Les Informations Présentées Sur Ce Site Ne Constituent Pas Un Avis Médical. Nous Ne Vendons Rien. L'Exactitude De La Traduction N'Est Pas Garantie. Clause De Non-Responsabilité
Analgésiques opioïdes
Ultram
Résumé
Qu'est-ce que Ultram?
Ultram (tramadol) est un analgésique (analgésique) utilisé pour traiter les douleurs modérées à modérément sévères chez l'adulte. Ultram est disponible sous forme de comprimés oraux de 50 mg. Ultram est disponible en générique formulaire.
Quels sont les effets secondaires de Ultram?
Les effets secondaires de Ultram comprennent:
- agitation
- nervosité
- anxiété
- convulsions (convulsions)
- éruption cutanée
- vertiges
- sensation de rotation
- hallucinations
- fièvre
- fréquence cardiaque rapide
- réflexes hyperactifs
- nausée
- vomissement
- estomac renversé
- diarrhée
- constipation
- perte de coordination
- mal de tête
- somnolence et
- évanouissement .
Cherchez des soins médicaux ou appelez le 911 à la fois si vous avez les effets secondaires graves suivants:
- Des symptômes oculaires graves tels que la perte de vision soudaine floue du tunnel de vision de la vision de la vision des yeux ou de l'enflure ou de voir des halos autour des lumières;
- Symptômes cardiaques graves tels que les battements cardiaques rapides ou battants; flotter dans votre poitrine; essoufflement; et des étourdissements soudains, de la légèreté ou de l'évanouissement;
- Maux de tête sévères Confusion Slurred Speech Bras ou Ligne Proulitude Trouble de la merde Perte de coordination Sentiment des muscles très rigides très rigides Fièvre élevée Propice ou des tremblements.
Ce document ne contient pas tous les effets secondaires possibles et d'autres peuvent survenir. Vérifiez auprès de votre médecin des informations supplémentaires sur les effets secondaires.
Dosage pour ultram
Bien gestion de la douleur La pratique dicte que la dose d'Ultram est individualisée en fonction du besoin du patient en utilisant la dose bénéfique la plus faible.
Quelles substances ou suppléments de médicaments interagissent avec Ultram?
Ultram peut interagir avec d'autres médicaments, notamment les inhibiteurs de la monoamine oxydase (MAOI) et d'autres antidépresseur médicaments.
Ultram pendant la grossesse et l'allaitement
Il n'y a pas d'études adéquates et bien contrôlées sur Ultram chez les femmes enceintes. Ultram ne doit être utilisé pendant la grossesse que si le bénéfice potentiel justifie le risque potentiel pour le fœtus. Ultram passe dans le lait maternel et peut nuire à un bébé qui allaitait. L'allaitement maternel lors de la prise d'Ultram n'est pas recommandé.
Informations Complémentaires
Notre centre de médicaments à effets secondaires Ultram offre une vue complète des informations sur les médicaments disponibles sur les effets secondaires potentiels lors de la prise de ce médicament.
Informations sur les médicaments de la FDA
- Description de la drogue
- Indications
- Effets secondaires
- Interactions médicamenteuses
- Avertissements
- Surdosage
- Contre-indications
- Pharmacologie clinique
- Guide des médicaments
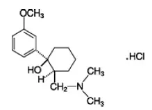
Description de Ultram
Drogue
Nom approprié: chlorhydrate de tramadol
Nom chimique: (±) cis-2 - [(diméthylamino) méthyl] -1- (3-méthoxyphényl) chlorhydrate de cyclohexanol
Formule moléculaire et masse moléculaire: c 16 H 25 NON 2 • HCL et 299.84
Formule structurelle:
|
Propriétés physicochimiques: le chlorhydrate de tramadol est une poudre sans odor cristalline blanche à blanche avec un point de fusion entre 180 et 184 ° C.
Utilisations pour ultram
Ultram est indiqué chez les adultes pour la gestion de la douleur suffisamment sévère pour nécessiter un analgésique opioïde et pour lequel des traitements alternatifs sont inadéquats.
Limitations d'utilisation
En raison des risques de maltraitance et d'utilisation abusive des opioïdes même à des doses recommandées [voir Avertissements et précautions ] Réserve Ultram pour une utilisation chez les patients pour lesquels des options de traitement alternatives [par ex. Analgésiques non opioïdes]:
- N'ont pas été tolérés ou ne devraient pas être tolérés.
- N'ont pas fourni une analgésie adéquate ou ne devraient pas fournir une analgésie adéquate.
Dosage pour ultram
Instructions importantes de posologie et d'administration
- N'utilisez pas d'Ultram par concomitance avec d'autres produits contenant du tramadol.
- N'administrez pas Ultram à une dose supérieure à 400 mg par jour.
- Utilisez la dose efficace la plus faible pour la durée la plus courte conforme aux objectifs de traitement des patients individuels [voir Avertissements et précautions ].
- Initiez le schéma posologique de dosage pour chaque patient en tenant individuellement en compte la gravité du patient de la réponse au patient de la douleur Expérience antérieure de traitement analgésique et les facteurs de risque d'abus de dépendance et d'abus [voir Avertissements et précautions ].
- Surveiller les patients étroitement pour la dépression respiratoire, en particulier dans les 24 premières heures de la thérapie d'initiation et après une augmentation de la posologie avec Ultram et ajuster la posologie en conséquence [voir Avertissements et précautions ].
Accès aux patients à la naloxone pour le traitement d'urgence de la surdose d'opioïdes
Discutez de la disponibilité de la naloxone pour le traitement d'urgence de la surdosage des opioïdes avec le patient et le soignant et évaluez le besoin potentiel d'accès à la naloxone à la fois lors de la création et du renouvellement du traitement avec Ultram [voir Avertissements et précautions Informations de conseil des patients ].
Informez les patients et les soignants sur les différentes façons d'obtenir de la naloxone, comme le permet les exigences ou les directives de distribution ou de prescription de la naloxone de l'État individuel (par exemple par ordonnance directement d'un pharmacien ou dans le cadre d'un programme communautaire).
Envisagez de prescrire de la naloxone sur la base des facteurs de risque du patient de surdose tels que l'utilisation concomitante de dépresseurs du SNCS antécédents de trouble de la consommation d'opioïdes ou de surdose opioïde antérieure. Cependant, la présence de facteurs de risque de surdose ne doit pas prévenir la bonne gestion de la douleur chez un patient donné [voir Avertissements et précautions ].
Envisagez de prescrire de la naloxone si le patient a des membres du ménage (y compris des enfants) ou d'autres contacts étroits à risque d'exposition accidentelle ou de surdose.
Dose initiale
Initivation de traitement avec Ultram
Pour que les patients ne nécessitent pas d'apparition rapide de l'effet analgésique, la tolérabilité de l'Ultram peut être améliorée en initiant un traitement avec le régime de titrage suivant: commencer Ultram à 25 mg / jour et titré par incréments de 25 mg en tant que doses distinctes tous les 3 jours pour atteindre 100 mg / jour (25 mg quatre fois par jour). Par la suite, la dose quotidienne totale peut être augmentée de 50 mg, tolérée tous les 3 jours pour atteindre 200 mg / jour (50 mg quatre fois par jour). Après le titrage, Ultram de 50 à 100 mg peut être administré au besoin pour soulager la douleur toutes les 4 à 6 heures pour ne pas dépasser 400 mg / jour.
Pour le sous-ensemble de patients pour lesquels l'apparition rapide de l'effet analgésique est nécessaire et pour qui les avantages l'emportent sur le risque d'arrêt en raison d'événements indésirables associés à des doses initiales plus élevées, un ultram de 50 mg à 100 mg peut être administrée selon les besoins pour le soulagement de la douleur toutes les quatre à six heures pour ne pas dépasser 400 mg par jour.
Conversion de Ultram au tramadol à libération prolongée
La biodisponibilité relative de l'ultram par rapport au tramadol à libération prolongée est inconnue, de sorte que la conversion en formulations à libération prolongée doit être accompagnée d'une observation étroite pour des signes de sédation excessive et de dépression respiratoire.
Modification du dosage chez les patients souffrant de troubles hépatiques
La dose recommandée pour les patients adultes présentant une déficience hépatique sévère est de 50 mg toutes les 12 heures.
Modification du dosage chez les patients souffrant de troubles rénaux
Chez tous les patients présentant une clairance de la créatine inférieure à 30 ml / min, il est recommandé que l'intervalle de dosage d'Ultram soit augmenté à 12 heures avec une dose quotidienne maximale de 200 mg. Étant donné que seulement 7% d'une dose administrée est éliminée par l'hémodialyse que les patients dialysis peuvent recevoir leur dose régulière le jour de la dialyse.
Modification posologique chez les patients gériatriques
Ne dépassez pas une dose totale de 300 mg / jour chez les patients de plus de 75 ans.
Titrage et maintien de la thérapie
Titre Ultram individuellement à une dose qui fournit une analgésie adéquate et minimise les effets indésirables. Réévaluez continuellement les patients recevant Ultram pour évaluer le maintien du contrôle de la douleur et l'incidence relative des effets indésirables ainsi que pour surveiller le développement de la toxicomanie ou de l'usage abusif [voir Avertissements et précautions ].Frequent communication is important among the prescriber other members of the healthcare team the patient et the caregiver/family during periods of changing analgesic requirements including initial titration.
Si le niveau de douleur augmente après la stabilisation du dosage, tentez d'identifier la source d'une douleur accrue avant d'augmenter le dosage Ultram. Si des réactions indésirables inacceptables liées aux opioïdes sont observées, envisagez de réduire le dosage. Ajustez la posologie pour obtenir un équilibre approprié entre la gestion de la douleur et les effets indésirables liés aux opioïdes.
Réduction ou arrêt de sécurité de l'Ultram
N'arrêtez pas brusquement à Ultram chez les patients qui peuvent être physiquement dépendants des opioïdes. L'arrêt rapide des analgésiques opioïdes chez les patients qui dépendent physiquement des opioïdes ont entraîné de graves symptômes de sevrage de la douleur et du suicide incontrôlées. L'arrêt rapide a également été associé à des tentatives de trouver d'autres sources d'opioïdangésiques qui peuvent être confondues avec la recherche de drogues pour abus. Les patients peuvent également tenter de traiter leur douleur ou leurs symptômes de sevrage avec des opioïdes illicites tels que l'héroïne et d'autres substances.
Lorsqu'une décision a été prise de diminuer la dose ou de supprimer le traitement chez un patient dépendant des opioïdes prenant Ultram, il existe une variété de facteurs qui devraient être pris en compte, notamment la dose d'Ultram que le patient a pris la durée du traitement Le type de douleur traité et les attributs physiques et psychologiques du patient. Il est important d'assurer les soins continus du patient et de convenir d'un calendrier de rétrécissement et d'un plan de suivi approprié afin que les objectifs et attentes des patients et des prestataires soient clairs et réalistes. Lorsque les analgésiques opioïdes sont interrompus en raison d'un trouble suspecté de la consommation de substances, évaluez et traitez le patient ou référez-vous à l'évaluation et au traitement du trouble de la consommation de substances. Le traitement doit inclure des approches fondées sur des preuves telles que le traitement assisté aux médicaments du trouble de la consommation d'opioïdes. Les patients complexes souffrant de douleurs comorbides et de troubles de la consommation de substances peuvent bénéficier d'une référence à un spécialiste.
Il n'y a pas de calendriers d'opioïde standard qui conviennent à tous les patients. Une bonne pratique clinique dicte un plan spécifique au patient pour réduire la dose de l'opioïde progressivement. Pour les patients sous ultram qui dépendent physiquement des opioïdes, lancent le cône par une incrément suffisamment faible (par exemple, pas plus de 10% à 25% de la dose quotidienne totale) pour éviter les symptômes de sevrage et procéder avec la dose à un intervalle de 2 à 4 semaines. Les patients qui ont pris des opioïdes pendant des périodes de temps brillant peuvent tolérer un conique plus rapide.
Il peut être nécessaire de fournir au patient une résistance à la dose inférieure pour accomplir un cône réussi. Réévaluez fréquemment le patient pour gérer la douleur et les symptômes de sevrage s'ils émergent. Les symptômes courants de sevrage comprennent l'agitation du crassement de la rhinorrhée de la rhinorrhée de la transpiration des frissons et de la mydriase. D'autres signes et symptômes peuvent également se développer, notamment l'irritabilité anxiété malafer pouons articulaires faiblesse crampes abdominales insomnie nausées anorexie vomissements de diarrhée ou augmentation de la fréquence respiratoire de la pression artérielle ou de la fréquence cardiaque. Si des symptômes de sevrage surviennent, il peut être nécessaire de suspendre le cône pendant une période de temps ou d'augmenter la dose de l'analgésique opioïde à la dose précédente, puis de procéder avec un cône plus lent. En outre, surveillez les patients pour tout changement dans l'émergence de l'humeur de pensées suicidaires ou l'utilisation d'autres substances.
Lors de la gestion des patients qui prennent des analgésiques opioïdes, en particulier ceux qui ont été traités pendant une longue durée et / ou avec des doses élevées pour la douleur chronique, assurez-vous qu'une approche multimodale de la gestion de la douleur, y compris le soutien en santé mentale (si nécessaire) est en place avant de lancer un cône analgésique opioïde. Une approche multimodale de la gestion de la douleur peut optimiser le traitement de la douleur chronique ainsi que pour aider à réduire la réduction de l'analgésique opioïde [voir Avertissements et précautions Abus de drogues et dépendance ].
Comment fourni
Formes et forces posologiques
Ultram (chlorhydrate de tramadol) 50 mg (équivalent à 43,9 mg de tramadol) sont en forme de capsule blanche enduit d'un score fonctionnel. Les comprimés sont imprimés ultram d'un côté et 06 59 du côté score.
Stockage et manipulation
Ultram ® (chlorhydrate de tramadol) 50 mg de comprimés sont en forme de capsule blanche recouverte d'un score fonctionnel. Les comprimés sont imprimés ultram d'un côté et 06 59 du côté score.
Bouteille de 100 comprimés: NDC 50458-659-60
Passer dans un récipient serré. Stocker à 20 ° C à 25 ° C (68 ° F à 77 ° F); Excursions autorisées à 15 ° C à 30 ° C (59 ° F à 86 ° F). [Voir Température ambiante contrôlée par l'USP ].
Stocker ultram en toute sécurité et éliminer correctement [voir Informations de conseil des patients ].
