Les Informations Présentées Sur Ce Site Ne Constituent Pas Un Avis Médical. Nous Ne Vendons Rien. L'Exactitude De La Traduction N'Est Pas Garantie. Clause De Non-Responsabilité
Anticorps monoclonaux
Cosentyx
Résumé
Qu'est-ce que Cosentyx?
Cosentyx (secukinumab) pour l'injection est un antagoniste humain de l'interleukine-17a utilisé pour traiter le psoriasis de plaque modéré à sévère chez les patients adultes qui sont candidats à une thérapie systémique ou à la photothérapie.
Quels sont les effets secondaires de Cosentyx?
Les effets secondaires courants de Cosentyx comprennent:
- mal de gorge et le nez
- diarrhée
- infection des voies respiratoires supérieures
- Infection des sinus (sinusités)
- nez étouffant ou coulant
- herpès oral
- urticaire
- pied de l'athlète
- amygdalite
- muguet buccal
- impétigo
- maladie inflammatoire de l'intestin
- infection de l'oreille
- infection oculaire ou inflammation ( conjonctivite )
- augmentation des transaminases hépatiques et
- faible Nombre de globules blancs ( neutropénie ).
Cherchez des soins médicaux ou appelez le 911 à la fois si vous avez les effets secondaires graves suivants:
- Des symptômes oculaires graves tels que la perte de vision soudaine floue du tunnel de vision de la vision de la vision des yeux ou de l'enflure ou de voir des halos autour des lumières;
- Symptômes cardiaques graves tels que les battements cardiaques rapides ou battants; flotter dans votre poitrine; essoufflement; Et des étourdissements soudains étourdissement ou s'évanouir;
- Maux de tête sévères Confusion Slurred Speech Bras ou Ligne Proulitude Trouble de la merde Perte de coordination Sentiment des muscles très rigides très rigides Fièvre élevée Propice ou des tremblements.
Ce document ne contient pas tous les effets secondaires possibles et d'autres peuvent survenir. Vérifiez auprès de votre médecin des informations supplémentaires sur les effets secondaires.
Dosage pour Cosentyx
La dose recommandée de Cosentyx est de 300 mg par injection sous-cutanée aux semaines 0 1 2 3 et 4 suivies de 300 mg toutes les 4 semaines. Chaque dose de 300 mg est donnée comme 2 injections sous-cutanées de 150 mg.
Quelles substances ou suppléments de médicaments interagissent avec Cosentyx?
Cosentyx peut interagir avec:
- warfarine
- cyclosporine ou
- vaccins «en direct».
Dites à votre médecin tous les médicaments et suppléments que vous utilisez et tous les vaccins que vous avez récemment reçus.
Cosentyx pendant la grossesse et l'allaitement
Dites à votre médecin si vous êtes enceinte ou prévoyez de devenir enceinte avant d'utiliser Cosentyx. On ne sait pas si ce médicament passe dans le lait maternel. Consultez votre médecin avant l'allaitement.
Informations Complémentaires
Notre Cosentyx (Secukinumab) pour les effets secondaires de l'injection Centre de médicaments offre une vue complète des informations sur les médicaments disponibles sur les effets secondaires potentiels lors de la prise de ce médicament.
Informations sur les médicaments de la FDA
- Description de la drogue
- Indications
- Dosage
- Effets secondaires
- Avertissements
- Surdosage
- Pharmacologie clinique
- Guide des médicaments
Description de Cosentyx
Le sécukinumab est un anticorps monoclonal humain recombinant humain humain qui se lie spécifiquement à l'IL-17A. Il est exprimé dans une lignée cellulaire d'ovaire de hamster chinois recombinant (CHO). Le sécukinumab a une masse moléculaire d'environ 151 kDa; Les deux chaînes lourdes de sécurité contiennent des chaînes d'oligosaccharides.
Injection de costumex
L'injection Cosentyx est une conservatrice stérile sans conservateur claire à légèrement opalescent incolore à une solution légèrement jaune. Cosentyx est fourni dans un stylo à sens unique à usage unique avec une aiguille à calibre 27 à calibre ½ pouce ou une seringue préfilée à usage unique avec une aiguille à ½ pouce fixe de calibre 27. Le capuchon amovible du stylo capacial Cosentyx ou de la seringue préfilé contient du latex en caoutchouc naturel.
Each COSENTYX Sensoready pen or prefilled syringe contains 150 mg of secukinumab formulated in: L- histidine /histidine hydrochloride monohydrate (3.103 mg) L- methionine (0.746 mg) polysorbate 80 (0.2 mg) trehalose dihydrate (75.67 mg) and Sterile Water for Injection USP at pH of 5.8.
Cosentyx pour l'injection
Cosentyx pour l'injection est fourni comme conservateur stérile blanc sans poudre lyophilisée légèrement jaune dans des flacons à usage unique. Chaque flacon Cosentyx contient 150 mg de sécukinumab formulé dans le chlorhydrate de L-histidine / histidine monohydraté (NULL,656 mg) de polysorbate 80 (NULL,6 mg) et de saccharose (NULL,43 mg). Après la reconstitution avec 1 ml d'eau stérile pour l'injection USP, le pH résultant est d'environ 5,8.
Utilisations pour Cosentyx
Psoriasis en plaques
Cosentyx® est indiqué pour le traitement du psoriasis de plaque modéré à sévère (PSO) chez les patients de 6 ans et plus qui sont candidats à une thérapie systémique ou à la photothérapie.
Arthrite psoriatique
Cosentyx est indiqué pour le traitement de l'arthrite psoriasique active (PSA) chez les patients de 2 ans et plus.
Spondylarthrite ankylosante
Cosentyx est indiqué pour le traitement des patients adultes atteints de spondylarthrite ankylosante active (AS).
Spondyloarthrite axiale non radiographique
Cosentyx est indiqué pour le traitement des patients adultes atteints de spondyloarthrite axiale non radiographique active (NRAXSPA) avec des signes objectifs d'inflammation.
Arthrite liée à l'enthésite
Cosentyx est indiqué pour le traitement de l'arthrite active liée à l'enthésite (ERA) chez les patients pédiatriques de 4 ans et plus.
Hidradénite suppurative
Cosentyx est indiqué pour le traitement des patients adultes atteints de Hidradénite suppurativa modérée à sévère (HS).
Dosage pour Cosentyx
Tests et procédures avant le début du traitement
Effectuer les évaluations suivantes avant l'initiation de Cosentyx:
- Évaluer les tuberculose (TB). L'initiation de Cosentyx n'est pas recommandée chez les patients atteints d'une infection à TB active. Initier le traitement de la tuberculose latente avant le début de Cosentyx [voir Avertissements et précautions ].
- Complétez toutes les vaccinations adaptées à l'âge recommandées par les directives actuelles de la vaccination avant de lancer un traitement avec CosentyX [voir Avertissements et précautions ].
Instructions d'administration importantes
- Cosentyx est destiné à une utilisation sous la direction et la supervision d'un fournisseur de soins de santé.
- Les stylos à stylos inoriglés et les seringues pré-remplies sont pour une utilisation sous-cutanée uniquement.
- La solution dans les flacons est pour une utilisation intraveineuse chez les patients adultes uniquement.
Instructions d'administration sous-cutanée importantes
Les patients adultes peuvent s'auto-administrer Cosentyx ou être injectés par un soignant après une formation appropriée dans la technique d'injection sous-cutanée.
Les patients pédiatriques ne devraient pas s'auto-administrer Cosentyx. Un soignant adulte devrait préparer et injecter Cosentyx après une formation appropriée dans la technique d'injection sous-cutanée.
Administrer chaque injection sous-cutanée à un emplacement anatomique différent (comme les cuisses du haut des armes ou tout quadrant de l'abdomen) que l'injection précédente et non dans les zones où la peau est érythémateuse soumis tendre invitée ou affectée par le psoriasis. L'administration de Cosentyx sous-cutanées dans le bras extérieur supérieur peut être effectuée par un soignant ou un fournisseur de soins de santé.
Les instructions Cosentyx à utiliser pour chaque présentation et force contient des instructions plus détaillées sur la préparation et l'administration de Cosentyx pour les patients et les soignants [voir Instructions pour une utilisation ].
INSTRUCTIONS IMPORTANTES INTRAVENE POUR POUR
La perfusion intraveineuse est uniquement à utiliser par un professionnel de la santé dans un cadre de soins de santé. Préparer la perfusion intraveineuse de costumcex en diluant l'injection de costumcex dans le (s) flacon et en administrant sur la base du poids corporel du patient [voir Posologie et administration ]. Intravenous infusion may be administered only in adults with PsA AS et nr-axSPA.
Dosage recommandé dans le psoriasis en plaque
Dosage sous-cutané recommandé chez les adultes atteints de PSO
La dose recommandée chez les adultes atteints de PSO est de 300 mg par injection sous-cutanée aux semaines 0 1 2 3 et 4 et toutes les 4 semaines par la suite. Chaque dosage de 300 mg est donnée comme une injection sous-cutanée de 300 mg ou deux injections sous-cutanées de 150 mg.
Pour certains patients, une dose de 150 mg par injection sous-cutanée aux semaines 0 1 2 3 et 4 et toutes les 4 semaines par la suite peut être acceptable.
Dosage sous-cutané recommandé chez les patients pédiatriques de 6 ans et plus avec PSO
La dose basée sur le poids recommandée chez les patients pédiatriques de 6 ans et plus avec PSO est administrée par injection sous-cutanée aux semaines 0 1 2 3 et 4 et toutes les 4 semaines par la suite.
- Pour les patients <50 kg (at the time of dosing) the recommended dose is 75 mg.
- Pour les patients ≥ 50 kg (at the time of dosing) the recommended dose is 150 mg.
Dosage recommandé chez les adultes atteints d'arthrite psoriasique
Cosentyx peut être administré avec ou sans méthotrexate.
Dose sous-cutanée recommandée
Pour les patients adultes atteints de PSA et avec un PSO modéré à sévère coexistant, utilisez les recommandations posologiques et administratives pour les adultes atteints de PSO [voir Posologie et administration ].
Pour d'autres patients adultes atteints de PSA, administrer Cosentyx avec ou sans dose de chargement par injection sous-cutanée.
La dose recommandée chez les adultes atteints de PSA:
- Avec une dose de chargement est de 150 mg aux semaines 0 1 2 3 et 4 et toutes les 4 semaines par la suite.
- Sans dose de chargement est de 150 mg toutes les 4 semaines.
- Si un patient continue d'avoir un PSA actif, envisagez d'augmenter la dose à 300 mg par injection sous-cutanée toutes les 4 semaines. Chaque dosage de 300 mg est donnée comme une injection sous-cutanée de 300 mg ou deux injections sous-cutanées de 150 mg.
Dosage intraveineux recommandé
L'injection de costumex pour une utilisation intraveineuse (solution dans les flacons) nécessite une dilution avant l'administration intraveineuse. Le régime de dosage intraveineux recommandé chez les adultes atteints de PSA:
- Avec une dose de chargement est de 6 mg / kg de dose de chargement donnée à la semaine 0 suivie de 1,75 mg / kg toutes les 4 semaines par la suite (dose de maintenance).
- Sans dose de chargement est de 1,75 mg / kg toutes les 4 semaines.
Administrer comme une perfusion intraveineuse sur une période de 30 minutes [voir Posologie et administration ].
Les doses totales dépassant 300 mg par perfusion ne sont pas recommandées pour la dose d'entretien de 1,75 mg / kg chez les adultes atteints de PSA [voir Posologie et administration ].
Dosage recommandé chez les patients pédiatriques de 2 ans et plus avec une arthrite psoriatique juvénile
Cosentyx peut être administré avec ou sans méthotrexate.
La dose sous-cutanée recommandée par le poids chez les patients pédiatriques de 2 ans et plus avec PSA aux semaines 0 1 2 3 et 4 et toutes les 4 semaines par la suite est la suivante:
- Pour les patients ≥ 15 kg et <50 kg the recommended dose is 75 mg.
- Pour les patients ≥ 50 kg the recommended dose is 150 mg.
Dosage recommandé chez les adultes atteints de spondylarthrite ankylosante
Dose sous-cutanée recommandée
Administrer Cosentyx avec ou sans dose de chargement par injection sous-cutanée chez les patients adultes atteints d'AS active. La posologie recommandée:
- Avec une dose de chargement est de 150 mg aux semaines 0 1 2 3 et 4 et toutes les 4 semaines par la suite.
- Sans dose de chargement est de 150 mg toutes les 4 semaines.
- Si un patient continue d'avoir actif comme envisagez d'augmenter la dose à 300 mg toutes les 4 semaines par injection sous-cutanée. Chaque dosage de 300 mg est donnée comme une injection sous-cutanée de 300 mg ou deux injections sous-cutanées de 150 mg.
Dosage intraveineux recommandé
L'injection de costumex pour une utilisation intraveineuse (solution dans les flacons) nécessite une dilution avant l'administration intraveineuse. Le schéma posologique intraveineux recommandé chez les patients adultes atteints de AS actif:
- Avec une dose de chargement est de 6 mg / kg de dose de chargement donnée à la semaine 0 suivie de 1,75 mg / kg toutes les 4 semaines par la suite (dose de maintenance).
- Sans dose de chargement est de 1,75 mg / kg toutes les 4 semaines.
Administrer comme une perfusion intraveineuse sur une période de 30 minutes [voir Posologie et administration ].
Les doses totales dépassant 300 mg par perfusion ne sont pas recommandées pour la dose d'entretien de 1,75 mg / kg chez les patients avec AS [voir Posologie et administration ].
Dosage recommandé chez les adultes atteints de spondyloarthrite axiale non radiographique
Dose sous-cutanée recommandée
Administrer Cosentyx avec ou sans dose de chargement par injection sous-cutanée chez les patients adultes atteints de NRAXSPA actif. La posologie recommandée:
- Avec une dose de chargement est de 150 mg aux semaines 0 1 2 3 et 4 et toutes les 4 semaines par la suite.
- Sans dose de chargement est de 150 mg toutes les 4 semaines.
Dosage intraveineux recommandé
L'injection de costumex pour une utilisation intraveineuse (solution dans les flacons) nécessite une dilution avant l'administration intraveineuse. Le schéma posologique intraveineux recommandé chez les patients adultes atteints de NR-AXSPA active:
- Avec une dose de chargement est de 6 mg / kg de dose de chargement donnée à la semaine 0 suivie de 1,75 mg / kg toutes les 4 semaines par la suite (dose de maintenance).
- Sans dose de chargement est de 1,75 mg / kg toutes les 4 semaines.
Administrer comme une perfusion intraveineuse sur une période de 30 minutes [voir Posologie et administration ].
Les doses totales dépassant 300 mg par perfusion ne sont pas recommandées pour la dose d'entretien de 1,75 mg / kg chez les patients atteints de NRAXSPA [voir Posologie et administration ].
Dose recommandée dans l'arthrite liée à l'enthésite
Cosentyx ne peut être administré que comme une injection sous-cutanée chez les patients pédiatriques âgés de 4 ans et plus avec une ERA active.
La dose basée sur le poids recommandée chez les patients pédiatriques de 4 ans et plus avec ERA est administrée par injection sous-cutanée aux semaines 0 1 2 3 et 4 et toutes les 4 semaines par la suite:
- Pour les patients ≥ 15 kg et <50 kg the recommended dose is 75 mg.
- Pour les patients ≥ 50 kg the recommended dose is 150 mg.
Dosage recommandé dans Hidradénite suppurativa
La dose recommandée chez les patients adultes atteints de HS modérée à sévère est de 300 mg par injection sous-cutanée aux semaines 0 1 2 3 et 4 et toutes les 4 semaines par la suite.
Si un patient ne répond pas adéquatement, envisagez d'augmenter le dosage à 300 mg toutes les 2 semaines. Chaque dosage de 300 mg est donnée comme une injection sous-cutanée de 300 mg ou deux injections sous-cutanées de 150 mg.
Préparation pour l'utilisation de Cosentyx Sentillement du stylo inférieur et des seringues préremplies
Cosentyx Styls inoritymes Les stylos captendants et les seringues préremplies sont pour l'injection sous-cutanée uniquement. Avant l'injection sous-cutanée, retirez Cosentyx du réfrigérateur et laissez Cosentyx atteindre la température ambiante (15 à 30 minutes pour le stylo capable de 150 mg / ml et 75 mg / 0,5 ml de seringues préfabillées; 30 à 45 minutes pour le stylo de 300 mg / 2 ml) sans supprimer le cape d'aiguille.
