Les Informations Présentées Sur Ce Site Ne Constituent Pas Un Avis Médical. Nous Ne Vendons Rien. L'Exactitude De La Traduction N'Est Pas Garantie. Clause De Non-Responsabilité



Rhinocort aqua

Résumé

Qu'est-ce que Rhinocort Aqua?

Le spray nasal Rhinocort Aqua (Budesonide) est un stéroïde utilisé pour traiter les symptômes nasaux tels que congestion Éternuements et nez qui coulent causés par des allergies saisonnières ou toute l'année. Rhinocort Aqua Nasal Spray est également utilisé pour empêcher les polypes nasaux de revenir après l'élimination chirurgicale.

Quels sont les effets secondaires de Rhinocort Aqua?

Rhinocort aqua



  • urticaire
  • difficulté à respirer
  • gonflement de ton visage lèvres langue ou gorge
  • saignements de nez graves ou en cours
  • Des plaies dans le nez qui ne guériront pas
  • respiration sifflante
  • difficulté à respirer
  • problèmes de vision
  • fièvre
  • frissons
  • Les maux de corps et
  • symptômes de la grippe

Obtenez de l'aide médicale immédiatement si vous présentez l'un des symptômes énumérés ci-dessus.



Les effets secondaires communs du spray nasal Rhinocort Aqua comprennent:

De quoi est fait la thyroïde d'armure
  • Nez / gorge sèche ou irritation
  • mal de gorge
  • toux
  • éternuements
  • saignements de nez
  • goût / odeur désagréable
  • plaies ou plaques blanches à l'intérieur ou autour de votre nez ou
  • Une douleur gonflant les démangeaisons ou l'irritation autour de votre nez.

Dites à votre médecin si vous avez des effets secondaires rares mais graves du spray Rhinocort Aqua Nasal, y compris:



  • perte de goût ou d'odeur ou
  • douleur ou plaies dans votre nez.

Cherchez des soins médicaux ou appelez le 911 à la fois si vous avez les effets secondaires graves suivants:

  • Des symptômes oculaires graves tels que la perte de vision soudaine floue du tunnel de vision de la vision de la vision des yeux ou de l'enflure ou de voir des halos autour des lumières;
  • Symptômes cardiaques graves tels que les battements cardiaques rapides ou battants; flotter dans votre poitrine; essoufflement; et des étourdissements soudains, de la légèreté ou de l'évanouissement;
  • Maux de tête sévères Confusion Slurred Speech Bras ou Ligne Proulitude Trouble de la merde Perte de coordination Sentiment des muscles très rigides très rigides Fièvre élevée Propice ou des tremblements.

Ce document ne contient pas tous les effets secondaires possibles et d'autres peuvent survenir. Vérifiez auprès de votre médecin des informations supplémentaires sur les effets secondaires.

Dosage pour rhinocort aqua

Chez les adultes et chez les enfants de plus de 6 ans, la dose de départ recommandée de Rhinocort Aqua est de 2 à 4 sprays dans chaque narine le matin et le soir ou 4 pulvérisations dans chaque narine seulement le matin.

Quelles substances ou suppléments de médicaments interagissent avec Rhinocort Aqua?

Rhinocort aqua peut interagir avec VIH / AIDS Médecine Antibiotiques antifongiques ou antidépresseurs. Dites à votre médecin tous les médicaments que vous prenez.

Rhinocort aqua pendant la grossesse ou l'allaitement

Dites à votre médecin si vous êtes enceinte avant d'utiliser Rhinocort Aqua. Rarement les nourrissons nés de mères utilisant des corticostéroïdes (y compris le budésonide) peuvent avoir de faibles niveaux d'hormone corticostéroïde. Dites à votre médecin si vous remarquez des symptômes tels que des nausées persistantes / vomissements de diarrhée sévère ou une faiblesse chez votre nouveau-né. On ne sait pas si Rhinocort Aqua passe dans le lait maternel. Ce médicament peut également passer dans du lait maternel en très petites quantités qui sont peu susceptibles de nuire à un nourrisson infirmier. Consultez votre médecin avant l'allaitement.

Informations Complémentaires

Notre centre de médicaments à effets secondaires de Rhinocort Aqua (Budesonide) offre une vue complète des informations sur les médicaments disponibles sur les effets secondaires potentiels lors de la prise de ce médicament.

Informations sur les médicaments de la FDA

Description de Rhinocort Aqua

Budesonide L'ingrédient actif du spray nasal Rhinocort Aqua (budésonide) est un corticostéroïde synthétique anti-inflammatoire.

Il est désigné chimiquement comme (RS) -11-beta 16-alpha 17 21-tétrahydroxypregna-l4-diène-320-dione cyclique 16 17-acétal avec du butyraldéhyde.

Le boudonide est fourni comme le mélange de deux épimers (22R et 22).

La formule empirique du budésonide est c 25 H 34 O 6 et son poids moléculaire est de 430,5.

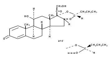
Sa formule structurelle est:

Budesonide est une poudre sans odor blanche à blanc cassé qui est pratiquement insoluble dans l'eau et dans l'heptane avec parcimonie soluble dans l'éthanol et librement soluble dans le chloroforme.

Son coefficient de partition entre l'octanol et l'eau à pH 5 est de 1,6 x10 3 .

Le spray nasal Rhinocort Aqua (budesonide) est une formulation de pulvérisation manuelle à dose mètre non parfumé contenant une suspension micronisée de boudonide dans un milieu aqueux. La cellulose microcristalline et la carboxyméthyl-cellulose de sodium dextrose de dextrose anhydre 80 Disodium édodium éétté de sorbate de potassium et de l'eau purifiée sont contenus dans ce milieu; L'acide chlorhydrique est ajouté pour ajuster le pH à une cible de 4,5.

Rhinocort Aqua Nasal Spray délivre 32 mcg de budésonide par pulvérisation.

Chaque bouteille de Rhinocort Aqua (Budesonide) Spray nasal 32 MCG contient 120 sprays compteurs après l'amorçage initial.

Avant l'utilisation initiale, le conteneur doit être ébranlé doucement et la pompe doit être amorcée en agissant huit fois. S'il est utilisé quotidiennement, la pompe n'a pas besoin d'être réprimée. Si ce n'est pas utilisé pendant deux jours consécutifs, un repme avec un spray ou jusqu'à ce qu'un spray fin apparaisse. S'il n'est pas utilisé pendant plus de 14 jours, rincez l'applicateur et le repme avec deux sprays ou jusqu'à ce qu'un spray fin apparaisse.

Utilisations pour Rhinocort Aqua

Traitement de la rhinite allergique saisonnière ou vivace

Le spray nasal Rhinocort aqua (budésonide) est indiqué pour le traitement des symptômes nasaux de la rhinite allergique saisonnière ou pérenne chez les adultes et les enfants de six ans et plus.

Dosage pour rhinocort aqua

La dose de départ recommandée pour les adultes et les enfants de 6 ans et plus est de 64 mcg par jour administrée comme un pulvérisation par narine de Rhinocort Aqua (Budesonide) Spray nasal 32 mcg une fois par jour. Certains patients qui n'atteignent pas le contrôle des symptômes à la dose de départ recommandée peuvent bénéficier d'une dose accrue. La dose maximale recommandée pour les adultes (12 ans et plus) est de 256 mcg par jour administrée en quatre vaporisateurs par narine une fois par jour de Rhinocort aqua (budésonide) pulvérisation nasale 32 mcg et la dose maximale recommandée pour les patients pédiatriques (6 à <12 years of age) is 128 mcg per day administered as two sprays per nostril once daily of Rhinocort Aqua (budesonide) Spray nasal 32 MCG.

Il est toujours souhaitable de titrer un patient individuel à la posologie minimale efficace pour réduire la possibilité d'effets secondaires. Une amélioration des symptômes nasaux peut être notée chez les patients dans les 10 heures suivant la première fois en utilisant le spray nasal Rhinocort Aqua (budésonide), mais l'amélioration clinique prend généralement 1 à 2 jours avec un avantage maximum en environ 2 semaines. Lorsque le bénéfice maximal a été réalisé et que les symptômes ont été contrôlés, la réduction de la posologie peut être efficace pour maintenir le contrôle des symptômes de rhinite allergique chez les patients qui ont été initialement contrôlés sur des doses plus élevées.

Avant l'utilisation initiale, le conteneur doit être ébranlé doucement et la pompe doit être amorcée en agissant huit fois. S'il est utilisé quotidiennement, la pompe n'a pas besoin d'être réprimée. Si ce n'est pas utilisé pendant deux jours consécutifs, un repme avec un spray ou jusqu'à ce qu'un spray fin apparaisse. S'il n'est pas utilisé pendant plus de 14 jours, rincez l'applicateur et le repme avec deux sprays ou jusqu'à ce qu'un spray fin apparaisse. Shake the container gently before each use.

