Les Informations Présentées Sur Ce Site Ne Constituent Pas Un Avis Médical. Nous Ne Vendons Rien. L'Exactitude De La Traduction N'Est Pas Garantie. Clause De Non-Responsabilité



Glucagon

Résumé

Qu'est-ce que le glucagon?

Le glucagon pour l'injection est un gastro-intestinal L'inhibiteur de la motilité a été indiqué pour une utilisation comme aide diagnostique lors des examens radiologiques pour inhiber temporairement le mouvement du tractus gastro-intestinal (GI).

Quels sont les effets secondaires du glucagon?

Les effets secondaires courants du glucagon comprennent:



  • Changements temporaires de la tension artérielle
  • augmentation de la fréquence cardiaque
  • réactions allergiques
  • nausée
  • vomissements et
  • Bas dans le sang dans le sang ( hypoglycémie )

Glucagon



  • urticaire
  • difficulté à respirer
  • gonflement de ton visage lèvres langue ou gorge
  • anxiété
  • vision floue
  • frissons
  • sueurs froids
  • coma
  • confusion
  • peau pâle fraîche
  • faiblesse
  • fatigue inhabituelle
  • discours
  • nervosité
  • nausée
  • accrue de la faim
  • dépression
  • vertiges
  • rythme cardiaque rapide
  • cauchemars
  • crises
  • difficulté à avaler
  • vertiges
  • évanouissement
  • étourdissement
  • Bouilage rapide ou rythme cardiaque irrégulier ou impulsion
  • démangeaison
  • éruption cutanée
  • martelant dans les oreilles
  • transpiration et
  • étanchéité dans la poitrine

Obtenez de l'aide médicale immédiatement si vous présentez l'un des symptômes énumérés ci-dessus.

Cherchez des soins médicaux ou appelez le 911 à la fois si vous avez les effets secondaires graves suivants:



  • Des symptômes oculaires graves tels que la perte de vision soudaine floue du tunnel de vision de la vision de la vision des yeux ou de l'enflure ou de voir des halos autour des lumières;
  • Symptômes cardiaques graves tels que les battements cardiaques rapides ou battants; flotter dans votre poitrine; essoufflement; et des étourdissements soudains, de la légèreté ou de l'évanouissement;
  • Maux de tête sévères Confusion Slurred Speech Bras ou Ligne Proulitude Trouble de la merde Perte de coordination Sentiment des muscles très rigides très rigides Fièvre élevée Propice ou des tremblements.

Ce document ne contient pas tous les effets secondaires possibles et d'autres peuvent survenir. Vérifiez auprès de votre médecin des informations supplémentaires sur les effets secondaires.

Dosage pour le glucagon?

La dose de glucagon est basée sur la voie de procédure de diagnostic d'administration et la durée de la procédure.

Quelles substances ou suppléments de médicaments interagissent avec le glucagon?

Le glucagon peut interagir avec les bêta-bloquants à l'insuline indométacine anticholinergique ou warfarine. Dites à votre médecin tous les médicaments et suppléments que vous utilisez.

Glucagon pendant la grossesse et l'allaitement

Dites à votre médecin si vous êtes enceinte ou si vous êtes enceinte en prenant du glucagon. On ne sait pas si le glucagon passe dans le lait maternel. Consultez votre médecin avant l'allaitement.

Informations Complémentaires

Notre centre de médicaments à effets secondaires Glucagon for Injection offre une vue complète des informations sur les médicaments disponibles sur les effets secondaires potentiels lors de la prise de ce médicament.

Informations sur les médicaments de la FDA

Description du glucagon

Le glucagon pour l'injection pour l'utilisation intraveineuse ou intramusculaire est un inhibiteur de motilité gastro-intestinale qui est produit par synthèse des peptides en phase solide. Le glucagon est un polypeptide à chaîne unique contenant 29 résidus d'acides aminés. La structure chimique du polypeptide du glucagon est identique au glucagon humain et au glucagon extrait du bœuf et du pancréas de porc. La structure du glucagon est:

Le glucagon pour l'injection est une poudre blanche lyophilisée stérile dans un flacon de 3 ml. La solution reconstituée contient 1 mg de glucagon comme chlorhydrate par ml et monohydrate de lactose (107 mg). Le glucagon pour l'injection est fourni à pH 2,5 à 3,5 et est soluble dans l'eau.

Utilisations pour le glucagon

Hypoglycémie sévère

Le glucagon pour l'injection est indiqué pour le traitement de l'hypoglycémie sévère chez les patients pédiatriques et adultes atteints de diabète.

Aide au diagnostic

Le glucagon pour l'injection est indiqué comme une aide diagnostique à utiliser lors des examens radiologiques pour inhiber temporairement le mouvement du tractus gastro-intestinal chez les patients adultes.

Dose pour le glucagon

Instructions d'administration importantes pour l'utilisation du kit d'urgence du glucagon pour une glycémie faible pour traiter une hypoglycémie sévère

Le glucagon pour l'injection est pour l'injection intramusculaire ou intraveineuse sous-cutanée. Administrer par voie intraveineuse uniquement sous surveillance médicale.

Instruisez les patients et leurs soignants sur les signes et symptômes d'une hypoglycémie sévère. Parce que l'hypoglycémie sévère nécessite l'aide d'autres pour récupérer pour que le patient informe ceux qui les entourent sur le glucagon pour l'injection et ses instructions d'utilisation. Administrer du glucagon pour l'injection dès que possible lorsque une hypoglycémie sévère est reconnue.

