Les Informations Présentées Sur Ce Site Ne Constituent Pas Un Avis Médical. Nous Ne Vendons Rien. L'Exactitude De La Traduction N'Est Pas Garantie. Clause De Non-Responsabilité
Agents antianginaux
Katerzia
Résumé
Qu'est-ce que Katerzia
Katerzia (amlodipine) est un bloqueur de canaux calciques et peut être utilisé seul ou en combinaison avec d'autres agents antihypertenseurs et antianginaux pour le traitement de hypertension chez les adultes et les enfants de 6 ans et plus pour abaisser la pression artérielle et maladie de l'artère coronaire y compris l'écurie chronique angine L'angine de poitrine vasospastique (poitrine de poitrine de Prinzmetal ou variante) et une maladie coronarienne documentée angiographiquement chez les patients sans insuffisance cardiaque ou un fraction d'éjection moins de 40%.
Quels sont les effets secondaires de Katerzia
Les effets secondaires courants de Katerzia comprennent:
- Rétention du fluide (œdème)
- fatigue
- nausée
- douleurs abdominales
- somnolence
- vertiges
- rinçage et
- palpitations
Cherchez des soins médicaux ou appelez le 911 à la fois si vous avez les effets secondaires graves suivants:
- Des symptômes oculaires graves tels que la perte de vision soudaine floue du tunnel de vision de la vision de la vision des yeux ou de l'enflure ou de voir des halos autour des lumières;
- Symptômes cardiaques graves tels que les battements cardiaques rapides ou battants; flotter dans votre poitrine; essoufflement; et des étourdissements soudains, de la légèreté ou de l'évanouissement;
- Maux de tête sévères Confusion Slurred Speech Bras ou Ligne Proulitude Trouble de la merde Perte de coordination Sentiment des muscles très rigides très rigides Fièvre élevée Propice ou des tremblements.
Ce document ne contient pas tous les effets secondaires possibles et d'autres peuvent survenir. Vérifiez auprès de votre médecin des informations supplémentaires sur les effets secondaires.
Dosage pour Ragwitek
La dose de départ recommandée par l'adulte de Katerzia est de 5 mg par voie orale une fois par jour avec une dose maximale de 10 mg une fois par jour.
Quelles substances ou suppléments de médicaments interagissent avec Katerzia
Katerzia peut interagir avec les inhibiteurs du CYP3A (modéré et fort) simvastatine cyclosporine et tacrolimus. Dites à votre médecin tous les médicaments et suppléments que vous utilisez.
Ragwitek pendant la grossesse ou l'allaitement
Dites à votre médecin si vous êtes enceinte ou prévoyez de devenir enceinte avant d'utiliser Katerzia; On ne sait pas comment cela affecterait un fœtus. Il y a des risques pour la mère et le fœtus associés à une hypertension mal contrôlée pendant la grossesse. Katerzia passe dans le lait maternel mais ne devrait pas être nocif pour un nourrisson infirmier. Consultez votre médecin avant l'allaitement.
Informations Complémentaires
Notre suspension orale Katerzia (amlodipine) pour les effets secondaires à usage oral offre une vue complète des informations sur les médicaments disponibles sur les effets secondaires potentiels lors de la prise de ce médicament.
Informations sur les médicaments de la FDA
- Description de la drogue
- Indications
- Dosage
- Effets secondaires
- Interactions médicamenteuses
- Avertissements
- Surdosage
- Pharmacologie clinique
- Guide des médicaments
Description de Katerzia
La suspension orale de Katerzia contient 1,30 mg / ml de benzoate amlodipine équivalent à 1 mg / ml d'amlodipine bloqueur de canaux calciques .
Le benzoate d'amlodipine est décrit chimiquement comme le 3-éthyl-5-méthyl (±) -2 - [(2-aminoéthoxy) méthyl] -4- (2-chlorophényl) -14-dihydro-6-méthyl-35-pyridédicarboxylate de benzénécarboxylate. Sa formule empirique est C 20 H 25 CLN 2 O 5 • C. 7 H 6 O 2 Et sa formule structurelle est:
|
Le benzoate d'amlodipine est une poudre cristalline blanche avec un poids moléculaire de 530.
Katerzia est pour l'administration orale. Les ingrédients inactifs comprennent le dioxyde de silicium colloïdal à l'acide citrique hypromellose maltodextrine polysorbate 80 siméthicone benzoate de sodium sodium béasylate de sodium citrate de sodium hydroxyde de sucralose et d'eau. Il s'agit d'une suspension orale blanche à blanc cassé.
Utilisations pour Katerzia
Hypertension
Katerzia est indiqué pour le traitement de l'hypertension chez les adultes et les enfants de 6 ans et plus pour abaisser la pression artérielle. L'abaissement de la pression artérielle réduit le risque d'événements cardiovasculaires mortels et non mortels principalement des coups et des infarctus du myocarde. Ces avantages ont été observés dans des essais contrôlés de médicaments antihypertenseurs à partir d'une grande variété de classes pharmacologiques, notamment l'amlodipine.
Le contrôle de l'hypertension artérielle devrait faire partie d'une gestion complète des risques cardiovasculaires, notamment le cas échéant de la gestion appropriée du diabète de contrôle des lipides. De nombreux patients auront besoin de plus d'un médicament pour atteindre les objectifs de la pression artérielle. Pour des conseils spécifiques sur les objectifs et la gestion, voir des lignes directrices publiées telles que celles de l'évaluation nationale nationale de la détection et du traitement de l'hypertension artérielle (JNC).