Illustré Instructions du patient pour une utilisation accompagner chaque paquet de rhinocort aqua (budesonide) spray nasal 32 mcg.

Comment fourni

Formes et forces posologiques

Le spray nasal Rhinocort Aqua (Budesonide) est une suspension de pulvérisation nasale. Chaque pulvérisation délivre 32 mcg de budésonide. Chaque bouteille de Rhinocort Aqua (Budesonide) Spray nasal 32 MCG contient 120 sprays compteurs après l'amorçage initial.

Rhinocort Aqua (budesonide) Spray nasal 32 MCG est disponible dans une bouteille en verre ambre avec un pulvérisation de pompe à dose mesurée et un capuchon de protection verte. Rhinocort aqua (budesonide) Spray nasal 32 mcg ( NDC 0186-1070-08) fournit 120 vaporisateurs de mesures après amorçage initial; Poids de remplissage net 8,6 g. La bouteille nasale Rhinocort Aqua (Budesonide) 32 MCG a été remplie d'un excès pour accueillir l'activité d'amorçage. La bouteille doit être jetée après 120 sprays après l'amorçage initial, car la quantité de budésonide livrée par pulvérisation par la suite peut être sensiblement inférieure à la dose étiquetée. Chaque pulvérisation délivre 32 mcg de budésonide au patient.

Le spray nasal Rhinocort Aqua (Budesonide) doit être stocké à température ambiante contrôlée de 20 à 25 ° C (68 à 77 ° F) avec la valve vers le haut. Ne congelez pas. Protéger de la lumière. Secouez doucement avant l'utilisation. Ne vaporisez pas dans les yeux.

Distribué par: AstraZeneca LP Wilmington de 19850. Révisé: 12/2010

Effets secondaires pour Rhinocort Aqua

L'utilisation des corticostéroïdes systémique et intranasale peut entraîner la suivante:

Expérience des essais cliniques

Étant donné que les essais cliniques sont menés dans des conditions de réaction indésirables très variables observées dans les essais cliniques d'un médicament ne peuvent pas être directement comparées aux taux dans les essais cliniques d'un autre médicament et ne peuvent pas refléter les taux observés dans la pratique.

L'incidence des effets indésirables communs dans le tableau 1 est basé sur deux essais cliniques contrôlés par les États-Unis et cinq non américains chez 1526 patients atteints de rhinite saisonnière ou pérenne chez les adultes et les enfants ≥ 6 ans traités avec Rhinocort aqua (budesonide) un pulvérisation nasale à des doses allant jusqu'à 400 mcg une fois par jour pendant 3 à 6 semaines. Cette population comprenait 745 femmes et 781 hommes avec un âge moyen de 31 ans (fourchette de 6 à 85 ans 349 étaient 6 étaient 6 <18 years). The racial distribution of patients receiving Rhinocort AQUA (budesonide) spray nasal was 93% white 3% black et 4% other. Table 1 describes adverse reactions occurring at an incidence of 2% or greater et more commonly among Rhinocort AQUA (budesonide) spray nasal-treated patients than in placebo-treated patients in controlled clinical trials.

Tableau 1. Réactions indésirables se produisant à une incidence ≥ 2% et plus souvent que le placebo dans le groupe de pulvérisation nasal de Rhinocort Aqua (budésonide) chez les patients de 6 ans et plus

Événement indésirable Rhinocort
Aqua nasal spray
Véhicule placebo
Épistaxis 8% 5%
Pharyngite 4% 3%
Bronchospasme 2% 1%
Toux 2% <1%
Irritation nasale 2% <1%

Un profil de réaction indésirable similaire a été observé dans le sous-groupe de patients pédiatriques de 6 à 12 ans. Ces patients sont inclus dans le tableau 1.

Deux à trois pour cent (2-3%) des patients des essais cliniques ont arrêté en raison des effets indésirables. Les effets secondaires corticostéroïdes systémiques n'ont pas été rapportés lors d'études cliniques contrôlées avec un spray nasal Rhinocort Aqua (budésonide).

Si des doses recommandées sont dépassées ou si les individus sont des symptômes particulièrement sensibles de l'hypercorticisme, c'est-à-dire le syndrome de Gushing et la suppression surrénalienne.

Expérience post-commercialisation

Les effets indésirables suivants ont été signalés lors de l'utilisation post-approbation du spray nasal Rhinocort Aqua (budésonide). Étant donné que ces réactions sont rapportées volontairement d'une population de taille incertaine, il n'est pas toujours possible d'estimer de manière fiable leur fréquence ou d'établir une relation causale à l'exposition au médicament.

Troubles du système immunitaire: Réactions d'hypersensibilité immédiates et retardées (y compris la réaction anaphylactique urticaire dermatite l'œdème et le prurit) [voir Avertissements et PRÉCAUTIONS et Contre-indications ]

Troubles oculaires: Le glaucome a augmenté les cataractes de pression intraoculaire [voir Avertissements et PRÉCAUTIONS ]

Troubles thoraciques et médiastinaux respiratoires: Nasal Septum perforation anosmia pharynx troubles (gorge irritation gorge douleur gorge gonflée de la gorge brûlante et démangeaisons de gorge) et une respiration sifflante

Troubles cardiaques: palpitations

Troubles du tissu musculo-squelettique et conjonctif: Suppression de la croissance [voir Avertissements et PRÉCAUTIONS et Utiliser dans des populations spécifiques ]

Interactions médicamenteuses pour rhinocort aqua

Inhibiteurs du cytochrome P450 3A4

La principale voie de métabolisme des corticostéroïdes, y compris le budésonide, est via l'isoenzyme 3A4 du cytochrome P450 (CYP) (CYP3A4). Après l'administration orale de kétoconazole, un fort inhibiteur du CYP3A4, la concentration plasmatique moyenne de boudonide administrée par voie orale a augmenté. L'administration concomitante de CYP3A4 peut inhiber le métabolisme et augmenter l'exposition systémique au boudonide. La prudence doit être exercée lors de l'examen de la co-administration du spray nasal Rhinocort Aqua (Budesonide) avec du kétoconazole à long terme et d'autres inhibiteurs connus du CYP3A4 (par exemple le ritonavir Nelfinavir-Saquinavir Tellithromromromromromromromraviir) Nelfinavir-Saquinavir) Avertissements et PRÉCAUTIONS et Pharmacologie clinique ].

Avertissements pour Rhinocort Aqua

Inclus dans le cadre du PRÉCAUTIONS section.

Précautions pour Rhinocort Aqua

Effets nasaux locaux

Épistaxis

Dans des études cliniques de 3 à 52 semaines, une épistaxis de durée a été observée plus fréquemment chez les patients traités par un pulvérisation nasale Rhinocort aqua (budésonide) que ceux qui ont reçu un placebo [voir Effets indésirables ].

Infection candida

Dans les études cliniques avec Budesonide, administré par voie intranasale, le développement d'infections localisées du nez et du pharynx avec Candida albicans s'est produit. Lorsqu'une telle infection se développe, elle peut nécessiter un traitement avec une thérapie locale ou systémique appropriée et l'arrêt du traitement avec un spray nasal Rhinocort aqua (budésonide). Les patients utilisant le pulvérisation nasale de Rhinocort Aqua (budésonide) sur plusieurs mois ou plus doivent être examinés périodiquement pour la preuve de Candidose infection ou autres signes d'effets indésirables sur la muqueuse nasale.

Perforation septale nasale

Des cas de perforation du septum nasal ont été signalés à la suite de l'application intranasale de corticostéroïdes, y compris le budésonide [voir Effets indésirables ].

Cicatrisation altérée

En raison de l'effet inhibiteur des corticostéroïdes sur les patients de la cicatrisation des plaies qui ont connu des ulcères septaux nasaux récents ou un traumatisme nasal ne devrait pas utiliser un corticostéroïde nasal jusqu'à ce que la guérison se soit produite.

Réactions d'hypersensibilité, y compris l'anaphylaxie

Des réactions d'hypersensibilité, notamment la réaction anaphylactique, l'œdème de l'entreprise et le prurit d'urticaire de l'urticaire peut se produire [voir Contre-indications et Effets indésirables Expérience post-commercialisation ].

Immunosuppression

Les patients sous médicaments qui suppriment le système immunitaire sont plus sensibles aux infections que les individus en bonne santé. La varicelle et la rougeole par exemple peuvent avoir un cours plus grave ou même mortel chez les enfants ou les adultes sensibles à l'aide de corticostéroïdes. Chez ces enfants ou adultes qui n'ont pas eu ces maladies ou qui ont été correctement immunisés, des soins particuliers doivent être pris pour éviter l'exposition. La façon dont la voie de dose et la durée de l'administration des corticostéroïdes affectent le risque de développer une infection disséminée n'est pas connue. La contribution de la maladie sous-jacente et / ou le traitement antérieur des corticostéroïdes au risque n'est pas non plus connue. S'il est exposé à la thérapie par la varicelle avec varicelle zona immunoglobuline (VZIG) ou immunoglobuline intraveineuse (perruque) en graine regroupée, le cas échéant, peut être indiqué. S'il est exposé à une prophylaxie de la rougeole avec une immunoglobuline intramusculaire groupée (Ig) peut être indiqué. (Voir Les inserts de package respectifs pour les informations complètes de prescription VZIG et IG ). Si la varicelle développe un traitement avec antiviral les agents peuvent être pris en compte.

