Les Informations Présentées Sur Ce Site Ne Constituent Pas Un Avis Médical. Nous Ne Vendons Rien. L'Exactitude De La Traduction N'Est Pas Garantie. Clause De Non-Responsabilité
Cephalosporines, 3e génération
Rocephine
Résumé
Qu'est-ce que la Rocephin?
Rocephine ( ceftriaxone sodium) pour l'injection est une céphalosporine antibiotique utilisé pour traiter de nombreux types d'infections bactériennes, y compris des formes sévères ou potentiellement mortelles telles que méningite . La rocephine est disponible en générique formulaire.
Quels sont les effets secondaires de la rocephine?
Les effets secondaires courants de la rocephine comprennent:
- Réactions du site d'injection (douleur de la rougeur gonflable une bosse ou une douleur dure)
- perte d'appétit
- nausée
- vomissement
- estomac renversé
- diarrhée
- mal de tête
- vertiges
- réflexes hyperactifs
- douleur ou gonflement dans votre langue
- transpiration ou
- démangeaisons vaginales ou décharge.
Dosage pour la rocephine
La dose quotidienne habituelle adulte est de 1 à 2 grammes donnée une fois par jour (ou à des doses également divisées deux fois par jour) en fonction du type et de la gravité de l'infection. Le dosage pédiatrique dépend de l'état traité et du poids de l'enfant.
Quelles substances ou suppléments de médicaments interagissent avec la rocephine?
D'autres médicaments peuvent interagir avec la rocephine. Dites à votre médecin tous les médicaments et suppléments en vente libre et en vente libre que vous utilisez.
Rocéphine pendant la grossesse et l'allaitement
Pendant la grossesse, la rocephine ne doit être utilisée que si elle est prescrite. Ce médicament passe dans le lait maternel et peut avoir des effets indésirables sur un nourrisson infirmier. Consultez votre médecin avant l'allaitement.
Informations Complémentaires
Notre centre de médicaments à effets secondaires de la rocephine (ceftriaxone sodium) offre une vue complète des informations sur les médicaments disponibles sur les effets secondaires potentiels lors de la prise de ce médicament.
Quelle classe de médicament est Vyvanse
Informations sur les médicaments de la FDA
- Description de la drogue
- Indications
- Dosage
- Effets secondaires
- Interactions médicamenteuses
- Avertissements
- Précautions
- Surdosage
- Pharmacologie clinique
- Guide des médicaments
Description de la rocephine
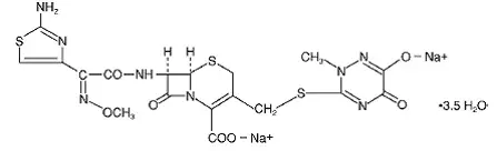
La rocephine est une céphalosporine à large spectre semi-synthétique stérile antibiotique pour l'administration intraveineuse ou intramusculaire. Ceftriaxone sodium est (6 R 7 R ) -7- [2- (2Amino-4-Thiazolyl) glyoxylamido] -8-oxo-3 - [(1256-tétrahydro-2-méthyl-56-dioxo- comme triazin-3-yl) thio] méthyl] -5-thia-1-azabicyclo [4.2.0] acide oct-2-ene-2-carboxylique 7 7 2 - ( Z ) ( O -Méthyloxime) Disodium Sel Sesquaterhydrate.
La formule chimique de la ceftriaxone sodium est C 18 H 16 N 8 N / A 2 O 7 S 3 • 3.5h 2 O. Il a un poids moléculaire calculé de 661,59 et la formule structurelle suivante:
|
La rocephine est une poudre cristalline blanche à jaunâtre jaunâtre qui est facilement soluble dans l'eau avec parcimonie soluble dans le méthanol et très légèrement soluble dans l'éthanol. Le pH d'une solution aqueuse à 1% est d'environ 6,7. La couleur des solutions de rocephine varie du jaune clair à l'ambre en fonction de la longueur de la concentration de stockage et du diluant utilisé.
La rogéphine contient environ 83 mg (NULL,6 mEq) de sodium par gramme d'activité de ceftriaxone.
Utilisations pour la rocephin
Avant d'instituer le traitement par la rocephine, des échantillons appropriés doivent être obtenus pour l'isolement de l'organisme causal et pour déterminer sa sensibilité au médicament. La thérapie peut être instituée avant d'obtenir les résultats des tests de sensibilité.
Pour réduire le développement de bactéries résistantes aux médicaments et maintenir l'efficacité de la rocéphine et d'autres médicaments antibactériens, la rocephine doit être utilisée uniquement pour traiter ou prévenir les infections qui sont prouvées ou fortement suspectées comme causées par des bactéries sensibles. Lorsque des informations sur la culture et la sensibilité sont disponibles, elles doivent être prises en compte dans la sélection ou la modification de la thérapie antibactérienne. En l'absence de telles données, les modèles d'épidémiologie et de sensibilité locaux peuvent contribuer à la sélection empirique de la thérapie.
La rocephine est indiquée pour le traitement des infections suivantes lorsqu'elles sont causées par des organismes sensibles:
Infections des voies respiratoires plus faibles causé par Streptococcus pneumoniae staphylococcus aureus haemophilus influenzae haemophilus parainfluenzae klebsiella pneumoniae escherichia coli Enterobacter aerogenes proteus mirabilis ou serratia marcènes.
Otite moyenne bactérienne aiguë causé par Streptococcus pneumoniae haemophilus influenzae (y compris les souches de production bêta-lactamase) ou Moraxella catarrhalis (y compris les souches produisant des bêta-lactamases).
Remarque: Dans une étude, des taux de guérison cliniques plus faibles ont été observés avec une seule dose de rocephine par rapport à 10 jours de thérapie orale. Dans une deuxième étude, des taux de guérison comparables ont été observés entre la rocephine à dose unique et le comparateur. Le taux de guérison clinique potentiellement plus faible de la rocephine devrait être équilibré avec les avantages potentiels de la thérapie parentérale (voir Études cliniques ).
Infections de la peau et de la peau causé par Staphylococcus aureus Staphylococcus epidermidis streptococcus pyogenes Streptocoque du groupe Viridans Escherichia coli Enterobacter cloacae klebsiella oxytoca klebsiella pneumoniae proteus mirabilis morganella morganii * pseudomonas aeruginosa serratia marcescens acinetobacter calcoaceticus bacteroides * ou Peptostreptococcus espèces.
Infections des voies urinaires (compliqué et simple) causé par Escherichia coli protéus mirabilis protéus vulgaris morganella morganii ou Klebsiella pneumoniae.
Gonorrhée non compliquée (cervical / urétral et rectal) causé par Neisseria gonorrhoeae y compris à la fois des souches productrices de pénicillinase et de non-pénicillinase et une gonorrhée pharyngée causée par de Neisseria gonorrhoeae.
Maladie inflammatoire pelvienne causé par Neisseria gonorrhoeae. La rocephine comme les autres céphalosporines n'a aucune activité contre Chlamydia trachomatis. Par conséquent, lorsque les céphalosporines sont utilisées dans le traitement des patients atteints d'une maladie inflammatoire pelvienne et Trachomes de chlamydia est l'une des agents pathogènes suspectés une couverture antichlamydiale appropriée doit être ajoutée.
Septicémie bactérienne causé par Staphylococcus aureus Streptococcus pneumoniae Escherichia coli Haemophilus influenzae ou Klebsiella pneumoniae.
Infections osseuses et articulaires causé par Staphylococcus aureus streptococcus pneumoniae Escherichia coli proteus mirabilis klebsiella pneumoniae ou Enterobacter espèces.
Infections intra-abdominales causé par Escherichia coli klebsiella pneumoniae bacteroides fragilis clostridium espèces (Remarque: la plupart des souches de Clostridium difficile est résistant) ou Peptostreptococcus espèces.
MÉNINGITE causé par Haemophilus influenzae neisseria meningitidis ou Streptococcus pneumoniae. La rocephine a également été utilisée avec succès dans un nombre limité de cas de méningite et d'infection à shunt causés par Staphylococcus epidermidis * et Échappant aux frissons. *
* L'efficacité pour cet organisme dans ce système d'organes a été étudiée dans moins de dix infections.
Prophylaxie chirurgicale: L'administration préopératoire d'une dose de rogéphine à 1 gm unique peut réduire l'incidence des infections postopératoires chez les patients subissant des procédures chirurgicales classifiées comme contaminées ou potentiellement contaminées (par exemple, l'hystérectomie vaginale ou abdominale ou la cholécystectomie pour l'âge de cholécystite calcule Antimicrobiens ictère obstructive ou pierres biliaires de canal commun) et chez les patients chirurgicaux pour lesquels l'infection sur le site opératoire présenterait un risque grave (par exemple pendant la chirurgie du pontage coronarien). Bien que la roéphine se soit avérée avoir été aussi efficace que la céfazoline dans la prévention de l'infection après une chirurgie du pontage coronarien, aucun essai contrôlé par placebo n'a été mené pour évaluer tout antibiotique de céphalosporine dans la prévention de l'infection après une chirurgie du bypass de l'oiseau coronaire.
