Les Informations Présentées Sur Ce Site Ne Constituent Pas Un Avis Médical. Nous Ne Vendons Rien. L'Exactitude De La Traduction N'Est Pas Garantie. Clause De Non-Responsabilité
Cephalosporines, 2e génération
Ceftine
Résumé
Qu'est-ce que ceftin?
Ceftin ( céfuroxime ) est une céphalosporine antibiotique . Ceftin est disponible en tant que drogue générique et est prescrit pour traiter les infections par des bactéries sensibles, y compris les infections de la peau et de l'oreille moyenne laryngite bronchite pneumonie infections des voies urinaires et blennorragie .
Quels sont les effets secondaires de la ceftine?
Les effets secondaires courants de la ceftine comprennent:
- diarrhée
- vertiges
- mal de tête
- somnolence
- démangeaisons / gonflements
- éruption cutanée
- nausée
- vomissement
- douleurs abdominales
- maux d'estomac
- gaz
- mal de tête
- démangeaisons ou éruption cutanée
- urticaire
- toux
- nez encombré
- muscles raides ou serrés
- douleur musculaire
- Douleurs ou gonflements articulaires
- agitation
- irritabilité
- hyperactivité
- démangeaisons vaginales ou décharge
- goût inhabituel ou désagréable dans la bouche
- plaques ou plaies blanches dans la bouche et
- Érythème fessier (chez les nourrissons prenant du céfuroxime liquide).
Dites à votre médecin si vous ressentez des effets secondaires graves de la Ceftine, y compris la diarrhée aqueuse ou sanglante crise d'épilepsie (Convulsions) Faiblesse de la confusion jaunisse (jaunissement de la peau ou des yeux) Des cloques sévères / pelage / éruption cutanée rouges éruptions cutanées femestres picotements pédalent la douleur de la douleur de la douleur au muscle accrue de la perte d'appétit gonflement de poids à l'essai de souffle douloureux ou difficile ou à uriner moins que d'habitude ou pas du tout.
Dosage pour ceftin
La plage de dose orale de la Ceftine chez les adultes est de 125 mg à 500 mg deux fois par jour pendant 7 à 10 jours et le dosage chez les enfants est généralement basé sur le poids.
Quelles substances ou suppléments de médicaments interagissent avec la ceftine?
Les interactions médicamenteuses avec la Ceftine comprennent les vaccins (par exemple le vaccin typhoïde) et le probénécide.
Ceftine pendant la grossesse et l'allaitement
L'utilisation de la Ceftine pendant la grossesse peut entraîner des effets négatifs chez le nouveau-né. La ceftine se trouve dans le lait maternel.Informations Complémentaires
Notre centre de médicaments sur les effets secondaires de la Ceftine offre une vue complète des informations sur les médicaments disponibles sur les effets secondaires potentiels lors de la prise de ce médicament.
Informations sur les médicaments de la FDA
- Description de la drogue
- Indications
- Dosage
- Effets secondaires
- Interactions médicamenteuses
- Avertissements
- Surdosage
- Pharmacologie clinique
- Guide des médicaments
Description de ceftin
Les comprimés de ceftine et la ceftine pour la suspension buccale contiennent du céfuroxime sous forme de cefuroxime axetil. La ceftine est un médicament antibactérien sémesthésique pour la céphalosporine pour l'administration orale.
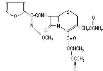
Le nom chimique de cefuroxime axetil (1- (acyloxy) ester éthylique de cefuroxime) est (RS) -1- hydroxyéthyle (6R7R) -7- [2- (2-furyl) glyoxyl-amido] -3- (hydroxyméthyl) -8-oxo-5-thia-1-azabicyclo [4.2.0] -oct-2-ae-2-carboxylate 72- (z) - (o-marthyl-oxime) 1-carbamate. Sa formule moléculaire est C 20 H 22 N 4 O 10 S et il a un poids moléculaire de 510,48.
Quels sont les ingrédients de l'aspirine
Le céfuroxime axetil est sous la forme amorphe et a la formule structurelle suivante:
|
Les comprimés sont enduits de film et contiennent l'équivalent de 250 ou 500 mg de céfuroxime comme cefuroxime axetil. Les comprimés contiennent les ingrédients inactifs dioxyde de silicium colloïdal croscarmellose sodium huile végétale hydrogénée hypromellose méthylparabène microcristallin de cellulose propylène glycol propylparabène sodium benzoate de sodium lauryl sulfate et dioxyde de titane.
La suspension orale lorsqu'elle est reconstituée avec de l'eau fournit l'équivalent de 125 mg ou 250 mg de céfuroxime (comme cefuroxime axetil) par 5 ml. La suspension orale contient les ingrédients inactifs acésulfames Aspartame Povidone K30 Sécrose acide stéarique Arômes Tutti-Frutti et gomme xanthane.
Utilisations pour ceftin
Pharyngite / amygdalite
Les comprimés de ceftine sont indiqués pour le traitement des patients adultes et des patients pédiatriques (13 ans et plus) avec une pharyngite / amygdalite légère à modérée causée par des souches sensibles de Streptococcus pyogenes .
La Ceftine pour une suspension buccale est indiquée pour le traitement des patients pédiatriques âgés de 3 mois à 12 ans avec une pharyngite / amygdalite légère à modérée causée par des souches sensibles de Streptococcus pyogenes .
Limitations d'utilisation
- L'efficacité de la Ceftine dans la prévention de la fièvre rhumatismale n'a pas été établie dans les essais cliniques.
- L'efficacité de la ceftine dans le traitement des souches résistantes à la pénicilline de Streptococcus pyogenes n'a pas été démontré dans les essais cliniques.
Otite moyenne bactérienne aiguë
Les comprimés de ceftine sont indiqués pour le traitement des patients pédiatriques (qui peuvent avaler des comprimés entiers) avec une otite moyenne bactérienne aiguë causée par des souches sensibles de Streptococcus pneumoniae Haemophilus influenzae (y compris les souches productrices de β-lactamase) Moraxella catarrhalis (y compris les souches productrices de β-lactamase) ou Streptococcus pyogenes .
La Ceftine pour une suspension buccale est indiquée pour le traitement des patients pédiatriques âgés de 3 mois à 12 ans avec une otite moyenne bactérienne aiguë causée par des souches sensibles de Streptococcus pneumoniae Haemophilus influenzae (y compris les souches productrices de β-lactamase) Moraxella catarrhalis (y compris les souches productrices de β-lactamase) ou Streptococcus pyogenes .
Sinusite maxillaire bactérienne aiguë
Les comprimés de ceftine sont indiqués pour le traitement des patients adultes et pédiatriques (13 ans et plus) avec une sinusite maxillaire bactérienne aiguë légère à modérée causée par des souches sensibles de Streptococcus pneumoniae ou Haemophilus influenzae (souches de production de β-lactamase uniquement).
La Ceftine pour une suspension buccale est indiquée pour le traitement des patients pédiatriques âgés de 3 mois à 12 ans avec une sinusite maxillaire bactérienne aiguë légère à modérée causée par des souches sensibles de Streptococcus pneumoniae ou Haemophilus influenzae (souches de production de β-lactamase uniquement).
Limitations d'utilisation
L'efficacité de la Ceftine pour les infections des sinus provoqués par la β-lactamase Haemophilus influenzae ou Moraxella catarrhalis Chez les patients atteints de sinusite maxillaire bactérienne aiguë, n'a pas été établie en raison d'un nombre insuffisant de ces isolats dans les essais cliniques [voir Études cliniques ].