L'évolution clinique de la varicelle ou de l'infection à la rougeole chez les patients sous corticostéroïdes intranasaux ou inhalés n'a pas été étudiée. Bien qu'il n'y ait pas de données avec les corticostéroïdes intranasaux, une étude clinique a examiné la réactivité immunitaire au vaccin contre la varicelle chez les patients atteints d'asthme de 12 mois à 8 ans qui ont été traités avec une suspension par inhalation de budésonide.

Une étude clinique non randomisée ouverte a examiné la réactivité immunitaire au vaccin contre la varicelle chez 243 patients atteints d'asthme de 12 mois à 8 ans qui ont été traités avec une suspension inhalation de budésonide de 0,25 mg à 1 mg par jour (n = 151) ou non-corticostéroïde Asthma Therapy (n = 92). Le pourcentage de patients développant un titre d'anticorps séroprotecteur ≥ 5,0 (valeur GPELISA) en réponse à la vaccination était similaire chez les patients traités par une suspension par inhalation de budésonide (85%) par rapport aux patients traités par un traitement non corticostéroïde (90%). Aucun patient traité avec une suspension par inhalation de budésonide n'a développé la varicelle à la suite de la vaccination.

Les corticostéroïdes doivent être utilisés avec prudence si chez les patients atteints d'une infection active ou au redressement de la tuberculose non traitée infection par les infections virales ou parasites bactériennes non traitées; ou herpès simplex oculaire.

Effets des axes hypothalamo-hypophyso-surrénaliens

Hypercorticisme et suppression surrénale: lorsque des stéroïdes intranasaux sont utilisés à des doses plus élevées que les doses recommandées ou chez des individus sensibles à des doses recommandées, des effets corticostéroïdes systémiques tels que l'hypercorticisme et la suppression surrénalienne peuvent apparaître. Si de tels changements se produisent, le dosage du spray nasal Rhinocort Aqua (budésonide) doit être interrompu lentement avec les procédures acceptées pour l'arrêt de la corticothérapie orale.

Le remplacement d'un corticostéroïde systémique par un corticostéroïde topique peut être accompagné de signes d'insuffisance surrénalienne et, en plus, certains patients peuvent ressentir des symptômes de sevrage corticostéroïde, par exemple Douleur articulaire et / ou musculaire FAUGE FAILAIRE NAUSEA VOMMITE HYPOLENTIENCE LASSIDES ET DE LA MENSE. Les patients précédemment traités pendant des périodes prolongées avec des corticostéroïdes systémiques doivent être sevrés lentement lorsqu'ils sont transférés dans des corticostéroïdes topiques et soigneusement surveillés pour une insuffisance surrénalienne aiguë en réponse au stress. Chez les patients qui souffrent d'asthme ou d'autres conditions cliniques nécessitant un traitement systémique à long terme, une diminution trop rapide des corticostéroïdes systémiques peut provoquer une exacerbation sévère de leurs symptômes.

Interactions avec des inhibiteurs forts du cytochrome P450 3A4

La prudence doit être exercée lors de l'examen de la co-administration de Spray Rhinocort Aqua Nasal avec du kétoconazole et d'autres inhibiteurs connus du CYP3A4 (par exemple, le ritoconavir atazanavir clarithromycine inde [voir Interactions médicamenteuses Pharmacologie clinique ].

Effet sur la croissance

Les corticostéroïdes intranasaux, y compris le boudonide, peuvent entraîner une réduction de la vitesse de croissance lorsqu'ils sont administrés aux patients pédiatriques. Surveillez la croissance systématiquement des patients pédiatriques recevant un traitement à long terme avec un spray nasal Rhinocort aqua (budésonide). Pour minimiser les effets systémiques des corticostéroïdes intranasaux, notamment Rhinocort Aqua (Budesonide) Spray nasal Titrez le dosage de chaque patient au plus bas qui contrôle efficacement ses symptômes [voir Utiliser dans des populations spécifiques Usage pédiatrique ].

Glaucome et Cataracts

Glaucome increased intraocular pressure et cataracts have been reported following the intranasal application of corticosteroids including boudonnier. Therefore close monitoring is warranted in patients with a change in vision or with a history of increased intraocular pressure glaucoma et/or cataracts [see Effets indésirables ].

Informations de conseil des patients

[Voir Approuvé par la FDA Étiquetage des patients ]

Les patients traités avec un spray nasal Rhinocort Aqua (budésonide) doivent recevoir les informations et instructions suivantes. Ces informations sont destinées à aider le patient à l'utilisation sûre et efficace du médicament. Ce n'est pas une divulgation de tous les effets négatifs ou prévus possibles. Pour une utilisation appropriée du spray nasal Rhinocort Aqua (budesonide) et pour atteindre une amélioration maximale, le patient doit lire et suivre l'espèce L'étiquetage des patients approuvé par la FDA.

Effets nasaux locaux

Les patients doivent être informés que l'épistaxis et les infections localisées Candida albicans s'est produit dans le nez et le pharynx chez certains patients. Si la candidose se développe, elle doit être traitée avec un traitement local ou systémique approprié et interrompre le traitement avec un pulvérisation nasale Rhinocort aqua (budésonide). De plus, les corticostéroïdes nasaux sont associés à une perforation septale nasale et à une cicatrisation altérée des plaies. Les patients qui ont subi des ulcères nasaux récents ou des traumatismes nasaux ne doivent pas utiliser le spray nasal Rhinocort aqua (budésonide) jusqu'à ce que la guérison se soit produite [voir Avertissements et PRÉCAUTIONS ].

Hypersensibilité comprenant l'anaphylaxie

Les patients doivent être informés que les réactions d'hypersensibilité, notamment la dermatite d'urticaire de l'urticaire et le prurit, l'œdème et le prurit d'urticaire de l'urticaire de l'urticaire, ont été signalés avec un spray nasal Rhinocort aqua (budésonide). Cesser

Rhinocort AQUA (budesonide) spray nasal if such reactions occur [see Contre-indications Avertissements et PRÉCAUTIONS et Effets indésirables ].

Immunosuppression

Les patients qui sont sous des doses immunosuppresseurs de corticostéroïdes doivent être avertis d'éviter l'exposition à la varicelle ou à la rougeole et s'il est exposé pour consulter leur médecin sans délai. Les patients doivent être informés de l'aggravation potentielle de la tuberculose existante fongique bactérien virale ou parasite ou l'herpès simplex oculaire [voir Avertissements et PRÉCAUTIONS ].

Traitement des boutons de froid en vente libre

Réduction de la vitesse de croissance

Les patients doivent être informés que les corticostéroïdes intranasaux, y compris le boudonide, peuvent entraîner une réduction de la vitesse de croissance lorsqu'ils sont administrés aux patients pédiatriques. Les médecins devraient suivre de près la croissance des enfants et des adolescents prenant des corticostéroïdes par n'importe quelle route [voir Avertissements et PRÉCAUTIONS ].

Glaucome et Cataracts

Les patients doivent être informés que l'utilisation à long terme de corticostéroïdes intranasaux, y compris le boudonide, peut augmenter le risque de certains problèmes oculaires (cataractes et glaucome). Les patients doivent informer son fournisseur de soins de santé si un changement de vision est noté lors de l'utilisation du spray nasal Rhinocort Aqua (budesonide) [voir Avertissements et PRÉCAUTIONS ].

Utiliser quotidiennement

Les patients doivent utiliser le spray nasal Rhinocort Aqua (budesonide) à intervalles réguliers car son efficacité dépend de son utilisation régulière. Les patients peuvent noter une amélioration des symptômes nasaux dans les 10 heures suivant la première à l'aide de rhinocort aqua (budésonide) spray nasal. Un avantage maximum ne peut être réalisé qu'environ 2 semaines après le début du traitement [voir Posologie et administration ].

Les patients doivent prendre le médicament comme indiqué et ne doivent pas dépasser la dose prescrite. Le patient doit contacter le médecin si les symptômes ne s'améliorent pas après deux semaines ou si la condition s'aggrave. Les patients qui éprouvent des épisodes récurrents d'épistaxis (saignements de nez) ou l'inconfort nasal du septume tout en prenant ce médicament doivent contacter leur médecin. Pour une utilisation appropriée du spray nasal Rhinocort Aqua (budesonide) et pour atteindre une amélioration maximale, le patient doit lire et suivre attentivement les informations des patients qui l'accompagnent. N'utilisez pas de spray nasal Rhinocort Aqua (budesonide) après que le nombre marqué de sprays a été utilisé (n'inclut pas l'amorçage) ou après la date d'expiration indiquée sur l'étiquette de carton ou de bouteille.

