Les Informations Présentées Sur Ce Site Ne Constituent Pas Un Avis Médical. Nous Ne Vendons Rien. L'Exactitude De La Traduction N'Est Pas Garantie. Clause De Non-Responsabilité



Twynsta

Résumé

Qu'est-ce que Twynsta?

Twynsta (Telmisartan / Amlodipine) est une combinaison d'un bloqueur de récepteurs de l'angiotensine et d'un bloqueur de canaux calciques utilisé pour traiter l'hypertension artérielle (hypertension).

Quels sont les effets secondaires de Twynsta?

Les effets secondaires courants de Twynsta comprennent:



Les autres effets secondaires de Twynsta comprennent:



  • Hands gonflés / chevilles / pieds
  • rinçage (rougeur de chaleur ou sentiment de piqûre)
  • somnolence
  • sentiment fatigué
  • maux de dos
  • nausée
  • diarrhée ou
  • vomissement.

Dites à votre médecin si vous avez des effets secondaires graves de Twynsta, notamment:

  • évanouissement
  • rythme cardiaque rapide / martelant / irrégulier
  • Changements inhabituels dans la quantité d'urine ou
  • symptômes d'un haut potassium taux sanguin (comme la faiblesse musculaire ralenti / rythme cardiaque irrégulier).

Dosage pour Twinsta

La dose maximale recommandée de comprimés Twynsta est de 80/10 mg une fois par jour.



Quelles substances ou suppléments de médicaments interagissent avec Twynsta?

Twynsta peut interagir avec les médicaments Alikiren au lithium ramium qui peuvent augmenter les niveaux de potassium pour les produits de la toux et les produits froids, les AID ou les AINS. Dites à votre médecin tous les médicaments et suppléments que vous utilisez.

Twynsta pendant la grossesse et l'allaitement

Twynsta n'est pas recommandé pour une utilisation pendant la grossesse. Cela peut nuire à un fœtus. On ne sait pas si le telmisartan ou l'amlodipine passent dans le lait maternel. Consultez votre médecin avant l'allaitement.

Informations Complémentaires

Notre centre de médicaments à effets secondaires Twynsta (Telmisartan / Amlodipine) offre une vue complète des informations sur les médicaments disponibles sur les effets secondaires potentiels lors de la prise de ce médicament.

Informations sur les médicaments de la FDA

AVERTISSEMENT

Toxicité fœtale

Lorsque la grossesse est détectée, arrêtez le twynsta dès que possible [voir avertissements et PRÉCAUTIONS ].

Les médicaments qui agissent directement sur le système rénine-angiotensine peuvent causer des blessures et la mort au fœtus en développement [voir avertissements et PRÉCAUTIONS ].

Description de Twynsta

Twynsta est une combinaison à dose fixe de Telmisartan et de l'amlodipine.

Les comprimés Twynsta contiennent un antagoniste du récepteur de l'angiotensine II non peptidique de Telmisartan un antagoniste. Telmisartan est un solide blanc à légèrement jaunâtre. Il est pratiquement insoluble dans l'eau et dans la plage de pH de 3 à 9 solubles avec parcimonie dans l'acide fort (sauf insoluble dans l'acide chlorhydrique) et soluble dans une base forte. Telmisartan est décrit chimiquement comme 4 '- [(14'-diméthyl-2'-propyl [26'-BI-1H-benzimidazol] -1'-yl) méthyl] - [11'-biphényl] -2-carboxylique. Sa formule empirique est C 33 H 30 N 4 O 2 Et sa formule structurelle est:

Les comprimés Twynsta contiennent le sel de besylate de l'amlodipine un bloqueur de canaux calciques de dihydropyridine (CCB). L'amlodipine belylate est une poudre cristalline blanche à jaune pâle légèrement soluble dans l'eau et soluble avec éthanol. Le nom chimique de l'amlodipine Besylate est le 3-éthyl-5-méthyl (4R) -2 - [(2-aminoéthoxy) méthyl] -4- (2chlorophényl) -6-méthyl-14-dihydropyridine-35-dicarboxylate de benzénénesulfonate. Sa formule empirique est C 20 H 25 CLN 2 O 5 • C. 6 H 6 O 3 S et sa formule structurelle est:

Les comprimés Twynsta sont formulés en quatre forces pour l'administration orale avec une combinaison d'amlodipine Besylate équivalente à 5 mg ou 10 mg d'amlodipine libre avec 40 mg ou 80 mg de Telmisartan fournie dans les quatre combinaisons suivantes: 40/5 mg 40/10 mg 80/5 mg et 80/10 mg.

Les comprimés Twynsta contiennent également les ingrédients inactifs suivants: Hydroxyde de sodium Povidone Méglumine Sorbitol Magnésium Stéréate Microcristallins CELLULOSE Admin prégélatin

Les comprimés Twynsta sont hygroscopiques et nécessitent une protection contre l'humidité.

Les comprimés Twynsta nécessitent une protection contre la lumière.

Utilisations pour Twynsta

Les comprimés Twynsta (Telmisartan / Amlodipine) sont indiqués pour le traitement de l'hypertension seul ou avec d'autres agents antihypertenseurs pour abaisser la pression artérielle. L'abaissement de la pression artérielle réduit le risque d'événements cardiovasculaires mortels et non mortels principalement des coups et des infarctus du myocarde. Ces avantages ont été observés dans des essais contrôlés de médicaments antihypertenseurs à partir d'une grande variété de classes pharmacologiques, notamment les bloqueurs des récepteurs de l'angiotensine II et les bloqueurs de canaux calciques de dihydropyridine. Il n'y a pas d'essais contrôlés démontrant une réduction des risques avec Twynsta.

Le contrôle de l'hypertension artérielle devrait faire partie d'une gestion complète des risques cardiovasculaires, notamment le cas échéant de la gestion appropriée du diabète de contrôle des lipides. De nombreux patients auront besoin de plus d'un médicament pour atteindre les objectifs de la pression artérielle. Pour des conseils spécifiques sur les objectifs et la gestion, voir des directives publiées telles que celles de l'évaluation nationale nationale du National Hypertence Education du programme de prévention et du traitement de l'hypertension artérielle (JNC).

De nombreux médicaments antihypertenseurs provenant de diverses classes pharmacologiques et avec différents mécanismes d'action ont été montrés dans des essais contrôlés randomisés pour réduire la morbidité et la mortalité cardiovasculaires et il peut être conclu que c'est la réduction de la pression artérielle et non d'autres biens pharmacologiques des médicaments qui sont largement responsables de ces avantages. Le bénéfice des résultats cardiovasculaires les plus importants et les plus cohérents a été une réduction du risque d'AVC, mais des réductions de l'infarctus du myocarde et de la mortalité cardiovasculaire ont également été observées régulièrement.

Une pression systolique ou diastolique élevée provoque une augmentation du risque cardiovasculaire et l'augmentation du risque absolu par MMHg est plus élevée à des pressions sanguines plus élevées, de sorte que même des réductions modestes de l'hypertension sévère peuvent offrir un avantage substantiel. La réduction relative des risques de la réduction de la pression artérielle est similaire à tous les populations avec un risque absolu variable, de sorte que le bénéfice absolu est plus élevé chez les patients qui présentent un risque plus élevé indépendamment de leur hypertension (par exemple les patients atteints de diabète ou d'hyperlipidémie) et ces patients devraient bénéficier d'un traitement plus agressif à un objectif de pression artérielle plus faible.

Certains médicaments antihypertenseurs ont des effets de pression artérielle plus faibles (comme monothérapie) chez les patients noirs et de nombreux médicaments antihypertenseurs ont des indications et des effets approuvés supplémentaires (par exemple sur l'insuffisance cardiaque de l'angine ou la maladie rénale diabétique). Ces considérations peuvent guider la sélection de la thérapie.

Les comprimés Twynsta peuvent également être utilisés comme traitement initial chez les patients qui ont probablement besoin de plusieurs médicaments pour atteindre leurs objectifs de pression artérielle.

Base le choix des comprimés TWYNSTA comme traitement initial pour l'hypertension sur une évaluation des avantages et des risques potentiels, notamment si le patient est susceptible de tolérer la dose de départ des comprimés Twynsta.

Les patients souffrant d'hypertension modérée ou sévère présentent un risque relativement élevé pour les événements cardiovasculaires (tels que les accidents vasculaires cérébraux et l'insuffisance cardiaque) l'insuffisance rénale et les problèmes de vision, le traitement rapide est donc cliniquement pertinent. Considérez la pression artérielle de base du patient l'objectif cible et la probabilité incrémentale d'atteindre l'objectif avec une combinaison par rapport à la monothérapie lorsqu'ils décident d'utiliser des comprimés Twynsta comme traitement initial. Les objectifs individuels de la pression artérielle peuvent varier en fonction du risque du patient.

Les données d'un essai factoriel à multidose contrôlé par placebo de 8 semaines fournissent des estimations de la probabilité d'atteindre un objectif de la pression artérielle avec Twynsta par rapport à la monothérapie de Telmisartan ou de l'amlodipine et un placebo [voir Études cliniques ].

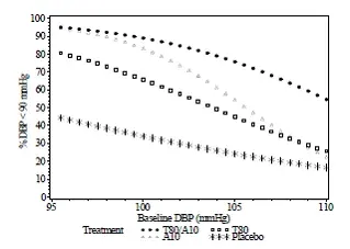
Les chiffres ci-dessous fournissent des estimations de la probabilité d'atteindre le contrôle de la pression artérielle systolique et diastolique avec des comprimés Twynsta 80/10 mg basés sur la pression artérielle systolique ou diastolique de base. La courbe de chaque groupe de traitement a été estimée par modélisation de régression logistique. La probabilité estimée à la queue droite de chaque courbe est moins fiable en raison d'un petit nombre de sujets avec des pressions sanguines élevées.

Figure 1A: probabilité d'atteindre la pression artérielle systolique <140 mmHg at Week 8

Probability of Achieving Systolic Blood Pressure  < 140 mmHg at Week 8 - Illustration

Figure 1b: probabilité d'atteindre la pression artérielle systolique <130 mmHg at Week 8

Probability of Achieving Systolic Blood Pressure  < 130 mmHg at Week 8 - Illustration

Figure 2A: probabilité d'atteindre la pression artérielle diastolique <90 mmHg at Week 8

Probability of Achieving Diastolic Blood Pressure  < 90 mmHg at Week 8 - Illustration

Figure 2A: probabilité d'atteindre la pression artérielle diastolique <80 mmHg at Week 8

Probability of Achieving Diastolic Blood Pressure  < 80 mmHg at Week 8 - Illustration

Les chiffres ci-dessus fournissent une approximation de la probabilité d'atteindre un objectif de pression artérielle ciblée à 8 semaines. Par exemple, un patient avec une pression artérielle de base de 160/110 mmHg a environ 16% de probabilité d'atteindre un objectif de <140 mmHg (systolic) et 16% likelihood of achieving < 90 mmHg (diastolic) on placebo. The likelihood of achieving these same goals on telmisartan is about 46% (systolic) et 26% (diastolic). The likelihood of achieving these same goals on amlodipine is about 69% (systolic) et 22% (diastolic). These likelihoods rise to 79% for systolic et 55% for diastolic with TWYNSTA.

