Les Informations Présentées Sur Ce Site Ne Constituent Pas Un Avis Médical. Nous Ne Vendons Rien. L'Exactitude De La Traduction N'Est Pas Garantie. Clause De Non-Responsabilité
Antidysrhythmiques, III
Cordarone
Résumé
Qu'est-ce que Cordarone?
Cordarone (amiodarone) est un médicament antiarythmique utilisé pour de nombreuses arythmies graves du cœur, y compris la fibrillation ventriculaire tachycardie ventriculaire fibrillation auriculaire et battement auriculaire .
- Cordarone est disponible en générique formulaire.
Quels sont les effets secondaires de Cordarone?
Les effets secondaires courants de Cordarone comprennent:
- Nausée
- Vomissement
- Constipation
- Perte de poids
- Fatigue
- Fibrose pulmonaire
- Bloc cardiaque
- Insuffisance cardiaque
- Vertiges
- Fatigue
- Tremblement ou tremblement
- Engourdissement et picotements
- Douleurs à l'estomac
- Perte d'appétit
- Problèmes de sommeil (insomnie)
- Faiblesse
- Manque de coordination
- Chaleur de chaleur ou rougeur sous votre peau
- ecchymoses ou saignements faciles
- perte de coordination
- picotements ou engourdissement des mains ou des pieds
- mouvements incontrôlés ou
- NOUVEAUX ou aggravant les symptômes d'insuffisance cardiaque (comme cheville ou un gonflement des jambes accru la fatigue a augmenté l'essoufflement de l'essoufflement lorsqu'il est couché).
Dosage pour Cordarone?
Le dosage varie en fonction de l'indication. La dose recommandée pour le traitement initial est de 800 à 1600 mg / jour jusqu'à ce que la réponse thérapeutique initiale se produise.
Quelles substances ou suppléments de médicaments interagissent avec Cordarone?
Cordarone peut interagir avec
- Les bêta-bloquants et certains bloqueurs de canaux calciques résultant en une fréquence cardiaque excessivement lente ou un bloc dans la conduction de l'impulsion électrique à travers le cœur.
- Cordarone augmente les taux sanguins de la digoxine de la phénytoïne et du procrainamide de digoxine.
- Cordarone interagit avec la warfarine et augmente le risque de saignement.
Cordarone pendant la grossesse et l'allaitement
L'amiodarone peut interagir avec la simvastatine atorvastatine et la lovastatine augmentant le risque de dégradation musculaire sévère et d'insuffisance rénale ou d'une maladie hépatique. Cordarone est nocif pour le fœtus et pour les nourrissons.
- Il ne doit pas être administré pendant la grossesse et les femmes ne devraient pas allaiter lors de la prise de Cordarone.
Informations Complémentaires
Notre centre de médicaments sur les effets secondaires de Cordarone offre une vue complète des informations sur les médicaments disponibles sur les effets secondaires potentiels lors de la prise de ce médicament.
Informations sur les médicaments de la FDA
- Description de la drogue
- Indications
- Effets secondaires
- Interactions médicamenteuses
- Avertissements
- Surdosage
- Pharmacologie clinique
- Guide des médicaments
AVERTISSEMENT
Toxicité hépatique et cardiaque pulmonaire
Cordarone est destiné à une utilisation uniquement chez les patients présentant des arythmies potentiellement mortelles car son utilisation s'accompagne d'une toxicité substantielle [voir Indications et utilisation ].
Cordarone peut provoquer une toxicité pulmonaire (pneumonite d'hypersensibilité ou pneumonite interstitielle / alvéolaire) qui a entraîné une maladie cliniquement manifestée à des taux pouvant atteindre 17% dans certaines séries de patients. La toxicité pulmonaire a été mortelle environ 10% du temps. Obtenez une radiographie pulmonaire de base et des tests de fonction pulmonaire, y compris la capacité de diffusion lorsque le traitement par cordarone est initié. Répéter l'examen physique et radiographie de la poitrine tous les 3 à 6 mois [voir avertissements et PRÉCAUTIONS ].
Cordarone peut provoquer une hépatoxicité qui peut être fatale. Obtenir des transaminases hépatiques de base et périodiques et interrompre ou réduisez la dose si l'augmentation dépasse trois fois la normale ou le double chez un patient avec une base de base élevée. Arrêtez Cordarone si le patient éprouve des signes ou des symptômes de lésions hépatiques cliniques [voir avertissements et PRÉCAUTIONS ].
Cordarone peut exacerber les arythmies. Initier Cordarone dans un cadre clinique où des électrocardiogrammes continus et une réanimation cardiaque sont disponibles [voir avertissements et PRÉCAUTIONS ].
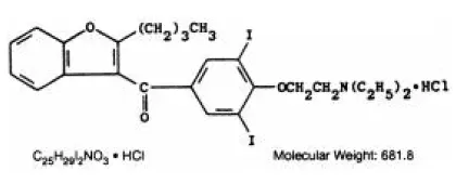
Description de Cordarone
Cordarone (Amiodarone HCL) est un médicament antiarythmique disponible pour l'administration orale sous forme de comprimés de scores roses contenant 200 mg de chlorhydrate d'amiodarone. Les ingrédients inactifs présents sont le dioxyde de silicium colloïdal au stéarate de magnésium de lactose Starch Povidone et FD
La formule structurelle est la suivante:
|
L'amiodarone HCL est une poudre cristalline blanche à crème. Il est légèrement soluble dans l'eau soluble dans l'alcool et librement soluble dans le chloroforme. Il contient 37,3% d'iode en poids.
Utilisations pour Cordarone
Le cordarone est indiqué pour le traitement de la fibrillation ventriculaire récurrente menaçant la vie documentée et de la tachycardie récurrente de la vie en matière de vie hémodynamiquement instable chez les adultes qui n'ont pas répondu à des doses adéquates d'autres antiarythmiques disponibles ou lorsque les agents alternatifs ne peuvent pas être tolérés.
Dosage pour Cordarone
Le dosage doit être individualisé en fonction de la gravité de l'arythmie et de la réponse. Utilisez la dose efficace la plus faible. Obtenir des tests de fonction pulmonaire à rayons X thoraciques de base Tests de la fonction thyroïdienne et des aminotransférases hépatiques. Hypokaliémie correcte hypomagnésémie et hypocalcémie avant de lancer un traitement
Dosage recommandé
Initier un traitement avec des doses de chargement de 800 à 1600 mg / jour jusqu'à ce que la réponse thérapeutique initiale se produise (généralement 1 à 3 semaines). Une fois que le contrôle adéquat de l'arythmie est obtenu ou si les effets secondaires deviennent proéminents, réduisez la dose de cordarone à 600 à 800 mg / jour pendant un mois, puis à la dose d'entretien, généralement 400 mg / jour.
Administration
Administrer Cordarone régulièrement en ce qui concerne les repas [voir Pharmacologie clinique ]. Administration of CORDARONE in divided doses with meals is suggested for total daily doses of 1000 mg or higher or when gastrointestinal intolerance occurs.
Comment fourni
Formes et forces posologiques
200 mg de comprimés: comprimés roses rond à facex avec un C surélevé et marqué 200 d'un côté avec le côté inversé marqué et marqué Wyeth et 4188.
Stockage et manipulation
Comprimés Cordarone® (Amiodarone HCl) sont disponibles dans des bouteilles de 60 comprimés comme suit:
200 mg NDC 0008-4188-04 Comprimés roses à face rond à face rond avec un C surélevé et marqué 200 d'un côté avec le côté inversé marqué et marqué Wyeth et 4188.