Comment utiliser le pulvérisation nasale Rhinocort Aqua (budesonide)

Les patients doivent être soigneusement instruits sur l'utilisation de ce produit médicamenteux pour assurer une livraison de dose optimale [voir Informations sur les patients ].

Toxicologie non clinique

Carcinogenèse Mutagenèse A trouble de la fertilité

Dans une étude orale de 104 semaines chez les rats Sprague-Dawley, une augmentation statistiquement significative de l'incidence des gliomes a été observée chez les rats mâles recevant une dose orale de budésonide 50 mcg / kg / jour (environ deux fois la dose intranasale quotidienne recommandée maximale chez les adultes et les enfants sous un MCG / m 2 base). Aucune tumorigénicité n'a été observée chez les rats mâles à des doses orales jusqu'à 25 mcg / kg (approximativement égal à la dose intranasale quotidienne maximale recommandée chez les adultes et les enfants sur un MCG / M 2 base et chez des rats femelles à des doses orales jusqu'à 50 mcg / kg environ deux fois la dose intranasale quotidienne maximale recommandée chez les adultes et les enfants sur un MCG / M 2 base). Dans deux études supplémentaires de deux ans chez les rats masculins Fischer et Sprague-Dawley, le budésonide n'a provoqué aucun gliome à une dose orale de 50 mcg / kg (environ le double de la dose intranasale quotidienne maximale recommandée chez les adultes et les enfants sur un MCG / M 2 base). Cependant, chez les rats mâles Sprague-Dawley, le budésonide a provoqué une augmentation statistiquement significative de l'incidence des tumeurs hépatocellulaires à une dose orale de 50 mcg / kg (environ le double de la dose intranasale quotidienne maximale recommandée chez les adultes et les enfants sur un MCG / m 2 base). Les corticostéroïdes de référence simultanés (prednisolone et acétonide de triamcinolone) dans ces deux études ont montré des résultats similaires.

Il n'y avait aucune preuve d'un effet cancérigène lorsque le budésonide a été administré par voie orale pendant 91 semaines à des souris à des doses allant jusqu'à 200 mcg / kg / jour (environ 3 fois la dose intranasale quotidienne maximale recommandée chez les adultes et les enfants sur un MCG / m 2 base).

Budesonide n'était pas mutagène ou classique dans six systèmes de test différents: Ames Salmonelle / Test de plaque de microsome Test de micronucleus Micronucleus Test de lymphome de souris Test d'aberration du chromosome dans les lymphocytes humains Test létal récessif lié au sexe dans les lymphocytes humains Drosophila Melanogaster et DNA repair analysis in rat hepatocyte culture.

Chez le rat, le budésonide n'a eu aucun effet sur la fertilité à des doses sous-cutanées allant jusqu'à 80 mcg / kg (environ 3 fois la dose intranasale quotidienne maximale recommandée chez les adultes sur MCG / m 2 base).

À une dose sous-cutanée de 20 mcg / kg / jour (moins que la dose intranasale quotidienne maximale recommandée chez les adultes sur un MCG / M 2 base) diminution du gain de poids corporel maternel la viabilité prénatale et la viabilité des jeunes à la naissance et pendant la lactation ont été observées. Aucun effet de ce type n'a été noté à 5 mcg / kg (moins que la dose intranasale quotidienne maximale recommandée chez les adultes sur un MCG / M 2 base).

Utiliser dans des populations spécifiques

Grossesse

Effets tératogènes: Grossesse Category B. The impact of boudonnier on human pregnancy outcomes has been evaluated through assessments of birth registries linked with maternal usage of inhaled boudonnier (i.e. PULMICORT TURBUHALER) et intranasally administered boudonnier (i.e. Rhinocort AQUA (budesonide) spray nasal). The results from population-based prospective cohort epidemiological studies reviewing data from three Swedish registries covering approximately 99% of the pregnancies from 1995- 2001 (i.e. Swedish Medical Birth Registry; Registry of Congenital Malformations; Child Cardiology Registry) indicate no increased risk for overall congenital malformations from the use of inhaled or intranasal boudonnier during early pregnancy.

Les malformations congénitales ont été étudiées dans les nourrissons de 2014 nés de mères signalant l'utilisation de boudonide inhalée pour l'asthme en début de grossesse (généralement 10 à 12 semaines après la dernière période menstruelle) la période où la plupart des malformations d'organes majeures se produisent. 1 Le taux de malformations congénitales globales était similaire par rapport au taux de population général (NULL,8% contre 3,5% respectivement). Le nombre de nourrissons nés avec des fentes orofaciales et des malformations cardiaques était similaire au nombre attendu de la population générale (4 enfants contre 3,3 et 18 enfants contre 17-18 respectivement). Dans une étude de suivi, amenant le nombre total de nourrissons à 2534, le taux de malformations congénitales globales chez les nourrissons dont les mères ont été exposées à un budésonide inhalé en début de grossesse n'était pas différente du taux de tous les nouveau-nés pendant la même période (NULL,6%). 2 Une troisième étude du registre suédois des naissances médicales de 2968 grossesses exposées à un budésonide inhalé, dont la majorité était des expositions du premier trimestre signalées à l'âge gestationnel de la longueur de naissance de la longueur de naissance et des naissances multiples similaires pour les nourrissons exposés par rapport aux nourrissons non exposés. 3

Les malformations congénitales ont été étudiées dans 2113 nourrissons nés de mères signalant l'utilisation du boudonide intranasal en début de grossesse. Le taux de malformations congénitales globales était similaire par rapport au taux de population général (NULL,5% contre 3,5% respectivement). Le rapport de cotes (OR) ajusté était de 1,06 (IC à 95% 0,86-1,31). Le nombre de nourrissons nés avec des fentes orofaciales était similaire au nombre attendu de la population générale (3 enfants contre 3 respectivement). Le nombre de nourrissons nés avec des anomalies cardiaques a dépassé celle attendue dans la population générale (28 enfants contre 17,8 respectivement). L'exposition systémique du boudonide intranasal est 6 fois moins que celle du boudonide inhalée et une association de malformations cardiaques n'a pas été observée avec des expositions plus élevées de boudonide.

Malgré les résultats des animaux, il semblerait que la possibilité de préjudice fœtal soit éloignée si le médicament est utilisé pendant la grossesse. Néanmoins, parce que les études chez l'homme ne peuvent pas exclure la possibilité de préjudice de rhinocort aqua (budésonide) le spray nasal ne devrait être utilisé pendant la grossesse que s'il est clairement nécessaire.

Le budésonide a produit une perte fœtale a diminué les poids des chiots et les anomalies squelettiques à une dose sous-cutanée chez les lapins qui était environ 2 fois la dose intranasale quotidienne maximale recommandée chez les adultes sur un MCG / m 2 base et à une dose sous-cutanée chez le rat qui était environ 16 fois la dose intranasale quotidienne maximale recommandée chez les adultes sur un MCG / M 2 base. Aucun effet tératogène ou embryocide n'a été observé chez le rat lorsque le boudonide a été administré par inhalation à des doses jusqu'à environ 8 fois la dose intranasale quotidienne maximale recommandée chez les adultes sur un MCG / M 2 base.

Expérience avec les corticostéroïdes oraux depuis leur introduction en pharmacologique par opposition aux doses physiologiques suggère que les rongeurs sont plus sujets aux effets tératogènes des corticostéroïdes que les humains.

Effets non teratogènes: L'hypoadrénalisme peut survenir chez les nourrissons nés de mères recevant des corticostéroïdes pendant la grossesse. Ces nourrissons doivent être soigneusement observés.

Mères qui allaitent

Budesonide est sécrété dans le lait maternel. Les données avec le budésonide livrées par inhalateur de poudre sèche indiquent que la dose orale quotidienne totale de boudonide disponible dans le lait maternel pour le nourrisson est d'environ 0,3% à 1% de la dose inhalée par la mère [voir Pharmacologie clinique Pharmacocinétique populations spéciales infirmières ]. No studies have been conducted in breastfeeding women specifically with Rhinocort Aqua nasal spray; however the dose of boudonnier available to the infant in breast milk as a percentage of the maternal dose would be expected to be similar. Rhinocort AQUA (budesonide) spray nasal should be used in nursing women only if clinically appropriate. Prescribers should weigh the known benefits of breastfeeding for the mother et infant against the potential risks of minimal boudonnier exposure in the infant. Dosing considerations include prescription or titration to the lowest clinically effective dose et use of Rhinocort AQUA (budesonide) spray nasal immediately after breastfeeding to maximize the time interval between dosing et breastfeeding to minimize infant exposure.

Usage pédiatrique

La sécurité et l'efficacité des patients pédiatriques de moins de 6 ans n'ont pas été établies.