Dosage pour Twinsta

Considérations générales

Le Telmisartan est un traitement efficace de l'hypertension à des doses une fois quotidiennes de 20 à 80 mg tandis que l'amlodipine est efficace en doses de 2,5 à 10 mg.

Dosage must be individualized et may be increased after at least 2 weeks. Most of the antihypertensive effect is apparent within 2 weeks et maximal reduction is generally attained after 4 weeks. The maximum recommended dose of TWYNSTA tablets is 80/10 mg once daily. The adverse reactions of telmisartan are uncommon et independent of dose; those of amlodipine are a mixture of dose-dependent phenomena (primarily peripheral edema) et dose-independent phenomena the former much more common than the latter [see Effets indésirables ]. TWYNSTA may be taken with or without food.

Thérapie de remplacement

Les patients recevant de l'amlodipine et du telmisartan de comprimés séparés peuvent plutôt recevoir des comprimés Twynsta contenant les mêmes doses de composants une fois par jour. Lorsque le substitution des composants individuels augmente la dose de Twynsta si le contrôle de la pression artérielle n'a pas été satisfaisant.

Thérapie complémentaire pour les patients souffrant d'hypertension non contrôlée adéquatement en monothérapie antihypertense

Les comprimés Twynsta peuvent être utilisés pour fournir une baisse de la pression artérielle supplémentaire pour les patients non contrôlés avec l'amlodipine (ou un autre bloqueur de canaux calciques de dihydropyridine) seuls ou avec Telmisartan (ou un autre bloqueur de récepteurs de l'angiotensine) seul.

Les patients traités avec 10 mg d'amlodipine qui subissent des réactions indésirables limitant la dose tels que l'œdème peuvent être basculées à Twynsta 40/5 mg comprimés une fois quotidiennement réduisant la dose d'amlodipine sans réduire la réponse antihypertensive globale [voir [voir [voir Effets indésirables ].

Thérapie initiale

Un patient peut être initié sur des comprimés Twynsta s'il est peu probable que le contrôle de la pression artérielle soit obtenu avec un seul agent. La dose de départ habituelle de Twynsta est de 40/5 mg une fois par jour. Les patients nécessitant une réduction de la pression artérielle plus importante peuvent être lancés sur TWYNSTA 80/5 mg une fois par jour.

Le traitement initial avec TWYNSTA n'est pas recommandé chez les patients ≥ 75 ans ou avec une déficience hépatique [voir Dosing dans des populations spécifiques AVERTISSEMENTS AND PRÉCAUTIONS et Utiliser dans des populations spécifiques ].

Corriger les déséquilibres du volume intravasculaire ou de la déviation du sel avant de lancer une thérapie avec des comprimés Twynsta [voir AVERTISSEMENTS AND PRÉCAUTIONS ].

Dosing dans des populations spécifiques

Trouble rénal

Aucun ajustement de dosage initial n'est requis pour les patients présentant une insuffisance rénale légère ou modérée. Titrez lentement chez les patients présentant une sévère insuffisance rénale.

Trouble hépatique

Chez la plupart des patients, le thérapie à l'amlodipine à 2,5 mg. Titrer lentement chez les patients souffrant de troubles hépatiques.

Patients de 75 ans et plus

Chez la plupart des patients, le thérapie à l'amlodipine à 2,5 mg. Titrer lentement chez les patients de 75 ans et plus.

Comment fourni

Dosage Forms And Strengths

Les comprimés Twynsta sont formulés pour l'administration orale dans les combinaisons de force suivantes:

40/5 mg 40/10 mg 80/5 mg 80/10 mg
telmisartan 40 40 80 80
équivalent amlodipine 5 10 5 10

Les comprimés multicouches non marqués Telmisartan / Amlodipine sont de forme biconvexe ovale. Les comprimés sont blancs à blanc cassé d'un côté et bleu de l'autre côté. Le côté blanc est débossé avec le symbole Boehringer Ingelheim et avec A1 A2 A2 ou A4 pour les forces de 40/5 mg 40/10 mg 80/5 mg et 80/10 mg respectivement.

Stockage et manipulation

Les comprimés Twynsta sont disponibles sous forme de comprimés multicouches blancs-off-blanc / bleu non scorés de forme de bconvéxe ovale contenant du telmisartan et de l'amlodipine dans les forces décrites ci-dessous. Les tablettes Twynsta sont débossées avec un symbole Boehringer Ingelheim et un code de tablette de produit individuel d'un côté. Les tablettes Twynsta sont fournies pour l'administration orale dans les forces et configurations de package suivantes:

Force du comprimé (Telmisartan / Amlodipine Équivalent) Mg Configuration du package NDC Code produit
40/5 mg Cloque de 30 0597-0124-37 Al
40/10 mg Cloque de 30 0597-0125-37 A2
80/5 mg Cloque de 30 0597-0126-37 A3
80/10 mg Cloque de 30 0597-0127-37 A4
Stockage

Stocker à 25 ° C (77 ° F); Excursions autorisées à 15 ° à 30 ° C (59 ° –86 ° F) [voir Température ambiante contrôlée par l'USP ]. Do not remove from blisters until immediately before administration. Protect from moisture et light.

Distribué par: Boehringer Ingelheim Pharmaceuticals Inc. Ridgefield CT 06877 USA. Révisé: décembre 2014

Effets secondaires for Twynsta

Expérience des essais cliniques

Étant donné que les études cliniques sont menées dans des conditions largement variables, les taux d'effets indésirables observés dans les études cliniques d'un médicament ne peuvent pas être directement comparés aux taux dans les études cliniques d'un autre médicament et peuvent ne pas refléter les taux observés dans la pratique.

Comprimés twynsta

L'utilisation concomitante de Telmisartan et de l'amlodipine a été évaluée pour la sécurité chez plus de 3700 patients souffrant d'hypertension; Environ 1900 de ces patients ont été exposés pendant au moins 6 mois et plus de 160 de ces patients ont été exposés pendant au moins un an. Les effets indésirables ont généralement été de nature légère et transitoire et ont seulement rarement nécessité l'arrêt de la thérapie.

Dans l'étude de conception factorielle contrôlée par placebo, la population traitée avec une combinaison de Telmisartan et d'amlodipine avait un âge moyen de 53 ans et comprenait environ 50% d'hommes 79% étaient du race blanche à 17% des Noirs et 4% des Asiatiques. Les patients ont reçu des doses allant de 20/2,5 mg à 80/10 mg par voie orale une fois par jour.

La fréquence des effets indésirables n'était pas liée à l'âge ou à la race de genre.

Les réactions indésirables qui se sont produites dans l'essai de conception factorielle contrôlée par placebo chez ≥ 2% des patients traités par TWYNSTA et à une incidence plus élevée chez les patients traités à TWYSTA (n = 789) que les patients traités par placebo (n = 46) étaient un odeur périphérique (NULL,8% VS 0%) Dizziness (NULL,0% 2,2%) et de la douleur arrière (NULL,2% VS 0%). L'œdème (autre que l'œdème périphérique) hypotension et syncope ont été signalés dans <2% of patients treated with TWYNSTA tablets.

Dans l'essai de conception factorielle contrôlé par placebo, l'arrêt des événements indésirables s'est produit chez 2,2% de toutes les cellules de traitement des patients des patients Telmisartan / Amlodipinethed et dans 4,3% dans le groupe traité par placebo. Les raisons les plus courantes de l'arrêt du traitement avec des comprimés TWYNSTA étaient les étourdissements et l'hypotension des œdème périphériques (chacun ≤ 0,5%).

L'œdème périphérique est une réaction indésirable dose-dépendante connue de l'amlodipine mais pas de Telmisartan. Dans l'étude de conception factorielle, l'incidence de l'œdème périphérique au cours de la période de traitement en double aveugle randomisée de 8 semaines était la plus élevée avec l'amlodipine 10 mg de monothérapie. L'incidence était notamment plus faible lorsque Telmisartan a été utilisé en combinaison avec l'amlodipine 10 mg.

Tableau 1: Incidence de l'œdème périphérique pendant la période de traitement de 8 semaines

Telmisartan
Placebo 40 mg 80 mg
Amlodipine Placebo 0% 0,8% 0,7%
5 mg 0,7% 1,4% 2,1%
10 mg 17,8% 6,2% 11,3%
Telmisartan

Telmisartan has been evaluated for safety in more than 3700 patients including 1900 treated for over 6 months et more than 1300 for over one year. Adverse experiences have generally been mild et transient in nature et have only infrequently required discontinuation of therapy.

Dans les essais contrôlés par placebo impliquant 1041 patients traités avec diverses doses de telmisartan (20 à 160 mg) de monothérapie pendant jusqu'à 12 semaines, une incidence globale d'événements indésirables était similaire aux patients traités par placebo.

Les événements indésirables se produisant à une incidence ≥ 1% chez les patients traités par du Telmisartan et à un rythme plus élevé que chez les patients traités par placebo indépendamment de leur association causale sont présentés dans le tableau 2.

Tableau 2: Événements indésirables se produisant à une incidence ≥ 1% chez les patients traités par Telmisartan et à un rythme plus élevé que les patients traités par placebo

Telmisartan
n = 1455%
Placebo
n = 380%
Infection des voies respiratoires supérieures 7 6
Maux de dos 3 1
Sinusite 3 2
Diarrhée 3 2
Pharyngite 1 0

En plus des événements indésirables dans le tableau, les événements suivants se sont produits à un taux ≥ 1% mais étaient au moins aussi fréquents dans le groupe placebo: symptômes de type grippe dyspepsie myalgie des voies urinaires infection des maux de tête abdominaux de la douleur étourdie de la douleur à la frappe de l'hypertension. L'arrêt du traitement en raison d'événements indésirables était nécessaire chez 2,8% des 1455 patients traités avec des comprimés de Telmisartan et 6,1% des 380 patients placebo dans des essais cliniques contrôlés par placebo.

L'incidence des événements indésirables n'était pas liée à la dose et n'était pas en corrélation avec l'âge de genre ou la race des patients.

L'incidence de la toux se produisant avec du Telmisartan dans 6 essais contrôlés par placebo était identique à celui noté pour les patients traités par placebo (NULL,6%).

En plus de ceux énumérés ci-dessus, des événements indésirables qui se sont produits chez> 0,3% des 3500 patients traités par une monothérapie Telmisartan dans des essais contrôlés ou ouverts sont répertoriés ci-dessous. Il ne peut pas être déterminé si ces événements étaient liés de manière causale aux comprimés de Telmisartan:

Système nerveux autonome: L'impuissance a augmenté le rinçage de la transpiration; Corps dans son ensemble: Allergy Fever Lig Doule Pain Malaise; Cardiovasculaire: Palpitation dépendante de l'œdème angine pectoralis tachycardie œdème de la jambe ECG anormale; CNS: insomnie somnolence migraine vertige patesthésie contractions musculaires involontaires hypoesthésie; Gastro-intestinal: Platulence Constipation Gastrite Vomit des hémorroïdes de la bouche sèche Gastro-entérite entérite de reflux gastro-œsophagien Maux de dents Métabolique: Diabète sucré hypercholestérolémie de la goutte; Musculo-squelette: arthrite arthralgia crampes des jambes; Psychiatrique: Dépression anxieuse nervosité; Mécanisme de résistance: Infection Infection fongique Abcès d'abcès; Respiratoire: Bronchite de l'asthme Epistaxis de la dyspnée de la rhinite; Peau: Dermatite Eczéma Prurit; Urinaire: Cystite de fréquence de miction; Vasculaire: trouble cérébrovasculaire; et Sens spéciaux: Vision anormale Conjonctivite Tas-étain mal d'oreille.