Fabriqué par: Janssen Ortho Llcgurabo Porto Rico 00778. Fabriqué pour: Janssen Pharmaceuticals Inc. Titusville New Jersey 08560. Révisé: sept. 2021
Effets secondaires for Ultram
Les réactions indésirables graves suivantes sont décrites ou décrites plus en détail dans d'autres sections:
- Abus et abus de la toxicomanie [voir Avertissements et précautions ]
- Dépression respiratoire potentiellement mortelle [voir Avertissements et précautions ]
- Métabolisme ultra-rapide du tramadol et d'autres facteurs de risque de dépression respiratoire potentiellement mortelle chez les enfants [voir Avertissements et précautions ]
- Syndrome de retrait des opioïdes néonatal [voir Avertissements et précautions ]
- Interactions avec les benzodiazépines ou autres dépresseurs du SNC [voir Avertissements et précautions ]
- Syndrome de Seroton [voir Avertissements et précautions ]
- Convulsions [voir Avertissements et précautions ]
- Se suicider [voir Avertissements et précautions ]
- Insuffisance surrénale [voir Avertissements et précautions ]
- Hypotension sévère [voir Avertissements et précautions ]
- Réactions indésirables gastro-intestinales [voir Avertissements et précautions ]
- Réactions d'hypersensibilité [voir Avertissements et précautions ]
- Retrait [voir Avertissements et précautions ]
Expérience des essais cliniques
Étant donné que les essais cliniques sont menés dans des conditions de réaction indésirables très variables observées dans les essais cliniques d'un médicament ne peuvent pas être directement comparées aux taux dans les essais cliniques d'un autre médicament et ne peuvent pas refléter les taux observés dans la pratique.
Ultram a été administré à 550 patients au cours des périodes d'extension en double aveugle ou ouverte dans les études américaines sur la douleur chronique non maligne. De ces patients 375 avaient 65 ans ou plus. Le tableau 1 rapporte le taux d'incidence cumulatif des effets indésirables de 7 30 et 90 jours pour les réactions les plus fréquentes (5% ou plus par 7 jours). Les événements les plus fréquemment signalés se trouvaient dans le système nerveux central et le système gastro-intestinal. Bien que les réactions énumérées dans le tableau soient considérées comme étant probablement liées à l'administration Ultram, les taux signalés comprennent également certains événements qui peuvent être dus à une maladie sous-jacente ou à des médicaments concomitants. Les taux d'incidence globaux des expériences indésirables dans ces essais étaient similaires pour Ultram et les groupes de contrôle actif Tylenol avec codéine
Tableau 1: Incidence cumulée des effets indésirables pour Ultram dans les essais chroniques de douleur non maligne (n = 427)
| Jusqu'à 7 jours | Jusqu'à 30 jours | Jusqu'à 90 jours | |
| Étourdissements / vertiges | 26% | 31% | 33% |
| Nausée | 24% | 34% | 40% |
| Constipation | 24% | 38% | 46% |
| Mal de tête | 18% | 26% | 32% |
| Somnolence | 16% | 23% | 25% |
| Vomissement | 9% | 13% | 17% |
| Prurit | 8% | 10% | 11% |
| Stimulation du SNC * | 7% | 11% | 14% |
| Asthénie | 6% | 11% | 12% |
| Transpiration | 6% | 7% | 9% |
| Dyspepsie | 5% | 9% | 13% |
| Bouche sèche | 5% | 9% | 10% |
| Diarrhée | 5% | 6% | 10% |
| * La stimulation du SNC est un composite de la nervosité anxiété agitation tremblement de tremblement de tremblement |
Incidence 1% à moins de 5% éventuellement liés à la causalité
Ce qui suit répertorie les effets indésirables qui se sont produits avec une incidence de 1% à moins de 5% dans les essais cliniques et pour laquelle la possibilité d'une relation causale avec Ultram existe.
Corps dans son ensemble: Malaise.
Cardiovasculaire: Vasodilatation.
Système nerveux central: Perturbation de la coordination de la confusion anxiété Euphorie Miose Trouble du sommeil de la nervosité.
Gastro-intestinal: Douleur abdominale flatulence anorexie.
Musculo-squelette: Hypertonia.
Peau: Éruption cutanée.
Sens spéciaux: Perturbation visuelle.
Urogénital: Symptômes ménopausiques Rétention urinaire de la fréquence urinaire.
Incidence inférieure à 1% peut-être liée causale
Ce qui suit répertorie les effets indésirables qui se sont produits avec une incidence inférieure à 1% dans les essais cliniques de tramadol et / orréportant dans l'expérience post-commercialisation avec les produits contenant du tramadol.
Corps dans son ensemble: Blessure accidentelle réaction allergique anaphylaxie mort tendance suicidaire Perte de poids Sérotoninsyndrome (changement mental Changement d'hyperréflexie fièvre frissonnant les convulsions de diaphorèse d'agitation et le coma).
Cardiovasculaire: Tachycardie de la syncope d'hypotension orthostatique.
Système nerveux central : Gaut anormale Amnésie Dysfonctionnement cognitif Dépression de dépression dans la concentration Hallucinations Paresthésie Séizure Tremor.
Respiratoire: Dyspnée
Peau: Syndrome de Stevens-Johnson / Nécrolyse épidermique toxique vésicules urticaires.
Sens spéciaux: Dysgeusia.
Urogénital: Trouble menstruel de la dysurie.
Autres expériences défavorables Relation causale inconnue
Une variété d'autres événements indésirables ont été signalés rarement chez les patients prenant Ultram pendant les essais cliniques et / ou signalés dans l'expérience de la post-commercialisation. Une relation causale entre Ultram et ces événements n'a pas été déterminée. Cependant, les événements les plus importants sont répertoriés ci-dessous comme alerte des informations sur le médecin.
Cardiovasculaire: Hypotension anormale HYPOTENTISENCE HYPORENCE ISCHÉMIE MYOCARDE PALPITATIONS EMBOLISH PULLONAIRE PULLONAIRE EMPLONAIRE.
Système nerveux central: Migraine.
Gastro-intestinal: Saignement gastro-intestinal Insuffisance hépatique de l'hépatite stomatite.
Anomalies de laboratoire: La créatinine augmente les enzymes hépatiques élevées l'hémoglobine diminue la protéinurie.
Sensoriel: Cataracte la surdité des acouphènes.
Expérience de commercialisation de la poste
Les effets indésirables suivants ont été identifiés lors de l'utilisation post-approbation d'Ultram. Étant donné que ces réactions sont présentées volontairement d'une population de taille incertaine, il n'est pas toujours possible d'estimer de manière fiable leur fréquence ou d'établir une relation causale à l'exposition aux médicaments.
Syndrome de Seroton: Cas de syndrome de sérotonine Une condition potentiellement mortelle a été signalée lors de l'utilisation concomitante d'opioïdes avec des médicaments sérotoninergiques.
Insuffisance surrénalienne: Des cas d'insuffisance surrénale ont été signalés avec une consommation d'opioïdes plus souvent après un mois d'utilisation.
Carence en androgène: Des cas de carence en androgène se sont produits avec une utilisation chronique d'opioïdes [voir Pharmacologie clinique ].
QT prolongation/torsade de pointes: Des cas de prolongation QT et / ou de torsade de pointes ont été signalés avec tramadolus. Beaucoup de ces cas ont été signalés chez des patients prenant un autre médicament marqué pour l'allongement du QT chez les patients présentant un facteur de risque d'allongement du QT (par exemple l'hypokaliémie) ou dans le cadre de surdosage.
Troubles oculaires - mydriasisisis
Métabolisme et troubles nutritionnels - Hyponatrémie: des cas d'hyponatrémie sévère et / ou du SIADH ont été signalés par des patients hospitalisés prenant le tramadol le plus souvent chez les femmes de plus de 65 ans et au cours de la première semaine de thérapie [voir Avertissements et précautions ].
Hypoglycémie: Des cas d'hypoglycémie ont été signalés chez des patients prenant du tramadol. La plupart des rapports se trouvaient chez les patients présentant des facteurs de risque prédisposants, notamment le diabète ou l'insuffisance rénale ou chez les patients âgés [voir Avertissements et précautions ].
Troubles du système nerveux - trouble du trouble du trouble
Troubles psychiatriques - délire
Interactions médicamenteuses for Ultram
Tableau 2: Interactions médicamenteuses cliniquement significatives avec Ultram
| Impact clinique CYP2D6: | |
| Impact clinique | L'utilisation concomitante des inhibiteurs d'Ultram et CYP2D6 peut entraîner une augmentation de la concentration plasmatique de tramadol et une diminution de la concentration plasmatique de ML, en particulier lorsqu'un inhibiteur est ajouté après une dose stable d'Ultram. Étant donné que la ML est un plus puissant (agoniste I-opioïde, une diminution de l'exposition à la ML pourrait entraîner une diminution des effets thérapeutiques et peut entraîner des signes et des symptômes de sevrage des opioïdes chez les patients qui avaient développé une dépendance physique au tramadol. de l'inhibiteur diminuant, la concentration plasmatique du tramadol diminuera et la concentration plasmatique de ML augmentera. Pharmacologie clinique ]. |
| Intervention: | Si l'utilisation concomitante d'un inhibiteur du CYP2D6 est nécessaire, suivez étroitement les patients pour les effets indésirables, y compris les crises de sevrage des opioïdes et le syndrome de la sérotonine. Si un inhibiteur du CYP2D6 est interrompu, envisagez de réduire le dosage Ultram jusqu'à ce que des effets de médicament stables soient obtenus. Suivez les patients étroitement pour les événements indésirables, notamment la dépression respiratoire et la sédation. |
| Exemples | Quinidine fluoxétine paroxétine et bupropion |
| Inhibiteurs du CYP3A4 | |
| Impact clinique: | L'utilisation concomitante des inhibiteurs d'Ultram et du CYP3A4 peut augmenter la concentration plasmatique de tramadol et peut entraîner une plus grande quantité de métabolisme via le CYP2D6 et des niveaux plus élevés de ML. Suivez les patients étroitement pour un risque accru d'événements indésirables graves, notamment les crises et le syndrome de la sérotonine et les effets indésirables liés à la toxicité des opioïdes, notamment une dépression respiratoire potentiellement mortelle, en particulier lorsqu'un inhibiteur est ajouté après une dose stable d'Ultram. Après avoir arrêté un inhibiteur du CYP3A4, les effets de l'inhibiteur déclin Pharmacologie clinique ] entraînant une diminution de l'efficacité des opioïdes ou un syndrome de sevrage chez les patients qui avaient développé une dépendance physique au tramadol. |
| Intervention: | Si une utilisation concomitante est nécessaire, envisagez une réduction du dosage de l'ULTRAM jusqu'à ce que les effets de médicament stables soient obtenus. Suivez les patients étroitement pour les crises et le syndrome de la sérotonine et les signes de dépression respiratoire et de sédation à intervalles fréquents. Si un inhibiteur du CYP3A4 est interrompu, envisagez d'augmenter la dose d'Ultram jusqu'à ce que les effets de médicament stables soient obtenus et suivre les patients pour des signes et symptômes de sevrage opioïde. |
| Exemples | Antibiotiques macrolides (par exemple érythromycine) Agents azolé-antifongiques (par exemple le kétoconazole) inhibiteurs de protéase (par exemple le ritonavir) |
| Inducteurs CYP3A4 | |
| Impact clinique: | L'utilisation concomitante d'inducteurs Ultram et CYP3A4 peut diminuer la concentration plasmatique de tramadol [voir Pharmacologie clinique ] entraînant une diminution de l'efficacité ou de l'apparition d'un syndrome de sevrage chez les patients qui ont développé une dépendance physique au tramadol. Après avoir arrêté un inducteur du CYP3A4 à mesure que les effets de l'inducteur diminuent, la concentration plasmatique au tramadol augmentera [voir Pharmacologie clinique ] qui pourrait augmenter ou prolonger à la fois les effets thérapeutiques et les effets indésirables et peut provoquer des crises du syndrome de la sérotonine et / ou une dépression respiratoire potentiellement mortelle. Si une utilisation concomitante est nécessaire, envisagez d'augmenter le dosage Ultram jusqu'à ce que les effets de médicament stables soient atteints. Suivez les patients pour des signes de sevrage opioïde. |
| Intervention: | Si un inducteur du CYP3A4 est interrompu, considérez la réduction de la posologie d'Ultram et le surveillance des crises et du syndrome de la sérotonine et des signes de sédation et de dépression respiratoire. Les patients prenant de la carbamazépine A CYP3A4 peuvent avoir un effet analgésique significativement réduit du tramadol. Parce que la carbamazépine augmente le métabolisme du tramadol et en raison du risque de crise associé au tramadol, l'administration concomitante d'Ultram et de carbamazépine n'est pas recommandée. |
| Exemples: | Rifampin carbamazépine phénytoïne |
| Benzodiazépines et Autres dépresseurs du système nerveux central (SNC) | |
| Impact clinique: | En raison de l'effet pharmacologique additif, l'utilisation concomitante de benzodiazépines ou d'autres dépresseurs du SNC, y compris l'alcool, augmente le risque de dépression respiratoire de sédation profonde coma et de décès. |
| Intervention: | Réserve la prescription concomitante de ces médicaments pour une utilisation chez les patients pour lesquels des options de traitement alternatives sont inadéquates. Limitez les doses et les durées au minimum requis. Suivez de près les patients pour des signes de dépression respiratoire et de sédation [voir Avertissements et précautions ]. Si une utilisation concomitante est justifiée, envisagez de prescrire de la naloxone pour le traitement d'urgence de la surdose d'opioïdes [voir Posologie et administration Avertissements et précautions ]. |
| Exemples: | Benzodiazépines et other sedatives/hypnotics anxiolytics tranquilizers muscle relaxants general anesthetics antipsychotics other opioids et alcohol. |
| Drogues sérotoninergiques | |
| Impact clinique: | L'utilisation concomitante d'opioïdes avec d'autres médicaments qui affectent le système de neurotransmetteur sérotoninergique a entraîné un syndrome de sérotonine. |
| Intervention: | Si une utilisation concomitante est justifiée, observez soigneusement le patient, en particulier pendant l'initiation du traitement et l'ajustement de la dose. Arrêtez immédiatement Ultram si le syndrome de la sérotonine est suspecté. |
| Exemples: | Les inhibiteurs sélectifs de la sérotonine inhibiteurs (ISRS) inhibiteurs de la sérotonine et les inhibiteurs tricycliques des antidépresseurs (TCA) ont-ils des antagonistes du récepteur tricyclique qui affectent le système de neurotrans émetteur de sérotonine (par exemple des relaxants musclés de la Mirtazapine Traramadol). Cyclobenzaprine Metaxalone) Inhibiteurs de monoamine oxydase (MAO) (ceux destinés à traiter les troubles psychiatriques et d'autres tels que le linézolide et le bleu de méthylène intraveineux). |
| Monoamine oxydase Inhibiteurs (Moïse) | |
| Impact clinique: | Les interactions MAOI avec les opioïdes peuvent se manifester comme syndrome de la sérotonine [voir Avertissements et précautions ] ou la toxicité des opioïdes (par exemple la dépression respiratoire coma) [voir Avertissements et précautions ]. |
| Intervention: | N'utilisez pas Ultram chez les patients prenant des MAOI ou dans les 14 jours suivant l'arrêt de ce traitement. |
| Exemples: | phenelzine tranylcypromine linezolid |
| Agoniste / antag mixte analgésiques opioïdes onliques et agonistes partiels | |
| Impact clinique: | Peut réduire l'effet analgésique des symptômes de sevrage Ultram et / ou précipiter. |
| Intervention: | Évitez l'utilisation concomitante. |
| Exemples: | butorphanol nalbuphine pentazocine buprénorphine |
| Relaxants musculaires | |
| Impact clinique: | Le tramadol peut améliorer l'action de blocage neuromusculaire des relaxants musculaires squelettiques et produire un degré accru de dépression respiratoire. |
| Intervention: | Surveillez les patients pour des signes de dépression respiratoire qui peuvent être plus importants que prévu et diminuer la dose d'Ultram et / ou le relaxant musculaire si nécessaire. En raison du risque de dépression respiratoire avec une utilisation concomitante des relaxants musculaires squelettiques et des opioïdes envisagez de prescrire de la naloxone pour le traitement d'urgence de la surdose d'opioïdes [voir Posologie et administration Avertissements et précautions ]. |
| Diurétiques | |
| Impact clinique: | Les opioïdes peuvent réduire l'efficacité des diurétiques en induisant la libération d'hormone antidiurétique. |
| Intervention: | Surveiller les patients pour des signes de diurèse diminuée et / ou d'effets sur la pression artérielle et d'augmenter la dose du diurétique au besoin. |
| Médicament anticholinergique | |
| Impact clinique: | L'utilisation concomitante de médicaments anticholinergiques peut augmenter le risque de rétention urinaire et / ou de constipation sévère qui peut entraîner un iléus paralytique. |
| Intervention: | Surveiller les patients pour des signes de rétention urinaire ou une motilité gastrique réduite lorsque l'ultram est utilisé en même temps que les médicaments anticholinergiques. |
| Digoxine | |
| Impact clinique: | La surveillance post-commercialisation du tramadol a révélé de rares rapports de toxicité de la digoxine. |
| Intervention: | Suivez les patients pour des signes de toxicité de la digoxine et ajustez le dosage de la digoxine au besoin. |
| Warfarine | |
| Impact clinique: | La surveillance post-commercialisation du tramadol a révélé de rares rapports d'altération de l'effet de warfarine, y compris l'élévation des temps de prothrombine. |
| Intervention: | Surveillez le temps de prothrombine des patients sous warfarine pour les signes d'une interaction et ajustez le dosage de la warfarine au besoin. |
Abus de drogues et dépendance
Substance contrôlée
Ultram (chlorhydrate de tramadol) contiennent du tramadol une substance contrôlée de l'annexe IV.