Lorsqu'il est administré avant les procédures chirurgicales pour lesquelles il est indiqué qu'une seule dose de rocephine de 1 gM offre une protection contre la plupart des infections en raison des organismes sensibles tout au long de la procédure.
Dosage pour la rocephine
La rocephine peut être administrée par voie intraveineuse ou intramusculaire.
N'utilisez pas de diluants contenant du calcium tels que la solution de Ringer ou la solution de Hartmann pour reconstituer des flacons de rocephine ou pour diluer davantage un flacon reconstitué pour l'administration IV car un précipité peut se former. Une précipitation de la ceftriaxone-calcium peut également se produire lorsque la rocéphine est mélangée avec des solutions contenant du calcium dans la même ligne d'administration IV. La rogéphine ne doit pas être administrée simultanément avec des solutions IV contenant du calcium, y compris des perfusions continues contenant du calcium telles que la nutrition parentérale via un site Y. Cependant, chez les patients autres que les nouveau-nés, les solutions de roéphine et de calcium peuvent être administrées séquentiellement si les lignes de perfusion sont complètement rincées entre les perfusions avec un liquide compatible (voir (voir Avertissements ).
Il n'y a eu aucun rapport d'interaction entre la ceftriaxone et les produits oraux contenant du calcium ou l'interaction entre la ceftriaxone intramusculaire et les produits contenant du calcium (IV ou oral).
Nouveau-né
Les nouveau-nés hyperbilirubinémiques, en particulier les prématures, ne doivent pas être traités avec de la rocephine. La rocephine est contre-indiquée dans les nouveau-nés prématurés (voir Contre-indications ).
La rogéphine est contre-indiquée chez les nouveau-nés (≤ 28 jours) s'ils nécessitent (ou devraient nécessiter) un traitement avec des solutions IV contenant du calcium, y compris des perfusions continues en calcium telles que la nutrition parentérale en raison du risque de précipitation de ceftriaxone calcium (voir (voir la nutrition parentérale Contre-indications ).
Des doses intraveineuses doivent être données sur 60 minutes chez les nouveau-nés pour réduire le risque d'encéphalopathie de bilirubine.
Patients pédiatriques
Pour le traitement des infections de la peau et de la structure cutanée, la dose quotidienne totale recommandée est de 50 à 75 mg / kg donnée une fois par jour (ou à des doses également divisées deux fois par jour). La dose quotidienne totale ne doit pas dépasser 2 grammes.
Pour le traitement de l'otite moyenne bactérienne aiguë, une dose intramusculaire unique de 50 mg / kg (pour ne pas dépasser 1 gramme) est recommandée (voir Indications ). Pour the treatment of serious miscellaneous infections other than méningite the recommended total daily dose is 50 to 75 mg/kg given in divided doses every 12 hours. The total daily dose should pas exceed 2 grams.
Dans le traitement de la méningite, il est recommandé que la dose thérapeutique initiale soit de 100 mg / kg (pour ne pas dépasser 4 grammes). Par la suite, une dose quotidienne totale de 100 mg / kg / jour (pour ne pas dépasser 4 grammes par jour) est recommandée. La dose quotidienne peut être administrée une fois par jour (ou à des doses également divisées toutes les 12 heures). La durée habituelle du traitement est de 7 à 14 jours.
Adultes
La dose quotidienne habituelle adulte est de 1 à 2 grammes donnée une fois par jour (ou à des doses également divisées deux fois par jour) en fonction du type et de la gravité de l'infection. La dose quotidienne totale ne doit pas dépasser 4 grammes.
Si Trachomes de chlamydia est une couverture antichlamydiale suspectée de pathogènes appropriée doit être ajoutée car la ceftriaxone sodium n'a aucune activité contre cet organisme.
Pour le traitement des infections gonocococciques non compliquées, une dose intramusculaire unique de 250 mg est recommandée.
Pour une utilisation préopératoire (prophylaxie chirurgicale), une seule dose de 1 gramme administrée par voie intraveineuse 1/2 à 2 heures avant la chirurgie.
Généralement, le traitement par la roéphine doit être poursuivi pendant au moins 2 jours après que les signes et symptômes d'infection ont disparu. La durée habituelle du traitement est de 4 à 14 jours; Dans les infections compliquées, une thérapie plus longue peut être nécessaire.
Lors du traitement des infections causées par Streptococcus pyogenes La thérapie doit être poursuivie pendant au moins 10 jours.
Aucun ajustement posologique n'est nécessaire pour les patients atteints de déficience de la fonction rénale ou hépatique (voir PRÉCAUTIONS ).
Les doses recommandées pour les adultes ne nécessitent aucune modification chez les patients âgés jusqu'à 2 GM par jour à condition qu'il n'y ait pas de troubles rénaux et hépatiques graves (voir PRÉCAUTIONS ).
Directions à utiliser
Administration intramusculaire
Reconstituer la poudre de rocephine avec le diluant approprié (voir Compatibilité et stabilité ).
Injectez le diluant dans le flacon de flacon de flacon pour former une solution. Retirer l'intégralité du contenu du flacon dans la seringue pour égaler la dose totale marquée.
Après reconstitution, chaque 1 ml de solution contient environ 250 mg ou 350 mg équivalent de ceftriaxone selon la quantité de diluant indiqué ci-dessous. Si nécessaire, plus de solutions diluées pourraient être utilisées.
Comme pour toutes les préparations intramusculaires, la rocephine doit être injectée bien dans le corps d'un muscle relativement grand; L'aspiration aide à éviter l'injection involontaire dans un vaisseau sanguin.
| Dosage du flacon | Quantité de diluant à ajouter | |
| 250 mg / ml | 350 mg / ml | |
| 500 mg | 1,8 ml | 1,0 ml |
| 1 gm | 3,6 ml | 2,1 ml |
Administration intraveineuse
La rocephine doit être administrée par voie intraveineuse par perfusion sur une période de 30 minutes, sauf chez les nouveau-nés où l'administration pendant 60 minutes est recommandée pour réduire le risque d'encéphalopathie de bilirubine. Des concentrations entre 10 mg / ml et 40 mg / ml sont recommandées; Cependant, des concentrations plus faibles peuvent être utilisées si vous le souhaitez. Reconstituer les flacons avec un diluant IV approprié (voir Compatibilité et stabilité ).
| Dosage du flacon | Quantité de diluant à ajouter |
| 500 mg | 4,8 ml |
| 1 gm | 9,6 ml |
Après reconstitution, chaque ml de solution contient environ 100 mg équivalent de ceftriaxone. Retirer tout le contenu et diluer à la concentration souhaitée avec le diluant IV approprié.
Compatibilité et stabilité
N'utilisez pas de diluants contenant du calcium tels que la solution de Ringer ou la solution de Hartmann pour reconstituer des flacons de rocephine ou pour diluer davantage un flacon reconstitué pour l'administration IV. La formation de particules peut en résulter.
Ceftriaxone s'est avéré compatible avec le Flagyl ® IV (chlorhydrate de métronidazole). La concentration ne doit pas dépasser 5 à 7,5 mg / ml de chlorhydrate de métronidazole avec de la ceftriaxone 10 mg / ml comme mélange. Le mélange est stable pendant 24 heures à température ambiante uniquement dans une injection de chlorure de sodium à 0,9% ou à 5% de dextrose dans l'eau (D5W). Aucune étude de compatibilité n'a été menée avec le Flagyl ® IV RTU ® (métronidazole) Formulation ou utilisant d'autres diluants. Le métronidazole à des concentrations supérieures à 8 mg / ml se précipitera. Ne réfrigérez pas le mélange au fur et à mesure que les précipitations se produiront.
La vancomycine amsacrine aminoglycosides et le fluconazole sont incompatibles avec la ceftriaxone dans les adjuvants. Lorsque l'un de ces médicaments doit être administré en concomitance avec la ceftriaxone par perfusion intraveineuse intermittent, il est recommandé qu'ils soient donnés séquentiellement avec un rinçage approfondi des lignes intraveineuses (avec l'un des liquides compatibles) entre les administrations.
Les solutions de rocephin devraient pas Soyez physiquement mélangé avec des solutions contenant d'autres médicaments antimicrobiens ou dans des solutions diluées autres que celles énumérées ci-dessus en raison d'une éventuelle incompatibilité (voir Avertissements ).