De nombreux médicaments antihypertenseurs provenant de diverses classes pharmacologiques et avec différents mécanismes d'action ont été montrés dans des essais contrôlés randomisés pour réduire la morbidité et la mortalité cardiovasculaires et il peut être conclu que c'est la réduction de la pression artérielle et non d'autres biens pharmacologiques des médicaments qui sont largement responsables de ces avantages. Le bénéfice des résultats cardiovasculaires les plus importants et les plus cohérents a été une réduction du risque d'AVC, mais des réductions de l'infarctus du myocarde et de la mortalité cardiovasculaire ont également été observées régulièrement.
Une pression systolique ou diastolique élevée provoque une augmentation du risque cardiovasculaire et l'augmentation du risque absolu par MMHg est plus élevée à des pressions sanguines plus élevées, de sorte que même des réductions modestes de l'hypertension sévère peuvent offrir un avantage substantiel. La réduction relative des risques de la réduction de la pression artérielle est similaire à tous les populations avec un risque absolu variable, de sorte que le bénéfice absolu est plus élevé chez les patients qui présentent un risque plus élevé indépendamment de leur hypertension (par exemple les patients atteints de diabète ou d'hyperlipidémie) et ces patients devraient bénéficier d'un traitement plus agressif à un objectif de pression artérielle plus faible.
Certains médicaments antihypertenseurs ont des effets de pression artérielle plus faibles (comme monothérapie) chez les patients noirs et de nombreux médicaments antihypertenseurs ont des indications et des effets approuvés supplémentaires (par exemple sur l'insuffisance cardiaque de l'angine ou la maladie rénale diabétique). Ces considérations peuvent guider la sélection de la thérapie.
Katerzia peut être utilisé seul ou en combinaison avec d'autres agents antihypertenseurs.
Maladie coronarienne (CAD)
Poitrine stable chronique
Katerzia est indiquée pour le traitement symptomatique de l'angine de poitrine stable chronique. Katerzia peut être utilisée seule ou en combinaison avec d'autres agents antianginaux.
Poitrine vasospastique (angine de poitrine de Prinzmetal ou variante)
Katerzia est indiquée pour le traitement de l'angine de poitrine vasospastique confirmée ou suspectée. Katerzia peut être utilisé comme monothérapie ou en combinaison avec d'autres agents antianginaux.
CAD documenté angiographiquement
Chez les patients atteints de CAD récemment documentée par angiographie et sans insuffisance cardiaque ou une fraction d'éjection <40% Katerzia is indicated to reduce the risk of hospitalization fou ungina et to reduce the risk of a coronary revascularization procedure.
Dosage for Katerzia
Adultes
La dose buccale antihypertense initiale habituelle de Katerzia est de 5 mg par voie orale une fois par jour et la dose maximale est de 10 mg une fois par jour.
De petits patients fragiles ou âgés ou patients atteints d'insuffisance hépatique peuvent être démarrés sur 2,5 mg une fois par jour et cette dose peut être utilisée lors de l'ajout de Katerzia à une autre thérapie antihypertense [voir Utiliser dans des populations spécifiques ].
Ajustez le dosage en fonction des objectifs de la pression artérielle. En général, attendez 7 à 14 jours entre les étapes de titrage. Titrate plus rapidement, si cliniquement justifié, à condition que le patient soit évalué fréquemment.
Angine
La dose recommandée pour l'angine de poitrine stable ou vasospastique chronique est de 5 à 10 mg une fois par jour avec la dose plus faible suggérée chez les personnes âgées et chez les patients atteints d'insuffisance hépatique. La plupart des patients auront besoin de 10 mg une fois par jour pour un effet adéquat.
Maladie de l'artère coronaire
La plage de dose recommandée pour les patients atteints d'une maladie coronarienne est de 5 à 10 mg une fois par jour. Dans les études cliniques, la majorité des patients avaient besoin de 10 mg une fois par jour [voir Études cliniques ].
Enfants
La dose orale antihypertense efficace chez les patients pédiatriques âgés de 6 à 17 ans est de 2,5 à 5 mg une fois par jour. Les doses supérieures à 5 mg par jour n'ont pas été étudiées chez les patients pédiatriques [voir Pharmacologie clinique et Études cliniques ].
Comment fourni
Dosage Forms And Strengths
La suspension orale de Katerzia contient 1 mg / ml d'amlodipine (équivalent à 1,30 mg de benzoate d'amlodipine) dans une suspension liquide blanc à blanc aqueuse à blanc cassé.
Stockage et manipulation
Katerzia (l'amlodipine) est une suspension aqueuse blanche à blanc cassé qui contient 1 mg d'amlodipine par millilitre (équivalent à 1,30 mg de benzoate d'amlodipine). Il est fourni à 150 ml dans une bouteille de polyéthylène haute densité de 185 ml (HDPE) avec un capuchon résistant aux enfants et un sceau de stimulation. Secouer avant d'utiliser .
Allegra d 24 heures 15 COMPT
NDC 52652-5001-1
Stockage
Katerzia (amlodipine) oral suspension 1 mg/mL should be stored refrigerated (2°C to 8°C/36°F to 46°F). Avoid freezing et excessive heat. Protect from light.
Fabriqué pour: Azurity Pharmaceuticals Inc. Wilmington MA 01887 USA. Révisé: novembre 2021.