Le capuchon amovible du stylo de capture Cosentyx 150 mg / ml et les seringues préfabillées Cosentyx (150 mg / ml 75 mg / 0,5 ml) contiennent le latex en caoutchouc naturel et ne doivent pas être manipulés par des individus sensibles au latex [voir Avertissements et précautions ].
Inspectez les costumex visuellement pour les particules et la décoloration avant l'administration. L'injection Cosentyx est une solution claire à légèrement opalescent incolore à légèrement jaune. N'utilisez pas si le liquide contient des particules visibles est décolorée ou nuageuse. Jeter tout produit inutilisé.
Les effets secondaires les plus courants de Zoloft
Préparation et administration de Cosentyx pour une utilisation intraveineuse
Cosentyx (pour une utilisation intraveineuse) doit être dilué avant la perfusion. Utilisation de la technique aseptique Préparez Cosentyx (pour une utilisation intraveineuse) comme suit:
Étape 1. Calcul du volume
- Calculez le volume total de Cosentyx pour une solution d'usage intraveineuse (en ML) requise en fonction du poids corporel réel du patient comme suit:
- La dose de chargement (6 mg / kg) est de 0,24 ml / kg
- La dose de maintenance (NULL,75 mg / kg) est de 0,07 ml / kg
- Utilisez le nombre de flacons en fonction du volume total nécessaire (un flacon contient 5 ml de solution Cosentyx).
Étape 2. Dilution
- Les produits médicamenteux parentéraux doivent être inspectés visuellement pour les particules et la décoloration avant l'administration chaque fois que la solution et le permis de conteneur. N'utilisez pas si des particules ou des décolorations sont notées.
- Suivez le tableau 1 pour la taille du sac de perfusion recommandé en fonction du poids corporel du patient.
Tableau 1: Sacs de perfusion recommandés pour la dilution et la préparation de Cosentyx pour une utilisation intraveineuse en fonction du poids corporel et de la dose
| Poids corporel au moment de l'administration | Pour la dose de chargement (6 mg / kg) sac de perfusion recommandé | Pour la dose d'entretien (NULL,75 mg / kg) sac de perfusion recommandé |
| Supérieur à 52 kg | 100 ml | 100 ml |
| Moins ou égal à 52 kg | 100 ml | 50 ml * |
| * Si un sac de perfusion de 50 ml n'est pas disponible, utilisez un sac de perfusion de 100 ml et retirez et jetez 50 ml de solution saline en utilisant la technique aseptique et continuez à suivre les étapes de préparation et d'administration. |
- À partir du sac de perfusion retirer et rejeter un volume de 0,9% d'injection de chlorure de sodium USP égal au volume calculé de la solution Cosentyx requis pour la dose du patient [voir Posologie et administration ].
- À partir du flacon (s) retirez le volume calculé (ML) de la solution Cosentyx et ajoutez lentement dans le sac de perfusion USP à injection de chlorure de sodium à 0,9%. Pour mélanger la solution, inversez doucement le sac pour éviter de mousser. Ne secouez pas.
- Jetez le produit Cosentyx inutilisé dans les flacons car il ne contient pas de conservateurs.
Laissez la solution Cosentyx diluée pour la perfusion se réchauffer à température ambiante avant le début de la perfusion intraveineuse. Administrer la solution Cosentyx diluée pour la perfusion dès que possible. Si ce n'est pas administré, stockez immédiatement la solution diluée:
- À température ambiante de 20 ° C à 25 ° C (68 ° F à 77 ° F) pendant pas plus de 4,5 heures depuis le début de la préparation (percer le premier flacon) à l'achèvement de la perfusion.
- Sous réfrigération à 2 ° C à 8 ° C (36 ° F à 46 ° F) pendant plus de 24 heures à partir du début du temps de préparation (percer le premier flacon) à l'achèvement de la perfusion. Cette fois comprend la réfrigération de la solution diluée et le temps pour permettre à la solution diluée de se réchauffer à température ambiante. Protégez la solution diluée contre la lumière pendant le stockage sous réfrigération.
Étape 3. Administration
- Utilisez uniquement un ensemble de perfusion avec un filtre stérile non pyrogène stérile non pyrogénique de liaison aux protéines (taille des pores 0,2 micromètre).
- Administrer la perfusion à un débit d'environ 3,3 ml / minute pour un sac de 100 ml ou 1,7 ml / min pour un sac de 50 ml (temps d'administration total: 30 minutes).
- Lorsque l'administration est complète, rincez la ligne avec une injection de chlorure de sodium à 0,9% USP pour garantir que toute la solution Cosentyx pour la perfusion dans la ligne a été administrée.
- N'infusez pas de costumex concomitamment dans la même ligne intraveineuse avec d'autres médicaments. Pas physique ou biochimique Des études de compatibilité ont été menées pour évaluer la co-administration IV de Cosentyx avec d'autres médicaments.
Comment fourni
Dosage Forms And Strengths
Injection pour une utilisation sous-cutanée:
- 300 mg / 2 ml en tant que solution incolore à opalescent à opalescent à légèrement jaunâtre dans un stylo à dose unique
- 300 mg / 2 ml en tant que solution incolore à opalescent à opalescent à légèrement jaunâtre dans une seringue pré-remplie à dose
- 150 mg / ml en tant que solution claire à opalescent incolore à légèrement jaunâtre dans un stylo à capacités à dose unique
- 150 mg / ml en tant que solution claire à opalescent incolore à légèrement jaunâtre dans une seringue pré-remplie à dose unique
- 75 mg / 0,5 ml en tant que solution incolore claire à opalescentes à légèrement jaunâtre dans une seringue pré-remplie à dose unique (pour les patients pédiatriques de moins de 50 kg)
Injection pour une utilisation intraveineuse:
125 mg / 5 ml en tant que solution incolore claire à opalescente à légèrement jaunâtre dans un flacon à dose unique pour la dilution avant la perfusion intraveineuse (à usage professionnel de la santé uniquement).
Cosentyx (Secukinumab) L'injection est une solution claire à opalescent incolore à légèrement jaunâtre disponible comme suit:
Injection de costumex For Subcutaneous Use
Cosentyx 300 mg/2 mL UnoReady pen
NDC 0078-1070-68: Carton d'un 300 mg / 2 ml (300 mg de dose) un stylo sans dose (injection)
Cosentyx 300 mg/2 mL (150 mg/mL) prefilled syringe
NDC 0078-1070-97: Carton d'un 300 mg / 2 ml (150 mg / ml) Seringue pré-remplie à dose (injection) (injection)
Cosentyx 150 mg/mL Sensoready pen
NDC 0078-0639-41: Carton de deux 150 mg / ml (300 mg de dose) stylos à capacités à dose unique (injection)
NDC 0078-0639-68: Carton d'un enclos de sensation à dose unique de 150 mg / ml (injection)
Cosentyx 150 mg/mL prefilled syringe
NDC 0078-0639-98: Carton de deux 150 mg / ml (300 mg de dose) Stéringes préremplées à dose unique (injection)
NDC 0078-0639-97: Carton d'un 150 mg / ml de seringue pré-remplie à dose (injection)
Cosentyx 75 mg/0.5 mL prefilled syringe (for pediatric patients less than 50 kg)
NDC 0078-1056-97: Carton d'un 75 mg / 0,5 ml de seringue pré-remplie à dose (injection)
Le capuchon amovible du stylo captend Cosentyx 150 mg / ml et une seringue prérempli et et 75 mg / 0,5 ml de seringue préfabillée contient du latex en caoutchouc naturel. Chaque 300 mg / 2 ml de stylo inférieur à 150 mg / ml de stylo de capture et 300 mg / 2 ml 150 mg / ml et 75 mg / 0,5 ml de seringue préfilée est équipé d'une garde de sécurité à l'aiguille.
Quel est l'antidote pour vers
Injection de costumex For Intravenous Use
NDC 0078-1168-61: Carton contenant une solution de 125 mg / 5 ml (25 mg / ml) dans un flacon à dose unique pour dilution avant la perfusion intraveineuse.
Stockage et manipulation
Réfrigérer l'injection Cosentyx pour une utilisation sous-cutanée (300 mg / 2 ml de stylo inférieur à 150 mg / ml de stylos capricieux et 150 mg / ml et 75 mg / 0,5 ml de seringues préfabillées) et d'injection de cosyntyx pour une utilisation intraveineuse à 2 ° C à 8 ° C (36 ° F à 46 ° F). Gardez les produits dans le carton d'origine pour protéger de la lumière jusqu'au moment de l'utilisation. Ne congelez pas. Pour éviter de mousser, ne tremblez pas. Cosentyx ne contient pas de conservateur; Jeter toute partie inutilisée.
S'il est retiré de la réfrigération Cosentyx 150 mg / ml de stylos captendus et 150 mg / ml et 75 mg / 0,5 ml de seringues préfabillées:
- Peut être stocké jusqu'à 4 jours à température ambiante pour ne pas dépasser 30 ° C (86 ° F).
- Écrivez la date à laquelle Cosentyx est retiré et retourné au réfrigérateur dans l'espace fourni sur le carton.
- Jeter si vous êtes stocké à l'extérieur du réfrigérateur sur 4 jours.
- Peut être renvoyé au réfrigérateur une seule fois et doit être stocké à 2 ° C à 8 ° C (36 ° F à 46 ° F) jusqu'à ce qu'il soit utilisé ou expiré.
Fabriqué par: Novartis Pharmaceuticals Corporation East Hanover New Jersey 07936. Révisé: sept. 2024
Effets secondaires pour Cosentyx
Les effets indésirables suivants sont discutés plus en détail ailleurs dans l'étiquetage:
- Infections [voir Avertissements et précautions ]
- Réactions d'hypersensibilité [voir Avertissements et précautions ]
- Maladie inflammatoire de l'intestin [voir Avertissements et précautions ]
- Éruptions eczémateuses [voir Avertissements et précautions ]
Expérience des essais cliniques
Étant donné que les essais cliniques sont menés dans des conditions de réaction indésirables très variables observées dans les essais cliniques d'un médicament ne peuvent pas être directement comparées aux taux dans les essais cliniques d'un autre médicament et ne peuvent pas refléter les taux observés dans la pratique.
Réactions indésirables dans les essais cliniques de Cosentyx sous-cutané
Réactions indésirables des essais cliniques chez les adultes atteints de PSO
Au total, 3430 sujets adultes atteints de PSO ont été traités avec Cosentyx dans des essais cliniques contrôlés et incontrôlés. Sur ces 1641 sujets ont été traités avec Cosentyx pendant au moins 1 an.
Quatre essais de phase 3 contrôlés par placebo chez les sujets PSO (essais PSO1 PSO2 PSO3 et PSO4) ont été regroupés pour évaluer la sécurité de Cosentyx par rapport au placebo jusqu'à 12 semaines après le début du traitement. Au total, 2077 sujets ont été évalués (691 dans le groupe Cosentyx 300 mg 692 dans le groupe Cosentyx 150 mg et 694 dans le groupe placebo). Les sujets randomisés à Cosentyx ont reçu 300 mg ou 150 mg de doses par voie sous-cutanée aux semaines 0 1 2 3 et 4 suivies de la même dose toutes les 4 semaines [voir Études cliniques ].
Le tableau 2 résume les effets indésirables qui se sont produits à un taux d'au moins 1% et à un taux plus élevé dans les groupes Cosentyx que le groupe placebo pendant la période contrôlée par un placebo de 12 semaines de ces essais.
Tableau 2: Réactions indésirables rapportées par plus de 1% des sujets adultes atteints de PSO (et à un taux plus élevé chez les sujets traités avec Cosentyx) à la semaine 12 dans les essais PSO1 PSO2 PSO3 et PSO4
| Effets indésirables | Cosentyx | Placebo (N = 694) n (%) | |
| 300 mg (N = 691) n (%) | 150 mg (N = 692) n (%) | ||
| Nasopharynngite | 79 (11.4) | 85 (NULL,3) | 60 (8.6) |
| Diarrhée | 28 (4.1) | 18 (2.6) | 10 (1.4) |
| Infection des voies respiratoires supérieures | 17 (2.5) | 22 (3.2) | 5 (NULL,7) |
| Rhinite | 10 (1.4) | 10 (1.4) | 5 (NULL,7) |
| Herpès oral | 9 (1.3) | 1 (NULL,1) | 2 (NULL,3) |
| Pharyngite | 8 (1.2) | 7 (1.0) | 0 (0) |
| Urticaire | 4 (NULL,6) | 8 (1.2) | 1 (NULL,1) |
| Rhinorrhée | 8 (1.2) | 2 (NULL,3) | 1 (NULL,1) |
Effets indésirables that occurred in subjects treated with Cosentyx at rates less than 1% in the placebo-controlled period of Trials PsO1 PsO2 PsO3 et PsO4 through Week 12 included: sinusitis tinea pedis conjonctivite amygdalite oral cetidiasis impétigo otitis media otitis externa IBD augmentation des transaminases hépatiques et neutropénie.
Infections
Dans la période contrôlée par placebo des essais cliniques dans les PSO (un total de 1382 sujets traités avec des infections Cosentyx et 694 traités avec un placebo jusqu'à 12 semaines) ont été signalés chez 28,7% des sujets traités avec Cosentyx par rapport à 18,9% des sujets traités avec un placebo.
Pendant toute la période de traitement (un total de 3430 sujets PSO traités avec Cosentyx pendant jusqu'à 52 semaines pour la majorité des sujets) ont été signalés chez 47,5% des sujets traités par Cosentyx (NULL,9 par année du suivi) et des infections graves ont été signalées chez 1,2% des sujets traités avec Cosentyx (NULL,015 par un sujet de suivi).
Les données de phase 3 ont montré une tendance croissante pour certains types d'infection par l'augmentation des concentrations sériques de sérukinumab. Infections de Candida Infections virales d'herpès Les infections cutanées staphylococciques et les infections nécessitant un traitement ont augmenté à mesure que la concentration sérique de sécukinumab a augmenté.
Dans l'extension Open Babel PSO des essais PSO1 et PSO2 (suivi médian de 3,9 ans) représentant 3582 sujets d'exposition 74% des sujets traités Cosentyx ont signalé des infections (55 pour 100 sous-années de l'objet) et des infections graves ont été signalées chez 4,5% des sujets traités Cossentyx (NULL,4 pour 100 ans-années). Une septicémie a été signalée chez 5 sujets traités à Cosentyx (NULL,2 pour 100 sous-années-objets).
La neutropénie a été observée dans une partie contrôlée des essais cliniques. La plupart des cas de neutropénie associés aux costumex étaient transitoires et réversibles. Aucune infection grave n'a été associée à des cas de neutropénie.
Dans l'extension ouverte des essais PSO1 et PSO2 Neutropénie (ANC <1 x 10 9 / L) a été signalé chez 1% des sujets traités à Cosentyx (NULL,3 pour 100 années de sujet). Certains cas d'infections graves ont été associés à la neutropénie; Cependant, la relation causale n'a pas été établie.
Maladie inflammatoire de l'intestin
Des cas de MII dans certains cas graves ont été observés chez les sujets traités avec Cosentyx dans des essais cliniques. Dans le programme PSO avec 3430 sujets exposés à Cosentyx sur toute la période de traitement jusqu'à 52 semaines (2725 sujets), il y avait 3 cas (NULL,11 pour 100 années de l'objet) d'exacerbation des cas de CD 2 (NULL,08 pour 100 ans-années) de nouveaux apparence de UC. Il n'y avait pas de cas de MICI dans les sujets de placement de placement (n = 793; 176 années-mêmes) pendant la période contrôlée par un placebo de 12 semaines.
Un cas d'exacerbation de la maladie de Crohn chez un sujet traité avec un sujet Cosentyx a été signalé dans des parties ouvertes des essais cliniques dans la PSO.
Réactions indésirables des essais cliniques chez les sujets pédiatriques atteints de PSO
La sécurité de Cosentyx a été évaluée dans deux essais de phase 3 chez des sujets pédiatriques atteints de PSO.
- Le premier était un placebo randomisé en double aveugle et un essai de 236 semaines à commande active (essai PSO8) qui a inscrit 162 sujets pédiatriques de 6 ans et plus avec un PSO sévère (défini par le score PASI ≥ 20 un score de 2011 modifié par IgA de 4 et impliquant ≥ 10% de la surface corporelle [BSA]) qui étaient des candidats pour une thérapie systémique. Les 162 sujets ont été randomisés pour recevoir le placebo un contrôle actif biologique ou Cosentyx. Dans les groupes Cosentyx, les sujets ayant un poids corporel (BW) inférieur à 25 kg ont reçu 75 mg de sujets avec BW 25 à moins de 50 kg ont reçu 75 mg ou 150 mg (2 fois la dose recommandée) et des sujets avec BW d'au moins 50 kg ont reçu 150 mg ou 300 mg (2 fois la dose recommandée). Les sujets ont été dosés aux semaines 0 1 2 3 et 4 et toutes les 4 semaines par la suite.
