Les Informations Présentées Sur Ce Site Ne Constituent Pas Un Avis Médical. Nous Ne Vendons Rien. L'Exactitude De La Traduction N'Est Pas Garantie. Clause De Non-Responsabilité
Analgésiques, combos AINS / opioïdes
Vicoprofène
Résumé
Qu'est-ce que le vicoprofène?
Le vicoprofène (hydrocodone et ibuprofène) est une combinaison d'un analgésique narcotique et d'un médicament anti-inflammatoire non stéroïdal (AINS) a utilisé à court terme pour soulager une douleur intense. Le vicoprofène n'est pas pour traiter arthrite douleur. Vicoprofen est disponible en générique formulaire.
Quels sont les effets secondaires du vicoprofène?
Vicoprofène
- urticaire
- difficulté à respirer
- gonflement de ton visage lèvres langue ou gorge
- fièvre
- mal de gorge
- brûler dans vos yeux
- douleur cutanée
- éruption cutanée rouge ou violet qui se propage et provoque et peleuse
- Douleur thoracique se propageant à votre mâchoire ou à votre épaule
- engourdissement soudain
- faiblesse d'un côté du corps
- discours
- gonflement des jambes
- essoufflement
- respiration faible ou peu profonde
- soupirs
- rythme cardiaque lent
- La respiration qui s'arrête pendant le sommeil
- gonflement
- gain de poids rapide
- Rash de la peau (peu importe la douceur)
- selles sanglantes ou goudronneuses
- cracher du sang
- Vomi qui ressemble à un marc de café
- perte d'appétit
- diarrhée
- Douleurs du haut de l'estomac
- fatigue
- Symptômes pseudo-grippaux
- urine sombre
- jaunissement de la peau ou des yeux ( jaunisse )
- peu ou pas de miction
- gonflement in your feet or ankles
- fatigue
- vomissement
- vertiges
- aggraver la fatigue
- faiblesse
- agitation
- hallucinations
- fièvre
- transpiration
- tremblement
- fréquence cardiaque rapide
- raideur musculaire
- contraction
- perte de coordination et
- nausée
Obtenez de l'aide médicale immédiatement si vous présentez l'un des symptômes énumérés ci-dessus.
Les effets secondaires courants du vicoprofène comprennent:
- estomac renversé
- nausée
- vomissement
- constipation
- diarrhée
- vertiges
- étourdissement
- somnolence
- mal de tête
- vision floue ou
- bouche sèche .
Dites à votre médecin si vous avez des effets secondaires graves du vicoprofène, notamment:
- ecchymoses ou saignements faciles
- rythme cardiaque rapide ou martelant
- Avalerie difficile ou douloureuse
- Changements mentaux / d'humeur (comme les hallucinations de confusion d'agitation)
- difficulté à uriner
- gonflement of hets or feet
- Gain de poids soudain ou inexpliqué
- faiblesse inhabituelle ou
- fatigue inhabituelle.
Cherchez des soins médicaux ou appelez le 911 à la fois si vous avez les effets secondaires graves suivants:
- Des symptômes oculaires graves tels que la perte de vision soudaine floue du tunnel de vision de la vision de la vision des yeux ou de l'enflure ou de voir des halos autour des lumières;
- Symptômes cardiaques graves tels que les battements cardiaques rapides ou battants; flotter dans votre poitrine; essoufflement; et des étourdissements soudains, de la légèreté ou de l'évanouissement;
- Maux de tête sévères Confusion Slurred Speech Bras ou Ligne Proulitude Trouble de la merde Perte de coordination Sentiment des muscles très rigides très rigides Fièvre élevée Propice ou des tremblements.
Ce document ne contient pas tous les effets secondaires possibles et d'autres peuvent survenir. Vérifiez auprès de votre médecin des informations supplémentaires sur les effets secondaires.
Dose pour le vicoprofène
La dose de vicoprofène est ajustée au patient individuel.
Quelles substances ou suppléments de médicaments interagissent avec le vicoprofène?
Le vicoprofène peut interagir négativement avec les inhibiteurs des antidépresseurs MAO aspirine ou d'autres AINS inhibiteurs ACE inhibiteurs du lithium Bronchodilators diurétiques (pilules d'eau) Corticostéroïdes Finors sang vessie médicaments. Discutez de tous les médicaments que vous prenez avec votre médecin.
Vicoprofène pendant la grossesse ou l'allaitement
Au cours des 6 premiers mois de grossesse, ce médicament ne doit être utilisé que lorsqu'il est prescrit par un médecin. Il n'est pas recommandé au cours des 3 derniers mois de grossesse en raison de dommages possibles au fœtus et d'ingérence avec le travail / l'accouchement normal. L'utilisation de ce médicament près ou au moment de l'accouchement peut avoir des effets secondaires (tels que la respiration lente / peu profonde) sur le nouveau-né. Les bébés nés de mères qui ont utilisé ce médicament peuvent présenter des symptômes de sevrage tels que l'irritabilité anormale / des vomissements de pleurs persistants ou la diarrhée. Si vous remarquez l'un de ces symptômes dans votre nouveau-né, dites rapidement au médecin. Le vicoprofène passe dans le lait maternel et peut avoir des effets sur un nourrisson infirmier. Consultez votre médecin avant l'allaitement. Le vicoprofène peut provoquer des réactions de sevrage. Symptômes de sevrage (les yeux d'arrosage d'agitation couleuse de nause de nausées transpirant les douleurs musculaires) peut se produire si vous arrêtez soudainement ce médicament. Pour éviter le retrait, votre médecin peut réduire progressivement votre dose. Signalez immédiatement toute réaction de retrait à votre médecin.
Informations Complémentaires
Notre centre de médicaments sur les effets secondaires du vicoprofène offre une vue complète des informations sur les médicaments disponibles sur les effets secondaires potentiels lors de la prise de ce médicament.
Informations sur les médicaments de la FDA
- Description de la drogue
- Indications
- Effets secondaires
- Interactions médicamenteuses
- Avertissements
- Précautions
- Surdosage
- Contre-indications
- Pharmacologie clinique
- Guide des médicaments
Description du vicoprofène
Chaque comprimé de vicoprofène (hydrocodone et ibuprofène) contient:
Hydrocodone Bitartrate USP 7,5 mg
Ibuprofène USP 200 mg
Le vicoprofène (hydrocodone et ibuprofène) est fourni sous forme de comprimé de combinaison fixe pour l'administration orale. Le vicoprofène (hydrocodone et ibuprofène) combine l'agent analgésique opioïde Bitartrate d'hydrocodone avec l'agent anti-inflammatoire non inflammatoire (ANC) ibuprofène.
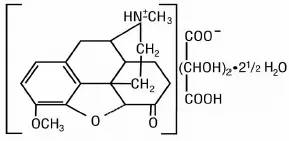
Le bitartrate d'hydrocodone est un analgésique opioïde à action centrale et à action centrale. Son nom chimique est: 45 α-époxy-3-méthoxy-17-méthylmorphinan-6-one tartrate (1: 1) hydrate (2: 5). Sa formule chimique est: c 18 H 21 NON 3 • C. 4 H 6 O 6 • 2 moish 2 O et le poids moléculaire est de 494,50. Sa formule structurelle est:
|
L'ibuprofène est un agent anti-inflammatoire non stéroïdal [inhibiteur de COX non sélectif] avec des propriétés analgésiques et antipyrétiques. Son nom chimique est: (±) -2- ( p -Isobutylphényl) Acide propionique. Sa formule chimique est: c 13 H 18 O 2 et le poids moléculaire est: 206,29. Sa formule structurelle est:
|
Les ingrédients inactifs dans les comprimés de vicoprofène (hydrocodone et d'ibuprofène) comprennent: le dioxyde de silicium colloïdal Corn Admidon de maïs croscarmellose sodium hypromellose magnésium stéarate microcristallin polyéthylène glycol polycol polycolaire 80 et dioxyde de titanium.