La poudre stérile de la rocephine doit être stockée à température ambiante - 77 ° F (25 ° C) - ou en dessous et protégé de la lumière. Après la reconstitution, la protection contre la lumière normale n'est pas nécessaire. La couleur des solutions va du jaune clair à l'ambre en fonction de la longueur de la concentration de stockage et du diluant utilisé.
Rocephine intramusculaire Les solutions restent stables (perte de puissance inférieure à 10%) pour les périodes suivantes:
| Stockage | |||
| Diluant | Concentration mg / ml | Température ambiante. (25 ° C) | Réfrigéré (4 ° C) |
| Eau stérile pour l'injection | 100 | 2 jours | 10 jours |
| 250 350 | 24 heures | 3 jours | |
| 0,9% de chlorure de sodium Solution | 100 | 2 jours | 10 jours |
| 250 350 | 24 heures | 3 jours | |
| Solution de dextrose à 5% | 100 | 2 jours | 10 jours |
| 250 350 | 24 heures | 3 jours | |
| Eau bactériostatique 0,9% Benzyl Alcohol | 100 | 24 heures | 10 jours |
| 250 350 | 24 heures | 3 jours | |
| Solution de lidocaïne à 1% | 100 | 24 heures | 10 jours |
| (without epinephrine) | 250 350 | 24 heures | 3 jours |
Rocephine intraveineux Les solutions à des concentrations de 10 20 et 40 mg / ml restent stables (perte de puissance inférieure à 10%) pour les périodes suivantes stockées dans des récipients en verre ou en PVC:
| Stockage | ||
| Diluant | Température ambiante. (25 ° C) | Réfrigéré (4 ° C) |
| Eau stérile | 2 jours | 10 jours |
| 0,9% de chlorure de sodium Solution | 2 jours | 10 jours |
| Solution de dextrose à 5% | 2 jours | 10 jours |
| Solution de dextrose à 10% | 2 jours | 10 jours |
| Solution de chlorure de sodium à 5% de dextrose à 0,9% * | 2 jours | Incompatible |
| Solution de chlorure de sodium à 5% de dextrose à 0,45% | 2 jours | Incompatible |
| * Données disponibles pour des concentrations de 10 à 40 mg / ml dans ce diluant dans des conteneurs PVC uniquement. |
Les solutions de rocephine intraveineuses suivantes sont stables à température ambiante (25 ° C) pendant 24 heures à des concentrations comprises entre 10 mg / ml et 40 mg / ml: lactate de sodium (récipient en PVC) à 10% de sucre inversé (récipient en verre) à 5% de bicarbonate de sodium (récipient de verre) Freeurs IIi (Récipient de verre) dans un contenu normosolaire à 5% de désinfecture (vitre 5% dextrose (récipient en verre) 5% de mannitol (récipient en verre) 10% de mannitol (récipient en verre).
Après les périodes de stabilité indiquées, des parties inutilisées de solutions doivent être rejetées.
Note
Les médicaments parentéraux doivent être inspectés visuellement pour les particules avant l'administration.
Rocephine reconstituted with 5% Dextrose ou 0,9% de chlorure de sodium solution at concentrations between 10 mg/mL et 40 mg/mL et then stoued in frozen state (-20°C) in PVC ou polyolefin containers remains stable fou 26 weeks.
Les solutions congelées de rocephine doivent être décongelées à température ambiante avant utilisation. Après la décongélation des portions inutilisées, il faut rejeter. Ne refrenez pas.
Comment fourni
Rocephine est fourni sous forme de poudre cristalline stérile dans des flacons en verre. Les forfaits suivants sont disponibles:
Flacons contenant 500 mg équivalent de ceftriaxone. Boîte de 1 ( NDC 0004-1963-02) et boîte de 10 ( NDC 0004-1963-01).
Flacons contenant 1 gm équivalent de ceftriaxone. Boîte de 1 ( NDC 0004-1964-04) et boîte de 10 ( NDC 0004-1964-01).
Note
Rocephine sterile powder should be stoued at room temperature 77°F (25 ° C) ou below et protected from light.
Distribué par: Genentech USA Inc. Un membre du Roche Group 1 DNA Way South San Francisco CA 94080-4990. Révisé: juillet 2018
Effets secondaires fou Rocephine
Rocephine is generally well tolerated. In clinical trials the following adverse reactions which were considered to be related to Rocephine therapy ou of uncertain etiology were observed:
Réactions locales - L'induration et la sensibilité de la douleur étaient de 1% dans l'ensemble. Phlébite a été signalé dans <1% after IV administration. The incidence of warmth tightness ou induration wcomme 17% (3/17) after IM administration of 350 mg / ml et 5% (1/20) after IM administration of 250 mg / ml.
Troubles généraux et conditions du site d'administration - Douleur du site d'injection (NULL,6%).
Hypersensibilité - éruption cutanée (NULL,7%). Moins fréquemment signalé ( <1%) were pruritus fever ou chills.
Infections et infestations - Infection fongique génitale (NULL,1%).
Hématologique - Éosinophilie (6%) thrombocytose (NULL,1%) et leucopénie (NULL,1%). Moins fréquemment signalé ( <1%) were anemia hemolytic anemia neutropenia lymphopenia thrombocytopenia et prolongation of the prothrombin time.
Troubles sanguins et lymphatiques - Granulocytopénie (NULL,9%) coagulopathie (NULL,4%).
Gastro-intestinal - diarrhée/loose stools (2.7%). Less frequently repouted ( <1%) were nausée ou vomissement et dysgeusia. The onset of pseudomembranous colitis symptoms may occur during ou after antibacterial treatment (see Avertissements ).
Hépatique - Élévations de l'aspartate aminotransférase (AST) (NULL,1%) ou de l'alanine aminotransférase (ALT) (NULL,3%). Moins fréquemment signalé ( <1%) were elevations of alkaline phosphatcommee et bilirubin.
Rénal - Éléments du pain (NULL,2%). Moins fréquemment signalé ( <1%) were elevations of creatinine et the presence of ccommets in the urine.
Système nerveux central - mal de tête ou vertiges were repouted occcommeionally ( <1%).
Génito-urinaire - la moniliase ou la vaginite ont été signalées de temps en temps ( <1%).
Divers - La diaphorèse et les bouffées ont été signalés de temps en temps ( <1%).
Enquêtes - La créatinine sanguine a augmenté (NULL,6%).
D'autres réactions indésirables rarement observées ( <0.1%) include abdominal pain agranulocytosis allergic pneumonitis anaphylaxis bcommeophilia biliary lithicommeis bronchospcommem colitis dyspepsia epistaxis flatulence gallbladder sludge glycosuria hematuria jaundice leukocytosis lymphocytosis monocytosis nephrolithicommeis palpitations a decrecommee in the prothrombin time renal precipitations seizures et serum sickness.
Expérience de commercialisation de la poste
En plus des effets indésirables rapportés lors des essais cliniques, les expériences indésirables suivantes ont été rapportées lors de la pratique clinique chez les patients traités par rocephine. Les données sont généralement insuffisantes pour permettre une estimation de l'incidence ou pour établir la causalité.
Un petit nombre de cas de résultats mortels dans lesquels un matériau cristallin a été observé dans les poumons et les reins à l'autopsie a été signalé chez les nouveau-nés recevant de la rocéphine et des fluides contenant du calcium. Dans certains de ces cas, la même ligne de perfusion intraveineuse a été utilisée à la fois pour la roéphine et les fluides contenant du calcium et dans certains précipités a été observé dans la ligne de perfusion intraveineuse. Au moins un décès a été signalé dans un nouveau-né dans lequel les fluides contenant de la rocéphine et du calcium ont été administrés à différents moments via différentes lignées intraveineuses; Aucun matériau cristallin n'a été observé lors de l'autopsie dans ce nouveau-né. Il n'y a eu aucun rapport similaire chez des patients autres que les nouveau-nés.
Gastro-intestinal – Pancréatite stomatite et glossite.
Réaction allergique aux symptômes de monistat 3
Génito-urinaire – Oliguria Urétérique Obstruction post-rénal Insuffisance rénale aiguë.
Dermatologique – exanthème de dermatite allergique urticaire œdème; Pustulose exanthémateuse généralisée aiguë (AGEP) et cas isolés de réactions indésirables cutanées sévères (syndrome de l'érythème multiforme Stevens-Johnson ou syndrome de Lyell / nécrolyse épidermique toxique) ont été signalées.
Hématologiqueal Changes
Cas isolés d'agranulocytose ( <500/mm 3 ) ont été signalés la plupart d'entre eux après 10 jours de traitement et après des doses totales de 20 g ou plus.
