Les Informations Présentées Sur Ce Site Ne Constituent Pas Un Avis Médical. Nous Ne Vendons Rien. L'Exactitude De La Traduction N'Est Pas Garantie. Clause De Non-Responsabilité
Antinéoplastique, anthracycline
Chlorhydrate de doxorubicine
Résumé
Qu'est-ce que le chlorhydrate de doxorubicine?
Le chlorhydrate de doxorubicine est un cytotoxique Inhibiteur de l'anthracycline topoisomérase II indiqué comme un composant de l'adjuvant multi-agent chimiothérapie Pour le traitement des femmes atteintes d'implication des ganglions lymphatiques axillaires après la résection du cancer du sein primaire. Le chlorhydrate de doxorubicine est également indiqué pour le traitement de certaines maladies métastatiques leucémie et lymphome . générique formulaire.
Quels sont les effets secondaires de la chlorhydrate de doxorubicine?
Les effets secondaires communs de la chlorhydrate de doxorubicine comprennent:
- faible Nombre de globules blancs
- faible blood nombre de plaquettes
- nausée
- vomissement
- dysfonctionnement du cœur
- Décoloration de la peau et des ongles
- éruption cutanée
- démangeaison
- Sensibilité cutanée au soleil
- urticaire
- pelage de la peau
- rougeur / gonflement / douleur sur la paume des mains et / ou les semelles des pieds
- gonflement des lèvres et de la langue
- perte d'appétit
- déshydratation
- diarrhée
- anaphylaxie
- engourdissement et picotements dans les extrémités
- Saisies coma
- infection oculaire ( conjonctivite )
- déchirant
- bouffées de chaleur
- Se sentir mal (malaise)
- fièvre
- frissons et
- Gain de poids.
Dose pour le chlorhydrate de doxorubicine
La dose recommandée de doxorubicine HCl est de 60 mg / m administrée sous forme de bolus intraveineux le jour 1 de chaque cycle de traitement de 21 jours en combinaison avec du cyclophosphamide pendant un total de quatre cycles. La dose recommandée de doxorubicine HCl pour la leucémie ou le lymphome de maladie métastatique lorsqu'il est utilisé comme agent unique est de 60 à 75 mg / m par voie intraveineuse tous les 21 jours.
Quelles substances ou suppléments de médicaments interagissent avec le chlorhydrate de doxorubicine?
Le chlorhydrate de doxorubicine peut interagir avec le vérapamil phénobarbital Phenytoine St. John's Tratetuzumab Paclitaxel Dexrazoxane et 6- Mercaptopurine. Dites à votre médecin tous les médicaments et suppléments que vous utilisez.
Chlorhydrate de doxorubicine pendant la grossesse et l'allaitement
Le chlorhydrate de doxorubicine n'est pas recommandé pour une utilisation pendant la grossesse; Cela peut nuire à un fœtus. Le chlorhydrate de doxorubicine peut passer dans le lait maternel. L'allaitement maternel lors de la réception du chlorhydrate de doxorubicine n'est pas recommandé.
Informations Complémentaires
Notre centre de médicaments à effets secondaires du chlorhydrate de chlorhydrate de doxorubicine offre une vue complète des informations sur les médicaments disponibles sur les effets secondaires potentiels lors de la prise de ce médicament.
Informations sur les médicaments de la FDA
- Description de la drogue
- Indications
- Effets secondaires
- Interactions médicamenteuses
- Avertissements
- Précautions
- Surdosage
- Pharmacologie clinique
- Guide des médicaments
Description de l'injection de chlorhydrate de doxorubicine
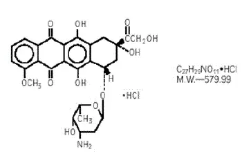
La doxorubicine est une anthracycline cytotoxique antibiotique isolé des cultures de Streptomyces peucetius notre .Caesius. La doxorubicine est constituée d'un noyau de naphtacénéquinone lié par une liaison glycosidique à Ring Atom 7 à une daunosamine de sucre amino. Le chlorhydrate chimique à la doxorubicine est: 512-naphtacènedione 10 - [(3-amino-236-trideoxy-α-l- lyxo -Hexopyranosyl) oxy] -78910-tétrahydro-6811-trihydroxy-8- (hydroxylacétyl) -1- méthoxy-chlorhydrate (8 S- cis ) -. (8 S 10 S ) -10 - [(3-amino-236-trideoxy-α-l- lyxo -Hexopyranosyl) -oxy] -8-glycoloyl-78910-tétrahydro-6811- Trihydroxy-1-méthoxy-512-naphtacnedione chlorhydrate [ 25316-40-9 ].
La formule structurelle est la suivante:
|
C 27 H 29 NON 11 • HCL - M.W.579.99
La doxorubicine se lie aux acides nucléiques vraisemblablement par intercalation spécifique du noyau d'anthracycline planaire avec la double hélice d'ADN. L'anneau d'anthracycline est lipophile mais l'extrémité saturée du système d'anneau contient d'abondants groupes hydroxyle adjacents au sucre amino produisant un centre hydrophile. La molécule est amphotérique contenant des fonctions acides dans les groupes phénoliques du cycle et une fonction de base dans le groupe amino de sucre. Il se lie aux membranes cellulaires ainsi qu'aux protéines plasmatiques.
L'injection de chlorhydrate de doxorubicine L'USP est une solution stérile sans conservateur isotonique pour une utilisation intraveineuse. Il est disponible dans 5 ml (10 mg) 10 ml (20 mg) et 25 ml (50 mg) de flacons à dose unique et 100 ml (200 mg) de flacons à dose multiples.
Chaque ML contient: chlorhydrate de doxorubicine 2 mg; chlorure de sodium 9 mg pour l'isotonicité: eau pour l'injection Q.S. L'acide chlorhydrique et / ou l'hydroxyde de sodium peuvent avoir été ajoutés pour l'ajustement du pH (NULL,5 à 4,5).
Utilisations pour l'injection de chlorhydrate de doxorubicine
Injection de chlorhydrate de doxorubicine L'USP a été utilisé avec succès pour produire une régression dans des conditions néoplasiques disséminées telles que la leucémie lymphoblastique aiguë et les sarcomes mammaires de la leucémie aiguë de Wilms Wilm La maladie lymphome malin et carcinome bronchogène dans lequel le type histologique de petite cellule est le plus réactif par rapport aux autres types de cellules.
La doxorubicine est également indiquée pour une utilisation comme composant du traitement adjuvant chez les femmes présentant des signes d'atteinte axillaire ganglionnaire après résection du cancer du sein primaire.
Dose pour le chlorhydrate de doxorubicine Injection
Lorsque cela est possible, pour réduire le risque de développer une cardiotoxicité chez les patients recevant de la doxorubicine après avoir arrêté le traitement avec d'autres agents cardiotoxiques, en particulier ceux qui ont de longues demi-vies tels que la thérapie basée sur la doxorubicine du trastuzumabe jusqu'à ce que les autres agents soient éliminés de la circulation (voir la circulation (voir Avertissements et précautions Général ).
Les soins dans l'administration de la doxorubicine réduiront les risques d'infiltration périvenus (voir Avertissements ). It may also decrease the chance of local reactions such as urticaria et erythematous streaking. On intravenous administration of doxorubicin extravasation may occur with or without an accompanying brûler ou piquer sensation even if blood returns well on aspiration of the infusion needle. If any signs or symptoms of extravasation have occurred the injection or infusion should be immediately terminated et restarted in another vein. If extravasation is suspected intermittent application of ice to the site for 15 min. q.i.d. x 3 days may be useful. The benefit of local administration of drugs has not been clearly established. Because of the progressive nature of extravasation reactions close observation et plastic surgery consultation is recommended. Blistering ulceration et/or persistent pain are indications for wide excision surgery folfaibleed by split-thickness skin grafting.
Le calendrier de dose le plus utilisé lorsqu'il est utilisé comme agent unique est de 60 à 75 mg / m² comme une seule injection intraveineuse administrée à des intervalles de 21 jours. La dose inférieure doit être donnée aux patients avec des réserves de moelle inadéquates dues à une vieillesse ou à un traitement antérieur ou à une infiltration de moelle néoplasique.
La doxorubicine a été utilisée simultanément avec d'autres agents chimiothérapeutiques approuvés. Des preuves sont disponibles que dans certains types de combinaison de maladies néoplasiques chimiothérapie est supérieur aux agents uniques. Les avantages et les risques d'une telle thérapie continuent d'être élucidés. Lorsqu'il est utilisé en combinaison avec d'autres médicaments de chimiothérapie, la dose de doxorubicine la plus couramment utilisée est de 40 à 60 mg / m² comme une seule injection intraveineuse tous les 21 à 28 jours.
Dans une grande étude randomisée (NSABP B-15) de patientes atteintes d'un cancer du sein précoce impliquant des ganglions lymphatiques axillaires (voir Pharmacologie clinique Études cliniques et Effets indésirables Les effets indésirables chez les patientes atteintes d'un cancer du sein précoce recevant une thérapie adjuvante contenant de la doxorubicine) Le schéma posologique combiné d'AC (doxorubicine 60 mg / m² et de cyclophosphamide 600 mg / m²) a été administré par voie intraveineuse au jour 1 de chaque cycle de traitement de 21 jours. Quatre cycles de traitement ont été administrés.