Au cours des études cliniques initiales, un seul cas d'œdème de l'angio a été signalé (parmi un total de 3781 patients traités).

Résultats du laboratoire clinique

Dans les essais cliniques contrôlés par placebo, les changements cliniquement pertinents dans les paramètres de test de laboratoire standard étaient rarement associés à l'administration de comprimés de Telmisartan.

Hémoglobine : Une diminution supérieure à 2 g / dL de l'hémoglobine a été observée chez des patients à 0,8% de Telmisartan par rapport aux patients atteints de placebo de 0,3%. Aucun patient n'a cessé de thérapie en raison de l'anémie.

Créatinine : Une augmentation de 0,5 mg / dL ou plus dans la créatinine a été observée chez des patients à 0,4% de Telmisartan contre 0,3% de placebo. Un patient traité au telmisartan a interrompu la thérapie en raison de l'augmentation de l'azote de la créatinine et de l'urée sanguine.

Enzymes hépatiques : Des élévations occasionnelles de chimies hépatiques se sont produites chez les patients traités par Telmisartan; Toutes les élévations marquées se sont produites à une fréquence plus élevée avec un placebo. Aucun patient traité au telmisartan n'a interrompu le traitement en raison d'une fonction hépatique anormale.

Amlodipine

Amlodipine has been evaluated for safety in more than 11000 patients in U.S. et foreign clinical trials. Most adverse reactions reported during therapy with amlodipine were of mild or moderate severity. In controlled clinical trials directly comparing amlodipine (n=1730) in doses up to 10 mg to placebo (n=1250) discontinuation of amlodipine due to adverse reactions was required in only about 1.5% of amlodipine-treated patients et was not significantly different from that seen in placebo-treated patients (about 1%). The most common side effects were headache et edema. The incidence (%) of side effects which occurred in a dose-related manner are presented in Table 3.

Tableau 3: Incidence (%) des effets indésirables liés à la dose avec l'amlodipine à des doses de 2,5 mg 5,0 mg et 10,0 mg ou un placebo

Événement indésirable Amlodipine 2.5 mg
n = 275%
Amlodipine 5.0 mg
n = 296%
Amlodipine 10.0 mg
n = 268%
Placebo
n = 520%
Œdème 1.8 3.0 10.8 0.6
Vertiges 1.1 3.4 3.4 1.5
Bouffée 0.7 1.4 2.6 0.0
Palpitations 0.7 1.4 4.5 0.6

D'autres expériences indésirables qui n'étaient pas clairement liées à la dose mais qui ont été signalées avec une incidence supérieure à 1% dans les essais cliniques contrôlées par placebo sont présentées dans le tableau 4.

Tableau 4: Incidence (%) des effets indésirables non clairement liés à la dose mais signalé à une incidence> 1% dans les essais cliniques contrôlés par placebo

Événement indésirable Amlodipine
n = 1730%
Placebo
n = 1250%
Mal de tête 7.3 7.8
Fatigue 4.5 2.8
Nausée 2.9 1.9
Douleurs abdominales 1.6 0.3
Somnolence 1.4 0.6

Les événements suivants se sont produits dans <1% but> 0,1% des patients dans des essais cliniques contrôlés ou dans des conditions d'essais ouverts ou d'expérience en marketing lorsqu'une relation causale est incertaine; Ils sont répertoriés pour alerter le médecin d'une relation possible:

Cardiovasculaire: Arythmie (y compris la tachycardie ventriculaire et fibrillation auriculaire) Bradycardie Pain thoracique hypotension Ischémie périphérique Syncope Tachycardie étourdie posturale Hypotension postural Vasculalite; Système nerveux central et périphérique: Hypoesthésie Neuropathie Paresthésie périphérique vertige du tremblement; Gastro-intestinal: Anorexie Constipation Dyspepsie ** Dysphagie Diarrhée Platulence Pancréatite Vomit d'hyperplasie gingivale Changement d'habitude intestinale; Général: réaction allergique Asthénie ** Douleur du dos rinçage chaud rigoureuse malaise rigoureurs de poids de poids diminution; Système musculo-squelettique: arthralgie arthrose des crampes musculaires ** myalgie; Psychiatrique: Dysfonction sexuelle (mâle ** et femelle) Insomnie Nerplicité Dépression Rêves anormaux Anxiété Dépersonnalisation Changement d'humeur; Système respiratoire: dyspnée ** épistaxis; Peau et appendices: Angio-œdème érythème multiforme prurit ** éruption cutanée ** érythémateuse érythémateuse maculopapulaire; Sens spéciaux: vision anormale conjonctivite diplopie douleurs oculaires acouphènes; Système urinaire: Fréquence de la miction Trouble de miction de la miction nocturie; Système nerveux autonome: La transpiration de la bouche sèche a augmenté; Métabolique et nutritionnel: Hyperglycémie soif; Hémopéétique: Leukopénie purpura thrombocytopénie.

** Ces événements se sont produits dans moins de 1% dans les essais contrôlés par placebo, mais l'incidence de ces effets secondaires était comprise entre 1% et 2% dans toutes les études de dose multiples.

Les événements suivants se sont produits dans <0.1% of patients: cardiac failure pulse irregularity extrasystoles skin discoloration urticaria skin dryness alopecia dermatitis muscle weakness twitching ataxia hypertonia migraine cold et clammy skin apathy agitation amnesia gastritis increased appetite loose stools coughing rhinitis dysuria polyuria parosmia taste perversion abnormal visual accommodation et xerophthalmia.

D'autres réactions se sont produites sporadiquement et ne peuvent pas être distinguées des médicaments ou des états pathologiques simultanés tels que l'infarctus du myocarde et l'angine de poitrine.

Amlodipine has not been associated with clinically significant changes in routine laboratory tests. No clinically relevant changes were noted in serum potassium serum glucose total triglycerides total cholesterol HDL cholesterol uric acid blood urea nitrogen or creatinine.

Amlodipine has been used safely in patients with chronic obstructive pulmonary disease well-compensated congestive heart failure coronary artery disease peripheral vascular disease diabetes mellitus et abnormal lipid profiles.

Les effets indésirables rapportés pour l'amlodipine pour des indications autres que l'hypertension peuvent être trouvés dans les informations de prescription de Norvasc®.

Expérience de commercialisation de la poste

Les effets indésirables suivants ont été identifiés lors de l'utilisation post-approbation de Telmisartan ou de l'amlodipine. Parce que ces réactions sont rapportées volontairement d'une population de taille incertaine, il n'est pas toujours possible d'estimer de manière fiable leur fréquence ou d'établir une relation causale à l'exposition aux médicaments. Les décisions d'inclure ces réactions dans l'étiquetage sont généralement basées sur un ou plusieurs des facteurs suivants: (1) la gravité de la réaction (2) la fréquence des rapports ou (3) la force du lien causal avec le Telmisartan ou l'amlodipine.

Telmisartan

Les événements les plus fréquemment signalés spontanément comprennent: Maux de tête Dizzunts Asthénie toussons Nausée Faste Faiblesse œdème Face œdème Augmentation du membre inférieur Erythème Pain thoracique Fibrillation ATRAL Dyspepsie Diarrhée Pouile des voies urinaires Infection Dysfonction érectile Dalle de dos Tenosynovite) Éruption médicamenteuse (par exemple, éruption de la peau toxique a été principalement signalée comme une éruption cutanée toxicodermie et une urticaire).

Des cas rares de rhabdomyolyse ont été signalés chez les patients recevant des bloqueurs des récepteurs de l'angiotensine II, notamment Telmisartan.

Amlodipine

La gynécomastie a été rarement signalée et une relation causale est incertaine. L'ictère et les élévations enzymatiques hépatiques (principalement conformes à la cholestase ou à l'hépatite) dans certains cas suffisamment graves pour nécessiter une hospitalisation ont été signalées en association avec l'utilisation de l'amlodipine.

Interactions médicamenteuses for Twynsta

Interactions médicamenteuses With Comprimés twynsta

La pharmacocinétique de l'amlodipine et du telmisartan n'est pas modifiée lorsque les médicaments sont co-administrés.

Aucune étude d'interaction médicamenteuse n'a été menée avec des comprimés Twynsta et d'autres médicaments, bien que des études aient été menées avec les composantes de l'amlodipine et du telmisartan individuelles des comprimés Twynsta comme décrit ci-dessous:

Interactions médicamenteuses With Telmisartan

Aliskiren

Ne co-admencez pas Alikiren avec TWYNSTA chez les patients atteints de diabète. Évitez l'utilisation d'Alikiren avec Twynsta chez les patients souffrant de troubles rénaux (GFR <60 mL/min).

Digoxine

Lorsque le Telmisartan a été co-administré avec des augmentations médianes de la digoxine dans la concentration plasmatique de digoxine pic (49%) et dans la concentration de creux (20%) ont été observées. Surveillez donc les niveaux de digoxine lors de l'initiation de l'ajustement et de l'arrêt du Telmisartan dans le but de maintenir le niveau de digoxine dans la plage thérapeutique.

Lithium

Des augmentations réversibles des concentrations sériques de lithium et de la toxicité ont été rapportées lors de l'administration concomitante de lithium avec des antagonistes des récepteurs de l'angiotensine II, notamment Telmisartan. Surveillez donc les taux sériques de lithium pendant l'utilisation concomitante.

Agents anti-inflammatoires non stéroïdiens, y compris les inhibiteurs sélectifs de la cyclooxygénase-2 (inhibiteurs de COX-2)

Chez les patients qui sont appauvris en volume âgés (y compris ceux en thérapie diurétique) ou avec une co-administration de fonction rénale compromise des AINS, y compris des inhibiteurs sélectifs de COX-2 avec des antagonistes des récepteurs de l'angiotensine II, y compris le Telsartan, peut entraîner une détérioration de la fonction rénale, y compris une présélection rénale aiguë possible. Ces effets sont généralement réversibles. Surveillez périodiquement la fonction rénale chez les patients recevant du Telmisartan et des AINS.

L'effet antihypertenseur des antagonistes des récepteurs de l'angiotensine II, y compris le Telmisartan, peut être atténué par des AINS, y compris des inhibiteurs sélectifs de COX-2.