Troubles du système nerveux
convulsion
Autres réactions indésirables
Précipitation symptomatique du sel de calcium de la ceftriaxone dans la vésine de la vésicule biliaire oliguria et des réactions anaphylactiques ou anaphylactoïdes.
Classe de céphalosporine réactions indésirables
In addition to the adverse reactions listed above which have been observed in patients treated with ceftriaxone the following adverse reactions and altered laboratory test results have been reported for cephalosporin class antibiotics:
Effets indésirables
Réactions allergiques Fièvre de médicaments Réaction sérique comme dysfonctionnement rénal Néphropathie toxique Hyperactivité réversible hypertonie dysfonctionnement hépatique, y compris la cholestase anémie aplasique hémorragie et la surinfection.
Tests de laboratoire modifiés
Test de coombes directes positifs Test de faux positifs pour le glucose urinaire et le LDH élevé (voir PRÉCAUTIONS ).
Plusieurs céphalosporines ont été impliqués dans le déclenchement des crises, en particulier chez les patients souffrant de troubles rénaux, lorsque le dosage n'a pas été réduit (voir Posologie et administration ). Si seizures commesociated with drug therapy occur the drug should be discontinued. Anticonvulsant therapy can be given if clinically indicated.
Interactions médicamenteuses fou Rocephine
Les patients qui sont administrés des anesthésiques locaux peuvent courir un risque accru de développer une méthémoglobinémie lorsqu'ils sont exposés simultanément aux agents oxydants suivants:
| Classe | Exemples |
| Nitrates / nitrites | Nitroglycérine nitroprussiate oxyde nitrique oxyde |
| Anesthésiques locaux | Benzocaïne lidocaïne bupivacaïne mepivacaïne tétracaine prilocaine procaine articaine |
| Agents antinéoplasiques | cyclophosphamide flutamide rasburicase isofamide hydroxyurée |
| Antibiotiques | dapsone sulfonamides nitrofurantoin acide paraaminosalicylique |
| Antipaludiques | chloroquine primaquine |
| Anticonvulsivants | phénytoine sodium valproate phénobarbital |
| Autres drogues | acétaminophène métoclopramide sulfa médicament (c'est-à-dire sulfasalazine) quinine quinine |
Avertissements fou Rocephine
Hypersensibilité Reactions
Avant que la thérapie avec la rocephine ne soit instituée en une enquête, une enquête prudente doit être faite pour déterminer si le patient a eu des réactions d'hypersensibilité antérieures aux céphalosporines pénicillines et à d'autres agents bêta-lactame ou autres médicaments. Ce produit doit être donné avec prudence à la pénicilline et à d'autres patients sensibles à l'agent bêta-lactame. Les médicaments antibactériens doivent être administrés avec prudence à tout patient qui a démontré une certaine forme de allergie en particulier aux médicaments. Des réactions d'hypersensibilité aiguës graves peuvent nécessiter l'utilisation d'épinéphrine sous-cutanée et d'autres mesures d'urgence.
Comme pour tous les agents antibactériens bêta-lactame, des réactions d'hypersensibilité graves et parfois mortelles (c'est-à-dire l'anaphylaxie) ont été rapportées. En cas de réactions d'hypersensibilité sévères, le traitement avec la ceftriaxone doit être interrompu immédiatement et des mesures d'urgence adéquates doivent être initiées.
Méthémoglobinémie
Des cas de Méthémoglobinémie ont été signalés en association avec l'utilisation anesthésique locale (par exemple la lidocaïne). Bien que tous les patients soient à risque de patients atteints de méthémoglobinémie atteints de carence en glucose-6-phosphate déshydrogénase déficitaire congénital ou idiopathique méthémoglobinemie cardiaque ou de compromis pulmonaire de moins de 6 mois et d'exposition concomitante aux agents oxydants ou à leurs métabolites plus susceptibles de développer des manifestations cliniques de la condition. Si des anesthésiques locaux doivent être utilisés chez ces patients, une surveillance étroite des symptômes et des signes de méthémoglobinémie est recommandée.
Des signes et symptômes de méthémoglobinemie peuvent se produire immédiatement ou peuvent être retardés quelques heures après l'exposition et se caractérisent par une décoloration cutanée cyanotique et une coloration anormale du sang. Les niveaux de méthémoglobine peuvent continuer d'augmenter; Par conséquent, un traitement immédiat est nécessaire pour éviter le système nerveux central plus grave et les effets indésirables cardiovasculaires, y compris les crises d'arythmies et la mort de coma. Arrêter le kit de rocephine et tout autre agent oxydant. Selon la gravité des symptômes, les patients peuvent répondre aux soins de soutien, à savoir l'hydratation de l'oxygénothérapie. Des symptômes plus graves peuvent nécessiter un traitement avec une transfusion d'échange bleu de méthylène ou de l'oxygène hyperbare.
Interaction avec les produits contenant du calcium
N'utilisez pas de diluants contenant du calcium tels que la solution de Ringer ou la solution de Hartmann pour reconstituer des flacons de rocephine ou pour diluer davantage un flacon reconstitué pour l'administration IV car un précipité peut se former. Une précipitation de la ceftriaxone-calcium peut également se produire lorsque la rocéphine est mélangée avec des solutions contenant du calcium dans la même ligne d'administration IV. La rogéphine ne doit pas être administrée simultanément avec des solutions IV contenant du calcium, y compris des perfusions continues contenant du calcium telles que la nutrition parentérale via un site Y. Cependant, chez les patients autres que les nouveau-nés, les solutions contenant de la roéphine et le calcium peuvent être administrées séquentiellement si les lignes de perfusion sont complètement rincées entre les perfusions avec un liquide compatible. In vitro Des études utilisant le plasma adulte et néonatal du sang du cordon ombilical ont démontré que les nouveau-nés présentent un risque accru de précipitation de ceftriaxone-calcium (voir Pharmacologie clinique Contre-indications et Posologie et administration ).
Clostridium difficile
Diarrhée associée
Clostridium difficile commesociated diarrhée (CDAD) hcomme been repouted with use of nearly all antibacterial agents including Rocephine et may range in severity from mild diarrhée to fatal colitis. Treatment with antibacterial agents alters the noumal floua of the colon leading to overgrowth of C. difficile.
C. difficile produit des toxines A et B qui contribuent au développement de la CDAD. Hypertoxine produisant des souches de C. difficile provoquer une morbidité et une mortalité accrues car ces infections peuvent être réfractaires en thérapie antimicrobienne et peuvent nécessiter une colectomie. La CDAD doit être considérée chez tous les patients qui présentent une diarrhée après une utilisation antibiotique. Des antécédents médicaux attentifs sont nécessaires car la CDAD se produirait sur deux mois après l'administration d'agents antibactériens.
Si CDAD is suspected ou confirmed ongoing antibiotique use pas directed against C. difficile peut avoir besoin d'être interrompu. Supplémentation des protéines de fluide et d'électrolyte appropriée Traitement antibiotique de C. difficile et surgical evaluation should be instituted comme clinically indicated.
Anémie hémolytique
An immune mediated hemolytic anemia has been observed in patients receiving cephalosporin class antibacterials including Rocephin. Severe cases of hemolytic anemia including fatalities have been reported during treatment in both adults and children. If a patient develops anemia while on ceftriaxone the diagnosis of a cephalosporin associated anemia should be considered and ceftriaxone stopped until the etiology is determined.
Précautions fou Rocephine
Développement de bactéries résistantes aux médicaments
Il est peu probable que la prescription de rocephine en l'absence d'une infection bactérienne éprouvée ou fortement suspectée ou d'une indication prophylactique offrirait un bénéfice au patient et augmente le risque de développement de bactéries résistantes au médicament. L'utilisation prolongée de la rocephine peut entraîner une prolifération d'organismes non sensibles. Une observation attentive du patient est essentielle. Si une surinfection se produit pendant la thérapie, des mesures appropriées doivent être prises.
Patients souffrant de troubles rénaux ou hépatiques
Ceftriaxone est excrété via l'excrétion biliaire et rénale (voir Pharmacologie clinique ). Therefoue patients with renal failure noumally require no adjustment in dosage when usual doses of Rocephine are administered.
Dosage adjustments should pas be necessary in patients with hepatic dysfunction; however in patients with both hepatic dysfunction et significant renal disecommee caution should be exercised et the Rocephine dosage should pas exceed 2 gm daily.
La ceftriaxone n'est pas éliminée par l'hémodialyse péritonéale ou. Chez les patients subissant une dialyse, aucun dosage supplémentaire supplémentaire n'est requis après la dialyse. Chez les patients atteints de dysfonctionnement rénal et hépatique sévère, une surveillance clinique étroite pour l'innocuité et l'efficacité est conseillé.