Puis-je utiliser la perméthrine tous les jours?
Modifications de dose
Les patients de l'étude NSABP B-15 pourraient avoir des modifications de dose de la CA à 75% des doses de départ pour la fièvre / infection neutropénique. Si nécessaire, le prochain cycle du cycle de traitement a été retardé jusqu'à Nombre de neutrophiles absolus (ANC) était ≥ 1000 cellules / mm³ et le nombre de plaquettes était ≥ 100 000 cellules / mm³ et les toxicités non hématologiques avaient résolu. UN
| Concentration plasmatique de bilirubine (mg / dL) | Réduction du dosage (%) |
| 1.2 à 3 | 50 |
| 3.1 à 5 | 75 |
Directions de reconstitution
Il est recommandé de l'administrer lentement dans la doxorubicine dans le tube d'une perfusion intraveineuse librement de l'injection de chlorure de sodium USP ou à 5% d'injection de dextrose USP. Le tube doit être fixé à une aiguille papillon® insérée de préférence dans une grande veine. Si possible, évitez les veines sur les articulations ou dans les extrémités avec un drainage veineux ou lymphatique compromis. Le taux d'administration dépend de la taille de la veine et du dosage. Cependant, la dose doit être administrée au moins de 3 à 5 minutes. Les stries érythémateuses locales le long de la veine ainsi que le rinçage facial peuvent être indicatives d'une administration trop rapide. Une sensation de brûlure ou de picotement peut être indicative d'une infiltration périvenue et si cela se produit, la perfusion doit être immédiatement résiliée et redémarrée dans une autre veine. Une infiltration périvenue peut se produire sans douleur.
La doxorubicine ne doit pas être mélangée avec de l'héparine ou du fluorouracile car il a été signalé que ces médicaments sont incompatibles dans la mesure où un précipité peut se former. Le contact avec les solutions alcalines doit être évitée car cela peut entraîner une hydrolyse de la doxorubicine. Jusqu'à ce que des données de compatibilité spécifiques soient disponibles, il n'est pas recommandé de mélange la doxorubicine avec d'autres médicaments.
Les médicaments parentéraux doivent être inspectés visuellement pour les particules et la décoloration avant l'administration chaque fois que la solution et le permis de conteneur.
Manutention et élimination
Les procédures de manipulation et d'élimination appropriées des médicaments anti-cancer doivent être prises en compte. 1-4 Plusieurs lignes directrices sur ce sujet ont été publiées. Il n'y a aucun accord général que toutes les procédures recommandées dans les directives sont nécessaires ou appropriées. Cependant, étant donné la nature toxique de cette substance, les recommandations de protection suivantes sont fournies:
- Le personnel doit être formé à une bonne technique de reconstitution et de manipulation.
- Le personnel enceinte doit être exclu de travailler avec ce médicament.
- Manipulation du personnel La doxorubicine devrait porter des vêtements de protection: robes de lunettes et gants et masques jetables.
- Une zone désignée doit être définie pour la reconstitution (de préférence dans un système d'écoulement laminaire). La surface de travail doit être protégée par du papier absorbant à dos plastique jetable.
- Tous les articles utilisés pour l'administration de reconstitution ou le nettoyage, y compris les gants doivent être placés dans des sacs à dispositions de déchets à haut risque pour l'incinération de la température.
- Le déversement ou les fuites doivent être traités avec une solution de l'hypochlorite de sodium diluée (1% de chlore disponible) de préférence en trempant puis en eau.
- Tous les matériaux de nettoyage doivent être éliminés comme indiqué précédemment.
- En cas de contact cutané, lavez soigneusement la zone affectée avec du savon et de l'eau ou de la solution de bicarbonate de sodium. Cependant, n'abandonnez pas la peau en utilisant une brosse à récurer.
- En cas de contact avec l'œil (s), retenez la paupière et rincez les yeux affectés avec de grandes quantités d'eau pendant au moins 15 minutes. Ensuite, recherchez une évaluation médicale par un médecin.
- Lavez toujours les mains après avoir retiré les gants.
Les soignants des patients pédiatriques recevant de la doxorubicine doivent être conselés à prendre des précautions (comme le port de gants en latex) pour empêcher le contact avec l'urine et d'autres liquides corporels du patient pendant au moins 5 jours après chaque traitement.
Comment fourni
Injection de chlorhydrate de doxorubicine USP 2 mg par ml Un produit stérile qui ne contient aucun conservateur est disponible comme suit:
| N ° de produit | NDC No. | |
| 88305 | 63323-883-05 | Chlorhydrate de doxorubicine 10 mg dans un flacon à top à dose unique de 5 ml emballé individuellement. |
| 88310 | 63323-883-10 | Chlorhydrate de doxorubicine 20 mg dans un flacon à top à dose unique de 10 ml emballé individuellement. |
| 88330 | 63323-883-30 | Chlorhydrate de doxorubicine 50 mg dans un flacon à top à dose unique de 25 ml emballé individuellement. |
| 100161 | 63323-101-61 | Chlorhydrate de doxorubicine 200 mg dans un flacon de dose multiple de 100 ml emballé individuellement. |
Réfrigérer à: 2 ° à 8 ° C (36 ° à 46 ° F).
Protéger de la lumière (garder en carton extérieur). Sans conservateur. Jetez la partie inutilisée.
La fermeture du conteneur n'est pas faite avec du latex en caoutchouc naturel.
Références
1. Alerte Niosh: prévention des expositions professionnelles aux médicaments antinéoplasiques et autres dangereux dans les milieux de santé. 2004. États-Unis Département de la santé et des services sociaux Publication du DHHS (NIOSH) Centers for Disease Control and Prevention Institute de sécurité nationale pour la sécurité et la santé.
2. Manuel technique de l'OSHA TED 1-0.15A Section VI: Chapitre 2. Contrôle de l'exposition professionnelle aux médicaments dangereux. OSHA 1999. Https://osha.gov/dts/osta/otm/otm_vi/otm _vi_2.html
3. American Society of Health-System Pharmacists. Lignes directrices de l'ASHP sur la manipulation des médicaments dangereux. Am J Health-Syst Pharm. 2006; 63: 1172-1193.
4. La moitié de M. White J. M.
Fresenius Kabi Lake Zurich IL 60047.RÉVISE: août
Effets secondaires for Doxorubicine Hydrochloride Injection
La dose limitant les toxicités de la thérapie est la myélosuppression et la cardiotoxicité. Les autres réactions rapportées sont:
Cardiotoxicité
(Voir Avertissements ).
Cutané
L'alopécie complète réversible se produit dans la plupart des cas. L'hyperpigmentation des lits à clous et des plis cutanés principalement chez les patients pédiatriques et l'onycholyse ont été signalés dans quelques cas. Une réaction de rappel de rayonnement s'est produite avec l'administration de la doxorubicine. Des démangeaisons et des photosensibilité des éruptions cutanées peuvent se produire.
Gastro-intestinal
Les nausées et vomissements aigus se produisent fréquemment et peuvent être graves. Cela peut être atténué par la thérapie antiémétique. La mucite (stomatite et œsophagite) peut se produire dans les 5 à 10 jours suivant le traitement et la plupart des patients se remettent de cet événement indésirable dans un délai de 5 à 10 jours supplémentaires. L'effet peut être grave entraînant une ulcération et représente un site d'origine pour les infections graves. Le schéma posologique composé d'administration de doxorubicine sur trois jours successifs entraîne une plus grande incidence et gravité de la mucite. L'ulcération et la nécrose du côlon, en particulier le caecum, peuvent se produire entraînant des saignements ou des infections graves qui peuvent être mortelles. Cette réaction a été rapportée chez les patients atteints de leucémie aiguë non lymphocytaire traitée avec un cours de doxorubicine de 3 jours combiné à la cytarabine. Anorexie Douleur abdominale Déshydratation La diarrhée et l'hyperpigmentation de la muqueuse buccale ont parfois été signalées.
Hématologique
(Voir Avertissements ).
Hypersensibilité
Des frissons de fièvre et de l'urticaire ont été signalés de temps en temps. Une anaphylaxie peut se produire. Un cas de sensibilité croisée apparente à la lincomycine a été signalé.
Neurologique
La neurotoxicité périphérique sous forme de perturbations sensorielles et / ou moteurs locales a été signalée chez les patients traités intra-artériels avec de la doxorubicine principalement en combinaison avec le cisplatine. Des études animales ont démontré des convulsions et du coma chez les rongeurs et les chiens traités avec une doxorubicine intra-carotide. Des convulsions et du coma ont été signalés chez les patients traités par de la doxorubicine en combinaison avec du cisplatine ou de la vincristine.
Oculaire
La conjonctivite kératite et le lacrimation se produisent rarement.
Autre
Des malaises / asthénie ont été signalés.
