Les Informations Présentées Sur Ce Site Ne Constituent Pas Un Avis Médical. Nous Ne Vendons Rien. L'Exactitude De La Traduction N'Est Pas Garantie. Clause De Non-Responsabilité
Antibiotiques, otique
Citraal
Résumé
Qu'est-ce que CETRAXAL?
Solution otique de Cétraxal (ciprofloxacine) 0,2% antibiotique Utilisé pour traiter les infections de l'oreille qui affectent le conduit auditif extérieur. Ce type d'infection à l'oreille est parfois appelé «l'oreille du nageur».
Quels sont les effets secondaires de cetraxal?
Citraal
- urticaire
- difficulté à respirer
- gonflement de ton visage lèvres langue ou gorge
- éruption cutanée (peu importe la douceur) et
- Nouveau drainage de l'oreille avec des démangeaisons graves
Obtenez de l'aide médicale immédiatement si vous présentez l'un des symptômes énumérés ci-dessus.
Les effets secondaires courants de la solution otique Cetraxal comprennent des maux de tête ou une irritation de la douleur ou des démangeaisons dans l'oreille. Cherchez un médecin si vous avez des effets secondaires d'une réaction allergique sévère à la solution otique Cetraxal, notamment:
- urticaire
- difficulté à respirer or
- gonflement de ton visage lèvres langue ou gorge
Cherchez des soins médicaux ou appelez le 911 à la fois si vous avez les effets secondaires graves suivants:
- Des symptômes oculaires graves tels que la perte de vision soudaine floue du tunnel de vision de la vision de la vision des yeux ou de l'enflure ou de voir des halos autour des lumières;
- Symptômes cardiaques graves tels que les battements cardiaques rapides ou battants; flotter dans votre poitrine; essoufflement; Et des étourdissements soudains étourdissement ou s'évanouir;
- Maux de tête sévères Confusion Slurred Speech Bras ou Ligne Proulitude Trouble de la merde Perte de coordination Sentiment des muscles très rigides très rigides Fièvre élevée Propice ou des tremblements.
Ce document ne contient pas tous les effets secondaires possibles et d'autres peuvent survenir. Vérifiez auprès de votre médecin des informations supplémentaires sur les effets secondaires.
Dosage pour le cétraxal
La dose de Cetraxal consiste à inculquer le contenu d'un conteneur à usage unique (NULL,25 ml) dans l'oreille affectée deux fois par jour (à environ 12 heures d'intervalle) pendant 7 jours.
Quelles substances ou suppléments de médicaments interagissent avec cetraxal?
Le Cétraxal peut interagir avec d'autres médicaments. Dites à votre médecin tous les médicaments et suppléments que vous utilisez.
Cetraxal pendant la grossesse ou l'allaitement
Pendant la grossesse, le, le céétraxal ne doit être utilisé que s'il est prescrit. On ne sait pas si ce médicament passe dans le lait maternel. Consultez votre médecin avant l'allaitement.
Informations Complémentaires
Notre Solution otique Cétraxal (ciprofloxacine) 0,2% des effets secondaires Drug fournit une vue complète des informations sur les médicaments disponibles sur les effets secondaires potentiels lors de la prise de ce médicament.
Informations sur les médicaments de la FDA
- Description de la drogue
- Indications
- Effets secondaires
- Avertissements
- Surdosage
- Pharmacologie clinique
- Guide des médicaments
Description de Cetraxal
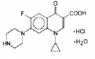
Cétraxal (solution de ciprofloxacine otique) 0,2% contient l'agent antimicrobien synthétique du chlorhydrate de ciprofloxacine. Cétraxal (solution de ciprofloxacine otique) est une solution sans conservateur stérile pour une utilisation otique. Chaque conteneur à usage unique de Cetraxal offre 0,25 ml de solution équivalente à 0,5 mg de ciprofloxacine. Les ingrédients inactifs sont la glycérine de la povidone et l'eau pour l'injection. L'hydroxyde de sodium et / ou l'acide lactique peuvent être ajoutés pour ajuster le pH.