Effet sur le temps de prothrombine
Des modifications des temps de prothrombine se sont produites chez les patients traités par rocephine. Surveiller le temps de prothrombine pendant le traitement à la rocéphine chez les patients atteints d'altération vitamine K Synthèse ou réserve de vitamines K faibles (par exemple, maladie hépatique chronique et malnutrition). L'administration de vitamine K (10 mg chaque semaine) peut être nécessaire si le temps de prothrombine est prolongé avant ou pendant le traitement.
L'utilisation concomitante de ceftriaxone avec des antagonistes de la vitamine K peut augmenter le risque de saignement. Les paramètres de coagulation doivent être surveillés fréquemment et la dose de l'anticoagulant ajustée en conséquence pendant et après le traitement avec de la ceftriaxone (voir Effets indésirables ).
Pseudolithiase de la vésicule biliaire
Des précipités de ceftriaxone-calcium dans la vésicule biliaire ont été observés chez les patients recevant de la rocephine. Ces précipités apparaissent sur l'échographie comme un écho sans ombrage acoustique suggérant des boues ou comme un écho avec un ombrage acoustique qui peut être mal interprété comme calculs biliaires . La probabilité de tels précipités semble être la plus grande chez les patients pédiatriques. Les patients peuvent être asymptomatiques ou développer des symptômes de maladie de la vésicule biliaire. La condition semble être réversible lors de l'arrêt de la ceftriaxone sodium et de l'institution de gestion conservatrice. Interrompre la ceftriaxone sodium chez les patients qui développent des signes et des symptômes suggérant une maladie de la vésicule biliaire et / ou les résultats échographiques décrits ci-dessus.
Urolithiase et insuffisance rénale aiguë post-rénal
Des précipités de ceftriaxone-calcium dans les voies urinaires ont été observés chez les patients recevant de la rocephine et peuvent être détectés comme des anomalies échographiques. La probabilité de tels précipités semble être la plus grande chez les patients pédiatriques. Les patients peuvent être asymptomatiques ou développer des symptômes d'urolithiase et d'obstruction urétérale et post-rénal insuffisance rénale aiguë . La condition semble être réversible lors de l'arrêt de la ceftriaxone sodium et de l'institution de gestion appropriée. Assurer une hydratation adéquate chez les patients recevant de la rocephine. Arrêt de la rocephine chez les patients qui développent des signes et symptômes évolutifs de l'urolithiase oligurie ou de l'insuffisance rénale et / ou des résultats échographiques décrits ci-dessus.
Pancréatite
Des cas de pancreatitis possibly secondary to biliary obstruction have been repouted in patients treated with Rocephine. Most patients presented with risk factous fou biliary stcommeis et biliary sludge (preceding majou therapy severe illness total parenteral nutrition). A cofactou role of Rocephine-related biliary precipitation canpas be ruled out.
Carcinogenèse Mutagenèse A trouble de la fertilité
Cancérogenèse
Considering the maximum duration of treatment and the class of the compound carcinogenicity studies with ceftriaxone in animals have not been performed. The maximum duration of animal toxicity studies was 6 months.
Mutagenèse
Les tests de toxicologie génétique comprenaient le test d'Ames un test de micronucléus et un test pour les aberrations chromosomiques dans les lymphocytes humains cultivés in vitro avec ceftriaxone. La ceftriaxone n'a montré aucun potentiel d'activité mutagène dans ces études.
Altération de la fertilité
La ceftriaxone n'a produit aucune altération de la fertilité lorsqu'elle est donnée par voie intraveineuse aux rats à des doses quotidiennes jusqu'à 586 mg / kg / jour environ 20 fois la dose clinique recommandée de 2 g / jour.
Grossesse
Effets tératogènes
Grossesse Categouy B.
Des études de reproduction ont été réalisées chez des souris et des rats à des doses allant jusqu'à 20 fois la dose humaine habituelle et n'ont aucun signe de fétotoxicité d'embryotoxicité ou de tératogénicité. Chez les primates, aucune embryotoxicité ou tératogénicité n'a été démontrée à une dose environ 3 fois la dose humaine.
Il n'y a cependant pas d'études adéquates et bien contrôlées chez les femmes enceintes. Étant donné que les études de reproduction animale ne sont pas toujours prédictives de la réponse humaine, ce médicament ne doit être utilisé pendant la grossesse que s'il est clairement nécessaire.
Effets non teratogènes
Chez le rat du segment I (fertilité et reproduction générale) et des études du segment III (périnatal et postnatal) avec de la céftriaxone administrée par voie intraveineuse, aucun effet indésirable n'a été noté sur divers paramètres de reproduction pendant la gestation et la lactation, y compris le comportement fonctionnel de la croissance postnatale et la capacité de reproduction de la progéniture à des doses de 586 mg / kg / kg / jour.
Mères qui allaitent
De faibles concentrations de ceftriaxone sont excrétées dans le lait maternel. La prudence doit être exercée lorsque la rocephine est administrée à une femme allaitée.
Usage pédiatrique
La sécurité et l'efficacité de la rocéphine chez les nouveau-nés et les patients pédiatriques ont été établis pour les doses décrites dans le Posologie et administration section. In vitro Des études ont montré que la ceftriaxone comme certains autres céphalosporines peut déplacer la bilirubine de l'albumine sérique. La rocephine ne doit pas être administrée aux nouveau-nés hyperbilirubinémiques en particulier les prématures (voir Contre-indications ).
Utilisation gériatrique
Sur le nombre total de sujets dans les études cliniques de la rocephine, 32% étaient de 60 et plus. Aucune différence globale de sécurité ou d'efficacité n'a été observée entre ces sujets et les sujets plus jeunes et d'autres expériences cliniques signalées n'a pas identifié de différences dans les réponses entre les patients âgés et les patients plus jeunes, mais une plus grande sensibilité de certaines personnes âgées ne peut pas être exclue.
La pharmacocinétique de la ceftriaxone n'a été que peu modifiée chez les patients gériatriques par rapport aux sujets adultes en bonne santé et les ajustements posologiques ne sont pas nécessaires pour les patients gériatriques atteints de doses de ceftriaxone jusqu'à 2 grammes par jour à condition qu'il n'y ait pas de résistance rénale et hépatique sévère. (voir Pharmacologie clinique ).
Influence sur les tests de diagnostic
Chez les patients traités par rocephine, le test des coombes peut devenir positif. La rocephine comme d'autres médicaments antibactériens peut entraîner des résultats de test positifs pour la galactosémie.
Les méthodes non enzymatiques de détermination du glucose dans l'urine peuvent donner des résultats faussement positifs. Pour cette raison, la détermination de l'urine-glucose pendant le traitement avec la rocephine doit être effectuée enzymatiquement.
métoprolol er succinate 25 mg rappel
La présence de ceftriaxone peut faussement abaisser les valeurs de glycémie estimées obtenues avec certains systèmes de surveillance de la glycémie. Veuillez vous référer aux instructions à utiliser pour chaque système. Des méthodes de test alternatives doivent être utilisées si nécessaire.
Informations sur la surdose pour la rocephin
Dans le cas de la concentration de médicament de surdosage, ne serait pas réduit par l'hémodialyse ou la dialyse péritonéale. Il n'y a pas d'antidote spécifique. Le traitement du surdosage doit être symptomatique.
Contre-indications pour la rocephine
Hypersensibilité
Rocephine is contraindicated in patients with known hypersensitivity to ceftriaxone any of its excipients ou to any other cephalospouin. Patients with previous hypersensitivity reactions to penicillin et other beta lactam antibacterial agents may be at greater risk of hypersensitivity to ceftriaxone (see Avertissements - Hypersensibilité ).
Nouveau-né
Nours prématurés
Rocephine is contraindicated in premature neonates up to a postmenstrual age of 41 weeks (gestational age + chronological age).
Nourbelles hyperbilirubinémiques
Les nouveau-nés hyperbilirubinémiques ne doivent pas être traités avec de la rocephine. La ceftriaxone peut déplacer la bilirubine de sa liaison à l'albumine sérique entraînant un risque d'encéphalopathie de la bilirubine chez ces patients.
Nouveau-né Requiring Calcium Containing IV Solutions
La rogéphine est contre-indiquée chez les nouveau-nés (≤ 28 jours) s'ils nécessitent (ou devraient nécessiter) un traitement avec des solutions IV contenant du calcium, y compris des perfusions continues en calcium telles que la nutrition parentérale en raison du risque de précipitation de ceftriaxone calcium (voir (voir la nutrition parentérale Pharmacologie clinique Avertissements et Posologie et administration ).