Des études cliniques contrôlées ont montré que les corticostéroïdes intranasaux peuvent entraîner une réduction de la vitesse de croissance chez les patients pédiatriques. Cet effet a été observé en l'absence de preuves de laboratoire de suppression hypothalamo-hypophyso-surrénalienne (HPA), ce qui suggère que la vitesse de croissance est un indicateur plus sensible de l'exposition systémique des corticostéroïdes chez les patients pédiatriques que certains tests couramment utilisés de la fonction HPA-axe. Les effets à long terme de cette réduction de la vitesse de croissance associés aux corticostéroïdes intranasaux, y compris l'impact sur la hauteur finale de l'adulte, sont inconnus. Le potentiel de croissance «de rattrapage» après l'arrêt du traitement avec des corticostéroïdes intranasaux n'a pas été étudié de manière adéquate.

La croissance des patients pédiatriques recevant des corticostéroïdes intranasaux, y compris le spray nasal Rhinocort aqua (budésonide), doit être surveillé systématiquement (par exemple via la stadiométrie). Les effets de croissance potentiels d'un traitement prolongé devraient être pesés avec les avantages cliniques obtenus et les risques et avantages associés aux thérapies alternatives. Pour minimiser les effets systémiques des corticostéroïdes intranasaux, notamment Rhinocort aqua (budésonide), chaque patient doit être titré à la dose la plus faible qui contrôle efficacement ses symptômes.

Une étude clinique contrôlée par un placebo d'un an a été menée chez 229 patients pédiatriques (âgés de 4 à 8 ans) pour évaluer l'effet du spray nasal Rhinocort Aqua (budésonide) (dose unique de 64 mcg la dose de départ recommandée pour les enfants de 6 ans et plus) sur la vitesse de croissance. À partir d'une population de 141 patients recevant un spray nasal Rhinocort Aqua (budésonide) et 67 recevant un placebo l'estimation ponctuelle de la vitesse de croissance avec Rhinocort Aqua (Budesonide) Spray nasal était de 0,25 cm / an inférieur à celle notée avec un placebo (intervalle de confiance à 95% de 0,59 cm / an plus bas que placebo à 0,08 cm / an plus haut).

Dans une étude des enfants asthmatiques de 5 à 12 ans, ceux traités avec du boudonide administré via un inhalateur de poudre sec 200 mcg deux fois par jour (n = 311) ont eu une réduction de 1,1 centimètre (NULL,433 pouce) par rapport à ceux qui recevaient un placebo (n = 418) au bout d'un an; La différence entre ces deux groupes de traitement n'a pas augmenté davantage sur trois ans de traitement supplémentaire. Au bout de quatre ans, les enfants traités avec des inhalateurs de poudre sec de budésonide et les enfants traités avec un placebo avaient des vitesses de croissance similaires. Les conclusions tirées de cette étude peuvent être confondues par l'utilisation inégale de corticostéroïdes dans les groupes de traitement et l'inclusion de données de patients atteignant la puberté au cours de l'étude.

choses à faire en Islande

Les effets systémiques des corticostéroïdes inhalés sont liés à l'exposition systémique à de tels médicaments. Des études pharmacocinétiques ont démontré que chez les adultes et les enfants, l'exposition systémique au budésonide aux doses les plus recommandées de rhinocort aqua (budésonide) ne devraient pas être supérieures à l'exposition aux doses les plus bases recommandées via un inhalateur de poudre sec. Par conséquent, les effets systémiques (axe HPA et croissance) de boudononide délivrés à partir de rhinocort aqua (budésonide) ne devraient pas être plus importants que ce qui est signalé pour le budésonide inhalé lorsqu'il est administré via l'inhalateur de poudre sec.

Le potentiel de pulvérisation nasale de Rhinocort Aqua (budesonide) pour provoquer une suppression de la croissance chez les patients sensibles ou lorsqu'il est donné à des doses supérieures à 64 mcg par jour ne peut être exclue. La gamme de posologie recommandée chez les patients de 6 à 11 ans est de 64 à 128 mcg par jour [voir Posologie et administration ].

Utilisation gériatrique

Sur les 2461 patients en études cliniques sur le pulvérisation nasale de Rhinocort Aqua (budésonide), 5% étaient âgés de 60 ans et plus. Aucune différence globale de sécurité ou d'efficacité n'a été observée entre ces sujets et les sujets plus jeunes, à l'exception d'une fréquence de signalement de réaction indésirable de l'épistaxis qui a augmenté avec l'âge. D'autres autres expériences cliniques signalées n'ont identifié aucune autre différence dans les réponses entre les patients âgés et les patients plus jeunes, mais une plus grande sensibilité de certaines personnes âgées ne peut être exclue.

Trouble hépatique

Des études pharmacocinétiques formelles utilisant un spray nasal Rhinocort Aqua (budésonide) n'ont pas été menées chez des patients souffrant de troubles hépatiques. Cependant, puisque le boudonide est principalement éliminé par l'altération du métabolisme hépatique de la fonction hépatique peut entraîner une accumulation de boudonide dans le plasma. Par conséquent, les patients atteints de maladie hépatique doivent être étroitement surveillés.

Informations sur la surdose pour Rhinocort Aqua

Le surdosage aigu avec cette forme posologique est peu probable car une bouteille de 120 pulvérisation de rhinocort aqua (budésonide) spray nasal 32 mcg ne contient qu'environ 5,4 mg de boudonide. Un surdosage chronique peut entraîner des signes / symptômes de l'hypercorticisme [voir Avertissements et PRÉCAUTIONS ].

Contre-indications pour Rhinocort Aqua

Rhinocort AQUA (budesonide) spray nasal is contraindicated in patients with hypersensitivity to any of its ingredients [see Avertissements et PRÉCAUTIONS ].

Pharmacologie clinique for Rhinocort Aqua

Mécanisme d'action

Le boudonide est un corticostéroïde anti-inflammatoire qui présente une puissante activité de glucocorticoïdes et une faible activité minéralocorticoïde. En standard in vitro et animal models boudonnier has approximately a 200-fold higher affinity for the glucocorticoid receptor et a 1000-fold higher topical anti-inflammatory potency than cortisol (rat croton oil ear edema assay). As a measure of systemic activity boudonnier is 40 times more potent than cortisol when administered subcutaneously et 25 times more potent when administered orally in the rat thymus involution assay. The clinical significance of this is unknown.

L'activité du pulvérisation de Rhinocort Aqua Nasal est due au budésonide du médicament parent. Dans les études d'affinité des récepteurs des glucocorticoïdes, la forme 22R était deux fois aussi active que l'épimer 22 s. In vitro Des études ont indiqué que les deux formes de budésonide n'interconvertent pas.

Le mécanisme précis des actions corticostéroïdes sur l'inflammation dans la rhinite allergique saisonnière et pérenne n'est pas bien connue. L'inflammation est une composante importante de la pathogenèse de la rhinite allergique saisonnière et pérenne. Les corticostéroïdes ont une large gamme d'activités inhibiteurs contre plusieurs types de cellules (par exemple, les mâts de mastocytes éosinophiles neutrophiles macrophages et lymphocytes) et les médiateurs (par exemple les leucosanoïdes et les cytokines des eicosanoïdes histamines) impliqués dans une inflammation allergique et non allergique. Ces actions anti-inflammatoires des corticostéroïdes peuvent contribuer à leur efficacité dans la rhinite allergique saisonnière et vivace.

Pharmacodynamique

Une étude clinique de 3 semaines dans la rhinite saisonnière comparant le rhinocort nasal inhalateur ingéré par voie orale du boudonide et le placebo chez 98 patients atteints de rhinite allergique due au pollen de bouleau a démontré que l'effet thérapeutique de l'inhalateur nasal du rhinocort peut être attribué aux effets topiques du boudonide.

Effets de l'axe HPA

Les effets du spray nasal Rhinocort Aqua (budesonide) sur la fonction surrénale ont été évalués dans plusieurs essais cliniques. Dans un essai clinique de quatre semaines, 61 patients adultes qui ont reçu 256 mcg par jour de rhinocort aqua (budésonide) nasal a démontré aucune différence significative des patients recevant un placebo dans les taux de cortisol plasmatique mesurés avant et 60 minutes après 0,25 mg de cosyntropine intramusculaire. Il n'y avait aucune différence cohérente dans les mesures de cortisol urinaires 24 heures sur 24 chez les patients recevant jusqu'à 400 mcg par jour. Des résultats similaires ont été observés dans une étude de 150 enfants et adolescents âgés de 6 à 17 ans avec une rhinite pérenne qui ont été traitées avec 256 mcg par jour jusqu'à 12 mois.

Après traitement avec la dose quotidienne maximale recommandée de pulvérisation nasale de Rhinocort aqua (budésonide) (256 mcg) pendant sept jours, il y a eu une faible diminution statistiquement significative de la zone sous la courbe de temps de cortisol plasmatique sur 24 heures (AUC 0-24h ) chez des volontaires adultes en bonne santé.