Réactions indésirables chez les patientes atteintes d'un cancer du sein précoce recevant une thérapie adjuvante contenant de la doxorubicine
Des données de sécurité ont été collectées auprès d'environ 2300 femmes qui ont participé à un essai en ouvert randomisé (NSABP B-15) évaluant l'utilisation de la CA par rapport au CMF dans le traitement du cancer du sein précoce impliquant des ganglions lymphatiques axillaires. Dans l'analyse de sécurité, les données de suivi de tous les patients recevant une CA ont été combinées (n = 1492 patients évaluables) et comparés aux données de patients recevant un CMF conventionnel (c'est-à-dire le cyclophosphamide oral; n = 739 patients évaluables). Les événements indésirables les plus pertinents rapportés dans cette étude sont fournis dans le tableau 2.
Tableau 2: Événements indésirables pertinents chez les patientes atteintes d'un cancer du sein précoce impliquant des ganglions lymphatiques axillaires
| Et* N = 1492 | CMF conventionnel N = 739 | |
| Administration du traitement | ||
| Nombre moyen de cycles | 3.8 | 5.5 |
| Total des cycles | 5676 | 4068 |
| Événements indésirables% des patients | ||
| Leucopénie | ||
| 3e année (1000 à 1999 / mm³) | 3.4 | 9.4 |
| 4e année ( <1000/mm 3) | 0.3 | 0.3 |
| Thrombocytopénie | ||
| 3e année (25000 à 49999 / mm³) | 0 | 0.3 |
| 4e année ( <25000 /mm³) | 0.1 | 0 |
| Septiclations | 1.5 | 0.9 |
| Infection systémique | 2.4 | 1.2 |
| Nausées et vomissements | ||
| Nausée uniquement | 15.5 | 42.8 |
| Vomissements ≤ 12 heures | 34.4 | 25.2 |
| Vomissements> 12 heures | 36.8 | 12 |
| Intraitable | 4.7 | 1.6 |
| Alopécie | 92.4 | 71.4 |
| Partiel | 22.9 | 56.3 |
| Complet | 69.5 | 15.1 |
| Perte de poids | ||
| 5 à 10% | 6.2 | 5.7 |
| > 10% | 2.4 | 2.8 |
| Prise de poids | ||
| 5 à 10% | 10.6 | 27.9 |
| > 10% | 3.8 | 14.3 |
| Fonction cardiaque | ||
| Asymptomatique | 0.2 | 0.1 |
| Transitoire | 0.1 | 0 |
| Symptomatique | 0.1 | 0 |
| Décès lié au traitement | 0 | 0 |
| * Comprend des données regroupées de patients qui ont reçu seul AC seul pendant 4 cycles ou qui ont été traités avec AC pendant 4 cycles suivis de 3 cycles de CMF |
Interactions médicamenteuses for Doxorubicine Hydrochloride Injection
La doxorubicine est largement métabolisée par le foie. Les changements dans la fonction hépatique induits par les thérapies concomitantes peuvent affecter l'efficacité thérapeutique et / ou la toxicité thérapeutique du métabolisme de la doxorubicine. Les toxicités associées à la doxorubicine, en particulier les événements hématologiques et gastro-intestinaux, peuvent être augmentées lorsque la doxorubicine est utilisée en combinaison avec d'autres médicaments cytotoxiques.
Paclitaxel
Il y a eu un certain nombre de rapports dans la littérature qui décrivent une augmentation de la cardiotoxicité lorsque la doxorubicine est co-administrée avec le paclitaxel. Deux études publiées rapportent que l'administration initiale de paclitaxel infusée sur 24 heures suivie par la doxorubicine administrée sur 48 heures a entraîné une diminution significative de la clairance de la doxorubicine avec des épisodes neutropéniques et de stomatite plus profonds que la séquence inverse de l'administration.
Progestérone
Dans une étude publiée, la progestérone a été donnée par voie intraveineuse aux patients atteints de tumeurs malignes avancées (ECOG PS <2) at high doses (up to 10 g over 24 hours) concomitantly with a fixed doxorubicin dose (60 mg/m²) via bolus injection. Enhanced doxorubicin-induced neutropénie et thrombocytopenia were observed.
Vérapamil
Une étude des effets du vérapamil sur la toxicité aiguë de la doxorubicine chez la souris a révélé des concentrations de pic initiales de doxorubicine plus élevées dans le cœur avec une incidence plus élevée et une gravité des changements dégénératifs du tissu cardiaque entraînant une survie plus courte.
Cyclosporine
L'ajout de cyclosporine à la doxorubicine peut entraîner une augmentation de l'ASC pour la doxorubicine et la doxorubicinol, peut-être en raison d'une diminution de la clairance du médicament parent et d'une diminution du métabolisme du doxorubicinol. Les rapports de la littérature suggèrent que l'ajout de cyclosporine à la doxorubicine entraîne une toxicité hématologique plus profonde et prolongée que la doxorubicine seule. Le coma et / ou les convulsions ont également été décrits.
Dexrazoxane
Dans une étude clinique des femmes atteintes d'un cancer du sein métastatique, l'utilisation simultanée du dexrazoxane cardioprotectant avec l'initiation d'un régime de fluorouracide doxorubicine et de cyclophosphamide (FAC) a été associée à un taux de réponse tumoral plus faible. L'initiation ultérieure du dexrazoxane (après l'administration d'une dose cumulée de doxorubicine de 300 mg / m² de doxorubicine avait été donnée en tant que composant de FAC) n'a pas été associée à une réduction de l'activité de chimiothérapie. Le dexrazoxane n'est indiqué que pour une utilisation chez les femmes atteintes d'un cancer du sein métastatique qui ont reçu une dose cumulée de doxorubicine de 300 mg / m² et continuent avec un traitement à la doxorubicine.
Cytarabine
La colite nécrosante manifestée par la typhlite (inflammation caecale) des selles sanglantes et les infections graves et parfois mortelles ont été associées à une combinaison de doxorubicine donnée par la poussée intraveineuse quotidiennement pendant 3 jours et de la cytarabine donnée par la perfusion continue quotidiennement pendant 7 jours ou plus.
Saraffenib
Dans les études cliniques, une augmentation de 21% et 47% et aucun changement dans l'ASC de la doxorubicine n'a été observée avec un traitement concomitant avec le sorafenib 400 mg deux fois par jour. La signification clinique de ces résultats est inconnue.
Cyclophosphamide
L'ajout de cyclophosphamide au traitement à la doxorubicine n'affecte pas l'exposition à la doxorubicine mais peut entraîner une augmentation de l'exposition au métabolite de la doxorubicinol A. Le doxorubicinol ne comporte que 5% de l'activité cytotoxique de la doxorubicine. Il a été rapporté que le traitement simultané avec la doxorubicine exacerbe la cystite hémorragique induite par le cyclophosphamide. La leucémie myéloïde aiguë a été signalée comme une deuxième tumeur maligne après traitement avec la doxorubicine et le cyclophosphamide.
Les rapports de littérature ont également décrit les interactions médicamenteuses suivantes
Le phénobarbital augmente l'élimination de la doxorubicine; Les niveaux de phénytoïne peuvent être diminués par la doxorubicine; streptozocin (Zanosar®) may inhibit hepatic metabolism of doxorubicin; Le saquinavir en combinaison avec le cyclophosphamide doxorubicine et l'étoposide accru la toxicité muqueuse chez les patients atteints de lymphome non hodgkinien associé au VIH; et l'administration de vaccins vivants aux patients immunodéprimés, y compris ceux qui subissent une chimiothérapie cytotoxique, peuvent être dangereux (voir Avertissements ).
Avertissements for Doxorubicine Hydrochloride Injection
Général
La doxorubicine ne devrait être administrée que sous la supervision de médecins qualifiés expérimentés dans l'utilisation de la thérapie cytotoxique. Les patients doivent se remettre de toxicités aiguës du traitement cytotoxique antérieur (comme la stomatite neutropénie thrombocytopénie et les infections généralisées) avant de commencer le traitement par la doxorubicine. Le traitement initial avec la doxorubicine doit également être précédé d'une évaluation minutieuse de base de la numération sanguine; taux sériques de bilirubine total AST et de créatinine; et la fonction cardiaque mesurée par la fonction d'éjection ventriculaire gauche (LVEF). Les patients doivent être soigneusement surveillés pendant le traitement pour d'éventuelles complications cliniques en raison de la myélosuppression. Des soins de soutien peuvent être nécessaires pour le traitement de la neutropénie sévère et des complications infectieuses graves. La surveillance de la cardiotoxicité potentielle est également importante, en particulier avec une plus grande exposition cumulée à la doxorubicine. La doxorubicine peut potentialiser la toxicité d'autres thérapies anticancéreuses (voir PRÉCAUTIONS Interactions médicamenteuses ).
Fonction cardiaque
Cardiotoxicité is a known risk of anthracycline treatment. Anthracycline-induced cardiotoxicity may be manifested by early (or acute) or late (delayed) events. Early cardiotoxicity of doxorubicin consists mainly of sinus tachycardia et/or electrocardiogram (ECG) abnormalities such as nonspecific ST-T wave changes. Tachyarrhythmias including premature ventricular contractions et ventricular tachycardia bradycardia as well as atrioventricular et bundle-branch block have also been reported. These effects do not usually predict subsequent development of delayed cardiotoxicity are rarely of clinical importance et are generally not considered an indication for the suspension of doxorubicin treatment.