Des cas de fatal outcomes in which a crystalline material wcomme observed in the lungs et kidneys at autopsy have been repouted in neonates receiving Rocephine et calcium-containing fluids.
Dans certains de ces cas, la même ligne de perfusion intraveineuse a été utilisée à la fois pour la roéphine et les fluides contenant du calcium et dans certains précipités a été observé dans la ligne de perfusion intraveineuse. Il n'y a eu aucun rapport similaire chez des patients autres que les nouveau-nés.
Lidocaïne
L'administration intraveineuse de solutions de ceftriaxone contenant de la lidocaïne est contre-indiquée. Lorsque la solution de lidocaïne est utilisée comme solvant avec la ceftriaxone pour l'injection intramusculaire, excluez toutes les contre-indications à la lidocaïne. Reportez-vous aux informations de prescription de la lidocaïne.
Pharmacologie clinique fou Rocephine
Les concentrations plasmatiques moyennes de ceftriaxone après une seule perfusion intraveineuse (IV) de 30 minutes d'une dose de 0,5 1 ou 2 g et et une administration intramusculaire (IM) d'une seule dose de 0,5 (250 mg / ml ou 350 mg / ml) ou 1 dose de 1 gm chez des sujets sains sont présentées dans le tableau 1.
Tableau 1 Concentrations plasmatiques de ceftriaxone après administration de dose unique
| Dose/Route | Concentrations plasmatiques moyennes (μg / ml) | ||||||||
| 0,5 h | 1 heure | 2 heures | 4 HR | 6 heures | 8 heures | 12 heures | 16 heures | 24 heures | |
| 0,5 g IV * | 82 | 59 | 48 | 37 | 29 | 23 | 15 | 10 | 5 |
| 0,5 gm im 250 mg / ml | 22 | 33 | 38 | 35 | 30 | 26 | 16 | Nd | 5 |
| 0,5 gm im 350 mg / ml | 20 | 32 | 38 | 34 | 31 | 24 | 16 | Nd | 5 |
| 1 gm IV* | 151 | 111 | 88 | 67 | 53 | 43 | 28 | 18 | 9 |
| 1 gm IM | 40 | 68 | 76 | 68 | 56 | 44 | 29 | Nd | Nd |
| 2 gm iv * | 257 | 192 | 154 | 117 | 89 | 74 | 46 | 31 | 15 |
| * Les doses IV ont été infusées à un rythme constant sur 30 minutes. Nd = Not determined. |
La ceftriaxone a été complètement absorbée après l'administration de MI avec des concentrations plasmatiques maximales moyennes se produisant entre 2 et 3 heures après la dose. Des doses multiples IV ou IM allant de 0,5 à 2 g à des intervalles de 12 à 24 heures ont entraîné une accumulation de 15% à 36% de ceftriaxone au-dessus des valeurs de dose unique.
Les concentrations de ceftriaxone dans l'urine sont présentées dans le tableau 2.
Tableau 2 Concentrations urinaires de ceftriaxone après administration de dose unique
| Dose/Route | Concentrations urinaires moyennes (μg / ml) | |||||
| 0-2 h | 2-4 heures | 4-8 heures | 8-12 heures | 12-24 heures | 24 à 48 heures | |
| 0,5 g iv | 526 | 366 | 142 | 87 | 70 | 15 |
| 0,5 gm im | 115 | 425 | 308 | 127 | 96 | 28 |
| 1 gm IV | 995 | 855 | 293 | 147 | 132 | 32 |
| 1 gm IM | 504 | 628 | 418 | 237 | Nd | Nd |
| 2 gm iv | 2692 | 1976 | 757 | 274 | 198 | 40 |
| Nd = Not determined. |
Trente-trois pour cent à 67% d'une dose de ceftriaxone ont été excrétés dans l'urine en tant que médicament inchangé et le reste a été sécrété dans la bile et finalement trouvé dans les excréments sous forme de composés microbiologiquement inactifs. Après une dose IV de 1 GM, les concentrations moyennes de ceftriaxone déterminées de 1 à 3 heures après le dosage étaient de 581 μg / ml dans la bile de la vésicule biliaire 788 μg / ml dans la bile du conduit commun 898 μg / ml dans la bile de la bile de conduit du cystique 78,2 μg / gm dans la paroi galleuse et 62,1 μg / mL dans le concurrent.
Sur une plage de dose de 0,15 à 3 gm chez les sujets adultes en bonne santé, les valeurs d'élimination à demi-vie variaient de 5,8 à 8,7 heures; Volume apparent de distribution de 5,78 à 13,5 L; Déclai de plasma de 0,58 à 1,45 L / heure; et la clairance rénale de 0,32 à 0,73 L / heure. La ceftriaxone est liée de manière réversible aux protéines plasmatiques humaines et la liaison a diminué d'une valeur de 95% liée à des concentrations plasmatiques de <25 μg/mL to a value of 85% bound at 300 μg/mL. Ceftriaxone crosses the blood placenta barrier.
Les valeurs moyennes de l'élimination maximale de la concentration plasmatique à demi-vie ne se présentent pas à une dose de 50 mg / kg sur IV et après une dose de 75 mg / kg IV chez les patients pédiatriques souffrant de méningite bactérienne dans le tableau 3. CEFTriaxone a pénétré les méninges enflammées des infants et des patients pédiatriques; Les concentrations de LCR après une dose IV de 50 mg / kg et après une dose de 75 mg / kg IV sont également présentées dans le tableau 3.
Tableau 3 Paramètres pharmacocinétiques moyens de la ceftriaxone chez les patients pédiatriques atteints de méningite
| 50 mg / kg IV | 75 mg / kg IV | |
| Concentrations plasmatiques maximales (μg / ml) | 216 | 275 |
| Half-Life (HR) d'élimination (HR) | 4.6 | 4.3 |
| Déclaration du plasma (ml / h / kg) | 49 | 60 |
| Volume de distribution (ml / kg) | 338 | 373 |
| Concentration du LCR - Méninges inflammées (μg / ml) | 5.6 | 6.4 |
| Range (μg/mL) | 1.3-18.5 | 1.3-44 |
| Time after dose (heure) | 3,7 (± 1,6) | 3,3 (± 1,4) |
Par rapport à celle des sujets adultes en bonne santé, la pharmacocinétique de la ceftriaxone n'a été que peu modifiée chez les sujets âgés et chez les patients souffrant de troubles rénaux ou de dysfonctionnement hépatique (tableau 4); Par conséquent, les ajustements posologiques ne sont pas nécessaires pour ces patients atteints de doses de ceftriaxone jusqu'à 2 GM par jour. La ceftriaxone n'a pas été éliminée dans une mesure significative du plasma par l'hémodialyse; Chez six des 26 patients de dialyse, le taux d'élimination de la ceftriaxone a été nettement réduit.
Tableau 4 Paramètres pharmacocinétiques moyens de la ceftriaxone chez l'homme
| Groupe de sujets | Half-Life d'élimination (heure) | Autorisation du plasma (L/hr) | Volume de distribution (L) |
| Sujets sains | 5.8-8.7 | 0,58-1,45 | 5.8-13,5 |
| Sujets âgés (âge moyen 70,5 ans) Patients souffrant de troubles rénaux | 8.9 | 0.83 | 10.7 |
| Hemodialysis Patients (0-5 mL/min)* | 14.7 | 0.65 | 13.7 |
| Severe (5-15 mL/min) | 15.7 | 0.56 | 12.5 |
| Moderate (16-30 mL/min) | 11.4 | 0.72 | 11.8 |
| Mild (31-60 mL/min) | 12.4 | 0.70 | 13.3 |
| Patients atteints d'une maladie du foie | 8.8 | 1.1 | 13.6 |
| * Créatinine Clearance. |
L'élimination de la ceftriaxone n'est pas modifiée lorsque la rocephine est co-administrée avec le probénécide.
Pharmacocinétique dans le liquide d'oreille moyen
Dans une étude, les concentrations totales de ceftriaxone (liées et non liées) ont été mesurées dans le liquide d'oreille moyen obtenu lors de l'insertion de tubes de tympanostomie chez 42 patients pédiatriques avec otite moyenne . Les temps d'échantillonnage étaient de 1 à 50 heures après une seule injection intramusculaire de 50 mg / kg de ceftriaxone. Les niveaux moyens de ceftriaxone (± SD) dans l'oreille moyenne ont atteint un pic de 35 (± 12) μg / ml à 24 heures et sont restés à 19 (± 7) μg / ml à 48 heures. Sur la base des concentrations de ceftriaxone du liquide d'oreille moyen dans les 23 à 25 heures et les intervalles de temps d'échantillonnage de 46 à 50 heures, une demi-vie de 25 heures a été calculé. La ceftriaxone est fortement liée aux protéines plasmatiques. L'étendue de la liaison aux protéines dans le liquide de l'oreille moyen est inconnue.