Une suppression liée à la dose de l'excrétion de cortisol urinaire de 24 heures a été observée après l'administration de doses de pulvérisation nasales de Rhinocort aqua (budésonide) allant de 100 à 800 mcg par jour jusqu'à quatre jours chez 78 volontaires en bonne santé. La pertinence clinique de ces résultats est inconnue.

Pharmacocinétique

Absorption

Après l'administration intranasale d'une seule dose de pulvérisation nasale de Rhinocort aqua (budésonide) (128 mcg), la concentration plasmatique maximale moyenne d'environ 0,3 nmol / L se produit environ 0,5 heures après la dose. Comparé à une dose intraveineuse environ 34% de la dose intranasale délivrée atteint la circulation systémique dont la plupart sont absorbées par la muqueuse nasale. Tandis que le boudonide est bien absorbé par le tractus gastro-intestinal, la biodisponibilité orale du boudonide est faible (~ 10%) principalement en raison d'un métabolisme approfondi du premier pass dans le foie.

Distribution

Le volume de distribution de boudonide était d'environ 2-3 L / kg. Il était lié à 85 à 90% aux protéines plasmatiques. Le volume de distribution pour l'épimer 22R est presque le double de celui de l'épimer 22 s. La liaison aux protéines était constante sur une plage de concentration (1-100 nmol / L) obtenue avec et dépassant les doses recommandées de spray nasal Rhinocort Aqua. Le budésonide a montré peu ou pas de liaison à la globuline de liaison aux corticostéroïdes. Budésonide est rapidement équilibré avec des globules rouges d'une manière indépendante de concentration avec un rapport sanguin / plasma d'environ 0,8.

Métabolisme

In vitro Des études avec des homogénats hépatiques humains ont montré que le budésonide est métabolisé rapidement et largement. Deux métabolites majeurs formés via l'isoenzyme 3A4 (CYP) (CYP) (CYP) biotransformation catalysée ont été isolés et identifiés comme 16α-hydroxyprednisolone et 6p-hydroxybudesonide. L'activité corticostéroïde de chacun de ces deux métabolites est inférieure à 1% de celle du composé parent. Aucune différence qualitative entre le in vitro et en vain Des modèles métaboliques ont été détectés. Une inactivation métabolique négligeable a été observée dans les préparations pulmonaires et sériques humaines.

Excrétion / élimination

La forme 22R de boudonide a été préférentiellement éliminée par le foie avec une clairance systémique de 1,4 L / min contre 1,0 L / min pour la forme 22S. La demi-vie terminale de 2 à 3 heures était la même pour les deux épimers et était indépendante de la dose. Le boudonide a été excrété dans l'urine et les excréments sous forme de métabolites. Environ 2/3 d'une dose radiomarquée intranasale ont été récupérées dans l'urine et le reste dans les excréments. Aucun boudonide inchangé n'a été détecté dans l'urine.

Populations spécifiques

Gériatrique

La pharmacocinétique du spray nasal Rhinocort Aqua (budésonide) chez les patients gériatriques n'a pas été spécifiquement étudiée.

Pédiatrique

Après l'administration de rhinocort aqua (budésonide) pulvérisation nasale, le temps pour atteindre les concentrations maximales de médicament et la demi-vie plasmatique étaient similaires chez les enfants et chez les adultes. Les enfants avaient des concentrations plasmatiques d'environ deux fois celles observées chez les adultes en raison principalement de différences de poids entre les enfants et les adultes.

Genre

Aucune étude pharmacocinétique spécifique n'a été menée pour évaluer l'effet du sexe sur la pharmacocinétique de budésonide. Cependant, après l'administration de 400 mcg de pulvérisation nasale de Rhinocort Aqua (Budesonide) à 7 mâles et 8 femmes volontaires dans une étude pharmacocinétique, aucune différence importante entre les sexes dans les paramètres pharmacocinétiques n'a été trouvée.

Course

Aucune étude spécifique n'a été entreprise pour évaluer l'effet de la race sur la pharmacocinétique de Budesonide.

Mères qui allaitent

La disposition du budésonide lorsqu'elle est livrée par inhalation orale à partir d'un inhalateur de poudre sèche à des doses de 200 ou 400 mcg deux fois par jour pendant au moins 3 mois a été étudiée chez huit femmes allaitantes souffrant d'asthme de 1 à 6 mois post-partum. L'exposition systémique au budésonide chez ces femmes semble être comparable à celle des femmes non lactantes asthmatiques d'autres études. Le lait maternel obtenu plus de huit heures après la dose a révélé que la concentration maximale de boudonide pour les doses de 400 et 800 mcg était respectivement de 0,39 et 0,78 nmol / L et s'est produite dans les 45 minutes suivant le dosage. La dose quotidienne orale estimée de budésonide du lait maternel au nourrisson était d'environ 0,007 et 0,014 mcg / kg / jour pour les deux schémas de dose utilisés dans cette étude qui représentent environ 0,3% à 1% de la dose inhalée par la mère. Les taux de boudonide dans des échantillons plasmatiques obtenus de cinq nourrissons à environ 90 minutes après l'allaitement (et environ 140 minutes après l'administration du médicament à la mère) étaient inférieurs aux niveaux quantifiables ( <0.02 nmol/L in four infants et < 0.04 nmol/L in one infant) [see Utiliser dans des populations spécifiques Mères qui allaitent ].

Troubles rénaux ou hépatiques

La pharmacocinétique du budésonide n'a pas été étudiée chez les patients souffrant de troubles rénaux. Une fonction hépatique réduite peut affecter l'élimination des corticostéroïdes. La pharmacocinétique du boudonide a été affectée par la fonction hépatique compromise comme en témoigne une disponibilité systémique doublée après ingestion orale. La pertinence de cette constatation à un boudonide administré par voie intranasale n'a pas été établie.

Interactions médicament-médicament

Inhibiteurs des enzymes du cytochrome P450

Kétoconazole : Kétoconazole a strong inhibitor of cytochrome P450 (CYP) isoenzyme 3A4 (CYP3A4) the main metabolic enzyme for corticosteroids increased plasma levels of orally ingested boudonnier [see Avertissements et PRÉCAUTIONS et Interactions médicamenteuses ].

Cimétidine : Aux doses recommandées cimétidine, un inhibiteur non spécifique des enzymes CYP a eu un effet léger mais cliniquement non significatif sur la pharmacocinétique du boudonide oral.

Toxicologie et / ou pharmacologie animale

Le boudonide était tératogène et embryocide chez les lapins et les rats. Le budésonide a produit une perte fœtale a diminué les poids des chiots et les anomalies squelettiques à une dose sous-cutanée de 25 mcg / kg chez les lapins (environ 2 fois la dose intranasale quotidienne maximale recommandée chez les adultes sur un MCG / M 2 base) et à une dose sous-cutanée de 500 mcg / kg chez le rat (environ 16 fois la dose intranasale quotidienne maximale recommandée chez les adultes sur un MCG / M 2 base). No teratogenic or embryocidal effects were observed in rats when boudonnier was administered by inhalation doses up to 250 mcg/kg (approximately 8 times the maximum recommended daily intranasal dose in adults on a mcg/m 2 base).

Études cliniques

L'efficacité thérapeutique du spray nasal de Rhinocort Aqua (budésonide) a été évaluée dans des essais cliniques contrôlés par placebo de rhinite allergique saisonnière et pérenne de 3 à 6 semaines.

Le nombre de patients traités par du boudonide dans ces études était de 90 hommes et 51 femmes âgées de 6 à 12 ans et 691 hommes et 694 femmes 12 ans et plus. Les patients étaient principalement caucasiens.

Dans l'ensemble, les résultats de ces essais cliniques ont montré que le pulvérisation nasale de Rhinocort aqua (budésonide) administré une fois par jour fournit une réduction statistiquement significative de la gravité des symptômes nasaux de la rhinite allergique saisonnière et pérenne, notamment des éternuements de nez qui coule et de la congestion nasale.

Une amélioration des symptômes nasaux peut être notée chez les patients dans les 10 heures suivant la première fois en utilisant un spray nasal Rhinocort Aqua (budésonide). Cette fois-ci à l'apparition, est soutenue par une étude de l'unité d'exposition environnementale chez les patients atteints de rhinite allergique saisonnière qui a démontré que le spray nasal Rhinocort Aqua (budésonide) a conduit à une amélioration statistiquement significative des symptômes nasaux par rapport au placebo de 10 heures. Un soutien supplémentaire provient d'une étude clinique de patients atteints de rhinite allergique pérenne qui a démontré une amélioration statistiquement significative des symptômes nasaux pour le spray nasal Rhinocort Aqua (budésonide) et pour le comparateur actif (furoate de mométasone) par rapport au placebo de 8 heures. Le début a également été évalué dans cette étude avec un débit inspiratoire nasal maximal et ce critère d'évaluation n'a pas montré d'efficacité pour l'un ou l'autre traitement actif. Bien que des améliorations statistiquement significatives des symptômes nasaux par rapport au placebo aient été notées dans les 8 à 10 heures dans ces études d'environ la moitié à deux tiers de l'amélioration clinique ultime avec le pulvérisation nasale de Rhinocort aqua (budésonide) se produit environ 2 semaines après l'initiation du traitement.