Effets secondaires for Katerzia
Expérience des essais cliniques
Étant donné que les essais cliniques sont menés dans des conditions de réaction indésirables très variables observées dans les essais cliniques d'un médicament ne peuvent pas être directement comparées aux taux dans les essais cliniques d'un autre médicament et ne peuvent pas refléter les taux observés dans la pratique.
L'amlodipine a été évaluée pour la sécurité chez plus de 11 000 patients aux États-Unis et aux essais cliniques étrangers. En général, le traitement avec l'amlodipine était bien toléré à des doses allant jusqu'à 10 mg par jour. La plupart des effets indésirables signalés pendant le traitement avec l'amlodipine étaient de gravité légère ou modérée. Dans les essais cliniques contrôlés, comparant directement l'amlodipine (n = 1730) à des doses allant jusqu'à 10 mg au placebo (n = 1250) l'arrêt de l'amlodipine en raison des effets indésirables était nécessaire chez environ 1,5% des patients et n'était pas différent du placebo (environ 1%). Les réactions indésirables les plus fréquemment rapportées plus fréquentes que le placebo se reflètent dans le tableau ci-dessous. L'incidence (%) des effets indésirables qui s'est produite de manière liée à la dose est la suivante:
Tableau 1: Événements indésirables liés à la dose les plus courants par rapport au placebo
| Amlodipine | Placebo | |||
| 2,5 mg N = 275 | 5 mg N = 296 | 10 mg N = 268 | N = 520 | |
| Œdème | 1.8 | 3.0 | 10.8 | 0.6 |
| Vertiges | 1.1 | 3.4 | 3.4 | 1.5 |
| Bouffée | 0.7 | 1.4 | 2.6 | 0.0 |
| Palpitation | 0.7 | 1.4 | 4.5 | 0.6 |
D'autres effets indésirables qui n'étaient pas clairement liés à la dose mais qui ont été signalés avec une incidence supérieure à 1,0% dans les essais cliniques contrôlés par placebo comprenaient les suivants:
Tableau 2: Autres événements indésirables avec une incidence signalée supérieure à 1%
| Amlodipine (%) (N = 1730) | Placebo (%) (N = 1250) | |
| Fatigue | 4.5 | 2.8 |
| Nausée | 2.9 | 1.9 |
| Douleurs abdominales | 1.6 | 0.3 |
| Somnolence | 1.4 | 0.6 |
Pour plusieurs expériences défavorables qui semblent être liées au médicament et à la dose, il y a eu une plus grande incidence chez les femmes que les hommes associés au traitement à l'amlodipine comme indiqué dans le tableau suivant:
Tableau 3: Comparaison des événements indésirables liés au médicament et à la dose rapportés par les hommes et les femmes
| Amlodipine | Placebo | |||
| Mâle =% (N = 1218) | Femme =% (N = 512) | Mâle =% (N = 914) | Femme =% (N = 336) | |
| Œdème | 5.6 | 14.6 | 1.4 | 5.1 |
| Bouffée | 1.5 | 4.5 | 0.3 | 0.9 |
| Palpitations | 1.4 | 3.3 | 0.9 | 0.9 |
Expérience de commercialisation de la poste
Étant donné que ces réactions sont rapportées volontairement d'une population de taille incertaine, il n'est pas toujours possible d'estimer de manière fiable leur fréquence ou d'établir une relation causale à l'exposition au médicament.
Général: Gynecomastia.
Hépatique: ictère et enzyme hépatique élévations certaines nécessitant une hospitalisation
Neurologique: trouble extrapyramidal
Interactions médicamenteuses for Katerzia
Impact des autres médicaments sur l'amlodipine
Inhibiteurs du CYP3A
La co-administration avec des inhibiteurs du CYP3A (modérée et forte) entraîne une exposition systémique accrue à l'amlodipine et peut nécessiter une réduction de la dose. Surveiller les symptômes d'hypotension et d'œdème lorsque l'amlodipine est co-administrée avec des inhibiteurs du CYP3A pour déterminer la nécessité d'ajuster la dose [voir Pharmacologie clinique ].
Inducteurs du CYP3A
Aucune information n'est disponible sur les effets quantitatifs des inducteurs CYP3A sur l'amlodipine. La pression artérielle doit être étroitement surveillée lorsque l'amlodipine est co-administrée avec des inducteurs CYP3A.
Impact de l'amlodipine sur d'autres médicaments
Simvastatine
La co-administration de simvastatine avec l'amlodipine augmente l'exposition systémique de la simvastatine. Limitez la dose de simvastatine chez les patients sous amlodipine à 20 mg par jour [voir Pharmacologie clinique ].
Immunosuppresseurs
Amlodipine may increase the systemic exposure of cyclosporine or tacrolimus when co-administered. Frequent monitoring of trough blood levels of cyclosporine et tacrolimus is recommended et adjust the dose when appropriate [see Pharmacologie clinique ].
Avertissements pour Katerzia
Inclus dans le cadre du 'PRÉCAUTIONS' Section
Précautions pour Katerzia
Hypotension
L'hypotension symptomatique est possible en particulier chez les patients présentant une sténose aortique sévère. En raison de l'apparition progressive de l'action, une hypotension aiguë est peu probable.
Augmentation de l'angine de poitrine ou de l'infarctus du myocarde
L'aggravation de l'angine de poitrine et du myocarde aigu peut se développer après avoir commencé ou augmenté la dose de Katerzia, en particulier chez les patients atteints d'une maladie coronarienne obstructive sévère.