Exacerbations bactériennes aiguës de la bronchite chronique
Les comprimés de ceftine sont indiqués pour le traitement des patients adultes et des patients pédiatriques (âgés de 13 ans et plus) avec des exacerbations bactériennes aiguës légères à modérées de la bronchite chronique causée par des souches sensibles de Streptococcus pneumoniae Haemophilus influenzae (souches de β-lactamase négatives) ou Haemophilus para influenzae (souches négatives de la β-lactamase).
Infections de peau et de structure cutanée simples
Les comprimés de ceftine sont indiqués pour le traitement des patients adultes et des patients pédiatriques (âgés de 13 ans et plus) avec des infections cutanées et de structure cutanée non compliquées causées par des souches sensibles de Staphylococcus aureus (y compris les souches productrices de β-lactamase) ou Streptococcus pyogenes .
Infections des voies urinaires non compliquées
Les comprimés de ceftine sont indiqués pour le traitement des patients adultes et des patients pédiatriques (âgés de 13 ans et plus) avec des infections non compliquées des voies urinaires causées par des souches sensibles de Ils ont fait preuve de froid ou Klebsiella pneumoniae .
Gonorrhée simple
Les comprimés de ceftine sont indiqués pour le traitement des patients adultes et des patients pédiatriques (âgés de 13 ans et plus) atteints de gonorrhée non compliquée urétrale et endocervicale causée par la production de pénicillinase et les souches susceptibles de la pénicilline Neisseria gonorrhoeae et la gonorrhée non compliquée rectale chez les femelles causées par des souches susceptibles de producteur de pénicilline de Neisseria gonorrhoeae .
Maladie de Lyme précoce (érythème migrans)
Les comprimés de ceftine sont indiqués pour le traitement des patients adultes et des patients pédiatriques (âgés de 13 ans et plus) atteints d'une maladie précoce de Lyme ( érythème migrans ) causée par des souches sensibles de Borrelia burgdorferi .
Impétigo
La Ceftine pour une suspension buccale est indiquée pour le traitement des patients pédiatriques âgés de 3 mois à 12 ans avec impétigo causés par des souches sensibles de Staphylococcus aureus (y compris les souches productrices de plactamases) ou Streptococcus pyogenes .
Usage
Pour réduire le développement de bactéries résistantes aux médicaments et maintenir l'efficacité de la Ceftine et d'autres médicaments antibactériens, la Ceftine ne doit être utilisée que pour traiter ou prévenir les infections qui sont prouvées ou fortement soupçonnées d'être causées par des bactéries sensibles. Lorsque des informations sur la culture et la sensibilité sont disponibles, elles doivent être prises en compte dans la sélection ou la modification de la thérapie antibactérienne. En l'absence de telles données, les modèles d'épidémiologie et de sensibilité locaux peuvent contribuer à la sélection empirique de la thérapie.
Dosage pour ceftin
Instructions d'administration importantes
- Les comprimés de ceftine et la ceftine pour la suspension buccale ne sont pas bioéquivalents et ne sont donc pas substituables sur une base de milligrammes par milligramme [voir Pharmacologie clinique ].
- Administrer des comprimés de ceftine ou une suspension buccale comme décrit dans les directives posologiques appropriées [voir Dosage fou Ceftine Comprimés Dosage Fou Ceftine Fou Suspension orale et Préparation et administration de ceftine pour la suspension buccale ].
- Administrer des comprimés de ceftine avec ou sans nourriture.
- Administrer la ceftine pour une suspension orale avec de la nourriture.
- Les patients pédiatriques (âgés de 13 ans et plus) qui ne peuvent pas avaler les comprimés de ceftine entiers devraient recevoir de la ceftine pour une suspension orale parce que le comprimé a un fort goût amer persistant lorsqu'il est écrasé [voir Dosage fou Ceftine Comprimés ].
Dosage Fou Ceftine Comprimés
Administrer des comprimés de ceftine comme décrit dans le tableau des directives posologiques ci-dessous avec ou sans nourriture.
Tableau 1: Directives de dosage des patients adultes et des patients pédiatriques pour les comprimés de ceftine
| Infection | Dosage | Durée (jours) |
| Adultes et adolescents (13 ans et plus) | ||
| Pharyngite / amygdalite (légère à modérée) | 250 mg toutes les 12 heures | 10 |
| Sinusite maxillaire bactérienne aiguë (légère à modérée) | 250 mg toutes les 12 heures | 10 |
| Exacerbations bactériennes aiguës de la bronchite chronique (légère à modérée) | 250 ou 500 mg toutes les 12 heures | 10 a |
| Infections de peau et de structure cutanée simples | 250 ou 500 mg toutes les 12 heures | 10 |
| Infections des voies urinaires non compliquées | 250 mg toutes les 12 heures | 7 à 10 |
| Gonorrhée simple | 1000 mg | dose unique |
| Maladie de Lyme précoce | 500 mg toutes les 12 heures | 20 |
| Patients pédiatriques de moins de 13 ans (qui peuvent avaler des comprimés entiers) b | ||
| Otite moyenne bactérienne aiguë | 250 mg toutes les 12 heures | 10 |
| Sinusite maxillaire bactérienne aiguë | 250 mg toutes les 12 heures | 10 |
| a La sécurité et l'efficacité de la Ceftine administrées pendant moins de 10 jours chez les patients présentant des exacerbations aiguës de bronchite chronique n'ont pas été établies. b Lorsqu'il est écrasé, la tablette a un fort goût amer persistant. Par conséquent, les patients qui ne peuvent pas avaler le comprimé entier devraient recevoir la suspension orale. |
Dosage Fou Ceftine Fou Suspension orale
Administrer la Ceftine pour la suspension orale comme décrit dans le tableau des directives posologiques ci-dessous avec de la nourriture.
Tableau 2: Patients pédiatriques (3 mois à 12 ans) Disque de dosage pour la CEFTIN pour la suspension buccale
| Infection | Dose quotidienne recommandée a | Dose quotidienne maximale | Durée (jours) |
| Pharyngite / amygdalite | 20 mg / kg | 500 mg | 10 |
| Otite moyenne bactérienne aiguë | 30 mg / kg | 1000 mg | 10 |
| Sinusite maxillaire bactérienne aiguë | 30 mg / kg | 1000 mg | 10 |
| Impétigo | 30 mg / kg | 1000 mg | 10 |
| a Dose quotidienne recommandée donnée deux fois par jour divisée en doses égales. |
Préparation et administration de ceftine pour la suspension buccale
Préparez une suspension au moment de la distribution comme suit:
- Secouez la bouteille pour desserrer la poudre.
- Retirez le capuchon.
- Ajouter la quantité totale d'eau froide pour la reconstitution (tableau 3) et remplacer le capuchon.
- Inversez la bouteille et basculez vigoureusement la bouteille d'un côté à l'autre afin que l'eau monte à travers la poudre.
- Une fois que le bruit de la poudre contre la bouteille disparaît, tournez la bouteille en position verticale et secouez vigoureusement dans une direction diagonale pendant au moins une minute.
- Après la reconstitution, attendez une heure avant d'administrer une suspension à un patient.