- Le deuxième essai a été un essai randomisé en ouvert de 208 semaines (essai PSO9; NCT03668613) de 84 sujets pédiatriques de 6 ans et plus avec un PSO modéré à sévère (défini par un score PASI ≥ 12 Iga Mod 2011 Score de ≥ 3 et BSA Implication [Arm <50 kg or 150 mg for ≥ 50 kg; et Arm 2: 75 mg for BW < 25 kg 150 mg for BW ≥ 25 kg et < 50 kg or 300 mg for BW ≥ 50 kg]. Subjects were dosed at Weeks 0 1 2 3 et 4 et every 4 weeks thereafter.
Le profil de sécurité de Cosentyx rapporté dans ces essais était cohérent avec le profil de sécurité signalé dans les essais PSO adultes.
Infections
Un cas de syndrome de choc toxique (TSS) de Staphylococcus aureus (SARM) résistant à la méthicilline (SARM) a été signalé dans un sujet pédiatrique traité au costumex pendant la période contrôlée par placebo.
Dans le pool de sécurité pédiatrique, qui comprend tous les sujets qui ont pris au moins une dose de costumcex pendant les périodes de traitement [198 sujets (287 sous-années)] 22 (11%) ont signalé des critères de terminologie courants pour les événements indésirables (CTCAE) Grade 2 Neutropénie (≥ 1000 pour <1500 cells/mm³) with 57% of subjects folfaibleed for one year or more et 30% of subjects folfaibleed for two years or more. During the placebo-controlled period which included a total of 80 pediatric subjects treated with Cosentyx et 41 subjects treated with placebo up to 12 weeks ≥ CTCAE Grade 2 neutropénie was reported in 3 (4%) of the subjects treated with Cosentyx compared with no subjects treated with placebo. No serious infections were associated with cases of neutropénie.
Réactions indésirables des essais cliniques chez les adultes atteints de PSA
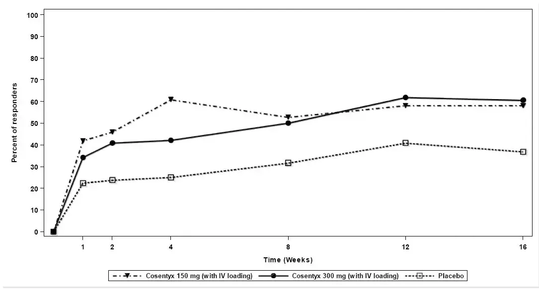
Cosentyx was studied in two placebo-controlled PsA trials with 1003 adult patients (703 patients on Cosentyx et 300 patients on placebo). Of the 703 patients who received Cosentyx 299 patients received a subcutaneous loading dose of Cosentyx (PsA1) et 404 patients received an intravenous loading dose of secukinumab (PsA2) folfaibleed by Cosentyx administered by subcutaneous injection every four weeks. During the 16-week placebo-controlled period of the trials in patients with PsA the overall proportion of patients with adverse events was similar in the secukinumab et placebo-treatment groups (59% et 58% respectively). The adverse events that occurred at a proportion of at least 2% et at a higher proportion in the Cosentyx groups than the placebo groups during the 16-week placebo-controlled period were nasopharyngitis infection des voies respiratoires supérieures headache nausea et hypercholesterolemia. The safety profile observed in adult patients with PsA treated with Cosentyx is consistent with the safety profile in the PsO trials in adults.
Semblable aux essais cliniques chez les patients atteints de PSO, il y avait une proportion accrue de patients présentant des infections dans les groupes Cosentyx (29%) par rapport au groupe placebo (26%).
Il y avait des cas de CD et de CU dans le groupe Secukinumab qui comprenaient des patients qui ont connu des exacerbations ou le développement de nouvelles maladies. Il y avait trois cas de MICI, dont deux patients ont reçu du likinumab et un a reçu un placebo.
Réactions indésirables des essais cliniques chez les adultes avec AS
Cosentyx was studied in two placebo-controlled AS trials with 590 adult patients (394 patients on Cosentyx et 196 patients on placebo). Of the 394 patients who received Cosentyx 145 patients received a subcutaneous load of Cosentyx (study AS1) et 249 received an intravenous loading dose of secukinumab (study AS2) folfaibleed by Cosentyx administered by subcutaneous injection every four weeks. During the 16-week placebo-controlled period of the trials in patients with AS the overall proportion of patients with adverse events was higher in the secukinumab groups than the placebo-treatment groups (66% et 59% respectively). The adverse events that occurred at a proportion of at least 2% et at a higher proportion in the Cosentyx groups than the placebo groups during the 16-week placebocontrolled period were nasopharyngitis nausea et infection des voies respiratoires supérieures. The safety profile observed in patients with AS treated with Cosentyx is consistent with the safety profile in PsO clinical trials. In a third controlled trial of AS (study AS3) the safety profile of the 300 mg dose of Cosentyx was consistent with the safety profile of the 150 mg dose of Cosentyx.
Semblable aux essais cliniques chez les patients atteints de PSO, il y avait une proportion accrue de patients présentant des infections dans les groupes Cosentyx (31%) par rapport au groupe placebo (18%).
Dans le programme AS original avec 571 patients exposés à Cosentyx, il y avait 8 cas de MII pendant toute la période de traitement [5 cas de Crohn (NULL,7 pour 100 patients-années) et 3 cas de CU (NULL,4 pour 100 patients-années)]. Au cours de la période de 16 semaines contrôlée par placebo, il y a eu 2 exacerbations de la maladie de Crohn et 1 nouveau cas UC d'apparition qui était un événement indésirable grave chez les patients traités par Cosentyx par rapport à aucun des patients traités par placebo. Pendant le reste de l’essai, lorsque tous les patients ont reçu un patient Cosentyx 1 ont développé la maladie de Crohn, 2 patients ont eu des exacerbations de Crohn 1, le patient a développé une UC et 1 patient a eu une exacerbation UC.
Réactions indésirables des essais cliniques chez les adultes atteints de NR-AXSPA
Cosentyx was studied in one retomized double-blind placebo-controlled nr-axSpA trial with 555 adult patients (185 patients received a loading Cosentyx dose 184 patients did not receive a loading Cosentyx dose et 186 patients received placebo). The safety profile for patients with nr-axSpA treated with Cosentyx was overall similar to the safety profile seen in patients with AS et other previous experience with Cosentyx. Patients in nr-axSpA1 trial who received the loading dosing regimen compared to those without the loading regimen had higher incidence of infections et infestations (92 per 100 patient-years versus 72 per 100 patient-years) including nasopharyngitis infection des voies respiratoires supérieures et urinary tract infection et gastrointestinal disorders (27 per 100 patient-years versus 22 per 100 patient-years) including gastritis faibleer abdominal pain colitis diarrhée et hematochezia.
Réactions indésirables des essais cliniques chez les patients pédiatriques atteints d'arthrite psoriasique juvénile (JPSA) et d'ERA
Cosentyx was studied in one double-blind placebo-controlled event-driven retomized trial in 86 pediatric patients aged 2 to less than 18 years old with JPsA et ERA. The safety profile reported in this trial was consistent with the safety profile of SecUkinumab.
Réactions indésirables des essais cliniques chez les adultes atteints de HS
Cosentyx was studied in two 52-week retomized double-blind placebo-controlled HS trials with 1084 adult subjects (361 subjects received Cosentyx 300 mg every 2 weeks 360 subjects received Cosentyx 300 mg every 4 weeks et 363 subjects received placebo) with a total of 901 subject-years of Cosentyx exposure (the median duration of exposure for subjects treated with Cosentyx was 360 days). The safety profile of Cosentyx observed in these HS trials was consistent with the known safety profile of Cosentyx observed in the PsO trials.
Infections
Au cours des sujets de 16 semaines contrôlés par placebo, qui ont reçu Cosentyx 300 mg toutes les 2 semaines, une incidence la plus élevée d'infections fongiques (NULL,3%) par rapport aux sujets qui ont reçu Cosentyx 300 mg toutes les 4 semaines (NULL,2%) et les sujets qui ont reçu un placebo (NULL,8%). Avec une exposition plus longue, le taux d'infections fongiques est resté plus élevé pour les sujets qui ont reçu Cosentyx 300 mg toutes les 2 semaines (NULL,7 / 100 années-mêmes) par rapport aux sujets qui ont reçu Cosentyx 300 mg toutes les 4 semaines (NULL,1 / 100 années de sujet). La majorité des cas ont été signalés comme non sévères non sévères et résolus avec un traitement antifongique.
Maladie inflammatoire de l'intestin
Dans la partie ouverte des essais cliniques HS, cinq (NULL,7%) réactions indésirables de la MII ont été signalées qui étaient toutes graves et conduites au retrait du médicament d'essai et ne se sont produites que chez les sujets traités avec Cosentyx 300 mg toutes les 2 semaines. Il n'y avait pas de cas de MICI chez les sujets traités avec Cosentyx 300 mg toutes les 4 semaines.
Réactions indésirables de Cosentyx intraveineux
La sécurité de Cosentyx intraveineuse est basée sur l'exposition pharmacocinétique et l'extrapolation de la sécurité établie de Cosentyx sous-cutanés chez les patients PSA AS et NR-AXSPA [voir Pharmacologie clinique ].
Expérience de commercialisation de la poste
Les effets indésirables suivants ont été signalés lors de l'utilisation post-approbation de Cosentyx. Parce qu'ils sont signalés volontairement d'une population de taille incertaine, il n'est pas toujours possible d'estimer de manière fiable leur fréquence ou d'établir une relation causale à l'exposition au médicament.
Troubles des tissus cutanés et sous-cutanés: éruptions eczémateuses (éruptions de dermatite atopique eczéma et érythrodermie) [voir Avertissements et précautions ] et Pyoderma Gangrenosum.
Infections: bacterial viral et fungal opportunistic infections including esophageal cetidiasis tracheobronchial cetidiasis cutaneous aspergillosis cytomegalovirus gastroenteritis/colitis herpes simplex encephalitis herpes simplex keratitis Pneumocystis jiroveci pneumonia Hepatitis B virus reactivation histoplasmosis toxoplasmosis [see Avertissements et précautions ]
Interactions médicamenteuses pour Cosentyx
Certains substrats CYP450
Des concentrations accrues de cytokines (par exemple IL-17) lors de l'inflammation chronique associée à certaines maladies, notamment PSA PSA en tant qu'ère NR-AXSPA et HS, peuvent supprimer la formation d'enzymes CYP.
Lors de l'initiation ou de l'arrêt de Cosentyx chez les patients qui reçoivent des substrats concomitants du CYP450, en particulier ceux où une diminution minimale de la concentration peut réduire l'efficacité du substrat du CYP ou une augmentation minimale de la concentration peut augmenter Pharmacologie clinique ].
Avertissements pour Cosentyx
Inclus dans le cadre du PRÉCAUTIONS section.
Précautions pour Cosentyx
Infections
Cosentyx may increase the risk of infections. In clinical trials a higher rate of infections was observed in Cosentyx treated subjects compared to placebo-treated subjects. In placebo-controlled clinical trials in subjects with moderate to severe PsO higher rates of common infections such as nasopharyngitis (11.4% versus 8.6%) infection des voies respiratoires supérieures (2.5% versus 0.7%) et mucocutaneous infections with cetida (1.2% versus 0.3%) were observed in subjects treated with Cosentyx compared to placebo-treated subjects. A similar increase in risk of infection in subjects treated with Cosentyx was seen in placebo-controlled trials in subjects with PsA AS et nraxSpA. The incidence of some types of infections including fungal infections appeared to be dose-dependent in clinical trials [see Effets indésirables ].
Dans le marketing postal, un établissement de bactériens et des infections opportunistes fongiques graves et certaines infections mortelles ont été signalées chez les patients recevant des inhibiteurs de l'IL-17, notamment Cosentyx. Des cas de réactivation du virus de l'hépatite B ont été signalés [voir Effets indésirables ].
Faire preuve de prudence lorsque l'on considère l'utilisation de Cosentyx chez les patients atteints d'une infection chronique ou des antécédents d'infection récurrente. Demandez aux patients de consulter des conseils médicaux si des signes ou des symptômes suggérant une infection se produisent. Si un patient développe une infection grave, surveillez de près le patient et interrompre le costumcex jusqu'à ce que l'infection se résout.
Si les signes de réactivation du virus de l'hépatite B se produisent consulter un spécialiste de l'hépatite. Cosentyx n'est pas recommandé pour une utilisation chez les patients atteints d'hépatite virale active.
Réactions d'hypersensibilité
L'anaphylaxie et les cas d'urticaire se sont produits chez des sujets traités à Cosentyx dans des essais cliniques. Si une réaction allergique anaphylactique ou autre se produit grave se produit, l'administration de costumyx doit être interrompue immédiatement et un thérapie appropriée initiée [voir Contre-indications ].
Évaluation du prétraitement pour la tuberculose
Évaluez les patients pour une infection à TB active ou latente avant de lancer un traitement par Cosentyx. Évitez l'administration de Cosentyx aux patients atteints d'une infection à TB active. Initier le traitement de la tuberculose latente avant d'administrer Cosentyx. Considérez le traitement anti-TB avant le début de Cosentyx chez les patients ayant des antécédents de tuberculose latents ou actifs chez lesquels un traitement adéquat ne peut pas être confirmé. Surveillez de près les patients pour les signes et symptômes de TB actif pendant et après le traitement.
Dans le cadre du marché postal, des cas ont été signalés où les patients ayant des antécédents de tuberculose latente (TB) qui ont été traités avec Cosentyx ont développé une tuberculose active.
Maladie inflammatoire de l'intestin
Maladie inflammatoire de l'intestin (IBD) exacerbations in some cases serious et/or leading to discontinuation of Cosentyx occurred in Cosentyx treated subjects during clinical trials in PsO PsA AS nr-axSpA et HS. In adult subjects avec HS the incidence of IBD was higher in subjects who received Cosentyx 300 mg every 2 weeks (Ulcerative Colitis [UC] 1 case EAIR 0.2/100 subject-years; Crohn's Disease [CD] 1 case EAIR 0.2/100 subject-years) compared to subjects who received Cosentyx 300 mg every 4 weeks (IBD 1 case EAIR 0.2/100 subject-years). In addition new onset IBD cases occurred in subjects treated with Cosentyx in clinical trials. In an exploratory trial in 59 subjects with active Crohn's disease [Cosentyx is not approved for the treatment of Crohn's disease] there were trends toward greater disease activity et increased adverse reactions in subjects treated with Cosentyx as compared to placebo-treated subjects.
Faites preuve de prudence lors de la prescription de Cosentyx aux patients atteints de MII. Les patients traités par cosyntyx doivent être surveillés pour les signes et symptômes de la MII [voir Effets indésirables ].
Éruptions eczémateuses
Dans les rapports post-commercialisation des cas d'éruptions eczémateuses sévères, notamment des éruptions atopiques de type dermatite, l'eczéma dyshidrotique et l'érythroderma ont été signalés chez des patients recevant des costumcex; Certains cas ont abouti à l'hospitalisation. Le début des éruptions eczémateuses était variable allant de jours à mois après la première dose de Cosentyx.
Le traitement peut devoir être interrompu pour résoudre l'éruption eczémateuse. Certains patients ont été traités avec succès pour des éruptions eczémateuses tout en poursuivant COSEntyx.
Risque d'hypersensibilité chez les individus sensibles au latex
Les capuchons amovibles du stylo captenaire Cosentyx 150 mg / ml et les seringues pré-remplies Cosentyx 1 ml et 0,5 ml contiennent du latex en caoutchouc naturel qui peut provoquer une réaction d'hypersensibilité chez les individus sensibles au latex. L'utilisation sûre d'un stylo captendu Cosentyx 150 mg / ml ou de 1 ml de 1 ml et 0,5 ml de seringues préfabillées chez les individus sensibles au latex n'a pas été étudié.
Vaccination
Avant de lancer une thérapie avec Cosentyx, considérez la fin de toutes les immunisations adaptées à l'âge selon les directives actuelles de la vaccination. Cosentyx peut modifier la réponse immunitaire d'un patient aux vaccins vivants. Évitez l'utilisation de vaccins vivants chez les patients traités avec Cosentyx [voir Pharmacologie clinique ].
