provoquer ce que vos glandes surrénales cessent de fonctionner correctement. Votre professionnel de la santé peut faire des tests sanguins pour vérifier les problèmes de glande surrénale.
  • Syndrome de Cushing Une condition qui se produit lorsque votre corps est exposé à trop de cortisol hormonal.
  • Glycémie (hyperglycémie).
  • Effets sur la croissance et le poids chez les enfants.
  • Problèmes de vision. Les corticostéroïdes topiques, y compris la lotion diproléène, peuvent augmenter vos chances de développer une out de cataracte et de glaucome. Dites à votre fournisseur de soins de santé si vous développez une vision floue ou d'autres problèmes de vision pendant le traitement avec la lotion Diprolene.
  • Problèmes de peau. Problèmes de peau Les réactions allergiques (dermatite de contact) peuvent se produire pendant le traitement par la lotion diprolène. Arrêtez d'utiliser la lotion Diprolène et dites à votre fournisseur de soins de santé si vous développez des réactions cutanées ou si vous avez des problèmes de guérison pendant le traitement avec la lotion Diprolène.

Les effets secondaires les plus courants de la lotion diprolène comprennent: rougeur of the skin inflamed hair follicles démangeaison et blistering. These are not all of the possible side effects of Diprolène Lotion.

Appelez votre médecin pour des conseils médicaux sur les effets secondaires. Vous pouvez signaler les effets secondaires à la FDA au 1-800-FDA-1088.

Comment stocker la lotion Diprolene?

  • Stockez la lotion diprolène à température ambiante entre 68 ° F à 77 ° F (20 ° C à 25 ° C).
  • Gardez la lotion Diprolène et tous les médicaments hors de portée des enfants.

Informations générales sur l'utilisation sûre et efficace de la lotion Diprolene.

La clindamycine est-elle bonne pour les infections des sinus

Les médicaments sont parfois prescrits à des fins autres que celles énumérées dans une brochure d'information du patient. N'utilisez pas la lotion Diprolène pour une condition pour laquelle il n'a pas été prescrit. Ne donnez pas de lotion diproleène à d'autres personnes même si elles présentent les mêmes symptômes que vous. Cela peut leur faire du mal. Vous pouvez demander à votre pharmacien ou fournisseur de soins de santé pour des informations sur la lotion Diprolene qui est écrite pour les professionnels de la santé.

Quels sont les ingrédients de la lotion Diprolene?

Ingrédient actif: bétaméthasone augmenté dipropionate

Ingrédients inactifs: hydroxypropyl cellulose; alcool isopropylique (30%); L'acide phosphorique utilisé pour ajuster le pH; propylène glycol; eau purifiée; et le monohydrate monobasique phosphate de sodium.