Utilisations pour le vicoprofène
Considérez soigneusement les avantages et les risques potentiels du vicoprofène (hydrocodone et ibuprofène) et d'autres options de traitement avant de décider d'utiliser du vicoprofène (hydrocodone et ibuprofène). Utilisez la dose efficace la plus faible pour la durée la plus courte conforme aux objectifs de traitement des patients individuels (voir Avertissements ).
Les comprimés de vicoprofène (hydrocodone et ibuprofène) sont indiqués pour la gestion à court terme (généralement moins de 10 jours) de la douleur aiguë. Le vicoprofène (hydrocodone et ibuprofène) n'est pas indiqué pour le traitement de conditions telles que l'arthrose ou la polyarthrite rhumatoïde.
Dose pour le vicoprofène
Considérez soigneusement les avantages et les risques potentiels du vicoprofène (hydrocodone et ibuprofène) et d'autres options de traitement avant de décider d'utiliser du vicoprofène (hydrocodone et ibuprofène). Utilisez la dose efficace la plus faible pour la durée la plus courte conforme aux objectifs de traitement des patients individuels (voir Avertissements ).
Après avoir observé la réponse au traitement initial avec du vicoprofène (hydrocodone et ibuprofène), la dose et la fréquence doivent être ajustées pour répondre aux besoins d'un patient individuel.
Pour la gestion à court terme (généralement moins de 10 jours) de la douleur aiguë, la dose recommandée de vicoprofène (hydrocodone et ibuprofène) est un comprimé toutes les 4 à 6 heures si nécessaire. La posologie ne doit pas dépasser 5 comprimés dans une période de 24 heures. Il convient de garder à l'esprit que la tolérance à l'hydrocodone peut se développer avec une utilisation continue et que l'incidence des effets de fâcheuse est liée à la dose.
La dose efficace la plus faible ou l'intervalle de dosage le plus long doit être recherché pour chaque patient (voir Avertissements ) surtout chez les personnes âgées. Après avoir observé la réponse initiale à la thérapie avec du vicoprofène (hydrocodone et ibuprofène), la dose et la fréquence de dosage doivent être ajustées en fonction du besoin du patient individuel sans dépasser la dose quotidienne totale recommandée.
Comment fourni
Les comprimés de vicoprofène (hydrocodone et ibuprofène) sont disponibles en tant que:
Tablettes convexes rondes recouvertes de film blanches gravées de «VP» sur Abbott «un» logo d'un côté et simple de l'autre côté.
Bouteilles de 100-NDC 0074-2277-14
Bouteilles de 500-NDC 0074-2277-54
Package de dosage de l'unité hospitalière-100 comprimés
(4 x 25 comprimés) -NDC 0074-2277-12
Stockage
Stocker à 25 ° C (77 ° F); Excursions autorisées à 15 ° -30 ° C (59 ° -86 ° F). [Voir la température ambiante contrôlée par l'USP].
Dispenser dans un récipient serré résistant à la lumière.
Une substance contrôlée de l'annexe CS-III.
Abbott Laboratories North Chicago IL 60064 U.S.A. FDA Rev Date: 7/25/2008
Effets secondaires for Vicoprofen
Le vicoprofène (hydrocodone et ibuprofène) a été administré à environ 300 patients souffrant de douleur dans une étude de sécurité qui a utilisé des dosages et une durée de traitement suffisante pour englober l'utilisation recommandée (voir Posologie et administration ). Adverse event rates generally increased with increasing daily dose. The event rates reported below are from approximately 150 patients who were in a group that received one tablet of VICOPROFEN (hydrocodone et ibuprofen) an average of three to four times daily. The overall incidence rates of adverse experiences in the trials were fairly similar for this patient group et those who received the comparison treatment acetaminophen 600 mg with codeine 60 mg.
Ce qui suit répertorie les événements indésirables qui se sont produits avec une incidence de 1% ou plus dans les essais cliniques de vicoprofène (hydrocodone et ibuprofène) sans égard à la relation causale des événements avec le médicament. Pour distinguer différents taux d'occurrence dans les études cliniques, les événements indésirables sont répertoriés comme suit:
Nom de l'événement indésirable = moins de 3%
Événements indésirables marqués d'un astérisque * = 3% à 9%
Les taux d'événements indésirables supérieurs à 9% sont entre parenthèses.
Le corps dans son ensemble
Douleur abdominale *; Asthénie*; Fièvre; Syndrome de la grippe; Maux de tête (27%); Infection*; Douleur.
Cardiovasculaire
Palpitations; Vasodilatation.
Système nerveux central
Anxiété*; Confusion; Étourdissements (14%); Hypertonia; Insomnie*; Nervosité*; Paresthésie; Somnolence (22%); Penser des anomalies.
Digestif
Anorexie; Constipation (22%); Diarrhée*; Bouche sèche *; Dyspepsie (12%); Flatulence*; Gastrite; Melena; Ulcères de bouche; Nausées (21%); Soif; Vomissement*.
Troubles métaboliques et nutritionnels
Œdème*.
Respiratoire
Dyspnée; Hiccups; Pharyngite; Rhinite.
Peau et appendices
Prurit *; Transpiration*.
est ativan comme le valium
Sens spéciaux
Acouphènes.
Urogénital
Fréquence urinaire.
Incidence moins de 1%
Le corps dans son ensemble Allergic reaction.
Cardiovasculaire
Arythmie; Hypotension; Tachycardie.
Système nerveux central
Agitation; Rêves anormaux; Diminution de la libido; Dépression; Euphorie; Changements d'humeur; Névralgie; Discours lié; Tremor vertigo.
Digestif
Tabouret crayeux; Serrer les dents; Dysphagie; Spasme œsophagien; Œsophagite; Gastro-entérite; Glossite; Élévation des enzymes hépatiques.
Métabolique et nutritionnel
Diminution du poids.
Musculo-squelettique
Arthralgia? Myalgie.
Respiratoire
Asthme; Bronchite; Enrouement; Augmentation de la toux; Congestion pulmonaire; Pneumonie; Respiration peu profonde; Sinusite.
Peau et appendices
Éruption cutanée; Urticaire.
Sens spéciaux
Vision modifiée; Mauvais goût; Les yeux secs.
Urogénital
Cystite; Glycosurie; Impuissance; Incontinence urinaire; Rétention urinaire.
Abus de drogues et dépendance
Abus abrupte et diversion des opioïdes
Le vicoprofène (hydrocodone et ibuprofène) contient de l'hydrocodone un agoniste opioïde et est une substance contrôlée de l'annexe III. Le vicoprofène (hydrocodone et ibuprofène) et d'autres opioïdes utilisés dans l'analgésie peuvent être abusés et sont soumis à un détournement criminel.
La dépendance est une maladie neurobiologique chronique primaire avec des facteurs génétiques psychosociaux et environnementaux influençant son développement et ses manifestations. Il se caractérise par des comportements qui incluent un ou plusieurs des éléments suivants: Contrôle altéré sur l'utilisation compulsive de l'utilisation compulsive Utilisation malgré le préjudice et l'envie. La toxicomanie est une maladie traitable utilisant une approche multidisciplinaire mais la rechute est courante.