Restez bien fermé.
Conserver à température ambiante contrôlée de 20 ° à 25 ° C (68 ° à 77 ° F).
Protéger de la lumière.
Dispenser dans un récipient serré résistant à la lumière.
Fabriqué par Sanofi Winthrop Industrie 1 Rue de la Vierge 33440 Ambares France. Distribué par: Wyeth Pharmaceuticals Inc. Une filiale de Pfizer Inc. Philadelphie PA 19101. Révisé: octobre 2018
Effets secondaires for Cordarone
Les réactions indésirables graves suivantes sont décrites plus en détail dans d'autres sections des informations de prescription:
- Toxicité pulmonaire [voir AVERTISSEMENTS AND PRÉCAUTIONS ]
- Blessure hépatique [voir AVERTISSEMENTS AND PRÉCAUTIONS ]
- Arythmie aggravée [voir AVERTISSEMENTS AND PRÉCAUTIONS ]
- Troubles visuels et perte de vision [voir AVERTISSEMENTS AND PRÉCAUTIONS ]
- Anomalies thyroïdiennes [voir AVERTISSEMENTS AND PRÉCAUTIONS ]
- Bradycardie [voir AVERTISSEMENTS AND PRÉCAUTIONS ]
- Neuropathie périphérique [voir AVERTISSEMENTS AND PRÉCAUTIONS ]
- Photosensibilité et décoloration de la peau [Voir AVERTISSEMENTS AND PRÉCAUTIONS ]
Expérience des essais cliniques
Étant donné que les essais cliniques sont menés dans des conditions de réaction indésirables très variables observées dans les essais cliniques d'un médicament ne peuvent pas être directement comparées aux taux dans les essais cliniques d'un autre médicament et ne peuvent pas refléter les taux observés dans la pratique.
À la dose de maintenance habituelle (400 mg / jour) et au-dessus du cordarone provoque des réactions indésirables chez environ les trois quarts de tous les patients entraînant l'arrêt chez 7 à 18%.
Dans les enquêtes de près de 5000 patients traités dans des études ouvertes aux États-Unis et dans des rapports publiés de traitement avec Cordarone, les effets indésirables nécessitant le plus fréquemment l'arrêt du cordarone incluaient des infiltrats pulmonaires ou de la fibrose paroxystique ventriculaire tachycardie insuffisance cardiaque congestive et élévation des enzymes du foie. D'autres symptômes provoquant des arrêts moins souvent des perturbations visuelles Photosensibilité Décoloration de la peau bleue L'hyperthyroïdie et l'hypothyroïdie.
Crème de démangeaisons de jock pour éruption cutanée
Les taux d'effets secondaires suivants sont basés sur une étude rétrospective de 241 patients traités pendant 2 à 1515 jours (moyenne 441,3 jours):
Thyroïde
Commun : Hyperthyroïdie de l'hypothyroïdie.
Cardiovasculaire
Commun : Dysfonctionnement congestif de l'insuffisance cardiaque cardiaque Dysfonctionnement du nœud SA.
Gastro-intestinal
Très courant : Vomissements de nausées.
Commun : Constipation anorexie douleurs abdominales.
Dermatologique
Commun : Dermatite solaire / photosensibilité.
Neurologique
Commun : Malaise et fatigue Tremor / Mouvements involontaires anormaux Le manque de coordination des étourdissements anormaux de la démarche / ataxie des étourdissements diminuent les troubles du sommeil des maux de tête de la libido.
Ophtalmique
Commun : Perturbations visuelles.
Hépatique
Commun : Test anormal des tests hépatiques hépatiques non spécifiques.
Respiratoire
Commun : Inflammation ou fibrose pulmonaire.
Autre
Commun : Rinçage du goût anormal et odeur des anomalies de coagulation de salivation anormales de l'œdème.
Rare : Discoloration de la peau bleue Ecchymose spontanée ALOPECIE HYPOtension et anomalies de conduction cardiaque.
Expérience de commercialisation de la poste
Les effets indésirables suivants ont été identifiés lors de l'utilisation post-approbation de Cordarone. Étant donné que ces réactions sont rapportées volontairement d'une population de taille incertaine, il n'est pas toujours possible d'estimer de manière fiable leur fréquence ou d'établir une relation causale à l'exposition au médicament.
Hématologique : Anémie hémolytique Anémie aplasique Pancytopénie Neutropénie thrombocytopénie agranulocytose granulome.
Immunitaire : Réaction anaphylactique / anaphylactoïde (y compris le choc) œdème de l'angio.
Neurologique : Pseudotumor cerebri Parkinsonian Symptômes tels que l'akinésie et la bradykinésie (parfois réversible avec l'arrêt de la thérapie) démyélinisant la polyneuropathie.
Psychiatrique : Hallucination Délire de désorientation de l'état confusion.
Cardiaque : Hypotension (parfois mortelle) Arrestation des sinus.
Respiratoire : Pneumonie éosinophile Syndrome de détresse respiratoire aiguë dans le cadre postopératoire bronchospasme bronchiolite oblitérants organisant la pneumonie hémorragie alvéolaire pulmonaire pleurrite pleurale épanche pleurale.
Gastro-intestinal : Pancréatite Pancréatite aiguë.
Hépatique : Hépatite cholestatique hépatite cirrhose.
Qu'est-ce que le vérapamil est utilisé pour
Troubles de la peau et des tissus sous-cutanés : Urticaire Nécrolyse épidermique toxique (parfois mortelle) Erythème multiforme Syndrome de Stevens-Johnson Dermatite exfoliative Dermatite Bullatite médicament avec éosinophilie et symptômes systémiques (robe) Eczema pruritus cancer cancer du cancer de la peau Syndrome.
Musculo-squelettique : Rhabdomyolyse de la faiblesse musculaire de la myopathie.
Rénal : Insuffisance rénale Insuffisance rénale Insuffisance rénale aiguë.
Reproducteur : impuissance de l'épididymite.
Le corps dans son ensemble : Fièvre Dry Mouth.
Endocrinien et métabolique : Syndrome de nodules thyroïdiens / cancer de la thyroïde de la sécrétion d'hormone antidiurétique inappropriée (SIADH).
Vasculaire : vascularite.
Interactions médicamenteuses for Cordarone
En raison de la longue demi-vie de l'amiodarone s'attendent à ce que les interactions médicamenteuses persistent pendant des semaines à des mois après l'arrêt de l'amiodarone.
Les interactions médicamenteuses avec l'amiodarone sont décrites dans le tableau 1 ci-dessous.
