Les Informations Présentées Sur Ce Site Ne Constituent Pas Un Avis Médical. Nous Ne Vendons Rien. L'Exactitude De La Traduction N'Est Pas Garantie. Clause De Non-Responsabilité
Corticostéroïdes, topique
Que
Résumé
Qu'est-ce que Desowen?
Desowen (Desonide) est un topique (pour la peau) stéroïde utilisé pour traiter l'inflammation et les démangeaisons causées par un certain nombre de conditions cutanées telles que les réactions allergiques eczéma et psoriasis . Desowen est disponible en générique formulaire.
Quels sont les effets secondaires de Desowen?
Les effets secondaires courants de Desowen comprennent la brûlure des démangeaisons qui démangeaient la sécheresse de sécheresse ou les rougeurs lorsque Desowen est appliqué pour la première fois sur la peau. Ces effets secondaires devraient disparaître dans quelques jours alors que votre corps s'adapte à Desowen. Les autres effets secondaires de Desowen comprennent:
- peau écailleuse
- éclaircissement ou ramollissement de votre peau
- cutané cutanée ou irritation autour de votre bouche
- Follicules pileux gonflés
- Changements de couleur de la peau traitée
- clochards
- boutons
- Cruste de peau traitée ou
- vergetures.
Dites à votre médecin si vous avez des signes d'absorption de Desowen à travers votre peau, notamment:
- vision floue ou voir des halos autour des lumières
- changements d'humeur
- Problèmes de sommeil (insomnie)
- prise de poids
- Polie dans votre visage
- faiblesse musculaire ou
- se sentir fatigué.
Cherchez des soins médicaux ou appelez le 911 à la fois si vous avez les effets secondaires graves suivants:
- Des symptômes oculaires graves tels que la perte de vision soudaine floue du tunnel de vision de la vision de la vision des yeux ou de l'enflure ou de voir des halos autour des lumières;
- Symptômes cardiaques graves tels que les battements cardiaques rapides ou battants; flotter dans votre poitrine; essoufflement; et des étourdissements soudains, de la légèreté ou de l'évanouissement;
- Maux de tête sévères Confusion Slurred Speech Bras ou Ligne Proulitude Trouble de la merde Perte de coordination Sentiment des muscles très rigides très rigides Fièvre élevée Propice ou des tremblements.
Ce document ne contient pas tous les effets secondaires possibles et d'autres peuvent survenir. Vérifiez auprès de votre médecin des informations supplémentaires sur les effets secondaires.
Dosage pour Desowen
La pommade ou la lotion à la crème de Desowen doit être appliquée aux zones touchées en tant que film mince deux ou trois fois par jour en fonction de la gravité de la condition. Secouez bien la lotion avant de l'utiliser.
Quelles substances ou suppléments de médicaments interagissent avec Desowen?
Il est peu probable que les autres médicaments que vous prenez oralement ou injectez auront un effet sur DeSowen appliqué topiquement. Mais de nombreux médicaments peuvent interagir les uns avec les autres. Parlez à votre médecin de tous vos médicaments et suppléments en vente libre et en vente libre que vous prenez. Ne démarrez pas un nouveau médicament sans en parler à votre médecin.
Desowen pendant la grossesse et l'allaitement
Desowen ne doit être utilisé que lorsqu'il est prescrit pendant la grossesse. On ne sait pas si ce médicament passe dans le lait maternel lorsqu'il est appliqué sur la peau. Des médicaments similaires passent dans le lait maternel lorsqu'ils sont pris par la bouche. Consultez votre médecin avant l'allaitement.
Informations Complémentaires
Notre Brand Drug Center des effets secondaires DeSowen (Desonide) offre une vue complète des informations sur les médicaments disponibles sur les effets secondaires potentiels lors de la prise de ce médicament.