Abus
Ultram contient du tramadol une substance avec un potentiel élevé d'abus similaire à d'autres opioïdes. Ultram peut être abusé et est soumis à une toxicomanie abusive et à un détournement criminel [voir Avertissements et précautions ].
Tous les patients traités avec des opioïdes nécessitent une surveillance minutieuse des signes d'abus et de dépendance car l'utilisation de produits analgésiques opioïdes comporte le risque de dépendance même sous une utilisation médicale appropriée.
L'abus de médicaments sur ordonnance est l'utilisation intentionnelle non thérapeutique d'un médicament sur ordonnance même une fois pour ses effets psychologiques ou physiologiques enrichissants.
La toxicomanie est un groupe de phénomènes cognitifs et physiologiques comportementaux qui se développent après que des substances répétées ne comprennent: un fort désir de prendre les difficultés de médicament pour contrôler son utilisation persistant dans son utilisation malgré des conséquences nocives nocives nocives une priorité plus élevée à la consommation de médicaments que pour d'autres activités et obligations a augmenté la tolérance et parfois une priorité physique.
Le comportement de recherche de médicaments est très fréquent chez les personnes atteintes de troubles de la consommation de substances. Les tactiques de recherche de médicaments comprennent des appels ou des visites d'urgence vers la fin des heures de bureau refus de subir des tests d'examen appropriés ou une perte répétée de référence de falsification d'ordonnances de prescriptions et de réticence à fournir des dossiers médicaux ou des coordonnées antérieures pour d'autres médecins traitants. Les achats de doctorat (visiter plusieurs prescripteurs pour obtenir des prescriptions supplémentaires) sont courants parmi les agresseurs et les personnes souffrant de dépendance non traitée. La préoccupation de l'obtention d'un soulagement adéquate de la douleur peut être un comportement approprié chez un patient présentant un mauvais contrôle de la douleur.
Abus et addiction are separate et distinct from physical dependence et tolerance. Healthcare providers should be aware that addiction may not be accompanied by concurrent tolerance et symptoms of physical dependence in all addicts. Inaddition abuse of opioids can occur in the absence of true addiction.
Les ultram comme les autres opioïdes peuvent être détournés pour une utilisation non médicale dans les canaux de distribution illicites. La tenue de registre minutieuse des informations de prescription, y compris la fréquence de quantité et les demandes de renouvellement, comme l'exige la loi de l'État et fédéral est fortement conseillé.
Évaluation appropriée du patient Pratiques de prescription appropriées La réévaluation périodique de la thérapie et de la dispensation et du stockage appropriés sont des mesures appropriées qui contribuent à limiter l'abus des médicaments opioïdes.
Risques spécifiques à l'abus d'Ultram
Ultram est destiné à une utilisation orale uniquement. L'abus d'Ultram présente un risque de surdose et de décès. Le risque est augmenté avec les abus simultanés d'Ultram avec l'alcool et d'autres dépresseurs du système nerveux central.
La toxicomanie parentérale est généralement associée à la transmission de maladies infectieuses telles que l'hépatite et le VIH.
Dépendance
La tolérance et la dépendance physique peuvent se développer pendant la thérapie chronique aux opioïdes. La tolérance est la nécessité d'augmenter les doses de médicaments pour maintenir un effet défini tel que l'analgésie (en l'absence de progression de la maladie ou d'autres facteurs externes). La tolérance peut se produire à la fois aux effets souhaités et indésirables des médicaments et peut se développer à différents taux pour différents effets.
La dépendance physique est un état physiologique dans lequel le corps s'adapte au médicament après une période d'exposition régulière, ce qui a entraîné des symptômes de sevrage après l'arrêt brutal ou une réduction de dose significative d'un médicament. Le retrait peut également être précisé par l'administration de médicaments avec une activité antagoniste opioïde (par exemple, des analgésiques mixtes agonistes / antagonistes (pentazocine butorphanol nalbuphine) ou des agonistes partiels (buprenorphine). La dépendance à la physique peut se produire dans un degré cliniquement significatif qu'après plusieurs jours à des semaines d'utilisation continue des opioïdes.
N'arrêtez pas brusquement à Ultram chez un patient dépendant physiquement des opioïdes. Le rétrécissement rapide de l'ultram chez un patient dépendant physiquement des opioïdes peut entraîner de graves symptômes de sevrage de la douleur et du suicide incontrôlé. L'arrêt rapide a également été associé à des tentatives de trouver d'autres sources d'analgésiques opioïdes qui peuvent être confondus avec la recherche de drogues pour abus.
Lors de l'arrêt d'Ultram, l'efficacité progressivement effilée le dosage à l'aide d'un plan spécifique au patient qui considère les suivants: La dose d'Ultram, le patient a pris la durée du traitement et les attributs physiques et psychologiques du patient. Pour améliorer la probabilité d'un conique réussi et minimiser les symptômes de sevrage, il est important que le calendrier de rétrécissement des opioïdes soit convenu par le patient. Chez les patients prenant des opioïdes pendant une longue durée à forte dose garantissent que l'approche amultimodale de gestion de la douleur y compris le soutien en santé mentale (si nécessaire) est en place avant de lancer un conique analgésique anopioïde [voir Posologie et administration Avertissements et précautions ].
Les nourrissons nés de mères dépendant physiquement des opioïdes seront également physiquement dépendants et pourront présenter des difficultés respiratoires et des signes de sevrage [voir Utiliser dans des populations spécifiques ].
Avertissements pour Ultram
Inclus dans le cadre du PRÉCAUTIONS section.
Précautions pour Ultram
Abus et abus de la toxicomanie
Ultram contient du tramadol une substance contrôlée de l'annexe IV. Comme un opioïde Ultram expose les utilisateurs aux risques de maltraitance et d'abus de toxicomanie [voir Abus de drogues et dépendance ].
Bien que le risque de dépendance chez tout individu soit inconnu, il peut se produire chez les patients prescrits à Ultram. La toxicomanie peut survenir à des doses recommandées et si la drogue est mal utilisée ou maltraitée.
Évaluez le risque de la dépendance ou l'abus de la dépendance aux opioïdes avant de prescrire Ultram et de surveiller tous les patients recevant Ultram pour le développement de ces comportements et conditions. Les risques sont augmentés chez les patients ayant des antécédents personnels ou familiaux toxicomanie (y compris l'abus de drogue ou d'alcool ou la dépendance) ou une maladie mentale (par exemple dépression majeure ). Le potentiel de ces risques ne devrait cependant pas empêcher la gestion appropriée de la douleur chez un patient donné. Les patients à risque accru peuvent se voir prescrire des opioïdes tels que Ultram, mais l'utilisation chez ces patients nécessite des conseils intensifs sur les risques et une utilisation appropriée d'Ultram ainsi qu'une surveillance intensive des signes d'abus de dépendance et d'abus abusif. Envisagez de prescrire de la naloxone pour le traitement d'urgence de la surdose d'opioïdes [voir Posologie et administration Avertissements et précautions ].
Les opioïdes sont recherchés par des toxicomanes et des personnes souffrant de troubles de la toxicomanie et sont soumis à un détournement criminel. Considérez les sérisques lors de la prescription ou de la distribution Ultram. Les stratégies pour réduire ces risques comprennent la prescription du médicament dans la plus petite quantité appropriée et conseiller le patient sur l'élimination appropriée du médicament inutilisé [voir Informations de conseil des patients ]. Contact local state professional licensing board or state controlled substances authority for information on how toprevent et detect abuse or diversion of this product.
Stratégie d'évaluation et d'atténuation des risques analgésiques opioïdes (REMS)
Pour s'assurer que les avantages des analgésiques opioïdes l'emportent sur les risques de l'abus de la toxicomanie et abutent la Food and Drug Administration (FDA) a nécessité une stratégie d'évaluation et d'atténuation des risques (REM) pour ces produits. En vertu des exigences des sociétés pharmaceutiques REMS dont les produits analgésiques opioïdes approuvés doivent mettre à disposition des programmes d'éducation conformes aux REM pour les prestataires de soins de santé. Les prestataires de soins de santé sont fortement encouragés à faire tous les éléments suivants:
- Terminez un programme d'éducation conforme aux REM offert par un fournisseur accrédité de formation continue (CE) ou un autre programme d'éducation qui comprend tous les éléments du plan d'éducation de la FDA pour les prestataires de soins de santé impliqués dans la gestion ou le soutien des patients souffrant de douleur.
- Discutez de l'utilisation sécuritaire des risques graves et du stockage et de l'élimination appropriés des analgésiques opioïdes avec les patients et / ou leurs soignants chaque fois que ces médicaments sont prescrits. Le guide de conseil des patients (PCG) peut être obtenu sur ce lien: www.fda.gov/opioidangesicremspcg.
- Soulignez les patients et leurs soignants l'importance de lire le guide de médicaments qu'ils recevront de leur pharmacien chaque fois qu'un analgésique opioïde leur est distribué.
- Envisagez d'utiliser d'autres outils pour améliorer la sécurité des ménages et de la communauté, tels que les accords de patient-présidente qui renforcent les responsabilités des patients-préscripteur.
Pour obtenir des informations supplémentaires sur les REM analgésiques opioïdes et pour une liste de REMS accrédités CME / CE, appelez le 1-800-503-0784 ou connectez-vous à www.opioidangesicrems.com. FDA Blueprint peut être trouvé atww.fda.gov/opioidanalgesic RemsBlueprint.
Dépression respiratoire potentiellement mortelle
Une grave dépression respiratoire mortelle ou mortelle a été signalée avec l'utilisation d'opioïdes même lorsqu'elle est utilisée comme recommandée. La dépression respiratoire si elle n'est pas immédiatement reconnue et traitée peut entraîner une arrestation respiratoire et une mort. La gestion de la dépression respiratoire peut inclure des mesures de soutien étroites et l'utilisation des antagonistes opioïdes en fonction de l'état clinique du patient [voir Sur-ladosage ]. Carbon dioxide (CO2) retention from opioid-induced respiratory depression can exacerbate the sedating effects of opioids.
Bien que la grave dépression respiratoire mortelle ou mortelle puisse se produire à tout moment pendant l'utilisation d'Ultram, le risque est le plus élevé lors de l'initiation de la thérapie ou après une augmentation de dosage. Surveiller les patients étroitement pour la dépression respiratoire, en particulier dans les 24 premières heures de traitement par le traitement avec et après des augmentations posologiques d'Ultram.
Pour réduire le risque de dépression respiratoire Posologie et administration ]. Overestimating the ULTRAM dosage when converting patients from another opioid product can resultin a fatal overdose with the first dose.
L'ingestion accidentelle d'une dose d'Ultram, en particulier par les enfants, peut entraîner une dépression respiratoire et une mort à une surdose de tramadol.
Éduquer les patients et les soignants sur la façon de reconnaître la dépression respiratoire et de souligner l'importance d'appeler le 911 ou d'obtenir une aide médicale d'urgence immédiatement en cas de surdose connue ou suspectée [voir Informations sur les patients ].
Les opioïdes peuvent provoquer des troubles respiratoires liés au sommeil, notamment apnée du sommeil (CSA) et l'hypoxémie liée au sommeil. L'utilisation d'opioïdes augmente le risque de CSA de manière dose-dépendante. Chez les patients qui présentent un CSA, envisagez de diminuer la posologie des opioïdes en utilisant les meilleures pratiques pour le conique d'opioïdes [voir Posologie et administration ].