Tableau 3: quantité d'eau requise pour la reconstitution des volumes étiquetés de ceftine pour la suspension orale
| Suspension orale | Quantité d'eau requise pour la reconstitution | Volume étiqueté après reconstitution |
| 125 mg / 5 ml | 37 ml | 100 ml |
| 250 mg / 5 ml | 19 ml | 50 ml |
| 35 ml | 100 ml |
- Secouez la suspension orale bien avant chaque utilisation.
- Remplacez le plafond en toute sécurité après chaque ouverture.
- Conservez la suspension reconstituée réfrigérée entre 2 ° et 8 ° C (36 ° et 46 ° F).
- Jeter la suspension reconstituée après 10 jours.
Dosage In Patients With Impaired Renal Function
Un ajustement d'intervalle posologique est requis pour les patients dont le dégagement de la créatinine est inférieur à 30 ml / min comme indiqué dans le tableau 4 ci-dessous car le céfuroxime est éliminé principalement par le rein [voir Pharmacologie clinique ].
Tableau 4: Dosage chez les adultes souffrant de troubles rénaux
| Déclaration de créatinine (ml / min) | Dosage recommandé |
| ≥30 | Aucun ajustement de dosage |
| 10 à <30 | Dose individuelle standard donnée toutes les 24 heures |
| <10 (without hemodialysis) | Dose individuelle standard donnée toutes les 48 heures |
| Hémodialyse | Une seule dose standard supplémentaire doit être donnée à la fin de chaque dialyse |
Comment fourni
Dosage Foums And Strengths
Les comprimés de ceftine sont des comprimés enrobés de film en forme de capsule blanc disponibles dans les forces suivantes:
- 250 mg de céfuroxime (comme cefuroxime axetil) avec du gx es7 gravé d'un côté et vide de l'autre côté.
- 500 mg of céfuroxime (as céfuroxime axetil) with GX EG2 engraved on one side et blank on the other side.
La ceftine pour la suspension orale est fournie comme un blanc sec à la poudre de saveur de tutti-frutti blanc cassé. Lorsqu'il est reconstitué comme indiqué, la suspension fournit l'équivalent de 125 mg ou 250 mg de céfuroxime (comme cefuroxime axetil) par 5 ml.
Stockage et manipulation
Les comprimés de ceftine 250 mg de céfuroxime (comme cefuroxime axetil) sont des comprimés de film en forme de capsule blancs gravés de GX ES7 d'un côté et vide de l'autre côté comme suit: 20 comprimés / bouteille NDC 0173-0387-00
Les comprimés de ceftine 500 mg de cefuroxime (comme cefuroxime axetil) sont des comprimés enrobés de film en forme de capsule blanc gravés avec GX EG2 d'un côté et vide de l'autre côté comme suit: NDC 0173-0394-00
Conservez les comprimés entre 15 ° et 30 ° C (59 ° et 86 ° F). Remplacez le plafond en toute sécurité après chaque ouverture.
Ceftin pour la suspension orale est fourni comme blanc sec à la poudre de tutti-frutti blanc cassé. Lorsqu'il est reconstitué comme indiqué, la suspension fournit l'équivalent de 125 mg ou 250 mg de céfuroxime (comme cefuroxime axetil) par 5 ml. Il est fourni dans des bouteilles en verre ambre comme suit:
125 mg / 5 ml
Suspension de 100 ml NDC 0173-0740-00
250 mg / 5 ml
Suspension de 50 ml NDC 0173-0741-10
Suspension de 100 ml NDC 0173-0741-00
Avant la reconstitution, stockez la poudre sèche entre 2 ° et 30 ° C (36 ° et 86 ° F).
Après reconstitution, stockez immédiatement la suspension réfrigérée entre 2 ° et 8 ° C (36 ° et 46 ° F). Jeter après 10 jours.
GlaxoSmithKline Research Triangle Park NC 27709. Révisé: octobre 2017
Effets secondaires fou Ceftin
La réaction indésirable grave et autrement importante suivante est décrite plus en détail dans la section des avertissements et précautions de l'étiquette:
Réactions anaphylactiques [voir Avertissements et PRÉCAUTIONS ]
Expérience des essais cliniques
Étant donné que les essais cliniques sont menés dans des conditions de réaction indésirables très variables observées dans les essais cliniques d'un médicament ne peuvent pas être directement comparées aux taux dans les essais cliniques d'un autre médicament et ne peuvent pas refléter les taux observés dans la pratique.
Comprimés
Schémas de dosage à dose multiple avec une durée de 7 à 10 jours
Dans les essais cliniques à dose multiple 912, les sujets ont été traités avec de la Ceftine (125 à 500 mg deux fois par jour). Il est à noter que 125 mg deux fois par jour n'est pas une posologie approuvée. Vingt (NULL,2%) sujets ont interrompu les médicaments en raison des effets indésirables. Dix-sept (85%) des 20 sujets qui ont interrompu la thérapie l'ont fait en raison de troubles gastro-intestinaux, notamment des vomissements de nausées de diarrhée et des douleurs abdominales. Le pourcentage de sujets traités par la Ceftine qui a interrompu le médicament d'étude en raison des effets indésirables était similaire à des doses quotidiennes de 1000 500 et 250 mg (NULL,3% 2,1% et 2,2% respectivement). Cependant, l'incidence des effets indésirables gastro-intestinaux a augmenté avec les doses recommandées plus élevées.
Les effets indésirables du tableau 5 sont destinés aux sujets (n = 912) traités par la Ceftine dans des essais cliniques à dose multiple.
Tableau 5: Réactions indésirables (≥ 1%) après schémas de dose multiple avec comprimés de ceftine
| Réaction indésirable | Ceftine (n = 912) |
| Troubles du système sanguin et lymphatique | |
| Éosinophilie | 1% |
| Troubles gastro-intestinaux | |
| Diarrhée | 4% |
| Nausées / vomissements | 3% |
| Enquêtes | |
| Élévation transitoire de l'AST | 2% |
| Élévation transitoire de l'ALT | 2% |
| Élévation transitoire de LDH | 1% |
Les effets indésirables suivants se sont produits dans moins de 1% mais supérieurs à 0,1% des sujets (n = 912) traités par la Ceftine dans des essais cliniques à dose multiple.
Troubles du système immunitaire : Rives Boule Bouche.
Métabolisme et troubles nutritionnels : Anorexie.
Troubles du système nerveux : Mal de tête.
Troubles cardiaques : Douleur thoracique.
Troubles respiratoires : Essoufflement.
Troubles gastro-intestinaux : Douleur abdominale Crampes abdominales Flatulence Indigestion Ulcères de bouche.
Troubles de la peau et des tissus sous-cutanés : Démangeaisons téméraires.
Troubles rénaux et urinaires : Dysurie.
Système reproductif et troubles mammaires : Démangeaisons vulvaires de la vaginite.
Troubles généraux et conditions du site d'administration : Chills somnolents soif.
Enquêtes : Test de coombes positives.
Maladie de Lyme précoce avec régime de 20 jours
Deux essais multicentriques ont évalué la Ceftine 500 mg deux fois par jour pendant 20 jours. Les expériences indésirables liées au médicament les plus courantes ont été la diarrhée (NULL,6%) la réaction de Jarisch-Herxheimer (NULL,6%) et la vaginite (NULL,4%). D'autres expériences défavorables se sont produites avec des fréquences comparables à celles rapportées avec un dosage de 7 à 10 jours.