Demandez au patient ou au soignant de lire les instructions d'utilisation au moment où il reçoit une prescription de glucagon pour l'injection. Soulignez les instructions suivantes au patient ou au soignant:

  • En utilisant la seringue préfilée fournie, insérez soigneusement l'aiguille à travers le bouchon en caoutchouc du flacon contenant du glucagon pour la poudre d'injection et injectez tout le liquide de la seringue dans le flacon.
  • Secouez le flacon doucement jusqu'à ce que la poudre soit complètement dissoute et qu'aucune particules ne reste dans le liquide. La solution reconstituée doit être claire et incolore. Inspectez visuellement les particules et la décoloration. Si la solution résultante est nuageuse ou contient des particules, n'utilisez pas.
  • La solution reconstituée est de 1 mg par ml de glucagon.
  • Immédiatement après la reconstitution, injectez la solution par voie sous-cutanée ou par voie intramusculaire dans la cuisse ou les fesses du bras supérieur. De plus, les prestataires de soins de santé peuvent administrer par voie intraveineuse.
  • Appelez une assistance d'urgence immédiatement après l'administration de la dose.
  • S'il n'y a pas eu de réponse après 15 minutes, une dose supplémentaire de glucagon pour l'injection peut être administrée en attendant une assistance d'urgence.
  • Lorsque le patient a répondu au traitement et est capable d'avaler de donner des glucides oraux pour restaurer le glycogène hépatique et prévenir la récidive de l'hypoglycémie.
  • Jeter toute partie inutilisée.

Dosage chez les adultes et les patients pédiatriques pour avoir utilisé le kit d'urgence du glucagon pour une glycémie faible pour traiter une hypoglycémie sévère

Adultes et patients pédiatriques pesant plus de 25 kg ou pour les patients pédiatriques avec un poids inconnu de 6 ans et plus
  • La dose recommandée est de 1 mg (1 ml) injectée par voie sous-cutanée ou par voie intramusculaire dans la cuisse ou les fesses du bras supérieur ou par voie intraveineuse.
  • S'il n'y a pas eu de réponse après 15 minutes, une dose supplémentaire de 1 mg (1 ml) de glucagon pour l'injection peut être administrée à l'aide d'un nouveau kit en attendant l'assistance d'urgence.
Les patients pédiatriques pesant moins de 25 kg ou pour les patients pédiatriques avec un poids inconnu de moins de 6 ans
  • La dose recommandée est de 0,5 mg (NULL,5 ml) injectée par voie sous-cutanée ou par voie intramusculaire dans la cuisse ou les fesses du bras supérieur ou par voie intraveineuse.
  • S'il n'y a pas eu de réponse après 15 minutes, une dose supplémentaire de 0,5 mg (NULL,5 ml) de glucagon pour l'injection peut être administrée à l'aide d'un nouveau kit en attendant l'assistance d'urgence.

Instruction d'administration importante pour l'utilisation du glucagon pour le kit de diagnostic d'injection et du glucagon pour l'injection de flacon à dose unique comme aide diagnostique

  • Reconstituer le glucagon pour l'injection avec 1 ml d'eau stérile pour l'injection. À l'aide d'une seringue, retirez toute l'eau stérile pour l'injection (si elle est fournie) ou 1 ml d'eau stérile pour l'injection et injectez dans le glucagon pour le flacon d'injection.
  • Secouez le flacon doucement jusqu'à ce que la poudre soit complètement dissoute et qu'aucune particules ne reste dans le liquide. Le liquide reconstitué doit être clair et incolore. Inspectez visuellement les particules et la décoloration. Si la solution résultante est nuageuse ou contient des particules, n'utilisez pas.
  • La solution reconstituée est de 1 mg par ml de glucagon.
  • Immédiatement après la reconstitution, injectez la solution par voie intraveineuse ou intramusculaire dans la cuisse ou les fesses du bras supérieur.
  • Jeter toute partie inutilisée.
  • Après la fin de la procédure de diagnostic, donnez des glucides oraux aux patients qui ont jeté un jeûne si cela est compatible avec la procédure de diagnostic.

Dosage chez les adultes pour l'utilisation du glucagon pour le kit de diagnostic d'injection et du glucagon pour l'injection de flacon unique comme aide de diagnostic

  • La dose de diagnostic recommandée pour la relaxation de l'estomac duodénum duodénal et de l'intestin grêle est de 0,2 mg à 0,5 mg administré par voie intraveineuse ou 1 mg administré par voie intramusculaire; La dose recommandée pour détendre le côlon est de 0,5 mg à 0,75 mg administré par voie intraveineuse ou 1 mg à 2 mg administrée par voie intramusculaire [voir Pharmacologie clinique ].
  • Le début de l'action après une injection dépendra de l'orgue à l'examen et à la voie d'administration [voir Pharmacologie clinique ].

Comment fourni

Formes de dosage et force

Le glucagon pour l'injection est une poudre lyophilisée blanche fournie comme suit:

Traitement de l'hypoglycémie sévère
  • 1 mg de flacon à dose unique de glucagon pour injection avec une seringue à dose unique de 1 ml d'eau stérile pour l'injection USP (kit d'urgence du glucagon pour la glycémie basse)
Utiliser comme aide diagnostique
  • 1 mg de flacon à dose unique de glucagon pour l'injection
  • 1 mg de flacon à dose unique de glucagon pour l'injection with a 1 mL single-dose vial of Sterile Water for Injection USP (Kit de diagnostic)

Stockage et manipulation

Glucagon pour injection est fourni comme une poudre blanche lyophilisée disponible comme suit:

Présentation NDC Force Description
Traitement de l'hypoglycémie sévère
Kit d'urgence du glucagon pour la glycémie basse 63323-582-82 1 mg par flacon 1 ml de flacon à dose unique de glucagon pour l'injection avec 1 ml de seringue à dose unique d'eau stérile pour l'injection USP pour la reconstitution
Utiliser comme aide diagnostique
10 flacons à dose unique 63323-596-13 1 mg par flacon 1 ml de flacon à dose unique de glucagon pour l'injection
Kit de diagnostic 63323-593-03 1 mg par flacon 1 ml de flacon à dose unique de glucagon pour l'injection with 1 mL single-dose vial of Sterile Water for Injection USP for reconstitution
Stockage recommandé

Avant la reconstitution

L'ensemble contenant du glucagon pour les flacons d'injection peut être stocké jusqu'à 24 mois à 20 ° à 25 ° C (68 ° à 77 ° F) avant la reconstitution. Ne congelez pas. Gardez dans le package d'origine pour protéger de la lumière.