Ramipril et Ramiprilat

La co-administration de Telmisartan 80 mg une fois par jour et le ramipril 10 mg une fois par jour à des sujets sains augmente respectivement le CMAX à l'état d'équilibre et l'AUC de Ramipril 2,3 et 2,1 fois respectivement et CMAX et AUC de Ramiprilat 2,4 et 1,5 et 1,5 fois. En revanche, Cmax et l'ASUC de Telmisartan diminuent respectivement de 31% et 16%. Lors de la co-administration de Telmisartan et du ramipril, la réponse peut être plus élevée en raison des effets pharmacodynamiques éventuellement additifs des médicaments combinés et également en raison de l'exposition accrue au ramipril et au ramiprilat en présence de Telmisartan. La co-administration de Telmisartan et de Ramipril n'est pas recommandée.

Autres drogues

La co-administration de Telmisartan n'a pas entraîné une interaction cliniquement significative avec l'acétaminophène d'amlodipine glyburide simvastatine hydrochlorothiazide warfarine ou ibuprofène. Telmisartan n'est pas métabolisé par le système Cytochrome P450 et n'a eu aucun effet in vitro Sur les enzymes du cytochrome P450, à l'exception d'une certaine inhibition du CYP2C19. Le Telmisartan ne devrait pas interagir avec des médicaments qui inhibent les enzymes du cytochrome P450; Il ne devrait pas non plus interagir avec les médicaments métabolisés par les enzymes du cytochrome P450, sauf pour une éventuelle inhibition du métabolisme des médicaments métabolisés par CYP2C19.

Interactions médicamenteuses With Amlodipine

Dans les essais cliniques, l'amlodipine a été administrée en toute sécurité avec des inhibiteurs enzymatiques de convertissement aux bêta-bloquants de thiazide nitrates de la nitroglycérine de la nitroglycérine de la nitroglycérine de la nitroglycérine de la warfarine de la nitroglycérine de la nitroglycérine de la warfarine et des médicaments hypoglycémiques oraux.

Simvastatine : La co-administration de doses multiples de 10 mg d'amlodipine avec 80 mg de simvastatine a entraîné une augmentation de 77% de l'exposition à la simvastatine par rapport à la simvastatine seule. Limitez la dose de simvastatine chez les patients sous amlodipine à 20 mg par jour.

Les éléments suivants n'ont pas d'effets cliniquement pertinents sur la pharmacocinétique de l'amlodipine: le jus de pamplemousse à la cimétidine et l'hydroxyde d'aluminium antiacide sildénafil.

Amlodipine has no clinically relevant effects on the pharmacokinetics or pharmacodynamics of the following: atorvastatin digoxin warfarin.

Inhibiteurs du CYP3A4

La co-administration d'une dose quotidienne de 180 mg de diltiazem avec 5 mg d'amlodipine chez les patients hypertendus âgés a entraîné une augmentation de 60% de l'exposition systémique de l'amlodipine. La co-administration de l'érythromycine chez des volontaires sains n'a pas modifié de manière significative l'exposition systémique de l'amlodipine. Cependant, de forts inhibiteurs du CYP3A4 (par exemple le kétoconazole itraconazole ritonavir) peuvent augmenter davantage les concentrations plasmatiques de l'amlodipine. Surveiller les symptômes d'hypotension et d'œdème lorsque l'amlodipine est co-administrée avec des inhibiteurs du CYP3A4.

Inducteurs CYP3A4

Aucune information n'est disponible sur les effets quantitatifs des inducteurs du CYP3A4 (par exemple, la carbamazépine phénobarbitale phénytoïne fosphénytoïne primidone rifampicine saint john's millepte) sur l'amlodipine. Les patients doivent être surveillés pour un effet clinique adéquat lorsque l'amlodipine est co-administrée avec des inducteurs CYP3A4.

Avertissements pour Twinnsta

Inclus dans le cadre du PRÉCAUTIONS section.

Précautions pour Twynsta

Toxicité fœtale

Catégorie de grossesse D
Telmisartan

L'utilisation de médicaments qui agissent sur le système rénine-angiotensine au cours des deuxième et troisième trimestres de la grossesse réduit la fonction rénale fœtale et augmente la morbidité et la mort fœtales et néonatales. Les oligohydramnios résultants peuvent être associés à une hypoplasie pulmonaire fœtale et à des déformations squelettiques. Les effets indésirables néonatals potentiels incluent l'hypoplasie du crâne à l'insuffisance rénale de l'hypotension et la mort. Lorsque la grossesse est détectée, arrêtez le twynsta dès que possible [voir Utiliser dans des populations spécifiques ].

Hypotension

Telmisartan

Chez les patients avec un système rénine-angiotensine activé tel que les patients appauvris en volume ou en sel (par exemple, ceux traités avec des doses élevées de diurétiques) peuvent survenir après un début de thérapie avec des comprimés TWYNSTA. Corrigez cette condition avant l'administration de comprimés Twynsta, soit commencer un traitement sous surveillance médicale étroite avec une dose réduite.

Si une hypotension se produit, placez le patient en position couchée et si nécessaire, donnez une perfusion intraveineuse de solution saline normale. Une réponse hypotensive transitoire n'est pas une contre-indication à un traitement ultérieur qui peut généralement être poursuivi sans difficulté une fois que la pression artérielle s'est stabilisée.

Amlodipine

L'hypotension symptomatique est possible en particulier chez les patients présentant une sténose aortique sévère. En raison de l'apparition progressive de l'action, une hypotension aiguë est peu probable.

Hyperkaliémie

Telmisartan

Hyperkaliémie may occur in patients on ARBs particularly in patients with advanced renal impairment heart failure on renal replacement therapy or on potassium supplements potassium-sparing diuretics potassium-containing salt substitutes or other drugs that increase potassium levels. Consider periodic determinations of serum electrolytes to detect possible electrolyte imbalances particularly in patients at risk.

Patients atteints de fonction hépatique altérée

Telmisartan

Comme la majorité du Telmisartan est éliminée par les patients excrétionnaires biliaires atteints de troubles obstructifs biliaires ou d'insuffisance hépatique devraient avoir une clairance réduite. Lancer du telmisartan à faible doses et titrer lentement chez ces patients [voir Posologie et administration Utiliser dans des populations spécifiques et Pharmacologie clinique ].

Amlodipine

Amlodipine is extensively metabolized by the liver et the plasma elimination half-life (t1/2) is 56 hours in patients with impaired hepatic function. Since patients with hepatic impairment have decreased clearance of amlodipine start amlodipine or add amlodipine at 2.5 mg in patients with hepatic impairment. The lowest dose of TWYNSTA is 40/5 mg; therefore initial therapy with TWYNSTA tablets is not recommended in hepatically impaired patients [see Utiliser dans des populations spécifiques ].

Altération de la fonction rénale

Telmisartan

En conséquence de l'inhibition du système rénine-angiotensine-aldostérone, prévoyez des changements dans la fonction rénale chez les individus sensibles. In patients whose renal function may depend on the activity of the renin-angiotensin-aldosterone system (e.g. patients with severe congestive heart failure or renal dysfunction) treatment with angiotensin-converting enzyme (ACE) inhibitors and angiotensin receptor antagonists has been associated with oliguria and/or progressive azotemia and (rarely) with acute renal failure and/or death. Des résultats similaires peuvent être prévus chez les patients traités par Telmisartan [voir Pharmacologie clinique ].

Dans des études sur les inhibiteurs de l'ECA chez les patients atteints de sténose unilatérale ou bilatérale, une augmentation de la sténose de l'artère rénale dans la créatinine sérique ou l'urée sanguine a été observée. Il n'y a pas eu d'utilisation à long terme de Telmisartan chez les patients atteints de sténose des artères rénales unilatérales ou bilatérales, mais anticipent un effet similaire à celui observé avec les inhibiteurs de l'ECA.

Double blocage du système rénine-angiotensine-aldostérone

Telmisartan

En conséquence de l'inhibition du système rénine-angiotensine-aldostérone, des changements dans la fonction rénale (y compris une insuffisance rénale aiguë) ont été signalés. Le double blocage du système rénine-angiotensine-aldostérone (par exemple en ajoutant un inhibiteur de l'ECA à un antagoniste des récepteurs de l'angiotensine II) devrait inclure une surveillance étroite de la fonction rénale.

L'essai Ontarget a inscrit 25620 patients ≥ 55 ans atteints de maladie athérosclérotique ou de diabète avec des dommages aux organes finaux les randomisés en Telmisartan uniquement uniquement ou la combinaison et les a suivis pendant une médiane de 56 mois. Les patients recevant la combinaison de Telmisartan et de Ramipril n'ont obtenu aucun avantage supplémentaire par rapport à la monothérapie mais ont connu une incidence accrue de dysfonctionnement rénal (par exemple, une insuffisance rénale aiguë) par rapport aux groupes recevant du telmisartan seul ou du ramipril seul. L'utilisation concomitante de Telmisartan et de Ramipril n'est pas recommandée.

Risque d'infarctus du myocarde ou de poitrine accrue

Amlodipine

L'aggravation de l'angine de poitrine et du myocarde aigu peut se développer après avoir commencé ou augmenté la dose de TWYNSTA, en particulier chez les patients atteints d'une maladie coronarienne obstructive sévère.

Insuffisance cardiaque

Amlodipine

Surveillez de près les patients souffrant d'insuffisance cardiaque.

Amlodipine (5 to 10 mg per day) has been studied in a placebo-controlled trial of 1153 patients with NYHA Class III or IV heart failure on stable doses of ACE inhibitor digoxin et diuretics. Follow-up was at least 6 months with a mean of about 14 months. There was no overall adverse effect on survival or cardiac morbidity (as defined by life-threatening arrhythmia acute myocardial infarction or hospitalization for worsened heart failure). Amlodipine has been compared to placebo in four 8 to 12 week studies of patients with NYHA class II/III heart failure involving a total of 697 patients. In these studies there was no evidence of worsening of heart failure based on measures of exercise tolerance NYHA classification symptoms or LVEF. In the PRAISE-2 study 1654 patients with NYHA class III (80%) or IV (20%) heart failure without evidence of underlying ischemic disease on stable doses of ACE inhibitor (99%) digitalis (99%) et diuretics (99%) were retomized 1:1 to receive placebo or amlodipine et followed for a mean of 33 months. While there was no statistically significant difference between amlodipine et placebo in the primary endpoint of all cause mortality (95% confidence limits from 8% reduction to 29% increase on amlodipine) there were more reports of pulmonary edema in the patients on amlodipine.

Informations de conseil des patients

Voir Approuvé par la FDA Étiquetage des patients .

Grossesse

Des patientes en âge de procréer devraient être informées des conséquences de l'exposition à Twynsta pendant la grossesse. Discutez des options de traitement avec les femmes qui prévoient de devenir enceintes. Les patients doivent être invités à signaler les grossesses à leurs médecins dès que possible [voir AVERTISSEMENTS AND PRÉCAUTIONS ].

Toxicologie non clinique

Carcinogenèse Mutagenèse A trouble de la fertilité

Telmisartan

Il n'y avait aucune preuve de cancérogénicité lorsque Telmisartan a été administré dans l'alimentation aux souris et aux rats jusqu'à 2 ans. Les doses les plus élevées administrées aux souris (1000 mg / kg / jour) et les rats (100 mg / kg / jour) sont sur un mg / m 2 base environ 59 et 13 fois respectivement la dose humaine maximale recommandée (MRHD) de Telmisartan. Il a été démontré que ces mêmes doses fournissent des expositions systémiques moyennes à Telmisartan> 100 fois et> 25 fois respectivement l'exposition systémique chez l'homme recevant le MRHD (80 mg / jour).