La cardiotoxicité retardée se développe généralement à la fin du traitement avec la doxorubicine ou dans les 2 à 3 mois après la cessation de traitement, mais des événements ultérieurs de plusieurs mois aux années après la fin du traitement ont également été signalés. La cardiomyopathie retardée se manifeste par une réduction de la FEVE et / ou des signes et symptômes de insuffisance cardiaque congestive (CHF) tels que la tachycardie dyspnée de l'œdème pulmonaire cardiomégalie et l'hépatomégalie oligurie ascite Effusion pleurale et rythme de galop. Des effets subaiguës tels que la péricardite / myocardite ont également été signalés. Le CHF réalise est la forme la plus sévère de cardiomyopathie induite par l'anthracycline et représente la toxicité cumulative limitant la dose du médicament.
La probabilité de développer une fonction myocardique altérée basée sur un indice combiné des symptômes des signes et la baisse de la fraction d'éjection ventriculaire gauche (LVEF) est estimée à 1 à 2% à une dose cumulative totale de 300 mg / m² de doxorubicine 3 à 5% à une dose de 400 mg / m² 5 à 8% à une dose de 450 mg / m² pour 20% à une dose à une dose de 450 mg / m² pour une date à une dose à une dose de 450 mg / m. 500 mg / m² donnés dans un calendrier d'une injection de bolus une fois toutes les 3 semaines. Dans une revue rétrospective, la probabilité de développer une insuffisance cardiaque congestive a été signalée à 5/168 (3%) à une dose cumulée de 430 mg / m² de doxorubicine 8/110 (7%) à 575 mg / m² et 3/14 (21%) à 728 mg / m². Dans une étude prospective de la doxorubicine en combinaison avec du cyclophosphamide fluorouracile et / ou de la vincristine chez les patientes atteintes d'un cancer du sein ou un cancer du poumon à une petite cellule, la probabilité de CHF à diverses doses cumulatives de doxorubicine était de 1,5% à 300 mg / m² 4,9% à 400 mg / m² 7,7% à 450 mg / m² et 20,5% à 500 m². Le risque de développer du CHF augmente rapidement avec l'augmentation des doses cumulatives totales de doxorubicine supérieures à 400 mg / m².
Cardiotoxicité may occur at faibleer doses in patients with prior mediastinal/pericardial irradiation concomitant use of other cardiotoxic drugs doxorubicin exposure at an early age et advanced age. Data also suggest that pre-existing heart disease is a co-factor for increased risk of doxorubicin cardiotoxicity. In such cases cardiac toxicity may occur at doses faibleer than the recommended cumulative dose of doxorubicin. Studies have suggested that concomitant administration of doxorubicin et calcium channel entry blockers or cardiotoxic drugs especially those with long half-lives e.g. trastuzumab may increase the risk of doxorubicin cardiotoxicity (see PRÉCAUTIONS Général Posologie et administration ). The total dose of doxorubicin administered to the individual patient should also take into account previous or concomitant therapy with related compounds such as daunorubicin idarubicin et mitoxantrone. Although not formally tested it is probable that the toxicity of doxorubicin et other anthracyclines or anthracenediones is additive. Cardiomyopathy et/or insuffisance cardiaque congestive may be encountered several months or years after discontinuation of doxorubicin therapy.
Le risque de manifestations aiguës de la cardiotoxicité de la doxorubicine chez les patients pédiatriques peut être autant ou inférieur à celui des adultes. Les patients pédiatriques semblent être un risque particulier pour développer une toxicité cardiaque retardée en ce que la cardiomyopathie induite par la doxorubicine altère la croissance du myocarde à mesure que les patients pédiatriques mûrissent par la suite conduisant par la suite à un éventuel développement d'une insuffisance cardiaque congestive au début de l'adulte. Jusqu'à 40% des patients pédiatriques peuvent avoir une dysfonction cardiaque subclinique et 5 à 10% des patients pédiatriques peuvent développer une insuffisance cardiaque congestive lors d'un suivi à long terme. Cette toxicité cardiaque tardive peut être liée à la dose de doxorubicine. Plus la longueur du suivi est longue, plus l'augmentation du taux de détection est élevée. Le traitement de l'insuffisance cardiaque congestive induite par la doxorubicine comprend l'utilisation de diurétiques de numériques après des réducteurs de charge tels que les inhibiteurs de l'enzyme de conversion de l'angiotensine I (ACE), un régime alimentaire à faible sel et un repos au lit. Une telle intervention peut soulager les symptômes et améliorer l'état fonctionnel du patient.
Surveillance de la fonction cardiaque
Le risque de déficience cardiaque grave peut être diminué grâce à une surveillance régulière de la FEV au cours du traitement avec une interruption rapide de la doxorubicine au premier signe de la fonction altérée. La méthode préférée pour l'évaluation de la fonction cardiaque est l'évaluation de la FEVE mesurée par angiographie à radionucléides multi-ornées (MUGA) ou échocardiographie (écho). Un ECG peut également être fait. Une évaluation cardiaque de base avec un scan MUGA ou un écho est recommandée en particulier chez les patients présentant des facteurs de risque d'une toxicité cardiaque accrue. Les déterminations répétées de MUGA ou d'écho de la FEVE doivent être effectuées en particulier avec des doses cumulatives d'anthracycline plus élevées. La technique utilisée pour l'évaluation doit être cohérente grâce au suivi. Chez les patients présentant des facteurs de risque, en particulier l'anthracycline ou l'anthracenedion, l'utilisation de la surveillance de la fonction cardiaque doit être particulièrement stricte et le risque-risque d'un traitement continu avec la doxorubicine chez les patients présentant une fonction cardiaque altérée doit être soigneusement évalué.
La biopsie endomyocardique est reconnue comme l'outil de diagnostic le plus sensible pour détecter la cardiomyopathie induite par l'anthracycline; Cependant, cet examen invasif n'est pas pratiquement effectué sur une base de routine. Les changements ECG tels que les dysrythmies Une réduction de la tension QRS ou une prolongation au-delà des limites normales de l'intervalle de temps systolique peut indiquer une cardiomyopathie induite par l'anthracycline mais l'ECG n'est pas une méthode sensible ou spécifique pour suivre la cardiotoxicité liée à l'anthracycline.
Les patients pédiatriques courent un risque accru de développer une cardiotoxicité retardée après l'administration de la doxorubicine et, par conséquent, une évaluation cardiaque de suivi est recommandée périodiquement pour surveiller cette cardiotoxicité retardée.
Chez les adultes, une baisse de 10% de la FEMF à inférieure à la limite inférieure de la FEMB normale ou absolue de 45% ou d'une baisse de 20% de la FEMF à n'importe quel niveau indique une détérioration de la fonction cardiaque. Chez les patients pédiatriques, la détérioration de la fonction cardiaque pendant ou après la fin du traitement avec la doxorubicine est indiquée par une baisse du raccourcissement fractionnaire (FS) par une valeur absolue de ≥ 10 unités ou moins de 29% et une baisse du LEVE de 10 unités de centile ou un LVEF inférieur à 55%. En général, si les résultats des tests indiquent une détérioration de la fonction cardiaque associée à la doxorubicine, le bénéfice d'une thérapie continue doit être soigneusement évalué par rapport au risque de produire des dommages cardiaques irréversibles. Il a été signalé que des arythmies mortelles aiguës se produisent pendant ou dans quelques heures après l'administration de la doxorubicine.
Hématologique Toxicity
Comme pour les autres agents cytotoxiques, la doxorubicine peut produire une myélosuppression. La myélosuppression nécessite une surveillance minutieuse. Les globules rouges WBC totaux et différentiels (RBC) et le nombre de plaquettes doivent être évalués avant et pendant chaque cycle de thérapie avec la doxorubicine. Une leucopénie réversible dose-dépendante et / ou une granulocytopénie (neutropénie) sont les manifestations prédominantes de la toxicité hématologique de la doxorubicine et sont les toxicités de limitation aiguë les plus courantes de ce médicament. Avec le calendrier de dose recommandé, la leukopénie est généralement transitoire atteignant son nadir 10 à 14 jours après le traitement par récupération se produisant généralement le 21e jour. Une thrombocytopénie et une anémie peuvent également se produire. Les conséquences cliniques de la myélosuppression sévère comprennent les infections à la fièvre Sepsis / septicémie septique choc Hypoxie ou mort tissulaire d'hémorragie.