La ciprofloxacine a fluluquinolone est disponible en tant que sel monohydraté monohydrochlorhydrate de 1-cyclopropyl-6-fluoro-14-dihydro-4-oxo-7- (1-piperazinyl) -3-quinolinécarboxylic. Sa formule moléculaire est C 17 H 18 FN 3 O 3 • HCl • H. 2 O et le poids moléculaire est de 385,82.
Comment appliquer la crème topique du fluorouracil
La structure chimique de la chlorhydrate de ciprofloxacine est:
|
Effets secondaires pour Cetraxal
Étant donné que les études cliniques sont menées dans des conditions très variables les taux de réaction indésirable observés dans les études cliniques d'un médicament ne peuvent pas être directement comparés aux taux dans les études cliniques d'un autre médicament et peuvent ne pas refléter les taux observés dans la pratique clinique.
Dans un essai clinique à commande active randomisée, environ 300 patients présentant des signes cliniques et des symptômes d'otite externa ont été traités avec du Cétraxal. Les effets indésirables les plus fréquemment signalés étaient la surinfection fongique de l'oreille sur le prurit de douleur du site d'application et les maux de tête ont chacun rapporté chez environ 2 à 3% des patients.
Interactions médicamenteuses pour cetraxal
Aucune information fournie
Avertissements pour CETRAXAL
Inclus dans le cadre du 'PRÉCAUTIONS' Section
Précautions pour CETRAXAL
Utilisation otique uniquement
Cetraxal est uniquement pour une utilisation otique. Il ne doit pas être utilisé pour l'injection pour l'inhalation ou pour une utilisation ophtalmique topique.
Hypersensibilité
Le cetraxal doit être interrompu à la première apparence d'une éruption cutanée ou tout autre signe d'hypersensibilité.
Croissance d'organismes résistants avec une utilisation prolongée
Comme pour les autres anti-infectieux, l'utilisation de cetraxal peut entraîner une prolifération d'organismes non sensibles, notamment la levure et les champignons. Si la super-infection survient d'arrêter l'utilisation et d'instituer une thérapie alternative.
Manque de réponse clinique
Si l'infection n'est pas améliorée après une semaine de cultures de thérapie peut aider à guider un traitement ultérieur.
Utiliser dans des populations spécifiques
Grossesse
Grossesse Category C
Des études de reproduction ont été réalisées chez le rat et les souris en utilisant des doses orales allant jusqu'à 100 mg / kg et des doses intraveineuses (IV) jusqu'à 30 mg / kg et n'ont révélé aucune preuve de dommage au fœtus à la suite de la ciprofloxacine. Chez les lapins, la ciprofloxacine (30 et 100 mg / kg par voie orale) a produit des perturbations gastro-intestinales entraînant une perte de poids maternelle et une incidence accrue de l'avortement, mais aucune tératogénicité n'a été observée à l'une ou l'autre dose. Après l'administration intraveineuse de doses jusqu'à 20 mg / kg, aucune toxicité maternelle n'a été produite chez le lapin et aucune embryotoxicité ou tératogénicité n'a été observée.
Des études de reproduction animale n'ont pas été menées avec cetraxal. Aucune étude adéquate et bien contrôlée n'a été réalisée chez les femmes enceintes. La prudence doit être exercée lorsque le cétraxal est utilisé par une femme enceinte.
Mères qui allaitent
La ciprofloxacine est excrétée dans le lait maternel avec une utilisation systémique. On ne sait pas si la ciprofloxacine est excrétée dans le lait maternel après une utilisation otique. En raison du potentiel de réactions indésirables graves chez les nourrissons en soins infirmiers, une décision doit être prise de cesser les soins infirmiers ou d'arrêter le médicament en tenant compte de l'importance du médicament pour la mère.
Usage pédiatrique
La sécurité et l'efficacité du cétraxal chez les nourrissons de moins d'un an n'ont pas été établies. L'efficacité du Cétraxal dans le traitement de l'otite externa chez les patients pédiatriques un an ou plus a été démontré dans des essais cliniques contrôlés (voir Études cliniques ).