Après reconstitution

Utilisez immédiatement une solution de glucagon reconstituée. Jeter toute partie inutilisée [voir Posologie et administration ].

Fabriqué par: Fresenius Kabi Lake Zurich IL 60047. Révisé: Sep

Effets secondaires for GlucaGon

Les réactions indésirables importantes suivantes sont décrites ci-dessous et ailleurs dans l'étiquetage:

  • Hypersensibilité et réactions allergiques [voir Avertissements et précautions ]
  • Érythème migratoire nécrolytique [voir Avertissements et précautions ]
  • Hyperglycémie chez les patients atteints de diabète sucré lorsqu'il est utilisé comme aide diagnostique [voir Avertissements et précautions ]
  • La pression artérielle et l'augmentation de la fréquence cardiaque chez les patients atteints de maladie cardiaque lorsqu'ils sont utilisés comme aide diagnostique [voir Avertissements et précautions ]

Expérience en études cliniques

Étant donné que les essais cliniques sont menés dans des conditions de réaction indésirables très variables observées dans les essais cliniques d'un médicament ne peuvent pas être directement comparées aux taux dans les essais cliniques d'un autre médicament et ne peuvent pas refléter les taux observés dans la pratique.

Dans une étude clinique en simple aveugle randomisée du glucagon pour l'injection 29, des sujets sains ont reçu une dose unique de 1 mg de glucagon pour l'injection par voie intramusculaire. Le tableau 1 montre les effets indésirables les plus courants qui n'étaient pas présents au départ et se sont produits chez au moins 5% des patients.

Tableau 1: Les réactions indésirables se produisant chez ≥ 5% des sujets sains qui ont reçu du glucagon pour l'injection intramusculaire

Glucagon pour injection
(N = 29)
% des patients
Nausée 17
Vomissement 7

Dans une étude clinique en simple aveugle randomisée du glucagon pour l'injection 31, des sujets sains ont reçu une dose unique de 1 mg de glucagon pour l'injection par voie sous-cutanée. Le tableau 2 montre les effets indésirables les plus courants qui n'étaient pas présents au départ et se sont produits chez au moins 5% des patients. (2.1)].

Tableau 2: Les réactions indésirables se produisant ≥ 5% chez les sujets sains qui ont reçu du glucagon pour l'injection par voie sous-cutanée

Glucagon pour injection
(N = 31)
% des patients
Injection Boullage 58
Érythème du site d'injection 55
Vomissement 36
Nausée 32
Diminution de la tension artérielle 23
Asthénie 23
Mal de tête 13
Vertiges 10
Pâleur 10
Diarrhée 7
Somnolence 7
Autres réactions indésirables

L'hypertension et la tachycardie se sont produites avec un traitement au glucagon.

Expérience de commercialisation de la poste

Des réactions indésirables supplémentaires ont été identifiées lors de l'utilisation post-approbation du glucagon. Étant donné que ces réactions sont rapportées volontairement d'une population de taille incertaine, il n'est généralement pas possible d'estimer de manière fiable leur fréquence ou d'établir une relation causale à l'exposition au médicament.

  • hypoglycémie et hypoglycemic coma. Patients taking indomethacin may be more likely to experience hypoglycémie following glucagon administration [see Interactions médicamenteuses ].
  • Des cas d'érythème migratoire nécrolytiques (NME) ont été signalés après le commercialisation chez les patients recevant une perfusion continue de glucagon.

Interactions médicamenteuses for GlucaGon

Tableau 3: Interactions médicamenteuses cliniquement significatives avec le glucagon pour l'injection

Bêta-bloquants
Impact clinique: Les patients prenant des bêta-bloquants peuvent avoir une augmentation transitoire du pouls et de la pression artérielle lorsqu'ils ont donné du glucagon pour l'injection.
Intervention: L'augmentation de la pression artérielle et de la fréquence cardiaque peut nécessiter un traitement chez les patients atteints d'une maladie coronarienne.
Indométhacine
Impact clinique: Chez les patients prenant de l'indométhacine, le glucagon pour l'injection peut perdre sa capacité à augmenter la glycémie ou peut même produire une hypoglycémie.
Intervention: Surveillez les taux de glycémie pendant le traitement au glucagon des patients prenant l'indométhacine.
Médicaments anticholinergiques
Impact clinique: L'utilisation concomitante de médicaments anticholinergiques et de glucagon pour l'injection augmente le risque de réactions indésirables gastro-intestinales dues aux effets additifs sur l'inhibition de la motilité gastro-intestinale.
Intervention: L'utilisation concomitante de médicaments anticholinergiques avec du glucagon pour l'injection pour une utilisation comme aide diagnostique n'est pas recommandée.
Warfarine
Impact clinique: Glucagon pour injection may increase the anticoagulant effect of warfarin.
Intervention: Surveiller les patients pour des ecchymoses ou des saignements inhabituels, car des ajustements de la dose de warfarine peuvent être nécessaires.
Insuline
Impact clinique: Insuline acts antagonistically to glucagon.
Intervention: Surveiller la glycémie lorsque le glucagon pour l'injection est utilisé comme aide diagnostique chez les patients recevant de l'insuline.

Avertissements pour le glucagon

Inclus dans le cadre du 'PRÉCAUTIONS' Section

Précautions pour le glucagon

Augmentation substantielle de la pression artérielle chez les patients atteints de phéochromocytome

Glucagon pour injection is contraindicated in patients with pheochromocytoma because glucagon may stimulate the release of catecholamines from the tumor [see Contre-indications ]. If the patient develops a substantial increase in blood pressure et a previously undiagnosed pheochromocytoma is suspected 5 to 10 mg of phentolamine mesylate administered intravenously has been shown to be effective in lowering blood pressure.