Tableau 1: Interactions médicamenteuses de l'amiodarone
| Classe / nom de médicament concomitant | Exemples | Commentaire clinique |
| Interactions pharmacodynamiques | ||
| QT prolongeant les médicaments | class I and III antiarrhythmics lithium certain phenothiazines tricyclic antidepressants certain fluoroquinolone and macrolide antibiotics azole antifungals halogenated inhalation anesthetic agents | Risque accru de torsade de pointes. Évitez l'utilisation concomitante. |
| Chronotropes négatifs | Digoxine Beta Blockers | Potentialise les effets électrophysiologiques et hémodynamiques de l'amiodarone entraînant l'arrêt de la bradycardie sinusale et le bloc AV. Surveiller la fréquence cardiaque. |
| Interactions pharmacocinétiques | ||
| Inhibiteurs du CYP450 | Jui de pamplemousse Certains fluoroquinolone et les antibiotiques macrolides azole antifongiques cimétidine certains inhibiteurs de protéase | Exposition accrue de l'amiodarone. Évitez l'utilisation concomitante. |
| Inducteurs CYP450 | Mur de St. John’s | Réduction des taux sériques de l'amiodarone. |
| Cyclosporine | Une augmentation des taux plasmatiques de cyclosporine a été signalé, entraînant une créatinine élevée malgré une réduction de la dose de cyclosporine. Surveiller les niveaux de médicament de la cyclosporine et la fonction rénale avec une utilisation concomitante. | |
| Cholestyramine | Réduction des taux sériques de l'amiodarone. | |
| Antiarythmiques | quinidine procainamide flécaïnide | Réserve une utilisation concomitante pour les patients qui ne répondent pas à un seul agent. Le métabolisme antiarythmique inhibé par l'amiodarone. Initier antiarythmique à une dose inférieure à la d'habitude et surveiller attentivement le patient. Réduisez les niveaux de dose d'antiarythme précédemment administré de 30 à 50% pendant plusieurs jours après la transition vers l'amiodarone orale. Évaluez le besoin continu d'antiarythmique. |
| Digoxine | Augmentation de la concentration de digoxine. Réduisez la digoxine de moitié ou interrompre. Si vous continuez à surveiller les preuves de toxicité. | |
| Inhibiteurs de HMG-CoA réductase | simvastatin lovastatin atorvastatin | Augmentation de la concentration plasmatique de l'inhibiteur de HMG-CoA réductase. Limitez la dose de lovastatine à 40 mg. Limitez la dose de simvastatine co-administrée à 20 mg. Une dose de démarrage plus faible des autres substrats CYP3A4 peut être nécessaire. |
| Warfarine | Potentialise la réponse anticoagulante et peut entraîner des saignements graves ou mortels. La co-administration augmente le temps de prothrombine de 100% après 3 à 4 jours. Réduire la dose de warfarine d'un tiers à la moitié et surveiller les temps de prothrombine. | |
| Lable | Augmentation des niveaux en régime permanent de phénytoïne. Surveillez les niveaux de phénytoïne. | |
| Hépatite C à action directe antivirale | sofosbuvir | Des cas de bradyarythmie symptomatique nécessitant une insertion du stimulateur cardiaque ont été signalés chez des patients sous tension orale amiodarone qui a lancé une thérapie avec du sofosbuvir. |
| Substrat du CYP3A | lidocaïne | La bradycardie des sinus a été signalée avec l'amiodarone orale en combinaison avec la lidocaïne donnée pour l'anesthésie locale. Surveiller la fréquence cardiaque. Une dose de départ de lidocaïne plus faible peut être nécessaire. |
| Substrat du CYP3A | fentanyl | Le fentanyl en combinaison avec l'amiodarone peut provoquer une bradycardie hypotension et une diminution du débit cardiaque. |
Avertissements pour Cordarone
Inclus dans le cadre du PRÉCAUTIONS section.
Précautions pour Cordarone
Persistance des effets indésirables
En raison de la longue demi-vie de l'amiodarone (15 à 142 jours) et de ses effets indésirables du métabolite actif (14 à 75 jours) et les interactions médicamenteuses peuvent persister pendant plusieurs semaines après l'arrêt de l'amiodarone [voir Pharmacologie clinique ].
Toxicité pulmonaire
Cordarone peut provoquer un syndrome clinique de toux et de dyspnée progressive accompagnée d'un gallium radiographique fonctionnel et de données pathologiques compatibles avec la toxicité pulmonaire. La toxicité pulmonaire secondaire au cordarone peut résulter d'une toxicité indirecte ou directe comme représenté par une pneumonite d'hypersensibilité (y compris la pneumie éosinophile) ou la pneumite interstitielle / alvéolaire respectivement. Les taux de toxicité pulmonaire ont été rapportés pouvant atteindre 17% et sont mortels dans environ 10% des cas. Obtenez une radiographie pulmonaire de base et des tests de fonction pulmonaire, y compris la capacité de diffusion lorsque le traitement par cordarone est initié. Répétez l'examen physique et la radiographie pulmonaire tous les 3 à 6 mois ou si les symptômes se produisent. Considérez un traitement antiarythmique alternatif si le patient éprouve des signes ou des symptômes de toxicité pulmonaire. La prednisone 40 à 60 mg / jour effilée sur plusieurs semaines peut être utile dans le traitement de la toxicité pulmonaire.
Syndrome de détresse respiratoire adulte (SDRA)
Des occurrences postopératoires de SDRA ont été signalées chez des patients recevant un traitement par cordialement qui ont subi une chirurgie cardiaque ou non cardiaque. Bien que les patients réagissent généralement bien à une thérapie respiratoire vigoureuse dans de rares cas, le résultat a été mortel.
Hépatique Injury
Des élévations asymptomatiques des niveaux d'enzymes hépatiques sont observées fréquemment, mais le cordarone peut provoquer une lésion hépatique potentiellement mortelle. L'histologie ressemblait à celle de l'hépatite alcoolique ou de la cirrhose. Obtenir des transaminases hépatiques de base et périodiques. Si les transaminases dépassent trois fois la normale ou les doubles chez un patient avec une base élevée de base interrompre ou réduisent la dose de cordarone obtenir des tests de suivi et traiter de manière appropriée.
Arythmie aggravée
Le cordarone peut exacerber l'arythmie présentée chez environ 2 à 5% des patients ou provoquer une nouvelle fibrillation ventriculaire tachycardie ventriculaire incessante, une résistance accrue à la cardioversion et à la tachycardie ventriculaire polymorphe associée à la prolongation de QTC (Torsade De-Point [TDP]).
Hypokaliémie correcte hypomagnésémie et hypocalcémie avant de lancer un traitement avec Cordarone car ces troubles peuvent exagérer le degré de prolongation du QTC et augmenter le potentiel de TDP. Accordez une attention particulière à l'équilibre électrolytique et acide-base chez les patients souffrant de diarrhée sévère ou prolongée ou de médicaments qui réceptent des niveaux d'électrolyte tels que les laxatifs diurétiques corticostéroïdes systémiques ou l'amphotéricine B.
Troubles visuels et perte de vision
Neuropathie optique et névrite optique
Des cas de neuropathie optique et de névrite optique entraînant généralement des troubles visuels et parfois une cécité permanente ont été signalés chez les patients traités par amiodarone et peuvent survenir à tout moment pendant le traitement. Si les symptômes de déficience visuelle apparaissent tels que les changements de l'acuité visuelle et les diminutions de la vision périphérique, envisagez d'arrêter le cordarone et se référent rapidement à l'examen ophtalmique. L'examen ophtalmique régulier, y compris la funcuscopie et l'examen de lampe à fente, est recommandé lors de l'administration de Cordarone [voir Effets indésirables ].
Microdeposits cornéens
Les microdepôts cornéens apparaissent chez la majorité des adultes traités avec Cordarone. Ils ne sont généralement discernables que par un examen de lampe à fente mais donnent naissance à des symptômes tels que des halos visuels ou une vision floue chez 10% des patients. Les microdeposits cornéens sont réversibles lors de la réduction de la dose ou de la résiliation du traitement. Les microdeposits asymptomatiques seuls ne sont pas une raison pour réduire la dose ou interrompre le traitement [voir Effets indésirables ].