Interaction avec le calcium
Deux in vitro Des études, un plasma adulte et l'autre plasma néonatal du sang du cordon ombilical ont été effectués pour évaluer l'interaction de la ceftriaxone et du calcium. Concentrations de ceftriaxone jusqu'à 1 mm (plus des concentrations obtenues en vain Après l'administration de 2 grammes, de la ceftriaxone infusée en 30 minutes) a été utilisé en combinaison avec des concentrations de calcium jusqu'à 12 mm (48 mg / dL). La récupération de la céftriaxone à partir du plasma a été réduite avec des concentrations de calcium de 6 mM (24 mg / dL) ou plus dans le plasma adulte ou 4 mM (16 mg / dL) ou plus dans le plasma néonatal. Cela peut refléter les précipitations de ceftriaxone-calcium.
Microbiologie
Mécanisme d'action
La ceftriaxone est un agent bactéricide qui agit par inhibition de la synthèse de la paroi cellulaire bactérienne. La ceftriaxone a une activité en présence de certaines bêta-lactamases à la fois des pénicillinases et des céphalosporinases de bactéries Gram négatives et gram-positives.
Mécanisme de résistance
La résistance à la ceftriaxone est principalement par hydrolyse par altération de la bêta-lactamase des protéines de liaison à la pénicilline (PBPS) et une diminution de la perméabilité.
Interaction avec d'autres antimicrobiens
Dans un in vitro Des effets antagonistes de l'étude ont été observés avec la combinaison de chloramphénicol et de ceftriaxone.
Il a été démontré que la ceftriaxone est active contre la plupart des isolats des bactéries suivantes in vitro et in clinical infections comme described in the Indications section:
Bactéries à Gram négatif
Acinetobacter calcoaceticus
Enterobacter aerogenes
Enterobacter cloacae
Ils ont fait preuve de froid
Haemophilus influenzae
Haemophilus parainfluenzae
Klebsiella oxytoca
Klebsiella pneumoniae
Moraxella catarrhalis
Morganella Morganies
Neisseria gonorrhoeae
Neisseria Meningitidis
Proteus merveilleux
Proteus vulgaris
Pseudomonas aeruginosa
Serratia marcescens
Bactéries à Gram positif
Staphylococcus aureus
Staphylococcus epidermidis
Streptococcus pneumoniae
Streptococcus pyogenes
Streptocoque du groupe Viridans
Bactéries anaérobies
Bacteroides fragilis
Espèces de Clostridium
Peptostreptococcus espèces
Ce qui suit in vitro Les données sont disponibles mais leur signification clinique est inconnue. Au moins 90% des micro-organismes suivants présentent un in vitro Concentration inhibitrice minimale (CMI) inférieure ou égale au point de rupture sensible à la ceftriaxone. Cependant, l'efficacité de la ceftriaxone dans le traitement des infections cliniques en raison de ces micro-organismes n'a pas été établie dans des essais cliniques adéquats et bien contrôlés.
Bactéries à Gram négatif
Citrobacter différent
Citrobacter freundii
Providence espèces (y compris Providence rettgeri )
Salmonelle espèces (y compris Salmonelle typhi )
Shigella espèces
Bactéries à Gram positif
Streptococcus agalactiae
Bactéries anaérobies
Porphyromonas (bacteroides) melaninogénicus
Prevotella (bacteroides) bivius
Méthodes de test de sensibilité
Lorsqu'il est disponible, le laboratoire de microbiologie clinique doit fournir les résultats de in vitro Résultats des tests de sensibilité pour les médicaments antimicrobiens utilisés dans les hôpitaux résidents au médecin comme rapports périodiques qui décrivent le profil de sensibilité des agents pathogènes nosocomiaux et acquis à la communauté. Ces rapports devraient aider le médecin à sélectionner un médicament antibactérien pour le traitement.
Techniques de dilution
Des méthodes quantitatives sont utilisées pour déterminer les concentrations inhibiteurs minimales antimicrobiennes (CMI). Ces CMI fournissent des estimations de la sensibilité des bactéries aux composés antimicrobiens. Les micros doivent être déterminés à l'aide d'une méthode de test standardisée 13 . Les valeurs du CMI doivent être interprétées en fonction des critères fournis dans le tableau 5.
Diffusion Techniques
Les méthodes quantitatives qui nécessitent la mesure des diamètres de zone fournissent également des estimations reproductibles de la sensibilité des bactéries aux composés antimicrobiens. La taille de la zone fournit une estimation de la sensibilité des bactéries aux composés antimicrobiens. La taille de la zone doit être déterminée à l'aide d'une méthode de test standardisée. 23 Cette procédure utilise des disques papier imprégnés de 30 mcg de ceftriaxone pour tester la sensibilité des micro-organismes à la ceftriaxone. Les critères d'interprétation de diffusion du disque sont fournis dans le tableau 5.
Techniques anaérobies
Pour les bactéries anaérobies, la sensibilité à la ceftriaxone car les micros peuvent être déterminés par une méthode de test d'agar standardisée 34 . Les valeurs MIC obtenues doivent être interprétées en fonction des critères fournis dans le tableau 5.
Tableau 5 Critères d'interprétation des tests de sensibilité pour la ceftriaxone
| Pathogène | Concentrations inhibiteurs minimales (MCG / ML) | Diamètres de la zone de diffusion du disque (mm) | ||||
| (S) Sensible | (JE) Intermédiaire | (R) Résistant | (S) Sensible | (JE) Intermédiaire | (R) Résistant | |
| Enterobacteriaceae a | ≤ 1 | 2 | ≥4 | ≥ 23 | 20-22 | ≤19 |
| Haemophilus influenzae Colombie-Britannique | ≤2 | - | - | ≥26 | - | - |
| Neisseria gonorrhoeae a | ≤ 0,25 | - | - | ≥ 35 | - | - |
| Neisseria Meningitidis c | ≤ 0,12 | - | - | ≥ 34 | - | - |
| Streptocoque pneumoniae d méningite isolates | ≤ 0,5 | 1 | ≥ 2 | - | - | - |
| Streptocoque pneumoniae d isolats non-méningites | ≤1 | 2 | ≥4 | - | - | - |
| Streptocoque espèces beta-hemolytic group c | ≤0,5 | - | - | ≥ 24 | - | - |
| Streptocoque du groupe Viridans | ≤ 1 | 2 | ≥ 4 | ≥27 | 25-26 | ≤24 |
| Bactéries anaérobies (agar method) | ≤ 1 | 2 | ≥ 4 | - | - | - |
| a Les critères d'interprétation de la sensibilité pour les entérobactéries sont basés sur une dose de 1 gramme IV Q 24H. Pour les isolats avec une sensibilité intermédiaire, utilisez une dose de 2 grammes IV Q 24H chez les patients présentant une fonction rénale normale. b Pour Haemophilus influenzae Les critères d'interprétation de la sensibilité sont basés sur une dose de 2 grammes IV toutes les 24 heures chez les patients ayant une fonction rénale normale. c L'absence actuelle de données sur les isolats résistants empêche la définition de toute catégorie autre que «sensible». Si les isolats donnent des résultats de CMI autres que sensibles, ils doivent être soumis à un laboratoire de référence pour des tests supplémentaires. d Critères d'interprétation de la diffusion du disque pour les disques de ceftriaxone contre Streptococcus pneumoniae ne sont pas disponibles, mais les isolats de pneumocoques avec des diamètres de zone d'oxacilline de> 20 mm sont sensibles (CMI ≤ 0,06 mcg / ml) à la pénicilline et peuvent être considérés comme sensibles à la ceftriaxone. Streptococcus pneumoniae Les isolats ne doivent pas être signalés sous forme de pénicilline (ceftriaxone) résistant ou intermédiaire basé uniquement sur un diamètre de la zone oxacilline ≤ 19 mm. Le micro de ceftriaxone doit être déterminé pour ces isolats avec des diamètres de zone d'oxacilline ≤ 19 mm. |
La sensibilité des staphylocoques à la céftriaxone peut être déduite du test uniquement de la pénicilline et de la céfoxitine ou de l'oxacilline.