Hypoglycémie chez les patients souffrant d'insulinome

Chez les patients atteints d'insulinome, l'administration de glucagon peut produire une augmentation initiale de la glycémie; Cependant, le glucagon pour l'administration d'injection peut directement ou indirectement (par une augmentation initiale de la glycémie) stimuler la libération exagérée de l'insuline à partir d'un insulinome et provoquer hypoglycémie . Le glucagon pour l'injection est contre-indiqué chez les patients souffrant d'insulinome [voir Contre-indications ]. If a patient develops symptoms of hypoglycémie after a dose of Glucagon pour injection give glucose orally or intravenously.

Hypersensibilité et réactions allergiques

Des réactions allergiques ont été rapportées avec le glucagon, il inclut une éruption généralisée et dans certains cas anaphylactique choc avec des difficultés respiratoires et une hypotension. Le glucagon pour l'injection est contre-indiqué chez les patients avec une réaction d'hypersensibilité antérieure [voir Contre-indications ].

Manque d'efficacité chez les patients atteints de glycogène hépatique diminué

Glucagon pour injection is effective in treating hypoglycémie only if sufficient hepatic glycogen is present. Patients in states of starvation with adrenal insufficiency or chronic hypoglycémie may not have adequate levels of hepatic glycogen for Glucagon pour injection administration to be effective. Patients with these conditions should be treated with glucose.

Érythème migratoire nécrolytique

Érythème migratoire nécrolytique (NME) Une éruption cutanée couramment associée aux glucagonomas (tumeurs productrices de glucagon) et caractérisée par des plaques érythémateuses pruritiques écailleuses et des érosions ont été signalées après le commercialisation après une perfusion continue du glucagon. Les lésions NME peuvent affecter le périnée et les jambes du visage de l'aine ou être plus répandue. Dans les cas signalés, NME a résolu avec l'arrêt du glucagon et le traitement avec des corticostéroïdes n'était pas efficace. Si NME se produit, examinez si les avantages de la perfusion de glucagon continue l'emportent sur les risques.

Hyperglycémie chez les patients atteints de diabète sucré lorsqu'il est utilisé comme aide diagnostique

Traitement avec du glucagon pour l'injection chez les patients atteints diabète sucré peut provoquer une hyperglycémie. Surveillez les patients diabétiques pour les changements de la glycémie pendant le traitement et traitez-le si indiqué.

Pression artérielle et augmentation de la fréquence cardiaque chez les patients atteints de maladie cardiaque lorsqu'ils sont utilisés comme aide diagnostique

Glucagon pour injection may increase myocardial oxygen demet blood pressure et pulse rate which may be life-threatening in patients with cardiac disease. Cardiac monitoring is recommended in patients with cardiac disease during use of Glucagon pour injection as a diagnostic aid et an increase in blood pressure et pulse rate may require therapy.

Hypoglycémie chez les patients atteints de glucagonoma

Le glucagon administré aux patients atteints de glucagonoma peut provoquer une hypoglycémie secondaire. Le glucagon pour l'injection est contre-indiqué chez les patients atteints de glucagonoma lorsqu'il est utilisé comme aide diagnostique [voir Contre-indications ]. Test patients suspected of having glucagonoma for blood levels of glucagon prior to treatment et monitor for changes in blood glucose levels during treatment. If a patient develops symptoms of hypoglycémie after a dose of Glucagon pour injection give glucose orally or intravenously.

Informations de conseil des patients

Conseiller au patient de lire l'étiquetage des patients approuvé par la FDA ( Informations sur les patients et Instructions pour une utilisation ).

Reconnaissance d'une hypoglycémie sévère

Informer les membres du patient et de la famille ou les soignants sur la façon de reconnaître les signes et les symptômes de l'hypoglycémie sévère et les risques d'hypoglycémie prolongée.

Administration

Passez en revue les informations et les instructions des patients à utiliser avec le patient et les membres de la famille ou les soignants.

Hypersensibilité grave

Informer les patients que les réactions allergiques peuvent survenir avec du glucagon pour l'injection. Conseiller aux patients de consulter des soins médicaux immédiats s'ils ressentent des symptômes de réactions d'hypersensibilité graves [voir Avertissements et précautions ].

Toxicologie non clinique

Carcinogenèse Mutagenèse A trouble de la fertilité

Cancérogenèse

Des études à long terme chez les animaux pour évaluer le potentiel cancérigène n'ont pas été réalisées.

Mutagenèse

Le glucagon synthétique était négatif dans le test de mutation inverse bactérienne (test Ames). Le potentiel clastogène du glucagon synthétique dans le test ovaire du hamster chinois (CHO) était positif en l'absence d'activation métabolique. Les doses de 100 et 200 mg / kg de glucagon d'origine pancréatique et recombinante ont donné des incidents légèrement plus élevés de formation de micronucléus chez les souris mâles, mais il n'y avait aucun effet chez les femmes. Le poids des preuves indique que le glucagon synthétique et recombinant n'est pas différent et ne présente pas de risque génotoxique pour l'homme.

Altération de la fertilité

Le glucagon n'a pas été testé dans des études de fertilité animale. Des études chez le rat ont montré que le glucagon pancréatique ne provoque pas une fertilité altérée.