Régime à dose unique pour la gonorrhée non compliquée
Dans les essais cliniques utilisant une seule dose de 1000 mg de sujets de Ceftine 1061, ont été traités pour une gonorrhée non compliquée. Les effets indésirables du tableau 6 concernaient les sujets traités avec une dose unique de 1000 mg de Ceftine dans les essais cliniques américains.
Tableau 6: Réactions indésirables (≥ 1%) après un régime à dose unique avec des comprimés de ceftine de 1000 mg pour une gonorrhée non compliquée
| Réaction indésirable | Ceftine (n = 1061) |
| Troubles gastro-intestinaux | |
| Nausées / vomissements | 7% |
| Diarrhée | 4% |
Les effets indésirables suivants se sont produits dans moins de 1% mais supérieurs à 0,1% des sujets (n = 1061) traités avec une seule dose de Ceftine 1000 mg pour la gonorrhée non compliquée dans les essais cliniques américains.
Infections et Infestations : Candidose vaginale.
Troubles du système nerveux : Somnolence des étourdissements de maux de tête.
Troubles cardiaques : Étanchéité / douleur dans la tachycardie thoracique.
Troubles gastro-intestinaux : Dyspepsie de la douleur abdominale.
Troubles de la peau et des tissus sous-cutanés : Érythème éruption cutanée.
Troubles du tissu musculo-squelettique et conjonctif : Crampes musculaires Rigdicité musculaire Spasme musculaire de la réaction de type Lockjaw au cou.
Troubles rénaux et urinaires : Saignement / douleur dans la douleur rénale de l'urètre.
Système reproductif et troubles mammaires : Démangeaisons vaginales démangeaisons vaginales.
Suspension orale
Dans les essais cliniques utilisant de multiples doses de sujets pédiatriques de Ceftine (NULL,7% étaient moins de 12 ans) ont été traités avec de la Ceftine (20 à 30 mg / kg / jour divisé deux fois par jour jusqu'à une dose maximale de 500 ou 1000 mg / jour respectivement). Onze (NULL,2%) sujets américains ont interrompu les médicaments en raison de réactions indésirables. Les arrêts étaient principalement destinés aux perturbations gastro-intestinales, généralement la diarrhée ou les vomissements. Treize (NULL,4%) sujets pédiatriques américains ont interrompu la thérapie en raison du goût et / ou des problèmes d'administration de médicaments.
Les effets indésirables du tableau 7 sont destinés aux sujets américains (n = 931) traités par la Ceftine dans des essais cliniques à dose multiple.
Tableau 7: Réactions indésirables (> 1%) après schémas de dose multiple avec ceftine pour la suspension orale
| Réaction indésirable | Ceftine (n = 931) |
| Troubles gastro-intestinaux | |
| Diarrhée | 9% |
| Aversion pour le goût | 5% |
| Nausées / vomissements | 3% |
| Troubles de la peau et des tissus sous-cutanés | |
| Érythème fessier | 3% |
Les effets indésirables suivants se sont produits dans moins de 1% mais supérieurs à 0,1% des sujets américains (n = 931) traités par la Ceftine pour une suspension orale dans des essais cliniques à dose multiple.
Infections et Infestations : Infection gastro-intestinale Candidase maladie virale virale infection respiratoire supérieure infection des voies urinaires.
Troubles du système sanguin et lymphatique : Éosinophilie .
Troubles psychiatriques : Comportement irritable de l'hyperactivité.
Troubles gastro-intestinaux : Ptéalisme de la douleur abdominale.
Troubles de la peau et des tissus sous-cutanés : Éruption cutanée.
Troubles du tissu musculo-squelettique et conjonctif : Articulations articuliales arthralgie.
Système reproductif et troubles mammaires : Irritation vaginale.
Troubles généraux et conditions du site d'administration : Toux fièvre.
Enquêtes : ENZYMES DU FORTIE SUPÉRIEURES TEST DE COOMBES POSITIFS.
Expérience de commercialisation de la poste
Les effets indésirables suivants ont été identifiés lors de l'utilisation post-approbation de la ceftine. Étant donné que ces réactions sont rapportées volontairement d'une population de taille incertaine, il n'est pas toujours possible d'estimer de manière fiable leur fréquence ou d'établir une relation causale à l'exposition au médicament.
Troubles du système sanguin et lymphatique
Anémie hémolytique leukopénie pancytopénie thrombocytopénie.
Troubles gastro-intestinaux
Pseudomembranous colite [voir Avertissements et PRÉCAUTIONS ].
Troubles hépatobiliaires
Troubles hépatiques, y compris l'hépatite et la cholestase jaunisse .
Troubles du système immunitaire
Réaction de maladie du sérum d'anaphylaxie.
Enquêtes
Augmentation du temps de prothrombine.
Troubles du système nerveux
Encéphalopathie de saisie.
Troubles rénaux et urinaires
Dysfonctionnement rénal.
Troubles de la peau et des tissus sous-cutanés
Angio-œdème érythème multiforme Syndrome de Stevens-Johnson Nécrolyse épidermique toxique urticaire.
Interactions médicamenteuses fou Ceftin
Contraceptifs oraux
Le cefuroxime axetil peut affecter la flore intestinale conduisant à la baisse œstrogène réabsorption et réduction de l'efficacité des contraceptifs combinés oraux œstrogènes / progestérone. Conseiller les patients à envisager des mesures contraceptives supplémentaires supplémentaires (non hormonales) pendant le traitement.
Médicaments qui réduisent l'acidité gastrique
Les médicaments qui réduisent l'acidité gastrique peuvent entraîner une biodisponibilité plus faible de la Ceftine par rapport à l'administration à l'état de jeûne. L'administration de médicaments qui réduisent l'acidité gastrique peuvent annuler l'effet alimentaire d'une absorption accrue de la Ceftine lorsqu'il est administré à l'état postprandial. Administrer la Ceftine au moins 1 heure avant ou 2 heures après l'administration d'antiacides à courte durée d'action. Les antagonistes de l'histamine-2 (H2) et les inhibiteurs de la pompe à protons doivent être évités.
Probénécide
L'administration concomitante de probénécide avec des comprimés de cefuroxime axétil augmente les concentrations sériques de céfuroxime [voir Pharmacologie clinique ]. Coadministration of probenecid with céfuroxime axetil is not recommended.
Interactions de test de médicament / de laboratoire
Une réaction fausse positive pour le glucose dans l'urine peut se produire avec des tests de réduction du cuivre (par exemple la solution de Benedict ou Fehling) mais pas avec des tests basés sur des enzymes pour la glycosurie. Comme un résultat fausse négatif peut se produire dans le test de ferricyanure, il est recommandé d'utiliser la méthode de la glucose oxydase ou de l'hexokinase pour déterminer les taux sanguins / glucose plasmatique chez les patients recevant du céfuroxime axétil. La présence de céfuroxime n'interfère pas avec le test de sérum et de créatinine d'urine par la méthode de picrate alcalin.
Avertissements pour ceftin
Inclus dans le cadre du PRÉCAUTIONS section.