Informations de conseil des patients
Conseiller au patient de lire l'étiquetage des patients approuvé par la FDA ( Guide des médicaments et Instructions pour une utilisation ).
Infections
Informer les patients que Cosentyx peut réduire la capacité de leur système immunitaire à lutter contre les infections et que des infections graves, y compris des infections opportunistes, peuvent survenir avec l'utilisation de Cosentyx. Instruisez les patients de l'importance de communiquer des antécédents d'infections au médecin et de contacter leur médecin s'ils développent des symptômes d'infection [voir Avertissements et précautions ].
Hypersensibilité
Conseiller aux patients de consulter des soins médicaux immédiats s'ils ressentent des symptômes de réactions d'hypersensibilité graves [voir Avertissements et précautions ].
Éruptions eczémateuses
Informer les patients que les réactions cutanées ressemblant à l'eczéma peuvent survenir avec l'utilisation de Cosentyx. Demandez aux patients de consulter un médecin s'ils développent des signes ou des symptômes d'eczéma [voir Avertissements et précautions ].
Risque d'hypersensibilité chez les individus sensibles au latex
Conseillez les patients sensibles au latex que les plafonds d'élimination du stylo captend Cosentyx 150 mg / ml et des seringues préfabillées Cosentyx 1 ml et 0,5 ml contiennent du latex en caoutchouc naturel qui peut provoquer une réaction allergique chez les individus sensibles au latex [voir Avertissements et précautions ].
Immunisation
Informez les patients que la vaccination avec des vaccins vivants n'est pas recommandée pendant le traitement Cosentyx. Demandez aux patients d'informer le professionnel de la santé qu'ils prennent Cosentyx avant une vaccination potentielle [voir Avertissements et précautions ].
Instructions sur la technique d'injection sous-cutanée
Si un patient ou un soignant doit administrer par voie sous-cutanée Cosentyx en utilisant le stylo à capacités de stylo inférieur ou la seringue préfilée lui instruise dans des techniques d'injection et évaluer sa capacité à injecter par voie sous-cutanée pour assurer la bonne administration de Cosentyx [voir Posologie et administration Guide des médicaments et Instructions pour une utilisation ].
est Q Tussin DM Sirop Lean
Pour les patients pédiatriques, les patients informent les patients et les soignants que les patients pédiatriques ne devraient pas s'auto-administrer Cosentyx.
Instruisez les patients ou les soignants dans la technique de l'élimination des seringues et de l'aiguille appropriée et conseille de ne pas réutiliser ces articles. Demandez aux patients d'injecter la quantité totale de Cosentyx en fonction des instructions fournies dans le guide de médicaments et des instructions pour une utilisation.
Stockage
Demandez aux patients de stocker Cosentyx dans un réfrigérateur à 2 ° C à 8 ° C (36 ° F à 46 ° F) et de jeter des costumex expirés ou inutilisés.
Informez les patients que s'ils sont retirés de la réfrigération Cosentyx 150 mg / ml de stylos captendus 150 mg / ml et 75 mg / 0,5 ml de seringues préfabillées peuvent être stockées jusqu'à 4 jours à température ambiante pour ne pas dépasser 86 ° F (30 ° C). Demandez aux patients de jeter s'ils sont maintenus à l'extérieur du réfrigérateur pendant 4 jours [voir Comment fourni / Stockage et manipulation ].
Toxicologie non clinique
Carcinogenèse Mutagenèse A trouble de la fertilité
Les études animales n'ont pas été menées pour évaluer le potentiel cancérogène ou mutagène de Cosentyx. Une littérature publiée suggère que l'IL-17A favorise directement l'invasion des cellules cancéreuses in vitro alors que d'autres rapports indiquent que l'IL-17A favorise le rejet tumoral médié par les cellules T. L'épuisement de l'IL-17A avec un anticorps neutralisant a inhibé le développement tumoral chez la souris. La pertinence des résultats expérimentaux dans les modèles de souris pour le risque de malignité chez l'homme est inconnue.
Aucun effet sur la fertilité n'a été observé chez des souris mâles et femelles qui ont été administrées un analogue murin de sécurité à des doses sous-cutanées allant jusqu'à 150 mg / kg une fois par semaine avant et pendant la période d'accouplement.
Utiliser dans des populations spécifiques
Grossesse
Résumé des risques
Les données humaines disponibles limitées avec une utilisation de Cosentyx chez les femmes enceintes sont insuffisantes pour éclairer un risque associé aux médicaments de résultats de développement défavorables. Dans une étude de développement embryo-foetal, aucun effet de développement défavorable n'a été observé chez les nourrissons nés de singes enceintes après l'administration sous-cutanée de sécukinumab pendant l'organogenèse à des doses allant jusqu'à 30 fois la dose humaine maximale recommandée (MRHD) (voir Données ).
Le risque de fond des principaux malformations congénitales et une fausse couche pour la population indiquée est inconnue; Cependant, le risque de fond dans la population générale américaine des principaux malformations congénitales est de 2% à 4% et de fausse couche est de 15% à 20% des grossesses cliniquement reconnues.
Données
Données sur les animaux
Une étude de développement embryo-fœtal a été réalisée chez des singes de Cynomolgus avec de la sécurité. Aucune malformation ou toxicité embryo-fœtale n'a été observée chez les fœtus de singes enceintes qui ont été administrés par semaine du Secukinumab par la voie sous-cutanée pendant la période d'organogenèse à des doses jusqu'à 30 fois le MRHD (sur une base de mg / kg à une dose maternelle de 150 mg / kg).
Une étude de toxicité de développement pré et postnatal a été réalisée chez la souris avec un analogue murin de sécurité. Aucun effet lié au traitement sur le développement morphologique ou immunologique fonctionnel n'a été observé chez les fœtus de souris enceintes qui ont été administrées l'analogue murin de secUkinumab les jours de gestation 6 11 et 17 et les jours post-partum 4 10 et 16 à des doses jusqu'à 150 mg / kg / dose.
Lactation
Résumé des risques
On ne sait pas si le sécukinumab est excrété dans le lait maternel ou absorbé systématiquement après ingestion. Il n'y a pas de données sur les effets de Cosentyx sur l'enfant allaité ou les effets sur la production de lait. Les avantages du développement et de la santé de l'allaitement doivent être pris en compte avec le besoin clinique de la mère pour Cosentyx et tout effet négatif potentiel sur l'enfant allaité de Cosentyx ou de l'état maternel sous-jacent.
Usage pédiatrique
Administration sous-cutanée
Psoriasis de plaque pédiatrique
La sécurité et l'efficacité de Cosentyx ont été établies pour le traitement de la PSO modérée à sévère chez les patients pédiatriques âgés de 6 ans et plus qui sont candidats à la thérapie systémique ou à la photothérapie [voir Effets indésirables et Études cliniques ].
La sécurité et l'efficacité de Cosentyx chez les patients pédiatriques atteints de PSO de moins de 6 ans n'ont pas été établies.
Arthrite psoriatique juvénile
La sécurité et l'efficacité de Cosentyx ont été établies pour le traitement de la JPSA active chez les patients pédiatriques âgés de 2 ans et plus qui pèsent 15 kg ou plus [voir Effets indésirables et Études cliniques ].
La sécurité et l'efficacité de Cosentyx chez les patients pédiatriques de moins de 2 ans avec JPSA ou avec un poids corporel de moins de 15 kg n'ont pas été établies.
Arthrite liée à l'enthésite
La sécurité et l'efficacité de Cosentyx pour le traitement de l'ère active chez les patients pédiatriques âgés de 4 ans et plus qui pèsent 15 kg ou plus ont été établis [voir Effets indésirables et Études cliniques ].
La sécurité et l'efficacité de Cosentyx chez les patients pédiatriques de moins de 4 ans ou avec un poids corporel de moins de 15 kg n'ont pas été établies.
Hidradénite suppurative
La sécurité et l'efficacité de Cosentyx chez les patients pédiatriques atteints de SH n'ont pas été établies.
Administration intraveineuse
La sécurité et l'efficacité des costumcex intraveineuses chez les patients pédiatriques n'ont pas été établies.
Utilisation gériatrique
Sur les 3430 sujets PSO exposés à des costumex sous-cutanés dans les essais cliniques, un total de 230 (7%) avait 65 ans ou plus et 32 (1%) les sujets étaient âgés de 75 ans ou plus. Bien qu'aucune différence de sécurité ou d'efficacité n'ait été observée entre les sujets de 65 ans ou plus et les sujets adultes plus âgés, le nombre de sujets de 65 ans et plus n'était pas suffisant pour déterminer s'ils réagissent différemment des sujets adultes plus jeunes.
Sur les 1060 sujets atteints de HS exposés à Cosentyx dans les essais cliniques, un total de 14 (NULL,3%) était âgé de 65 ans et plus. Les essais cliniques en HS ne comprenaient pas un nombre suffisant de sujets de 65 ans et plus pour déterminer s'ils réagissent différemment des sujets adultes plus jeunes.
Informations sur la surdose pour Cosentyx
En cas de surdosage, il est recommandé que le patient soit surveillé pour tout signe ou symptôme de réactions indésirables et le traitement symptomatique approprié soit institué. Envisagez de contacter la ligne d'aide du poison (1-800-222-1222) ou un toxicologue médical pour des recommandations supplémentaires de gestion des surdoses.
Contre-indications pour Cosentyx
Cosentyx is contraindicated in patients with a previous serious hypersensitivity reaction to secukinumab or to any of the excipients in Cosentyx. Cases of anaphylaxis have been reported during treatment with Cosentyx [see Avertissements et précautions ].
Pharmacologie clinique for Cosentyx
Mécanisme d'action
Le sécukinumab est un anticorps monoclonal IgG1 humain qui se lie sélectivement à la cytokine interleukine-17a (IL-17A) et inhibe son interaction avec le récepteur IL-17. L'IL-17A est une cytokine naturelle qui est impliquée dans les réponses inflammatoires et immunitaires normales. Le sécukinumab inhibe la libération de cytokines et de chimiokines pro-inflammatoires.
Pharmacodynamique
Des niveaux élevés d'IL-17A se trouvent dans les plaques psoriasiques et dans les lésions HS. Le traitement avec Cosentyx peut réduire les neutrophiles épidermiques et les niveaux d'IL-17A dans les plaques psoriasiques. Les taux sériques d'IL-17A total (IL-17A liés et liés à la secukinum) mesurés à la semaine 4 et 12 ont augmenté après le traitement à la sécurité. Ces activités de pharmacodynamique sont basées sur de petits essais exploratoires. La relation entre ces activités pharmacodynamiques et le ou les mécanismes par lesquelles le sécukinumab exerce ses effets cliniques est inconnu.
Un nombre accru de lymphocytes produisant de l'IL-17A et des cellules immunitaires innées et des niveaux accrus d'IL-17A ont été trouvés dans le sang des patients atteints de PSA et AS. Un nombre accru de lymphocytes produisant de l'IL-17A a également été trouvé chez les patients atteints de NR-AXSPA.
Réponse immunitaire aux vaccins non live pendant le traitement
Les individus en bonne santé qui ont reçu une seule dose de 150 mg de costumcex 2 semaines avant la vaccination avec un vaccin conjugué polysaccharide non approuvé par le groupe C et un vaccin conjugué polysaccharide non approuvé et non approuvé par le vaccin contre la grippe saisonnière ont eu des réponses d'anticorps similaires par rapport aux personnes qui ne recevaient pas de cosntyx avant la vaccination. L'efficacité clinique des vaccins méningocoques et grippaux n'a pas été évaluée chez les patients subissant un traitement avec CosentyX [voir Avertissements et précautions ].
Pharmacocinétique
Pharmacocinétique Folfaibleing Administration sous-cutanée
La pharmacocinétique observée (PK) du Secukinumab administré par voie sous-cutanée chez les patients atteints de PSA PSA et NRAXSPA était similaire. Le Secukinumab PK est également similaire chez les patients pédiatriques atteints d'ERA et de PSO pour le même schéma posologique à plusieurs niveaux.
La concentration moyenne à l'état d'équilibre du Secukinumab était environ 26% plus faible chez les sujets HS que ceux des sujets PSO.
Absorption
Après une seule dose sous-cutanée de 150 mg ou 300 mg (administrée sous forme de deux injections de 150 mg) de costumyx chez les sujets PSO secukinumab a atteint des concentrations de sérum moyens (± SD) (CMAX) de 13,7 ± 4,8 mcg / ml et 27,3 ± 9,5 mcg / ml respectivement par approximation 6 jours après Dose.
Following multiple subcutaneous doses of COSENTYX (administered as one or two injections of 150 mg) the mean (± SD) serum trough concentrations of secukinumab ranged from 22.8 ± 10.2 mcg/mL (150 mg) to 45.4 ± 21.2 mcg/mL (300 mg) at Week 12. At the 300 mg dose at Week 4 and Week 12 the mean trough concentrations resulted from Le stylo captenaire était environ 30% plus élevé que ceux de la seringue prérempli. Après plusieurs doses sous-cutanées de 300 mg administrées via le stylo de 300 mg / 2 ml sans objet, les concentrations moyennes du sérum de Secukinumab étaient généralement cohérentes avec celles de la précédente étude de stylo captenaire utilisée pour livrer 300 mg.
Des concentrations à l'état d'équilibre de Secukinumab ont été réalisées à la semaine 24 à la suite des régimes de dosage Cosentyx de tous les 4 semaines. Les concentrations moyennes (± ET) à l'état d'équilibre des régions à l'état d'équilibre variaient de 16,7 ± 8,2 mcg / ml (150 mg) à 34,4 ± 16,6 mcg / ml (300 mg administrées sous forme de deux injections de 150 mg).
Chez des sujets sains et des sujets atteints de biodisponibilité PSO secukinumab, variaient de 55% à 77% après une dose de costumex sous-cutanée de 150 mg ou 300 mg (administrée sous forme de deux injections de 150 mg).
Après des administrations sous-cutanées de 300 mg de Cosentyx aux semaines 0 1 2 3 et 4, puis toutes les 2 semaines par la suite, des concentrations en régime permanent de Secukinumab ont été obtenues à la semaine 24 dans les deux essais HS. Les concentrations moyennes (± ET) en régime permanent étaient de 55,7 ± 28,9 mcg / ml et 50,5 ± 28,2 mcg / ml dans l'essai HS 1 et HS Essai 2 respectivement.
Distribution
Le volume moyen de distribution pendant la phase terminale (VZ) après une seule administration intraveineuse variait de 7,10 à 8,60 L chez les sujets PSO.
Les concentrations de sécukinumab dans le liquide interstitiel dans la peau lésionnale et non lésionnale des sujets PSO variaient de 27% à 40% de celles en sérum à 1 et 2 semaines après une seule dose sous-cutanée de Cosentyx 300 mg (administré comme deux injections de 150 mg).
Élimination
Métabolisme
La voie métabolique de Secukinumab n'a pas été caractérisée. En tant qu'anticorps monoclonal IgG1κ humain, le sécukinumab devrait être dégradé en petits peptides et acides aminés via des voies cataboliques de la même manière que les IgG endogènes.
Excrétion
La clairance systémique moyenne (CL) variait de 0,14 L / jour à 0,22 L / jour et la demi-vie moyenne variait de 22 à 31 jours chez les sujets PSO après une administration intraveineuse et sous-cutanée dans tous les essais PSO.
Dans une analyse PK de population, le CL systémique moyen chez les sujets atteints de HS était de 0,26 L / jour. La demi-vie d'élimination moyenne, comme l'on estime de l'analyse PK de la population, était de 23 jours chez les sujets HS.
Linéarité de dose
Le Secukinumab a présenté une PK proportionnelle à la dose chez les sujets atteints de PSO sur une plage de dose de 25 mg (environ 0,083 fois la dose recommandée) à 300 mg après des administrations sous-cutanées.
Poids
La clairance de la sécurité et le volume de la distribution augmentent à mesure que le poids corporel augmente.
Populations spécifiques
Patients souffrant de troubles hépatiques ou rénaux
Aucun essai officiel de l'effet de la déficience hépatique ou rénale sur le PK de Secukinumab n'a été mené.
Patients gériatriques
L'analyse de la population PK a indiqué que la clairance du Secukinumab n'était pas significativement influencée par l'âge chez les sujets adultes atteints de PSA PSA et AS. Les sujets qui ont 65 ans ou plus avaient une autorisation apparente de secUkinumab similaire aux sujets de moins de 65 ans.