Accès aux patients à la naloxone pour le traitement d'urgence de la surdose d'opioïdes
Discutez de la disponibilité de la naloxone pour le traitement d'urgence de la surdose d'opioïdes avec le patient et le soignant et évaluez le besoin potentiel d'accès à la naloxone à la fois lors de l'organisation et du renouvellement du traitement avec Ultram. Informer les patients et les soignants sur les différentes façons d'obtenir de la naloxone, comme le permet des exigences ou des directives de distribution et de prescription de la naloxone de l'État individuel (par exemple par ordonnance directement d'un pharmacien ou dans le cadre d'un programme communautaire). Éduquer les patients et les soignants sur la façon de reconnaître la dépression respiratoire et de souligner [voir l'importance d'appeler 911 ou d'obtenir une aide médicale d'urgence, même si Naloxone est administré [voir l'importance d'appeler 911 ou d'obtenir une aide médicale d'urgence, même si Naloxone est administré [voir l'importance d'appeler 911 ou d'obtenir une aide médicale d'urgence, même si Naloxone est administré [voir l'importance d'appeler 911 ou d'obtenir une aide médicale d'urgence, même si Naloxone est administré [Voir Informations de conseil des patients ].
Envisagez de prescrire de la naloxone en fonction des facteurs de risque du patient de surdose tels que l'utilisation concomitante des dépresseurs du SNC un antécédent de trouble de la consommation d'opioïdes ou de surdosage opioïde antérieur. Cependant, la présence de facteurs de risque de surdose ne devrait pas empêcher la gestion appropriée de la douleur chez un patient donné. Envisagez également de prescrire de la naloxone si le patient a des membres du ménage (y compris des enfants) ou d'autres contacts étroits à risque d'exposition accidentelle ou de surdose. Si la naloxone est prescrite, éduquez les patients et les soignants sur la façon de traiter avec la naloxone. [voir Avertissements et précautions Informations de conseil des patients ].
Métabolisme ultra-rapide du tramadol et autres facteurs de risque de dépression respiratoire potentiellement mortelle chez les enfants
La dépression respiratoire potentiellement mortelle s'est produite chez les enfants qui ont reçu du tramadol. Le tramadol et la codéinaire sont soumis à la variabilité du métabolisme basé sur le génotype CYP2D6 (décrit ci-dessous), ce qui peut entraîner une exposition accrue à un métabolite actif. Sur la base des rapports de commercialisation avec le tramadol ou avec des enfants de la codéine de moins de 12 ans, il peut être plus sensible aux effets du dépresseur respiratoire du tramadol. En outre, les enfants souffrant d'apnée obstructive du sommeil qui sont traités avec des opioïdes pour une douleur post-tendance et / ou une douleur adénoïdectomie peuvent être particulièrement sensibles à leur effet dépresseur respiratoire. En raison du risque de dépression respiratoire mortelle et de mort:
- Ultram est contre-indiqué pour tous les enfants de moins de 12 ans [voir Contre-indications ].
- Ultram est contre-indiqué pour la gestion postopératoire chez les patients pédiatriques de moins de 18 ans après l'amygdalectomie et / ou l'adénoïdectomie [voir Contre-indications ].
- Évitez l'utilisation d'Ultram chez les adolescents de 12 à 18 ans qui ont d'autres facteurs de risque qui peuvent augmenter leur sensibilité aux effets dépressifs respiratoires du tramadol à moins que les avantages ne l'emportent sur les risques. Les facteurs de risque comprennent les conditions associées à l'hypoventilation telles que l'apnée obstructive du sommeil obstructif obésité Maladie pulmonaire sévère maladie neuromusculaire et utilisation concomitante d'autres médicaments qui provoquent une dépression respiratoire.
- Comme pour les adultes lors de la prescription d'opioïdes pour les adolescents, les prestataires de soins de santé devraient choisir la dose efficace la plus faible pour la période la plus courte et informer les patients et les soignants de ces risques et des signes de surdose d'opioïdes [voir Utiliser dans des populations spécifiques Sur-ladosage ].
Mères qui allaitent
Le tramadol est soumis au même métabolisme polymorphe que la codéine avec des métaboliseurs ultra-rapides de substrats CYP2D6 étant potentiellement exposés à des niveaux potentiellement mortels du métabolite actif O-déméthyltramadol (M1). Au moins un décès a été signalé chez un nourrisson infirmier qui a été exposé à des niveaux élevés de morphine dans le lait maternel parce que la mère était un métaboliseur ultra-rapide de la codéine. Un bébé qui allaitait d'une mère métabolisante ultra-rapide qui prend Ultram pourrait potentiellement être exposée à des niveaux élevés de M1 et ressentir une dépression respiratoire potentiellement mortelle. Pour cette raison, l'allaitement n'est pas recommandé pendant le traitement avec Ultram [ Utiliser dans des populations spécifiques ].
CYP2D6 Variabilité génétique: métaboliseur ultra-rapide
Certaines personnes peuvent être des métaboliseurs ultra-rapides en raison d'un génotype CYP2D6 spécifique (par exemple, duplications du gène dénoté * 1 / * 1ã --n ou * 1 / * 2ã --n). La prévalence de ce phénotype CYP2D6 varie considérablement et a été estimée à 1 à 10% pour les blancs (nord-américains européens) 3 à 4% pour les Noirs (Afro-Américains) 1 à 2% pour les Asiatiques de l'Est (japonais chinois) et peut être plus élevé que 10% dans certains groupes raciaux / ethniques (c'est-à-dire. Ces individus convertissent le tramadol en son métabolite actif O-DeSméthyltramadol (M1) plus rapidement et complètement que les autres. Cette conversion rapide se traduit par des taux sériques M1 plus élevés que prévu. Même les régimes posologiques étiquetés, les personnes qui sont des métaboliseurs ultra-rapides peuvent avoir une dépression respiratoire mortelle ou mortelle ou des signes de surdose (comme une confusion de somnolence extrême ou une respiration peu profonde) [voir Sur-ladosage ]. Therefore individuals who are ultra-rapid metabolizers should not use ULTRAM.
Syndrome de sevrage opioïde néonatal
L'utilisation prolongée d'Ultram pendant la grossesse peut entraîner un sevrage chez le nouveau-né. Syndrome de sevrage opioïde néonatal Contrairement au syndrome de sevrage des opioïdes chez les adultes peut être mortel s'il n'est pas reconnu et traité et nécessite la gestion en fonction des protocoles développés par des experts néonatologiques. Observez les nouveau-nés pour les signes du syndrome de retrait des opioïdes néonatals et gérez en conséquence. Conseiller les femmes enceintes utilisant des opioïdes pour une période prolongée de risque de syndrome de retrait des opioïdes néonatal et s'assurer que un traitement approprié sera disponible [voir Utiliser dans des populations spécifiques et Informations de conseil des patients ].
Risques d'interactions avec les médicaments affectant les isoenzymes du cytochrome P450
Les effets de l'utilisation ou de l'arrêt concomitants des inducteurs des inducteurs 3A4 du cytochrome P450 3A4 ou des inhibiteurs 2D6 du tramadol et du M1 à partir d'Ultram sont complexes. Utilisation des inducteurs de cytochrome P450 3A4 inducteurs 3A4 ou 2D6Inhibiteurs avec Ultram nécessite une considération attentive des effets sur le tramadol du médicament parent qui est un faible sérotonine et noradrénaline réapprovisionnement inhibiteur et agoniste μ-opioïde et métabolite actif M1 qui est plus puissant que le tramadol dans la liaison des récepteurs μ-opioïdes [voir Interactions médicamenteuses ].
Risques d'utilisation ou d'arrêt concomitante des inhibiteurs du cytochrome P450 2D6
L'utilisation concomitante d'Ultram avec tous les inhibiteurs du cytochrome P450 2D6 (par exemple l'amiodarone quinidine) peut entraîner une augmentation des taux plasmatiques de tramadol et une diminution des niveaux du métabolite actif M1. Une diminution de l'exposition aux patients hospitalisés de M1 qui a développé une dépendance physique au tramadol peut entraîner des signes et symptômes de sevrage des opioïdes et d'efficacité réduite. L'effet d'une augmentation des niveaux de tramadol peut être un risque accru d'événements indésirables graves, notamment des convulsions et du syndrome de la sérotonine.
L'arrêt d'un inhibiteur du cytochrome P450 2D6 utilisé par concomitation peut entraîner une diminution des taux plasmatiques du tramadol et une augmentation des niveaux de M1 métabolites actifs qui pourraient augmenter ou prolonger les effets indésirables liés à la toxicité des opioïdes et peuvent provoquer une dépression respiratoire potentiellement fatale.
Suivez les patients recevant Ultram et tout inhibiteur du CYP2D6 pour le risque d'événements indésirables graves, notamment des crises et des signes du syndrome de la sérotonine et des symptômes qui peuvent refléter la toxicité des opioïdes et le retrait des opioïdes lorsque l'ultram est utilisé en conjonction avec les inhibiteurs de CYP2D6 [voir Interactions médicamenteuses ].
Interaction Cytochrome P450 3A4
The concomitant use of ULTRAM with cytochrome P450 3A4 inhibitors such as macrolide antibiotics (e.g. erythromycin)azole-antifungal agents (e.g. ketoconazole) and protease inhibitors (e.g. ritonavir) or discontinuation of a cytochrome P4503A4 inducer such as rifampin carbamazepine and La phénytoïne peut entraîner une augmentation des concentrations plasmatiques de tramadol qui pourraient augmenter ou prolonger les effets indésirables augmentent le risque d'événements indésirables graves, notamment les crises et le syndrome de la sérotonine et peuvent provoquer une dépression respiratoire potentiellement mortelle.
L'utilisation concomitante d'Ultram avec tous les inducteurs du cytochrome P450 3A4 ou l'arrêt d'un cytochrome P450 3A4Inhibitor peut entraîner des niveaux de tramadol plus faibles. Cela peut être associé à une diminution de l'efficacité et chez certains patients peut résulter dans les signes et symptômes du sevrage des opioïdes.
Suivez les patients recevant Ultram et tout inhibiteur ou inducteur du CYP3A4 pour le risque d'événements indésirables graves, notamment les crises et les signes du syndrome de la sérotonine qui peuvent refléter la toxicité des opioïdes et le retrait des opioïdes lorsque l'ultram est utilisé en conjonction avec les inhibiteurs et les inducteurs du CYP3A4 [voir Interactions médicamenteuses ].
Risques de l'utilisation concomitante avec les benzodiazépines ou autres dépresseurs du SNC
La dépression respiratoire de sédation profonde Le coma et la mort peuvent résulter de l'utilisation concomitante de l'ultram avec des benzodiazépines ou d'autres dépresseurs du SNC (par exemple, les détendants non benzodiazépines / hypnotiques anxiolytiques tranquillisants muscle relaxants anesthésiques généraux antipsychotiques alcool opioides). En raison de ces risques, se réservent la prescription concomitante de ces médicaments pour une utilisation chez les patients pour lesquels des options de traitement alternatives sont inadéquates.
Des études observationnelles ont démontré que l'utilisation concomitante d'analgésiques opioïdes et de benzodiazépines augmente le risque de mortalité liée au médicament par rapport à l'utilisation des analgésiques opioïdes seuls. En raison de propriétés pharmacologiques similaires, il est raisonnable de s'attendre à un risque similaire avec l'utilisation concomitante d'autres médicaments dépresseurs du SNC avec des analgésiques opioïdes [voir Interactions médicamenteuses ].
pilule avec un A dessus
Si la décision est prise de prescrire une benzodiazépine ou d'autres dépresseurs du SNC en même temps qu'un analgésique opioïde prescrit les doses efficaces les plus faibles et les durées minimales d'utilisation concomitante. Chez les patients, recevant déjà un analgésique opioïde, prescrivez-vous une dose initiale plus faible de la benzodiazépine ou d'autres dépresseurs du SNC que ce qui indique en l'absence d'anopioïde et de titres en fonction de la réponse clinique. Si un analgésique opioïde est initié chez un patient qui prenait déjà un benzodiazépineur, d'autres dépresseurs du SNC prescrivent une dose initiale plus faible de l'analgésique opioïde et du titrate basé sur la réponse clinique. Suivez les patients étroitement pour les signes et symptômes de dépression respiratoire et de sédation.
Si une utilisation concomitante est justifiée, envisagez de prescrire de la naloxone pour le traitement d'urgence de la surdose d'opioïdes [voir Posologie et administration Avertissements et précautions ].
Conseillez les patients et les soignants sur les risques de dépression respiratoire et de sédation lorsque l'ultram est utilisé avec des benzodiazépines ou d'autres dépresseurs du SNC (y compris l'alcool et les drogues illicites). Conseiller aux patients de ne pas conduire ou d'exploiter des machines lourdes jusqu'à ce que les effets de l'utilisation concomitante de la benzodiazépine ou d'autres dépresseurs du SNC aient été déterminés. Écrivez les patients pour le risque de troubles de la consommation de substances, y compris l'abus d'opioïdes et les abus et les avertissent du risque de surdose et de décès associés à l'utilisation de dépresseurs du SNC supplémentaires, y compris l'alcool et les drogues illicites [voir Interactions médicamenteuses ; et Informations de conseil des patients ].
Risque du syndrome de Seroton
Cas de syndrome de sérotonine Une condition potentiellement mortelle a été signalée avec l'utilisation de tramadol, en particulier lors d'une utilisation concomitante avec des médicaments sérotoninergiques. Les médicaments sérotoninergiques comprennent des inhibiteurs sélectifs du recapture de sérotonine (ISRS) sérotonine et inhibiteurs du recapture noradrénaliques (SNRI) antidépresseurs (TCAS) Médicaments antagonistes des récepteurs TripTans 5-HT3 qui affectent le système de neurotransmetteur sérotoninergique (par exemple, le tramadol de la Mirtazapine Tramadol) et les médicaments qui allaitent les métabolistes de la sérotonine (y compris les inhibiteurs de la MAO et les autres inhibiteurs de la sérotonine et les autres inhibiteurs des personnes prévues pour traiter les troubles psychiatriques et également les inhibiteurs de la sérotonine et également les autres inhibiteurs des deux personnes prévues pour traiter les troubles de la sérotonine et également les inhibiteurs de la sérotonine et également les autres inhibiteurs des deux personnes prévues pour traiter les troubles de la sérotonine et également des inhibiteurs de la MAO, les deux personnes intentionnelles pour traiter les troubles psychiatriques et également les inhibiteurs de la sérotonine et également les autres inhibiteurs de la psychia linézolide et méthylèneblue intraveineux) [voir Interactions médicamenteuses ]. This may occur within the recommended dosage range.
Les symptômes du syndrome de la sérotonine peuvent inclure des changements d'état mental (par exemple les hallucinations d'agitation coma) Instabilité autonome (par exemple, les aberrations neuromusculaires de la tachycardie (par exemple, la rigidité de l'hyperréflexie de l'hyperréflexie) et / ou les symptômes gastrontrtifiants (par exemple, la réduction de la nausée diarrrhéie). L'apparition des symptômes se produit générellement dans plusieurs heures à quelques jours après une utilisation concomitante mais peut se produire plus tard que cela. Arrêtez Ultram si le syndrome de la sérotonine est suspecté.