Précautions pour ceftin
Réactions anaphylactiques
Des réactions d'hypersensibilité graves et parfois mortelles (anaphylactiques) ont été rapportées chez les patients sous antibactériens β-lactame. Ces réactions sont plus susceptibles de se produire chez les individus ayant des antécédents d'hypersensibilité β-lactame et / ou des antécédents de sensibilité à plusieurs allergènes. Il y a eu des rapports d'individus ayant des antécédents d'hypersensibilité à la pénicilline qui ont connu des réactions graves lorsqu'ils sont traités avec des céphalosporines. La Ceftine est contre-indiquée chez les patients présentant une hypersensibilité connue à la Ceftine ou à d'autres médicaments antibactériens β-lactame [voir Contre-indications ]. Befoue initiating therapy with Ceftine inquire ABout previous hypersensitivity reactions to penicillins cephalospouins ou other allergens. If an allergic reaction occurs discontinue Ceftine et institute appropriate therapy.
Diarrhée associée à Clostridium difficile
Clostridium difficile -La diarrhée associée (CDAD) a été signalée avec l'utilisation de presque tous les agents antibactériens, y compris la Ceftine et peut aller en gravité de la diarrhée légère à la colite mortelle. Le traitement avec des agents antibactériens modifie la flore normale du côlon conduisant à la prolifération de C. difficile .
C. difficile produit des toxines A et B qui contribuent au développement de la CDAD. Des souches de production d'hypertoxin de C. difficile provoquer une morbidité et une mortalité accrues car ces infections peuvent être réfractaires en thérapie antimicrobienne et peuvent nécessiter une colectomie. La CDAD doit être considérée chez tous les patients qui présentent une diarrhée après antibiotique utiliser. Des antécédents médicaux minutieux sont nécessaires car la CDAD aurait eu lieu plus de 2 mois après l'administration d'agents antibactériens.
Si la CDAD est suspectée ou confirmée l'utilisation d'antibiotiques en cours non dirigée contre C. difficile peut avoir besoin d'être interrompu. Supplémentation des protéines de fluide et d'électrolyte appropriée Traitement antibiotique de C. difficile et surgical evaluation should be instituted as clinically indicated.
Potentiel de prolifération microbienne
La possibilité de surinfections avec des agents pathogènes fongiques ou bactériennes doit être envisagée pendant le traitement.
Développement de bactéries résistantes aux médicaments
La prescription de la Ceftine soit en l'absence d'une infection bactérienne prouvée ou fortement suspectée, soit une indication prophylactique ne devrait pas bénéficier au patient et augmente le risque de développement de bactéries résistantes au médicament.
Phénlketoniaria
Ceftin pour la suspension orale 125 mg / 5 ml contains phenylalanine 11.8 mg per 5 mL (1 teaspoonful) of reconstituted suspension. Ceftin pour la suspension orale 250 mg / 5 ml contains phenylalanine 25.2 mg per 5 mL (1 teaspoonful) of reconstituted suspension.
Interférence avec les tests de glucose
Un résultat faux positif pour le glucose dans l'urine peut se produire avec des tests de réduction de cuivre et un résultat faussement négatif pour le sang / le glucose plasmatique peut se produire avec des tests de ferricyanure chez les sujets recevant de la ceftine [voir Interactions médicamenteuses ].
Toxicologie non clinique
Carcinogenèse Mutagenèse A trouble de la fertilité
Bien que des études à vie chez les animaux n'aient pas été réalisées pour évaluer le potentiel cancérigène, aucune activité mutagène n'a été trouvée pour le céfuroxime axetil dans une batterie de tests de mutation bactérienne. Des résultats positifs ont été obtenus dans un test d'aberration chromosomique in vitro; Cependant, des résultats négatifs ont été trouvés dans un test de micronucléus in vivo à des doses allant jusqu'à 1,5 g / kg. Des études de reproduction chez le rat à des doses allant jusqu'à 1000 mg / kg / jour (9 fois la dose humaine maximale recommandée basée sur la surface du corps) n'ont révélé aucune altération de la fertilité.
Utiliser dans des populations spécifiques
Grossesse
Grossesse Categouy B. There are no adequate et well-controlled studies in pregnant women. Because animal reproduction studies are not always predictive of human response Ceftine should be used during pregnancy only if clearly needed.
Des études de reproduction ont été réalisées chez des souris à des doses allant jusqu'à 3200 mg / kg / jour (14 fois la dose humaine maximale recommandée basée sur la surface corporelle) et chez le rat à des doses allant jusqu'à 1000 mg / kg / jour 9 fois la dose humaine maximale recommandée à base de surface corporelle) et n'ont révélé aucune preuve de la ferspétilité ou du mal à la fetus en raison de CEFUROXIME.
Mères qui allaitent
Parce que le céfuroxime est excrété dans la prudence du lait maternel doit être exercé lorsque la Ceftin est administrée à une femme d'allaitement.
Usage pédiatrique
La sécurité et l'efficacité de la Ceftine ont été établies pour les patients pédiatriques âgés de 3 mois à 12 ans pour une sinusite maxillaire bactérienne aiguë en fonction de son approbation chez les adultes. L'utilisation de la Ceftine chez les patients pédiatriques est soutenue par des données pharmacocinétiques et de sécurité chez les adultes et les patients pédiatriques et par des données cliniques et microbiologiques à partir d'essais adéquats et bien contrôlés sur le traitement de la sinusite maxillaire bactérienne aiguë chez l'adulte et les aigus otite moyenne avec épanchement chez les patients pédiatriques. Il est également soutenu par la surveillance des événements indésirables de la poste. [Voir Indications et utilisation Posologie et administration Effets indésirables Pharmacologie clinique ]
Utilisation gériatrique
Sur le nombre total de sujets qui ont reçu de la Ceftine dans 20 essais cliniques 375 étaient âgés de 65 ans et plus tandis que 151 ans étaient âgés de 75 ans et plus. Aucune différence globale de sécurité ou d'efficacité n'a été observée entre ces sujets et les sujets adultes plus jeunes. L'expérience clinique signalée n'a pas identifié de différences dans les réponses entre les patients âgés et les patients adultes plus jeunes, mais une plus grande sensibilité de certaines personnes âgées ne peut pas être exclue.
Le céfuroxime est considérablement excrété par le rein et le risque de réactions indésirables peut être plus élevé chez les patients présentant une fonction rénale altérée. Étant donné que les patients âgés sont plus susceptibles d'avoir une diminution des soins de fonction rénale devraient être pris dans la sélection de la dose et il peut être utile de surveiller la fonction rénale.
Trouble rénal
La réduction de la dose de la Ceftine est recommandée pour les patients adultes souffrant de troubles rénaux sévères (autorisation de créatinine <30 mL/min) [see Posologie et administration Pharmacologie clinique ].
Informations sur la surdose pour ceftin
Le surdosage des céphalosporines peut provoquer une irritation cérébrale conduisant à des convulsions ou à l'encéphalopathie. Les taux sériques de céfuroxime peuvent être réduits par l'hémodialyse et la dialyse péritonéale.
Contre-indications pour ceftin
Ceftine is contraindicated in patients with a known hypersensitivity (e.g. anaphylaxis) to Ceftine ou to other β-lactam antibacterial drugs (e.g. penicillins et cephalospouins).
Pharmacologie clinique fou Ceftin
Mécanisme d'action
Ceftine is an antibacterial drug [see Microbiologie ].
Pharmacocinétique
Absorption
Après l'administration orale, le céfuroxime axétil est absorbé par le tractus gastro-intestinal et hydrolysé rapidement par des estérases non spécifiques dans la muqueuse intestinale et le sang au céfuroxime. Les paramètres pharmacocinétiques sériques du céfuroxime après l'administration de comprimés de ceftine aux adultes sont présentés dans le tableau 8.