Leucémie secondaire
La survenue du secondaire AML ou le MDS a été rapporté le plus souvent chez les patients traités par des schémas hémothérapie contenant des anthracyclines (y compris la doxorubicine) et des agents antinéoplasiques endommageant l'ADN en combinaison avec une radiothérapie lorsque les patients ont été fortement prétraités avec des médicaments cytotoxiques ou lorsque des doses d'anthracyclines ont été escaladées. Ces cas ont généralement une période de latence de 1 à 3 ans. Le taux de développement de LMA ou de MDS secondaires a été estimé dans une analyse de 8563 patientes atteintes d'un cancer du sein précoce traité dans 6 études menées par le projet national de sein et intestinal adjuvant chirurgical (NSABP), y compris NSABP B-15. Les patients de ces études ont reçu des doses standard de doxorubicine et des doses standard ou dégénérées de la chimiothérapie adjuvante du cyclophosphamide (AC) et ont été suivies pendant 61810 années de patient. Parmi 4483 de ces patients qui ont reçu des doses conventionnelles de CA 11 cas de LMA ou de MDS ont été identifiés pour une incidence de 0,32 cas pour 1000 années de patient (95% CL 0,16 à 0,57) et une incidence cumulative à 5 ans de 0,21% (95% CL 0,11 à 0,41%). Dans une autre analyse de 1474 patientes atteintes d'un cancer du sein qui ont reçu un traitement adjuvant avec des régimes contenant de la doxorubicine dans les essais cliniques menés à l'Université du Texas M.D.Anderson Cancer Center, l'incidence a été estimée à 1,5% à 10 ans. Dans les deux expériences, les patients qui ont reçu des schémas avec des doses de cyclophosphamide plus élevées qui ont reçu une radiothérapie ou qui avaient 50 ans ou plus avaient un risque accru de LMA ou de MDS secondaires.
Les patients pédiatriques risquent également de développer un LMA secondaire.
Effets sur le site de l'injection
La phlébosclérose peut résulter d'une injection dans un petit vaisseau ou des injections répétées dans la même veine. Suivre les procédures d'administration recommandées peut minimiser le risque de phlébite / thrombophlebite sur le site d'injection (voir Posologie et administration Instruction pour une utilisation / manipulation ).
Extravasation
Sur l'administration intraveineuse de l'extravasation de la doxorubicine, peut se produire avec ou sans sensation de picotement ou de brûlure qui l'accompagne même si le sang revient bien sur l'aspiration de l'aiguille de perfusion. Si des signes ou des symptômes d'extravasation se sont produits, l'injection ou la perfusion doit être immédiatement résiliée et redémarrée dans une autre veine (voir Posologie et administration ).
Trouble hépatique
Since metabolism and excretion of doxorubicin occurs predominantly by the hepatobiliary route toxicity of recommended doses of doxorubicin can be enhanced by hepatic impairment; Par conséquent, avant l'évaluation individuelle de dosage de la fonction hépatique, il est recommandé d'utiliser des tests de laboratoire conventionnels tels que la phosphatase alcaline SGOT SGOT et la bilirubine (voir Posologie et administration ).
Effets des immunosuppresseurs / sensibilité accrue aux infections
L'administration de vaccins vivants ou vivants chez les patients immunodéprimés par des agents chimiothérapeutiques, y compris la doxorubicine, peut entraîner des infections graves ou mortelles. La vaccination avec un vaccin vivant doit être évitée chez les patients recevant de la doxorubicine. Les vaccins tués ou inactivés peuvent être administrés; Cependant, la réponse à ces vaccins peut être diminuée.
Catégorie de grossesse D
La doxorubicine peut causer des dommages fœtaux lorsqu'il est administré à une femme enceinte. La doxorubicine était tératogène et embryotoxique à des doses de 0,8 mg / kg / jour (environ 1/13 la dose humaine recommandée sur une surface corporelle) lorsqu'il est administré pendant la période d'organogenèse chez le rat. La tératogénicité et l'embryotoxicité ont également été observées en utilisant des périodes de traitement discrètes. Le plus sensible a été la période de gestation de 6 à 9 jours à des doses de 1,25 mg / kg / jour et plus. Les malformations caractéristiques comprenaient l'hypoplasie de la fistule trachéo-œsophagienne œsophagienne et intestinale de la vessie urinaire et des anomalies cardiovasculaires. La doxorubicine était embryotoxique (augmentation des décès embryofétales) et abortive à 0,4 mg / kg / jour (environ 1/14 la dose humaine recommandée sur une surface corporelle) chez le lapin lorsqu'il est administré pendant la période d'organogenèse.
Il n'y a pas d'études adéquates et bien contrôlées chez les femmes enceintes. Si la doxorubicine doit être utilisée pendant la grossesse ou si le patient tombe enceinte pendant le traitement, le patient doit être informé du risque potentiel pour le fœtus. Les femmes en âge de procréer doivent être informées d'éviter de devenir enceintes.
Précautions for Doxorubicine Hydrochloride Injection
Général
La doxorubicine n'est pas un agent antimicrobien. La doxorubicine est éménique. Les antiémétiques peuvent réduire les nausées et les vomissements; L'utilisation prophylactique d'antiémétiques doit être envisagée avant l'administration de la doxorubicine, en particulier lorsqu'elle est donnée en conjonction avec d'autres médicaments éméniques. La doxorubicine ne doit pas être administrée en combinaison avec d'autres agents cardiotoxiques à moins que la fonction cardiaque du patient ne soit étroitement surveillée. Les patients recevant de la doxorubicine après l'arrêt du traitement avec d'autres agents cardiotoxiques, en particulier ceux qui ont de longues demi-vies, comme le trastuzumab peuvent également être à un risque accru de développer une cardiotoxicité. Les médecins doivent éviter la thérapie à base de doxorubicine jusqu'à 24 semaines après l'arrêt du trastuzumab lorsque cela est possible. Si la doxorubicine utilisée avant cette période, une surveillance attentive de la fonction cardiaque est recommandée (voir Avertissements Posologie et administration ).
Informations pour les patients
Les patients doivent être informés des effets indésirables attendus de la doxorubicine, y compris des symptômes gastro-intestinaux (nausées vomissements de diarrhée et stomatite) et des complications potentielles neutropéniques. Les patients devraient consulter leur médecin si les vomissements de déshydratation ont des preuves de preuves de symptômes d'infection de CHF ou de douleur au site d'injection sur le traitement après un traitement par la doxorubicine. Les patients doivent être informés qu'ils développeront presque certainement une alopécie. Les patients doivent être informés que leur urine peut sembler rouge pendant 1 à 2 jours après l'administration de doxorubicine et qu'ils ne doivent pas être alarmés. Les patients doivent comprendre qu'il existe un risque de lésions myocardiques irréversibles associées au traitement à la doxorubicine ainsi qu'un risque de leucémie liée au traitement. Parce que la doxorubicine peut induire des dommages chromosomiques chez les spermatozoïdes subissant un traitement par la doxorubicine devrait utiliser des méthodes contraceptives efficaces. Les femmes traitées avec de la doxorubicine peuvent développer une amenorrhée irréversible ou prématurée ménopause .
Tests de laboratoire
Le traitement initial avec la doxorubicine nécessite l'observation du patient et une surveillance périodique des tests de fonction hépatique complets complets et la fraction d'éjection ventriculaire gauche (voir Avertissements ). Abnormalities of hepatic function tests may occur. Like other cytotoxique drugs doxorubicin may induce tumor-lysis syndrome et hyperuricemia in patients with rapidly growing tumors. Blood uric acid levels potassium calcium phosphate et creatinine should be evaluated after initial treatment. Hydration urine alkalinization et prophylaxis with allopurinol to prevent hyperuricemia may minimize potential complications of tumor-lysis syndrome.
Toxicologie non clinique
Carcinogenèse Mutagenèse A trouble de la fertilité
Les études de cancérogénicité n'ont pas été menées avec la doxorubicine. La leucémie myélogène aiguë secondaire (AML) ou le syndrome myélodysplasique (MDS) ont été signalées chez les patients traités par un schéma de chimiothérapie combinée contenant de la doxorubicine (voir (voir Avertissements ). Pédiatrique patients treated with doxorubicin or other topoisomerase II inhibitors are at risk for developing acute myelogenous leucémie et other neoplasms. Doxorubicine was mutagenic in the in vitro Ames assay et clastogenic in multiple in vitro assays (CHO cell V79 hamster cell human lymphoblast et SCE assays) et the in vivo mouse micronucleus assay.
La doxorubicine a diminué la fertilité chez les rats femelles à des doses de 0,05 et 0,2 mg / kg / jour (environ 1/200 et 1/50 la dose humaine recommandée sur une surface corporelle) lorsqu'elle est administrée à partir de 14 jours avant l'accouplement pendant la période de gestation tardive. Une seule dose IV de doxorubicine à 0,1 mg / kg (environ 1/100 la dose humaine recommandée sur une surface corporelle) était toxique pour les organes reproducteurs mâles produisant une atrophie testiculaire et une oligospermie chez le rat. La doxorubicine est mutagène car elle a induit des dommages à l'ADN dans les spermatozoïdes de lapin et dominant Mutations létales chez la souris. Par conséquent, la doxorubicine peut potentiellement induire des dommages chromosomiques dans les spermatozoïdes humains. L'oligospermie ou l'azoospermie ont été mises en évidence chez les hommes traités avec de la doxorubicine principalement dans les thérapies combinées. Les hommes subissant un traitement à la doxorubicine devraient utiliser des méthodes contraceptives efficaces.