Patients atteints de défaillance hépatique
Parce que la katerzia est largement métabolisée par le foie et que la demi-vie (T) de l'élimination du plasma est de 56 heures chez les patients atteints de fonction hépatique altérée titres lentement lors de l'administration de Katerzia à des patients souffrant de troubles hépatiques graves.
Toxicologie non clinique
Carcinogenèse Mutagenèse A trouble de la fertilité
Les rats et les souris traités avec du maléate d'amlodipine dans l'alimentation jusqu'à deux ans à des concentrations calculées pour fournir des niveaux de dosage quotidiens de 0,5 1,25 et 2,5 amlodipine mg / kg / jour n'ont montré aucune preuve d'un effet cancérigène du médicament. Pour la souris, la dose la plus élevée était sur un mg / m 2 base similaire à la dose humaine maximale recommandée de 10 mg amlodipine / jour. 1 Pour le rat, la dose la plus élevée était sur un mg / m 2 base environ le double de la dose humaine maximale recommandée. 1
Les études de mutagénicité menées avec le maléate d'amlodipine n'ont révélé aucun effet lié au médicament au niveau du gène ou du chromosome.
Il n'y a eu aucun effet sur la fertilité des rats traités par voie orale avec du maléate d'amlodipine (mâles pendant 64 jours et femmes pendant 14 jours avant l'accouplement) à des doses allant jusqu'à 10 mg d'amlodipine / kg / jour (8 fois la dose humaine maximale recommandée recommandée 1 de 10 mg / jour sur un mg / m 2 base).
1 En fonction du poids du patient de 50 kg.
Utiliser dans des populations spécifiques
Grossesse
Résumé des risques
Les données disponibles limitées basées sur les rapports post-commercialisation avec l'utilisation de l'amlodipine chez les femmes enceintes ne sont pas suffisantes pour éclairer un risque associé à des malformations congénitales et une fausse couche. Il y a des risques pour la mère et le fœtus associés à une hypertension mal contrôlée pendant la grossesse (voir Considérations cliniques ). Dans les études de reproduction animale, il n'y avait aucune preuve d'effets de développement défavorables lorsque des rats enceintes et des lapins ont été traités par voie orale avec un maléate d'amlodipine pendant l'organogenèse à des doses d'environ 10 et 20 fois la dose humaine maximale recommandée (MRHD) respectivement. Cependant, pour les rats, la taille de la litière a été significativement diminuée (d'environ 50%) et le nombre de décès intra-utérins a été significativement augmenté (environ 5 fois). Il a été démontré que l'amlodipine prolonge à la fois la période de gestation et la durée du travail chez le rat à cette dose [voir Données ].
Le risque de fond estimé de malformations congénitales majeures et de fausse couche pour la population indiquée est inconnue. Toutes les grossesses présentent un risque de fond de perte de maltraitance natale ou d'autres résultats indésirables. Dans la population générale américaine, le risque de fond estimé de malformations congénitales majeures et de fausse couche dans les grossesses cliniquement reconnues est respectivement de 2% à 4% et 15% à 20%.
Considérations cliniques
Risque maternel et / ou embryonnaire associé à la maladie
Hypertension in pregnancy increases the maternal risk for pre-eclampsia gestational diabetes premature delivery et delivery complications (e.g. need for cesarean section et post-partum hemorrhage). Hypertension increases the fetal risk for intrauterine growth restriction et intrauterine death. Pregnant women with hypertension should be carefully monitored et managed accordingly.
Données
Données sur les animaux
Aucune preuve de tératogénicité ou d'une autre toxicité embryonnaire / fœtale n'a été trouvée lorsque des rats enceintes et des lapins ont été traités par voie orale avec un maléate d'amlodipine à des doses allant jusqu'à 10 mg d'amlodipine / kg / jour (environ 10 et 20 fois le MRHD à base respectivement de la surface corporelle) au cours de leurs périodes respectives d'organisation majeure. Cependant, pour la taille de la litière de rats a été significativement diminué (d'environ 50%) et le nombre de décès intra-utérins a été significativement augmenté (environ 5 fois) chez le rat recevant un maléate d'amlodipine à une dose équivalente à 10 mg d'amlodipine / kg / jour pendant 14 jours avant l'accouplement et tout au long de l'accouplement et de la gestation. Il a été démontré que le maléate d'amlodipine prolonge à la fois la période de gestation et la durée du travail chez le rat à cette dose.
Lactation
Résumé des risques
Les données limitées disponibles à partir d'une étude de lactation clinique publiée rapporte que l'amlodipine est présente dans le lait maternel à une dose médiane relative médiane de 4,2%. Aucun effet indésirable de l'amlodipine sur le nourrisson allaité n'a été observé. Il n'y a pas d'informations disponibles sur les effets de l'amlodipine sur la production de lait.
Usage pédiatrique
Amlodipine (2.5 to 5 mg daily) is effective in lowering blood pressure in patients 6 to 17 years [see Études cliniques ]. Effect of amlodipine on blood pressure in patients less than 6 years of age is not known.
Utilisation gériatrique
Les études cliniques de l'amlodipine n'ont pas inclus un nombre suffisant de sujets âgés de 65 ans et plus pour déterminer s'ils réagissent différemment des sujets plus jeunes. D'autres expériences cliniques signalées n'ont pas identifié de différences dans les réponses entre les patients âgés et les patients plus jeunes. En général, la sélection de la dose pour un patient âgé doit être prudente qui commence généralement à l'extrémité inférieure de la plage de dosage reflétant la plus grande fréquence de diminution de la fonction rénale ou cardiaque hépatique et de maladie concomitante ou autre médicament. Les patients âgés ont diminué la clairance de l'amlodipine avec une augmentation qui en résulte de l'ASC d'environ 40 à 60% et une dose initiale inférieure peut être nécessaire [voir Posologie et administration ].