Tableau 8: Pharmacocinétique du céfuroxime administré à l'état postprandial sous forme de comprimés de ceftine aux adultes a
| Dose b (Équivalent cefuroxime) | Concentration plasmatique maximale (MCG / ml) | Temps de concentration plasmatique maximale (H) | Half-Life (H) d'élimination moyenne (H) | AUC (MCG • H / ML) |
| 125 mg | 2.1 | 2.2 | 1.2 | 6.7 |
| 250 mg | 4.1 | 2.5 | 1.2 | 12.9 |
| 500 mg | 7.0 | 3.0 | 1.2 | 27.4 |
| 1000 mg | 13.6 | 2.5 | 1.3 | 50.0 |
| a Valeurs moyennes de 12 volontaires adultes en bonne santé. b Médicament administré immédiatement après un repas. |
Effet alimentaire
Absorption of the tABlet is greater when taken after food (ABsolute bioavailABility increases from 37% to 52%). Despite this difference in ABsouption the clinical et bacteriologic responses of subjects were independent of food intake at the time of tABlet administration in 2 trials where this was assessed.
Tous les essais d'efficacité pharmacocinétique et clinique et de sécurité chez des sujets pédiatriques utilisant la formulation de suspension ont été menés à l'état de la Fed. Aucune donnée n'est disponible sur la cinétique d'absorption de la formulation de la suspension lorsqu'elle est administrée à des sujets pédiatriques à jeun.
Manque de bioéquivalence
La suspension orale n'était pas bioéquivalente pour les comprimés lorsqu'il était testé chez des adultes en bonne santé. Les formulations de comprimés et de suspension orale ne sont pas substituables sur une base milligramme-permilligramme. La zone sous la courbe pour la suspension était en moyenne de 91% de celle du comprimé et la concentration plasmatique maximale pour la suspension en moyenne 71% de la concentration plasmatique maximale des comprimés. Par conséquent, l'innocuité et l'efficacité des formulations de comprimés et de suspension orale ont été établies dans des essais cliniques distincts.
Distribution
Le céfuroxime est distribué dans les fluides extracellulaires. Environ 50% du céfuroxime sérique est lié aux protéines.
Métabolisme
La fraction axétil est métabolisée en acétaldéhyde et en acide acétique.
Excrétion
Le céfuroxime est excrété inchangé dans l'urine; Chez les adultes, environ 50% de la dose administrée est récupérée dans l'urine dans les 12 heures. La pharmacocinétique du céfuroxime chez les sujets pédiatriques n'a pas été étudiée. Jusqu'à ce que d'autres données soient disponibles, l'élimination rénale du céfuroxime axétil établie chez les adultes ne doit pas être extrapolée sur des sujets pédiatriques.
Populations spécifiques
Trouble rénal
Dans un essai de 28 adultes ayant une fonction rénale normale ou une sévère insuffisance rénale (autorisation de créatinine <30 mL/min) the elimination half-life was prolonged in relation to severity of renal impairment. Prolongation of the dosage interval is recommended in adult patients with creatinine clearance <30 mL/min [see Posologie et administration ].
Patients pédiatriques
Les paramètres pharmacocinétiques sériques du céfuroxime chez les sujets pédiatriques administrés par la Ceftine pour une suspension orale sont présentés dans le tableau 9.
Tableau 9: Pharmacocinétique du céfuroxime administré dans l'état postprandial sous le nom de ceftine pour une suspension orale aux sujets pédiatriques a
| Dose b (Équivalent cefuroxime) | n | Concentration plasmatique maximale (MCG / ml) | Temps de concentration plasmatique maximale (H) | Half-Life (H) d'élimination moyenne (H) | AUC (MCG • H / ML) |
| 10 mg / kg | 8 | 3.3 | 3.6 | 1.4 | 12.4 |
| 15 mg / kg | 12 | 5.1 | 2.7 | 1.9 | 22.5 |
| 20 mg / kg | 8 | 7.0 | 3.1 | 1.9 | 32.8 |
| a Âge moyen = 23 mois. b Médicament administré avec du lait ou des produits laitiers. |
Patients gériatriques
Dans un essai de 20 sujets âgés (âge moyen = 83,9 ans) ayant une clairance moyenne de créatinine de 34,9 ml / min, la demi-vie moyenne de l'élimination du sérum a été prolongée à 3,5 heures; Cependant, malgré l'élimination plus faible du céfuroxime chez l'ajustement de dosage des patients gériatriques en fonction de l'âge n'est pas nécessaire [voir Utiliser dans des populations spécifiques ].
Interactions médicamenteuses
L'administration concomitante de probénécide avec des comprimés de cefuroxime axétil augmente la zone de céfuroxime sous la concentration sérique en fonction de la courbe temporelle et de la concentration sérique maximale de 50% et 21% respectivement.
Microbiologie
Mécanisme d'action
Le céfuroxime axetil est un agent bactéricide qui agit par inhibition de la synthèse de la paroi cellulaire bactérienne. Le céfuroxime axetil a une activité en présence de certaines β-lactamases à la fois des pénicillinases et des céphalosporinases de bactéries Gram négatives et Gram-positives.
Mécanisme de résistance
La résistance à l'axétil céfuroxime est principalement par hydrolyse par l'altération de la β-lactamase des protéines de liaison à la pénicilline (PBPS) a diminué la perméabilité et la présence de pompes d'efflux bactériennes.
La sensibilité au cefuroxime axetil variera selon la géographie et le temps; Les données locales de sensibilité doivent être consultées si elles sont disponibles. Isolats de résistance à l'ampicilline (BLNAR) de la bêta-lactamase de H. grippe doit être considéré comme résistant à l'xétil céfuroxime.
Il a été démontré que le céfuroxime axetil est actif contre la plupart des isolats des bactéries suivantes à la fois in vitro et dans les infections cliniques [voir Indications et utilisation ]::
Bactéries à Gram positif
Staphylococcus aureus (isolats sensibles à la méthicilline uniquement)
Streptococcus pneumoniae
Streptococcus pyogenes
Bactéries à Gram négatif
Ils ont fait preuve de froid a
Klebsiella pneumoniae a
Haemophilus influenzae
Haemophilus parainfluenzae
Moraxella catarrhalis
Neisseria gonorrhoeae
a La plupart des isolats produisant la β-lactamase du spectre étendu (producteur de BLSE) et producteur de carbapénémase sont résistants à l'axétil céfuroxime.
Spirochètes
Borrelia burgdorferi
Les données in vitro suivantes sont disponibles, mais leur signification clinique est inconnue. Au moins 90 pour cent des micro-organismes suivants présentent une concentration inhibitrice minimale in vitro inférieure (MIC) inférieure ou égale au point de rupture sensible de l'xétil cefuroxime de 1 mcg / ml. Cependant, l'efficacité de l'axétil de cefuroxime dans le traitement des infections cliniques en raison de ces micro-organismes n'a pas été établie dans des essais cliniques adéquats et bien contrôlés.