Informations sur les médicaments de la FDA
- Description de la drogue
- Indications
- Effets secondaires
- Avertissements
- Surdosage
- Pharmacologie clinique
- Guide des médicaments
Description de Desowen
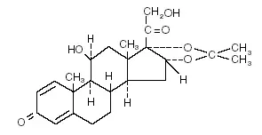
DesOwen® (desonide cream ointment and lotion) Cream 0.05% Ointment 0.05% and Lotion 0.05% contain desonide (Pregna-14-diene-320-dione1121-dihydroxy- 1617-[(1-methylethylidene)bis(oxy)]-(11 β 16 α )- a synthetic nonfluorinated corticosteroid for topical dermatologic use. The corticosteroids constitute a class of primarily synthetic steroids used topically as antiinflammatory and anti-pruritic agents.
Le desonide chimiquement est C 24 H 32 O 6 . Il a la formule structurelle suivante:
À quoi sert la crème Renova pour
|
Le desonide a le poids moléculaire de 416,51. C'est une poudre blanche à blanc sans odor qui est soluble dans le méthanol et pratiquement insoluble dans l'eau.
Chaque gramme de crème DeSowen® (crème de la crème de desonide et de lotion) contient 0,5 mg de desonide dans une base d'acide citrique émulsifiant l'isopropyle palmitate polysorbate 60 Sorbate de potassium propyle gallate propylène glycol hydroxy hydroxyde de sodium et synthétique d'acide sorbique de l'acide sorbique.
Chaque gramme de pommade Desowen® (pommade à la crème de desonide) contient 0,5 mg de desonide dans une base d'huile minérale et de polyéthylène.
Chaque gramme de lotion DeSowen® (la pommade à la crème de desonide et de la lotion) contient 0,5 mg de desonide dans une base d'huile minérale de sodium d'alcool cétyle de sodium sodium stéarate à eau minérale légère de méthylparaben propylène glycol propylparabène à eau purifiée sodium lauryl sulfate Sorbitan monoséarate et stéaryl alcool. Peut contenir un hydroxyde d'acide citrique et / ou de sodium pour un réglage du pH.
Utilisations pour Desowen
Que ® La crème et la lotion sont des corticostéroïdes de puissance faible à moyenne indiqués pour le soulagement des manifestations inflammatoires et pruritiques des dermatoses sensibles aux corticostéroïdes.
Dosage pour Desowen
Que ® Cream or Lotion should be applied to the affected areas as a thin film two or three times daily depending on the severity of the condition. Secouez bien la lotion avant de l'utiliser.
Comme pour les autres corticostéroïdes, la thérapie doit être interrompue lorsque le contrôle est atteint. Si aucune amélioration n'est observée dans les 2 semaines, la réévaluation du diagnostic peut être nécessaire.
Que ® La crème et la lotion ne doivent pas être utilisées avec des pansements occlusifs.
Comment fourni
Que ® (Desonide Cream) Crème 0,05% est fourni dans un tube contenant:
60 g NDC 0299-5770-60
15 g NDC 0299-5770-15
Que ® (lotion Desonide) Lotion 0,05% est fourni dans des bouteilles contenant:
2 fl oz NDC 0299-5765-02
4 fl oz NDC 0299-5765-04
Conditions de stockage
Stocker entre 2 ° et 30 ° C (36 ° et 86 ° F).
Commercié par: Galderma Laboratories L.P. Fort Worth Texas 76177 USA. Révisé: avril 2017
Effets secondaires pour Desowen
Dans les essais cliniques contrôlés, l'incidence totale des effets indésirables associés à l'utilisation du desonide était d'environ 8%. Il s'agissait: picotements et brûlant environ 3% d'irritation du contact de la dermatite de la dermatite a aggravé les démangeaisons cutanées d'érythème transitoire intense et de sécheresse / méchant chacun moins de 2%.
Les effets indésirables locaux supplémentaires suivants ont été rarement signalés avec d'autres corticostéroïdes topiques et ils peuvent se produire plus fréquemment avec l'utilisation de pansements occlusifs, en particulier avec des corticostéroïdes de puissance plus élevés. Ces réactions sont répertoriées dans un ordre d'occurrence décroissant approximatif: Folliculite Eruptions acneiformes hypopigmentation STROPHIE PÉRERATIQUE PÉRIE ATROPHIE CEAU STRIE ET MILIARIA.