Patients pédiatriques
Dans un pool de deux essais pédiatriques, des sujets atteints de PSO modéré à sévère (6 ans et plus) ont été administrés au sous-cutanée Cosentyx au régime de dosage pédiatrique recommandé. À la semaine 24 moyenne à l'état d'équilibre de Secukinumab ± SD, les concentrations de creux du sérum étaient de 32,6 ± 10,8 mcg / ml (n = 8) 19,8 ± 6,96 mcg / ml (n = 24) et 27,3 ± 10,1 mcg / ml (n = 36) chez les sujets qui pesaient moins de 25 kg et ont reçu 75 mg de kg et de sous-cutanes a reçu 75 mg de costumex sous-cutanés et de sujets qui pesaient au moins 50 kg et ont reçu respectivement 150 mg de costumyx sous-cutanés.
Dans un essai pédiatrique, les patients JPSA et ERA (2 à moins de 18 ans) ont été administrés au sous-cutané Cosentyx au régime de dosage pédiatrique recommandé. À la semaine 24, les patients qui pesaient au moins 15 kg et moins de 50 kg et les patients qui pesaient au moins 50 kg avaient une concentration de creux à l'état d'équilibre moyen ± ET de 25,2 ± 5,45 mcg / ml (n = 10) et 27,9 ± 9,57 mcg / ml (n = 19) respectivement.
Interactions médicamenteuses
Substrats du cytochrome P450
Chez les sujets adultes atteints de PSO Midazolam (substrat CYP3A4), le PK était similaire lorsqu'il était administré seul ou lorsqu'il est administré après une seule ou cinq administrations sous-cutanées hebdomadaires de 300 mg de Cosentyx [voir [voir Interactions médicamenteuses ].
Pharmacocinétique Folfaibleing Administration intraveineuse
À la suite d'une administration intraveineuse de 1,75 mg / kg de dose d'entretien toutes les quatre semaines avec ou sans dose de chargement de 6 mg / kg au jour 0 Les concentrations moyennes de SecUkinumab [CAVGSS) et les concentrations maximales de SecUkinumab (CMAXSS) sont estimées à la gamme des concentrations stables (CMAXSS)] Administration sous-cutanée de 150 mg et 300 mg de doses de costumyx administrées toutes les quatre semaines.
Immunogénicité
L'incidence observée des anticorps anti-drogue dépend fortement de la sensibilité et de la spécificité du test.
Les différences dans les méthodes de test empêchent des comparaisons significatives de l'incidence des anticorps anti-drogue (ADA) dans les essais décrits ci-dessous avec l'incidence de l'ADA dans d'autres essais, y compris ceux de Cosentyx (secukinumab).
L'immunogénicité de Cosentyx a été évaluée à l'aide d'un immunodosage de pontage basé sur l'électrochimiluminescence. Moins de 1% des sujets traités avec Cosentyx ont développé des anticorps contre le sécukinumab au cours jusqu'à 52 semaines de traitement. Cependant, ce test a des limites à la détection des anticorps anti-sescukinumab en présence de sécukinumab; Par conséquent, l'incidence du développement des anticorps pourrait ne pas avoir été déterminée de manière fiable.
Dans jusqu'à 52 semaines de traitement dans des essais contrôlés chez les patients atteints de PSO PSA comme NR-AXSPA HS Pediatric PSO JPSA et ERA [voir Études cliniques ] L'incidence de la formation des anticorps anti-sescukinumab (appelée ADA) était inférieure à 1% (25 sur 6268 des sujets traités avec Cosentyx). Parmi les sujets traités avec Cosentyx qui ont développé de l'ADA, environ 8% ont développé des anticorps neutralisants. En raison de la faible occurrence de l'ADA, l'effet de ces anticorps sur la pharmacocinétique en pharmacodynamique La sécurité ou l'efficacité de Cosentyx est inconnue.
Études cliniques
Psoriasis de plaque adulte
Quatre essais contrôlés par placebo en double aveugle multicentrique en double aveugle de Cosentyx sous-cutanés (essais PSO1 PSO2 PSO3 et PSO4) ont inscrit 2403 sujets (691 randomisés à Cosentyx 300 mg 692 à Cosentx 150 mg 694 au placebo et 323 pour un minimum de contrôle actif) 10% et la zone du psoriasis et l'indice de gravité (PASI) scorent plus élevés ou égaux à 12 et qui étaient candidats à la photothérapie ou à la thérapie systémique. Dans ces études, chaque dose de 300 mg a été administrée sous forme de deux injections de 150 mg.
- L'essai PSO1 (NCT01365455) a inscrit 738 sujets (245 randomisés à Cosentyx 300 mg 245 à Cosentyx 150 mg et 248 au placebo). Les sujets ont reçu un traitement sous-cutané aux semaines 0 1 2 3 et 4 suivis d'une dosage toutes les 4 semaines. Les sujets randomisés pour recevoir un placebo qui n'étaient pas des répondants à la semaine 12 ont été traversés pour recevoir Cosentyx (300 mg ou 150 mg) aux semaines 12 13 14 15 et 16 suivis de la même dose toutes les 4 semaines. Tous les sujets ont été suivis jusqu'à 52 semaines après la première administration de traitement des essais.
- L'essai PSO2 (NCT01358578) a inscrit 1306 sujets (327 randomisés en costumex 300 mg 327 à Cosentyx 150 mg 326 au placebo et 323 à un contrôle actif biologique). Les sujets ont reçu un traitement sous-cutané aux semaines 0 1 2 3 et 4 suivis d'une dosage toutes les 4 semaines. Les sujets randomisés pour recevoir un placebo qui n'étaient pas des répondants à la semaine 12 traversés pour recevoir Cosentyx (300 mg ou 150 mg) aux semaines 12 13 14 15 et 16 suivis de la même dose toutes les 4 semaines. Tous les sujets ont été suivis jusqu'à 52 semaines après la première administration de traitement des essais.
- L'essai PSO3 (NCT01555125) a inscrit 177 sujets (59 randomisés à Cosentyx 300 mg 59 à Cosentyx 150 mg et 59 au placebo) et évalué la tolérabilité de sécurité et l'utilisabilité de l'auto-administration Cosentyx via une seringue préfilée pendant 12 semaines. Les sujets ont reçu un traitement sous-cutané aux semaines 0 1 2 3 et 4 suivis de la même dose toutes les 4 semaines jusqu'à 12 semaines au total.
- L'essai PSO4 (NCT01636687) a inscrit 182 sujets (60 randomisés à Cosentyx 300 mg 61 à Cosentyx 150 mg et 61 au placebo) et évalué la tolérabilité de sécurité et l'utilisabilité de l'auto-administration Cosentyx via un stylo sensorient pendant 12 semaines. Les sujets ont reçu un traitement sous-cutané aux semaines 0 1 2 3 et 4 suivis de la même dose toutes les 4 semaines jusqu'à 12 semaines au total.
Points de terminaison
Dans tous les essais, les critères d'évaluation étaient la proportion de sujets qui ont atteint une réduction du score PASI d'au moins 75% (PASI 75) de la ligne de base à la semaine 12 et le succès du traitement (clair ou presque clair) sur l'évaluation globale de l'investigateur modifié 2011 (IGA). D'autres résultats évalués comprenaient la proportion de sujets qui ont réalisé une réduction du score PASI d'au moins 90% (PASI 90) par rapport à la ligne de base à la semaine 12 d'entretien de l'efficacité à la semaine 52 et des améliorations de la douleur et de l'échelle qui démangent à la semaine 12 en fonction de la révision des symptômes de psoriasis.
Le PASI est un score composite qui prend en considération à la fois le pourcentage de BSA affecté et la nature et la gravité des changements psoriasiques au sein des régions affectées (érythème et mise à l'échelle d'induration). L'IGA est une échelle à 5 catégories comprenant 0 = claire 1 = presque claire 2 = légère 3 = modéré ou 4 = sévère indiquant l'évaluation globale du médecin de la gravité du psoriasis se concentrant sur l'érythème d'induration et la mise à l'échelle. Le succès du traitement de claire ou presque clair ne consistait en aucun signe de psoriasis ou coloration normale à rose des lésions sans épaississement de la plaque et aucune à une échelle focale minimale.
Caractéristiques de la maladie de base
Dans tous les groupes de traitement, le score PASI de base variait de 11 à 72 avec une médiane de 20 et le score IgA de base variait de modéré (62%) à sévère (38%). Sur les 2077 sujets PSO qui ont été inclus dans les essais contrôlés par placebo, 79% étaient naïfs de biologie (n'ont jamais reçu de traitement antérieur avec des biologiques) et 45% étaient des défaillances non biologiques (n'ont pas répondu à un traitement antérieur avec des thérapies non biologiques). Parmi les sujets qui ont reçu un traitement antérieur avec des biologiques sur un tiers étaient des échecs biologiques. Environ 15% à 25% des sujets d'essai avaient des antécédents d'arthrite psoriasique.
Réponse clinique
Les résultats des essais PSO1 et PSO2 sont présentés dans le tableau 3.
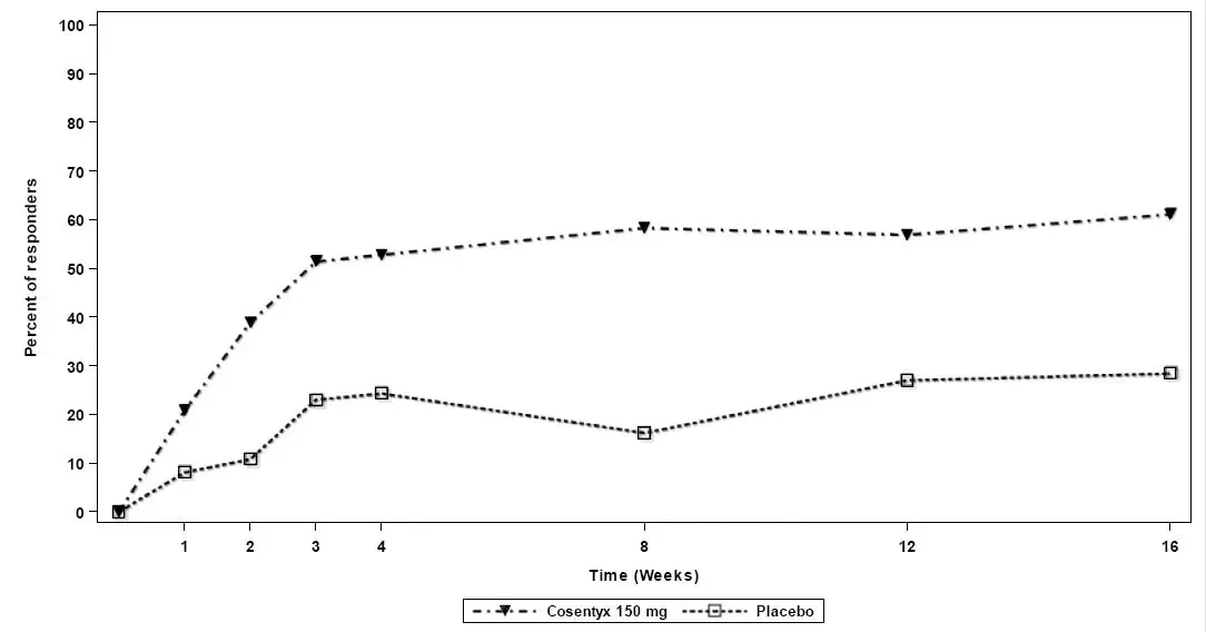
Tableau 3: Résultats cliniques à la semaine 12 chez les adultes atteints de PSO dans les essais PSO1 et PSO2 (traitement sous-cutané)
| Essai PSO1 | Essai pso2 | |||||
| Cosentyx 300 mg (N = 245) n (%) | Cosentyx 150 mg (N = 245) n (%) | Placebo (N = 248) n (%) | Cosentyx 300 mg (N = 327) n (%) | Cosentyx 150 mg (N = 327) n (%) | Placebo (N = 326) n (%) | |
| Réponse pasi 75 | 200 (82) | 174 (71) | 11 (4) | 249 (76) | 219 (67) | 16 (5) |
| Iga de clair ou presque clair | 160 (65) | 125 (51) | 6 (2) | 202 (62) | 167 (51) | 9 (3) |
Les résultats des essais PSO3 et PSO4 sont présentés dans le tableau 4.
Tableau 4: Résultats cliniques à la semaine 12 chez les adultes atteints de PSO dans les essais PSO3 et PSO4 (traitement sous-cutané)
| Essai PSO3 | Essai PSO4 | |||||
| Cosentyx 300 mg (N = 59) n (%) | Cosentyx 150 mg (N = 59) n (%) | Placebo (N = 248) n (%) | Cosentyx 300 mg (N = 60) n (%) | Cosentyx 150 mg (N = 61) n (%) | Placebo (N = 61) n (%) | |
| Réponse pasi 75 | 44 (75) | 41 (69) | 0 (0) | 52 (87) | 43 (70) | 2 (3) |
| Iga de clair ou presque clair | 40 (68) | 31 (53) | 0 (0) | 44 (73) | 32 (52) | 0 (0) |
L'examen du sexe d'âge et des sous-groupes raciaux n'a pas identifié de différences de réponse à Cosentyx parmi ces sous-groupes. Sur la base des analyses de sous-groupe post-hoc chez des sujets avec des sujets PSO modérés à sévères ayant un poids corporel inférieur et la gravité de la maladie inférieure peut obtenir une réponse acceptable avec Cosentyx 150 mg.
La réponse de PASI 90 à la semaine 12 a été obtenue avec Cosentyx 300 mg et 150 mg par rapport au placebo dans 59% (145/245) et 39% (95/245) contre 1% (3/248) des sujets respectivement (essai PSO1) et 54% (175/327) et 42% (137/327) Versu Pso2). Des résultats similaires ont été observés dans les essais PSO3 et PSO4.
- Avec un traitement continu de plus de 52 semaines, des sujets dans l'essai PSO1 qui étaient des intervenants PASI 75 à la semaine 12 ont maintenu leurs réponses dans 81% (161/200) des sujets traités avec Cosentyx 300 mg et dans 72% (126/174) de sujets traités avec Cossentyx 150 mg. Les sujets PSO1 d'essai qui étaient clairs ou presque clairs sur l'IGA à la semaine 12 ont également maintenu leurs réponses dans 74% (119/160) des sujets traités avec Cosentyx 300 mg et dans 59% (74/125) des sujets traités avec COSETYX 150 mg.
- De même dans l'essai PSO2 PASI 75 Les répondants ont maintenu leurs réponses dans 84% (210/249) des sujets traités avec Cosentyx 300 mg et dans 82% (180/219) des sujets traités avec Cosentyx 150 mg. Les sujets PSO2 d'essai qui étaient clairs ou presque clairs sur l'IGA ont également maintenu leurs réponses dans 80% (161/202) des sujets traités avec Cosentyx 300 mg et dans 68% (113/167) des sujets traités avec COSETYX 150 mg.
Parmi les sujets qui ont choisi de participer (39%) dans les évaluations du patient ont signalé des améliorations des résultats dans les signes et symptômes liés à la douleur et à la mise à l'échelle des démangeaisons à la semaine 12 par rapport au placebo (essais PSO1 et PSO2) ont été observés en utilisant le Psoriasis Symptom Diary ©.
Lésions de psoriasis du cuir chevelu
Un essai randomisé contrôlé par placebo (essai PSO5; NCT02267135) a inscrit 102 sujets avec des lésions de psoriasis modérées à sévères du cuir chevelu défini comme ayant un score de gravité du cuir chevelu de psoriasis (PSSI) de plus grand que ou égal à 12 un score de scalp IgA seulement de 3 ou supérieurs et au moins 30% de l'échelle émettrée. Dans cet essai, 62% des sujets avaient au moins 50% de la surface du cuir chevelu affectée. Dans cette étude, chaque dose de 300 mg a été administrée comme deux injections de 150 mg. Les proportions de sujets atteignant un score du cuir chevelu IgA uniquement de 0 ou 1 (clair ou presque clair) étaient respectivement de 56,9% et 5,9% pour le Cosentyx 300 mg et les groupes placebo respectivement.