Risque accru de crise
Des convulsions ont été rapportées chez les patients recevant Ultram dans la plage de posologie recommandée. Les rapports de SpontaneousPostmarketing indiquent que le risque de crise est augmenté avec des doses d'Ultram au-dessus de la plage recommandée.
L'utilisation concomitante d'Ultram augmente le risque de crise chez les patients prenant [voir Interactions médicamenteuses ]::
- Inhibiteurs sélectifs de la sérotonine de la sérotonine (antidépresseurs SSRI ou anorectiques)
- Antidépresseurs tricycliques (TCA) et autres composés tricycliques (par exemple la cyclobenzaprine prométhazine, etc.)
- Autres opioïdes
- Inhibiteurs de Mao [voir Avertissements et précautions ; Interactions médicamenteuses ].
- Neuroleptique ou
- Autres médicaments qui réduisent le seuil de crise.
Le risque de crise peut également augmenter chez les patients atteints d'épilepsie ceux qui ont des antécédents de crises ou chez les patients présentant un risque reconnu de crise (tels que les infections à la tête de traumatisme métabolique à la tête et les infections du SNC de sevrage de médicaments). Dans l'administration de la naloxone ultra moverdose peut augmenter le risque de crise.
Risque de suicide
- Ne prescrivez pas Ultram pour les patients suicidaires ou sujets à la toxicomanie. Une considération doit être accordée à l'utilisation d'analgésiques non narcotiques chez les patients suicidaires ou déprimés [voir Abus de drogues et dépendance ].
- Prescrire ultram avec prudence pour les patients ayant des antécédents de mauvaise utilisation et / ou prennent actuellement des médicaments actifs au SNC, notamment des tranquillisants ou des antidépresseurs alcool en excès et des patients souffrant de troubles émotionnels ou de dépression [voir Interactions médicamenteuses ].
- Informer les patients pour ne pas dépasser la dose recommandée et limiter leur consommation d'alcool [voir Posologie et administration Avertissements et précautions ].
Insuffisance surrénale
Des cas d'insuffisance surrénale ont été signalés avec une consommation d'opioïdes plus souvent après un mois d'utilisation. Presentation of adrenal insufficiency may include non-specific symptoms et signs including nausée vomissement anorexia fatigue weakness vertiges et pression artérielle basse . Si une insuffisance surrénale est suspectée, confirmez le diagnostic avec des tests de diagnostic dès que possible. Si l'insuffisance surrénale est diagnostiquée, traitez avec des doses de remplacement physiologiques de corticostéroïdes. Sevrer le patient de l'opioïde pour permettre à la fonction surrénalienne de récupérer et de continuer le traitement aux corticostéroïdes jusqu'à ce que la fonction surrénalienne se rétablisse. D'autres opioïdes peuvent être essayés car certains cas ont rapporté l'utilisation d'un opioïde différent sans récidive d'insuffisance surrénalienne. Les informations disponibles n'identifient pas d'opioïdes particuliers comme étant plus susceptibles d'être associés à une insuffisance surrénalienne.
Dépression respiratoire potentiellement mortelle In Patients atteints de maladie pulmonaire chronique Or In Patients âgés cachectiques ou affaiblis
L'utilisation d'Ultram chez les patients souffrant d'asthme bronchique aigu ou sévère dans un cadre non surveillé ou en l'absence d'équipement de réanimation est contre-indiqué.
Patients atteints de maladie pulmonaire chronique
Les patients traités par Ultram atteintes d'une maladie pulmonaire obstructive chronique ou à la pulmonaire de COR et à celles présentant une hypercapnie à l'hypoxie respiratoire considérablement diminuée ou une dépression respiratoire préexistante courent un risque accru de disque respiratoire diminué, y compris l'apnée, même aux dosages recommandés d'Ultram [voir Avertissements et précautions ].
Patients âgés cachectiques ou affaiblis
La dépression respiratoire potentiellement potentiellement mortelle est plus susceptible de se produire chez les patients âgés cachectiques ou affaiblies parce qu'ils peuvent être altérés pharmacocinétique ou altération de l'autorisation par rapport aux patients plus jeunes en meilleure santé [voir Avertissements et précautions ].
Surveillez de manière étroite ces patients en particulier lors de l'initiation et de la titrage d'Ultram et lorsque Ultram est donné concomitamment avec d'autres médicaments qui dépriment la respiration [voir Avertissements et précautions ; Interactions médicamenteuses ].Alternatively consider the use of non-opioid analgesics in these patients.
Hypotension sévère
Ultram peut provoquer une sévère hypotension y compris l'hypotension orthostatique et la syncope chez les patients ambulatoires. Il y a un risque accru chez les patients dont la capacité de maintenir la pression artérielle a déjà été compromis par une administration concomitante réduite volume de sang de certains médicaments dépresseurs du SNC (par exemple des phénothiazines ou des anesthésiques généraux) [voir Interactions médicamenteuses ]. Monitor these patients for signs of hypotension after initiating or titrating the dosage of ULTRAM. Inpatients with circulatory choc Ultram peut provoquer une vasodilatation qui peut réduire davantage le débit cardiaque et la pression artérielle. Évitez l'utilisation d'Ultram chez les patients avec un choc circulatoire.
Risques d'utilisation chez les patients présentant une augmentation des tumeurs du cerveau de pression intracrânienne
Chez les patients qui peuvent être sensibles aux effets intracrâniens du CO 2 rétention (par exemple celles présentant des preuves d'une augmentation de la pression intracrânienne ou des tumeurs cérébrales) Ultram peut réduire l'entraînement respiratoire et le CO qui en résulte 2 La rétention peut encore augmenter la pression intracrânienne. Surveillez ces patients pour des signes de sédation et de dépression respiratoire, en particulier lors de l'insiniture de traitement avec Ultram.
Les opioïdes peuvent également masquer l'évolution clinique chez un patient souffrant d'une traumatisme crânien. Évitez l'utilisation d'Ultram chez les patients atteints de conscience altérée ou de coma.
Risques d'utilisation chez les patients souffrant de conditions gastro-intestinales
L'Ultram est contre-indiqué chez les patients présentant une obstruction gastro-intestinale connue ou suspectée, y compris l'iléus paralytique [voir Contre-indications ].
Le tramadol en ultram peut provoquer un spasme du sphincter d'Oddi. Les opioïdes peuvent provoquer une augmentation de l'amylase sérique. Surveiller les patients atteints d'une maladie des voies biliaires, y compris pancréatite aiguë pour l'aggravation des symptômes.
Anaphylaxie et autres réactions d'hypersensibilité
Des réactions anaphylactiques graves et rarement mortelles ont été rapportées chez les patients recevant un traitement avec Ultram. Lorsque les chercheurs se produisent, il suit souvent la première dose. D'autres réactions allergiques rapportées comprennent les ruches du prurit bronchospasme angio-œdème de l'œdème angio-œdème et le syndrome épidermique toxique et le syndrome de Stevens-Johnson. Les patients ayant des antécédents de réaction d'hypersensibilité tramadol et d'autres opioïdes peuvent être à risque accru et ne devraient donc pas recevoir Ultram [voir Contre-indications ]. If anaphylaxis or other hypersensitivity occurs stop administration of ULTRAM immediately discontinue ULTRAM permanently et do not rechallenge with any formulation of tramadol. Advise patients to seek immediate medical attention if they experience any symptoms of a hypersensitivity reaction. [see Contre-indications ; Informations de conseil des patients ].
Retrait
N'arrêtez pas brusquement à Ultram chez un patient dépendant physiquement des opioïdes. Lors de l'arrêt de l'Ultram chez le patient en fonction aphysiques, le patient effilée progressivement le dosage. Le rétrécissement rapide du tramadol chez un patient dépendant des onopioïdes peut entraîner un syndrome de sevrage et un retour de douleur [voir Posologie et administration Abus de drogues et dépendance ].
Évitez en outre l'utilisation d'un agoniste / antagoniste mixte (par exemple la pentazocine nalbuphine et butorphanol) ou des analgésiques agonistes partiels (par exemple buprénorphine) chez les patients qui reçoivent un analgésique total agoniste opioïde, y compris Ultram. Dans les opposants, les analgésiques mixtes agonistes / antagonistes et agonistes partiels peuvent réduire l'effet analgésique et / ou le précipité avec des symptômes de génération [voir Interactions médicamenteuses ].
Machines de conduite et d'exploitation
Ultram peut altérer les capacités mentales ou physiques nécessaires pour effectuer des activités potentiellement dangereuses telles que la conduite d'une machinerie d'exploitation de Caror. Avertissez les patients de ne pas conduire ou opérer des machines dangereuses à moins qu'elles ne soient tolérantes aux effets de l'ultram et savent comment ils réagiront au médicament [voir Informations de conseil des patients ].
Hyponatrémie
Hyponatrémie (serum sodium <135 mmol/L) has been reported with the use of tramadol et many cases are severe (sodiumlevel < 120 mmol/L). Most cases of hyponatremia occurred in females over the age of 65 et within the first week oftherapy. In some reports hyponatremia resulted from the syndrome of inappropriate antidiuretic hormone secretion(SIADH). Monitor for signs et symptoms of hyponatremia (e.g. confusion disorientation) during treatment withULTRAM especially during initiation of therapy. If signs et symptoms of hyponatremia are present initiate appropriatetreatment (e.g. fluid restriction) et discontinue ULTRAM [see Posologie et administration : Réduction ou arrêt de sécurité de l'Ultram ].
Hypoglycémie
Cas de tramadol hypoglycémie ont été signalés certains entraînant une hospitalisation. Dans la plupart des cas, les patients présentaient des facteurs de risque (par exemple, le diabète). Si l'hypoglycémie est suspectée, surveillez les taux de glycémie et envisagez la drogue en tant que approprié [voir Posologie et administration : Réduction ou arrêt de sécurité de l'Ultram ].
Informations de conseil des patients
Conseiller au patient de lire l'étiquetage des patients approuvé par la FDA ( Guide des médicaments ).
Stockage et élimination
En raison des risques associés à l'ingestion accidentelle, une abus et une abus conseillent aux patients pour stocker en toute sécurité Ultram hors de la vue et de la portée des enfants et dans un endroit non accessible par d'autres, y compris les visiteurs de la maison [voir Avertissements et précautions Abus de drogues et dépendance ]. Inform patients that leaving ULTRAM unsecured can pose a deadly risk to others in the home.
Informez les patients et les soignants que lorsque les médicaments ne sont plus nécessaires, ils doivent être éliminés rapidement. Informer les patients que les options de reprise de médecine sont le moyen préféré de disposer en toute sécurité de la plupart des types de médicaments inutiles. Si les programmes de retour ou Administration de l'application des médicaments Les collectionneurs enregistrés (DEA) sont disponibles pour demander aux patients de disposer d'Ultram en suivant ces quatre étapes:
- Mélanger Ultram (ne pas écraser) avec une substance désagréable telle que la litière de chat en saleté ou le marc de café utilisé;
- Placer le mélange dans un récipient comme un sac en plastique scellé;
- Jeter le conteneur dans la poubelle domestique;
- Supprimez toutes les informations personnelles sur l'étiquette de prescription de la bouteille vide.
Informez les patients qu'ils peuvent visiter www.fda.gov/drugdispososition pour plus d'informations sur l'élimination des médicaments inutilisés.
Abus et abus de la toxicomanie
Informer les patients que l'utilisation d'Ultram même lorsqu'elle est prise comme recommandée peut entraîner des abus de dépendance et une mauvaise utilisation Avertissements et précautions ]. Instruct patients not to share ULTRAM with others et to take steps to protect ULTRAM from theft or misuse.
Dépression respiratoire potentiellement mortelle
Informer les patients du risque de dépression respiratoire potentiellement mortelle, y compris des informations selon lesquelles le risque est le plus élevé lors du démarrage de l'Ultram ou lorsque la dose est augmentée et qu'elle peut se produire même aux doses recommandées.
Éduquer les patients et les soignants sur la façon de reconnaître la dépression respiratoire et de souligner l'importance d'appeler le 911 ou d'obtenir une aide médicale d'urgence immédiatement en cas de surdose connue ou suspectée [voir Avertissements et précautions ].
Accès aux patients à la naloxone pour le traitement d'urgence de la surdose d'opioïdes
Discutez avec le patient et le soignant la disponibilité de la naloxone pour le traitement d'urgence de la surdose d'opioïdes à la fois lors de l'organisation et du renouvellement du traitement avec Ultram. Informer les patients et les soignants sur les différentes façons d'obtenir la norme de la Naloxone et les exigences ou les lignes directrices de la distribution et de la prescription de la naloxone de l'État (par exemple par prescription directement d'un pharmacien ou dans le cadre d'un programme communautaire) [voir Posologie et administration Avertissements et précautions ].
Éduquer les patients et les soignants sur la façon de reconnaître les signes et les symptômes d'une surdose.
Expliquez aux patients et aux soignants que les effets de la naloxone sont temporaires et qu'ils doivent appeler le 911 ou obtenir une aide médicale d'urgence immédiatement dans tous les cas de surdose opioïde connue ou suspectée même si la naloxone est administrée [voir Sur-ladosage ].
Si la naloxone est prescrite, conseille également les patients et les soignants:
- Comment traiter avec la naloxone en cas de surdose d'opioïdes
- Pour parler à la famille et aux amis de leur naloxone et de le garder dans un endroit où la famille et les amis peuvent y accéder en cas d'urgence
- Pour lire les informations du patient (ou tout autre matériel éducatif) qui viendra avec leur naloxone. Soulignez l'importance de le faire avant qu'une urgence opioïde ne se produise afin que le patient et le soignant sachent quoi faire.
Ingestion accidentelle
Informer les patients que l'ingestion accidentelle, en particulier par les enfants, peut entraîner une dépression respiratoire ou une mort [voir Avertissements et précautions ].
Métabolisme ultra-rapide du tramadol et autres facteurs de risque de dépression respiratoire potentiellement mortelle chez les enfants
Informez les soignants que Ultram est contre-indiqué chez les enfants de moins de 12 ans et chez les enfants de moins de 18 ans après l'amygdalectomie et / ou l'adénoïdectomie. Conseiller les soignants des enfants de 12 à 18 ans à recevoir Ultram pour surveiller les signes de dépression respiratoire [voir Avertissements et précautions ].
Interactions avec les benzodiazépines et autres dépresseurs du SNC
Informer les patients et les soignants que des effets additifs potentiellement mortels peuvent se produire si l'ultram est utilisé avec les benzodiazépines du SNC dépresseurs, y compris l'alcool ou certaines drogues illicites et ne pas les utiliser de manière concomitante à moins d'être supervisée par un fournisseur de soins de santé [voir Avertissements et précautions ; Interactions médicamenteuses ].