Les tests de génotoxicité n'ont révélé aucun effet lié à Telmisartan au niveau du gène ou du chromosome. Ces tests comprenaient des tests de mutagénicité bactérienne avec Salmonelle et E. coli (Ames) Un test de mutation génique avec les cellules V79 du hamster chinois un test cytogénétique avec des lymphocytes humains et un test de micronucléus de souris.

Aucun effet lié au médicament sur la performance reproductive des rats mâles et femelles n'a été noté à 100 mg / kg / jour (la dose la plus élevée administrée) environ 13 fois sur un mg / m 2 base le MRHD de Telmisartan. Cette dose chez le rat a entraîné une exposition systémique moyenne (Telmisartan AUC déterminée au jour 6 de la grossesse) au moins 50 fois l'exposition systémique moyenne chez l'homme au MRHD (80 mg / jour).

Amlodipine

Les rats et les souris traités avec du maléate d'amlodipine dans l'alimentation jusqu'à deux ans à des concentrations calculées pour fournir des niveaux de dosage quotidiens de 0,5 1,25 et 2,5 mg amlodipine / kg / jour n'ont montré aucune preuve d'un effet cancérigène du médicament. Pour la souris, la dose la plus élevée était sur mg / m 2 base similaire à la dose humaine maximale recommandée [MRHD] de 10 mg amlodipine / jour. Pour le rat, la dose la plus élevée était sur un mg / m 2 fondement environ deux fois et demie le MRHD. (Calculs basés sur un patient de 60 kg.)

Les études de mutagénicité menées avec le maléate d'amlodipine n'ont révélé aucun effet lié au médicament au niveau du gène ou du chromosome.

Il n'y a eu aucun effet sur la fertilité des rats traités par voie orale avec un maléate d'amlodipine (mâles pendant 64 jours et femmes pendant 14 jours avant l'accouplement) à des doses allant jusqu'à 10 mg d'amlodipine / kg / jour (environ 10 fois le MRHD de 10 mg / jour sur un Mg / M 2 base).

Utiliser dans des populations spécifiques

Grossesse

Catégorie de grossesse D

[Voir AVERTISSEMENTS AND PRÉCAUTIONS ].

L'utilisation de médicaments qui agissent sur le système rénine-angiotensine au cours des deuxième et troisième trimestres de la grossesse réduit la fonction rénale fœtale et augmente la morbidité et la mort fœtales et néonatales. Les oligohydramnios résultants peuvent être associés à une hypoplasie pulmonaire fœtale et à des déformations squelettiques. Les effets indésirables néonatals potentiels incluent l'hypoplasie du crâne à l'insuffisance rénale de l'hypotension et la mort. Lorsque la grossesse est détectée, arrêtez le twynsta dès que possible. Ces résultats défavorables sont généralement associés à l'utilisation de ces médicaments au deuxième et troisième trimestre de la grossesse. La plupart des études épidémiologiques examinant les anomalies fœtales après exposition à l'utilisation antihypertense au cours du premier trimestre n'ont pas distingué les médicaments affectant le système rénine-angiotensine des autres agents antihypertenseurs. La gestion appropriée de l'hypertension maternelle pendant la grossesse est importante pour optimiser les résultats pour la mère et le fœtus.

Dans le cas inhabituel, il n'y a pas d'alternative appropriée à la thérapie avec des médicaments affectant le système rénine-angiotensine pour un patient particulier à informer la mère du risque potentiel pour le fœtus. Effectuer des examens d'échographie en série pour évaluer l'environnement intra-amniotique. Si des oligohydramnios sont observés, arrêtez Twynsta à moins qu'il ne soit considéré comme vitré pour la mère. Les tests fœtaux peuvent être appropriés en fonction de la semaine de grossesse. Les patients et les médecins doivent être conscients que les oligohydramnios peuvent n'apparaître qu'après que le fœtus ait subi une blessure irréversible. Observez de près les nourrissons ayant des antécédents d'exposition in utero à Twynsta pour l'hypotension oligurie et hyperkaliémie [voir Utiliser dans des populations spécifiques ].

Mères qui allaitent

Telmisartan

On ne sait pas si Telmisartan est excrété dans le lait maternel, mais le Telmisartan s'est avéré être présent dans le lait des rats allaitants. En raison du potentiel d'effets néfastes sur le nourrisson infirmier, décidez de cesser les soins infirmiers ou de cesser le médicament en tenant compte de l'importance du médicament pour la mère.

Amlodipine

On ne sait pas si l'amlodipine est excrétée dans le lait maternel. En l'absence de ces informations, il est recommandé d'arrêter les soins infirmiers pendant l'administration de l'amlodipine.

Usage pédiatrique

Des nouveau-nés ayant des antécédents d'exposition in utero à Twynsta: si l'oligurie ou l'hypotension survient directement à l'attention vers le soutien de la pression artérielle et de la perfusion rénale. Des transfusions d'échange ou une dialyse peuvent être nécessaires comme moyen de renverser l'hypotension et / ou de se substituer à la fonction rénale désordonnée.

La sécurité et l'efficacité du TWYNSTA chez les patients pédiatriques n'ont pas été établies.

Utilisation gériatrique

Comprimés twynsta

Sur le nombre total de 3282 patients hypertendus recevant une combinaison de Telmisartan / Amlodipine dans les études cliniques 605 (18%) étaient âgés de 65 ans ou plus et de ces 88 (3%) patients étaient de 75 ans et plus. Aucune différence globale dans l'efficacité ou l'innocuité des comprimés Twynsta n'a été observée dans cette population de patients.

Telmisartan

Sur le nombre total de patients recevant du Telmisartan dans les études cliniques, 551 (NULL,6%) étaient âgés de 65 à 74 ans et 130 (NULL,4%) étaient de 75 ans et plus. Aucune différence globale d'efficacité et de sécurité n'a été observée chez ces patients par rapport aux patients plus jeunes et à d'autres expériences cliniques signalées n'a pas identifié de différences dans les réponses entre les patients âgés et les patients plus jeunes, mais une plus grande sensibilité de certains personnes âgées ne peut pas être exclue.

Amlodipine

Les études cliniques sur les comprimés d'amlodipine belylate n'ont pas inclus un nombre suffisant de sujets âgés de 65 ans et plus pour déterminer s'ils réagissent différemment des sujets plus jeunes. D'autres expériences cliniques signalées n'ont pas identifié de différences dans les réponses entre les patients âgés et les patients plus jeunes. En général, la sélection de la dose pour un patient âgé doit être prudente qui commence généralement à l'extrémité inférieure de la plage de dosage reflétant la plus grande fréquence de diminution de la fonction rénale ou cardiaque hépatique et de maladie concomitante ou autre médicament. Les patients âgés ont diminué la clairance de l'amlodipine avec une augmentation qui en résulte de l'ASC d'environ 40% à 60% et une dose initiale inférieure peut être nécessaire. Étant donné que les patients âgés de 75 ans et plus ont diminué la clairance de l'amlodipine commencent l'amlodipine ou ajoutent de l'amlodipine 2,5 mg à Telmisartan. La dose la plus basse de Twynsta est de 40/5 mg; Par conséquent, le traitement initial avec des comprimés Twynsta n'est pas recommandé chez les patients de 75 ans et plus [voir Posologie et administration ].

Insuffisance hépatique

Surveillez soigneusement et augmentez lentement chez les patients souffrant de troubles obstructifs biliaires ou d'insuffisance hépatique [voir Posologie et administration et AVERTISSEMENTS AND PRÉCAUTIONS ]. Since patients with hepatic impairment have decreased clearance of amlodipine start amlodipine or add amlodipine 2.5 mg to telmisartan. The lowest dose of TWYNSTA is 40/5 mg; therefore initial therapy with TWYNSTA tablets is not recommended in hepatically impaired patients [see Posologie et administration ].

Course

L'ampleur de la baisse de la pression artérielle chez les patients noirs s'est approchée de celle observée chez les patients non noirs, mais le nombre de patients noirs était limité (237 des 1461 patients).

Informations sur la surdose pour Twynsta

Telmisartan

Des données limitées sont disponibles en ce qui concerne le surdosage chez l'homme. Les manifestations les plus probables de surdosage avec les comprimés de Telmisartan seraient des étourdissements d'hypotension et de la tachycardie; La bradycardie pourrait se produire à partir de stimulation parasympathique (vagale). Si une hypotension symptomatique doit se produire un traitement favorable doit être instituée. Telmisartan n'est pas éliminé par l'hémodialyse.

Amlodipine

On pourrait s'attendre à ce que le surdosage provoque une vasodilatation périphérique excessive avec une hypotension marquée et peut-être une tachycardie réflexe. Dans l'homme, l'expérience avec le surdosage intentionnel de l'amlodipine est limitée.

Les doses orales uniques de maléate d'amlodipine équivalent à 40 mg amlodipine / kg et 100 mg amlodipine / kg chez la souris et les rats ont respectivement causé des décès. Les doses de maléate d'amlodipine orale uniques équivalentes à 4 ou plus d'amlodipine / kg de mg ou plus chez les chiens (11 fois ou plus la dose humaine maximale recommandée sur une base de mg / m²) ont provoqué une vasodilatation périphérique marquée et une hypotension.

Si une surdose massive doit se produire, déclenchez une surveillance cardiaque et respiratoire active. Des mesures fréquentes de la pression artérielle sont essentielles. Si une hypotension se produit fournit un soutien cardiovasculaire, y compris l'élévation des extrémités et l'administration judicieuse de liquides. Si l'hypotension reste insensible à ces mesures conservatrices, considérez l'administration de vasopresseurs (comme la phényléphrine) avec une attention au volume circulant et au débit urinaire. Comme l'amlodipine est une hémodialyse fortement liée aux protéines n'est probablement pas avantageuse.

Contre-indications pour Twynsta

Les comprimés Twynsta sont contre-indiqués chez les patients souffrant d'hypersensibilité connue (par exemple l'anaphylaxie ou l'œdème de l'angio Effets indésirables ].

Ne co-admenez pas Alikiren avec Twynsta chez les patients atteints de diabète [voir Interactions médicamenteuses ].

Pharmacologie clinique for Twynsta

Mécanisme d'action

Telmisartan

L'angiotensine II est formée à partir de l'angiotensine I dans une réaction catalysée par l'enzyme de conversion de l'angiotensine (ACE kininase II). L'angiotensine II est le principal agent presseur du système de rénine-angiotensine avec des effets qui incluent la stimulation de vasoconstriction de la synthèse et la libération de la stimulation cardiaque de l'aldostérone et la réabsorption rénale du sodium. Telmisartan bloque le vasoconstricteur et les effets sécrétant de l'aldostérone de l'angiotensine II en bloquant sélectivement la liaison de l'angiotensine II au récepteur AT1 dans de nombreux tissus tels que le muscle lisse vasculaire et la glande surrénale. Son action est donc indépendante des voies de la synthèse de l'angiotensine II.