Le comportement de recherche de drogue est très courant chez les toxicomanes et les toxicomanes. Les tactiques de recherche de médicaments comprennent des appels ou des visites d'urgence vers la fin des heures de bureau refus de subir des tests d'examen appropriés ou une perte répétée de référence de falsification d'ordonnances de prescriptions et de réticence à fournir des dossiers médicaux ou des coordonnées antérieures pour d'autres médecins traitants. Les achats de doctorat pour obtenir des ordonnances supplémentaires sont courants chez les toxicomanes et les personnes souffrant de dépendance non traitée.
Les abus et la dépendance sont séparés et distincts de la dépendance physique et de la tolérance. La dépendance physique n'assume généralement les dimensions cliniquement significatives qu'après plusieurs semaines d'utilisation continue des opioïdes, bien qu'un degré léger de dépendance physique puisse se développer après quelques jours de traitement aux opioïdes. La tolérance dans laquelle des doses de plus en plus importantes sont nécessaires afin de produire le même degré d'analgésie se manifestent initialement par une durée raccourcie d'effet analgésique et par la suite par une diminution de l'intensité de l'analgésie. Le taux de développement de la tolérance varie selon les patients. Les médecins doivent être conscients que l'abus d'opioïdes peut se produire en l'absence de véritable dépendance et se caractérise par une mauvaise utilisation à des fins non médicales souvent en combinaison avec d'autres substances psychoactives. Le vicoprofène (hydrocodone et ibuprofène) comme d'autres opioïdes peut être détourné pour une utilisation non médicale. La tenue de registres des informations de prescription, y compris la fréquence de quantité et les demandes de renouvellement, est fortement conseillé.
Évaluation appropriée du patient Pratiques de prescription appropriées La réévaluation périodique de la thérapie et de la dispensation et du stockage appropriés sont des mesures appropriées qui contribuent à limiter l'abus des médicaments opioïdes.
Interactions médicamenteuses for Vicoprofen
Inhibiteurs
Les rapports suggèrent que les AINS peuvent diminuer l'effet antihypertenseur des inhibiteurs de l'ECA. Cette interaction doit être prise en considération chez les patients prenant du vicoprofène (hydrocodone et ibuprofène) en même temps que les inhibiteurs de l'ECA.
Anticholinergiques
L'utilisation simultanée des anticholinergiques avec des préparations d'hydrocodone peut produire un iléus paralytique.
Antidépresseurs
L'utilisation d'inhibiteurs de monoamine oxydase (MAOI) ou d'antidépresseurs tricycliques atteints de vicoprofène (hydrocodone et d'ibuprofène) peut augmenter l'effet de l'antidépresseur ou de l'hydrocodone.
Les MAOI intensifient les effets d'au moins un médicament opioïde provoquant une confusion d'anxiété et une dépression significative de la respiration ou du coma. L'utilisation d'hydrocodone n'est pas recommandée pour les patients prenant des MAOI ou dans les 14 jours suivant l'arrêt d'un tel traitement.
Aspirine
Lorsque le vicoprofène (hydrocodone et ibuprofène) est administré avec de l'aspirine, la liaison aux protéines de l'aspirine est réduite, bien que la clairance du vicoprofène libre (hydrocodone et ibuprofène) ne soit pas modifiée. La signification clinique de cette interaction n'est pas connue; Cependant, comme pour les autres produits contenant des AINS, l'administration concomitante de vicoprofène (hydrocodone et ibuprofène) et l'aspirine ne sont généralement pas recommandées en raison du potentiel d'effets indésirables accrus.
Dépresseurs du SNC
Les patients recevant d'autres opioïdes antihistaminiques antianxiété antianxiété ou autres dépresseurs du SNC (y compris l'alcool) concomitamment avec du vicoprofène (hydrocodone et ibuprofène) peuvent présenter une dépression du SNC additive. Lorsque la thérapie combinée est envisagée, la dose d'un ou des deux agents doit être réduite.
Diurétiques
Il a été démontré que l'ibuprofène réduit l'effet natriurétique du furosémide et des thiazides chez certains patients. Cette réponse a été attribuée à l'inhibition de la synthèse rénale de la prostaglandine. Au cours d'un traitement concomitant avec du vicoprofène (hydrocodone et ibuprofène), le patient doit être observé de près pour les signes d'insuffisance rénale (voir Avertissements - effets rénaux) ainsi que l'efficacité diurétique.
Lithium
Il a été démontré que l'ibuprofène augmente la concentration plasmatique de lithium et réduit la clairance du lithium rénal. La concentration minimale moyenne de lithium a augmenté de 15% et la clairance rénale a diminué d'environ 20%. Cet effet a été attribué à l'inhibition de la synthèse rénale de la prostaglandine par l'ibuprofène. Ainsi, lorsque le vicoprofène (hydrocodone et ibuprofène) et le lithium sont administrés simultanément des patients doivent être observés pour des signes de toxicité de lithium.
Méthotrexate
L'ibuprofène ainsi que d'autres AINS auraient inhibé l'accumulation de méthotrexate de manière compétitive dans les tranches rénales de lapin. Cela peut indiquer que l'ibuprofène pourrait améliorer la toxicité du méthotrexate. La prudence doit être utilisée lorsque le vicoprofène (hydrocodone et ibuprofène) est administré en concomitance avec du méthotrexate.
Analgésiques mixtes agonistes / antagonistes opioïdes
Les analgésiques agonistes / antagonistes (c'est-à-dire la pentazocine nalbuphine butorphanol et la buprénorphine) doivent être administrés avec prudence aux patients qui ont reçu ou reçoivent un traitement avec un analgésique d'oponiste opioïde pur tel que l'hydrocodone. Dans cette situation, les analgésiques mixtes agonistes / antagonistes peuvent réduire l'effet analgésique de l'hydrocodone et / ou précipiter les symptômes de sevrage chez ces patients.
Agents de blocage neuromusculaires
L'hydrocodone ainsi que d'autres analgésiques opioïdes peuvent améliorer l'action de blocage neuromusculaire des relaxants musculaires squelettiques et produire un degré accru de dépression respiratoire.
Warfarine
Les effets de la warfarine et des AINS sur les saignements gastro-intestinaux sont synergiques de telle sorte que les utilisateurs des deux médicaments ensemble ont un risque de saignement GI grave plus élevé que les utilisateurs de l'un ou l'autre médicament seul.
Avertissements for Vicoprofen
Cardiovasculaire Effects
Cardiovasculaire Thrombotic Events
Des essais cliniques de plusieurs AINS sélectifs et non sélectifs de COX-2 d'une durée jusqu'à trois ans ont montré un risque accru de grave infarctus du myocarde thrombotique cardiovasculaire (CV) qui peut être fatal. Tous les AINS sont à la fois sélectifs et non sélectifs de COX-2 peuvent avoir un risque similaire. Les patients atteints d'une maladie CV connue ou des facteurs de risque de maladie CV peuvent être plus à risque. Pour minimiser le risque potentiel pour un événement CV défavorable chez les patients traités par un AINS, la dose efficace la plus faible doit être utilisée pour la durée la plus courte possible. Les médecins et les patients devraient rester vigilants pour le développement de ces événements, même en l'absence de symptômes de CV précédents. Les patients doivent être informés des signes et / ou des symptômes des événements CV graves et des mesures à prendre en cas de se produire.
Il n'y a aucune preuve cohérente que l'utilisation simultanée de l'aspirine atténue le risque accru de graves événements thrombotiques CV associés à l'utilisation des AINS. L'utilisation simultanée de l'aspirine et d'un AINS augmente le risque d'événements GI graves (voir GI Avertissements ).