Utiliser dans des populations spécifiques

Grossesse

Résumé des risques

Les données disponibles des rapports de cas et un petit nombre d'études observationnelles avec l'utilisation du glucagon chez les femmes enceintes au cours des décennies d'utilisation n'ont pas identifié de risque associé au médicament de malformations congénitales majeures ou de résultats indésirables maternels ou fœtaux. Plusieurs petites études ont démontré un manque de transfert de glucagon pancréatique à travers la barrière placentaire humaine au début de la gestation. Dans les études de reproduction du rat et du lapin, aucune toxicité embryofétale n'a été observée avec du glucagon administré par injection pendant la période d'organogenèse à des doses représentant jusqu'à 100 et 200 fois la dose humaine respectivement en fonction de la surface corporelle (mg / m / m 2 ) (voir Données ).

Le risque de fond estimé de malformations congénitales majeures et de fausse couche pour la population indiquée est inconnue. Dans la population générale américaine, le risque de fond estimé de malformations congénitales majeures et de fausse couche dans les grossesses cliniquement reconnues est respectivement de 2% à 4% et 15% à 20%.

Données

Données sur les animaux

Chez le rat et les lapins donnés par du glucagon par injection à des doses de 0,4 2,0 ​​et 10 mg / kg (jusqu'à 100 et 200 fois la dose humaine sur la base de Mg / m 2 Pour les rats et les lapins respectivement), il n'y avait aucune preuve d'augmentation des malformations ou de la létalité embryofétale.

Lactation

Résumé des risques

Il n'y a aucune information disponible sur la présence de glucagon dans le lait humain ou animal les effets du glucagon sur l'enfant allaité ou les effets du glucagon sur la production de lait. Cependant, le glucagon est un peptide et devrait être décomposé dans ses acides aminés constitutifs dans le tube digestif du nourrisson et il est donc peu probable que cela nuise à un nourrisson exposé.

Usage pédiatrique

La sécurité et l'efficacité du glucagon pour l'injection pour le traitement de l'hypoglycémie sévère chez les patients pédiatriques atteints de diabète ont été établies.

La sécurité et l'efficacité de l'utilisation comme aide diagnostique lors des examens radiologiques pour inhiber temporairement le mouvement du tractus gastro-intestinal chez les patients pédiatriques n'ont pas été établis.

Informations sur la surdose pour le glucagon

Si un surdosage se produit, le patient peut subir une inhibition des vomissements de nausées de l'augmentation de la motilité du tractus gastro-intestinal de la pression artérielle et du pouls. En cas de surdosage suspecté, le potassium sérique peut diminuer et doit être surveillé et corrigé si nécessaire. Si le patient développe une augmentation spectaculaire de la pression artérielle, le mésylate de phentolamine s'est avéré efficace pour abaisser la pression artérielle pendant le court laps de temps qui serait nécessaire.

Contre-indications pour le glucagon

Glucagon pour injection is contraindicated in patients with:

  • Phéochromocytome en raison du risque d'augmentation substantielle de la pression artérielle [voir Avertissements et précautions ]
  • Insulineoma because of the risk of hypoglycémie [see Avertissements et précautions ]
  • Hypersensibilité connue au glucagon ou à l'un des excipients du glucagon pour l'injection. Des réactions allergiques ont été rapportées avec le glucagon et incluent un choc anaphylactique avec des difficultés respiratoires et une hypotension [voir Avertissements et précautions ]
  • Glucagonoma lorsqu'il est utilisé comme aide diagnostique en raison du risque d'hypoglycémie [voir Avertissements et précautions ]

Pharmacologie clinique for GlucaGon

Mécanisme d'action

Le glucagon augmente la concentration de glycémie en activant les récepteurs hépatiques du glucagon stimulant ainsi la dégradation du glycogène et la libération de glucose du foie. Des réserves hépatiques de glycogène sont nécessaires pour que le glucagon produise un effet antihypoglycémique. Les effets extrahépatiques du glucagon incluent la relaxation du muscle lisse de l'estomac duodénum, ​​petit intestin et côlon.

Pharmacodynamique

Traitement de l'hypoglycémie sévère

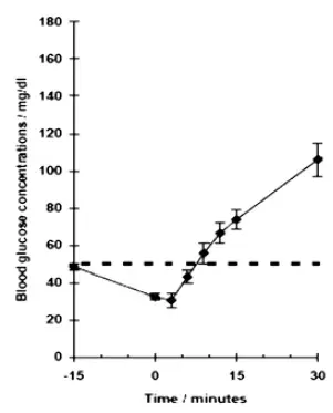
La concentration de glycémie augmente dans les 10 minutes suivant l'injection et les concentrations maximales sont atteintes environ 30 minutes après l'injection (voir figure 1). La durée de l'action hyperglycémique après injection intraveineuse ou intramusculaire est de 60 à 90 minutes.

Figure 1: Récupération de l'hypoglycémie induite par l'insuline (glycémie moyenne) après injection intramusculaire de 1 mg d'un autre glucagon pour le produit d'injection chez les hommes diabétiques de type I

Aide au diagnostic

Tableau 4: Propriétés pharmacodynamiques d'un autre glucagon pour le produit d'injection pour voie intraveineuse

Voie d'administration Dose a Temps de concentration maximale de glucose Temps d'apparition de l'action pour la relaxation des muscles lisses GI Durée de la relaxation des muscles lisses
Intraveineux 0,25 à 0,5 mg 5 à 20 minutes 45 secondes 9 à 17 minutes
a Dose is determined based on the length of the procedure.

Tableau 5 Propriétés pharmacodynamiques d'un autre glucagon pour le produit d'injection pour l'itinéraire intramusculaire

Voie d'administration Dose a Temps de concentration maximale de glucose Temps d'apparition de l'action pour la relaxation des muscles lisses GI Durée de la relaxation des muscles lisses
Intramusculaire 1 mg 30 minutes 8 à 10 minutes 12 à 27 minutes
2 mg 30 minutes 4 à 7 minutes 21 à 32 minutes
a Dose is determined based on the length of the procedure.

20In une étude chez des sujets sains, une dose sous-cutanée de 1 mg de glucagon pour l'injection a entraîné en moyenne une concentration de glycémie maximale de 79,3 mg / dL avec un temps médian de 50 minutes après l'injection.