La doxorubicine était toxique pour les organes reproducteurs masculins dans les études animales produisant une atrophie testiculaire dégénérescence diffuse des tubules séminifères et de l'hypospermie. La doxorubicine est mutagène car elle induit des dommages à l'ADN dans les spermatozoïdes de lapin et des mutations létales dominantes chez la souris. Par conséquent, la doxorubicine peut potentiellement induire des dommages chromosomiques dans les spermatozoïdes humains. L'oligospermie ou l'azoospermie ont été mises en évidence chez les hommes traités avec de la doxorubicine principalement dans les thérapies combinées. Cet effet peut être permanent. Cependant, il a été signalé que le nombre de spermatozoïdes revient à des niveaux normaux dans certains cas. Cela peut se produire plusieurs années après la fin de la thérapie. Les hommes subissant un traitement à la doxorubicine devraient utiliser des méthodes contraceptives efficaces.
Chez les femmes, la doxorubicine peut provoquer l'infertilité pendant la période de l'administration du médicament. La doxorubicine peut provoquer une aménorrhée. L'ovulation et les menstruations peuvent revenir après la fin du traitement bien que la ménopause prématurée puisse se produire. La récupération des règles est liée à l'âge au traitement.
La leucémie myélogène aiguë secondaire (LMA) ou le syndrome myélodysplasique (MDS) ont été signalées chez des patients traités par un schéma de chimiothérapie de combinaison adjuvant de l'anthracycline Avertissements Hématologique Toxicity ).
Grossesse
Effets tératogènes
Catégorie de grossesse D
Avertissements ).
Mères qui allaitent
La doxorubicine et ses principaux métabolites doxorubicinol ont été détectés dans le lait d'au moins un patient allaitant (voir Pharmacologie clinique Pharmacocinétique ). Because of the potential for serious adverse reactions in nursing infants from doxorubicin mothers should be advised to discontinue nursing during doxorubicin therapy.
Usage pédiatrique
Les patients pédiatriques courent un risque accru de développer une cardiotoxicité retardée. Des évaluations cardiaques de suivi sont recommandées périodiquement pour surveiller cette cardiotoxicité retardée (voir Avertissements ). Doxorubicine as a component of intensive chimiothérapie regimens administered to pediatric patients may contribute to prepubertal growth failure. It may also contribute to gonadal impairment which is usually temporary. Pédiatrique patients treated with doxorubicin or other topoisomerase II inhibitors are at a risk for developing acute myelogenous leucémie et other neoplasms. Pédiatrique patients receiving concomitant doxorubicin et actinomycin-D have manifested acute recall pneumonitis at notreiable times after local radiation therapy .
Utilisation gériatrique
On estime que 4600 patients qui étaient 65 ans et plus ont été inclus dans l'expérience clinique signalée de l'utilisation de la doxorubicine pour diverses indications. Aucune différence globale de sécurité et d'efficacité n'a été observée entre ces patients et les patients plus jeunes, mais une plus grande sensibilité de certaines personnes âgées ne peut être exclue. La décision d'utiliser la doxorubicine dans le traitement des patients plus âgés devrait être basée sur une considération de l'état global du rendement et des maladies simultanées en plus de l'âge du patient individuel.
Informations sur la surdose pour l'injection de chlorhydrate de doxorubicine
Le surdosage aigu avec la doxorubicine améliore les effets toxiques de la mucite leukopénie et de la thrombocytopénie. Le traitement du surdosage aigu est constitué du traitement du patient gravement myélosudéré avec hospitalisation des antimicrobiens transfusions plaquettaires et un traitement symptomatique de la mucite. L'utilisation d'un facteur de croissance hémopoïétique (GM-CSF GM-CSF) peut être prise en compte.
Tazorac aide-t-il avec des taches sombres
Le flacon d'injection de chlorhydrate de doxorubicine de 200 mg est emballé sous forme de flacon de dose multiple et la prudence doit être exercée pour prévenir le sur-déposage involontaire.
La dose cumulée avec la doxorubicine augmente le risque de cardiomyopathie et d'insuffisance cardiaque congestive qui en résulte (voir Avertissements ). Treatment consists of vigorous management of insuffisance cardiaque congestive with digitalis preparations diuretics et after-load reducers such as Inhibiteurs de l'ACE .
Contre-indications pour l'injection de chlorhydrate de doxorubicine
Les patients ne doivent pas être traités avec la doxorubicine s'ils ont l'une des conditions suivantes: le nombre de neutrophiles de base <1500 cells/mm³ severe hepatic impairment; recent myocardial infarction; severe myocardial insufficiency; severe arrhythmias; previous treatment with complete cumulative doses of doxorubicin daunorubicin idarubicin et/or other anthracyclines et anthracenediones; or hypersensitivity to doxorubicin any of its excipients or other anthracyclines or anthracenediones (see Avertissements et Posologie et administration ).
Pharmacologie clinique for Doxorubicine Hydrochloride Injection
L'effet cytotoxique de la doxorubicine sur les cellules malignes et ses effets toxiques sur divers organes seraient liés à l'intercalation de base nucléotidique et aux activités de liaison lipidique de la membrane cellulaire de la doxorubicine. L'intercalation inhibe la réplication des nucléotides et l'action de l'ADN et de l'ARN polymérases. L'interaction de la doxorubicine avec la topoisomérase II pour former des complexes clivables à l'ADN semble être un mécanisme important de l'activité cytocide de la doxorubicine.
La liaison à la membrane cellulaire de la doxorubicine peut affecter une variété de fonctions cellulaires. La réduction enzymatique d'électrons de la doxorubicine par une variété d'oxydases réductases et de déshydrogénases génère des espèces très réactives, y compris le radical libre hydroxyle OH •. Free radical formation has been implicated in doxorubicin cardiotoxicity by means of Cu (II) and Fe (III) reduction at the cellular level.
Il a été démontré que les cellules traitées par la doxorubicine manifestent les changements morphologiques caractéristiques associés à l'apoptose ou à la mort cellulaire programmée. L'apoptose induite par la doxorubicine peut faire partie intégrante du mécanisme d'action cellulaire lié aux toxicités des effets thérapeutiques ou les deux.
Des études animales ont montré une activité dans un spectre de tumeurs expérimentales immunosuppression Propriétés cancérogènes dans l'induction des rongeurs d'une variété d'effets toxiques, y compris la myélosuppression cardiaque retardée et progressive dans toutes les espèces et l'atrophie des testicules chez les rats et les chiens.
Pharmacocinétique
Des études pharmacocinétiques déterminées chez les patients atteints de divers types de tumeurs subissant une thérapie unique ou multi-agents ont montré que la doxorubicine suit une disposition multiphasique après injection intraveineuse. Chez quatre patients, la doxorubicine a démontré une pharmacocinétique indépendante de la dose dans la plage de dose de 30 à 70 mg / m².
Distribution
La demi-vie de distribution initiale d'environ 5 minutes suggère une absorption rapide des tissus de la doxorubicine tandis que sa lente élimination des tissus se reflète par une demi-vie terminale de 20 à 48 heures. Le volume de distribution à l'état d'équilibre varie de 809 à 1214 L / m² et indique une étendue d'absorption des médicaments dans les tissus. La liaison de la doxorubicine et de son principal métabolite doxorubicinol aux protéines plasmatiques est d'environ 74 à 76% et est indépendante de la concentration plasmatique de doxorubicine jusqu'à 1,1 mcg / ml.
La doxorubicine a été excrétée dans le lait d'un patient allaitant avec une concentration maximale de lait à 24 heures après le traitement étant environ 4,4 fois supérieur à la concentration plasmatique correspondante. La doxorubicine était détectable dans le lait jusqu'à 72 heures après le traitement avec 70 mg / m² de doxorubicine donnée comme perfusion intraveineuse de 15 minutes et 100 mg / m² de cisplatine comme perfusion intraveineuse de 26 heures. La concentration maximale de doxorubicinol dans le lait à 24 heures était de 0,11 mcg / ml et l'ASC jusqu'à 24 heures était de 9 mcg • h / ml tandis que l'ASC pour la doxorubicine était de 5,4 mcg • h / ml.
La doxorubicine ne traverse pas la barrière du cerveau sanguin.
Métabolisme
La réduction enzymatique à la position 7 et le clivage du sucre de daunosamine donne des aglycones qui s'accompagnent d'une formation de radicaux libres dont la production locale peut contribuer à l'activité cardiotoxique de la doxorubicine. La disposition du doxorubicinol (DOX-OL) chez les patients est un taux de formation limité avec la demi-vie terminale de DOX-OL étant similaire à la doxorubicine. L'exposition relative de DOX-OL, c'est-à-dire le rapport entre l'ASC de DOX-OL et l'ASC de la doxorubicine par rapport à la doxorubicine varie entre 0,4 et 0,6.
Excrétion
La clairance du plasma est de la plage de 324 à 809 ml / min / m² et est principalement par métabolisme et excrétion biliaire. Environ 40% de la dose apparaît dans le même En 5 jours, tandis que seulement 5 à 12% du médicament et ses métabolites apparaissent dans l'urine au cours de la même période. Dans l'urine <3% of the dose was recovered as DOX-OL over 7 days.
La clairance systémique de la doxorubicine est considérablement réduite chez les femmes obèses avec un poids corporel idéal supérieur à 130%. Il y a eu une réduction significative de la clairance sans aucun changement de volume de distribution chez les patients obèses par rapport aux patients normaux avec moins de 115% de poids corporel idéal.