Deux grands essais cliniques contrôlés d'un AINS sélectif COX-2 pour le traitement de la douleur dans les 10 à 14 premiers jours suivant la chirurgie du CABG ont trouvé une incidence accrue de l'infarctus du myocarde et de l'AVC (voir (voir Contre-indications ).
Hypertension
Les produits contenant des AINS, y compris le vicoprofène (hydrocodone et l'ibuprofène), peuvent entraîner l'apparition d'une nouvelle hypertension ou une aggravation de l'hypertension préexistante, ce qui peut contribuer à l'incidence accrue des événements CV. Les patients prenant des thiazides ou des diurétiques en boucle peuvent avoir une réponse altérée à ces thérapies lors de la prise d'AINS. Les produits contenant des AINS, y compris le vicoprofène (hydrocodone et l'ibuprofène) doivent être utilisés avec prudence chez les patients souffrant d'hypertension. La pression artérielle (PA) doit être surveillée étroitement lors de l'initiation du traitement AINS et tout au long du traitement.
Insuffisance cardiaque congestive et œdème
La rétention des liquides et l'œdème ont été observés chez certains patients prenant des AINS. Le vicoprofène (hydrocodone et ibuprofène) doit être utilisé avec prudence chez les patients atteints de rétention de liquide ou d'insuffisance cardiaque.
Abus abrupte et diversion des opioïdes
Le vicoprofène (hydrocodone et ibuprofène) contient de l'hydrocodone un agoniste opioïde et est une substance contrôlée de l'annexe III. Les agonistes opioïdes ont le potentiel de maltraitement et sont recherchés par les agresseurs et les personnes souffrant de troubles de la toxicomanie et sont soumis à un détournement.
Le vicoprofène (hydrocodone et ibuprofène) peut être abusé d'une manière similaire à d'autres agonistes opioïdes légaux ou illicites. Cela doit être pris en compte lors de la prescription ou de la distribution de vicoprofène (hydrocodone et ibuprofène) dans des situations où le médecin ou le pharmacien est préoccupé par un risque accru de maltraitance ou de détournement (voir (voir Abus de drogues et dépendance ).
Respiratoire Depression
À des doses élevées ou chez les patients sensibles aux opioïdes, l'hydrocodone peut produire une dépression respiratoire liée à la dose en agissant directement sur les centres respiratoires du tronc cérébral. L'hydrocodone affecte également le centre qui contrôle le rythme respiratoire et peut produire une respiration irrégulière et périodique.
Traumatisme crânien et augmentation de la pression intracrânienne
Les effets dépressifs respiratoires des opioïdes et leur capacité à élever la pression du liquide céphalorachidien peuvent être nettement exagérés en présence de lésions intracrâniennes des blessures à la tête ou une augmentation préexistante de la pression intracrânienne. De plus, les opioïdes produisent des effets indésirables qui peuvent obscurcir l'évolution clinique des patients souffrant de traumatismes crâniens.
Conditions abdominales aiguës
L'administration d'opioïdes peut masquer le diagnostic ou l'évolution clinique des patients souffrant de conditions abdominales aiguës.
Effets gastro-intestinaux (GI) - Risque de saignement et de perforation de l'ulcération gastro
Les AINS, y compris le vicoprofène (hydrocodone et ibuprofène) peuvent provoquer des événements indésirables gastro-intestinaux (GI) graves, notamment une ulcération des saignements d'inflammation et une perforation de l'estomac grêle ou de l'intestin grave qui peut être mortel. Ces événements indésirables graves peuvent survenir à tout moment avec ou sans symptômes d'avertissement chez les patients traités par AINS. Seul un seul patient sur cinq qui développe un événement indésirable GI supérieur grave sur le traitement des AINS est symptomatique. Les ulcères gastro-intestinaux supérieurs ou la perforation bruts causés par les AINS se produisent chez environ 1% des patients traités pendant 3 à 6 mois et chez environ 2 à 4% des patients traités pendant un an. Ces tendances se poursuivent avec une plus longue durée d'utilisation augmentant la probabilité de développer un événement GI sérieux à un moment donné au cours du traitement. Cependant, même la thérapie à court terme n'est pas sans risque.
Les AINS doivent être prescrits avec une extrême prudence chez les personnes ayant des antécédents de maladie ulcère ou de saignements gastro-intestinaux. Patients avec un antécédents de maladie de l'ulcère gastro-duo et / ou de saignement gastro-intestinal L'OMS utilise les AINS présente un risque supérieur à 10 fois pour développer un saignement gastro-intestinal par rapport aux patients avec aucun de ces facteurs de risque. D'autres facteurs qui augmentent le risque de saignement gastro-intestinal chez les patients traités par des AINS comprennent l'utilisation concomitante de corticostéroïdes oraux ou d'anticoagulants plus longue durée des AINS à utiliser l'âge plus âgé de l'alcool et un mauvais état de santé générale. La plupart des rapports spontanés d'événements mortels gastro-intestinaux sont chez les patients âgés ou affaiblis et, par conséquent, des soins particuliers devraient être pris dans le traitement de cette population.
Pour minimiser le risque potentiel pour un événement IG indésirable chez les patients traités par un AINS, la dose efficace la plus faible doit être utilisée pour la durée la plus courte possible. Les patients et les médecins doivent rester vigilants des signes et des symptômes de l'ulcération et des saignements GI pendant le traitement des AINS et initier rapidement une évaluation et un traitement supplémentaires si un événement indésirable GI grave est suspecté. Cela devrait inclure l'arrêt des AINS jusqu'à ce qu'un événement indésirable GI grave soit exclu. Pour les patients à haut risque, des thérapies alternées qui n'impliquent pas les AINS doivent être prises en compte.
Effets rénaux
L'administration à long terme d'AINS a entraîné une nécrose papillaire rénale et d'autres lésions rénales. La toxicité rénale a également été observée chez les patients chez qui les prostaglandines rénales ont un rôle compensatoire dans le maintien de la perfusion rénale. Chez ces patients, l'administration d'un médicament anti-inflammatoire non stéroïdal peut entraîner une réduction dose-dépendante de la formation de la prostaglandine et secondairement dans le flux sanguin rénal qui peut précipiter la décompensation rénale manifeste. Les patients le plus à risque de cette réaction sont ceux qui ont une altération du dysfonctionnement du foie d'insuffisance cardiaque de la fonction rénale ceux qui prennent des diurétiques et des inhibiteurs de l'ECA et les personnes âgées. L'arrêt du traitement des AINS est généralement suivi par la récupération de l'état de prétraitement.
Maladie rénale avancée
Aucune information n'est disponible auprès d'études cliniques contrôlées concernant l'utilisation du vicoprofène (hydrocodone et ibuprofène) chez les patients atteints d'une maladie rénale avancée. Par conséquent, le traitement avec du vicoprofène (hydrocodone et ibuprofène) n'est pas recommandé chez les patients atteints d'une maladie rénale avancée. Si le thérapie de Vicoprofène (hydrocodone et ibuprofène) doit être initiée à une surveillance étroite de la fonction rénale du patient est recommandée.