300 mg/2 mL Pre-filled Syringe And 300 mg/2 mL UnoReady Pen
Deux essais randomisés de 52 semaines contrôlés par placebo en double aveugle (PSO6 et PSO7) ont inscrit 336 sujets au moins 18 ans avec une PSO modérée à sévère qui sont des candidats à une thérapie systémique ou à une photothérapie pour évaluer la sécurité et l'efficacité de Cosentyx 300 Mg sous-cutanée avec un seul Syring préfilé de 300 mg / 2 ml (STRESSE PSO6 (STSO6 SYINGE 300 mg / 2 ml (Syring PSO6. NCT02748863 214 patients) ou avec un seul PEN inférieur de 300 mg / 2 ml (essai PSO7 NCT03589885 122 patients) par rapport à deux injections sous-cutanées en utilisant une seringue pré-rempli de 150 mg / 1 ml. Les critères d'évaluation co-primaire pour les deux essais étaient la proportion de sujets qui ont obtenu une réponse PASI 75 et Iga Mod 2011 `` Clear ''
Tableau 5: Résultats cliniques à la semaine 12 chez les adultes atteints de PSO dans les essais PSO6 et PSO7 (traitement sous-cutané)
| Essai PSO6 | Essai PSO7 | |||||
| Cosentyx 300 mg | Placebo (N = 71)% | Cosentyx 300 mg | Placebo (N = 40)% | |||
| 2 ml PFS (N = 72)% | Deux PF de 1 ml (N = 71)% | Pen 2 ml (N = 41)% | Deux PF de 1 ml (N = 41)% | |||
| Iga de clair ou presque clair | 76 | 69 | 1 | 76 | 68 | 8 |
| Réponse pasi 75 | 89 | 82 | 2 | 95 | 83 | 10 |
| Réponse PASI 90 | 67 | 70 | 2 | 76 | 62 | 5 |
| Abréviation: seringue pré-remplie PFS. Les données manquantes ont été imputées en utilisant une imputation multiple. |
Psoriasis de plaque pédiatrique
Un essai multicentrique multicentrique de 52 semaines en double aveugle et un essai à commande active (essai PSO8; NCT02471144) a inscrit 162 sujets pédiatriques de 6 ans et plus avec une psoriasie de plaque sévère (telle que définie par un score PASI ≥ 20 un score de canne à ≥ 10% de la BSA).
Les sujets ont été randomisés pour recevoir un placebo sous-cutané Cosentyx ou un contrôle actif biologique. Dans les groupes Cosentyx, les sujets avec BW de moins de 25 kg ont reçu 75 mg de sujets avec BW 25 à moins de 50 kg ont reçu 75 mg ou 150 mg (2 fois la dose recommandée) et les sujets avec BW au moins 50 kg ont reçu 150 mg ou 300 mg (2 fois la dose recommandée). Dans cette étude, chaque dose de 300 mg a été administrée comme deux injections sous-cutanées de 150 mg. Les sujets des groupes Cosentyx et Placebo ont reçu un traitement sous-cutané aux semaines 0 1 2 3 et 4 suivis d'une dosage toutes les 4 semaines. À la semaine 12, des sujets randomisés dans un placebo qui n'étaient pas des répondants ont été transférés à Cosentyx (dose basés sur le poids corporel) et ont reçu Cosentyx aux semaines 12 13 14 et 15 suivis de la même dose toutes les 4 semaines à partir de la semaine 16.
Caractéristiques de base
Dans l'ensemble, 60% des sujets étaient des femmes à 83% étaient blanches, le BW médian était de 50,6 kg et l'âge moyen était de 13,5 ans avec 23% des sujets inférieurs à 12 ans. Au départ, le score PASI médian était de 26 (varié de 17 à 60) et 99% des sujets avaient un score de 4 modifié de l'IGA de 4 («sévère»). Environ 43% des sujets avaient une exposition préalable à la photothérapie 53% à la thérapie systémique conventionnelle 3% aux biologiques et 9% avaient une arthrite psoriatique concomitante.
Points de terminaison
Les critères d'évaluation co-primaire étaient la proportion de sujets qui ont réalisé une réduction du score PASI d'au moins 75% (PASI 75) de la ligne de base à la semaine 12 et la proportion de sujets qui ont obtenu un score IgA modifié en 2011 de «clair»
Réponse clinique
Le tableau 6 présente les résultats de l'efficacité à la semaine 12 par des strates de poids de base pour la dose approuvée dans l'essai PSO8.
Tableau 6: Résultats cliniques à la semaine 12 chez des sujets pédiatriques atteints de PSO sévère dans l'essai PSO8 (traitement sous-cutané)
| Poids corporel <50 kg | Poids corporel ≥ 50 kg | Total | ||||
| Cosentyx 75 mg (N = 22) n (%) | Placebo (N = 20) n (%) | Cosentyx 150 mg (N = 21) n (%) | Placebo (N = 21) n (%) | Cosentyx a (N = 43) n (%) | Placebo (N = 41) n (%) | |
| Iga de clair ou presque clair | 7 (32) | 1 (5) | 17 (81) | 1 (5) | 24 (56) | 2 (5) |
| Réponse pasi 75 | 12 (55) | 2 (10) | 18 (86) | 4 (19) | 30 (70) | 6 (15) |
| Réponse PASI 90 | 9 (41) | 1 (5) | 17 (81) | 0 (0) | 26 (60) | 1 (2) |
| L'imputation non-réponse a été utilisée pour gérer les valeurs manquantes. a Cosentyx treated subjects received 75 mg for subjects less than 50 kg et 150 mg for subjects at least 50 kg body weight. |
Arthrite psoriatique adulte
La sécurité et l'efficacité de Cosentyx ont été évaluées chez 1999 patients dans 3 essais aléatoires randomisés en double aveugle sur place (PSA1 PSA2 et PSA3) chez les patients adultes âgés de 18 ans et plus avec un PSA actif (supérieur ou égal à 3 articulations non stéroïdiennes (médicament anti-inflammatoire (NSAID) cortiquement corroïdal (médicament anti-inflammatoire NSAID) Thérapie. Les patients de ces essais ont eu un diagnostic de PSA d'au moins 5 ans dans tous les essais.
- L'étude PSA1 (NCT 01752634) a évalué 397 patients qui ont été traités avec 75 mg 150 mg ou 300 mg de costumcex (administré par deux injections sous-cutanées de 150 mg) aux semaines 0 1 2 3 et 4 suivies de la même dose sous-cutanée toutes les 4 semaines. Les patients qui ont reçu un placebo ont été re-randomisés pour recevoir des costumex sous-cutanés (150 mg ou 300 mg toutes les 4 semaines) à la semaine 16 ou à la semaine 24 en fonction du statut de répondeur. Le critère d'évaluation principal était le pourcentage de patients atteignant une réponse ACR20 à la semaine 24.
- L'étude PSA2 (NCT 01392326) a évalué 606 patients traités avec du sécukinumab intraveineux 10 mg / kg ou un placebo aux semaines 0 2 et 4 suivis de 75 mg ou 150 mg de traitement Coséntx sous-cutané (ou placebo) toutes les 4 semaines. Les patients qui ont reçu un placebo ont été re-randomisés pour recevoir des cosyntyx sous-cutanés (75 mg ou 150 mg toutes les 4 semaines) à la semaine 16 ou à la semaine 24 en fonction de l'état du répondeur.
- L'étude PSA3 (NCT 02404350) a évalué 996 patients qui ont été traités avec 150 mg ou 300 mg de costumyx (administré par deux injections sous-cutanées de 150 mg) aux semaines 0 1 2 3 et 4 suivis de la même dose sous-cutanée toutes les 4 semaines ou une fois toutes les 4 semaines de costéx 150 mg. Les patients traités par placebo ont reçu des costumex sous-cutanés 150 mg ou 300 mg par randomisation de base à la semaine 16 ou à la semaine 24 en fonction de l'état du répondeur. Le critère d'évaluation principal a été la réponse ACR20 à la semaine 16 avec le critère d'évaluation secondaire clé Le changement par rapport à la ligne de base en score Sharp total modifié (MTSS) à la semaine 24.
Caractéristiques de la maladie de base
Au départ, plus de 61% et 42% des patients avaient respectivement l'enthésite et la dactylite. Dans l'ensemble, 31% des patients ont interrompu le traitement précédent avec des agents anti-TNFα en raison du manque d'efficacité ou d'intolérance. De plus, environ 53% des patients des deux études avaient une utilisation concomitante de méthotrexate (MTX). Les patients avec différents sous-types de PSA ont été inscrits, y compris l'arthrite polyarticulaire, sans signe de nodules rhumatoïdes (80%) arthrite périphérique asymétrique (63%) d'atteinte interphalangienne distale (58%) spondylite avec arthrite périphérique (20%) et muniles d'arthrite (7%).
Réponse clinique
Dans PSA1. Les patients traités avec 150 mg ou 300 mg de costumyx ont démontré une plus grande réponse clinique, y compris ACR20. ACR50. et ACR70 par rapport aux patients traités par placebo à la semaine 24 (tableau 7). Les réponses étaient similaires chez les patients, quel que soit le traitement concomitant MTX. Les réponses ont été observées indépendamment de l'anti-TNFO antérieur. exposition.
Chez les patients atteints de PSO coexistant, recevant des costumex (n = 99), les lésions cutanées du psoriasis se sont améliorées avec le traitement par rapport au placebo mesuré par l'indice de gravité de la zone du psoriasis (PASI).
Tableau 7: Réponses a Dans l'étude PSAL à la semaine 16 et la semaine 24 (traitement sous-cutané)
| Cosentyx 150 mg (N = 100) | Cosentyx 300 mg (N = 100) | Placebo (N = 98) | Différence par rapport au placebo (95% CL) | ||
| Cosentyx 150 mg | Cosentyx 300 mg | ||||
| Réponse ACR20 | |||||
| Semaine 16 (%) | 60 | 57 | 18 | 42 (30 54) | 38 (26. 51) |
| Semaine 24 (%) | 51 | 54 | 15 | 36 (24 48) | 39 (NULL,51) |
| Réponse ACR50 | |||||
| Semaine 16 (%) | 37 | 35 | 6 | 31 (21 42) | 28 (18. 39) |
| Semaine 24 (° / o) | 35 | 35 | 7 | 28 (NULL,38) | 28 (17 38) |
| Réponse ACR70 | |||||
| Semaine 16 (%) | 17 | 15 | 2 | 15 (723) | 13 (5.20) |
| Semaine 24 (%) | 21 | 20 | 1 | 20 (12 28) | 19 (11.27) |
| a Les patients qui répondaient aux critères d'évasion (moins de 20% d'amélioration des dénombrements articulaires tendres ou gonflés) à la semaine 16 ont été considérés comme des non-répondants. |
Le pourcentage de patients qui a obtenu une réponse ACR20 par visite est illustré à la figure 1. Les patients sur placebo qui ont reçu Cosentyx sans régime de chargement ont obtenu des réponses ACR20 similaires au fil du temps (données non présentées).
Figure 1: pour cent des patients adultes qui ont obtenu une réponse ACR 20 a dans l'étude PSAL à la semaine 24 (traitement sous-cutané)
|
a Les patients qui répondaient aux critères d'évasion (moins de 20% d'amélioration des dénombrements articulaires tendres ou gonflés) à la semaine 16 ont été considérés comme des non-répondants.
Les améliorations des composants des critères de réponse ACR dans l'étude PSA1 sont présentées dans le tableau 8.
Tableau 8: Changement moyen par rapport à la ligne de base dans les composants ACR à la semaine 16 a (Étude PSA1) (traitement sous-cutané)
| Cosentyx 150 mg (N = 100) | Cosentyx 300 mg (N = 100) | Placebo (N = 98) | |
| Nombre d'articulations gonflées | |||
| Base de base | 12.0 | 11.2 | 12.1 |
| Changement moyen à la semaine 16 | -4.86 | -5.83 | -3.22 |
| Nombre de joints tendres | |||
| Base de base | 24.1 | 20.2 | 23.5 |
| Changement moyen à la semaine 16 | -10.70 | -10.01 | -1.77 |
| Évaluation de la douleur par le patient | |||
| Base de base | 58.9 | 57.7 | 55.4 |
| Changement moyen à la semaine 16 | -22.91 | -23.97 | -7.98 |
| Évaluation globale des patients | |||
| Base de base | 62.0 | 60.7 | 57.6 |
| Changement moyen à la semaine 16 | -25.47 | -25.40 | -8.25 |
| Évaluation globale des médecins | |||
| Base de base | 56.7 | 55.0 | 55.0 |
| Changement moyen à la semaine 16 | -29.24 | -34.71 | -14.95 |
| Indice de handicap (HAQ) | |||
| Base de base | 1.2200 | 1.2828 | 1.1684 |
| Changement moyen à la semaine 16 | -0.45 | -0.55 | -0.23 |
| CRP (Mg / L) | |||
| Base de base | 14.15 | 10.88 | 7.87 |
| Changement moyen à la semaine 16 b | -8.41 | -7.21 | 0.79 |
| a Les données de la semaine 16 plutôt que de la semaine 24 sont affichées pour fournir une comparaison entre les armes avant l'évasion du placebo vers Cosentyx. b Changement moyen basé sur les données observées. |
Des améliorations des scores d'enthésite et de dactylite ont été observées dans chaque groupe Cosentyx par rapport au placebo à la semaine 24.
Réponse radiographique
Dans l'étude PSA3, l'inhibition de la progression des dommages structurels a été évaluée radiographiquement et exprimée par le MTSS modifié et ses composants le (ES) (ES) et le score de rétrécissement de l'espace conjoint (JSN) à la semaine 24 par rapport à la ligne de base. Des radiographies de poignets de mains et des pieds ont été obtenues à la semaine de base 16 et / ou la semaine 24 et ont marqué indépendamment par au moins deux lecteurs qui ont été aveugles au groupe de traitement et au numéro de visite. Le traitement avec des costumcex sous-cutanés 150 mg sans dose de chargement de 150 mg avec une dose de chargement et 300 mg avec une dose de chargement a inhibé considérablement la progression des lésions articulaires périphériques par rapport au traitement avec un placebo, mesuré par le changement par rapport à la ligne de base en MTSS à la semaine 24. 75,7% 70,9% et 76,5% pour les costumex 150 mg sans dose de chargement 150 mg 300 mg respectivement contre 68,2% pour le placebo.
Tableau 9: Taux de variation par 24 semaines en score net total modifié (traitement sous-cutané)
| Traitement | N | Taux de variation par 24 semaines | Différence par rapport au placebo (IC à 95%) |
| Cosentyx 150 mg without a loading dose | 210 | -0.10 | -0.61 (-0,95 -0,26) |
| Cosentyx 150 mg with a loading dose | 213 | 0.14 | -0.37 (-0,71 -0,03) |
| Cosentyx 300 mg with a loading dose | 217 | 0.03 | -0.48 (-0,82 -0,14) |
| Placebo | 296 | 0.51 | - |
Résultats d'un modèle à effets mixtes linéaires qui exclut les données après évasion pour les sujets placebo qui ont reçu une thérapie d'évasion à la semaine 16. Le modèle suppose une progression approximativement linéaire au fil du temps et estime une différence de taux (pentes) de progression sur 24 semaines pour comparer les bras de traitement.
Fonction physique
L'amélioration de la fonction physique évaluée par l'indice du questionnaire sur le questionnaire sur la santé (HAQ-DI) a démontré que la proportion de patients qui avait atteint au moins -0,3 l'amélioration du score HAQ-DI par rapport à la ligne de base était plus élevée dans le groupe sous-cutané de 150 mg et 300 mg par rapport au groupe PlaceBO à la semaine 16. -0,45 dans le groupe Cosentyx 150 mg et -0,55 dans le groupe Cosentyx 300 mg.
Traitement Of Adult Patients With Active Arthrite psoriatique With Intravenous Cosentyx
L'efficacité du costumyx intraveineux dans le traitement des patients adultes atteints de PSA active a été extrapolé à partir de l'efficacité établie du costumyx sous-cutané chez les patients adultes atteints de PSA active à base d'une exposition pharmacocinétique [voir Pharmacologie clinique ].
Spondylarthrite ankylosante
L'innocuité et l'efficacité de Cosentyx sous-cutanées ont été évaluées chez 816 patients adultes (âgés de 18 ans et plus) avec des essais randomisés contrôlés par placebo en double aveugle (AS1 AS2 et AS3). Les patients avaient une maladie active telle que définie par l'indice d'activité de la maladie de la spondylite de l'ankylosage du bain (BASDAI) supérieur ou égal à 4 malgré un traitement anti-inflammatoire non stéroïdal (AINS) corticostéroïde ou de la maladie modifiant le médicament anti-rhéumatique (DMARD).