Thyroïde Abnormalities
Cordarone inhibe la conversion périphérique de la thyroxine (T4) en triiodothyronine (T3) et peut provoquer une augmentation des niveaux de thyroxine a diminué les niveaux de T3 et une augmentation des niveaux de T3 inactif inactif (RT3) chez les patients euthyroïdiens cliniquement. Cordarone peut provoquer une hypothyroïdie (rapportée chez jusqu'à 10% des patients) ou une hyperthyroïdie (survenant chez environ 2% des patients). Surveillez la fonction thyroïdienne avant le traitement et par la suite par la suite, en particulier chez les patients âgés et chez tout patient ayant des antécédents de nodules thyroïdiens ou un autre dysfonctionnement thyroïdien.
L'hyperthyroïdie peut induire une percée d'arythmie. Si de nouveaux signes d'arythmie semblent que la possibilité d'une hyperthyroïdie doit être envisagée. Médicaments antithyroïdiens Les bloqueurs β-adrénergiques de la corticothérapie temporaire peuvent être nécessaires pour traiter les symptômes de l'hyperthyroïdie. L'action des antithyroïdiens peut être retardée dans la thyrotoxicose induite par l'amiodarone en raison de quantités substantielles d'hormones thyroïdiennes préformées stockées dans la glande. La thérapie par l'iode radioactif est contre-indiquée en raison de la faible absorption de radio-iode associée à une hyperthyroïdie induite par l'amiodarone. L'hyperthyroïdie induite par Cordarone peut être suivie d'une période transitoire d'hypothyroïdie.
Effets secondaires du méthimazole chez l'homme
L'hypothyrodisme peut être primaire ou après la résolution de l'hyperthyroïdie induite par l'amiodarone précédente. L'hypothyroïdie sévère et le coma myxedème parfois mortels ont été signalés en association avec le traitement par l'amiodarone. Dans certains patients cliniquement hypothyroïdiens traités par l'amiodarone, les valeurs d'indice de thyroxine peuvent être normales. Gérez l'hypothyroïdie en réduisant la dose ou en désactivant la supplémentation en cordarone et en hormones thyroïdiennes.
Bradycardie
Cordarone provoque une bradycardie symptomatique ou un arrêt des sinus avec la suppression des foyers d'échappement chez 2 à 4% des patients. Le risque est augmenté par les troubles électrolytiques ou l'utilisation d'antiarythmiques concomitants ou de chronotropes négatifs [voir Interactions médicamenteuses ]. Bradycardie may require a stimulateur cardiaque pour le contrôle des taux.
Les cas de bradycardie post-bradycardie symptomatique dont certains nécessitent une insertion du stimulateur cardiaque et au moins un mortel ont été signalés lorsque Ledipasvir / Sofosbuvir ou Sofosbuvir avec Simeprevir ont été initiés chez des patients sous amiodarone. La bradycardie s'est généralement produite dans des heures à des jours, mais dans certains cas présentés jusqu'à 2 semaines après le début antiviral traitement. La bradycardie a généralement résolu après l'arrêt du traitement antiviral. Le mécanisme de cet effet est inconnu. Surveiller la fréquence cardiaque chez les patients prenant ou interrompre récemment l'amiodarone lors du début du traitement antiviral [voir Interactions médicamenteuses ].
Dispositifs cardiaques implantables
Chez les patients atteints de défibrillateurs ou de stimulateurs cardiaques implantés, l'administration chronique de médicaments antiarythmiques peut affecter les seuils de stimulation ou de défibrillation. Par conséquent, au début et pendant le traitement de l'amiodarone, la stimulation et la défibrillation doivent être évalués.
Toxicité fœtale
Cordarone peut causer un préjudice fœtal lorsqu'il est administré à une femme enceinte. L'exposition fœtale peut augmenter le potentiel d'effets neuro-développement et de croissance carroïdiens cardiaques et de croissance chez le nouveau-né [voir Utiliser dans des populations spécifiques ].
Neuropathie périphérique
L'administration chronique de cordarone peut entraîner une neuropathie périphérique qui peut ne pas se résoudre lorsque le cordarone est interrompu.
Photosensibilité et décoloration de la peau
Cordarone induit une photosensibilisation chez environ 10% des patients; Une certaine protection peut être offerte des crèmes de barrière solaire ou des vêtements de protection. Pendant le traitement à long terme, une décoloration bleu-gris de la peau exposée peut se produire. Le risque peut être augmenté chez les patients du teint beau ou ceux qui ont une exposition excessive au soleil. Un certain renversement de décoloration peut se produire lors de l'arrêt du médicament.
Chirurgie
Agents anesthésiques volatils
Les patients en traitement par cordarone peuvent être plus sensibles au dépresseur myocardique et aux effets de conduction des anesthésiques inhalationnels halogénés.
Informations de conseil des patients
Conseiller au patient de lire l'étiquetage des patients approuvé par la FDA ( Guide des médicaments ).
Conseiller les femmes enceintes du risque potentiel pour un fœtus. Conseiller les femmes de potentiel reproducteur pour informer leur prescripteur d'une grossesse connue ou suspectée [voir Utiliser dans des populations spécifiques ].
Conseiller les femmes que l'allaitement n'est pas recommandé pendant le traitement avec Cordarone [voir Utiliser dans des populations spécifiques ].
Conseillez aux patients d'éviter le jus de pamplemousse et le millepertuis.
Conseiller aux patients de consulter des médecins s'ils éprouvent les signes et symptômes de la toxicité pulmonaire aggravant l'arythmie Bradycardie Bradycardie ou l'hypo- et l'hyperthyroïdie.
L'étiquette de ce produit peut avoir été mise à jour. Pour les informations de prescription complètes, veuillez visiter www.pfizer.com.
Toxicologie non clinique
Carcinogenèse Mutagenèse A trouble de la fertilité
L'amiodarone HCl a été associée à une augmentation statistiquement significative liée à la dose de l'incidence des tumeurs thyroïdiennes (adénome folliculaire et / ou carcinome) chez le rat. L'incidence des tumeurs thyroïdiennes était supérieure à celle du contrôle au niveau de dose le plus bas testé, soit 5 mg / kg / jour (environ 0,08 fois la dose de maintenance humaine maximale recommandée *).
Les études de mutagénicité (Ames micronucléus et tests lysogènes) avec Cordarone étaient négatives.
Dans une étude dans laquelle l'amiodarone HCL a été administré à des rats mâles et femelles à partir de 9 semaines avant la réduction de la fertilité réduite a été observée à un niveau de dose de 90 mg / kg / jour (environ 1,4 fois la dose de maintenance humaine maximale recommandée *).
* 600 mg chez un patient de 60 kg (dose par rapport à une surface corporelle)
Utiliser dans des populations spécifiques
Grossesse
Résumé des risques
Les données disponibles des rapports post-commercialisation et des séries de cas publiées indiquent que l'utilisation de l'amiodarone chez les femmes enceintes peut augmenter le risque d'effets indésirables fœtaux, notamment l'hypo- et l'hyperthyroïdie néonatal Bradycardie anomalies neurodéveloppementals de la naissance prématurée et une restriction de croissance fœtale. L'amiodarone et son métabolite déététhylamiodarone (DEA) traversent le placenta. Les arythmies sous-jacentes non traitées, y compris les arythmies ventriculaires pendant la grossesse, présentent un risque pour la mère et le fœtus (voir Considérations cliniques ). In animal studies administration of amiodarone to rabbits rats et mice during organogenesis resulted in embryofetal toxicity at doses less than the maximum recommended human maintenance dose (see Données ). Advise pregnant women of the potential risk to a fetus.