Références

1 Kallen B rydhstroem h aberg A. Malformations congénitales après l'utilisation de boudonide inhalée en début de grossesse. Obstet Gynecol 1999; 93: 392-395.

2 Ericson a Kallen B. Utilisation de médicaments pendant la grossesse: méthode d'enregistrement suédoise unique qui peut être améliorée. Agence suédoise des produits médicaux 1999; 1: 8-11.

3 Norjavaara E Gerhardsson de Verdier M. Résultats normaux de la grossesse dans une étude basée sur la population comprenant 2968 femmes enceintes exposées au budésonide. J Allergy Clin Immunol 2003 ;! 11: 736-742.

Informations sur les patients pour Rhinocort Aqua

Rhinocort AQUA (boudonnier) ®
(Rine-O-Cort AH-PAGE)
(budesonide) spray nasal

Pour une utilisation dans votre nez seulement

Lisez les informations du patient fournies avec le spray nasal Rhinocort Aqua (Budesonide) avant de commencer à l'utiliser et chaque fois que vous obtenez une recharge. Il peut y avoir de nouvelles informations. Ces informations ne prennent pas la place de parler avec votre fournisseur de soins de santé de votre état de santé ou de votre traitement. Si vous avez des questions sur le spray nasal Rhinocort Aqua (Budesonide), demandez à votre fournisseur de soins de santé ou pharmacien.

Qu'est-ce que Rhinocort Aqua (Budesonide) Spray nasal?

Rhinocort AQUA (budesonide) spray nasal is a prescription medicine used to treat seasonal et year-round allergy symptoms in adults et children 6 years of age et older.

Rhinocort Aqua nasal spray contains boudonnier which is a man-made (synthetic) corticosteroid. Intranasal corticosteroids are natural hormones found in the body that reduce swelling of the lining of your nose. When you spray Rhinocort AQUA (budesonide) spray nasal into your nose it helps reduce the nasal symptoms of allergic rhinitis (inflammation of the lining of the nose) such as stuffy nose runny nose itching et éternuements.

La sécurité et l'efficacité du spray nasal de Rhinocort aqua (budésonide) n'ont pas été montrées chez les enfants de moins de 6 ans.

Qui ne devrait pas utiliser le spray nasal Rhinocort Aqua (Budesonide)?

N'utilisez pas le spray nasal Rhinocort Aqua (Budesonide):

  • Si vous êtes allergique à Budesonide ou à l'un des ingrédients de Rhinocort Aqua Nasal Spray. Voir la fin de cette brochure pour une liste complète des ingrédients du pulvérisation nasale Rhinocort Aqua (budésonide).

Que dois-je dire à mon fournisseur de soins de santé avant d'utiliser un spray nasal Rhinocort Aqua (Budesonide)?

Avant d'utiliser le spray nasal Rhinocort Aqua (Budesonide), dites à votre fournisseur de soins de santé ou à votre pharmacien si vous:

  • ont récemment été avec quiconque avec une varicelle ou une rougeole
  • avoir des problèmes de foie
  • ont des infections non traitées
  • ont déjà eu une infection appelée tuberculose
  • avoir une infection des yeux
  • ont récemment subi une intervention chirurgicale ou une blessure au nez
  • avoir d'autres conditions médicales
  • sont enceintes ou prévoient de devenir enceintes. On ne sait pas si le spray nasal Rhinocort Aqua (budésonide) nuira à votre bébé à naître. Parlez à votre médecin si vous êtes enceinte ou prévoyez de devenir enceinte.
  • allaitent ou prévoient d'allaiter. Le spray nasal Rhinocort Aqua (Budesonide) peut passer dans votre lait maternel. Parlez à votre médecin de la meilleure façon de nourrir votre bébé si vous prenez un spray nasal Rhinocort Aqua (Budesonide).

Parlez à votre fournisseur de soins de santé de tous les médicaments que vous prenez y compris les médicaments sur ordonnance et les médicaments sans ordonnance et les suppléments à base de plantes.

Rhinocort AQUA (budesonide) spray nasal may affect the way other medicines work et other medicines may affect how Rhinocort AQUA (budesonide) spray nasal works.

Connaissez les médicaments que vous prenez. Gardez une liste de vos médicaments avec vous pour montrer votre fournisseur de soins de santé et votre pharmacien lorsque vous obtenez un nouveau médicament.

Comment dois-je utiliser le spray nasal Rhinocort Aqua (Budesonide)?

  • Rhinocort AQUA (budesonide) spray nasal is for use in your nose only. Do not spray it in your eyes or mouth.
  • Utilisez Rhinocort Aqua (Budesonide) Spray nasal exactement comme votre fournisseur de soins de santé vous dit de l'utiliser.
  • Il est très important que vous utilisiez régulièrement un spray nasal Rhinocort Aqua (budesonide). N'arrêtez pas d'utiliser un spray nasal Rhinocort Aqua (Budesonide) ou modifiez votre dose sans parler à votre fournisseur de soins de santé même si vous vous sentez mieux.
  • Parlez à votre fournisseur de soins de santé si vos symptômes ne s'améliorent pas après avoir pris le spray nasal Rhinocort Aqua (budesonide) pendant 2 semaines ou si vos symptômes empirent.
  • Un adulte devrait aider un jeune enfant à utiliser ce médicament.
  • Voir les instructions du patient à utiliser à la fin de cette brochure pour des informations complètes sur la façon d'utiliser le spray nasal Rhinocort Aqua (Budesonide).

Quels sont les effets secondaires possibles du spray nasal Rhinocort Aqua (budesonide)?

Rhinocort AQUA (budesonide) spray nasal may cause serious side effects including:

  • Trou dans le cartilage à l'intérieur du nez (perforation septale nasale). Dites à votre fournisseur de soins de santé si vous avez un sifflement de votre nez lorsque vous respirez.
  • guérison des plaies lents. Vous ne devez pas utiliser le spray nasal Rhinocort Aqua (Budesonide) jusqu'à ce que votre nez ait guéri si vous avez une plaie dans le nez si vous avez subi une intervention chirurgicale sur votre nez ou si votre nez a été blessé.
  • infection fongique dans votre nez.
  • réactions allergiques. Dites à votre fournisseur de soins de santé ou obtenez une aide médicale immédiatement si vous avez:
    • Redness ou gonflement des éruptions cutanées
    • démangeaisons sévères
    • gonflement du visage bouche et langue
  • Problèmes du système immunitaire qui peuvent augmenter votre risque d'infections. Vous êtes plus susceptible d'obtenir des infections si vous prenez des médicaments qui affaiblissent la capacité de votre corps à lutter contre les infections. Évitez le contact avec des personnes souffrant de maladies contagieuses telles que la varicelle ou la rougeole tout en utilisant un spray nasal Rhinocort Aqua (budésonide). Les symptômes de l'infection peuvent inclure des douleurs de fièvre douloure les frissons, une nausée fatiguée et des vomissements.
  • insuffisance surrénale L'insuffisance surrénalienne est une condition dans laquelle les glandes surrénales ne font pas suffisamment d'hormones stéroïdes. Le symptôme de l'insuffisance surrénalienne peut inclure la faiblesse de la faiblesse des nausées vomissements et une pression artérielle basse.
  • Ralenti ou retardé de croissance chez les enfants. La croissance d'un enfant doit être vérifiée régulièrement lors de l'utilisation d'un spray nasal Rhinocort Aqua (budesonide).
  • Problèmes oculaires tels que le glaucome et les cataractes. Dites à votre fournisseur de soins de santé si vous avez un changement de vision ou si vous avez des antécédents de glaucome et / ou de cataractes de pression intraoculaire accrue.

Appelez votre fournisseur de soins de santé ou obtenez une aide médicale immédiatement si vous avez des symptômes de l'un des effets secondaires graves énumérés ci-dessus.

Les effets secondaires les plus courants du spray nasal Rhinocort Aqua (Budesonide) comprennent:

  • le nez saigne
  • mal de gorge
  • des difficultés de respiration telles que la respiration sifflante ou le resserrement de la poitrine
  • toux
  • irritation de votre nez

Dites à votre fournisseur de soins de santé si vous avez un effet secondaire qui vous dérange ou ne disparaît pas.

Ce ne sont pas tous les effets secondaires possibles du spray nasal Rhinocort Aqua (budesonide). Pour plus d'informations, demandez à votre fournisseur de soins de santé ou à votre pharmacien.

Appelez votre fournisseur de soins de santé pour des conseils médicaux sur les effets secondaires. Vous pouvez signaler les effets secondaires à la FDA au 1-800-FDA-1088 ou www.fda.gov/medwatch.

Vous pouvez signaler les effets secondaires à AstraZeneca au 1-800-236-9933.