Syndrome de Seroton
Informer les patients que les opioïdes pourraient provoquer une condition rare mais potentiellement potentiellement mortelle résultant de l'administration concomitante de médicaments sérotoninergiques. Avertissez les patients des symptômes du syndrome de la sérotonine et de consulter immédiatement un médecin si les symptômes se développent. Demandez aux patients d'informer leur fournisseur de soins de santé s'ils prennent ou prévoient de prendre des médicaments sérotoninergiques [voir Avertissements et précautions ].
Crises
Informer les patients que Ultram peut provoquer des convulsions avec une utilisation concomitante d'agents sérotoninergiques (y compris des SSRI SNRI et Triptans) ou des médicaments qui réduisent considérablement la clairance métabolique du tramadol [voir Avertissements et précautions ].
Interaction maoi
Informez les patients de ne pas prendre Ultram lors de l'utilisation de médicaments qui inhibent la monoamine oxydase. Les patients ne doivent pas commencer les maons tout en prenant Ultram [voir Interactions médicamenteuses ].
Insuffisance surrénale
Informer les patients que les opioïdes pourraient provoquer une insuffisance surrénalienne une condition potentiellement mortelle. L'insuffisance surrénalienne peut présenter des symptômes non spécifiques et des signes tels que les étourdissements des nausées vomissements de la fatigue de l'anorexie et de la pression artérielle basse. Conseiller aux patients de consulter des médecins s'ils éprouvent une constellation de ces symptômes [voir Avertissements et précautions ].
Instructions d'administration importantes
- Instruisez les patients comment prendre correctement Ultram. [voir Posologie et administration ].
- Conseiller aux patients de ne pas ajuster la dose d'Ultram sans consulter un médecin ou un autre professionnel de la santé.
Instructions d'importance d'arrêt
- Afin d'éviter de développer des symptômes de sevrage, demandez aux patients de ne pas interrompre Ultram sans d'abord discuter d'un plan effilé avec le prescripteur [voir Posologie et administration ].
Hypotension
Informer les patients que Ultram peut provoquer une hypotension et une syncope orthostatiques. Instruisez les patients sur la façon de reconnaître les symptômes de la pression artérielle basse et comment réduire le risque de conséquences graves si une hypotension se produit (par exemple, s'asseoir ou se coucher soigneusement s'élever d'une position assise ou mensonge) [voir Avertissements et précautions ].
Anaphylaxie
Informer les patients que l'anaphylaxie a été signalée avec des ingrédients contenus dans Ultram. Conseiller les patients comment toroniser une telle réaction et quand consulter un médecin [voir Contre-indications ; Avertissements et précautions ; Effets indésirables ].
Grossesse
Syndrome de sevrage opioïde néonatal
Informez les patientes de potentiel de reproduction selon laquelle l'utilisation prolongée de l'ULTRAM pendant la grossesse peut entraîner un syndrome de sevrage des opioïdes néonatal qui peut être mortel, s'il n'est pas reconnu et traité, et que le patient devrait informer son fournisseur de soins de santé s'ils ont utilisé des opioïdes à tout moment pendant leur grossesse, en particulier à proximité de la naissance. [voir Avertissements et précautions ; Utiliser dans des populations spécifiques ].
Toxicité embryo-fœtale
Informer les patientes féminines de potentiel reproducteur selon lesquelles Ultram peut causer des dommages fœtaux et informer le fournisseur de soins de santé d'une grossesse connue ou suspectée [voir Utiliser dans des populations spécifiques ].
Lactation
Conseiller les femmes que l'allaitement n'est pas recommandé pendant le traitement avec Ultram [voir Avertissements et précautions ; Utiliser dans des populations spécifiques ].
Infertilité
Informer les patients que l'utilisation chronique d'opioïdes peut provoquer une fertilité réduite. On ne sait pas si ces effets sur la fertilité sont réversibles [voir Utiliser dans des populations spécifiques ].
Machines lourdes à conduire ou à exploiter
Informez les patients que Ultram peut nuire à la capacité d'effectuer des activités potentiellement dangereuses telles que la conduite d'une voiture ou le fonctionnement des machines lourdes. Conseiller aux patients de ne pas effectuer de telles tâches tant qu'elles ne savent pas comment ils réagiront au médicament [voir Avertissements et précautions ].
Constipation
Conseiller les patients sur le potentiel de constipation sévère, y compris les instructions de gestion et quand consulter un médecin [voir Effets indésirables ].
Dose à dose unique maximale et 24 heures
Conseiller aux patients de ne pas dépasser la limite de dose à dose unique et à 24 heures et l'intervalle de temps entre les doses, car la dépassement de ces recommandations peut entraîner des convulsions de dépression respiratoire et la mort [voir Posologie et administration ; Avertissements et précautions ].
Toxicologie non clinique
Carcinogenèse Mutagenèse A trouble de la fertilité
Cancérogenèse
Une augmentation légère mais statistiquement significative de deux tumeurs murines courantes et hépatiques murines a été observée dans une étude de cancérogénicité de souris NMRI, en particulier chez les souris âgées. Les souris ont été dosées par voie orale jusqu'à 30 mg / kg dans l'eau potable (NULL,36 fois le MRHD) pendant environ deux ans, bien que l'étude n'ait pas été réalisée avec la dose maximale tolérée. On ne pense pas que cette constatation suggère des risques chez l'homme. Aucune preuve de cancérogénicité n'a été notée dans une étude de 2 ans sur 2 ans testant des doses orales allant jusqu'à 30 mg / kg dans l'eau potable 0,73 fois le MRHD.
Mutagenèse
Le tramadol était mutagène en présence d'une activation métabolique dans le test de lymphome de souris. Le tramadol n'était pas la mutagénicine le test de mutation inverse bactérienne in vitro utilisant Salmonella et E. coli (Ames) Le test de lymphome de souris en l'absence d'activation métabolique le test d'aberration chromosomique in vitro ou le dosage in vivo du micronucleus dans la bonaire.
Altération de la fertilité
Aucun effet sur la fertilité n'a été observé pour le tramadol à des niveaux de dose orale jusqu'à 50 mg / kg chez les rats mâles et 75 mg / kg chez les femmes. Ces doses sont 1,2 et 1,8 fois la dose quotidienne humaine maximale recommandée en fonction de la surface corporelle respectivement.
Utiliser dans des populations spécifiques
Grossesse
Résumé des risques
L'utilisation prolongée d'analgésiques opioïdes pendant la grossesse peut provoquer un syndrome de sevrage opioïde néonatal. Les données disponibles avec Ultram chez les femmes enceintes sont insuffisantes pour éclairer un risque associé aux médicaments pour les principaux malformations congénitales et les fausses couches.
In animal reproduction studies tramadol administration during organogenesis decreased fetal weights and reduced ossification in mice rats and rabbits at 1.4 0.6 and 3.6 times the maximum recommended human daily dosage (MRHD).Tramadol decreased pup body weight and increased pup mortality at 1.2 and 1.9 times the MRHD [see Données ]. Based onanimal data advise pregnant women of the potential risk to a fetus.
Le risque de fond estimé de malformations congénitales majeures et de fausse couche pour la population indiquée est inconnue. AllPregnances ont un risque de fond de délai de congédiement perte ou d'autres résultats négatifs. Dans la population générale américaine, le risque de fond estimé de malformations congénitales majeures et de fausse couche dans les grossesses cliniquement reconnues est respectivement de 2 ans et de 15%.
Considérations cliniques
Réactions indésirables fœtales / néonatales
L'utilisation prolongée d'analgésiques opioïdes pendant la grossesse à des fins médicales ou non médicales peut entraîner une dépression respiratoire et une dépendance physique dans le syndrome du néonatal et du retrait des opioïdes néonatal peu de temps après la naissance.
Le syndrome de sevrage des opioïdes néonatal peut se présenter comme une hyperactivité d'irritabilité et un modèle de sommeil anormal Cry High-Pithed Cry Tremor Vomiting Diarrhée et défaut de prendre du poids. La durée et la gravité du syndrome de retrait des opioïdes néonatals varient en fonction de la durée de synchronisation utilisée par l'opioïde spécifique et la quantité de dernière utilisation maternelle et le taux d'élimination du médicament par le nouveau-né. Observez les nouveau-nés pour les symptômes et les signes du syndrome de sevrage opioïde néonatal et de gérer en conséquence [voir Avertissements et précautions ].
Syndromes de sevrage néonatal Syndrome de sevrage néonatal La mort fœtale et la naissance ont été signalées lors du marché postal.
Travail ou livraison
Les opioïdes traversent le placenta et peuvent produire des effets respiratoires et des effets psychysiologiques chez les nouveau-nés. Un opioiantagoniste tel que la naloxone doit être disponible pour l'inversion de la dépression respiratoire induite par les opioïdes chez le nouveau-né. Ultram n'est pas recommandé pour une utilisation chez les femmes enceintes pendant ou immédiatement avant le travail lorsque d'autres techniques analgésiques sont plus appropriées. Les analgésiques opioïdes, y compris Ultram, peuvent prolonger le travail par des actions qui réduisent temporairement la durée de la résistance et la fréquence des contractions utérines. Cependant, cet effet n'est pas cohérent et peut être compensé par une augmentation du taux de dilatation cervicale qui tend à raccourcir la main-d'œuvre. Surveillez les nouveau-nés exposés à l'opioidangesics pendant le travail pour des signes de sédation excessive et de dépression respiratoire.
Il a été démontré que le tramadol traverse le placenta. Le rapport moyen du tramadol sérique dans les veines ombilicaux par rapport aux veines tomaternales était de 0,83 pour 40 femmes recevant du tramadol pendant le travail.
L'effet d'Ultram, le cas échéant, sur le développement de la croissance ultérieure et la maturation fonctionnelle de l'enfant est inconnu.
Les allergies benadryl me rendront somnolente
Données
Données sur les animaux
Il a été démontré que le tramadol est embryotoxique et fétotoxique chez des rats de souris (120 mg / kg) (25 mg / kg) et de lapins (75 mg / kg) des doses toxiques atmatriques mais n'était pas tératogène à ces niveaux de dose. Ces doses sur un mg / m 2basis sont de 1,4 0,6 et 3,6times la posologie quotidienne humaine maximale recommandée (MRHD) pour le rat de souris et le lapin respectivement.
Aucun effet tératogène lié au médicament n'a été observé dans la descendance de rats de souris (jusqu'à 140 mg / kg) (jusqu'à 80 mg / kg) ou de lapins (jusqu'à 300 mg / kg) traités avec du tramadol par diverses routes. L'embryon et la toxicité fœtale consistaient principalement à une diminution des poids fœtaux une diminution de l'ossification squelettique et une augmentation des côtes surnuméraires à des niveaux de dose toxique maternellement. Des retards transitoires dans les paramètres de développement ou comportementaux ont également été observés dans les chiots à partir de barrages de rat autorisés à livrer. L'embryon et la létalité fœtale n'ont été signalés que dans une étude de lapin à 300 mg / kg une dose qui provoquerait une toxicité maternelle extrême chez le lapin. Les dosages répertoriés pour le rat et le lapin de souris sont de 1,7 1,9 et 14,6 fois le MRHD respectivement.
Le tramadol a été évalué dans des études pré et postnatales chez le rat. La descendance des barrages recevant des niveaux de dose orale (gavage) de 50 mg / kg 1,2 fois le MRHD) ou plus avait diminué les poids et la survie des chiots a diminué tôt dans la lactation à 80 mg / kg (NULL,9 fois le MRHD).
Lactation
Résumé des risques
Ultram n'est pas recommandé pour les médicaments préopératoires obstétricaux ou pour une analgésie post-livraison chez les mères allaitantes car sa sécurité chez les nourrissons et les nouveau-nés n'a pas été étudiée.
Le tramadol et son métabolite O-Desméthyltramadol (M1) sont présents dans le lait maternel. Il n'y a aucune information sur les effets du médicament sur le nourrisson allaité ou les effets du médicament sur la production de lait. Le métabolite M1 est plus puissant que le tramadol dans la liaison des récepteurs opioïdes MU [voir Pharmacologie clinique ]. Published studies have reported tramadol et M1in colostrum with administration of tramadol to nursing mothers in the early post-partum period. Women who are ultra-rapidmetabolizers of tramadol may have higher than expected serum levels of M1 potentially leading to higher levels of M1 inbreast milk that can be dangerous in their breastfed infants. In women with normal tramadol metabolism the amount of tramadol secreted into human milk is low et dose-dependent. Because of the potential for serious adverse reactions including excess sedation et respiratory depression in a breastfed infant advise patients that allaitement maternel is not recommended during treatment with ULTRAM [see Avertissements et précautions ].
Considérations cliniques
Si les nourrissons sont exposés à Ultram par lait maternel, ils doivent être surveillés pour une sédation excessive et unedépression respiratoire. Des symptômes de sevrage peuvent survenir chez les nourrissons allaités lorsque l'administration maternelle d'un analgésique opioïde est étonnante ou lors de l'arrêt de l'allaitement.
Données
Après une seule dose IV de 100 mg de tramadol, l'excrétion cumulée dans le lait maternel dans les 16 heures après la dose était de 100 mcg de tramadol (NULL,1% de la dose maternelle) et 27 mcg de M1.
Femmes et mâles de potentiel reproducteur
Infertilité
L'utilisation chronique d'opioïdes peut provoquer une fertilité réduite chez les femmes et les hommes de potentiel reproducteur. On ne sait pas si ces effets sur la fertilité sont réversibles [voir Effets indésirables ].
Usage pédiatrique
La sécurité et l'efficacité des ultram chez les patients pédiatriques n'ont pas été établies.
La dépression respiratoire mortelle et la mort ont eu lieu chez les enfants qui ont reçu du tramadol [voir Avertissements et précautions ]. In some of the reported cases these events followed tonsillectomy et/or adenoidectomy et one of the children had evidence of being an ultra-rapid metabolizer of tramadol (i.e. multiple copies of the gene for cytochrome P450isoenzyme 2D6). Children with apnée du sommeil may be particularly sensitive to the respiratory depressant effects of tramadol.Because of the risk of life-threatening respiratory depression et death:
- Ultram est contre-indiqué pour tous les enfants de moins de 12 ans [voir Contre-indications ].
- Ultram est contre-indiqué pour la gestion postopératoire chez les patients pédiatriques de moins de 18 ans après l'amygdalectomie et / ou l'adénoïdectomie [voir Contre-indications ].
Évitez l'utilisation d'Ultram chez les adolescents de 12 à 18 ans qui ont d'autres facteurs de risque qui peuvent augmenter leur sensibilité aux effets dépressifs respiratoires du tramadol à moins que les avantages ne l'emportent sur les risques. Les facteurs de risque comprennent les conditions associées à l'hypoventilation telles que l'apnée obstructive du sommeil obstructif obésité severe pulmonarydisease neuromuscular disease et concomitant use of other medications that cause respiratory depression.