Le risque de fond estimé de malformations congénitales majeures et de fausse couche pour la population indiquée est inconnue. Toutes les grossesses ont un risque de fond de délai de congédiement perte ou d'autres résultats négatifs. Dans la population générale américaine, le risque de fond estimé de malformations congénitales majeures et de fausse couche dans les grossesses cliniquement reconnues est respectivement de 2% à 4% et 15% à 20%.
Considérations cliniques
Risque maternel et / ou fœtal associé à la maladie
L'incidence de la tachycardie ventriculaire est augmentée et peut être plus symptomatique pendant la grossesse. Les arythmies ventriculaires se produisent le plus souvent chez les femmes enceintes atteintes de cardiomyopathie sous-jacente cardiaque congénitale maladie cardiaque valvulaire cardiaque ou prolapsus de la valve mitrale. La plupart des épisodes de tachycardie sont initiés par des battements ectopiques et la survenue d'épisodes d'arythmie peut donc augmenter pendant la grossesse en raison de la propension accrue à l'activité ectopique. Des arythmies révolutionnaires peuvent également survenir pendant la grossesse, car les niveaux de traitement thérapeutique peuvent être difficiles à maintenir en raison de l'augmentation du volume de distribution et de l'augmentation du métabolisme des médicaments inhérente à l'État enceinte.
Réactions indésirables fœtales / néonatales
Il a été démontré que l'amiodarone et son métabolite traversent le placenta. Les effets fœtaux négatifs associés à l'utilisation de l'amiodarone maternelle pendant la grossesse peuvent inclure une allongement néonatal de bradycardie QT et une hypothyroïdie néonatale (avec ou sans goitre) détecté antenation ou dans le nouveau-né et signalé même après quelques jours d'exposition indépendants, notamment des difficultés neurodémiennes avec des difficultés neuro-développement Langage écrit et développement moteur retardé arithmétique et ataxie Jerk Nystagmus avec une restriction de croissance fœtale de la tête synchrone et une naissance prématurée. Surveillez le nouveau-né pour les signes et symptômes des troubles thyroïdiens et des arythmies cardiaques.
Travail et accouchement
Le risque d'arythmies peut augmenter pendant le travail et l'accouchement. Les patients traités par Cordarone doivent être surveillés en continu pendant le travail et l'accouchement [voir AVERTISSEMENTS AND PRÉCAUTIONS ].
Données
Données sur les animaux
Chez les rats et lapins enceintes pendant la période d'organogenèse amiodarone HCl à des doses de 25 mg / kg / jour (environ 0,4 et 0,9 fois respectivement, la dose de maintenance humaine maximale recommandée *) n'a eu aucun effet indésirable sur le fœtus. Chez le lapin, 75 mg / kg / jour (environ 2,7 fois la dose d'entretien humain maximale recommandée *) a provoqué des avortements dans plus de 90% des animaux. Dans les doses de rat de 50 mg / kg / jour ou plus, ont été associées à un léger déplacement des testicules et à une incidence accrue d'ossification incomplète de certains os du crâne et du numérique; À 100 mg / kg / jour ou plus, les poids corporels fœtaux ont été réduits; À 200 mg / kg / jour, il y a eu une incidence accrue de résorption fœtale. (Ces doses chez le rat sont d'environ 0,8 1,6 et 3,2 fois la dose indésirable de maintenance humaine maximale *) Les effets indésirables sur la croissance fœtale et la survie ont également été notés dans l'une des deux souches de souris à une dose de 5 mg / kg / jour d'environ 0,04 fois la dose de maintenance humaine recommandée maximale *).
* 600 mg chez un patient de 60 kg (doses comparées sur une surface corporelle)
Lactation
Résumé des risques
L'amiodarone et l'un de ses principaux métabolites DEA sont présents dans le lait maternel entre 3,5% et 45% du dose de poids maternel de l'amiodarone. Il existe des cas d'hypothyroïdie et de bradycardie chez les nourrissons allaités, bien qu'il ne soit pas clair si ces effets sont dus à une exposition à l'amiodarone dans le lait maternel. L'allaitement n'est pas recommandé pendant le traitement avec Cordarone [voir AVERTISSEMENTS AND PRÉCAUTIONS ].
Femmes et mâles de potentiel reproducteur
Infertilité
Sur la base des études de fertilité animale, Cordarone peut réduire la fertilité des femmes et des hommes. It is not known if this effect is reversible. [voir Toxicologie non clinique ].
Usage pédiatrique
La sécurité et l'efficacité du cordarone chez les patients pédiatriques n'ont pas été établies.
Utilisation gériatrique
Les sujets normaux de plus de 65 ans présentent des dégagements plus faibles et une demi-vie de médicament accrue que les sujets plus jeunes [voir Pharmacologie clinique ]. In general dose selection for an elderly patient should be cautious usually starting at the low end of the dosing range reflecting the greater frequency of decreased hepatic renal or cardiac function et of concomitant disease or other drug therapy.
Informations sur la surdose pour Cordarone
Il y a eu des cas de surdose mortel de cordarone.
Surveillez le rythme cardiaque du patient et la pression artérielle et si la bradycardie s'ensuit un agoniste β-adrénergique ou un stimulateur cardiaque peut être utilisé. Traitez l'hypotension avec une perfusion tissulaire inadéquate avec des agents inotropes et vasopresseurs positifs. Ni Cordarone ni son métabolite ne sont dialysables.
Contre-indications pour cordarone
- Cardiogénique choc .
- Syndrome du sinus malade au deuxième ou au troisième degré Bradycardie auriculo-autoritaire conduisant à la syncope sans stimulateur cardiaque fonctionnel.
- Hypersensibilité connue au médicament ou à l'un de ses composants, y compris l'iode.
Pharmacologie clinique for Cordarone
Mécanisme d'action
Amiodarone is considered a class III antiarrhythmic drug but it possesses electrophysiologic characteristics of all four Vaughan Williams classes. Like class I drugs amiodarone blocks sodium channels at rapid pacing frequencies and like class II drugs amiodarone exerts a noncompetitive antisympathetic action. One of its main effects with prolonged administration is to lengthen the cardiac action potential a class III effect. The negative chronotropic effect of amiodarone in nodal tissues is similar to the effect of class IV drugs. In addition to blocking sodium channels amiodarone blocks myocardial potassium channels which contributes to slowing of conduction and prolongation of refractoriness. The antisympathetic action and the block of calcium and potassium channels are responsible for the negative dromotropic effects on the sinus node and for the slowing of conduction and prolongation of refractoriness in the atrioventricular (AV) node. Its vasodilatory action can decrease cardiac workload and consequently myocardial oxygen consumption.
Cordarone prolonge la durée du potentiel d'action de toutes les fibres cardiaques tout en provoquant une réduction minimale de DV / DT (vitesse maximale de remontée du potentiel d'action). La période réfractaire est prolongée dans tous les tissus cardiaques. Cordarone augmente la période réfractaire cardiaque sans influencer le potentiel de la membrane au repos, sauf dans les cellules automatiques où la pente du prépotentielle est réduite en réduisant généralement l'automaticité. Ces effets électrophysiologiques se reflètent dans une diminution du taux de sinus de 15 à 20% ont augmenté les intervalles de PR et QT d'environ 10% le développement des ondes U et les changements du contour des ondes T. Ces changements ne devraient pas nécessiter l'arrêt de Cordarone car ils sont des preuves de son action pharmacologique bien que Cordarone puisse provoquer une bradycardie sinusale marquée ou un arrêt des sinus et un bloc cardiaque [voir AVERTISSEMENTS AND PRÉCAUTIONS ].