Il existe également un récepteur AT2 trouvé dans de nombreux tissus, mais l'AT2 n'est pas connu pour être associé à l'homéostasie cardiovasculaire. Telmisartan a une affinité beaucoup plus grande (> 3000 fois) pour le récepteur AT1 que pour le récepteur AT2.

Le blocage du système rénine-angiotensine avec des inhibiteurs de l'ECA qui inhibe la biosynthèse de l'angiotensine II à partir de l'angiotensine I est largement utilisé dans le traitement de l'hypertension. Les inhibiteurs de l'ACE inhibent également la dégradation de la réaction de la bradykinine A également catalysée par l'ECA. Parce que Telmisartan n'inhibe pas l'ECA (kininase II), cela n'affecte pas la réponse à la bradykinine. On ne sait pas si cette différence a une pertinence clinique. Telmisartan ne se lie pas ou ne bloque pas d'autres récepteurs hormonaux ou canaux ioniques connus pour être importants dans la régulation cardiovasculaire.

Le blocage du récepteur de l'angiotensine II inhibe la rétroaction régulatrice négative de l'angiotensine II sur la sécrétion de rénine, mais l'augmentation de l'activité plasmatique de la rénine et les niveaux circulants de l'angiotensine II ne surmontent pas l'effet du Telmisartan sur la pression artérielle.

Amlodipine

Amlodipine is a dihydropyridine bloqueur de canaux calciques that inhibits the transmembrane influx of calcium ions into vascular smooth muscle et cardiac muscle. Experimental data suggest that amlodipine binds to both dihydropyridine et nondihydropyridine binding sites. The contractile processes of cardiac muscle et vascular smooth muscle are dependent upon the movement of extracellular calcium ions into these cells through specific ion channels. Amlodipine inhibits calcium ion influx across cell membranes selectively with a greater effect on vascular smooth muscle cells than on cardiac muscle cells. Negative inotropic effects can be detected in vitro Mais de tels effets n'ont pas été observés chez les animaux intacts à des doses thérapeutiques. La concentration en calcium sérique n'est pas affectée par l'amlodipine. Dans la gamme physiologique de pH, l'amlodipine est un composé ionisé (PKA = 8,6) et son interaction cinétique avec le récepteur du canal calcique est caractérisée par un taux d'association progressif et une dissociation avec le site de liaison du récepteur, ce qui entraîne un début progressif d'effet.

Amlodipine is a peripheral arterial vasodilator that acts directly on vascular smooth muscle to cause a reduction in peripheral vascular resistance et reduction in blood pressure.

Pharmacodynamique

Comprimés twynsta

Il a été démontré que des comprimés Twynsta sont efficaces pour abaisser la pression artérielle. Twynsta est une combinaison de deux médicaments avec des propriétés antihypertensives: un antagoniste de calcium de dihydropyridine (antagoniste des ions calciques ou un bloqueur à canal lent) Besylate et un bloqueur de récepteurs d'angiotensine II Telmisartan.

Telmisartan et l'amlodipine abaissent la pression artérielle en réduisant la résistance périphérique mais par des mécanismes complémentaires.

Telmisartan

Chez les volontaires normaux, une dose de Telmisartan 80 mg a inhibé la réponse presseur à une perfusion intraveineuse d'angiotensine II d'environ 90% à des concentrations plasmatiques maximales avec environ 40% d'inhibition persistant pendant 24 heures.

La concentration plasmatique de l'angiotensine II et de l'activité plasmatique de la rénine (PRA) ont augmenté de manière dose-dépendante après l'administration unique de Telmisartan à des sujets sains et une administration répétée aux patients hypertendus. L'administration une fois par jour de jusqu'à 80 mg de Telmisartan à des sujets sains n'a pas influencé les concentrations plasmatiques d'aldostérone. Dans de multiples études de dose avec des patients hypertendus, il n'y a eu aucun changement cliniquement significatif dans les électrolytes (potassium sérique ou sodium) ou dans la fonction métabolique (y compris les taux sériques de triglycérides de cholestérol HDL LDL glucose ou acide urique).

Chez 30 patients hypertendus avec une fonction rénale normale traitée pendant 8 semaines avec du telmisartan 80 mg ou du telmisartan 80 mg en combinaison avec l'hydrochlorothiazide 12,5 mg, il n'y a eu aucun changement cliniquement significatif par rapport à la ligne de base de la rénovation rénale du flux sanguin rénal.

Telmisartan has indications other than hypertension which can be found in the Micardis® (telmisartan) tablets package insert.

Amlodipine

Après l'administration de doses thérapeutiques pour les patients atteints d'amlodipine hypertension, produit une vasodilatation entraînant une réduction des pressions sanguines couchées et debout. Ces diminutions de la pression artérielle ne s'accompagnent pas d'un changement significatif de la fréquence cardiaque ou des taux plasmatiques de catécholamine avec un dosage chronique. Bien que l'administration intraveineuse aiguë d'amlodipine diminue la pression artérielle et augmente la fréquence cardiaque dans les études hémodynamiques de patients atteints d'angine stable chronique d'administration orale chronique d'amlodipine dans les essais cliniques n'a pas entraîné de changements cliniquement significatifs de la fréquence cardiaque ou des pressions sanguines chez les patients normotendaux atteints d'angine de poitrine.

Avec l'administration chronique une fois quotidienne, l'efficacité antihypertense est maintenue pendant au moins 24 heures. Les concentrations plasmatiques sont en corrélation avec l'effet chez les patients jeunes et âgés. L'ampleur de la réduction de la pression artérielle avec l'amlodipine est également corrélée à la hauteur de l'élévation du prétraitement; Ainsi, les personnes souffrant d'hypertension modérée (pression diastolique de 105 à 114 mmHg) avaient une réponse environ 50% plus élevée que les patients souffrant d'hypertension légère (pression diastolique de 90 à 104 mmHg). Les sujets normotendaux n'ont connu aucun changement cliniquement significatif de la pression artérielle (1 / -2 mmHg).

Chez les patients hypertendus avec une fonction rénale normale, des doses thérapeutiques d'amlodipine ont entraîné une diminution de la résistance vasculaire rénale et une augmentation du taux de filtration glomérulaire et du flux plasmatique rénal efficace sans changement dans la fraction de filtration ou la protéinurie.

Comme pour les autres bloqueurs de canaux calciques, les mesures hémodynamiques de la fonction cardiaque au repos et pendant l'exercice (ou la stimulation) chez les patients présentant une fonction ventriculaire normale traitée avec l'amlodipine ont généralement démontré une faible augmentation de l'indice cardiaque sans influence significative sur la DP / DT ou à l'extrémité ventriculaire gauche ou le volume diastolique. Dans les études hémodynamiques, l'amlodipine n'a pas été associée à un effet inotrope négatif lorsqu'il est administré dans la plage de dose thérapeutique aux animaux et à l'homme intacts même lorsqu'il est co-administré avec des bêta-bloquants à l'homme. Cependant, des résultats similaires ont été observés chez des patients normaux ou bien compensés souffrant d'insuffisance cardiaque avec des agents possédant des effets inotropes négatifs significatifs.

Amlodipine does not change sinoatrial nodal function or atrioventricular conduction in intact animals or man. In patients with chronic stable angina intravenous administration of 10 mg did not significantly alter A-H et H-V conduction et sinus node recovery time after pacing. Similar results were obtained in patients receiving amlodipine et concomitant beta-blockers. In clinical studies in which amlodipine was administered in combination with beta-blockers to patients with either hypertension or angina no adverse effects of electrocardiographic parameters were observed. In clinical trials with angina patients alone amlodipine therapy did not alter electrocardiographic intervals or produce higher degrees of AV blocks.

Amlodipine has indications other than hypertension which can be found in the Norvasc® package insert.

Pharmacocinétique

Comprimés twynsta

La pharmacocinétique de l'amlodipine et du telmisartan, lorsqu'elles sont combinées, sont similaires à la pharmacocinétique de l'amlodipine et du telmisartan lorsqu'ils sont administrés séparément.

Après avoir administré Twynsta 80/10 mg comprimé avec un repas riche en graisses, la superficie totale sous la courbe de concentration plasmatique (AUC) et le CMAX pour Telmisartan ont diminué respectivement d'environ 24% et 60%. Car l'amlodipine AUC et CMAX n'ont pas été modifiées [voir Posologie et administration ].

Telmisartan

Les concentrations de pics d'administration orale (CMAX) de Telmisartan sont atteintes de 0,5 à 1 heure après le dosage. Les aliments réduisent légèrement la biodisponibilité du Telmisartan avec une réduction de la zone sous la courbe de concentration plasmatique (ASC) d'environ 6% avec le comprimé de 40 mg et environ 20% après une dose de 160 mg. La biodisponibilité absolue du Telmisartan dépend de la dose. À 40 et 160 mg, la biodisponibilité était respectivement de 42% et 58%. La pharmacocinétique du Telmisartan administré par voie orale est non linéaire sur la plage de dose de 20 à 160 mg avec des augmentations plus que proportionnelles des concentrations plasmatiques (CMAX et AUC) avec des doses croissantes. Telmisartan présente une cinétique de désintégration bi-exponentielle avec une demi-durée de vie terminale d'environ 24 heures. Les concentrations plasmatiques de creux de Telmisartan avec une dose quotidienne une fois sont d'environ 10% à 25% des concentrations plasmatiques maximales. Telmisartan a un indice d'accumulation dans le plasma de 1,5 à 2,0 après une dose répétée une fois par jour.

Amlodipine

Les concentrations plasmatiques maximales d'amlodipine sont atteintes de 6 à 12 heures après l'administration d'amlodipine seule. La biodisponibilité absolue a été estimée entre 64% et 90%. La biodisponibilité de l'amlodipine n'est pas modifiée par la présence de nourriture.

L'élimination de l'amlodipine du plasma est biphasique avec une demi-vie d'élimination terminale d'environ 30 à 50 heures. Les taux plasmatiques d'amlodipine à l'état d'équilibre sont atteints après 7 à 8 jours de dosage quotidien consécutif.

Distribution

Telmisartan

Telmisartan est fortement lié aux protéines plasmatiques (> 99,5%) principalement albumine et glycoprotéine α1-acide. La liaison aux protéines plasmatiques est constante sur la plage de concentration obtenue avec des doses recommandées. Le volume de distribution pour Telmisartan est d'environ 500 litres indiquant une liaison tissulaire supplémentaire.

Amlodipine

Le volume apparent de distribution de l'amlodipine est de 21 l / kg. Environ 93% de l'amlodipine circulante est liée aux protéines plasmatiques chez les patients hypertendus.

Métabolisme et élimination

Telmisartan

Suivant l'administration intraveineuse ou orale de 14 Telmisartan marqué en C La plupart de la dose administrée (> 97%) a été éliminée inchangée dans les matières fécales via l'excrétion biliaire; Seules des quantités infimes ont été trouvées dans l'urine (NULL,91% et 0,49% de la radioactivité totale respectivement).