- L'étude AS1 (NCT01649375) a évalué 219 patients qui ont été traités avec 75 mg ou 150 mg de traitement Cosentyx sous-cutané aux semaines 0 1 2 3 et 4 suivis de la même dose toutes les 4 semaines. À la semaine 16, les patients qui ont reçu un placebo ont été re-randomisés à 75 mg ou 150 mg de costumex sous-cutanés toutes les 4 semaines. Le critère d'évaluation principal était le pourcentage de patients qui ont obtenu une réponse ASAS20 à la semaine 16.
- L'étude AS2 (NCT01358175) a évalué 371 patients qui ont été traités avec du sécukinumab intraveineux 10 mg / kg aux semaines 0 2 et 4 (pour les deux bras de traitement) ou un placebo suivi de 75 mg ou 150 mg de traitement sous-cutané Coséntx toutes les 4 semaines ou un placebo. Les patients qui ont reçu un placebo ont été re-randomisés pour recevoir des cosyntyx sous-cutanés (75 mg ou 150 mg toutes les 4 semaines) à la semaine 16 ou à la semaine 24 en fonction de l'état du répondeur.
- L'étude AS3 (NCT02008916) a évalué 226 patients qui ont été traités avec du sécukinumab intraveineux 10 mg / kg aux semaines 0 2 et 4 (pour les deux bras de traitement) ou un placebo suivi de 150 mg ou 300 mg de traitement par cosyxx sous-cutané toutes les 4 semaines ou placebo. Les patients qui ont reçu un placebo ont été re-randomisés pour recevoir des costumcex sous-cutanés (150 mg ou 300 mg toutes les 4 semaines) à la semaine 16. Le critère d'évaluation principal était le pourcentage de patients qui ont obtenu une réponse ASAS20 à la semaine 16. Les patients ont été aveugles au régime de traitement jusqu'à la semaine 52 et l'essai a poursuivi la semaine 156. Dans cette étude.
Caractéristiques de la maladie de base
Au départ, environ 13% et 25% ont utilisé respectivement du MTX ou de la sulfasalazine concomitants. Dans l'ensemble, 29% des patients ont interrompu le traitement précédent avec des agents anti-TNFα en raison du manque d'efficacité ou d'intolérance.
Réponse clinique
Chez AS1, les patients traités avec 150 mg de costumyx ont démontré des améliorations plus importantes des réponses ASAS20 et ASAS40 par rapport aux patients traités par placebo à la semaine 16 (tableau 10). Les réponses étaient similaires chez les patients, quelles que soient les thérapies concomitantes.
Tableau 10: Réponses ASAS20 et ASAS40 dans tous les patients à la semaine 16 dans l'étude AS1 (traitement sous-cutané)
| Cosentyx 150 mg (n = 72) | Placebo (n = 74) | Différence par rapport au placebo (IC à 95%) | |
| Réponse ASAS20% | 61 | 28 | 33 (18 48) |
| Réponse ASAS40% | 36 | 11 | 25 (12 38) |
Les améliorations des principales composantes des critères de réponse ASAS20 et d'autres mesures de l'activité de la maladie sont présentées dans le tableau 11.
Tableau 11: Composants ASAS20 et autres mesures de l'activité de la maladie à la semaine 16 (étude AS1) (traitement sous-cutané)
Les probiotiques interagissent-ils avec tous les médicaments
| Cosentyx 150 mg (N = 72) | Placebo (N = 74) | |||
| Base de base | Changement de la semaine 16 par rapport à la ligne de base | Base de base | Changement de la semaine 16 par rapport à la ligne de base | |
| Critères de réponse ASAS20 | ||||
| - Évaluation globale des patients de l'activité de la maladie (0-100 mm) 1 | 67.5 | -27.7 | 70.5 | -12.9 |
| - Douleurs vertébrales totales (0-100 mm) | 66.2 | -28.5 | 69.2 | -10.9 |
| -Basfi (0-10) 2 | 6.2 | -2.2 | 6.1 | -0.7 |
| -Inflammation (0-10) 3 | 6.5 | -2.5 | 6.5 | -0.8 |
| Score de basdai 4 | 6.6 | -2.2 | 6.8 | -0.9 |
| Basmi 5 | 3.6 | -0.51 | 3.9 | -0.22 |
| liscrp 6 (Mg L) Moyenne du changement à la semaine 1 6 | 27.0 | -17.2 | 15.9 | 0.8 |
| 1 Pourcentage de sujets avec au moins une amélioration de 20% - et 10 unités mesurée sur une échelle analogique visuelle (EVA) avec 0 = aucun 100 = sévère. 2 BAIN ANKYLOSE SPONDYLAISE INDEX FONCTIONNEL. 3 L'inflammation est la moyenne de deux auto-évaluations Stihess signalées par le patient à Basdai. 4 Indice d'activité de la maladie de la spondylite de l'ankylosage du bain. 5 Indice de métrologie de la spondylite ankylosante du bain. 6 Protéine C-réactive à haute sensibilité / changement moyen basé sur les données observées. |
Le pourcentage de patients qui ont obtenu des réponses ASAS20 par visite est illustré à la figure 2. Les patients sur placebo qui ont reçu Cosentyx sans schéma de chargement ont obtenu des réponses ASAS20 similaires au fil du temps (données non présentées).
Figure 2: Réponses ASAS20 dans tous les patients AS1 Étude des patients au fil du temps jusqu'à la semaine 16 (traitement sous-cutané)
|
Chez AS3, les patients SMDY traités avec des costumcex sous-cutanés (150 mg et 300 mg) ont démontré des signes et symptômes améliorés et ont eu des réponses d'efficacité comparables, quelle que soit la dose supérieure au placebo à la semaine 16 pour les critères d'évaluation primaires et les plus secondaires. À la semaine 16. Les réponses ASAS20 et ASAS40 étaient de 58,1% et 40,5% pour 150 mg et 60,5% et 42,1% pour 300 mg. respectivement. Le pourcentage des patients atteignant des réponses ASAS20 par visite est illustré à la figure 3.
Cosentyx treated patients showed improvement compared to placebo-treated patients in health-related quality of life as assessed by ASQoL at Semaine 16.
Figure 3: Réponses ASAS20 dans tous les patients AS3 Étude au fil du temps jusqu'à la semaine 16 (traitement sous-cutané)
|
Traitement Of Adult Patients With Active Spondylarthrite ankylosante With Intravenous Cosentyx
L'efficacité des costumcex intraveineux dans le traitement des patients adultes atteints de rythme actif comme a été extrapolé à partir de l'efficacité établie des patients adultes sous-cutanés Cosentyx HI atteints d'actif comme basé sur une exposition pharmacocinétique [voir Pharmacologie clinique ].
Spondyloarthrite axiale du Nou-radiographique
L'innocuité et l'efficacité de Cosentyx ont été évaluées chez 555 patients adultes (âgés de 18 ans et plus) avec une étude de phase 3 contrôlée par M-Axpain active Randomisée, une étude de phase 3 contrôlée par placebo (NR-AXSPAL. NCT02696031). Les patients répondaient aux critères ASAS pour AXSPA avec des signes objectifs d'inflammation et avaient une maladie active telle que définie par un Basdai supérieur ou égal à 4 une échelle visuelle analogique (EVA) pour les maux de dos total supérieurs ou égaux à 40 (sur une échelle de 0-100 mm) malgré la thérapie NSAID et aucune preuve de changements radiographiques, les articulations sacroliliaques qui répondraient aux critères de New York modifiés pour As. Les patients devaient également avoir des signes objectifs d'inflammation avec un niveau de protéine C-réactive (CRP) au-dessus de la limite supérieure de la normale et / ou des preuves de sacropiliite sur l'imagerie par résonance magnétique (IRM).
Les patients ont été traités avec 150 mg de traitement Cosentyx sous-cutané avec une dose de chargement (semaines 0,1. 2. 3 et 4) ou sans dose de chargement (semaines 0 et 4) suivie de la même dose Eveiy 4 semaines ou placebo HI les patients en double aveugle (n = 555) ont reçu les posements ou le placebo pendant 52 semaines. Semaine de départ 16. L'ajustement posologique ou l'ajout de AINS et de DMAD concomitants a été autorisé. À partir de la semaine 20. Les patients ont été autorisés à passer à l'ouverture de 150 mg de costumex sous-cutané mensuel ou autre biologique à la discrétion de l'investigateur et du patient. Le critère d'évaluation principal a été d'au moins 40% d'amélioration de l'évaluation de la Spondyloartthritis International Society (ASAS40) à la semaine 52.
Caractéristiques de la maladie de base
Environ 10% et 15% des patients ont utilisé respectivement du MTX ou de la sulfasalazine concomitants. Dans l'ensemble. 10% des patients avaient reçu un traitement antérieur avec des agents anti-TNFCT et les ont interrompus en raison du manque d'efficacité ou d'intolérance.
Réponse clinique
Dans NR-AXSPA1, le traitement avec des costumex 150 mg a entraîné des améliorations significatives de la mesure de l'activité de la maladie par rapport au traitement avec placebo à la semaine 16 et à la semaine 52 (tableau 12).
Tableau 12: Réponse clinique dans l'étude NR-AXSPA1 à la semaine 16 et la semaine 52 (traitement sous-cutané)
| Nombre de sujets avec réponse ASAS40 (%) | Cosentyx 150 mg without load (n = 184) | Cosentyx 150 mg with load (n = 185) | Placebo (n = 186) | Différence par rapport au placebo (IC à 95%) | |
| Cosentyx 150 mg without load | Cosentyx 150 mg with load | ||||
| Semaine 16 | 75 (41) | 74 (40) | 52 (28) | 13 (3 22) | 12 (2 22) |
| Semaine 52 | 70 (38) | 62 (34) | 36 (19) | 19 (10 28) | 14 (5 23) |
Différence dans les proportions avec IC à 95% en fonction de l'approximation normale.
Les résultats des principaux composants des critères de réponse ASAS40 dans l'étude NR-AXSPA1 sont présentés dans le tableau 13.
Tableau 13: Composantes principales des critères de réponse ASAS40 et autres mesures de l'activité de la maladie chez les patients NRAXSPA au départ et la semaine 16 dans l'étude NR-AXSPA1 (traitement sous-cutané)
| Cosentyx 150 mg without loading dosage (N = 184) | Cosentyx 150 mg with a loading dosage (N = 185) | Placebo (N = 186) | ||||
| Base de base | Changement de la semaine 16 par rapport à la ligne de base | Base de base | Changement de la semaine 16 par rapport à la ligne de base | Base de base | Changement de la semaine 16 par rapport à la ligne de base | |
| Critères de réponse ASAS40 | ||||||
| -Patient global | 71.0 | -26.2 | 72.6 | -24.1 | 68.8 | -13.8 |
| Évaluation de Activité de maladie (0-100 mm) | ||||||
| -Les douleurs au dos (0-100 mm) | 72.0 | -25.5 | 73.3 | -25.0 | 70.9 | -15.6 |
| -Basfi (0-10) | 5.9 | -1.6 | 6.2 | -1.8 | 5.9 | -1.0 |
| -Inflammation (0-10) | 6.8 | -2.8 | 7.2 | -2.8 | 6.6 | -1.7 |
| HSCRP (Mg / L) signifie un changement à la semaine 16 | 9.8 | -4.7 | 13.4 | -7.9 | 9.2 | -2.4 |
| Basdai (0-10) | 6.9 | -2.4 | 7.1 | -2.4 | 6.8 | -1.5 |
| -Pépin spinal | 7.6 | -3.0 | 7.8 | -3.0 | 7.5 | -2.0 |
| -Méripheral et gonflement (0-10) | 6.6 | -2.4 | 6.3 | -2.3 | 6.1 | -1.6 |
| Basmi | 2.8 | -0.3 | 2.9 | -0.3 | 2.8 | -0.1 |
Le pourcentage de patients atteignant une réponse ASAS40 par visite est illustré à la figure 4.
Figure 4: Réponses ASAS40 dans l'étude NR-AXSPA1 au fil du temps jusqu'à la semaine 16 (traitement sous-cutané)
|
Qualité de vie liée à la santé
Cosentyx treated patients showed improvement in both loading et without loading dosage aims compared to placebo-treated patients at Semaine 16 in health-related quality of life as measured by ASQoL (LS mean change: Semaine 16: -3.5 et -3.6 versus -1.8. respectively).
Traitement Of Adult Patients With Active Non-radiographic Axial Spoiidvloarthritis With Intravenous Cosentyx
L'efficacité du costumyx intraveineux dans le traitement des patients adultes atteints de NR-AXSPA active a été extrapolé à partir de l'efficacité établie du costumcex sous-cutané chez les patients adultes atteints de NR-AXSPA active basée sur l'exposition pharmacocinétique [voir [voir Pharmacologie clinique ].
Arthrite psoriatique juvénile And Arthrite liée à l'enthésite
L'efficacité et l'innocuité du Secukinumab sous-cutané ont été évaluées sur deux ans. Contrôlé en double aveugle en double aveugle. Randomisé motivé par des événements. Phase 3 Shidy (NCT03031782) chez 86 patients pédiatriques (2 à moins de 18 ans) avec ERA ou JPSA actif, comme diagnostiqué sur la base d'une ligue internationale modifiée d'associations pour les critères de classification de l'arthrite idiopathique (ILAR) (JIA). L'essai consistait en une partie ouverte (PAIT 1) suivie d'un retrait randomisé (PAIT 2) suivi d'un traitement ouvert (partie 3). Les patients ont reçu des doses sous-cutanées de 75 mg s'ils pesaient moins de 50 kg. ou des doses sous-cutanées de 150 mg s'ils pesaient au moins 50 kg ou plus administrés par injection sous-cutanée aux semaines 0. 1 2. 3 et 4. et Eveiy 4 semaines par la suite.
Le critère d'évaluation principal était le temps de s'évaser dans la partie 2. La poussée de la maladie a été définie comme au moins 30% d'aggravation dans au moins trois des six critères de réponse JIA ACR et au moins 30% d'amélioration dans pas plus d'un des six critères de réponse JIA ACR et au moins deux articulations actives.
Dans la partie 1 de l'ouverture, tous les patients ont reçu un sécukinumab sous-cutané jusqu'à la semaine 12. Les patients classés comme intervenants (réalisant la réponse JIA ACR30) à la semaine 12 sont entrés dans la phase en double aveugle de la partie 2 et ont été randomisés 1: 1 pour poursuivre le traitement avec le sectumab ou commencer le traitement avec un placebo.
Caractéristiques de la maladie de base
Les sous-types de patients JIA à l'entrée de l'étude étaient: 60,5% ERA et 39,5% JPSA. Dans l'étude. 67,6% des patients atteints de JPSA. et 63,5% des patients atteints d'ERA. ont été traités concomitamment avec MTX.
Réponse clinique
Des réponses similaires ont été observées dans chaque sous-type JIA (JPSA et ERA). Le JIA ACR 30. 50. 70. Et 90 réponses pour les patients atteints de JPSA et ERA à la semaine 12 sont présentées ci-dessous dans le tableau 14.
Tableau 14: JIA ACR 305070 et 90 réponses à la semaine 12 (traitement sous-cutané)
| Nombre de sujets avec réponse (%) | Jia ACR 30 | Jia ACR 50 | Jia ACR 70 | Jia ACR 90 |
| JPSA (n = 34) | 31 (91) | 31 (91) | 24 (71) | 16 (47) |
| Ère (n = 52) | 44 (85) | 41 (79) | 34 (65) | 17 (33) |
Arthrite psoriatique juvénile Results
Au cours de la partie 2. Un total de 11 patients JPSA dans le groupe placebo ont connu un événement Flare par rapport à 4 patients JPSA dans le groupe Secukinumab. Le risque d'évasion a été réduit de 85% pour les patients qui ont reçu du sécukinumab par rapport aux patients qui ont reçu un placebo (rapport de risque = 0,15 95% CL: 0,04 à 0,56) (figure 5).
Figure 5: Estimations de Kaplan-Meier du temps de maladie de la maladie dans la partie 2 pour les patients JPSA (traitement sous-cutané)
|
Arthrite liée à l'enthésite Results
Pendant la partie 2. Un total de 10 patients atteints d'ERA dans le groupe placebo ont connu un événement Flare par rapport à 6 patients atteints d'ERA dans le groupe Secukinumab. Le risque d'évasion a été réduit de 53% pour les patients qui ont reçu du sécukinumab par rapport aux patients qui ont reçu un placebo (rapport de risque = 0,47, 95% CL: 0,17 à 1,32) (figure 6). Des analyses supplémentaires ont fourni des preuves confirmatoires de l'effet du traitement à l'ERA.