Interactions médicamenteuses pour Desowen
Aucune information fournie
Avertissements pour Desowen
Aucune information fournie
Précautions pour Desowen
Général
L'absorption systémique des corticostéroïdes topiques peut produire une suppression hypothalamique-hypophyso-surrénale (HPA) réversible avec un potentiel d'insuffisance glucocorticostéroïde après le retrait du traitement. Les manifestations de l'hyperglycémie et de la glucosurie du syndrome de Cushing peuvent également être produites chez certains patients par absorption systémique de corticostéroïdes topiques pendant le traitement.
Les patients appliquant un stéroïde topique sur une grande surface ou dans des zones d'occlusion doivent être évaluées périodiquement pour des preuves de suppression de l'axe HPA. Cela peut être fait en utilisant la stimulation ACTH A.M. plasma cortisol and urinary free cortisol tests. Les patients recevant des corticostéroïdes superpotentes ne doivent pas être traités pendant plus de 2 semaines à la fois et seules les petites zones doivent être traitées à tout moment en raison du risque accru de suppression de l'axe HPA.
Pouvez-vous vous mettre en haut sur Vyvanse
Si une suppression de l'axe HPA est notée, une tentative doit être faite pour retirer le médicament pour réduire la fréquence de l'application ou pour remplacer un corticostéroïde moins puissant. La récupération de la fonction de l'axe HPA est généralement rapide et complète lors de l'arrêt des corticostéroïdes topiques. Des signes et symptômes rarement d'insuffisance glucocorticostéroïde peuvent se produire nécessitant des corticostéroïdes systémiques supplémentaires. Pour plus d'informations sur la supplémentation systémique, voir les informations de prescription de ces produits.
Les patients pédiatriques peuvent être plus sensibles à la toxicité systémique à partir de doses équivalentes en raison de leur plus grande surface cutanée / rapports de masse corporelle. (Voir PRÉCAUTIONS - Usage pédiatrique ).
Si l'irritation développe Desowen ® La crème ou la lotion doit être interrompue et une thérapie appropriée instituée. La dermatite de contact allergique avec des corticostéroïdes est généralement diagnostiquée en observant Défaut de guérison Plutôt que de noter une exacerbation clinique comme avec la plupart des produits topiques ne contenant pas de corticostéroïdes. Une telle observation doit être corroborée avec des tests de correctifs diagnostiques appropriés.
Si des infections cutanées concomitantes sont présentes ou développent un agent antifongique ou antibactérien approprié doit être utilisé. Si une réponse favorable ne se produit pas rapidement, utilisez-le de la désowen ® (La crème et la lotion desonide) La crème ou la lotion doit être interrompue jusqu'à ce que l'infection soit correctement contrôlée.
Tests de laboratoire
Les tests suivants peuvent être utiles pour évaluer les patients pour la suppression de l'axe HPA:
Test de stimulation ACTH
SUIS. test de cortisol plasma
Test urinaire de cortisol libre
Fièvre typhoïde Effets secondaires du vaccin oral
Carcinogenèse Mutagenèse A trouble de la fertilité
Des études sur les animaux à long terme n'ont pas été réalisées pour évaluer le potentiel cancérigène ou l'effet sur la reproduction avec l'utilisation de Desowen ® Crème et lotion.
Grossesse
Effets tératogènes
Grossesse category C
Il a été démontré que les corticostéroïdes sont tératogènes chez les animaux de laboratoire lorsqu'ils sont administrés systématiquement à des niveaux de dose relativement faibles. Certains corticostéroïdes se sont révélés tératogènes après application cutanée chez les animaux de laboratoire. Des études de reproduction animale n'ont pas été menées avec Desowen ® Crème ou lotion. On ne sait pas non plus si Desowen ® La crème ou la lotion peut causer des dommages fœtaux lorsqu'ils sont administrés à une femme enceinte ou peuvent affecter la capacité de reproduction. Desowen ® La crème et la lotion ne doivent être données à une femme enceinte que si elles sont clairement nécessaires.