Telmisartan is metabolized by conjugation to form a pharmacologically inactive acylglucuronide; the glucuronide of the parent compound is the only metabolite that has been identified in human plasma et urine. After a single dose the glucuronide represents approximately 11% of the measured radioactivity in plasma. The cytochrome P450 isoenzymes are not involved in the metabolism of telmisartan.

Le dégagement total du plasma de Telmisartan est> 800 ml / min. La demi-vie terminale et la clairance totale semblent être indépendantes de la dose.

Amlodipine

Amlodipine is extensively (about 90%) converted to inactive metabolites via hepatic metabolism with 10% of the parent compound et 60% of the metabolites excreted in the urine.

Populations spéciales

Insuffisance rénale

Telmisartan : Aucun ajustement posologique n'est nécessaire chez les patients présentant une diminution de la fonction rénale. Telmisartan n'est pas éliminé du sang par l'hémofiltration [voir AVERTISSEMENTS AND PRÉCAUTIONS ].

Amlodipine : La pharmacocinétique de l'amlodipine n'est pas significativement influencée par les troubles rénaux. Les patients atteints d'insuffisance rénale peuvent donc recevoir la dose initiale habituelle.

Insuffisance hépatique

Telmisartan : Chez les patients atteints d'insuffisance hépatique, les concentrations plasmatiques de Telmisartan sont augmentées et les approches de biodisponibilité absolue à 100% [voir AVERTISSEMENTS AND PRÉCAUTIONS et Utiliser dans des populations spécifiques ].

Amlodipine : Les patients atteints d'insuffisance hépatique ont diminué la clairance de l'amlodipine avec une augmentation qui en résulte de l'ASC d'environ 40% à 60%. Commencez donc par une faible dose initiale d'amlodipine.

Genre

Les concentrations plasmatiques de Telmisartan sont généralement 2 à 3 fois plus élevées chez les femmes que chez les hommes. Dans les essais cliniques, cependant, aucune augmentation significative de la réponse de la pression artérielle ou de l'incidence de l'hypotension orthostatique n'a été trouvée chez les femmes. Aucun ajustement posologique n'est nécessaire.

Patients gériatriques

Telmisartan : La pharmacocinétique de Telmisartan ne diffère pas entre les personnes âgées et les moins de 65 ans [voir Posologie et administration ].

Amlodipine : Les patients âgés ont diminué la clairance de l'amlodipine avec une augmentation qui en résulte de l'ASC d'environ 40% à 60%. Commencez donc par une faible dose initiale d'amlodipine [voir Posologie et administration ].

Études cliniques

Comprimés twynsta

L'efficacité des comprimés Twynsta pour le traitement de l'hypertension a été étudiée dans 1 essais contrôlés par placebo et 2 essais contrôlés par actif.

Une étude factorielle parallèle contrôlée en double aveugle multicentrique de 8 semaines contrôlée par un placebo contrôlé chez des patients atteints d'hypertension légère à sévère a été menée pour déterminer si le traitement par Twynsta était plus efficace pour réduire la pression artérielle par rapport aux monothérapies respectives. L'étude a randomisé 1461 patients atteints de pression artérielle systolique de base entre 117 et 179 mmHg (moyenne 153 mmHg) et une pression artérielle diastolique de base entre 90 et 119 (moyenne 102 mmHg) à l'un des 16 bras de traitement. Les patients affectés à recevoir l'amlodipine 10 mg ont commencé sur l'amlodipine 5 mg ou ses combinaisons pendant les deux premières semaines. Les quatre combinaisons de traitement clés (y compris les combinaisons de Telmisartan 40 ou 80 mg et de l'amlodipine 5 ou 10 mg) avaient une réduction statistiquement significative de la coiffe de coiffure en creux assis en clinique et de la pression artérielle diastolique par rapport aux monothérapies individuelles respectives (tableau 5).

Tableau 5: Changement moyen soumis à placebo par rapport à la base de base dans la pression artérielle systolique / diastolique (MMHG)

Amlodipine mg Telmisartan mg
0 40 80
0 -12.1 / -7.2 -11.8 / -7.8
5 -12.9 / -7.2 -19.3 / -10.3 -19.6 / -12.0
10 -18.2 / -10.9 -22.2 / -14.0 -23.9 / -13.9

La majorité de l'effet antihypertenseur de la combinaison Telmisartan / Amlodipine a été atteint dans les 2 semaines suivant le début du traitement. Chez les patients recevant une combinaison de telmisartan / amlodipine, des réductions significativement plus importantes de la pression artérielle diastolique et systolique assise par rapport aux patients traitées avec les monothérapies respectives ont été observées à chaque évaluation (semaine 2 4 6 et 8).

L'effet antihypertenseur des comprimés Twynsta était similaire chez les patients ≥ 65 ans que moins de 65 ans chez les patients masculins et femmes et chez les patients atteints de diabète et sans diabète.

L'ampleur de la baisse de la pression artérielle chez les patients noirs s'est approchée de celle observée chez les patients non noirs, mais le nombre de patients noirs était limité (237 des 1461 patients).

La surveillance automatisée de la pression artérielle ambulatoire (ABPM) a effectué un sous-ensemble de 562 patients a confirmé les résultats observés avec des réductions de pression artérielle systolique et diastolique en clinique pendant toute la période de dosage de 24 heures.

Dans une étude contrôlée en double aveugle active, un total de 1097 patients souffrant d'hypertension légère à sévère (BP moyen Systolic / Diastolic BP 149.5 / 96,6 mmHg) qui n'étaient pas correctement contrôlés sur l'amlodipine 5 mg ont reçu du twynsta (40/5 mg ou 80/5 mg) ou de l'amlodipine seul (5 mg ou 10 mg). Après 8 semaines, l'administration, chacun des traitements combinés était statistiquement significativement supérieur aux deux doses de monothérapie à l'amlodipine pour réduire les pressions sanguines diastoliques et systoliques. Les événements liés à l'œdème (œdème périphérique œdème généralisé et œdème) chez les patients qui ont reçu du TWYNSTA (40/5 mg ou 80/5 mg) étaient significativement plus faibles par rapport aux patients qui ont reçu respectivement l'amlodipine 10 mg (NULL,3% vs 27,2%).

Tableau 6: Effet sur la pression artérielle systolique / diastolique assise: Thérapie combinée vs monothérapie

Groupe de traitement Changement moyen 1 Différence par rapport à l'amlodipine 5 mg Différence par rapport à l'amlodipine 10 mg
Twynsta 40/5 mg; n = 270 -13.6 / -9.4 -7,4 * / -3.6 * -2.4 * / -1.4 *
Twynsta 80/5 mg; n = 271 -15.0 / -10.6 -8.8 * / -4.9 * -3.9 * / -2.7 *
Amlodipine 5 mg; n=255 -6.2 / -5.7
Amlodipine 10 mg; n=261 -11.1 / -8.0
* P <0.05
1 Changement moyen de la ligne de base à la semaine 8 à la pression artérielle systolique / diastolique assise

Dans une deuxième étude contrôlée par actif en double aveugle, un total de 947 patients souffrant d'hypertension légère à sévère (BP moyen Systolic / Diastolic BP 147,5 / 95,6 mmHg) qui n'étaient pas correctement contrôlés sur l'amlodipine 10 mg ont reçu du twynsta (40/10 mg ou 80/10 mg) ou d'amlodipine seul (10 mg). Après 8 semaines, chacun des traitements combinés était statistiquement significativement supérieur à la monothérapie amlodipine pour réduire les pressions sanguines diastoliques et systoliques.

Tableau 7: Effet sur la pression artérielle systolique / diastolique assise: Thérapie combinée vs monothérapie

Groupe de traitement Changement moyen 1 Différence par rapport à l'amlodipine 10 mg
Twynsta 40/10 mg; n = 306 -11.1 / -9.2 -3.7 * / -2.8 *
Twynsta 80/10 mg; n = 310 -11.3 / -9.3 -3.9 * / -2.8 *
Amlodipine 10 mg; n=305 -7,4 / -6.5
* P <0.05
1 Changement moyen de la ligne de base à la semaine 8 à la pression artérielle systolique / diastolique assise

Il n'y a pas d'essais de TWYNSTA démontrant des réductions du risque cardiovasculaire chez les patients souffrant d'hypertension, mais au moins un médicament pharmacologiquement similaire a démontré de tels avantages.

Telmisartan

Les effets antihypertenseurs de Telmisartan ont été démontrés dans six principaux essais cliniques contrôlés par placebo étudiant une fourchette de 20 à 160 mg; L'un d'eux a examiné les effets antihypertenseurs du Telmisartan et de l'hydrochlorothiazide en combinaison. Les études ont impliqué un total de 1773 patients souffrant d'hypertension légère à modérée (pression artérielle diastolique de 95 à 114 mmHg) 1031 ont été traitées avec du Telmisartan. Après une administration quotidienne de Telmisartan, l'amplitude de la réduction de la pression artérielle par rapport à la ligne de base après la soustraction du placebo était d'environ (SBP / DBP) 6-8 / 6 mmHg pour 20 mg 9-13 / 6-8 mmHg pour 40 mg et 12-13 / 7-8 mmHg pour 80 mg. Des doses plus importantes (jusqu'à 160 mg) ne semblent pas entraîner une nouvelle diminution de la pression artérielle.

Lors du début du traitement antihypertenseur avec la pression artérielle de Telmisartan a été réduit après la première dose avec une réduction maximale d'environ 4 semaines. Avec l'arrêt du traitement avec des comprimés de Telmisartan, la pression artérielle est progressivement revenue aux valeurs de base sur une période de plusieurs jours à une semaine. Au cours des études à long terme (sans contrôle du placebo), l'effet du Telmisartan semblait être maintenu jusqu'à au moins un an. L'effet antihypertenseur du Telmisartan n'est pas influencé par le poids du sexe de l'âge du patient ou l'indice de masse corporelle. La réponse à la pression artérielle chez les patients noirs (généralement une population à faible rénine) est sensiblement inférieure à celle des patients caucasiens. Cela a été vrai pour la plupart des antagonistes de l'angiotensine II et des inhibiteurs de l'ECA.

Dans une étude contrôlée, l'ajout de Telmisartan à l'hydrochlorothiazide a produit une réduction supplémentaire de la pression artérielle liée à la dose qui était similaire à la réduction obtenue avec la monothérapie de Telmisartan. L'hydrochlorothiazide a également eu un effet de pression artérielle supplémentaire lorsqu'il est ajouté à Telmisartan.

Le début de l'activité antihypertense se produit dans les 3 heures suivant l'administration d'une seule dose orale. À des doses de 20 40 et 80 mg, l'effet antihypertenseur de l'administration une fois par jour de Telmisartan est maintenu pour l'intervalle de dose complet de 24 heures. Avec une surveillance de la pression artérielle ambulatoire automatisée et des mesures conventionnelles de la pression artérielle, le rapport creux / pic de 24 heures pour 40 à 80 mg de doses de Telmisartan était de 70% à 100% pour la pression artérielle systolique et diastolique. L'incidence de l'orthostase symptomatique après la première dose dans tous les essais contrôlés était faible (NULL,04%).