Hémodynamique
Dans les études animales et après l'administration intraveineuse chez l'homme, le cordarone détend le muscle lisse vasculaire réduit la résistance vasculaire périphérique (après-charge) et augmente légèrement l'indice cardiaque. Après le dosage oral, le cordarone ne produit aucun changement significatif dans la fraction d'éjection ventriculaire gauche (LVEF) même chez les patients atteints de LVEF déprimée. Après un dosage intraveineux aigu dans l'homme, le cordarone peut avoir un léger effet inotrope négatif.
Pharmacodynamique
Il n'y a pas de relation bien établie entre la concentration plasmatique et l'efficacité, mais il semble que les concentrations en dessous de 1 mg / L sont souvent inefficaces et que les niveaux supérieurs à 2,5 mg / L ne sont généralement pas nécessaires. Les mesures de concentration plasmatique peuvent être utilisées pour identifier les patients dont les niveaux sont inhabituellement faibles et qui pourraient bénéficier d'une augmentation de dose ou exceptionnellement élevée et qui pourraient avoir une réduction de dosage dans l'espoir de minimiser les effets secondaires.
Les effets sur des rythmes anormaux ne sont pas observés avant 2 à 3 jours et nécessitent généralement 1 à 3 semaines même lorsqu'une dose de chargement est utilisée. Il peut encore y avoir une augmentation continue en vigueur pendant des périodes plus longues. Il est prouvé que le temps d'effet est plus court lorsqu'un régime de chargement-dose est utilisé.
Conformément au taux lent d'élimination, les effets antiarythmiques persistent pendant des semaines ou des mois après l'arrêt du cordarone, mais le temps de récidive est variable et imprévisible. En général, lorsque le médicament est reprise après la récidive du contrôle de l'arythmie est établi relativement rapidement par rapport à la réponse initiale vraisemblablement parce que les réserves de tissus n'étaient pas entièrement épuisées.
Pharmacocinétique
Absorption
La suite de l'administration orale chez l'homme, le cordarone est lentement et variable. La biodisponibilité de Cordarone est d'environ 50%. Des concentrations plasmatiques maximales sont atteintes de 3 à 7 heures après une seule dose. Les concentrations plasmatiques avec un dosage chronique de 100 à 600 mg / jour sont approximativement dose proportionnelles avec une augmentation moyenne de 0,5 mg / L pour chaque 100 mg / jour. Ces moyens incluent cependant une variabilité individuelle considérable.
La nourriture augmente le taux et l'étendue de l'absorption de Cordarone. Les effets des aliments sur la biodisponibilité du cordarone ont été étudiés chez 30 sujets sains qui ont reçu une seule dose de 600 mg immédiatement après avoir consommé un repas riche en graisses et suivi un jeûne d'une nuit. La zone sous la courbe de concentration plasmatique (ASC) et la concentration plasmatique maximale (CMAX) de l'amiodarone ont augmenté de 2,3 (plage de 1,7 à 3,6) et 3,8 (plage 2,7 à 4,4) fois respectivement en présence de nourriture. Les aliments ont également augmenté le taux d'absorption de l'amiodarone diminuant le temps de pointe de la concentration plasmatique (TMAX) de 37%. L'AUC moyen et le CMAX moyen du métabolite majeur de l'amiodarone DEA ont augmenté de 55% (plage de 58 à 101%) et 32% (plage de 4 à 84%), mais il n'y a eu aucun changement dans le Tmax en présence de nourriture.
Distribution
Cordarone est fortement lié aux protéines (environ 96%). Cordarone a un volume de distribution très important mais variable en moyenne d'environ 60 L / kg en raison d'une accumulation étendue dans divers sites, en particulier du tissu adipeux et des organes hautement perfusés tels que le poumon et la rate du foie.
One major metabolite of CORDARONE DEA has been identified in man; it accumulates to an even greater extent in almost all tissues. No data are available on the activity of DEA in humans but in animals it has significant electrophysiologic and antiarrhythmic effects generally similar to amiodarone itself. DEA's precise role and contribution to the antiarrhythmic activity of oral amiodarone are not certain. The development of maximal ventricular class III effects after oral CORDARONE administration in humans correlates more closely with DEA accumulation over time than with amiodarone accumulation.
Élimination
Après l'administration de dose unique chez 12 sujets sains, Cordarone a présenté une pharmacocinétique multi-compartimentale avec une demi-vie d'élimination terminale plasmatique apparente moyenne de 58 jours (intervalle de 15 à 142 jours) pour l'amiodarone et 36 jours (intervalle de 14 à 75 jours) pour le métabolite actif (DEA). Chez les patients après l'arrêt de la thérapie orale chronique, il a été démontré que le cordarone a une élimination biphasique avec une réduction initiale de 50% des taux plasmatiques après 2,5 à 10 jours. Une phase plasmaélimination terminale beaucoup plus lente montre une demi-vie du composé parent allant de 26 à 107 jours avec une moyenne d'environ 53 jours et la plupart des patients entre 40 et 55 jours. En l'absence d'une période de chargement de dose en régime permanent, les concentrations plasmatiques à l'administration orale constante seraient donc atteintes entre 130 et 535 jours avec une moyenne de 265 jours. Pour le métabolite, la demi-vie de plasmaélimination moyenne était d'environ 61 jours. Ces données reflètent probablement une élimination initiale du médicament des tissus bien perfusés (la phase de demi-vie de 2,5 à 10 jours) suivie d'une phase terminale représentant une élimination extrêmement lente des compartiments tissulaires mal perfusés tels que la graisse.
La variation considérable inter-sujets dans les deux phases d'élimination ainsi que l'incertitude quant à ce que le compartiment est essentiel à l'effet du médicament nécessite une attention aux réponses individuelles une fois que le contrôle d'arythmie est obtenu avec des doses de chargement car la dose de maintenance correcte est déterminée en partie par les taux d'élimination. Individualiser les doses de maintenance de cordarone [voir Posologie et administration ].
Métabolisme
L'amiodarone est métabolisée en DEA par le groupe enzymatique du cytochrome P450 (CYP) spécifiquement CYP3A et CYP2C8. L'isoenzyme CYP3A est présente à la fois dans le foie et les intestins. L'amiodarone in vitro et la DEA présentent un potentiel pour inhiber CYP2C9 CYP2C19 CYP2D6 CYP3A CYP2A6 CYP2B6 et CYP2C8. L'amiodarone et la DEA ont également un potentiel pour inhiber certains transporteurs tels que la glycoprotéine P et le transporteur de cations organiques (OCT2).
Excrétion
L'amiodarone est éliminée principalement par le métabolisme hépatique et l'excrétion biliaire et il y a une excrétion négligeable de l'amiodarone ou de la DEA dans l'urine. Ni l'amiodarone ni la DEA ne sont dialysables.
Populations spécifiques
Effet de l'âge
Les sujets normaux de plus de 65 ans présentent des dégagements inférieurs (environ 100 ml / h / kg) que les sujets plus jeunes (environ 150 ml / h / kg) et une augmentation de la T½ d'environ 20 à 47 jours.