Bactéries à Gram positif
Staphylococcus epidermidis (isolats sensibles à la méthicilline uniquement)
Staphylococcus saprophyticus (isolats sensibles à la méthicilline uniquement)
Streptococcus agalactiae
Bactéries à Gram négatif
Morganella Morganies
Proteus inconstant
Proteus merveilleux
Rettgeri Providence
Bactéries anaérobies
Peptococcus Niger
Méthodes de test de sensibilité
Lorsqu'il est disponible, le laboratoire de microbiologie clinique devrait fournir les résultats des tests de sensibilité in vitro pour les produits antimicrobiens utilisés dans les hôpitaux locaux et les domaines de pratique au médecin comme rapports périodiques qui décrivent le profil de sensibilité des agents pathogènes nosocomiaux et acquis. Ces rapports devraient aider le médecin à sélectionner un médicament antibactérien pour le traitement.
Techniques de dilution
Des méthodes quantitatives sont utilisées pour déterminer les micros antimicrobiens. Ces CMI fournissent des estimations reproductibles de la sensibilité des bactéries aux composés antimicrobiens. Les micros doivent être déterminés à l'aide d'une méthode de test standardisée (bouillon ou gélose). 1 2 Les valeurs du CMI doivent être interprétées en fonction des critères fournis dans le tableau 10. 23
Diffusion Techniques
Les méthodes quantitatives qui nécessitent la mesure des diamètres de zone fournissent également des estimations reproductibles de la sensibilité des bactéries aux composés antimicrobiens. La taille de la zone fournit une estimation de la sensibilité des bactéries aux composés antimicrobiens. La taille de la zone doit être déterminée à l'aide d'une méthode d'essai standardisée.4 Cette procédure utilise des disques papier imprégnés de 30 mcg de cefuroxime axetil pour tester la sensibilité des micro-organismes en axétil de cefuroxime. Les critères d'interprétation de diffusion du disque sont fournis dans le tableau 10. 3
Tableau 10: Critères d'interprétation des tests de sensibilité pour le cefuroxime axetil
| Pathogène | Concentrations minimales inhibiteurs (MCG / ml) | Diamètres de la zone de diffusion du disque (mm) | ||||
| (S) sensible | (I) intermédiaire | (R) résistant | (S) sensible | (I) intermédiaire | (R) résistant | |
| Enterobactéries a | ≤4 | 8 - 16 | ≥32 | ≥23 | 15 - 22 | ≤14 |
| Haemophilus spp. AB | ≤4 | 8 | ≥16 | ≥20 | 17 - 19 | ≤16 |
| Moraxella catarrhalis a | ≤4 | 8 | ≥16 | - | - | - |
| Streptococcus pneumoniae | ≤1 | 2 | ≥4 | - | - | - |
| a Pour Enterobacteriaceae Haemophilus spp. et les critères d'interprétation de la sensibilité à la susceptibilité de Moraxella catarrhalis sont basés sur une dose de 500 mg toutes les 12 heures chez les patients ayant une fonction rénale normale. b Haemophilus spp. includes only isolates of H. grippe et H. parainfluenzae. |
Sensibilité staphylocoques au céfuroxime peut être déduit du test uniquement de la pénicilline et de la céfoxitine ou de l'oxacilline.
Sensibilité Streptocoque Les Pyogenes peuvent être déduits du test de la pénicilline. 3
Un rapport de sensible indique que le médicament antimicrobien est susceptible d'inhiber la croissance de l'agent pathogène si le médicament antimicrobien atteint la concentration généralement réalisable au site de l'infection. Un rapport d'intermédiaire indique que le résultat doit être considéré comme équivoque et si le micro-organisme n'est pas entièrement sensible aux alternatifs cliniquement possibles, le test doit être répété. Cette catégorie implique une applicabilité clinique possible dans les sites corporels où le médicament est physiologiquement concentré ou dans des situations où une dose élevée de médicament peut être utilisée. Cette catégorie fournit également une zone tampon qui empêche de petits facteurs techniques incontrôlés de provoquer des écarts majeurs dans l'interprétation. Un rapport de résistant indique que le médicament antimicrobien est peu susceptible d'inhiber la croissance de l'agent pathogène si le médicament antimicrobien atteint les concentrations généralement réalisables au site d'infection; Une autre thérapie doit être sélectionnée.
Contrôle de qualité
Les procédures de test de sensibilité normalisées nécessitent l'utilisation de contrôles de laboratoire pour surveiller et assurer la précision et la précision des fournitures et réactifs utilisés dans le test et les techniques de l'individu effectuant le test. 124 Les gammes QC pour les tests de diffusion MIC et disque à l'aide du disque de 30 mcg sont fournies dans le tableau 11. 3
Tableau 11: Contrôle de la qualité acceptable (QC) GAMENTS POUR CEFUROXIME AXETIL
| Souche QC | Concentrations minimales inhibiteurs (MCG / ml) | Diamètres de la zone de diffusion du disque (mm) |
| Ils ont fait preuve de froid ATCC 25922 | 2 à 8 | 20 à 26 |
| Staphylococcus aureus ATCC 25923 | - | 27 à 35 |
| Staphylococcus aureus ATCC 29213 | 0,5 à 2 | - |
| Streptococcus pneumoniae ATCC 49619 | 0,25 à 1 | - |
| Haemophilus influenzae ATCC 49766 | 0,25 à 1 | 28 à 36 |
| Neisseria gonorrhoeae ATCC 49226 | 0,25 à 1 | 33 à 41 |
| ATCC = collection de culture de type américain. |
Études cliniques
Sinusite maxillaire bactérienne aiguë
Un essai adéquat et bien contrôlé a été réalisé chez des sujets atteints de sinusite maxillaire bactérienne aiguë. Dans cet essai, chaque sujet a eu une aspiration des sinus maxillaires collectée par ponction des sinus avant le début du traitement pour une sinusite bactérienne aiguë présumée. Tous les sujets avaient des preuves radiographiques et cliniques d'une sinusite maxillaire aiguë. Dans l'essai, l'efficacité clinique de la Ceftine dans le traitement de la sinusite maxillaire aiguë était comparable à un agent antimicrobien oral contenant un inhibiteur spécifique de la β-lactamase. Cependant, les données de microbiologie ont démontré que la Ceftine était efficace pour traiter la sinusite maxillaire bactérienne aiguë due uniquement à Streptococcus pneumoniae ou à la non-β-lactamase productrice Haemophilus influenzae . Un nombre insuffisant de β-lactamase produisant Haemophilus influenzae et Moraxella catarrhalis Les isolats ont été obtenus dans cet essai pour évaluer adéquatement l'efficacité de la Ceftine dans le traitement de la sinusite maxillaire bactérienne aiguë en raison de ces 2 organismes.
Cet essai a randomisé 317 sujets adultes 132 sujets aux États-Unis et 185 sujets en Amérique du Sud. Le tableau 12 montre les résultats de l'analyse en intention de traiter.
Tableau 12: Efficacité clinique des comprimés de ceftine dans le traitement de la sinusite maxillaire bactérienne aiguë
| Sujets américains a | Sujets sud-américains b | |||
| Ceftine 250 mg Twice Daily (n = 49) | Contrôle c (n = 43) | Ceftine 250 mg Twice Daily (n = 49) | Contrôle c (n = 43) | |
| Succès clinique (amélioration de la guérison) | 65% | 53% | 77% | 74% |
| Remède clinique | 53% | 44% | 72% | 64% |
| Amélioration clinique | 12% | 9% | 5% | 10% |
| a Intervalle de confiance à 95% autour de la différence de réussite [-0,08 0,32]. b Intervalle de confiance à 95% autour de la différence de réussite [-0,10 0,16]. c Contrôle was an antibacterial drug containing a β-lactamase inhibitou. |
Dans cet essai et dans un essai de ponction maxillaire à l'appui, 15 sujets évaluables avaient des non-β-lactamases produisant Haemophilus influenzae comme pathogène identifié. Parmi ces 67% (10/15) ont fait éradiquer ce pathogène. Dix-huit (18) sujets évaluables avaient Streptococcus pneumoniae comme pathogène identifié. Parmi ces 83% (15/18) ont fait éradiquer ce pathogène.