Pharmacocinétique In Special Populations
Pédiatrique
Après l'administration de 10 à 75 mg / m² de doses de doxorubicine à 60 enfants et adolescents âgés de 2 mois à 20 ans, le dégagement de la doxorubicine était en moyenne de 1443 ± 114 ml / min / m². Une analyse plus approfondie a démontré que la clairance chez 52 enfants de plus de 2 ans (1540 ml / min / m²) a augmenté par rapport aux adultes. Cependant, la dégagement chez les nourrissons de moins de 2 ans (813 ml / min / m²) a été diminué par rapport aux enfants plus âgés et a approché la gamme des valeurs de clairance déterminées chez les adultes.
Gériatrique
Tandis que la pharmacocinétique des sujets âgés (≥ 65 ans) n'a été évaluée qu'aucun ajustement posologique n'est recommandé en fonction de l'âge (voir PRÉCAUTIONS Utilisation gériatrique ).
Genre
Une étude clinique publiée impliquant 6 hommes et 21 femmes sans traitement anthracycline préalable a rapporté une autorisation médiane de doxorubicine significativement plus élevée chez les hommes par rapport aux femmes (1088 ml / min / m² contre 433 ml / min / m²). Cependant, la demi-vie terminale de la doxorubicine était plus longue chez les hommes par rapport aux femmes (54 contre 35 heures).
Course
L'influence de la race sur la pharmacocinétique de la doxorubicine n'a pas été évaluée.
Trouble hépatique
La clairance de la doxorubicine et de la doxorubicinol a été réduite chez les patients présentant une fonction hépatique altérée (voir Posologie et administration ).
Trouble rénal
L'influence de la fonction rénale sur la pharmacocinétique de la doxorubicine n'a pas été évaluée.
Études cliniques
L'efficacité des régimes contenant de la doxorubicine dans la thérapie adjuvante du cancer du sein précoce a été principalement établie sur la base des données collectées dans une méta-analyse publiée en 1998 par le groupe collaboratif des premiers essais sur le cancer du sein (EBCTCG). L'EBCTCG obtient des données primaires sur toutes les études pertinentes publiées et non publiées pour un cancer du sein à un stade précoce et met régulièrement à jour ces analyses. Les principaux critères d'évaluation des essais de chimiothérapie adjuvant étaient la survie sans maladie (DFS) et la survie globale (OS). Les méta-analyses ont permis des comparaisons du méthotrexate de cyclophosphamide et du 5-fluorouracile (CMF) à aucune chimiothérapie (19 essais, dont 7523 patients) et des comparaisons de schémas de doxorubicicincolting avec CMF comme témoin actif (6 essais, dont 3510 patients). Les estimations regroupées de la DFS et de la SG de ces essais ont été utilisées pour calculer l'effet du CMF par rapport à aucune thérapie. Le rapport de risque pour le DFS pour le CMF par rapport à aucune chimiothérapie était de 0,76 (95% CL 0,71 à 0,82) et pour la SG était de 0,86 (95% CL 0,8 à 0,93). Sur la base d'une estimation prudente de l'effet CMF (inférieure à 95% de la limite de confiance du rapport de risque) et de la rétention de 75% de l'effet CMF sur le DFS, il a été déterminé que les régimes contenant de la doxorubicine seraient considérés comme non inférieurs au CMF si la limite de confiance à 95% supérieure à 95% du ratio de risque était inférieure à 1,06, c'est-à-dire que pas plus de 6% de 6% que le rapport CMF. Un calcul similaire pour la SG nécessiterait une marge de non-infériorité de 1,02.
Six essais randomisés dans la méta-analyse EBCTCG ont comparé les schémas contenant de la doxorubicine au CMF. Au total, 3510 femmes atteintes d'un cancer du sein précoce impliquant des ganglions lymphatiques axillaires ont été évalués; Environ 70% étaient préménopausiques et 30% étaient ménopausées. Au moment de la méta-analyse 1745, les premières récidives et 1348 décès s'étaient produites. Les analyses ont démontré que les régimes contenant de la doxorubicine conservaient au moins 75% de l'effet adjuvant CMF historique sur le DFS et sont efficaces. Le rapport de risque pour le DFS (DOX: CMF) était de 0,91 (95% CL 0,82 à 1,01) et pour la OS était de 0,91 (95% CL 0,81 à 1,03). Les résultats de ces analyses pour DFS et OS sont fournis dans le tableau 1 et les figures 1 et 2.
Tableau 1: Résumé des essais randomisés comparant les régimes contenant de la doxorubicine par rapport au CMF dans la méta-analyse EBCTCG
| Étude (année de départ) | Régimes | Nombre de cycles | Nombre de patients | Schémas contenant de la doxorubicine vs CMF HR (IC à 95%) | |
| DFS | TOI | ||||
| NSABP B-15 (1984) | Et | 4 | 1562 * | 0.93 (NULL,82 à 1,06) | 0.97 (NULL,83 à 1,12) |
| Cmf | 6 | 776 | |||
| Sect 2 (1976) | Je fais | 6 | 260 | 0.86 (NULL,66 à 1,13) | 0.93 (NULL,69 à 1,26) |
| Cmf | 6 | 268 | |||
| Oncofrance (1978) | Je faisV | 12 | 138 | 0.71 (NULL,49 à 1,03) | 0.65 (NULL,44 à 0,96) |
| Cmf | 12 | 113 | |||
| SE Suède BCG A (1980) | Et | 6 | 21 | 0.59 (NULL,22 à 1,61) | 0.53 (NULL,21 à 1,37) |
| Cmf | 6 | 22 | |||
| AVBCMF † | 4 | 55 | 0.91 (NULL,53 à 1,57) | 0.88 (NULL,47 à 1,63) | |
| NSABC Israel BR0283 (1983) | Cmf | 6 6 | 50 | ||
| Autrichien BCSG 3 (1984) | CmfVA | 6 | 121 | 1.07 (NULL,73 à 1,55) | 0.93 (NULL,64 à 1,35) |
| Cmf | 8 | 124 | |||
| Études combinées | Schémas contenant de la doxorubicine | 2157 | 0.91 (NULL,82 à 1,01) | 0.91 (NULL,81 à 1,03) | |
| Cmf | 1353 | ||||
| Abréviations: DFS = survie sans maladie; OS = survie globale; AC = doxorubicine cyclophosphamide; Avbcmf = doxorubicine vinblastine cyclophosphamide méthotrexate 5-fluorouracile; CMF = méthotrexate de cyclophosphamide 5-fluorouracile; CMFVA = méthotrexate de cyclophosphamide 5-fluorouracil vincristine doxorubicine; FAC = 5-fluorouracil doxorubicine cyclophosphamide; FACV = 5-fluorouracil doxorubicine cyclophosphamide vincristine; HR = rapport de risque; CI = intervalle de confiance * Comprend des données regroupées de patients qui ont reçu soit AC seul pendant 4 cycles ou qui ont été traités avec AC pendant 4 cycles suivis de 3 cycles de CMF. † Les patients ont reçu des cycles alternés d'AVB et de CMF. |
Figure 1: Méta-analyse de la survie sans maladie
|
Figure 2: Méta-analyse de la survie globale
|
En ce qui concerne les études DFS 2 sur 6 (NSABP B-15 et Oncofrance) ont respecté la norme de non-infériorité individuellement et en ce qui concerne l'étude OS 1 a respecté la marge de non-infériorité individuellement (oncofrance). La plus grande des 6 études de la méta-analyse EBCTCG, un essai multicentrique en ouvert randomisé (NSABP B-15) a été mené chez environ 2300 femmes (80% préménopause; 20% postménopausique) avec un cancer du sein précoce impliquant des nœuds lymphatiques axillaires. Dans cet essai, 6 cycles de CMF conventionnels ont été comparés à 4 cycles de doxorubicine et de cyclophosphamide (AC) et 4 cycles de CA suivis de 3 cycles de CMF. Aucune différence statistiquement significative en termes de DFS ou de SG n'a été observée (voir tableau 1).
Informations sur le patient pour l'injection de chlorhydrate de doxorubicine
Doxorubicine
(Dakse-u-been) injection de chlorhydrate USP
Lisez ces informations sur le patient avant de commencer à recevoir de la doxorubicine et avant chaque perfusion. Cette brochure d'information ne prend pas la place de parler avec votre médecin de votre état de santé ou de votre traitement.
Quelles sont les informations les plus importantes que je devrais connaître sur la doxorubicine?
Doxorubicine may cause serious side effects including:
- Problèmes cardiaques. Doxorubicine may cause heart problems that may lead to death. These problems can happen during your treatment or months to years after stopping treatment. In some cases heart problems are irreversible. Your chance of heart problems is higher if you:
- ont déjà des problèmes cardiaques
- avoir des antécédents de radiothérapie ou reçoivent actuellement une radiothérapie à votre poitrine
- ont suivi un traitement avec certains autres médicaments anti-cancer
- Prenez d'autres médicaments qui peuvent affecter votre cœur
Dites à votre médecin si vous obtenez l'un de ces symptômes de problèmes cardiaques:
- essoufflement
- toux
- gonflement de vos pieds et de vos chevilles
- rythme cardiaque rapide
Votre médecin doit faire des tests pour vérifier votre cœur avant pendant et après votre traitement avec la doxorubicine.