Trouble hépatique
Une dose initiale plus faible peut être nécessaire pour les patients souffrant d'insuffisance hépatique [voir Posologie et administration et Pharmacologie clinique ].
Informations sur la surdose pour Katerzia
On pourrait s'attendre à ce que le surdosage provoque une vasodilatation périphérique excessive avec une hypotension marquée et peut-être une tachycardie réflexe. Dans l'homme, l'expérience avec le surdosage intentionnel de l'amlodipine est limitée.
Les doses orales uniques de maléate d'amlodipine équivalent à 40 mg amlodipine / kg et 100 mg amlodipine / kg chez la souris et les rats ont respectivement causé des décès. Doses de maléate d'amlodipine orale uniques équivalentes à 4 ou plus mg amlodipine / kg ou plus chez les chiens (11 fois ou plus la dose humaine maximale recommandée sur un mg / m 2 base) a provoqué une vasodilatation périphérique marquée et une hypotension.
Si une surdose massive doit se produire, déclenchez une surveillance cardiaque et respiratoire active. Des mesures fréquentes de la pression artérielle sont essentielles. Si une hypotension se produit fournit un soutien cardiovasculaire, y compris l'élévation des extrémités et l'administration judicieuse de liquides. Si l'hypotension reste insensible à ces mesures conservatrices, considérez l'administration de vasopresseurs (comme la phényléphrine) avec une attention au volume circulant et au débit urinaire. Comme l'amlodipine est une hémodialyse fortement liée aux protéines n'est probablement pas avantageuse.
Contre-indications pour Katerzia
Katerzia is contraindicated in patients with known sensitivity to amlodipine.
Pharmacologie clinique for Katerzia
Mécanisme d'action
Amlodipine is a dihydropyridine calcium antagonist (calcium ion antagonist or slow-channel blocker) that inhibits the transmembrane influx of calcium ions into vascular smooth muscle et cardiac muscle. Experimental data suggest that amlodipine binds to both dihydropyridine et nondihydropyridine binding sites. The contractile processes of cardiac muscle et vascular smooth muscle are dependent upon the movement of extracellular calcium ions into these cells through specific ion channels. Amlodipine inhibits calcium ion influx across cell membranes selectively with a greater effect on vascular smooth muscle cells than on cardiac muscle cells. Negative inotropic effects can be detected in vitro Mais de tels effets n'ont pas été observés chez les animaux intacts à des doses thérapeutiques. La concentration en calcium sérique n'est pas affectée par l'amlodipine. Dans la gamme physiologique de pH, l'amlodipine est un composé ionisé (PKA = 8,6) et son interaction cinétique avec le récepteur du canal calcique est caractérisée par un taux d'association progressif et une dissociation avec le site de liaison du récepteur, ce qui entraîne un début progressif d'effet.
Amlodipine is a peripheral arterial vasodilator that acts directly on vascular smooth muscle to cause a reduction in peripheral vascular resistance et reduction in blood pressure.
Les mécanismes précis par lesquels l'amlodipine soulage l'angine de poitrine n'a pas été entièrement délimité mais on pense que ce qui suit:
Angine d'effort
Chez les patients atteints d'angine d'angine d'angine d'effort, l'amlodipine réduit la résistance périphérique totale (après-charge) par rapport auquel le cœur fonctionne et réduit le produit de pression de vitesse et donc la demande d'oxygène myocardique à un niveau d'exercice donné.
Poitrine vasospastique
Amlodipine has been demonstrated to block constriction et restore blood flow in coronary arteries et arterioles in response to calcium potassium epinephrine serotonin et thromboxane A2 analog in experimental animal models et in human coronary vessels in vitro . Cette inhibition du spasme coronaire est responsable de l'efficacité de l'amlodipine dans l'angine de poitrine vasospastique (Prinzmetal ou vsariant).
Pharmacodynamique
Hémodynamique
Après l'administration de doses thérapeutiques pour les patients atteints d'amlodipine hypertension, produit une vasodilatation entraînant une réduction des pressions sanguines couchées et debout. Ces diminutions de la pression artérielle ne s'accompagnent pas d'un changement significatif de la fréquence cardiaque ou des taux plasmatiques de catécholamine avec un dosage chronique. Bien que l'administration intraveineuse aiguë d'amlodipine diminue la pression artérielle et augmente la fréquence cardiaque dans les études hémodynamiques de patients atteints d'angine stable chronique d'administration orale chronique d'amlodipine dans les essais cliniques n'a pas entraîné de changements cliniquement significatifs de la fréquence cardiaque ou des pressions sanguines chez les patients normotendaux atteints d'angine de poitrine.
Avec une administration orale chronique une fois par jour, l'efficacité antihypertense est maintenue pendant au moins 24 heures. Les concentrations plasmatiques sont en corrélation avec l'effet chez les patients jeunes et âgés. L'ampleur de la réduction de la pression artérielle avec l'amlodipine est également corrélée à la hauteur de l'élévation du prétraitement; Ainsi, les personnes souffrant d'hypertension modérée (pression diastolique 105-114 mmHg) avaient une réponse environ 50% plus élevée que les patients souffrant d'hypertension légère (pression diastolique 90–104 mmHg). Les sujets normotendaux n'ont connu aucun changement cliniquement significatif des pressions sanguines (1 / –2 mmHg).