Réactions anaphylactoïdes
Comme pour les autres produits contenant des AINS, les réactions anaphylactoïdes peuvent se produire chez les patients sans exposition antérieure connue au vicoprofène (hydrocodone et ibuprofène). Le vicoprofène (hydrocodone et ibuprofène) ne doit pas être donné aux patients atteints de la triade d'aspirine. Ce complexe de symptômes se produit généralement chez les patients asthmatiques qui souffrent de rhinite avec ou sans polypes nasaux ou qui présentent un bronchospasme potentiellement mortel sévère après avoir pris de l'aspirine ou d'autres AINS. Des réactions mortelles aux AINS ont été signalées chez ces patients (voir Contre-indications et PRÉCAUTIONS - asthme préexistant). Une aide d'urgence doit être recherchée dans les cas où une réaction d'anaphylactoïde se produit.
Réactions cutanées
Les produits contenant des AINS comprenant du vicoprofène (hydrocodone et de l'ibuprofène) peuvent provoquer des événements indésirables cutanés graves tels que le syndrome de dermatite exfoliative Stevens-Johnson (SJS) et la nécrolyse épidermique toxique (dix) qui peuvent être fatales. Ces événements graves peuvent survenir sans avertissement. Les patients doivent être informés des signes et symptômes de manifestations de la peau graves et l'utilisation du médicament doit être interrompue lors de la première apparition d'une éruption cutanée ou de tout autre signe d'hypersensibilité.
Grossesse
Comme pour les autres produits contenant des AINS, le vicoprofène (hydrocodone et ibuprofène) doit être évité en fin de grossesse car il peut provoquer une fermeture prématurée du canal artériel.
Précautions for Vicoprofen
Général
On ne peut pas s'attendre à ce que le vicoprofène (hydrocodone et ibuprofène) se substitue aux corticostéroïdes ou à traiter l'insuffisance corticostéroïde. L'arrêt brusque des corticostéroïdes peut entraîner une exacerbation de la maladie. Les patients sous corticothérapie prolongée devraient avoir leur thérapie diminuée lentement si une décision est prise d'arrêter les corticostéroïdes.
L'activité pharmacologique du vicoprofène (hydrocodone et ibuprofène) dans la réduction de la fièvre et de l'inflammation peut diminuer l'utilité de ces signes diagnostiques pour détecter les complications des conditions douloureuses non infectieuses présumées.
Patients à risque spécial
Comme pour tout agent analgésique opioïde, les comprimés de vicoprofène (hydrocodone et ibuprofène) doivent être utilisés avec prudence chez les patients âgés ou affaiblis et ceux qui ont une sévère altération de l'hypothyroïdie hépatique ou rénale de l'hypothyroïdie de l'hypothyroïdie, l'hypertrophie prostatique ou la stricture urétrale. Les précautions habituelles doivent être observées et la possibilité d'une dépression respiratoire doit être gardée à l'esprit.
Réflexe de toux
L'hydrocodone supprime le réflexe de la toux; Comme pour les opioïdes, la prudence doit être exercée lorsque le vicoprofène (hydrocodone et ibuprofène) est utilisé postopératoire et chez les patients atteints d'une maladie pulmonaire.
Effets hépatiques
Des élévations limites d'une ou plusieurs enzymes hépatiques peuvent survenir chez jusqu'à 15% des patients prenant des AINS, notamment de l'ibuprofène, comme le montrent le vicoprofène (hydrocodone et ibuprofène). Ces anomalies de laboratoire peuvent progresser peuvent rester essentiellement inchangées ou être transitoires avec une thérapie continue. Des élévations notables de SGPT (ALT) ou de SGOT (AST) (environ trois fois ou plus la limite supérieure de la normale) ont été signalées chez environ 1% des patients dans des essais cliniques avec AINS. En outre, de rares cas de réactions hépatiques graves, notamment la jaunisse et la nécrose hépatique fulminante mortelle et une insuffisance hépatique, certains d'entre eux ayant des résultats mortels ont été signalés.
Un patient présentant des symptômes et / ou des signes suggérant un dysfonctionnement hépatique ou dans lequel un test hépatique anormal s'est produit doit être évalué pour la preuve du développement de réactions hépatiques plus graves pendant la thérapie de vicoprofène (hydrocodone et ibuprofène). Si des signes cliniques et des symptômes compatibles avec les maladies hépatiques se développent ou si des manifestations systémiques se produisent (par exemple, éruptation de l'éosinophilie, etc.), le vicoprofène (hydrocodone et l'ibuprofène) doit être interrompu.
Effets hématologiques
L'anémie est parfois observée chez les patients recevant des AINS, notamment l'ibuprofène, comme trouvé dans le vicoprofène (hydrocodone et ibuprofène). Cela peut être dû à la rétention de liquide occulte ou à une perte de sang GI brute ou à un effet incomplètement décrit sur l'érythropoïèse. Les patients sous traitement à long terme avec des AINS, y compris l'ibuprofène, devraient faire vérifier leur hémoglobine ou hématocrite s'ils présentent des signes ou des symptômes d'anémie.
Les AINS inhibent l'agrégation plaquettaire et se sont avérés prolonger le temps de saignement chez certains patients. Contrairement à l'aspirine, leur effet sur la fonction plaquettaire est quantitativement moins de durée plus courte et réversible. Les patients recevant du vicoprofène (hydrocodone et ibuprofène) qui peuvent être affectés négativement par des altérations de la fonction plaquettaire tels que ceux souffrant de troubles de coagulation ou de patients recevant des anticoagulants doivent être soigneusement surveillés.
Asthme préexistant
Les patients asthmatiques peuvent souffrir d'asthme sensible à l'aspirine. L'utilisation de l'aspirine chez les patients atteints d'asthme sensible à l'aspirine a été associée à un bronchospasme sévère qui peut être mortel. Étant donné que la réactivité croisée entre l'aspirine et d'autres AINS a été signalée chez les patients sensibles à l'aspirine, le vicoprofène (hydrocodone et ibuprofène) ne devrait pas être administré aux patients présentant cette forme de sensibilité à l'aspirine et doit être utilisé avec prudence chez les patients atteints d'asthma préexistant.
Méningite aseptique
La méningite aseptique avec fièvre et coma a été observée à de rares occasions chez les patients sous traitement d'ibuprofène comme le Vicoprofène (hydrocodone et ibuprofène). Bien qu'il soit probablement plus susceptible de se produire chez les patients atteints de lupus érythémateux systémique et de maladies liées au tissu conjonctif, il a été rapporté chez les patients qui n'ont pas de maladie chronique sous-jacente. Si des signes ou symptômes de méningite se développent chez un patient sous vicoprofène (hydrocodone et ibuprofène), la possibilité qu'il soit lié à l'ibuprofène doit être envisagée.
Informations pour les patients
Les patients doivent être informés des informations suivantes avant de lancer un traitement avec un AINS et périodiquement au cours du traitement en cours. Les patients doivent également être encouragés à lire le vicoprofène Guide des médicaments qui accompagne chaque ordonnance distribuée.
- VICOPROFEN® (hydrocodone et ibuprofène) (bitartrat d'hydrocodone 7,5 mg et ibuprofène 200 mg), comme les autres analgésiques contenant des opioïdes peuvent nuire aux capacités mentales et / ou physiques nécessaires à l'exécution de tâches potentiellement dangereuses telles que la conduite d'une voiture ou d'une machinerie opérationnelle; Les patients doivent être mis en garde en conséquence.
- L'alcool et d'autres dépresseurs du SNC peuvent produire une dépression additive du SNC lorsqu'ils sont pris avec ce produit combiné et doivent être évités.
- Le vicoprofène (hydrocodone et ibuprofène) peut être abusé d'une manière similaire à d'autres agonistes opioïdes légaux ou illicites. Le vicoprofène (hydrocodone et ibuprofène) peut être des patients formant des habitudes ne devrait prendre le médicament que aussi longtemps qu'il est prescrit dans les quantités prescrites et pas plus fréquemment que prescrites.