Combien de milligrammes sont des barres xanax
Il n'y a aucune preuve que l'administration otique de quinolones a un effet sur les articulations de pondération, même si l'administration systémique de certaines quinolones s'est avérée provoquer une arthropathie chez les animaux immatures.
Utilisation gériatrique
Aucune différence globale de sécurité et d'efficacité n'a été observée entre les personnes âgées et les plus jeunes
Aucune information fournie
Contre-indications pour le cetraxal
Le Cétraxal est contre-indiqué chez les personnes ayant des antécédents d'hypersensibilité à la ciprofloxacine.
Pharmacologie clinique for Cetraxal
Mécanisme d'action
La ciprofloxacine est un antimicrobien de fluoroquinolone (voir Pharmacologie clinique Microbiologie ).
Pharmacocinétique
Les concentrations plasmatiques de ciprofloxacine n'ont pas été mesurées après l'administration de 0,25 ml de cétraxal (dose totale: 0,5 mg de ciprofloxacine). Cependant, la concentration plasmatique maximale de ciprofloxacine devrait être inférieure à 5 ng / ml.
Microbiologie
L'action bactéricide de la ciprofloxacine résulte de l'interférence avec l'ADN enzymatique gyrase qui est nécessaire pour la synthèse de l'ADN bactérien.
La résistance bactérienne aux quinolones peut se développer par des mécanismes médiés par chromosomie ou plasmidique.
Le mécanisme d'action des fluoroquinolones, y compris la ciprofloxacine, est différent de celui des macrolides. Par conséquent, la ciprofloxacine peut être active contre les agents pathogènes résistants à ces antibiotiques et ces antibiotiques peuvent être actifs contre des agents pathogènes résistants à la ciprofloxacine. In vitro Des études ont démontré une résistance croisée entre la ciprofloxacine et certaines fluoroquinolones.
La ciprofloxacine s'est avérée active contre la plupart des isolats des bactéries suivantes in vitro et dans les infections cliniques de l'otite externa aiguë comme décrit dans la section Indications et utilisation .
Staphylococcus aureus
Pseudomonas aeruginosa.
Études cliniques
Dans une étude randomisée à l'évaluateur multicentrique, des patients atteints de patients atteints d'otite aiguë externa, ont été traités avec du cétraxal deux fois par jour, soit de la néomycine et de la polymyxine B sulfates et une solution otique hydrocortisone (PNH) trois fois par jour pendant 7 jours.
Dans la population par protocole par protocole, une guérison clinique a été obtenue à la fin d'un traitement de 7 jours dans 70% (173/247) pour le groupe traité par Cétraxal contre 60% (147/243) pour le groupe traité témoin.
Informations sur le patient pour CETRAXAL
Directions à utiliser
Les patients doivent être informés que le Cétraxal est pour une utilisation otique uniquement. Ce n'est pas pour une utilisation ophtalmique ou inhalation. Ce n'est pas pour l'injection.
Le cetraxal doit être donné 2 fois par jour (à environ 12 heures d'intervalle) dans chaque oreille infectée.
Le cetraxal doit être utilisé aussi longtemps qu'il est prescrit, même si les symptômes s'améliorent. Le patient doit être conseillé de suivre ces instructions sur Cétraxal:
Se laver les mains avant utilisation.
|
Réchauffez le récipient entre leurs mains pendant au moins une minute avant l'utilisation pour minimiser les étourdissements qui peuvent résulter de l'instillation d'une solution froide dans le conduit auditif. Tournez et jetez le haut du conteneur.
|
Allongez-vous avec l'oreille affectée vers le haut, puis inculquez le contenu d'un conteneur dans l'oreille. Maintenez cette position pendant au moins une minute pour faciliter la pénétration des gouttes dans l'oreille.
L'oxycodone peut-elle provoquer une pression artérielle basse
|
Répétez si nécessaire pour l'oreille opposée.
Jeter le conteneur utilisé.
Stockez des conteneurs inutilisés dans la poche pour protéger de la lumière.
Hypersensibilité
Les patients doivent être invités à interrompre immédiatement le Cétraxal à la première apparition d'une éruption cutanée ou tout autre signe d'hypersensibilité [voir Avertissements et précautions ].