Chez les patients hypertendus avec une fonction rénale normale, des doses thérapeutiques d'amlodipine ont entraîné une diminution de la résistance vasculaire rénale et une augmentation du taux de filtration glomérulaire et du flux plasmatique rénal efficace sans changement dans la fraction de filtration ou la protéinurie.
Comme pour les autres bloqueurs de canaux calciques, les mesures hémodynamiques de la fonction cardiaque au repos et pendant l'exercice (ou la stimulation) chez les patients présentant une fonction ventriculaire normale traitée avec l'amlodipine ont généralement démontré une faible augmentation de l'indice cardiaque sans influence significative sur la DP / DT ou à l'extrémité ventriculaire gauche ou le volume diastolique. Dans les études hémodynamiques, l'amlodipine n'a pas été associée à un effet inotrope négatif lorsqu'il est administré dans la plage de dose thérapeutique aux animaux et à l'homme intacts même lorsqu'il est co-administré avec des bêta-bloquants à l'homme. Cependant, des résultats similaires ont été observés chez des patients normaux ou bien compensés souffrant d'insuffisance cardiaque avec des agents possédant des effets inotropes négatifs significatifs.
Effets électrophysiologiques: l'amlodipine ne change pas la fonction nodale sino-issue ou la conduction atrioventriculaire chez les animaux ou l'homme intacts. Chez les patients atteints d'angine de poitrine stable chronique, l'administration intraveineuse de 10 mg n'a pas modifié de manière significative la conduction A-H et H-V et le temps de récupération des ganglions sinusaux après la stimulation. Des résultats similaires ont été obtenus chez les patients recevant de l'amlodipine et des bêta-bloquants concomitants. Dans les études cliniques dans lesquelles l'amlodipine a été administrée en combinaison avec des bêta-bloquants aux patients atteints d'hypertension ou d'angine, aucun effet indésirable sur les paramètres électrocardiographiques n'a été observé. Dans les essais cliniques avec des patients atteints d'angine de poitrine seuls, le traitement à l'amlodipine n'a pas modifié les intervalles électrocardiographiques ni produit des degrés plus élevés de blocs AV.
Pharmacocinétique
L'exposition (CMAX et AUC) de la suspension orale de Katerzia est similaire à celle de Norvasc ® comprimé.
Absorption
Après l'administration orale de doses thérapeutiques d'absorption de l'amlodipine, produit des concentrations plasmatiques maximales entre 6 et 12 heures. La biodisponibilité absolue a été estimée entre 64 et 90%.
Effet de la nourriture
Comparé à l'administration à jeûne Administration Standard Le petit-déjeuner à haute teneur en matières grasses n'a pas eu d'effet significatif sur l'absorption de Katerzia.
Distribution
Ex vivant Des études ont montré qu'environ 93% du médicament en circulation est lié aux protéines plasmatiques chez les patients hypertendus.
Métabolisme
Amlodipine is extensively (about 90%) converted to inactive metabolites via hepatic metabolism with 10% of the parent compound et 60% of the metabolites excreted in the urine.
Excrétion
L'élimination du plasma est biphasique avec une demi-vie d'élimination terminale d'environ 30 à 50 heures. Les taux plasmatiques à l'état d'équilibre de l'amlodipine sont atteints après 7 à 8 jours de dosage quotidien consécutif.
Populations spécifiques
Patients pédiatriques
Soixante-deux patients hypertendus âgés de 6 à 17 ans ont reçu des doses d'amlodipine entre 1,25 mg et 20 mg. La clairance et le volume de distribution ajustées en poids étaient similaires aux valeurs chez les adultes.
Trouble rénal
La pharmacocinétique de l'amlodipine n'est pas significativement influencée par les troubles rénaux. Les patients atteints d'insuffisance rénale peuvent donc recevoir la dose initiale habituelle.
Trouble hépatique
Les patients âgés et les patients atteints d'insuffisance hépatique ont diminué la clairance de l'amlodipine avec une augmentation qui en résulte de l'ASC d'environ 40 à 60% et une dose initiale plus faible peut être nécessaire. Une augmentation similaire de l'ASC a été observée chez les patients souffrant d'insuffisance cardiaque modérée à sévère.
Interactions médicamenteuses
In vitro Les données indiquent que l'amlodipine n'a aucun effet sur la liaison des protéines plasmatiques humaines de la digoxine phénytoïne warfarine et de l'indométhacine.
Impact des autres médicaments sur l'amlodipine
Cimétidine co-administrée à la cimétidine magnésium et hydroxyde d'aluminium antiacides du sildénafil et du jus de pamplemousse n'ont aucun impact sur l'autorisation de l'amlodipine.
Inhibiteurs du CYP3A
La co-administration d'une dose quotidienne de 180 mg de diltiazem avec 5 mg d'amlodipine chez les patients hypertendus âgés a entraîné une augmentation de 60% de l'exposition systémique de l'amlodipine. La co-administration de l'érythromycine chez des volontaires sains n'a pas modifié de manière significative l'exposition systémique de l'amlodipine. Cependant, de forts inhibiteurs du CYP3A (par exemple l'itraconazole clarithromycine) peuvent augmenter les concentrations plasmatiques d'amlodipine dans une plus grande mesure [voir Interactions médicamenteuses ].
Impact de l'amlodipine sur d'autres médicaments
Amlodipine is a weak inhibitor of CYP3A et may increase exposure to CYP3A substrates.