- Le vicoprofène (hydrocodone et ibuprofène) comme d'autres produits contenant des AINS peut provoquer de graves effets secondaires CV tels que l'IM ou l'AVC, ce qui peut entraîner une hospitalisation et même la mort. Bien que de graves événements de CV puissent se produire sans symptômes d'avertissement, les patients doivent être alertes pour les signes et symptômes de la douleur de la douleur thoracique de la faiblesse de la faiblesse de la parole et devraient demander des conseils médicaux lors de l'observation de tout signe ou symptôme indicatif. Les patients doivent être informés de l'importance de ce suivi (voir Avertissements Cardiovasculaire Effects ).
- Le vicoprofène (hydrocodone et ibuprofène), comme les autres produits contenant des AINS, peut provoquer l'inconfort gastro-intestinal et de graves effets secondaires gastro-intestinaux tels que les ulcères et les saignements qui peuvent entraîner une hospitalisation et même la mort. Bien que les ulcérations et les saignements graves du tractus gastro-intestinales puissent survenir sans avertissement de symptômes, les patients doivent être alertes pour les signes et symptômes des ulcérations et des saignements et devraient demander des conseils médicaux lors de l'observation de tout signe ou symptôme indicatif, y compris la dyspepsie de la douleur épigastrique et l'hématemèse. Les patients doivent être informés de l'importance de ce suivi (voir Avertissements Gastrointestinal Effects: Risk of Ulceration Bleeding et Perforation ).
- Le vicoprofène (hydrocodone et ibuprofène), comme les autres produits contenant des AINS, peut provoquer de graves effets secondaires cutanés tels que la dermatite exfoliative SJS et dix qui peuvent entraîner des hospitalisations et même la mort. Bien que de graves réactions cutanées puissent survenir sans avertissement, les patients doivent être alertes pour les signes et symptômes d'éruption cutanée et de la fièvre des cloques ou d'autres signes d'hypersensibilité tels que les démangeaisons et devraient demander un avis médical lors de l'observation des signes ou des symptômes indicatifs. Il faut conseiller aux patients d'arrêter immédiatement le médicament s'ils développent un type d'éruption cutanée et de contacter leurs médecins dès que possible.
- Les patients doivent signaler rapidement des signes ou des symptômes de gain de poids ou d'œdème inexpliqué à leurs médecins.
- Les patients doivent être informés des signes avant-coureurs et des symptômes de l'hépatotoxicité (par exemple, la fatigue de la fatigue nausée de la léthargie prurit de sensibilité du quadrant supérieur droit et des symptômes pseudo-grippaux). Si ceux-ci se produisent, les patients doivent être invités à arrêter la thérapie et à rechercher un traitement médical immédiat.
- Les patients doivent être informés des signes d'une réaction d'anaphylactoïde (par exemple, difficulté à respirer le gonflement du visage ou de la gorge). Si ceux-ci se produisent, les patients devraient être invités à demander une aide immédiate d'urgence (voir Avertissements ).
- En fin de grossesse comme avec les autres AINS, le vicoprofène (hydrocodone et ibuprofène) doit être évité car il peut provoquer une fermeture prématurée du canal artériel.
- Les patients doivent être invités à signaler tout signe de vision floue ou d'autres symptômes oculaires.
Tests de laboratoire
Parce que les ulcérations et les saignements graves des tracts gastro-intestinaux peuvent survenir sans des symptômes d'avertissement, les médecins devraient surveiller les signes ou les symptômes de saignement gastro-intestinal. Les patients sous traitement à long terme avec AINS devraient faire vérifier périodique leur CBC et un profil de chimie. Si des signes cliniques et des symptômes compatibles avec les maladies hépatiques ou rénaux se développent des manifestations systémiques (par exemple, une éruption cutanée d'éosinophilie, etc.) ou si des tests hépatiques anormaux persistent ou aggravent le vicoprofène (hydrocodone et ibuprofène) doit être interrompu.
Mutagénicité de la cancérogénicité et altération de la fertilité
Le potentiel cancérigène et mutagène du vicoprofène (hydrocodone et ibuprofène) n'a pas été étudié. La capacité du vicoprofène (hydrocodone et ibuprofène) à altérer la fertilité n'a pas été évaluée.
Grossesse
Grossesse Category C.
Effets tératogènes
Les études de reproduction menées chez le rat et les lapins n'ont pas démontré de preuves d'anomalies développementales. VICOPROFEN (hydrocodone and ibuprofen) administered to rabbits at 95 mg/kg (5.72 and 1.9 times the maximum clinical dose based on body weight and surface area respectively) a maternally toxic dose resulted in an increase in the percentage of litters and fetuses with any major abnormality and an increase in the number of litters and fetuses with one or more nonossified metacarpals (a anomalie mineure). Le vicoprofène (hydrocodone et ibuprofène) administré à des rats à 166 mg / kg (NULL,0 et 1,66 fois la dose clinique maximale basée respectivement sur le poids corporel et la surface), une dose toxique maternelle n'a entraîné aucune toxicité reproductrice. Cependant, les études de reproduction animale ne sont pas toujours prédictives de la réponse humaine. Il n'y a pas d'études adéquates et bien contrôlées chez les femmes enceintes. Le vicoprofène (hydrocodone et ibuprofène) ne doit être utilisé pendant la grossesse que si le bénéfice potentiel justifie le risque potentiel pour le fœtus.
Effets non teratogènes
En raison des effets connus des anti-inflammatoires non stéroïdiens sur le système cardiovasculaire fœtal (fermeture du canal artériel), l'utilisation pendant la grossesse (en particulier la grossesse tardive) doit être évitée. Les bébés nés de mères qui ont pris des opioïdes régulièrement avant l'accouchement seront physiquement dépendantes. Les signes de sevrage comprennent l'irritabilité et les tremblements de pleurs excessifs des réflexes hyperactifs augmentent la fréquence respiratoire accrue des selles augmentées en éternuement des vomissements de bâillement et de la fièvre. L'intensité du syndrome n'est pas toujours en corrélation avec la durée de l'utilisation ou de la dose d'opioïdes maternelles. Il n'y a pas de consensus sur la meilleure méthode de gestion du retrait.
Travail et accouchement
Comme pour les autres médicaments connus pour inhiber la synthèse de la prostaglandine, une incidence accrue de dystocie et une parturition retardée se sont produites chez le rat. L'administration de vicoprofène (hydrocodone et ibuprofène) n'est pas recommandée pendant le travail et l'accouchement. Les effets du vicoprofène (hydrocodone et ibuprofène) sur le travail et l'accouchement chez les femmes enceintes sont inconnus.
Mères qui allaitent
On ne sait pas si l'hydrocodone est excrété dans le lait maternel. Dans des études limitées, un test capable de détecter 1 mcg / ml n'a pas démontré d'ibuprofène dans le lait des mères allaitantes. Cependant, en raison de la nature limitée des études et en raison du potentiel d'effets indésirables graves chez les nourrissons infirmiers du vicoprofène (hydrocodone et de l'ibuprofène), une décision doit être prise de cessation de soins infirmiers ou de l'arrêt du médicament en tenant compte de l'importance du médicament pour la mère.
Usage pédiatrique
La sécurité et l'efficacité du vicoprofène (hydrocodone et ibuprofène) chez les patients pédiatriques de moins de 16 ans n'ont pas été établies.