Utilisation gériatrique
Au total, 455 sujets âgés (65 ans ou plus) ont été exposés à Ultram dans des essais cliniques contrôlés. Parmi ces 145 sujets étaient âgés de 75 ans et plus.
Dans des études comprenant les patients gériatriques, les événements indésirables limitant le traitement étaient plus élevés chez les sujets de plus de 75 ans d'âge de moins de 65 ans. Plus précisément, 30% des personnes de plus de 75 ans avaient des événements indésirables limitant le traitement gastro-intestinal, contre 17% des moins de 65 ans. La constipation a entraîné l'arrêt du traitement dans 10% de ceux de plus de 75.
La dépression respiratoire est le principal risque de patients âgés traités par des opioïdes et s'est produit après que de grandes doses initiales ont été administrées à des patients qui n'étaient pas tolérants aux opioïdes ou lorsque les opioïdes ont été co-administrés avec d'autres agents qui dépriment la respiration. Titrez lentement la dose de l'ultram chez les patients gériatriques commençant à l'extrémité inférieure de la plage de dosage et surveillez étroitement les signes du système nerveux central et de la dépression respiratoire [voir Avertissements et précautions ].
Le tramadol est connu pour être considérablement excrété par le rein et le risque de réactions indésirables à ce médicament peut être plus hospitalier avec une fonction rénale altérée. Étant donné que les patients âgés sont plus susceptibles d'avoir une diminution des soins de fonction rénale devraient être pris dans la sélection de la dose et il peut être utile de surveiller la fonction rénale.
Troubles rénaux et hépatiques
La fonction rénale altérée entraîne une diminution du taux et de l'étendue de l'excrétion du tramadol et de son métabolite actif M1. Les patients hospitalisés avec des dégagements de créatine d'une réduction de dosage inférieure à 30 ml / min sont recommandés [voir Posologie et administration ]. Métabolisme of tramadol et M1 is reduced in patients with severe hepatic impairment based on as tudy in patients with advanced cirrhosis of the liver. In patients with severe hepatic impairment dosing reduction is recommended [see Posologie et administration ].
Avec la demi-vie prolongée dans ces conditions, la réalisation de l'état d'équilibre est retardée afin qu'il puisse prendre plusieurs jours pour que des concentrations plasmatiques élevées se développent.
Surdosage Information for Ultram
Présentation clinique
Le surdosage aigu avec Ultram peut se manifester par la somnolence de dépression respiratoire qui progresse vers une stuppe de stupeur ou de coma de la flaccidité des muscles squelettiques froids et des puples à la peau et à la peau et dans certains cas pulmonaires d'œdème pulmonaire Brady cardia qtprolongation hypotension partielle ou complète des voies aériennes Séidants de ronflement atypiques. La mydriase marquée plutôt que la miose peut être observée avec l'hypoxie dans des situations de surdosage.
Les décès dus à une surdose ont été signalés avec abus et abus de tramadol [voir Avertissements et précautions ; Abus de drogues et dépendance ]. Review of case reports has indicated that the risk of fatal overdose is further increased when tramadol is abused concurrently with alcohol or other CNS depressants including other opioids.
Traitement de la surdose
En cas de priorités de surdosage, le rétablissement d'un brevet et d'une institution protégée et d'une institution de ventilation assistée ou contrôlée si nécessaire. Utilisez d'autres mesures de soutien (y compris l'oxygène et les vasopresseurs) dans la gestion du choc circulatoire et de l'œdème pulmonaire comme indiqué. L'arrêt cardiaque ou les arythmies graves nécessiteront des mesures avancées de support de vie.
Les antagonistes opioïdes tels que la naloxone sont des antidotes spécifiques à la dépression respiratoire résultant d'une surdose d'opioïdes. Dépression respiratoire ou circulatoire de Forcliniquement significative secondaire à la surdose opioïde administre un antagoniste opioïde.
Bien que la naloxone inverse certains, mais pas tous les symptômes causés par le surdosage avec le tramadol, le risque de crises est également augmenté avec l'administration de naloxone. Chez les convulsions des animaux après l'administration de doses toxiques d'Ultramcomb, pourrait être supprimée par des barbituriques ou des benzodiazépines, mais a été augmentée avec la naloxone. L'administration de naloxone n'a pas changé la létalité d'une surdose chez la souris. L'hémodialyse ne devrait pas être utile dans une surdose car elle élimine moins de 7% de la dose administrée dans une période de dialyse de 4 heures.
Étant donné que la durée de l'inversion des opioïdes devrait être inférieure à la durée d'action du tramadol dans Ultram surveille soigneusement le patient jusqu'à ce que la respiration spontanée soit rétablie de manière fiable. Si la réponse à un antagoniste opioïde est-ce que l'antagoniste opioïde ou seulement un bref a administré un antagoniste supplémentaire conformément aux informations de prescription du produit.
Dans un individu dépendant physiquement de l'administration d'opioïdes de la dose habituelle recommandée de l'antagoniste précipitera un syndrome de retrait aigu. La gravité des symptômes de sevrage éprouvées dépendra du degré de dépendance physique et de la dose de l'antagoniste administré. Si une décision est prise de traiter la dépression respiratoire grave dans l'administration physique des patients dépendant de l'antagoniste devrait être commencé avec soin et par titrage avec des doses plus petites que d'habitude de l'antagoniste.
Contre-indications for Ultram
Ultram est contre-indiqué pour:
- tous les enfants de moins de 12 ans [voir Avertissements et précautions ].
- Gestion postopératoire chez les enfants de moins de 18 ans après l'amygdalectomie et / ou l'adénoïdectomie [voir Avertissements et précautions ].
Ultram est également contre-indiqué chez les patients avec:
- Dépression respiratoire importante [voir Avertissements et précautions ].
- Asthme bronchique aigu ou sévère dans un cadre non surveillé ou en l'absence d'équipement de réanimation [voir Avertissements et précautions ].
- Obstruction gastro-intestinale connue ou suspectée, y compris l'iléus paralytique [voir Avertissements et précautions ].
- Hypersensibilité au tramadol tout autre composant de ce produit ou opioïde [voir Avertissements et précautions ].
- Utilisation concomitante des inhibiteurs de la monoamine oxydase (MAOI) ou utilisez dans les 14 derniers jours [voir Interactions médicamenteuses ].
Pharmacologie clinique for Ultram
Mécanisme d'action
Ultram contient du tramadol un agoniste opioïde et un inhibiteur de la réadaptation de la noradrénaline et de la sérotonine. Bien que le mode d'action ne soit pas entièrement compris, l'effet analgésique du tramadol est dû à la fois à la liaison à la μ-opioiDrecepteurs et à une faible inhibition de la réadaptation de la norépinéphrine et de la sérotonine.
L'activité des opioïdes est due à la fois à une faible liaison d'affinité du composé parent et à une liaison d'affinité plus élevée du métabolite M1 du métabolite O aux récepteurs μ-opioïdes. Dans les modèles animaux, M1 est jusqu'à 6 fois plus puissant que le tramadol dans la production d'analgésie et 200 fois plus puissant dans la liaison μ-opioïde. L'analgésie induite par le tramadol n'est que partiellement antagonisée par l'antagoniste opioïde de la naloxone dans plusieurs tests animaux. La contribution relative du tramadol et du M1 à l'analgésie humaine dépend des concentrations plasmatiques de chaque composé [voir Pharmacologie clinique ].
L'analgésie chez l'homme commence environ une heure après l'administration et atteint un pic en environ deux heures.
Pharmacodynamique
Effets sur le système nerveux central
Le tramadol produit une dépression respiratoire par action directe sur les centres respiratoires du tronc cérébral. La dépression respiratoire implique une réduction de la réactivité des centres respiratoires du tronc cérébral à une augmentation de la tension et de la stimulation électrique du dioxyde de carbone.
L'administration du tramadol peut produire une constellation de symptômes, notamment des nausées et des vomissements, les étourdissements et la somnolence.
Le tramadol provoque la miose même dans l'obscurité totale. Les élèves identités sont un signe de surdose d'opioïdes mais ne sont pas pathognomoniques (par exemple, des lésions pontines d'origine hémorragique ou ischémique peuvent produire des résultats similaires). La mydriase marquée plutôt que la miose peut être observée en raison de l'hypoxie dans les situations de surdosage.
Effets sur le tractus gastro-intestinal et d'autres muscles lisses
Le tramadol provoque une réduction de la motilité associée à une augmentation du tonus musculaire lisse dans l'antre de l'estomac et du duodénum. La digestion des aliments dans l'intestin grêle est retardée et les contractions propulsives sont diminuées. Les ondes péristaltiques propulsives dans le côlon sont diminuées tandis que le ton peut être augmenté au point de spasme, entraînant une constipation. D'autres effets induits par les opioïdes peuvent inclure une réduction des spasmes de sécrétions biliaires et pancréatiques du sphincter d'Oddi et des élévations transitoires de l'amylase sérique.
Effets sur le système cardiovasculaire
Le tramadol produit une vasodilatation périphérique qui peut entraîner une hypotension ou une syncope orthostatique. Les manifestations de la vasodilatation périphérique peuvent inclure le prurit rinçage des yeux rouges transpirant et / ou une hypotension orthostatique.
L'effet du tramadol oral sur l'intervalle QTCF a été évalué dans une étude contrôlée par placebo à quatre voies randomisée en double aveugle et positive (moxifloxacine) chez 68 sujets sains masculins et féminins adultes. À une dose de 600 mg / jour (NULL,5 fois la dose quotidienne maximale à libération immédiate), l'étude n'a démontré aucun effet significatif sur l'intervalle QTCF.
Effets sur le système endocrinien
Les opioïdes inhibent la sécrétion de l'hormone adrénocorticotrope (ACTH) cortisol et de l'hormone lutéinisante (LH) chez l'homme. Ils stimulent également la prolactine hormone de croissance (GH) Sécrétion et sécrétion pancréatique d'insuline et de glucagon [voir Avertissements et précautions ; Effets indésirables ].
L'utilisation chronique d'opioïdes peut influencer l'axe hypothalamo-hypophyso-gonadique conduisant à une carence en androgène qui peut se manifester comme une faible libido impuissance Dysfonction érectile Aménorrhée ou infertilité. Le rôle causal des opioïdes dans le syndrome clinique de l'hypogonadisme est inconnu car les diverses moteurs de vie physique et stress psychologiques qui peuvent influencer les niveaux d'hormones gonadiques n'ont pas été correctement contrôlés dans les études menées à ce jour [voir Effets indésirables ].
Effets sur le système immunitaire
Il a été démontré que les opioïdes ont une variété d'effets sur les composants du système immunitaire dans les modèles in vitro et animaux. La signification clinique de ces résultats est inconnue. Dans l'ensemble, les effets des opioïdes semblent être modestement immunosuppresseurs.
Relations d'efficacité de la concentration
La concentration analgésique efficace minimale variera considérablement selon les patients, en particulier chez les patients qui ont été traités auparavant avec de puissants agonistes opioïdes. La concentration analgésique efficace minimale de tramadol pour tout patient individuel peut augmenter avec le temps en raison d'une augmentation de la douleur Le développement d'un nouveau syndrome de la douleur et / ou le développement d'une tolérance analgésique [voir Posologie et administration ].
RELATIONS DE RÉACTION DES CONCURTÉS
Il existe une relation entre l'augmentation de la concentration plasmatique du tramadol et l'augmentation de la fréquence des effets indésirables opioïdes liés à la dose tels que les effets du SNC et la dépression respiratoire. Chez les patients tolérants aux opioïdes, la situation peut être modifiée par le développement de la tolérance aux effets indésirables liés aux opioïdes [voir Posologie et administration ].
Pharmacocinétique
L'activité analgésique d'Ultram est due à la fois au médicament parent et au métabolite M1 [voir Pharmacologie clinique ]. Tramadol is administered as a racemate et both the [-] et [+] forms of both tramadol et M1 are detected in the circulation. Linear pharmacokinetics have been observed following multiple doses of 50 et 100 mg to steady-state.
Absorption
La biodisponibilité absolue moyenne d'une dose orale de 100 mg est d'environ 75%. La concentration plasmatique maximale moyenne de tramadol racémique et de M1 se produit respectivement à deux et trois heures après l'administration chez des adultes en bonne santé. En général, les deux énantiomères de tramadol et de m1 suivent une évolution parallèle dans le corps après des doses uniques et multiples bien que les petitesdifférences (~ 10%) existent dans la quantité absolue de chaque énantiomère présent.
Les concentrations plasmatiques à l'état d'équilibre de tramadol et de M1 sont obtenues dans les deux jours avec un dosage quatre fois par jour. Il n'y a aucune preuve d'auto-induction (voir figure 1 et tableau 3 ci-dessous).
Figure 1: Profils moyens de concentration plasmatique de tramadol et de M1 après une seule dose orale de 100 mg et après vingt-neuf doses orales de 100 mg de tramadol HCl, étant quatre fois par jour.
|
Tableau 3: Moyenne (% CV) Paramètres pharmacocinétiques pour le tramadol racémique et M1Metabolite
| Régime de population / dosage * | Médicament / métabolite parent | Cône de pointe. (ng / ml) | Temps de pointe (HR) | Autorisation / F † (ml / min / kg) | T½ (HR) |
| Adultes en bonne santé 100 mg QID MD P.O. | Tramadol | 592 (30) | 2.3 | 5.90 (25) ‡ | 6.7 (15) |
| Ml | 110 (29) | 2.4 | 7.0 (14) | ||
| Adultes en bonne santé 100 mg SD P.O. | Tramadol | 308 (25) | 1.6 (63) | 8,50 (31) ‡ | 5.6 (20) |
| M1 | 55,0 (36) | 3.0 (51) | 6.7 (16) | ||
| Gériatrique (> 75 ans) 50 mg SD P.O. | Tramadol | 208 (31) § | 2.1 (19) § | 6.89 (25) ‡ | |
| M1 | 7.0 (23) § | ||||
| Hépatique altérée 50 mg SD P.O. | Tramadol | 217 (11) | 1.9 (16) | 4.23 (56) ‡ | 13.3 (11) |
| M1 | 19.4 (12) | 9.8 (20) | 18,5 (15) | ||
| Clcr altéré rénal 10-30 ml / min 100 mg SD I.V. | Tramadol | ‡ | ‡ | 4.23 (54) ‡ | 10.6 (31) |
| M1 | ‡ | ‡ | 11,5 (40) | ||
| Clcr altéré rénal <5 mL/min 100 mg SD i.v. | Tramadol | ‡ | ‡ | 3.73 (17) ‡ | 11.0 (29) |
| M1 | ‡ | ‡ | 16.9 (18) | ||
| * Sd = dose unique md = dose multiple p.o. = administration orale i.v. = administration intraveineuseq.i.d. = Quatre fois par jour † f représente la biodisponibilité orale du tramadol ‡ Non applicable § Pas mesuré |
Effets alimentaires
L'administration orale d'Ultram avec des aliments n'affecte pas significativement sa vitesse ou son étendue d'absorption, donc Ultram peut être administré sans égard à la nourriture.