L'amlodipine co-administrée n'affecte pas l'exposition à l'éthanol de digoxine à l'atorvastatine et au temps de réponse de la prothrombine de warfarine.
Simvastatine
La co-administration de doses multiples de 10 mg d'amlodipine avec 80 mg de simvastatine a entraîné une augmentation de 77% de l'exposition à la simvastatine par rapport à la simvastatine seule [voir Interactions médicamenteuses ].
Cyclosporine
Une étude prospective chez les patients transplantés rénaux (n = 11) a montré une augmentation en moyenne de 40% des niveaux de cyclosporine au moins lorsqu'ils sont traités par concomit avec l'amlodipine [voir Interactions médicamenteuses ].
Tacrolimus
Une étude prospective chez des volontaires chinois en bonne santé (n = 9) avec des expresseurs du CYP3A5 a montré une augmentation de 2,5 à 4 fois de l'exposition au tacrolimus lorsqu'il était concomitante avec l'amlodipine par rapport au tacrolimus seul. Cette constatation n'a pas été observée chez les non-expresseurs CYP3A5 (n = 6). Cependant, une augmentation de 3 fois de l'exposition au plasma au tacrolimus chez un patient de transplantation rénale (non-expresseur CYP3A5) lors de l'initiation de l'amlodipine pour le traitement de l'hypertension post-transplantation, entraînant une réduction de la dose de tacrolimus a été signalée. Quel que soit le statut du génotype CYP3A5, la possibilité d'une interaction ne peut pas être exclue avec ces médicaments [voir Interactions médicamenteuses ].
Études cliniques
Effets dans l'hypertension
Patients adultes
L'efficacité antihypertense de l'amlodipine a été démontrée dans un total de 15 études randomisées contrôlées par placebo en double aveugle impliquant 800 patients sous amlodipine et 538 sur le placebo. Une fois que l'administration quotidienne a produit des réductions statistiquement significatives corrigées par placebo des pressions sanguines en décubitus dorsales et debout à 24 heures après l'addition, une moyenne d'environ 12/6 mmHg en position debout et 13/7 mmHg en position couchée chez les patients souffrant d'hypertension légère à modérée. Le maintien de l'effet de la pression artérielle sur l'intervalle d'administration de 24 heures a été observé avec peu de différence de pic et d'effet auge. La tolérance n'a pas été démontrée chez les patients étudiés jusqu'à 1 an. Les 3 études de réponse à la dose de dose fixe parallèle ont montré que la réduction des pressions sanguines en décubitre et debout était liée à la dose dans la plage de dosage recommandée. Les effets sur la pression diastolique étaient similaires chez les patients jeunes et plus âgés. L'effet sur la pression systolique était plus élevé chez les patients âgés, peut-être en raison d'une plus grande pression systolique de base. Les effets étaient similaires chez les patients noirs et chez les patients blancs.
Patients pédiatriques
Deux cent soixante-huit patients hypertendus âgés de 6 à 17 ans ont été randomisés en premier à l'amlodipine 2,5 ou 5 mg une fois par jour pendant 4 semaines, puis randomisés à nouveau à la même dose ou au placebo pendant 4 semaines supplémentaires. Les patients recevant 2,5 mg ou 5 mg à la fin de 8 semaines avaient une pression artérielle systolique significativement plus faible que celles secondairement randomisées vers le placebo. L'ampleur de l'effet de traitement est difficile à interpréter, mais elle est probablement inférieure à 5 mmHg systolique sur la dose de 5 mg et 3,3 mmHg systolique sur la dose de 2,5 mg. Les événements indésirables étaient similaires à ceux observés chez les adultes.
Effets sur l'angine d'angine stable chronique
L'efficacité de 5 à 10 mg / jour d'amlodipine dans l'angine d'angine induite par l'exercice a été évaluée dans 8 essais cliniques en double aveugle contrôlés par placebo d'une durée jusqu'à 6 semaines impliquant 1038 patients (684 amlodipine 354 placebo) avec une angine stable chronique. Dans 5 des 8 études, des augmentations significatives du temps d'exercice (vélo ou tapis roulant) ont été observées avec la dose de 10 mg. L'augmentation du temps d'exercice limité des symptômes était en moyenne de 12,8% (63 secondes) pour l'amlodipine 10 mg et en moyenne de 7,9% (38 secondes) pour l'amlodipine 5 mg. L'amlodipine 10 mg a également augmenté le temps à 1 mM de déviation du segment ST dans plusieurs études et diminué le taux d'attaque d'angine. L'efficacité soutenue de l'amlodipine chez les patients atteints d'angine de poitrine a été démontrée sur le dosage à long terme. Chez les patients atteints d'angine de poitrine, il n'y a pas eu de réduction cliniquement significative des pressions sanguines (4/1 mmHg) ou des changements de fréquence cardiaque (NULL,3 bpm).
Effets sur l'angine de l'angine vasospastique
Dans un essai clinique contrôlé par placebo en double aveugle d'une durée de 4 semaines chez 50 patients thérapie par l'amlodipine a diminué les attaques d'environ 4 / semaine par rapport à une diminution du placebo d'environ 1 / semaine (P <0.01). Two of 23 amlodipine et 7 of 27 placebo patients discontinued from the study due to lack of clinical improvement.