Utilisation gériatrique
Dans les essais cliniques contrôlés, il n'y avait pas de différence de tolérabilité entre les patients <65 years of age et those ≥ 65 apart from an increased tendency of the elderly to develop constipation. However because the elderly may be more sensitive to the renal et gastrointestinal effects of nonsteroidal anti-inflammatory agents as well as possible increased risk of respiratory depression with opioids extra caution et reduced dosages should be used when treating the elderly with VICOPROFEN (hydrocodone et ibuprofen) .
Surdosage Information for Vicoprofen
Après une toxicité de surdosage aiguë peut résulter de l'hydrocodone et / ou de l'ibuprofène.
Signes et symptômes
Composant hydrocodone
Une surdose grave avec l'hydrocodone est caractérisée par une dépression respiratoire (une diminution de la fréquence respiratoire et / ou du volume de marée de la cyanose de la respiration de Cheyne-Stokes) Somnolence extrême progressant vers la stupeur ou l'hypotension du muscle squelettique du coma. Dans un surdosage sévère d'apnée d'apnée circulatoire, un arrêt cardiaque et une mort peuvent survenir.
Composant d'ibuprofène
Les symptômes comprennent l'irritation gastro-intestinale avec l'érosion et l'hémorragie ou la perforation D'autres symptômes peuvent inclure les maux de tête étourdissements des acouphènes confusion Vision floue Perturbations mentales cutanées Stomatite éruption cutanée œdème réduit les dépôts cornéens de la sensibilité rétinienne et l'hyperkaliémie.
Traitement
Une attention primaire doit être accordée au rétablissement d'un échange respiratoire adéquat par la fourniture d'une voie aérienne de brevet et de l'institution d'une ventilation assistée ou contrôlée. Naloxone Un antagoniste narcotique peut inverser la dépression respiratoire et le coma associés à une surdose d'opioïdes ou à une sensibilité inhabituelle aux opioïdes, y compris l'hydrocodone. Par conséquent, une dose appropriée de chlorhydrate de naloxone doit être administrée par voie intraveineuse avec des efforts simultanés en réanimation respiratoire. Étant donné que la durée d'action de l'hydrocodone peut dépasser celle de la naloxone, le patient doit être maintenu sous surveillance continue et que les doses répétées de l'antagoniste doivent être administrées au besoin pour maintenir une respiration adéquate. Des mesures de soutien doivent être utilisées comme indiqué. La vidange gastrique peut être utile pour éliminer le médicament non absorbé. Dans les cas où la conscience est altérée, il peut être déconseillé d'effectuer un lavage gastrique. Si un lavage gastrique est effectué, peu de médicament sera probablement récupéré si plus d'une heure s'est écoulée depuis l'ingestion. L'ibuprofène est acide et est excrété dans l'urine; Par conséquent, il peut être avantageux d'administrer des alcalins et d'induire la diurèse. En plus des mesures de soutien, l'utilisation du charbon de bois activé oral peut aider à réduire l'absorption et la réabsorption de l'ibuprofène. La dialyse est probablement efficace pour l'élimination de l'ibuprofène car elle est très fortement liée aux protéines plasmatiques.
Contre-indications for Vicoprofen
Le vicoprofène (hydrocodone et ibuprofène) est contre-indiqué chez les patients atteints d'hypersensibilité connue à l'hydrocodone ou à l'ibuprofène. Les patients connus pour être hypersensibles à d'autres opioïdes peuvent présenter une sensibilité croisée à l'hydrocodone.
Le vicoprofène (hydrocodone et ibuprofène) ne doit pas être donné aux patients qui ont connu des réactions de type d'asthme ou de type allergique après avoir pris de l'aspirine ou d'autres AINS. Des réactions de type anaphylactique rarement mortelles aux AINS ont été signalées chez ces patients (voir Avertissements - Réactions anaphylactoïdes et PRÉCAUTIONS - Asthme préexistant ).
Le vicoprofène (hydrocodone et ibuprofène) est contre-indiqué pour le traitement de la douleur péri-opératoire dans le cadre de la chirurgie de greffe de dérivation coronarienne (CABG) (voir (voir Avertissements ).
Pharmacologie clinique for Vicoprofen
Composant hydrocodone
L'hydrocodone est un analgésique opioïde semi-synthétique et un antitussif avec plusieurs actions qualitativement similaires à celles de la codéine. La plupart d'entre eux impliquent le système nerveux central et les muscles lisses. Le mécanisme précis d'action de l'hydrocodone et d'autres opioïdes n'est pas connu bien qu'il soit censé se rapporter à l'existence de récepteurs opiacés dans le système nerveux central. En plus des opioïdes d'analgésie, peut produire des changements de somnolence dans l'humeur et le trouble mental.
Composant d'ibuprofène
L'ibuprofène est un agent anti-inflammatoire non stéroïdal qui possède des activités analgésiques et antipyrétiques. Son action en mode comme celle des autres AINS n'est pas complètement comprise mais peut être liée à l'inhibition de l'activité de la cyclooxygénase et de la synthèse de la prostaglandine. L'ibuprofène est un analgésique à action périphérique. L'ibuprofène n'a aucun effet connu sur les récepteurs des opiacés.
Pharmacocinétique
Absorption
Après le dosage oral avec le comprimé de vicoprofène (hydrocodone et d'ibuprofène), un taux de plasma hydrocodone pic de 27 ng / ml est atteint à 1,7 heure et un niveau de plasma d'ibuprofène pic de 30 mcg / ml est atteint à 1,8 heure. L'effet des aliments sur l'absorption de l'un ou l'autre composant à partir du comprimé de vicoprofène (hydrocodone et d'ibuprofène) n'a pas été établi.
Distribution
L'ibuprofène est très lié aux protéines (99%) comme la plupart des autres agents anti-inflammatoires non stéroïdiens. Bien que l'étendue de la liaison aux protéines de l'hydrocodone dans le plasma humain n'ait pas été définitivement déterminée des similitudes structurelles avec les analgésiques opioïdes associés suggèrent que l'hydrocodone n'est pas largement liée aux protéines. Comme la plupart des agents du groupe morphinan à 5 ring d'opioïdes semi-synthétiques se lient à la protéine plasmatique à un degré similaire (plage de 19% [hydromorphone] à 45% [oxycodone]), l'hydrocodone devrait se situer dans cette plage.
Métabolisme
L'hydrocodone présente un schéma complexe de métabolisme O -Déméthylation N -Déméthylation et 6-keto reduction to the corresponding 6-α-et 6-β-hydroxy metabolites. Hydromorphone a potent opioid is formed from the O -Déméthylation of hydrocodone et contributes to the total analgesic effect of hydrocodone. The O - et N -Déméthylation processes are mediated by separate P-450 isoenzymes: CYP2D6 et CYP3A4 respectively.
L'ibuprofène est présent dans ce produit en tant que racémate et après l'absorption, il subit une interconversion dans le plasma de l'isomère R à l'isomère S. Les isomères R et S- sont métabolisés à deux métabolites primaires: () -2-4 '- (2hydroxy-2-méthyl-propyl) acide propionique phényle et () -2-4' - (2carboxypropyle) acide propionique phényle qui circulent tous deux dans le plasma à bas niveau relatif au parent.
Élimination
L'hydrocodone et ses métabolites sont éliminés principalement dans les reins avec une demi-vie plasmatique moyenne de 4,5 heures. L'ibuprofène est excrété dans l'urine de 50% à 60% sous forme de métabolites et environ 15% en tant que médicament et conjugué inchangé. La demi-vie du plasma est de 2,2 heures.