Maladie de Lyme précoce
Deux essais adéquats et bien contrôlés ont été réalisés chez des sujets atteints de maladie précoce de Lyme. Tous les sujets ont présenté des érythème migrans documentés par des médecins avec ou sans manifestations systémiques d'infection. Les sujets ont été évalués à 1 mois après le succès pour le traitement de la maladie précoce de Lyme (partie I) et à 1 an après le traitement pour réussir à prévenir la progression vers les séquelles de la maladie de Lyme tardive (partie II).
Au total, 355 sujets adultes (181 traités avec du céfuroxime axetil et 174 traités par doxycycline) ont été randomisés dans les 2 essais avec diagnostic de maladie précoce de Lyme confirmé dans 79% (281/355). Le diagnostic clinique de la maladie précoce de Lyme chez ces sujets a été validé par 1) la lecture experte en aveugle de photographies lorsqu'elle est disponible sur la lésion cutanée de l'érythème migrans de prétraitement et 2) la confirmation sérologique (en utilisant un essai immuno-enzymatique [ELISA] et un essai immunoblot [Western Blots de la présence de l'agent anticorps spécifique à Borlia Maladie de Lyme. Les données d'efficacité du tableau 13 sont spécifiques à ce sous-ensemble de patients validés tandis que les données de sécurité ci-dessous reflètent l'ensemble de la population de patients pour les 2 essais. Les données cliniques pour les sujets évaluables dans le sous-ensemble du patient validé sont présentées dans le tableau 13.
Tableau 13: Efficacité clinique des comprimés de ceftine par rapport à la doxycycline dans le traitement de la maladie précoce de Lyme
| Partie I (1 mois après 20 jours de traitement) a | Partie II (1 an après 20 jours de traitement) b | |||
| Ceftine 500 mg Twice Daily (n = 125) | Doxycycline 100 mg 3 fois par jour (n = 108) | Ceftine 500 mg Twice Daily (n = 105 c ) | Doxycycline 100 mg 3 fois par jour (n = 83 c ) | |
| Résultat clinique satisfaisant d | 91% | 93% | 84% | 87% |
| Remède clinique/success | 72% | 73% | 73% | 73% |
| Amélioration clinique | 19% | 19% | 10% | 13% |
| a Intervalle de confiance à 95% autour de la différence satisfaisante pour la partie I (-0,08 0,05). b Intervalle de confiance à 95% autour de la différence satisfaisante pour la partie II (-0,13 0,07). c Les N incluent des sujets évalués comme résultats cliniques insatisfaisants (récidive de défaillance) dans la partie I (Ceftine - 11 [5 défaillance 6 Récitation]; doxycycline - 8 [6 défaillance 2 Récurrence]). d Résultat clinique satisfaisant includes cure + improvement (Part I) et success + improvement (Part II). |
Ceftine et doxycycline were effective in prevention of the development of sequelae of late Lyme disease.
Alors que l'incidence des effets indésirables gastro-intestinaux liés au médicament était similaire dans les 2 groupes de traitement (cefuroxime axetil - 13%; doxycycline - 11%), l'incidence de la diarrhée liée au médicament était plus élevée dans le bras axétil céfuroxime contre le bras doxycycline (11% versus 3% respectivement).
Références
1. Institut des normes cliniques et de laboratoire (CLSI). Méthodes de dilution Tests de sensibilité aux antimicrobiens pour les bactéries qui poussent aérobiement; Standard approuvé - dixième édition. 2015. Document CLSI M07-A10 Clinical and Laboratory Standards Institute 950 West Valley Road Suite 2500 Wayne Pennsylvania 19087 USA.
2. Institut des normes cliniques et de laboratoire (CLSI). Méthodes pour la dilution antimicrobienne et les tests de sensibilité au disque pour les bactéries rarement isolées ou fastidieuses: directives approuvées - deuxième édition. 2010. Document CLSI M45-A2 Clinical and Laboratory Standards Institute 950 West Valley Road Suite 2500 Wayne Pennsylvania 19087 USA.
3. Institut des normes cliniques et de laboratoire (CLSI). Normes de performance pour les tests de sensibilité aux antimicrobiens; Vingt-cinquième supplément d'information. 2015. Document CLSI M100- S25 Clinical and Laboratory Standards Institute 950 West Valley Road Suite 2500 Wayne Pennsylvania 19087 USA.
4. Institut des normes cliniques et de laboratoire (CLSI). Normes de performance pour les tests de sensibilité à la diffusion du disque antimicrobien; Standard approuvé - Douzième édition. 2015. Document CLSI M02-A12 Clinical and Laboratory Standards Institute 950 West Valley Road Suite 2500 Wayne Pennsylvania 19087 USA.
Paprika pour la santé des avantages et effets secondaires
Informations sur les patients pour ceftin
Réactions allergiques
Informer les patients que la ceftine est une céphalosporine qui peut provoquer des réactions allergiques chez certaines personnes [voir Avertissements et PRÉCAUTIONS ].
Diarrhée associée à Clostridium difficile
Informer les patients que la diarrhée est un problème courant causé par les antibactériens et qu'il se termine généralement lorsque l'antibactérien est interrompu. Parfois, après avoir commencé le traitement avec des antibactériens, les patients peuvent développer des selles aqueuses et sanglantes (avec ou sans crampes d'estomac et fièvre) même jusqu'à 2 mois ou plus après avoir pris leur dernière dose d'antibactérien. Si cela se produit, conseille aux patients de contacter leur médecin dès que possible.
Phénlketoniaria
Informer les patients et les soignants que la ceftine pour la suspension buccale contient de la phénylalanine (une composante de l'aspartame) [voir Avertissements et PRÉCAUTIONS ].
Comprimés écrasants
Demandez aux patients d'avaler le comprimé entier sans écraser le comprimé. Les patients qui ne peuvent pas avaler le comprimé entier doivent recevoir la suspension orale.
Suspension orale
Demandez aux patients de secouer la suspension buccale bien avant chaque utilisation du stockage au réfrigérateur et de jeter après 10 jours. La suspension orale doit être prise avec de la nourriture.
Résistance aux médicaments
Informer les patients que les médicaments antibactériens, y compris la Ceftine, ne doivent être utilisés que pour traiter les infections bactériennes. Ils ne traitent pas les infections virales (par exemple le rhume). Lorsque la Ceftine est prescrite pour traiter une infection bactérienne informe les patients que, bien qu'il soit courant de se sentir mieux au début du traitement, le médicament doit être pris exactement comme indiqué. Sauter les doses ou ne pas terminer le cours complet du traitement peut: (1) diminuer l'efficacité du traitement immédiat et (2) augmenter la probabilité que les bactéries développent une résistance et ne seront pas traitées par la Ceftine ou d'autres médicaments antibactériens à l'avenir.