Pharmacocinétique

Absorption

Après l'administration sous-cutanée de glucagon pour l'injection, le temps médian pour atteindre les concentrations de glucagon plasmatique non corrigées maximales de 3533 pg / ml était d'environ 10 à 13 minutes après le dosage après l'administration intramusculaire de 1 mg de dose, le maximum de bascule non corrigé des concentrations de glucagon de 3391 PG / ml a été atteint approximativement de 10 minutes de dose.

Élimination

La demi-vie apparente moyenne de glucagon était environ 42 minutes après l'administration sous-cutanée. La demi-vie apparente moyenne de glucagon était 26 minutes après l'administration intramusculaire.

Métabolisme

Le glucagon est dégradé dans le rein du foie et le plasma.

Informations sur les patients pour le glucagon

Glucagon
(Gloo-le-Gon)
pour l'injection pour l'intramusculaire sous-cutané ou
utilisation intraveineuse

Qu'est-ce que le glucagon?

Glucagon is a prescription medicine used:

  • pour traiter la glycémie très faible (hypoglycémie sévère) chez les personnes atteintes de diabète.
  • Pour arrêter le mouvement de l'estomac (inhibiteur de la motilité gastro-intestinale) chez les patients recevant des examens de radiologie.

Qui ne devrait pas utiliser de glucagon?

  • N'utilisez pas de glucagon si:
  • Vous avez une tumeur dans la glande au-dessus de vos reins (glande surrénale) appelée phéochromocytome.
  • Vous avez une tumeur dans votre pancréas appelé insulinome.
  • Vous êtes allergique au glucagon ou au lactose ou à l'un des ingrédients du glucagon. Voir la fin de cette brochure d'information du patient pour une liste complète des ingrédients dans le glucagon.
  • Vous avez des tumeurs dans votre pancréas appelées glucagonomas car elle pourrait provoquer une glycémie faible lorsqu'elle est utilisée pour votre examen de radiologie.

Que dois-je dire à mon médecin avant d'utiliser du glucagon?

Avant d'utiliser le glucagon, parlez à votre médecin de toutes vos conditions médicales, y compris si vous:

  • avoir des problèmes rénaux.
  • avoir des problèmes de pancréas.
  • n'ont ni nourriture ni eau depuis longtemps (jeûne ou faim prolongé).
  • Avoir une glycémie basse qui ne disparaît pas (hypoglycémie chronique).
  • avoir des problèmes cardiaques.
  • sont enceintes ou prévoient de devenir enceintes. On ne sait pas si le glucagon nuira à votre bébé à naître.
  • allaitent ou prévoient d'allaiter. On ne sait pas si le glucagon passe dans votre lait maternel.

Parlez à votre médecin de tous les médicaments que vous prenez y compris les médicaments sur ordonnance et en vente libre des vitamines et des suppléments à base de plantes. Le glucagon peut affecter le fonctionnement des autres médicaments et d'autres médicaments peuvent affecter le fonctionnement du glucagon. Connaissez les médicaments que vous prenez. Gardez une liste d'entre eux pour montrer votre médecin et votre pharmacien lorsque vous obtenez un nouveau médicament.

Comment dois-je utiliser du glucagon?

  • Lisez les instructions détaillées pour une utilisation accompagnées de glucagon.
  • Utilisez le glucagon exactement comme votre médecin vous le dit.
  • Assurez-vous que vous et votre famille savez comment utiliser le glucagon de la bonne voie avant d'en avoir besoin.
  • Agir rapidement. Avoir une glycémie très faible pendant une période de temps peut être nocive.
  • Appelez pour une aide médicale d'urgence juste après avoir utilisé du glucagon.
  • Si la personne ne répond pas après 15 minutes, une autre dose peut être donnée si disponible.
  • Mangez du sucre ou un produit sucré comme une boisson gazeuse régulière ou un jus de fruits dès que vous pouvez avaler.
  • Dites à votre médecin chaque fois que vous utilisez du glucagon. Votre médecin peut avoir besoin de modifier la dose de vos médicaments contre le diabète.

Quels sont les effets secondaires possibles du glucagon?

Glucagon may cause serious side effects including:

  • Hypertension artérielle. Glucagon can cause high blood pressure in certain people with tumors in their adrenal glets.
  • Basse glycémie. Glucagon can cause low blood sugar in patients with tumors in their pancreas called insulinomas et Glucagonomas by making too much insulin in their bodies.
  • Réactions allergiques graves. Appelez votre médecin ou obtenez une aide médicale tout de suite Si vous avez une réaction allergique grave, y compris:
    • éruption cutanée
    • difficulté à respirer
    • pression artérielle basse
  • Glycémie élevée. Si vous recevez du glucagon avant votre examen de radiologie, cela peut provoquer une glycémie élevée. Votre médecin surveillera votre glycémie pendant votre traitement.
  • Problèmes cardiaques. Si vous avez des problèmes cardiaques et recevez du glucagon avant votre examen de radiologie, vous pouvez avoir une augmentation de votre tension artérielle et de votre pouls tout en utilisant du glucagon qui pourrait être mortel. Votre médecin surveillera votre cœur pendant le traitement.

Les effets secondaires les plus courants du glucagon comprennent:

  • gonflement sur le site d'injection
  • diminution de la tension artérielle
  • peau pâle
  • rougeur sur le site d'injection
  • faiblesse
  • diarrhée
  • vomissement
  • mal de tête
  • somnolence ou somnolence
  • nausée
  • vertiges

Dites à votre médecin si vous avez un effet secondaire qui vous dérange ou qui ne disparaît pas. Ce ne sont pas tous les effets secondaires possibles du glucagon. Appelez votre médecin pour des conseils médicaux sur les effets secondaires. Vous pouvez signaler les effets secondaires à la FDA au 1-800-FDA-1088.