Rénal Impairment
Rénal impairment does not influence the pharmacokinetics of amiodarone or DEA.
Hépatique Impairment
Après une seule dose d'amiodarone intraveineuse à des patients cirrhotiques, des valeurs de concentration CMAX significativement plus faibles et la concentration moyenne sont observées pour la DEA, mais les niveaux d'amiodarone moyens sont inchangés.
meilleure carte de crédit avec récompenses de voyage
Cardiaque Disease
Chez les patients atteints de dysfonction ventriculaire gauche sévère, la pharmacocinétique de l'amiodarone n'est pas significativement modifiée, mais l'élimination terminale t½ de DEA est prolongée.
Bien qu'aucun ajustement posologique des patients atteints d'anomalies hépatiques ou cardiaques rénaux ou cardiaques n'ait été défini lors d'un traitement chronique avec une surveillance clinique étroite de l'amiodarone orale est prudente pour les patients âgés et ceux souffrant d'un dysfonction ventriculaire gauche sévère.
Interactions médicamenteuses
Effets d'autres agents sur l'amiodarone
Jus de pamplemousse: le jus de pamplemousse donné aux volontaires sains a augmenté l'ASC de l'amiodarone de 50% et CMAX de 84% et a diminué la DEA à des concentrations non quantifiables.
La cimétidine inhibe le CYP3A et peut augmenter les taux sériques d'amiodarone.
Cholestyramine reduces enterohepatic circulation of amiodarone thereby increasing its elimination. This results in reduced amiodarone serum levels et half-life.
Effets de l'amiodarone sur les agents
Substrat du CYP3As
L'amiodarone prise en même temps que la quinidine augmente la concentration sérique de quinidine de 33% après deux jours. L'amiodarone prise en même temps que le procrainamide pendant moins de sept jours augmente les concentrations plasmatiques de procrainamide et de procrainamide de N-acétyle de 55% et 33% respectivement.
Loratadine Un antihistaminique non sédatif est métabolisé principalement par le CYP3A et son métabolisme être inhibé par l'amiodarone.
Métabolismeof lidocaïne peut être inhibé par l'amiodarone.
Cyclophosphamide est un promédicament métabolisé par le CYP450, y compris le CYP3A à un métabolite actif. Le métabolisme du cyclophosphamide peut être inhibé par l'amiodarone.
Clopidogrel Un promédiot de thiéopyridine inactif est métabolisé dans le foie par le CYP3A à un métabolite actif. Une interaction potentielle entre le clopidogrel et l'amiodarone entraînant une inhibition inefficace de l'agrégation plaquettaire a été signalée.
Antibiotiques macrolides / kétolide
L'amiodarone peut inhiber le métabolisme des antibiotiques de macrolide / kétolide (à l'exception de l'azithromycine) et des médicaments antifongiques azolés systémiques.
Substrats de glycoprotéine P
L'amiodarone prise en même temps que la digoxine augmente la concentration sérique de digoxine de 70% après une journée.
Étexilat du dabigatran Lorsqu'il est pris en même temps que l'amiodarone orale peut entraîner une concentration sérique élevée de dabigatran.
Dextrométhorphane est un substrat pour CYP2D6 et CYP3A. L'amiodarone inhibe le CYP2D6. L'administration chronique (> 2 semaines) de l'amiodarone orale altère le métabolisme de dextrométhorphane peut entraîner une augmentation des concentrations sériques.
Informations sur les patients pour Cordarone
Cordarone®
(Kor-du-Ron)
(amiodarone) comprimés
Quelles sont les informations les plus importantes que je devrais connaître sur Cordarone?
Cordarone peut provoquer des effets secondaires graves qui peuvent entraîner la mort, notamment:
- problèmes pulmonaires
- problèmes de foie
- aggraver les problèmes de rythme cardiaque
Appelez votre fournisseur de soins de santé ou obtenez une aide médicale immédiatement si vous présentez l'un des symptômes suivants pendant le traitement avec Cordarone:
- du mal à respirer la respiration sifflante du souffle toussant une douleur thoracique crachant du sang ou de la fièvre
- Les nausées ou les vomissements bruns ou urines de couleur foncée sont plus fatigués que le jaunissement d'habitude de votre peau ou des blancs de vos yeux ( jaunisse ) ou une douleur à la zone d'estomac supérieure droite
- le cœur battant sauter un battement battant rapidement ou se sentir lentement à la lumière ou si vous vous évanouissez
- Problèmes de vision, y compris la vision floue, voir les halos ou vos yeux deviennent sensibles à la lumière. Vous devriez passer des examens de la vue réguliers avant et pendant le traitement avec Cordarone.
Cordarone doit être démarré dans un hôpital afin que votre état de santé puisse être soigneusement surveillé.
Cordarone ne doit être utilisé que pour traiter les personnes qui ont été diagnostiquées avec des problèmes cardiaques potentiellement mortels appelés arythmies ventriculaires lorsque d'autres traitements ne fonctionnaient pas ou que vous ne pouvez pas les tolérer.
Cordarone peut provoquer d'autres effets secondaires graves. Voyez quels sont les effets secondaires possibles de Cordarone? Si vous obtenez des effets secondaires graves pendant le traitement, vous devrez peut-être arrêter Cordarone, votre dose a changé ou obtenir un traitement médical. Parlez avec votre fournisseur de soins de santé avant d'arrêter de prendre Cordarone.
Vous pouvez toujours avoir des effets secondaires après l'arrêt de Cordarone car le médicament reste dans votre corps pendant des mois après l'arrêt du traitement.
Vous devriez subir des contrôles réguliers du sang des rayons X thoraciques avant et pendant le traitement avec Cordarone pour vérifier les effets secondaires graves. Vous devez également subir des tests de fonction pulmonaire avant de commencer le traitement avec Cordarone.
Qu'est-ce que Cordarone?
Cordarone est un médicament sur ordonnance utilisé pour traiter les personnes qui ont été diagnostiquées avec des problèmes de rythme cardiaque mortels appelées arythmies ventriculaires lorsque d'autres traitements ne fonctionnaient pas ou que vous ne pouvez pas les tolérer. On ne sait pas si Cordarone est sûr et efficace chez les enfants.
Qui ne devrait pas prendre Cordarone?
Ne prenez pas Cordarone si vous:
- avoir un problème cardiaque grave appelé choc cardiogénique
- avoir certains types de maladie cardiaque appelés blocs cardiaques avec ou sans fréquence cardiaque lente
- avoir une fréquence cardiaque lente avec des étourdissements ou des étourdissements et vous n'avez pas de stimulateur cardiaque implanté
- sont allergiques à l'iode amiodarone ou à l'un des autres ingrédients de Cordarone. Voir la fin de ce guide de médicaments pour une liste complète des ingrédients à Cordarone.
Avant de prendre Cordarone, dites à votre fournisseur de soins de santé de toutes vos conditions médicales, y compris si vous:
- avoir des problèmes de poumon ou de respiration
- avoir des problèmes de foie
- avoir ou avoir des problèmes de thyroïde
- avoir une fréquence cardiaque lente ou des problèmes de tension artérielle
- avoir de la diarrhée ou avoir de la diarrhée pendant une longue période
- ont été informés que vous avez de faibles niveaux de magnésium de potassium ou de calcium dans votre sang
- avoir un stimulateur stimulant ou un défrépier implanté
- Si vous prévoyez de subir une intervention chirurgicale avec une anesthésie générale
- sont enceintes ou prévoient de devenir enceintes. Cordarone peut nuire à votre bébé à naître. Dites immédiatement votre professionnel de la santé si vous tombez enceinte pendant le traitement avec Cordarone. Cordarone peut rester dans votre corps pendant des mois après l'arrêt du traitement.