Distribution
Le volume de distribution du tramadol était de 2,6 et 2,9 litres / kg chez les sujets masculins et féminins respectivement après une dose intraveineuse de 100 mg. La liaison du tramadol aux protéines plasmatiques humaines est d'environ 20% et la liaison semble également indépendante de la concentration jusqu'à 10 mcg / ml. La saturation de la liaison aux protéines plasmatiques ne se produit qu'à des concentrations en dehors de la plage cliniquement pertinente.
Élimination
Tramadol is eliminated primarily through metabolism by the liver et the metabolites are eliminated primarily by the kidneys. The mean (%CV) apparent total clearance of tramadol after a single 100 mg oral dose is 8.50 (31) mL/min/kg. The mean terminal plasma elimination half-lives of racemic tramadol et racemic M1 are 6.3 ± 1.4 et 7.4 ± 1.4 hours respectively. The plasma elimination half-life of racemic tramadol increased from approximately six hours to seven hoursupon multiple dosing.
Métabolisme
Tramadol is extensively metabolized after oral administration by a number of pathways including CYP2D6 et CYP3A4 as well as by conjugation of parent et metabolites. Approximately 30% of the dose is excreted in the urine as unchanged drug whereas 60% of the dose is excreted as metabolites. The remainder is excreted either as unidentified or as unextractable metabolites. The major metabolic pathways appear to be N- et O-demethylation et glucuronidation or sulfation in theliver. One metabolite (O-desmethyltramadol denoted M1) is pharmacologically active in animal models. Formation of M1 isdependent on CYP2D6 et as such is subject to inhibition which may affect the therapeutic response [Warnings et Precautions (5.4); Interactions médicamenteuses (7)].
Environ 7% de la population a réduit l'activité de l'isoenzyme CYP2D6 du cytochrome P-450. Ces individus sont de mauvais métaboliseurs d'antidépresseurs tricycliques dextrométhorphane parmi d'autres médicaments. Sur la base de l'analyse d'apopulation PK des études de phase 1 chez les concentrations de sujets saines de tramadol, des métaboliseurs inpoor environ 20% plus élevés par rapport aux métaboliseurs étendus tandis que les concentrations de M1 étaient 40% inférieures. Le traitement concomitant intra-inhibiteurs du CYP2D6 tel que la fluoxétine paroxétine et la quinidine pourrait entraîner des interactions médicamenteuses importantes. Des études d'interaction médicament in vitro dans les microsomes hépatiques humains indiquent que les inhibiteurs du CYP2D6 tels que la fluoxétine et son métabolite de la norfluoxetine amitriptyline et la quinidine inhibent le métabolisme du tramadol à divers degrés suggérant que l'administration concomitante pourrait entraîner des augmentations de concentrations de tramadol et une diminution des concentrations de M1. Les modifications en termes d'efficacité ou de sécurité sont inconnues. L'utilisation concomitante des inhibiteurs de la relance de la sérotonine et des inhibiteurs du MAO peut améliorer le risque d'événements indésirables, notamment la crise et le syndrome de la sérotonine [voir Avertissements et précautions et Interactions médicamenteuses ].
Excrétion
Tramadol metabolites are eliminated primarily by the kidneys. Approximately 30% of the dose is excreted in the urine as unchanged drug whereas 60% of the dose is excreted as metabolites. The remainder is excreted either as unidentified or as unextractable metabolites.
Populations spéciales
Trouble hépatique
Métabolisme of tramadol et M1 is reduced in patients with severe hepatic impairment based on a study in patients with advanced cirrhosis of the liver resulting in both a larger area under the concentration time curve for tramadol et longer tramadol et M1 elimination half-lives (13 hrs. for tramadol et 19 hrs. for M1). In patients with severe hepatic impairment adjustment of the dosing regimen is recommended [see Posologie et administration ].
Trouble rénal
La fonction rénale altérée entraîne une diminution du taux et de l'étendue de l'excrétion du tramadol et de son métabolite actif M1. Les patients hospitalisés avec des dégagements de créatinine de moins de 30 ml / min de réglage du schéma posologique sont recommandés [voir Posologie et administration ]. The total amount of tramadol et M1 removed during a 4-hour dialysis period is less than 7% of the administered dose.
Âge: gériatrique
Les sujets âgés en bonne santé âgés de 65 à 75 ans ont des concentrations plasmatiques de tramadol et l'élimination des demi-vies comparables à celles observées chez des sujets sains de moins de 65 ans. Chez les sujets de plus de 75 ans, les concentrations de sérum maximales sont élevées (208 contre 162 ng / ml) et la demi-vie d'élimination est prolongée (7 contre 6 heures) par rapport aux sujets de 65 à 75 ans. L'ajustement de la dose quotidienne est recommandé pour les patients de plus de 75 ans [voir Posologie et administration ].
Sexe
La biodisponibilité absolue du tramadol était de 73% chez les hommes et 79% chez les femmes. La clairance du plasma était de 6,4 ml / min / kg d'Inmales et 5,7 ml / min / kg chez les femmes après une dose de 100 mg de tramadol. Après une seule dose orale et après ajustement pour le poids corporel, les femelles avaient une concentration de tramadol de pic de 12% plus élevée et une superficie de 35% plus élevée sous la courbe de concentration par rapport aux hommes. La signification clinique de cette différence est inconnue.
Métaboliseurs pauvres / étendus CYP2D6
La formation du métabolite actif M1 est médiée par l'enzyme polymorphe CYP2D6 A. Environ 7% de la population a réduit l'activité de l'isoenzyme CYP2D6 du système d'enzyme de métabolisation du cytochrome P450. Ces individus sont de mauvais métaboliseurs d'antidépresseurs de débrisoquine dextrométhorphane et de tricycliques parmi d'autres médicaments. Basés sur une analyse PK de la population des études de phase 1 avec des comprimés IR dans des concentrations de sujets sains de tramadol tandis que les concentrations de M1 étaient plus élevées dans des métaboliseurs pauvres.
Études cliniques
Ultram a été donné à des doses orales uniques de 50 75 et 100 mg aux patients souffrant de douleur après des procédures chirurgicales et de la douleur après une chirurgie buccale (extraction des molaires affectées).
Dans des modèles de douleur à dose unique après une chirurgie buccale, un soulagement de la douleur a été démontré chez certains patients à des doses de 50 mg et 75 mg. Une dose de 100 mg ultram avait tendance à fournir une analgésie supérieure au sulfate de codéine 60 mg, mais elle n'était pas aussi efficace comme la combinaison de l'aspirine 650 mg avec du phosphate de codéine 60 mg.
Ultram a été étudié dans trois essais contrôlés à long terme impliquant un total de 820 patients avec 530 patients recevant Ultram. Les patients présentant une variété de conditions douloureuses chroniques ont été étudiées dans des essais en double aveugle d'une à trois mois de durée. Les doses quotidiennes moyennes d'environ 250 mg d'Ultram en doses divisées étaient généralement comparables à cinq doses d'acétaminophène 300 mg avec du phosphate de codéine 30 mg (Tylenol avec codéine
Essais de titrage
Dans une étude clinique en aveugle randomisée avec 129 à 132 patients par groupe un titration de 10 jours à une dose ultram quotidienne de 200 mg (50 mg quatre fois par jour) atteint par des incréments de 50 mg tous les 3 jours, ce qui entraîne moins de 4 jours ou pas de titrage. Dans une deuxième étude avec 54 à 59 patients par groupe, des patients qui avaient des nausées ou des vomissements lorsqu'ils sont titrés sur 4 jours ont été randomisés pour réinitialiser l'ultramiothérapie en utilisant des taux de titrage plus lents.
Un calendrier de titration de 16 jours à partir de 25 mg chaque matin et en utilisant des doses supplémentaires par incréments de 25 mg tous les troisième jour à 100 mg / jour (25 mg quatre fois par jour) suivis par des incréments de 50 mg de la dose quotidienne totale tous les troisième jours à 200 mg / jour (50 mg quatre fois par jour) a entraîné des dispositions moins importantes dues à un programme de nautrage ou à un niveau de rétractation.
Figure 2: Protocole CAPSS-047 Temps pour l'arrêt en raison de nausée / vomissements
|
Informations sur les patients pour Ultram
Ultram®
(TRAMADOL HYDROCHLORY)
Ultram est
- Un médicament contre la douleur sur ordonnance fort qui contient un opioïde (narcotique) qui est utilisé pour la douleur de gestion chez l'adulte lorsque d'autres traitements de la douleur tels que les médicaments contre la douleur non opioïdes ne traitent pas assez bien votre douleur ou que vous ne pouvez pas tolérer.
- Un médicament contre la douleur opioïde qui peut vous mettre à risque de surdose et de mort. Même si vous prenez correctement votre dose, vous êtes à risque d'abus de dépendance aux opioïdes et d'une mauvaise utilisation qui peuvent entraîner la mort.
Informations importantes sur Ultram:
- Obtenez une aide d'urgence ou appelez le 911 immédiatement si vous prenez trop d'Ultram (surdose). Lorsque vous commencez à prendre Ultram lorsque votre dose est modifiée ou si vous prenez trop de problèmes respiratoires graves ou mortels qui peuvent entraîner la mort. Parlez à votre fournisseur de soins de santé de la naloxone un médicament pour le traitement d'urgence d'une surdose d'opioïdes.
- La prise d'Ultram avec d'autres médicaments opioïdes benzodiazépines alcool ou autres dépresseurs du système nerveux central (y compris les médicaments de rue) peut provoquer une forte somnolence diminuée des problèmes respiratoires de la conscience du coma et de la mort.
- Ne donnez jamais à personne d'autre votre Ultram. Ils pourraient mourir de le prendre. Vendre ou donner Ultram est contraire à la loi.
- Stocker Ultram en toute sécurité hors de la vue et de la portée des enfants et dans un endroit non accessible par d'autres, y compris les visiteurs de la maison.
Informations importantes guidant l'utilisation chez les patients pédiatriques:
- Ne donnez pas Ultram à un enfant de moins de 12 ans.
- Ne donnez pas Ultram à un enfant de moins de 18 ans après la chirurgie pour éliminer les amygdales et / ou les adénoïdes.
- Évitez de donner à Ultram aux enfants âgés de 12 à 18 ans qui ont des facteurs de risque de problèmes respiratoires tels que l'obésité obstructive du sommeil ou les problèmes pulmonaires sous-jacents.
Ne prenez pas Ultram si vous avez:
- Des problèmes d'asthme graves respirer ou d'autres problèmes pulmonaires.
- Un blocage intestinal ou avoir un rétrécissement de l'estomac ou des intestins.
- Un allergie à tramadol.
- Pris un inhibiteur de la monoamine oxydase MAOI (médicament utilisé pour la dépression) dans les 14 derniers jours.
Avant de prendre Ultram, dites à votre fournisseur de soins de santé si vous avez des antécédents:
- Séizées sur les blessures à la tête
- Problèmes Uriner
- Problèmes de thyroïde rein du foie
- Problèmes de pancréas ou de vésicule biliaire
- Abus de rue ou de médicaments sur ordonnance Addiction alcoolique Opioïde Opioïde ou problèmes de santé mentale.
Dites à votre fournisseur de soins de santé si vous êtes:
- enceinte ou prévoyez de devenir enceinte . L'utilisation prolongée d'Ultram pendant la grossesse peut provoquer des symptômes de sevrage chez votre nouveau-né qui pourraient être potentiellement mortels s'ils ne sont pas reconnus et traités.
- allaitement maternel . Non recommandé; Cela peut nuire à votre bébé.
- Vivre dans un ménage où il y a de petits enfants ou quelqu'un qui a abusé des médicaments de rue ou de prescription.
- Prendre des médicaments sur ordonnance ou en vente libre vitamines ou suppléments à base de plantes. La prise d'Ultram avec certains autres médicaments peut provoquer de graves effets secondaires qui pourraient entraîner la mort.
Lorsque vous prenez Ultram:
- Ne changez pas votre dose. Prenez Ultram exactement comme prescrit par votre fournisseur de soins de santé. Utilisez le plus bas dosepossible pour les plus brefs délais nécessaires.
- Prenez votre dose prescrite comme indiqué par votre fournisseur de soins de santé. La dose maximale est de 1 ou 2 comprimés toutes les 4 à 6 heures au besoin pour le soulagement de la douleur. Ne prenez pas plus que votre dose prescrite et ne prenez pas plus de 8 comprimés par jour. Si vous manquez une dose, prenez votre prochaine dose à votre heure habituelle.
- Appelez votre fournisseur de soins de santé si la dose que vous prenez ne contrôle pas votre douleur.
- Si vous prenez Ultram régulièrement, n'arrêtez pas de prendre Ultram sans parler à votre fournisseur de soins de santé.
- Eliminer les ultram indésirables ou inutilisés expirés en emmenant votre médicament à un programme de collecteur ou de retrait enregistré en Administration de la Drug Enforcement Administration (DEA). Si l'on n'est pas disponible, vous pouvez éliminer Ultram en mélangeant le produit avec une litière de chat en terre ou un marc de café; Placer le mélange dans un sac en plastique scellé et jeter le sac dans vos ordures.
Tout en prenant Ultram, ne le faites pas:
- Conduisez ou utilisez des machines lourdes jusqu'à ce que vous sachiez comment Ultram vous affecte. Ultram peut vous rendre somnolent étourdi.
- Buvez de l'alcool ou utilisez des médicaments sur ordonnance ou en vente libre qui contiennent de l'alcool. L'utilisation de produits contenant un traitement d'alcoage avec Ultram peut vous faire une surdose et mourir.
Les effets secondaires possibles de Ultram:
- constipation nausée sleepiness vomissement tiredness mal de tête vertiges abdominal pain. Call your healthcare provider if you have any of these symptoms et they are severe.
Obtenez une aide médicale d'urgence ou appelez le 911 immédiatement si vous avez:
- Problème de respiration du souffle du rythme cardiaque rapide soufflant la douleur thoracique gonflement de votre visage la langue ou la gorge de la gorge extrême de somnolence légère lors de la modification des positions en se sentant à faible agitation de la température corporelle élevée en difficulté des muscles raides ou des changements mentaux tels que la confusion.
- Ce ne sont pas tous les effets secondaires possibles de Ultram. Appelez votre médecin pour des conseils médicaux sur les effets secondaires. Vous pouvez signaler les effets secondaires à la FDA au 1-800-FDA-1088. Pour plus d'informations, rendez-vous sur dailymed.nlm.nih.gov.
Ce guide de médicaments a été approuvé par la Food and Drug Administration des États-Unis.