Comment dois-je stocker du glucagon?

Avant de mélanger la poudre de glucagon et le liquide:

  • Stockez le glucagon à température ambiante entre 68 ° F et 77 ° F (20 ° C à 25 ° C) jusqu'à 24 mois (2 ans).
  • Ne congelez pas le glucagon.
  • Gardez Glucago1n dans son paquet d'origine Glucagon et hors de la lumière.

Après avoir mélangé la poudre de glucagon et le liquide:

  • Utilisez immédiatement du glucagon.
  • Jetez tout glucagon inutilisé.
  • Glucagon should be clear et colorless. Ne pas use Glucagon if it is cloudy or if you see particles in the solution.

Gardez le glucagon et tous les médicaments hors de portée des enfants.

Informations générales sur l'utilisation sûre et efficace du glucagon.

Les médicaments sont parfois prescrits à des fins autres que celles énumérées dans une brochure d'information du patient. N'utilisez pas de glucagon pour une condition pour laquelle il n'a pas été prescrit. Ne donnez pas de glucagon à d'autres personnes même s'ils présentent les mêmes symptômes que vous. Cela peut leur faire du mal. Vous pouvez demander à votre pharmacien ou fournisseur de soins de santé pour des informations sur le glucagon écrit pour les professionnels de la santé.

Quels sont les ingrédients du glucagon?

Ingrédient actif: Glucagon

Ingrédients inactifs: monohydrate de lactose et eau stérile pour la reconstitution

Ces informations sur les patients ont été approuvées par la Food and Drug Administration des États-Unis.

Instrucios pour une utilisation

Glucagon
(Gloo-le-Gon)
pour l'injection pour l'intramusculaire sous-cutané ou
utilisation intraveineuse

Lisez ces instructions à utiliser avant de commencer à utiliser du glucagon et chaque fois que vous obtenez une recharge. Il peut y avoir de nouvelles informations. Ces informations ne prennent pas la place de parler avec votre médecin de votre état médical ou de votre traitement.

Parlez à votre médecin ou à votre pharmacien si vous avez des questions sur la façon d'utiliser le glucagon.

Important:

  • Lisez et se familiarisez avec ces instructions pour une utilisation avant qu'une urgence ne se produise.
  • Montrez les membres de votre famille et les autres où vous gardez votre kit d'urgence glucagon pour la glycémie basse et comment l'utiliser dans le bon sens.
  • Appelez pour une aide médicale d'urgence juste après avoir utilisé du glucagon.
  • Ne partagez pas vos seringues ou aiguilles de glucagon avec une autre personne. Vous pouvez donner à d'autres personnes une infection grave ou d'autres personnes pourraient obtenir une infection grave de votre part.
  • La seringue prérempliée fournie avec votre kit d'urgence de glucagon pour la glycémie basse est destinée à une utilisation avec du glucagon uniquement. N'utilisez pas de seringues glucagon pour injecter d'autres médicaments.

Comment dois-je stocker du glucagon?

Avant de mélanger la poudre de glucagon et le liquide:

  • Stockez le glucagon à température ambiante entre 68 ° et 77 ° F (20 ° à 25 ° C). Vérifiez la date d'expiration sur votre flacon de glucagon. N'utilisez pas de glucagon si la date d'expiration est passée.
  • Ne congelez pas le glucagon.
  • Gardez le glucagon dans son paquet d'origine et son glucagonout de lumière.

Après avoir mélangé la poudre de glucagon et le liquide:

  • Utilisez immédiatement du glucagon.
  • Jetez tout glucagon inutilisé.
  • Glucagon should be clear et colorless. Ne pas use Glucagon if it is cloudy or if you see particles in the solution.

Fournitures dont vous aurez besoin pour votre injection de glucagon (voir la figure A):

Figure A

  • 1 kit d'urgence de glucagon pour la glycémie basse qui contient:
    • 1 flacon qui contient 1 mg de glucagon pour l'injection et 1 seringue en verre préfabillée avec aiguille attachée qui contient 1 ml d'eau stérile pour l'injection.
  • 1 conteneur résistant à la perforation pour jeter les aiguilles et les seringues utilisées. Voyez comment devrais-je éliminer les seringues (lancer) (jet) utilisées au glucagon à la fin de ces instructions.
  • Boule en coton ou coussin de gaze (non inclus dans le kit)

Préparation de la dose de glucagon:

  • La médecine du glucagon est une poudre sèche. Avant d'utiliser le glucagon, vous devez mélanger la poudre sèche avec la seringue de l'eau stérile qui vient dans le kit d'urgence du glucagon pour la glycémie basse. N'utilisez aucun autre liquide pour mélanger le médicament .
  • Vérifiez que le capuchon en plastique orange sur votre flacon de glucagon est fermement attaché. Ne pas Utilisez le flacon du glucagon si le capuchon en plastique orange est lâche ou manquant.

Étape 1. À l'aide de votre pouce, retournez le capuchon en plastique orange du flacon de glucagon ( Voir la figure B ).

Figure B

Étape 2. Ramassez la seringue pré-remplie contenant de l'eau stérile. Tenez la seringue avec 1 main et avec votre autre main, tirez le couvercle de l'aiguille de la seringue ( Voir la figure C ).

Figure C

  • Ne pas Retirer le plastique

filetage de la seringue.

Étape 3 . Ramassez le flacon de glucagon. Tenez le flacon de la poudre sec avec 1 main et avec votre autre main, poussez l'aiguille de la seringue préreffilée à travers le centre du bouchon en caoutchouc ( Voir la figure D ).

Figure D

Étape 4. Tenez le flacon et la seringue avec l'aiguille toujours insérée dans le flacon. Tournez soigneusement le flacon et la seringue ensemble vers le haut. Pousser lentement le piston vers le bas jusqu'à ce que la seringue soit vide ( Voir la figure E ).