Que dois-je savoir sur la rhinite allergique?

Dosage élevé d'effets secondaires de la prednisone

«Rhinite» signifie l'inflammation de la muqueuse du nez. Il est parfois appelé «rhume des foins». La rhinite allergique peut être causée par des allergies aux acariens de la poussière de la maison d'animaux et des spores de moule. Si vous avez une rhinite allergique, votre nez devient bouffant et démangeaisons. Vous pouvez également éternuer beaucoup. Vous avez peut-être des yeux rouges qui démangent les démangeaisons; gorge démangeaisons; ou des oreilles de démangeaisons bloquées.

Rhinocort AQUA (budesonide) spray nasal helps to relieve your nasal symptoms.

Si vous avez également des démangeaisons aqueuses, vous devriez dire à votre fournisseur de soins de santé. Il peut prescrire des médicaments supplémentaires pour traiter ces symptômes.

Comment stocker le spray nasal Rhinocort Aqua (Budesonide)?

  • Stockez Rhinocort Aqua (Budesonide) Spray nasal à 68 ° F à 77 ° F (20 ° C à 25 ° C).
  • Ne congelez pas Rhinocort Aqua (Budesonide) Spray nasal.
  • Protégez le pulvérisation nasale de Rhinocort Aqua (Budesonide) de la lumière.
  • N'utilisez pas de spray nasal Rhinocort Aqua (budesonide) après que le nombre marqué de sprays a été utilisé (n'inclut pas l'amorçage) ou après la date d'expiration indiquée sur l'étiquette de carton ou de bouteille.
  • Gardez le capuchon de protection vert sur le spray nasal Rhinocort Aqua (budesonide) lorsqu'il n'est pas utilisé. (Veuillez voir Avant l'utilisation sur le côté inverse ).
  • Gardez le spray nasal Rhinocort Aqua (Budesonide) et tous les médicaments hors de la portée des enfants.

Informations générales sur l'utilisation sûre et efficace du spray nasal Rhinocort Aqua (Budesonide):

N'utilisez pas le spray nasal Rhinocort Aqua (budesonide) pour une condition pour laquelle il n'a pas été prescrit. Ne donnez pas de pulvérisation nasale de Rhinocort Aqua (budesonide) à d'autres personnes même si elles présentent les mêmes symptômes que vous. Cela peut leur faire du mal.

Cette brochure d'information du patient résume les informations les plus importantes sur le spray nasal Rhinocort Aqua (budesonide). Si vous souhaitez plus d'informations, parlez avec votre fournisseur de soins de santé. Vous pouvez demander à votre pharmacien ou fournisseur de soins de santé des informations sur le spray nasal Rhinocort Aqua (Budesonide) qui est écrit pour les professionnels de la santé.

Pour plus d'informations, rendez-vous sur www.astrazeneca-us.com ou appelez AstraZeneca au 1-800-236-9933.

Quels sont les ingrédients du spray nasal Rhinocort Aqua (budésonide)?

Ingrédient actif: boudonnier

Ingrédients inactifs: La cellulose microcristalline et la carboxyméthyl-cellulose de sodium dextrose de dextrose anhydre 80 Disodium édodium édétéate de potassium et de l'eau purifiée et de l'acide chlorhydrique.

Instructions du patient à utiliser

Pour une utilisation dans votre nez seulement. Do not spray in your eyes or mouth.

Lisez soigneusement les instructions du patient avant de commencer à utiliser le spray nasal Rhinocort Aqua (Budesonide). Si vous avez des questions, posez votre prestataire de soins de santé

Figure A

RHINOCORT AQUA 32 meg (biidcsonidc) Nasal Spray - Illustration

Comment amorcer votre pulvérisation nasale Rhinocort Aqua (budesonide)

Comment vous ressentez Lyrica

Avant d'utiliser Rhinocort Aqua (Budesonide) Spray nasal, la bouteille doit être amorcée. Pour prime Rhinocort Aqua (Budesonide) Spray nasal:

1. Tirez pour retirer le capuchon de protection verte de l'unité de pulvérisation nasale.

2. Secouez doucement la bouteille pendant quelques secondes avant chaque utilisation.

3. Tenez fermement la bouteille comme le montre la figure B avec votre index et votre majeur de chaque côté de la pointe de pulvérisation et votre pouce sous la bouteille.

Figure B

Activate the pump by quickly and firmly pressing down on the white collar - Illustration

4. Activez la pompe en appuyant rapidement et fermement sur le col blanc tout en tenant la base de la bouteille avec votre pouce.

5. Avant votre première utilisation de Rhinocort Aqua (Budesonide) Spray nasal, secouez doucement la bouteille. La pompe doit être amorcée en appuyant sur le col blanc 8 fois. La pompe est maintenant prête à l'emploi. S'il est utilisé quotidiennement, la pompe n'a pas besoin d'être réprimée. S'il n'est pas utilisé pendant 2 jours de repèle de ligne avec 1 pulvérisation ou jusqu'à ce qu'un spray fin apparaisse. S'il n'est pas utilisé pendant plus de 14 jours, rincez la pointe de pulvérisation de la pompe à l'aide des étapes de nettoyage énumérées à la fin de cette brochure. Après le nettoyage de la repme avec 2 sprays ou jusqu'à ce qu'un spray fin apparaisse.

Chaque bouteille de spray nasal Rhinocort Aqua (Budesonide) contient suffisamment de médicaments pour que vous puissiez pulvériser des médicaments à partir de la bouteille 120 fois après l'amorçage de la bouteille.

Vous ne devez pas utiliser la bouteille de rhinocort aqua (budesonide) spray nasal après 120 sprays. Des sprays supplémentaires après 120 peuvent ne pas contenir la bonne quantité de médicaments. Vous devez garder une trace du nombre de sprays que vous utilisez à partir de chaque bouteille de spray nasal Rhinocort Aqua et jeter tout médicament restant qui peut être laissé dans la bouteille. Remplissez votre ordonnance mensuellement.

Comment utiliser votre spray nasal Rhinocort Aqua (Budesonide)

Suivez ces instructions pour l'utilisation quotidienne du spray nasal Rhinocort Aqua (Budesonide):

  1. Soufflez doucement le nez pour nettoyer vos narines si nécessaire.
  2. Secouez doucement la bouteille pendant quelques secondes et retirez le capuchon de protection verte.
  3. Tenez fermement la bouteille avec votre index et votre majeur de chaque côté de la pointe de pulvérisation et votre pouce sous la bouteille (voir Figure C ).

Figure C

Hold the bottle firmly with your index and middle finger- Illustration

4. Insérez la pointe de la pulvérisation dans votre narine (la pointe ne doit pas atteindre loin dans votre nez). Fermez l'autre narine avec un doigt et penchez légèrement la tête en avant pour que le spray vise vers l'arrière de votre nez (voir Figure D ).

Figure D

Close the other nostril with a finger - Illustration

5. Pour chaque pulvérisation, activez la pompe en appuyant rapidement et fermement sur le col blanc tout en tenant la base de la bouteille avec votre pouce. Respirez doucement vers l'intérieur à travers la narine.

6. Après avoir pulvérisé dans votre narine, penchez la tête en arrière pendant quelques secondes (voir Figure E ).

Figure E

Lean your head backward - Illustration

7. Si un deuxième pulvérisation est nécessaire dans les mêmes étapes de répétition des narines 3 à 6.

8. Répétez les étapes 3 à 7 pour votre autre narine.

9. Évitez de vous faire sauter le nez pendant 15 minutes après avoir utilisé le spray nasal Rhinocort Aqua (Budesonide).

10. Essuyez la pointe de pulvérisation avec un tissu propre (voir Figure F ) et remplacer le capuchon de protection verte. Conservez la bouteille en position verticale.

Figure F

Wipe the spray tip - Illustration

Comment nettoyer votre pulvérisation nasale Rhinocort Aqua (Budesonide)

Figure G

Cleaning your RHINOCORT AQUA Nasal Spray - Illustration

Rincez régulièrement le capuchon de protection verte et la pointe de pulvérisation. Pour faire ceci:

  1. Retirez le capuchon de protection verte et soulevez la pointe de la pulvérisation (voir Figure G ).
  2. Laver uniquement le capuchon de protection verte et la pointe de pulvérisation dans l'eau tiède et les rincer dans l'eau du robinet froid.
  3. 3. Laissez le capuchon de protection verte et la pointe de la pulvérisation pour sécher complètement à l'air avant de réassembler le spray nasal.
  4. Si la pointe de pulvérisation est bloquée, elle peut être éliminée en répétant les étapes 1 à 3. Ne débloquez pas l'applicateur nasal avec une broche ou un autre objet pointu.

Pour plus d'informations sur le spray nasal Rhinocort Aqua (Budesonide) ®, veuillez appeler le centre d'information AstraZeneca du lundi au vendredi de 8 h à 18 h HE à l'exclusion des vacances à 1-800-236-9933.