Il n'y a eu aucun changement dans la fréquence cardiaque des patients traités par Telmisartan dans des essais contrôlés.

Amlodipine

L'efficacité antihypertense de l'amlodipine a été démontrée dans un total de 15 études randomisées contrôlées par placebo en double aveugle impliquant 800 patients sous amlodipine et 538 sur le placebo. Une fois que l'administration quotidienne a produit des réductions statistiquement significatives sur placebo des pressions sanguines en décubitus dorsales et debout à 24 heures après la dose, une moyenne d'environ 12/6 mmHg en position debout et 13/7 mmHg en position couchée chez les patients souffrant d'hypertension légère à modérée. Le maintien de l'effet de la pression artérielle sur l'intervalle d'administration de 24 heures a été observé avec peu de différence de pic et d'effet auge.

Informations sur les patients pour Twynsta

Twynsta®
(Twin-stah)
(Telmisartan / Amlodipine) Comprimés

Lisez ces informations sur les patients avant de commencer à prendre des tablettes Twynsta et chaque fois que vous obtenez une recharge. Il peut y avoir de nouvelles informations. Ces informations ne prennent pas la place de parler à votre médecin de votre état médical ou de votre traitement.

Quelles sont les informations les plus importantes que je devrais connaître sur les tablettes Twynsta?

Twynsta peut causer du mal ou de la mort à un bébé à naître. Parlez à votre médecin d'autres façons de réduire votre tension artérielle si vous prévoyez de tomber enceinte. Si vous tombez enceinte en prenant Twynsta, dites-le immédiatement à votre médecin.

Qu'est-ce que Twynsta?

Twynsta est un médicament sur ordonnance qui contient du telmisartan et de l'amlodipine.

Les comprimés Twynsta peuvent être utilisés pour traiter l'hypertension artérielle (hypertension):

  • Lorsque l'un de ces médicaments (ou un similaire) n'est pas suffisant pour abaisser votre pression artérielle élevée
  • Comme le premier médicament à abaisser votre forte pression artérielle si votre médecin décide que vous aurez probablement besoin de plus d'un médicament

On ne sait pas si Twynsta est sûre et efficace chez les enfants.

Qui ne devrait pas prendre Twynsta?

Vous ne devez pas prendre Twynsta Tablets si vous êtes allergique (hypersensible) aux ingrédients actifs (Telmisartan ou amlodipine) ou l'un des autres ingrédients énumérés à la fin de cette brochure.

Pour les patients atteints de diabète si vous prenez Twynsta, vous ne devez pas prendre ALISKIREN.

Que dois-je dire à mon médecin avant de prendre des tablettes Twynsta?

Quelle est la posologie pour le viagra

Avant de prendre des tablettes Twynsta, dites à votre médecin si vous:

  • avoir des problèmes de foie
  • avoir des problèmes rénaux
  • avoir des problèmes cardiaques
  • avoir d'autres conditions médicales
  • sont enceintes ou envisagent de devenir enceintes. Voir Quelles sont les informations les plus importantes que je devrais connaître sur les tablettes Twynsta?
  • allaitent ou prévoient d'allaiter. On ne sait pas si Twynsta passe dans votre lait maternel. Vous et votre médecin devriez décider si vous prenez des comprimés à twynsta ou de l'allaitement. Vous ne devriez pas faire les deux. Parlez avec votre médecin de la meilleure façon de nourrir votre bébé si vous prenez des tablettes Twynsta.

Parlez à votre médecin de tous les médicaments que vous prenez y compris les médicaments sur ordonnance et les médicaments sans ordonnance et les suppléments à base de plantes.

Pour les patients atteints de diabète si vous prenez Twynsta, vous ne devez pas prendre ALISKIREN.

Twynsta peut affecter le fonctionnement des autres médicaments et d'autres médicaments peuvent affecter le fonctionnement de Twynsta. Parlez surtout de votre médecin si vous prenez:

  • Alikiren
  • digoxine (lanoxin® lanoxicaps®)
  • Lithium (Eskalith® Lithobid®)
  • Médicaments utilisés pour traiter la douleur et l'arthrite appelés médicaments anti-inflammatoires non stéroïdiens (AINS), y compris les inhibiteurs du COX-2
  • Ramipril (Altace®) ou autres médicaments qui peuvent être utilisés pour traiter l'hypertension artérielle ou un problème cardiaque
  • simvastatine (Zocor® Vytorin®)
  • pilules d'eau (diurétiques)

Connaissez les médicaments que vous prenez. Gardez une liste d'entre eux et montrez-le à votre médecin ou à votre pharmacien lorsque vous obtenez un nouveau médicament.

Comment dois-je prendre des tablettes Twynsta?

  • Prenez des tablettes Twynsta exactement comme votre médecin vous dit de le prendre.
  • Votre médecin vous dira combien Twynsta prendre et quand le prendre. Votre médecin peut changer votre dose si nécessaire.
  • Prenez Twynsta une fois par jour en même temps.
  • Prenez des comprimés Twynsta avec ou sans nourriture.
  • Si vous manquez une dose, prenez-le dès que vous vous en souvenez. S'il est proche de votre prochaine dose, ne prenez pas la dose manquée. Prenez la prochaine dose à votre heure régulière.
  • Si vous prenez trop de twynsta, appelez votre médecin ou allez immédiatement aux urgences de l'hôpital le plus proche.
  • Lire le Comment ouvrir l'ampoule À la fin de cette brochure avant d'utiliser Twynsta. Parlez avec votre médecin si vous ne comprenez pas les instructions.

Quels sont les effets secondaires possibles des comprimés Twynsta?

Les comprimés Twynsta peuvent provoquer des effets secondaires graves, notamment:

  • Blessure ou mort à votre bébé à naître. Vous voyez quelles sont les informations les plus importantes que je devrais connaître sur les tablettes Twynsta?
  • Basse pression artérielle (hypotension) est le plus susceptible de se produire si vous aussi:
    • Prenez des pilules d'eau (diurétiques)
    • sont sur un régime à faible sel
    • obtenir des traitements de dialyse
    • avoir des problèmes cardiaques
    • tomber malade avec des vomissements ou de la diarrhée
      Si vous vous sentez faible ou étourdi, allongez-vous et appelez votre médecin tout de suite.
  • Problèmes rénaux. Les problèmes rénaux peuvent empirer si vous avez déjà une maladie rénale. Vous pouvez avoir des changements dans vos résultats de tests rénaux et vous pourriez avoir besoin d'une dose plus faible de comprimés Twynsta. Appelez votre médecin si vous obtenez:
    • gonflement dans vos pieds ou mains
    • gain de poids inexpliqué

Appelez votre médecin immédiatement si vous obtenez l'un des symptômes énumérés ci-dessus.

  • Problèmes cardiaques ou crise cardiaque. Les problèmes cardiaques peuvent empirer chez les personnes qui ont déjà une maladie cardiaque. Cela peut se produire lorsque vous démarrez les comprimés Twynsta ou lorsqu'il y a une augmentation de votre dose de Twynsta. Obtenez une aide d'urgence si vous obtenez des douleurs à la poitrine pires ou des douleurs thoraciques qui ne disparaissent pas.
  • Potassium élevé dans le sang (hyperkaliémie). Votre médecin peut vérifier vos niveaux de potassium au besoin.
    Des réactions allergiques graves rares peuvent se produire. Dites immédiatement votre médecin si vous obtenez l'un de ces symptômes:
    • gonflement du visage de la langue
    • difficulté à respirer
    • éruption cutanée

Les effets secondaires les plus courants des comprimés Twynsta comprennent:

  • gonflement dans vos mains les chevilles ou les pieds
  • J'ai l'impression que ton cœur bat ou coule
  • rinçage ou rougeur soudaine du visage et du cou
  • vertiges
  • maux de dos
  • Se sentir fatigué ou somnolent
  • Douleurs abdominales nausées ou diarrhée
  • une pression artérielle basse ou une baisse soudaine de la pression artérielle avec des évanouissements

Ce ne sont pas tous les effets secondaires possibles des tablettes Twynsta. Dites à votre médecin si vous avez un effet secondaire qui vous dérange ou qui ne disparaît pas.

Appelez votre médecin pour des conseils médicaux sur les effets secondaires. Vous pouvez signaler les effets secondaires à la FDA au 1-800FDA-1088.

Comment dois-je stocker des tablettes Twynsta?

  • Stockez les comprimés Twynsta entre 59 ° et 86 ° F (15 ° à 30 ° C).
  • Ne retirez pas les comprimés Twynsta des cloques avant de les prendre.
  • Gardez les comprimés Twynsta hors de la lumière et loin de l'humidité.

Gardez les comprimés Twynsta et tous les médicaments hors de portée des enfants.

Informations générales sur les tablettes Twynsta

Les médicaments sont parfois prescrits à des fins autres que celles énumérées dans une brochure d'information du patient. N'utilisez pas de comprimés Twynsta pour une condition pour laquelle il n'a pas été prescrit. Ne donnez pas de comprimés Twynsta à d'autres personnes même s'ils présentent les mêmes symptômes que vous. Cela peut leur faire du mal.

Ce dépliant d'information du patient résume les informations les plus importantes sur les tablettes Twynsta. Si vous souhaitez plus d'informations, parlez avec votre médecin. Vous pouvez demander à votre pharmacien ou médecin d'informations sur les comprimés Twynsta qui sont écrits pour les professionnels de la santé. Pour plus d'informations, appelez Boehringer Ingelheim Pharmaceuticals Inc. au 1-800-542-6257 ou (tty) 1-800-459-9906.

Quels sont les ingrédients dans les comprimés Twynsta?

Ingrédients actifs: telmisartan et amlodipine besylate

Ingrédients inactifs: Hydroxyde de sodium Povidone Méglumine Sorbitol Magnésium Stéarate microcristallin de cellulose Admidon prégelatiné Admidon colloïdal Silicon dioxyde d'oxyde ferrique Ferrique Oxyde ferrique noir jaune et FD

Qu'est-ce que l'hypertension artérielle (hypertension)?

La pression artérielle est la force dans vos vaisseaux sanguins lorsque votre cœur bat et lorsque votre cœur repose. Vous avez une pression artérielle élevée lorsque la force est trop. Les comprimés Twynsta peuvent aider vos vaisseaux sanguins à se détendre afin que votre tension artérielle soit plus faible. Les médicaments qui abaissent votre tension artérielle abaissez vos chances d'avoir un accident vasculaire cérébral ou une crise cardiaque.

L'hypertension artérielle rend le cœur plus dur pour pomper le sang dans tout le corps et endommage les vaisseaux sanguins. Si l'hypertension artérielle n'est pas traitée, cela peut entraîner une insuffisance rénale de l'insuffisance cardiaque de crise cardiaque et des problèmes de vision.

Comment ouvrir la cloque:

1. Tear (vous pouvez également utiliser des ciseaux pour déchirer la cloque)

Tear oplister -en the b Illustration

2. Peler (peler la couche de papier de la feuille d'aluminium)

Peel off the paper layer - Illustration

3. Pousser (pousser la tablette à travers le papier d'aluminium)

Push the tablet through the foil - Illustration