Populations spéciales
Aucune différence pharmacocinétique significative basée sur l'âge ou le sexe n'a été démontrée. La pharmacocinétique de l'hydrocodone et de l'ibuprofène à partir de vicoprofène (hydrocodone et ibuprofène) n'a pas été évaluée chez les enfants.
Trouble rénal
L'effet de l'insuffisance rénale sur la pharmacocinétique de la dose de vicoprofène (hydrocodone et ibuprofène) n'a pas été déterminé.
Études cliniques
Dans des études à dose unique sur les douleurs post-chirurgicales (orthopédie gynécologique abdominale), 940 patients ont été étudiés à des doses d'un ou deux comprimés. Le vicoprofène (hydrocodone et ibuprofène) a produit une plus grande efficacité que le placebo et chacun de ses composants individuels donnés à la même dose. Aucun avantage n'a été démontré pour la dose à deux tapets.
Informations sur les patients pour le vicoprofène
Guide des médicaments for Non-Steroidal Anti-Inflammatory Drugs (NSAIDs)
(Voir la fin de ce guide de médicaments pour une liste de médicaments AINS sur ordonnance.)
Quelles sont les informations les plus importantes que je devrais connaître sur les médicaments appelés médicaments anti-inflammatoires non stéroïdiens (AINS)?
Les médicaments contre les AINS peuvent augmenter les chances d'une crise cardiaque ou d'un accident vasculaire cérébral qui peut entraîner la mort. Cette chance augmente:
- avec une utilisation plus longue des médicaments AINS
- chez les personnes souffrant de maladies cardiaques
Les médicaments contre les AINS ne doivent jamais être utilisés juste avant ou après une chirurgie cardiaque appelée greffe de dérivation coronarienne (CABG).
Les médicaments contre les AINS peuvent provoquer des ulcères et des saignements dans l'estomac et les intestins à tout moment pendant le traitement. Ulcères et saignement:
- peut se produire sans symptômes d'avertissement
- peut provoquer la mort
La chance qu'une personne obtienne un ulcère ou un saignement augmente avec
- Prendre des médicaments appelés corticostéroïdes et anticoagulants
- utilisation plus longue
- fumeur
- boire de l'alcool
- âge avancé
- Avoir une mauvaise santé
Les médicaments AINS ne doivent être utilisés que:
- exactement comme prescrit
- à la dose la plus basse possible pour votre traitement
- pour les plus brefs temps nécessaires
Que sont les anti-inflammatoires non stéroïdiens (AINS)?
Les médicaments AINS sont utilisés pour traiter la douleur et le gonflement des rougeurs et la chaleur (inflammation) à partir de conditions médicales telles que:
- différents types d'arthrite
- Crampes menstruelles et autres types de douleur à court terme
Qui ne devrait pas prendre de médicament anti-inflammatoire non stéroïdal (AINS)?
Ne prenez pas de médicament AINS:
- Si vous avez eu une ruée d'asthme ou une autre réaction allergique avec l'aspirine ou tout autre médicament AINS
- pour la douleur juste avant ou après le pontage du cœur
Dites à votre fournisseur de soins de santé:
- à propos de toutes vos conditions médicales.
- sur tous les médicaments que vous prenez. Les AINS et certains autres médicaments peuvent interagir les uns avec les autres et provoquer des effets secondaires graves. Gardez une liste de vos médicaments à montrer à votre fournisseur de soins de santé et à votre pharmacien.
- Si vous êtes enceinte. Les médicaments contre les AINS ne doivent pas être utilisés par les femmes enceintes à la fin de leur grossesse.
- Si vous allaitez. Parlez à votre médecin.
Quels sont les effets secondaires possibles des anti-inflammatoires non stéroïdiens (AINS)?
| Les effets secondaires graves incluent : • crise cardiaque • accident vasculaire cérébral • hypertension artérielle • insuffisance cardiaque du gonflement du corps (rétention des liquides) • Problèmes rénaux, y compris l'insuffisance rénale • Saignement et ulcères dans l'estomac et l'intestin • Les globules rouges bas (anémie) • Réactions cutanées potentiellement mortelles • Réactions allergiques potentiellement mortelles • Problèmes de foie, y compris l'insuffisance hépatique • Les crises d'asthme chez les personnes souffrant d'asthme | D'autres effets secondaires incluent : • douleurs à l'estomac • constipation • diarrhée • gaz • brûlures d'estomac • nausée • Vomissements • étourdissements |
Obtenez une aide d'urgence immédiatement si vous présentez l'un des symptômes suivants:
| • essoufflement ou difficulté à respirer • douleur thoracique • Faiblesse dans une partie ou un côté de votre corps | • discours en vertu • gonflement du visage ou de la gorge |
Arrêtez votre médecine AINS et appelez immédiatement votre fournisseur de soins de santé si vous présentez l'un des symptômes suivants:
| • nausée • Plus fatigué ou plus faible que d'habitude • démangeaison • Votre peau ou vos yeux semblent jaunes • douleurs à l'estomac • Symptômes pseudo-grippaux • Vomit du sang | • Il y a du sang dans votre intestin mouvement ou il est noir et collant comme le goudron • Gain de poids inhabituel • Éruption cutanée ou cloques avec fièvre • gonflement des bras et des jambes mains et feet |
Ce ne sont pas tous les effets secondaires avec les médicaments AINS. Parlez à votre fournisseur de soins de santé ou à votre pharmacien pour plus d'informations sur les médicaments AINS. Appelez votre médecin pour des conseils médicaux sur les effets secondaires. Vous pouvez signaler les effets secondaires à la FDA au 1-800-FDA-1088.
Autres informations sur les anti-inflammatoires non stéroïdiens (AINS)
- Aspirine is an NSAID medicine but it does not increase the chance of a heart attack. Aspirine can cause bleeding in the brain stomach et intestines. Aspirine can also cause ulcers in the stomach et intestines.
- Certains de ces médicaments AINS sont vendus à des doses inférieures sans ordonnance (en vente libre). Parlez à votre fournisseur de soins de santé avant d'utiliser des AINS en vente libre pendant plus de 10 jours.
Médicaments AINS qui ont besoin d'une ordonnance
| Nom générique | Nom d'échange |
| Célécoxib | Celebrex |
| Diclofénac | Cataflam voltaren arthrotec (combiné avec le misoprostol) |
| Diflunisal | Dolobide |
| Étodolac | LODINE LODINE XL |
| Phénoprofène | Nalfon Nalfon 200 |
| Couloir | ANSAID |
| Ibuprofène | Motrin Tab-profen Vicoprofène * (combiné avec l'hydrocodone) combunox (combiné avec l'oxycodone) |
| Indométhacine | Indonésien indonésien |
| Kétoprofène | Ovale |
| Kétorolac | Toradol |
| Acide méfénamique | Pontstel |
| Méloxicam | Mobique |
| Nabume à | Relief |
| Naproxène | Naprosyn anaprox anaprox ds ec-naproxyn naprelan naprapac (copackaged with lansoprazole) |
| Oxaprozine | Pro de la journée |
| Piroxicam | Feldene |
| Sulindac | Climaire |
| Tolmet | Toléctine toléctine ds toléctine 600 |
| * Le vicoprofène contient la même dose d'ibuprofène que les AINS en vente libre (OTC) et est généralement utilisé pendant moins de 10 jours pour traiter la douleur. L'étiquette des AINS OTC prévient que l'utilisation continue à long terme peut augmenter le risque de crise cardiaque ou d'accident vasculaire cérébral. |
Ce guide de médicaments a été approuvé par la Food and Drug Administration des États-Unis.