- allaitent ou prévoient d'allaiter. Cordarone peut passer dans votre lait maternel et peut nuire à votre bébé. Vous ne devez pas allaiter en prenant Cordarone. Cordarone peut rester dans votre corps pendant des mois après l'arrêt du traitement. Parlez à votre fournisseur de soins de santé de la meilleure façon de nourrir votre bébé pendant cette période.
Parlez à votre fournisseur de soins de santé de tous les médicaments que vous prenez, y compris des vitamines et des suppléments à base de plantes sur ordonnance et en vente libre. Cordarone et certains autres médicaments peuvent affecter entre eux et provoquer des effets secondaires graves. Vous pouvez demander à votre pharmacien une liste de médicaments qui interagissent avec Cordarone.
Comment devrais-je prendre Cordarone?
- Lorsque vous êtes renvoyé de l'hôpital, prenez Cordarone exactement comme votre médecin vous dit de le prendre.
- Votre fournisseur de soins de santé vous dira combien Cordarone prendre et quand le prendre.
- Votre fournisseur de soins de santé peut changer votre dose de cordarone selon les besoins si votre rythme cardiaque est contrôlé ou si vous avez certains effets secondaires. Votre fournisseur de soins de santé doit vous surveiller attentivement lorsque votre dose de cordarone est en cours de modification.
- Prenez votre dose de cordarone de la même manière à chaque fois avec ou sans nourriture.
- Si vous prenez trop Cordarone, appelez votre fournisseur de soins de santé ou allez immédiatement aux urgences de l'hôpital le plus proche. Si vous manquez une dose, attendez et prenez votre prochaine dose à votre heure régulière. Ne prenez pas deux doses en même temps. Continuez avec votre prochaine dose régulière régulière.
Que dois-je éviter en prenant Cordarone?
- Évitez de boire du jus de pamplemousse pendant le traitement avec Cordarone. Boire du jus de pamplemousse avec Cordarone peut augmenter la quantité de cordarone dans votre sang et cela peut entraîner des effets secondaires.
- Cordarone peut rendre votre peau sensible au soleil. Vous pourriez obtenir de graves coups de soleil. Utilisez un écran solaire et portez un chapeau et des vêtements qui couvrent votre peau pour vous protéger si vous devez être au soleil. Parlez à vos soins de santé si vous obtenez un coup de soleil. Voir les problèmes de peau dans la section Guide des médicaments Quels sont les effets secondaires possibles de Cordarone? ci-dessous.
Quels sont les effets secondaires possibles de Cordarone?
La coradarone peut provoquer des effets secondaires graves, notamment:
- Voir Quelles sont les informations les plus importantes que je devrais connaître sur Cordarone?
- Problèmes nerveux. Cordarone peut causer des problèmes nerveux. Appelez votre fournisseur de soins de santé si vous développez des symptômes de problèmes nerveux, notamment: une sensation d'épingles et d'aiguilles ou d'engourdissement dans vos mains les jambes ou les pieds faiblesse musculaire Mouvements incontrôlés de mauvaise coordination ou de la difficulté.
- Problèmes de peau. Cordarone peut rendre votre peau plus sensible au soleil ou tourner une couleur gris bleuâtre. Les personnes qui ont une peau claire ou des personnes qui ont beaucoup d'exposition au soleil peuvent être plus à risque pour ces problèmes de peau. Une partie de la couleur de la peau gris bleuâtre peut revenir à la normale après l'arrêt de Cordarone.
- Thyroïde problems. Cordarone peut vous faire diminuer la fonction thyroïdienne (hypothyroïdie) qui peut parfois être sévère ou une thyroïde hyperactive (hyperthyroïdie) qui peut être sévère.
- Si vous développez une diminution de la fonction thyroïdienne pendant le traitement avec Cordarone, votre fournisseur de soins de santé peut avoir besoin de réduire votre dose ou d'arrêter votre traitement par Cordarone et éventuellement de prescrire des médicaments pour remplacer votre hormone thyroïdienne.
- Une thyroïde hyperactive peut vous faire produire trop d'hormones thyroïdiennes. Vous pouvez avoir des battements cardiaques anormaux même pendant que vous recevez Cordarone. Votre professionnel de la santé peut prescrire certains médicaments pour traiter votre thyroïde hyperactive. Appelez votre fournisseur de soins de santé si vous obtenez des battements cardiaques anormaux pendant le traitement avec Cordarone. Cela peut signifier que vous avez une thyroïde hyperactive.
- Votre fournisseur de soins de santé doit faire des tests pour vérifier votre fonction thyroïdienne avant de commencer et pendant le traitement avec Cordarone.
- Appelez votre fournisseur de soins de santé si vous développez l'un des symptômes suivants d'un problème thyroïdien pendant le traitement avec Cordarone:
- faiblesse
- perte de poids ou prise de poids
- Intolérance chauffante ou froide
- amincissement des cheveux
- transpiration
- Modifications dans vos règles menstruelles
- gonflement de votre cou (goiter)
- nervosité
- irritabilité
- agitation
- diminution de la concentration
- Se sentir déprimé (chez les personnes âgées)
- tremblement
Les effets secondaires les plus courants de Cordarone comprennent:
- problèmes pulmonaires
- problèmes de rythme cardiaque
- problèmes cardiaques
- problèmes de foie
Cordarone peut affecter la fertilité chez les hommes et les femmes. On ne sait pas si les effets sont réversibles. Parlez à votre fournisseur de soins de santé si vous avez des inquiétudes concernant la fertilité.
Ce ne sont pas tous les effets secondaires possibles de Cordarone. Pour plus d'informations, demandez à votre fournisseur de soins de santé ou à votre pharmacien.
Appelez votre médecin pour des conseils médicaux sur les effets secondaires. Vous pouvez signaler les effets secondaires à la FDA au 1-800-FDA-1088.
Comment dois-je stocker Cordarone?
- Stockez Cordarone à température ambiante entre 20 ° et 25 ° C (68 ° à 77 ° F).
- Gardez Cordarone dans un récipient étroitement fermé et gardez Cordarone hors de la lumière.
Gardez Cordarone et tous les médicaments hors de portée des enfants.
Informations générales sur l'utilisation sûre et efficace de Cordarone
Les médicaments sont parfois prescrits à des fins autres que celles énumérées dans un guide de médicaments. N'utilisez pas Cordarone pour une condition pour laquelle il n'a pas été prescrit. Ne donnez pas Cordarone à d'autres personnes même s'ils présentent les mêmes symptômes que vous. Cela peut leur faire du mal. Vous pouvez demander à votre pharmacien ou fournisseur de soins de santé pour des informations sur Cordarone qui sont écrits pour les professionnels de la santé.
Quels sont les ingrédients de Cordarone?
Ingrédient actif: amiodarone HCl
combien de valium devient haut
Ingrédients inactifs: dioxyde de silicium colloïdal Lactose magnésium stéarate povidone amidon et FD
Ce guide de médicaments a été approuvé par la Food and Drug Administration des États-Unis.