Figure 6: Estimations de Kaplan-Meier du temps de maladie de la maladie dans la partie 2 pour les patients atteints d'ERA (traitement sous-cutané)
|
Hidradénite suppurative
Deux essais randomisés en double aveugle de 52 semaines de phase 3 (c'est-à-dire l'essai HS 1 [NCT03713619] et l'essai HS 2 [NCT03713632]) ont évalué l'efficacité et l'innocuité de Cosentyx dans le traitement des patients adultes atteints de modéré à sévère Hidradinite suppurativa (HS). HI Les deux sujets d'essai ont été randomisés dans un placebo ou un costumex 300 mg par injection sous-cutanée aux semaines 0. 1. 2. 3 et 4 suivis de 300 mg eveiy 2 semaines ou eveiy 4 semaines. À la semaine 16, les sujets qui ont été randomisés au placebo ont été réaffectés pour recevoir Cosentyx 300 mg aux semaines 161718.19 et 20 suivis de Cosentyx 300 mg Eveiy 2 semaines (Q2W) ou Cosentyx 300 mg Eveiy 4 semaines (Q4W).
Base de base Demographics And Disease Characteristics
Les essais HS 1 et 2 comprenaient 1084 sujets adultes atteints de HS modérée à sévère. L'essai HS 1 a évalué 541 sujets et l'essai HS 2 a évalué 543 sujets dont 13% et 11% ont reçu respectivement une dose stable concomitante d'antibiotiques systémiques HI HS ESSAY 1 et HS ESSAY 2% et 23% des patients respectivement ont été traités précédemment avec un manque de biologie (patients biologiques) et discontinu l'agent biologique par manque de manque de perfectionnement ou d'intervention.
Points de terminaison
Le critère d'évaluation principal dans les deux essais a été la proportion de sujets qui ont obtenu une réponse clinique de Hidradeninitis suppurativa (HISCR50) définie comme une diminution d'au moins 50% des abcès et des nodules inflammatoires (AN) sans augmentation de la semaine des abcès et / ou du nombre de fismles drainant relatifs à la semaine 16.
Réponse clinique
Dans l'essai HS 1 et HS essai 2. Une proportion statistiquement significativement plus élevée de sujets traités avec Cosentyx 300 mg Eveiy 2 semaines (après le FN ST quatre semaines) a obtenu une réponse HISCR50 à la semaine 16 par rapport aux patients traités avec un placebo (voir tableau 15). HI Les deux essais HS Une proportion plus élevée de sujets traités avec Cosentyx 300 mg Eveiy 4 semaines (après les quatre premières semaines) ont atteint HISCR50 à la semaine 16 par rapport aux sujets traités avec un placebo (voir le tableau 15) où la signification statistique a été atteinte dans l'essai HS 2. HI Les deux essais ont augmenté la semaine de la semaine.
Pour le critère d'évaluation principal. Hiscr50. Les sujets qui ont reçu des médicaments de sauvetage ou une intervention de lésion ont été considérés comme des échecs de traitement et manipulés comme des non-répondants (n = 20 Hi Placebo 11 en Q4W et 8 en Q2W dans l'essai HS 1; n = 23 Hi placebo. 17 M Q4W. Et 13 M Q2W dans l'essai HS 2).
Des améliorations ont été observées pour les sujets principaux de point final HS, indépendamment du précédent ou concomitant antibiotique traitement ou exposition biologique précédente.
Tableau 15: Réponse clinique à la semaine 16 chez des adultes atteints de Hidradénite Suppurativa dans l'essai HS 1 et HS Essai 2 1
| Essai HS 1 | Essai HS 2 | |||||
| Placebo (n = 180) | Cosenty x 300 mg toutes les 4 semaines 2 (n = 180) | Cosenty x 300 mg toutes les 2 semaines 2 (n = 181) | Placebo (n = 183) | Cosenty x 300 mg toutes les 4 semaines 2 (n = 180) | Cosenty x 300 mg toutes les 2 semaines 2 (n = 180) | |
| Hiscr50 | 29,4% | 41,3% | 44,5% * | 26,1% | 42,5% * | 38,3% * |
| 1 L'imputation multiple a été implémentée pour les données manquantes. 2 Les sujets ont reçu Cosentyx 300 mg par injection sous-cutanée aux semaines 0 1 2 3 et 4 suivies de 300 mg toutes les 4 semaines (Q4W) ou toutes les 2 semaines (Q2W). * Statistiquement significatif par rapport au placebo basé sur la hiérarchie prédéfinie avec alpha global = 0,05 (bilatéral). |
Informations sur les patients pour Cosentyx
Cosentyx®
(Koe-Sen-Tix)
(secukinumab) injection pour une utilisation sous-cutanée ou intraveineuse
Quelles sont les informations les plus importantes que je devrais connaître sur Cosentyx?
Cosentyx is a medicine that affects your immune system. Cosentyx may increase your risk of having serious side effects such as:
Infections. Cosentyx may faibleer the ability of your immune system to fight infections et may increase your risk of infections. Some people have had serious infections while taking Cosentyx including tuberculose (TB) et infections caused by bacteria fungi or viruses. Some people have died from these infections.
- Votre fournisseur de soins de santé devrait vous consulter pour la tuberculose avant de commencer le traitement avec Cosentyx.
- Si votre fournisseur de soins de santé estime que vous êtes à risque de tuberculose, vous pouvez être traité avec des médicaments pour la tuberculose avant de commencer le traitement par Cosentyx et pendant le traitement avec Cosentyx.
- Votre fournisseur de soins de santé doit vous surveiller de près pour les signes et symptômes de la tuberculose pendant le traitement avec Cosentyx. N'utilisez pas Cosentyx si vous avez une infection de TB active.
Avant de commencer Cosentyx, dites à votre fournisseur de soins de santé si vous:
- sont traités pour une infection
- avoir une infection qui ne disparaît pas ou qui revient
- avoir une tuberculose ou avoir été en contact étroit avec quelqu'un avec TB
- Pensez que vous avez une infection ou que vous avez des symptômes d'une infection tels que:
- La fièvre transpire ou frisson
- maux de muscle
- toux
- essoufflement
- sang dans votre flegme
- perte de poids
- Red chaud ou peau douloureuse ou plaies sur votre corps
- diarrhée or stomach pain
- brûler lorsque vous urinez ou urinez plus souvent que la normale
Après avoir commencé Cosentyx, appelez immédiatement votre fournisseur de soins de santé si vous avez l'un des signes d'infection énumérés ci-dessus. N'utilisez pas Cosentyx si vous avez des signes d'infection à moins que vous ne soyez informé par votre fournisseur de soins de santé.
Voir Quels sont les effets secondaires possibles de Cosentyx? Pour plus d'informations sur les effets secondaires.
Médicaments oraux pour le diabète de type 2
Qu'est-ce que Cosentyx?
Cosentyx is a prescription medicine used to treat:
- Les personnes âgées de 6 ans et plus avec un psoriasis de plaque modéré à sévère (PSO) qui implique de grandes zones ou de nombreuses zones du corps et qui peuvent bénéficier de la prise d'injections ou de pilules (thérapie systémique) ou de photothérapie (traitement à l'aide de la lumière ultraviolette ou UV seule ou avec une thérapie systémique)
- personnes âgées de 2 ans et plus atteints d'arthrite psoriasique active (PSA)
- adultes atteints de spondylarthrite ankylosante active (AS)
- adultes atteints de spondyloarthrite axiale non radiographique active (NR-AXSPA) et de signes objectifs d'inflammation
- personnes âgées de 4 ans et plus avec une arthrite active liée à l'enthésite (ERA)
- Adultes atteints d'idradénite suppurativa modérée à sévère (HS)
On ne sait pas si Cosentyx est sûr et efficace chez les enfants:
- moins de 6 ans avec PSO
- moins de 2 ans et pesant moins de 33 livres (15 kg) avec un PSA actif
- moins de 4 ans et pesant moins de 33 livres (15 kg) avec l'ère active
- avec HS
N'utilisez pas Cosentyx si vous:
- ont eu une réaction allergique sévère au Secukinumab ou à l'un des autres ingrédients de Cosentyx. Voir la fin de ce guide de médicaments pour une liste complète des ingrédients dans Cosentyx.
Avant d'utiliser Cosentyx, dites à votre fournisseur de soins de santé de toutes vos conditions médicales, y compris si vous:
- avoir l'une des conditions ou symptômes énumérés dans la section Quelles sont les informations les plus importantes que je devrais connaître sur Cosentyx?
- ont une maladie inflammatoire de l'intestin (maladie de Crohn ou colite ulcéreuse).
- sont allergiques au latex. Le capuchon d'aiguille sur le stylo capable de Cosentyx et 150 mg / ml et 75 mg / 0,5 ml de seringues préremplies contient du latex.
- ont récemment reçu ou devraient recevoir une vaccination (vaccin). Les personnes qui prennent Cosentyx ne devraient pas recevoir de vaccins en direct. Les enfants doivent être mis à jour avec tous les vaccins avant de commencer Cosentyx.
- sont enceintes ou prévoient de devenir enceintes. On ne sait pas si Cosentyx peut nuire à votre bébé à naître. Vous et votre fournisseur de soins de santé devriez décider si vous utiliserez Cosentyx.
- allaitent ou prévoient d'allaiter. On ne sait pas si Cosentyx passe dans votre lait maternel.
Parlez à votre fournisseur de soins de santé de tous les médicaments que vous prenez, y compris des vitamines et des suppléments à base de plantes sur ordonnance et en vente libre.
Connaissez les médicaments que vous prenez. Gardez une liste de vos médicaments pour montrer votre fournisseur de soins de santé et votre pharmacien lorsque vous obtenez un nouveau médicament.
Comment vais-je recevoir Cosentyx?
Lors de l'administration par voie sous-cutanée (sous votre peau)
Lisez les instructions détaillées à utiliser qui sont livrées avec votre Cosentyx pour plus d'informations sur la façon de préparer et d'injecter une dose de Cosentyx et comment jeter correctement (éliminer) Cosentyx utilisé.
- Utilisez Cosentyx exactement comme prescrit par votre fournisseur de soins de santé.
- Cosentyx comes in a single-dose UnoReady pen single-dose Sensoready pen or single-dose prefilled syringes (300 mg/2 mL 150 mg/mL 75 mg/0.5 mL) that you or your caregiver may use at home to give injections.
- Votre fournisseur de soins de santé décidera quel type de Cosentyx et quelle dose vous convient.
- Si votre fournisseur de soins de santé décide que vous ou un soignant pouvez donner vos injections de Cosentyx à la maison, vous devriez recevoir une formation sur la bonne façon de préparer et d'injecter Cosentyx. N'essayez pas d'injecter Cosentyx vous-même jusqu'à ce que vous ou votre soignant ne vous montre comment injecter Cosentyx par votre fournisseur de soins de santé.
- Les enfants ne devraient pas s'injecter avec Cosentyx. Un soignant adulte devrait préparer et injecter Cosentyx après avoir reçu une formation sur la bonne façon de préparer et d'injecter Cosentyx.
- Ne manipulez pas le capuchon d'aiguille du stylo de capture Cosentyx ou des 75 mg / 0,5 ml ou 150 mg / ml de seringues préremplies si vous êtes sensible au latex.
- Cosentyx is given as an injection under your skin (subcutaneous injection) in your upper legs (thighs) or stomach-area (abdomen) by you or a caregiver. A caregiver or healthcare provider may also give you an injection of Cosentyx in your upper outer arm.
- Ne pas Donnez une injection dans une zone de la peau qui est tendre rouge ou dure ou dans une zone de peau affectée par le psoriasis.
- Chaque injection doit être donnée sur un autre site. N'utilisez pas la zone de 2 pouces autour de votre nombril (nombril).
- Si vous injectez plus de Cosentyx que prescrit, appelez votre fournisseur de soins de santé ou votre aide au poison au 1-800-222-1222 ou allez immédiatement aux urgences la plus proche.
Lors de l'administration par voie intraveineuse (par veine)
- Vous recevrez Cosentyx par un fournisseur de soins de santé par une aiguille placée dans une veine (perfusion). Il faut environ 30 minutes pour vous donner une dose complète de Cosentyx.
- Votre fournisseur de soins de santé vous dira à quelle fréquence vous devriez recevoir Cosentyx.
- Si vous manquez un rendez-vous pour recevoir CosentyX, prenez un autre rendez-vous dès que possible.
Quels sont les effets secondaires possibles de Cosentyx?
Cosentyx may cause serious side effects including:
- Voir Quelles sont les informations les plus importantes que je devrais connaître sur Cosentyx?
- Réactions allergiques graves. Obtenez une aide médicale d'urgence immédiatement si vous obtenez l'un des symptômes suivants d'une réaction allergique grave:
- se sentir faible ou difficulté à respirer ou à tendre la gorge
- éruption cutanée
- gonflement de ton visage paupides lèvres langue bouche ou gorge
- étanchéité
- urticaire (red itchy bumps)
Si vous avez une réaction allergique sévère, ne donnez pas une autre injection de Cosentyx.
- Maladie inflammatoire de l'intestin. De nouveaux cas de maladie inflammatoire de l'intestin ou de poussées peuvent se produire avec Cosentyx et peuvent parfois être graves. Si vous souffrez d'une maladie inflammatoire de l'intestin (colite ulcéreuse ou de la maladie de Crohn), dites à votre fournisseur de soins de santé si vous avez aggravé les symptômes de la maladie pendant le traitement par costumex ou développer de nouveaux symptômes de douleur à l'estomac ou de diarrhée.
- Réactions cutanées sévères qui ressemblent à l'eczéma Peut se produire pendant le traitement avec Cosentyx de jours à mois après votre première dose et peut parfois conduire à l'hospitalisation. Votre fournisseur de soins de santé peut arrêter temporairement le traitement avec Cosentyx si vous développez de graves réactions cutanées. Dites à votre fournisseur de soins de santé si vous avez l'un des signes ou symptômes suivants:
- rougeur ou éruption cutanée
- démangeaison
- petites bosses ou patchs
- Votre peau est sèche ou ressemble à du cuir
- des cloques sur les mains ou les pieds qui suintent ou deviennent croustillants
- pelage de la peau
Les effets secondaires les plus courants de Cosentyx comprennent:
- symptômes du rhume
- diarrhée
- infection des voies respiratoires supérieuress
Ce ne sont pas tous les effets secondaires possibles de Cosentyx.
Appelez votre médecin pour des conseils médicaux sur les effets secondaires. Vous pouvez signaler les effets secondaires à la FDA au 1-800-FDA-1088.
Comment dois-je stocker Cosentyx?
- Stockez Cosentyx dans un réfrigérateur entre 36 ° F et 46 ° F (2 ° C à 8 ° C).
- Gardez Cosentyx dans le carton d'origine jusqu'à ce qu'il soit prêt à utiliser pour protéger de la lumière.
- Si vous utilisez Cosentyx Sensoready Pen ou Cosentyx 75 mg / 0,5 ml ou 150 mg / ml de seringue préreffilée:
- Il peut être stocké à température ambiante jusqu'à 86 ° F (30 ° C) jusqu'à 4 jours.
- Écrivez la date à laquelle il a été retiré et retourné au réfrigérateur dans l'espace fourni sur le carton.
- Jetez-le s'il a été stocké à l'extérieur du réfrigérateur sur 4 jours.
- Il peut être retourné au réfrigérateur seulement 1 fois et doit être stocké entre 36 ° F à 46 ° F (2 ° C à 8 ° C) jusqu'à ce que vous l'utilisiez ou jusqu'à ce qu'il expire.
- Ne pas freeze Cosentyx.
- Ne pas shake Cosentyx.
- Jetez tout costumyx expiré ou inutilisé.
Gardez Cosentyx et tous les médicaments hors de portée des enfants.
Informations générales sur l'utilisation sûre et efficace de Cosentyx.
Les médicaments sont parfois prescrits à des fins autres que celles énumérées dans un guide de médicaments. N'utilisez pas Cosentyx pour une condition pour laquelle il n'a pas été prescrit. Ne donnez pas Cosentyx à d'autres personnes même s'ils présentent les mêmes symptômes que vous. Cela peut leur faire du mal. Vous pouvez demander à votre pharmacien ou fournisseur de soins de santé pour des informations sur Cosentyx qui sont écrits pour les professionnels de la santé.
Quels sont les ingrédients de Cosentyx?
Ingrédient actif: SecUkinumab.
Ingrédients inactifs:
Chlorhydrate de L-histidine / histidine monohydraté monohydraté polythionine polysorbate 80 tréhalose dihydraté et eau stérile pour l'injection.
Ce guide de médicaments a été approuvé par la Food and Drug Administration des États-Unis.