Effets dans la maladie coronarienne documentée
Dans la prévention, 825 patients atteints d'une maladie coronarienne documentée angiographiquement ont été randomisés en amlodipine (5 à 10 mg une fois par jour) ou un placebo et suivis pendant 3 ans. Bien que l'étude n'ait pas montré de signification sur l'objectif principal du changement du diamètre luminal coronaire, comme évalué par angiographie coronaire quantitative, les données ont suggéré un résultat favorable en ce qui concerne moins d'hospitalisations pour les procédures d'angine et de revascularisation chez les patients atteints de CAD.
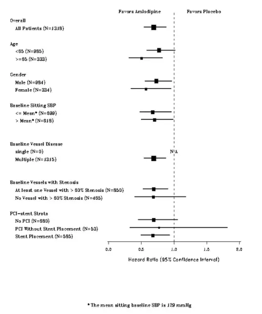
Camelot a inscrit 1318 patients atteints de CAD récemment documentés par angiographie sans maladie coronarienne principale gauche et sans insuffisance cardiaque ou une fraction d'éjection <40%. Patients (76% males 89% Caucasian 93% enrolled at US sites 89% with a history of angine 52% without PCI 4% with PCI et no stent et 44% with a stent) were retomized to double-blind treatment with either amlodipine (5–10 mg once daily) or placebo in addition to stetard care that included aspirin (89%) statins (83%) beta-blockers (74%) nitroglycerin (50%) anti-coagulants (40%) et diuretics (32%) but excluded other bloqueur de canaux calciquess. The mean duration of follow-up was 19 months. The primary endpoint was the time to first occurrence of one of the following events: hospitalization fou ungina pectoris coronary revascularization myocardial infarction cardiovascular death resuscitated cardiac arrest hospitalization for insuffisance cardiaque stroke/TIA or peripheral vascular disease. A total of 110 (16.6%) et 151 (23.1%) first events occurred in the amlodipine et placebo groups respectively for a hazard ratio of 0.691 (95% CI: 0.540–0.884 p = 0.003). The primary endpoint is summarized in Figure 1 below. The outcome of this study was largely derived from the prevention of hospitalizations fou ungina et the prevention of revascularization procedures (see). Effects in various subgroups are shown in Figure 2.
Dans une sous-étude angiographique (n = 274) menée dans Camelot, il n'y avait pas de différence significative entre l'amlodipine et le placebo sur le changement du volume de l'athérome dans l'artère coronaire évaluée par échographie intravasculaire.
Figure 1 - Analyse Kaplan-Meier des résultats cliniques composites pour l'amlodipine contre le placebo
|
Figure 2 - Effets sur le critère d'évaluation primaire de l'amlodipine versus placebo entre les sous-groupes
|
Ci-dessous, résume le critère composite significatif et les résultats cliniques des composites du critère d'évaluation primaire. Les autres composants du critère d'évaluation primaire, y compris la mort cardiovasculaire, ont réannué l'hospitalisation de l'infarctus du myocarde pour arrêt du myocarde pour insuffisance cardiaque L'AVC / TIA ou la maladie vasculaire périphérique n'a pas démontré de différence significative entre l'amlodipine et le placebo.
Tableau 4: Incidence des résultats cliniques importants
| Résultats cliniques N (%) | Amlodipine (N = 663) | Placebo (N = 655) | Réduction des risques (valeur p) |
| Point de terminaison CV composite | 110 (16.6) | 151 (23.1) | 31% (NULL,003) |
| Hospitalisation pour l'angine de poitrine * | 51 (7.7) | 84 (12.8) | 42% (NULL,002) |
| Revascularisation coronaire * | 78 (11.8) | 103 (15.7) | 27% (NULL,033) |
| * Total des patients avec ces événements |
Études chez les patients souffrant d'insuffisance cardiaque
Amlodipine has been compared to placebo in four 8–12 week studies of patients with NYHA Class II/III insuffisance cardiaque involving a total of 697 patients. In these studies there was no evidence of worsened insuffisance cardiaque based on measures of exercise tolerance NYHA classification symptoms or left ventricular fraction d'éjection. In a long-term (follow-up at least 6 months mean 13.8 months) placebo-controlled mortality/morbidity study of amlodipine 5–10 mg in 1153 patients with NYHA Classes III (n=931) or IV (n=222) insuffisance cardiaque on stable doses of diuretics digoxin et ACE inhibitors amlodipine had no effect on the primary endpoint of the study which was the combined endpoint of all-cause mortality et cardiac morbidity (as defined by life-threatening arrhythmia acute myocardial infarction or hospitalization for worsened insuffisance cardiaque) or on NYHA classification or symptoms of insuffisance cardiaque. Total combined all-cause mortality et cardiac morbidity events were 222/571 (39%) for patients on amlodipine et 246/583 (42%) for patients on placebo; the cardiac morbid events represented about 25% of the endpoints in the study.
Dans une autre étude (louange-2), des patients randomisés atteints d'insuffisance cardiaque NYHA classe III (80%) ou IV (20%) sans symptômes cliniques ou preuves objectives de la maladie ischémique sous-jacente sur des doses stables d'inhibiteurs de l'ECA (99%) de la digitalise (99%) et de diurétiques (99%) à un placebo (n = 827) ou à l'amlodipine (n = 827) et à la moyenne. Il n'y avait pas de différence statistiquement significative entre l'amlodipine et le placebo dans le critère d'évaluation primaire de la mortalité toutes causes de causes (limites de confiance à 95% de 8% à une augmentation de 29% sur l'amlodipine). Avec l'amlodipine, il y avait plus de rapports d'œdème pulmonaire.
Informations sur les patients pour Katerzia
Aucune information fournie. Veuillez vous référer au Avertissements et PRÉCAUTIONS sections.