Un rapport de Sensible indique que le médicament antimicrobien est susceptible d'inhiber la croissance de l'agent pathogène si le médicament antimicrobien atteint la concentration au site d'infection. Un rapport de Intermédiaire indique que le résultat doit être considéré comme équivoque et si le micro-organisme n'est pas entièrement sensible aux alternatifs cliniquement réalisables, le test doit être répété. Cette catégorie implique une applicabilité clinique possible dans les sites corporels où le médicament est physiologiquement concentré ou dans des situations où une dose élevée de médicament peut être utilisée. Cette catégorie fournit également une zone tampon qui empêche de petits facteurs techniques incontrôlés de provoquer des écarts majeurs dans l'interprétation. Un rapport de Résistant indique que le médicament antimicrobien est peu susceptible d'inhiber la croissance de l'agent pathogène si le médicament antimicrobien atteint les concentrations généralement réalisables au site d'infection; Une autre thérapie doit être sélectionnée.
Contrôle de qualité
Les procédures de test de sensibilité standardisé nécessitent l'utilisation de contrôles de laboratoire pour surveiller et assurer la précision et la précision des fournitures et réactifs utilisés dans le test et les techniques de l'individu effectuant le test 1234 .
La poudre de ceftriaxone standard devrait fournir la plage suivante des valeurs de micro notées dans le tableau 6. Pour la technique de diffusion à l'aide du disque de 30 mcg, les critères du tableau 6 doivent être obtenus.
Tableau 6 GAMMES DE CONTRÔLE DE QUALITÉ ACCEPTABLE POUR CEFTRIAXONE
| Souche QC | Concentrations inhibiteurs minimales (mcg/mL) | Diamètres de la zone de diffusion du disque (mm) |
| Ils ont fait preuve de froid ATCC 25922 | 0,03 -0,12 | 29 -35 |
| Staphylococcus aureus ATCC 25923 | - | 22 -28 |
| Staphylococcus aureus ATCC 29213 | 1 - 8 | - |
| Haemophilus influenzae ATCC 49247 | 0,06 -0,25 | 31 -39 |
| Neisseria gonorrhoeae ATCC 49226 | 0,004 -0,015 | 39 -51 |
| Pseudomonas aeruginosa ATCC 27853 | 8-64 | 17-23 |
| Streptococcus pneumoniae ATCC 49619 | 0,03 -0,12 | 30 -35 |
| Bacteroides fragilis ATCC 25285 (méthode d'agar) | 32 - 128 | - |
| Bacteroides Thetaiotaomicron ATCC 29741 (méthode d'agar) | 64 - 256 | - |
Études cliniques
Essais cliniques chez les patients pédiatriques atteints d'otite moyenne bactérienne aiguë
Dans deux essais cliniques américains adéquats et bien contrôlés, une seule dose IM de ceftriaxone a été comparée à un cours d'antibiotique oral de 10 jours chez les patients pédiatriques entre 3 mois et 6 ans. Les taux de guérison clinique et les résultats statistiques apparaissent dans le tableau ci-dessous:
Tableau 7 Efficacité clinique chez les patients pédiatriques atteints d'otite moyenne bactérienne aiguë
Combien de passion fleur pour le sommeil
| Efficacité clinique dans la population évaluable | ||||
| Jour d'étude | Dose unique de ceftriaxone | Comparateur - 10 jours de thérapie orale | Intervalle de confiance à 95% | Résultat statistique |
| Étude 1 - États-Unis | amoxicilline / clavulanate | |||
| 14 | 74% (220/296) | 82% (247/302) | (-14,4% -0,5%) | La ceftriaxone est inférieure à celle du contrôle au jour de l'étude 14 et 28. |
| 28 | 58% (167/288) | 67% (200/297) | (-17,5% -1,2%) | |
| Étude 2 -us 5 | TMP-SMZ | |||
| 14 | 54% (113/210) | 60% (124/206) | (-16,4% 3,6%) | La ceftriaxone est équivalente au contrôle au jour de l'étude 14 et 28. |
| 28 | 35% (73/206) | 45% (93/205) | (-19,9% 0,0%) |
Une étude bactériologique ouverte de la ceftriaxone sans comparateur a inscrit 108 patients pédiatriques 79 dont des cultures de base positives pour un ou plusieurs agents pathogènes communs. Les résultats de cette étude sont tabulés comme suit:
Taux d'éradication bactériologiques de la semaine 2 et 4 dans l'analyse par protocole dans l'étude bactériologique de Roche par pathogène:
Tableau 8 Taux d'éradication bactériologique par pathogène
| Jour d'étude 13-15 | Jour d'étude 30 2 | |||
| Organisme | Non. Analysé | Non. Erad. (%) | Non. Analysé | Non. Erad. (%) |
| Streptococcus pneumoniae | 38 | 32 (84) | 35 | 25 (71) |
| Haemophilus influenzae | 33 | 28 (85) | 31 | 22 (71) |
| Moraxella catarrhalis | 15 | 12 (80) | 15 | 9 (60) |
Pharmacologie animale
Les concrétions constituées du sel de calcium précipité de la ceftriaxone ont été trouvées dans la bile de la vésicule biliaire des chiens et des babouins traités avec de la ceftriaxone.
Ceux-ci sont apparus comme un sédiment granuleux chez les chiens qui ont reçu 100 mg / kg / jour pendant 4 semaines. Un phénomène similaire a été observé chez les babouins mais seulement après une période de dosage prolongée (6 mois) à des niveaux de dose plus élevés (335 mg / kg / jour ou plus). La probabilité de cette occurrence chez l'homme est considérée comme faible car la ceftriaxone a une plus grande demi-vie plasmatique chez l'homme, le sel de calcium de la ceftriaxone est plus soluble dans la bile de la vésicule biliaire humaine et la teneur en calcium de la bile de la vésicule biliaire humaine est relativement faible.
Références
1. Institut des normes cliniques et de laboratoire (CLSI). Méthodes de dilution Tests de sensibilité aux antimicrobiens pour les bactéries qui poussent aérobiement; Édition standard approuvée. Document CLSI M07-A10 Institut des normes cliniques et de laboratoire 950 West Valley Road Suite 2500 Wayne Pennsylvania 19087 USA 2015.
2. Institut des normes cliniques et de laboratoire (CLSI). Normes de performance pour les tests de sensibilité aux antimicrobiens; Vingt-cinquième supplément d'information. Document CLSI M100-S25 Institut des normes cliniques et de laboratoire 950 West Valley Road Suite 2500 Wayne Pennsylvania 19087 USA 2015.
3. Institut des normes cliniques et de laboratoire (CLSI). Normes de performance pour les tests de sensibilité à la diffusion du disque antimicrobien; Norme approuvée - Douzième édition. Document CLSI M02-A12 Clinical and Laboratory Standards Institute 950 West Valley Road Suite 2500 Wayne Pennsylvania 19087 USA 2015.
4. Institut des normes cliniques et de laboratoire (CLSI). Méthodes de test de sensibilité aux antimicrobiens des bactéries anaérobies; Édition standard approuvée. CLSI Document M11-A8 Institut des normes cliniques et de laboratoire 950 West Valley Road Suite 2500 Wayne PA 19087 USA 2012
Distribué par: Genentech USA Inc. Un membre du Roche Group 1 DNA Way South San Francisco CA 94080-4990. Révisé: juillet 2018
Informations sur les patients pour la rocephine
- Informer les patients que l'utilisation d'anesthésiques locaux peut faire de la méthémoglobinémie une maladie grave qui doit être traitée rapidement. Conseiller aux patients ou aux soignants d'arrêter l'utilisation et de consulter des soins médicaux immédiats si eux ou quelqu'un sous leur soins éprouvent les signes ou symptômes suivants: peau de couleur gris pâle ou bleu (cyanose); mal de tête; fréquence cardiaque rapide; essoufflement; étourdissement; ou fatigue.
- Les patients doivent être informés que les médicaments antibactériens, y compris la rocéphine, ne doivent être utilisés que pour traiter les infections bactériennes. Ils ne traitent pas les infections virales (par exemple le rhume).
- Lorsque la rocephine est prescrite pour traiter une infection bactérienne, les patients doivent être informés que, bien qu'il soit courant de se sentir mieux au début du traitement, le médicament doit être pris exactement comme indiqué. Sauter les doses ou ne pas terminer le cours complet du traitement peut (1) diminuer l'efficacité du traitement immédiat et (2) augmenter la probabilité que les bactéries développent une résistance et ne seront pas traitées par la rocephine ou d'autres médicaments antibactériens à l'avenir.
- La diarrhée est un problème courant causé par les antibiotiques qui se termine généralement lorsque l'antibiotique est interrompu. Parfois, après avoir commencé le traitement avec des antibiotiques, les patients peuvent développer des selles aqueuses et sanglantes (avec ou sans crampes d'estomac et fièvre) même aussi tard que deux mois ou plus après avoir pris la dernière dose de l'antibiotique. Si cela se produit, les patients doivent contacter leur médecin dès que possible.