- Cancers secondaires. Certaines personnes qui ont reçu de la doxorubicine ont développé une leucémie myélogène aiguë (LMA) ou un syndrome myélodysplasique (MDS). Votre chance de développer un cancer du secondaire est plus élevée si vous recevez de la doxorubicine avec d'autres médicaments anticancéreuses ou par radiothérapie.
- Diminution du nombre de cellules sanguines. La doxorubicine peut provoquer une diminution grave des neutrophiles (un type de globules blancs importants dans les combats dans les infections bactériennes) les globules rouges (les cellules sanguines qui transportent l'oxygène vers les tissus) et les plaquettes (importantes pour la coagulation et pour contrôler les saignements).
Qu'est-ce que la doxorubicine?
Doxorubicine is a prescription anti-cancer medicine used to treat certain types of cancers. Doxorubicine may be used alone or along with other anticancer medicines.
Qui ne devrait pas recevoir de doxorubicine?
Ne recevez pas de doxorubicine si:
- Votre nombre de cellules sanguines est trop faible: les plaquettes (qui aident votre sang à coaguler) les globules rouges (qui aident à transporter le fer et l'oxygène dans tout votre corps) et les globules blancs (qui aident à lutter contre l'infection)
- Vous avez un grave problème de foie
- Vous avez eu un récent crise cardiaque ou avoir de graves problèmes cardiaques
- Vous avez suivi un traitement précédent avec la doxorubicine ou certains autres médicaments anticancéreux et reçu la dose maximale autorisée
- Vous êtes allergique à certains autres médicaments anticancéreux, chlorhydrate de doxorubicine ou tout autre ingrédient dans l'injection de chlorhydrate de doxorubicine USP. Voir la fin de cette brochure pour une liste complète des ingrédients dans l'injection de chlorhydrate de doxorubicine USP.
Parlez à votre médecin avant de recevoir de la doxorubicine si vous avez l'une des conditions énumérées ci-dessus.
Que dois-je dire à mon médecin avant de recevoir de la doxorubicine?
Avant de recevoir la doxorubicine, dites à votre médecin si vous:
- avoir des problèmes cardiaques
- ont subi une radiothérapie ou actuellement de la radiothérapie
- ont plus de 50 ans
- avoir des problèmes de foie
- Prévoyez de recevoir des vaccins. Parlez à votre médecin des vaccins qui sont sûrs à recevoir pendant votre traitement avec la doxorubicine. Voir Que dois-je éviter en recevant de la doxorubicine?
- avoir d'autres conditions médicales
- sont enceintes ou prévoient de devenir enceintes. La doxorubicine peut nuire à votre bébé à naître. Les femmes qui peuvent devenir enceintes devraient utiliser un contraception efficace (contraception). Parlez à votre médecin de la meilleure façon de prévenir la grossesse tout en recevant de la doxorubicine.
- allaitent ou prévoient d'allaiter. La doxorubicine peut passer dans votre lait maternel et nuire à votre bébé. Vous et votre médecin devez décider si vous recevrez de la doxorubicine ou de l'allaitement. Vous ne devriez pas faire les deux.
Parlez à votre médecin de tous les médicaments que vous prenez y compris les médicaments sur ordonnance et les médicaments sans ordonnance et les suppléments à base de plantes. La doxorubicine peut interagir avec d'autres médicaments. Ne commencez pas de nouveau médicament avant de parler avec le médecin qui prescrivait la doxorubicine.
Que sont les comprimés Lactinex utilisés pour
Connaissez les médicaments que vous prenez. Gardez une liste pour montrer votre médecin et votre pharmacien chaque fois que vous obtenez un nouveau médicament.
Comment vais-je recevoir de la doxorubicine?
- Votre médecin prescrira la doxorubicine en un montant qui vous convient.
- Doxorubicine will be given to you by intravenous (IV) infusion into your vein.
- Votre médecin fera des tests sanguins réguliers pour vérifier les effets secondaires de la doxorubicine.
- Avant de recevoir de la doxorubicine, vous pouvez recevoir d'autres médicaments pour prévenir ou traiter les effets secondaires.
- Les soignants des enfants qui reçoivent de la doxorubicine devraient prendre des précautions (comme le port de gants en latex) pour éviter le contact avec l'urine et d'autres liquides corporels du patient pendant au moins 5 jours après chaque traitement.
Que dois-je éviter en prenant la doxorubicine?
- Évitez de recevoir des vaccins vivants pendant le traitement avec de la doxorubicine. Parlez à votre médecin pour savoir quels vaccins sont sans danger pour vous tout en recevant de la doxorubicine. Voyez ce que je dois dire à mon médecin avant de recevoir de la doxorubicine?
Quels sont les effets secondaires possibles de la doxorubicine?
Doxorubicine can cause serious side effects including:
- Voyez quelles sont les informations les plus importantes que je devrais connaître sur la doxorubicine?
Réactions du site de perfusion. Des réactions de sites de perfusion graves peuvent se produire avec la doxorubicine. Les symptômes de la réaction de perfusion peuvent inclure:
- Douleur au site d'injection
- rougeur ou gonflement de la peau
- brûler ou piquer
- Plains de peau ouvertes sur le site d'injection
Votre médecin vous regardera de près pendant que vous recevez de la doxorubicine et après votre perfusion pour des signes de réaction. Vous pouvez vivre ces réactions immédiatement ou dans les 2 heures suivant la perfusion.
Changement dans la couleur de votre urine. Vous pouvez avoir une urine de couleur rouge pendant 1 à 2 jours après votre perfusion de doxorubicine. C'est normal. Dites à votre médecin si cela ne s'arrête pas dans quelques jours ou si vous voyez ce qui ressemble à du sang ou à des caillots sanguins dans votre urine.
Infection. Appelez votre médecin immédiatement si vous obtenez l'un des signes d'infection suivants:
- fièvre (temperature of 100.4 F or greater) chills or shivering
- toux that brings up mucus
- brûlure ou douleur avec la miction
Doxorubicine may cause faibleer sperm counts et sperm problems in men.
Cela pourrait affecter votre capacité à adhérer à un enfant et à provoquer des malformations congénitales. Les hommes doivent utiliser un contraception efficace (contraception) lors de la réception de la doxorubicine. N'ont pas de contact sexuel non protégé avec une femme qui pourrait devenir enceinte. Dites à votre médecin si vous avez un contact sexuel non protégé avec une femme qui pourrait tomber enceinte. Parlez à votre médecin si cela vous préoccupe.
Aménorrhée irréversible ou ménopause précoce. Vos règles (cycle menstruel) peuvent s'arrêter complètement lorsque vous recevez de la doxorubicine. Vos règles peuvent ou non revenir après avoir terminé votre traitement de la doxorubicine.
Les effets secondaires les plus courants de la doxorubicine comprennent:
- Perte de cheveux (alopécie). Vos cheveux peuvent se reproduire après votre traitement.
- assombrissement de vos ongles ou séparation de vos ongles de votre ongle
- nausée
- vomissement
- Manque d'appétit ou une soif accrue
- ecchymose ou saignement plus facilement
- battement de cœur anormal
- Un cancer du secondaire peut se produire lorsque la doxorubicine est combinée avec d'autres agents de chimiothérapie.
- plaies de la bouche
- changements de poids
- Pain d'estomac (abdominal)
- diarrhée
- problèmes oculaires
- réactions allergiques. Appelez votre médecin immédiatement si vous présentez l'un des symptômes suivants d'une réaction allergique:
- éruption cutanée
- visage rouillé
- fièvre
- urticaire
- étourdissements ou se sentir faibles
- démangeaison
- essoufflement or trouble breathing
- gonflement de vos lèvres ou de votre langue
Dites à votre médecin ou à votre infirmière si vous avez un effet secondaire qui vous dérange ou qui ne disparaît pas.
Ce ne sont pas tous les effets secondaires possibles de la doxorubicine. Pour plus d'informations, demandez à votre médecin ou à votre pharmacien.
Appelez votre médecin pour des conseils médicaux sur les effets secondaires. Vous pouvez signaler les effets secondaires à la FDA au 1-800-FDA-1088.
Général information about the safe et effective use of doxorubicin.
Les médicaments sont parfois prescrits à des fins autres que celles énumérées dans une brochure d'information du patient.
Cette brochure résume les informations les plus importantes sur la doxorubicine. Si vous souhaitez plus d'informations, parlez avec votre médecin. Vous pouvez demander à votre médecin ou pharmacien d'informations sur la doxorubicine qui est écrite pour les professionnels de la santé.
Quels sont les ingrédients de l'injection de chlorhydrate de doxorubicine USP?
Ingrédient actif: chlorhydrate de doxorubicine
Ingrédient inactif: chlorure de sodium 0,9% d'eau pour l'acide chlorhydrique par injection et / ou l'hydroxyde de sodium.
Ces informations sur les patients ont été approuvées par la Food and Drug Administration des États-Unis.