Mères qui allaitent
Les corticostéroïdes administrés systémiquement apparaissent dans le lait maternel et pourraient supprimer la croissance interférer avec la production de corticostéroïdes endogènes ou provoquer d'autres effets fâcheux. On ne sait pas si l'administration topique de corticostéroïdes pourrait entraîner une absorption systémique suffisante pour produire des quantités détectables dans le lait maternel. Parce que de nombreux médicaments sont excrétés dans la prudence du lait maternel doivent être exercés lorsque Desowen ® La crème ou la lotion est administrée à une femme d'allaitement.
Usage pédiatrique
La sécurité et l'efficacité des patients pédiatriques n'ont pas été établies. En raison d'un rapport plus élevé de la surface cutanée aux patients pédiatriques de masse corporelle présente un risque plus élevé que les adultes de suppression de l'axe HPA lorsqu'ils sont traités avec des corticostéroïdes topiques. Ils sont donc également plus à risque d'insuffisance des glucocorticostéroïdes après le retrait du traitement et du syndrome de Cushing pendant le traitement. Des effets indésirables, notamment des stries, ont été signalés avec une utilisation inappropriée de corticostéroïdes topiques chez les nourrissons et les enfants.
Suppression de l'axe HPA Syndrome de Cushing Retard de croissance linéaire Le gain de poids retardé et l'hypertension intracrânienne ont été signalés chez les enfants recevant des corticostéroïdes topiques. Les manifestations de la suppression surrénalienne chez les enfants comprennent de faibles niveaux de cortisol plasmatique et l'absence de réponse à la stimulation de l'ACTH. Les manifestations de l'hypertension intracrânienne comprennent des maux de tête bombés et bilatéraux papillard .
Informations sur la surdose pour Desowen
Appliqué par voie topique ® (la crème et la lotion desonide) La crème et la lotion peuvent être absorbées dans des quantités suffisantes pour produire des effets systémiques (voir PRÉCAUTIONS ).
Contre-indications pour Desowen
Que ® La crème et la lotion sont contre-indiquées chez les patients ayant des antécédents d'hypersensibilité à l'une des composantes des préparations.
Pharmacologie clinique for Que
Comme d'autres corticostéroïdes topiques, le desonide a des propriétés antipruritiques et vasoconstrictes anti-inflammatoires. Le mécanisme de l'activité anti-inflammatoire des stéroïdes topiques en général n'est pas clair. Cependant, on pense que les corticostéroïdes agissent par l'induction de la phospholipase A 2 Protéines inhibiteurs appelées lipocortines. Il est postulé que ces protéines contrôlent la biosynthèse de puissants médiateurs de l'inflammation tels que les prostaglandines et les leucotriènes en inhibant la libération de leur acide arachidonique précurseur commun. L'acide arachidonique est libéré des phospholipides membranaires par la phospholipase A 2 .
Pharmacocinétique
L'étendue de l'absorption percutanée des corticostéroïdes topiques est déterminée par de nombreux facteurs, notamment le véhicule et l'intégrité de la barrière épidermique. Il n'a pas été démontré que les pansements occlusifs avec une hydrocortisone pouvant aller jusqu'à 24 heures augmentent la pénétration; Cependant, l'occlusion de l'hydrocortisone pendant 96 heures améliore considérablement la pénétration. Les corticostéroïdes topiques peuvent être absorbés par la peau intacte normale. L'inflammation et / ou d'autres processus pathologiques dans la peau peut augmenter l'absorption percutanée.
Études réalisées avec Desowen ® (La crème et la lotion desonide) la crème et la lotion indiquent qu'elles sont dans la puissance de puissance faible à moyenne par rapport aux autres corticostéroïdes topiques.
Informations sur les patients pour Desowen
Les patients utilisant des corticostéroïdes topiques devraient recevoir les informations et instructions suivantes:
- Ce médicament doit être utilisé comme indiqué par le médecin. Il est pour une utilisation externe uniquement. Évitez le contact avec les yeux.
- Ce médicament ne doit pas être utilisé pour un trouble autre que celui pour lequel il a été prescrit.
- La zone cutanée traitée ne doit pas être bandée ou autrement couverte ou enveloppée de manière à être occlusive, sauf dirigée par le médecin.
- Les patients doivent signaler à leur médecin les signes des effets indésirables locaux.