Figure E

  • Ne pas take the syringe out of the vial.

Étape 5. Maintenez l'unité entière (flacon et seringue) dans 1 main et secouez doucement le flacon jusqu'à ce que la poudre soit complètement dissoute ( Voir la figure F ).

Figure F

  • Ne pas use if it is cloudy or if you see particles in the solution.
  • Ne pas take the syringe out of the vial.

Étape 6. Tenez fermement le flacon et la seringue avec l'aiguille toujours insérée dans le flacon. Tournez soigneusement le flacon et la seringue ensemble à l'envers. Tirez doucement sur le piston et retirez lentement tout le liquide dans la seringue ( Voir la figure G ).

Figure G

  • Ne pas pull the plunger out of the syringe.

Étape 7 . Gardez l'aiguille à l'intérieur du flacon. Vérifiez la seringue pour les bulles d'air. Si vous voyez des bulles, appuyez sur la seringue jusqu'à ce que les bulles montent au sommet de la seringue ( Voir la figure H ). Gently push on the plunger to move only the air bubbles back into the vial.

Figure H

Étape 8 . Tenez le flacon et la seringue comme indiqué ( Voir la figure I )

Figure I

Donner le glucagon pour l'injection:

Étape 9 . Choisissez le site d'injection ( Voir la figure J ).

Figure J

Les sites d'injection courants pour le glucagon sont les cuisses ou les fesses du haut des bras. Le patient n'a pas besoin de s'allonger pour administrer le médicament tant que les sites d'injection courants peuvent être facilement accessibles.

Étape 10 . Avec 1 main, pincez doucement la peau sur le site d'injection. Avec votre autre main, insérez l'aiguille dans la peau et poussez le piston de seringue vers le bas jusqu'à ce que la seringue soit vide ( Voir la figure K ).

Effets secondaires de Lexapro chez les hommes

Figure K

Après avoir donné l'injection de glucagon:

Étape 11 . Tirez l'aiguille de la peau et appuyez sur le site d'injection ( Voir la figure L ). Use a gauze pad or cotton ball (not included in the kit) if needed to press the injection site to make sure there is no direct contact with the skin.

Figure L

Jetez votre seringue d'occasion avec l'aiguille attachée et le glucagon que vous n'avez pas utilisé. Voir Comment devrais-je éliminer (lancer) des seringues préreffilées du glucagon utilisées à la fin de ces instructions.

Étape 12. Allumez la personne de son côté . Lorsqu'une personne inconsciente se réveille, elle peut vomir. L'activation de la personne de son côté diminuera les chances de s'étouffer.

Étape 13. Appelez immédiatement une aide médicale d'urgence. Si la personne ne répond pas après 15 minutes, une autre dose peut être donnée si disponible.

Étape 14. Nourrissez la personne dès qu'elle est éveillée et capable d'avaler.

Donnez à la personne une source de sucre à action rapide (comme une boisson gazeuse régulière ou un jus de fruits) et une longue source de sucre (comme les craquelins et le fromage ou un sandwich à la viande).

Étape 15. Même si le glucagon pour le traitement par injection se réveille tout de suite, la personne le dit tout de suite. Le médecin doit être raconté chaque fois qu'une baisse grave de la glycémie (réaction d'hypoglycémie) se produit. La dose de médecine du diabète de la personne peut devoir être modifiée.

L'hypoglycémie peut se reproduire après avoir reçu du glucagon pour un traitement par injection.

Les premiers symptômes d'hypoglycémie peuvent inclure:

  • transpiration
  • somnolence
  • vertiges
  • troubles du sommeil
  • Roi-cœur irrégulier (palpitation)
  • anxiété
  • tremblement
  • vision floue
  • faim
  • discours
  • agitation
  • humeur déprimée
  • picotements dans les mains des pieds ou la langue
  • irritabilité
  • comportement anormal
  • étourdissement
  • mouvement instable
  • incapacité à se concentrer
  • changements de personnalité
  • mal de tête

Si ce n'est pas traité, une hypoglycémie précoce peut s'aggraver et la personne peut avoir une hypoglycémie sévère. Les signes d'hypoglycémie sévère comprennent:

  • confusion
  • crises
  • inconscience
  • la mort

Comment dois-je éliminer les seringues pré-remplies (jet) (jet)?

  • Mettez immédiatement des seringues utilisées dans un conteneur d'élimination des objets tranchants approuvé par la FDA après utilisation. Ne pas throw away(dispose of) loose needles et syringes in your household téruption cutanée.
  • Si vous n'avez pas de conteneur d'élimination des objets tranchants approuvé par la FDA, vous pouvez utiliser un conteneur domestique qui est:
    • fait d'un plastique robuste
    • peut être fermé avec un couvercle résistant à la perforation serrée sans que les objets tranchants ne puissent sortir
    • droit et stable pendant l'utilisation
    • résistant à la fuite et
    • correctement étiqueté pour avertir des déchets dangereux à l'intérieur du récipient.
  • Lorsque votre conteneur d'élimination des objets tranchants est presque plein, vous devrez suivre vos directives communautaires pour la bonne façon de disposer de votre conteneur d'élimination des objets tranchants. Il peut y avoir des lois étatiques ou locales sur la façon dont vous devez jeter les aiguilles et les seringues d'occasion. Pour plus d'informations sur l'élimination des objets de reculations sûrs et pour des informations spécifiques sur l'élimination des objets tranchants dans l'État dans lequel vous vivez dans le site Web de la FDA à: https://www.fda.gov/safesharpsdisposal.
  • Ne pas dispose of your used sharps disposal container in your household téruption cutanée unless your community guidelines permit this. Ne pas recycle your used sharps disposal container.

Gardez le glucagon et tous les médicaments hors de portée des enfants.

Ces instructions pour une utilisation ont été approuvées par la Food and Drug Administration des États-Unis.