Les Informations Présentées Sur Ce Site Ne Constituent Pas Un Avis Médical. Nous Ne Vendons Rien. L'Exactitude De La Traduction N'Est Pas Garantie. Clause De Non-Responsabilité
Bêta-bloquants, bêta-1 sélectif
Kapspargo Sprinkle
Résumé
Qu'est-ce que Kapspargo Sprinkle?
Kapspargo Sprinkle (succinate de métoprolol) est un agent de blocage d'adrénageur bêta-sélectif indiqué pour le traitement de l'hypertension artérielle ( hypertension ) pour abaisser la pression artérielle; Coffre d'angine ; et insuffisance cardiaque .
Quels sont les effets secondaires de la saupoudrer de Kapspargo?
Kapspargo Sprinkle
- urticaire
- difficulté à respirer
- gonflement de ton visage lèvres langue ou gorge
- Briaux cardiaques très lents
- étourdissement
- essoufflement
- gonflement
- Gain de poids rapide et
- sensation de froid dans vos mains et vos pieds
Obtenez de l'aide médicale immédiatement si vous présentez l'un des symptômes énumérés ci-dessus.
Les effets secondaires communs de la saupoudrer de Kapspargo comprennent:
- fatigue
- vertiges
- dépression
- essoufflement
- bradycardie
- hypotension
- diarrhée
- prurit
- éruption cutanée
Cherchez des soins médicaux ou appelez le 911 à la fois si vous avez les effets secondaires graves suivants:
- Des symptômes oculaires graves tels que la perte de vision soudaine floue du tunnel de vision de la vision de la vision des yeux ou de l'enflure ou de voir des halos autour des lumières;
- Symptômes cardiaques graves tels que les battements cardiaques rapides ou battants; flotter dans votre poitrine; essoufflement; et des étourdissements soudains étourdisseurs ou s'évanouissant;
- Maux de tête sévères Confusion Slurred Speech Bras ou Ligne Proulitude Trouble de la merde Perte de coordination Sentiment des muscles très rigides très rigides Fièvre élevée Propice ou des tremblements.
Ce document ne contient pas tous les effets secondaires possibles et d'autres peuvent survenir. Vérifiez auprès de votre médecin des informations supplémentaires sur les effets secondaires.
Dosage pour Kapspargo Sprinkle
La dose initiale habituelle de Kapspargo Sprinkle pour traiter l'hyptétention chez les adultes est de 25 à 100 mg une fois par jour. La dose de départ recommandée de Kapspargo Sprinkle pour traiter l'hypertension pédiatrique chez les enfants de 6 ans et plus est de 1 mg / kg une fois par jour et s'adapte à la réponse. La dose initiale habituelle de kapspargo saupoudrer pour traiter angine Les pecteurs sont 100 mg une fois par jour. La dose de départ recommandée saupoudrer pour traiter l'insuffisance cardiaque est de 25 mg une fois que par jour a doublé toutes les deux semaines pour la dose la plus élevée tolérée ou jusqu'à 200 mg.
Quelles substances ou suppléments de médicaments interagissent avec Kapspargo Splinking?
Kapspargo Sprinkle peut interagir avec les inhibiteurs de la reserpine monoamine oxydase (MAOI) épinéphrine quinidine fluoxétine paroxétine prolataénone digitalise glycosides clonidine diltiazem vérapamil et alcool.
Kapspargo saupoudrer pendant la grossesse et l'allaitement
Dites à votre médecin tous les médicaments et suppléments que vous utilisez. Dites à votre médecin si vous êtes enceinte ou prévoyez de tomber enceinte avant d'utiliser Kapspargo Sprinkle; L'hypertension et l'insuffisance cardiaque non traitées pendant la grossesse peuvent entraîner des résultats négatifs pour la mère et le fœtus. Kapspargo Sprinkle passe dans le lait maternel. Consultez votre médecin avant l'allaitement.
Informations Complémentaires
Nos capsules Kapspargo Sprinkle (Metoprolol Succinate) à libération prolongée pour les effets secondaires à usage oral Centre de médicaments offrent une vue complète des informations sur les médicaments disponibles sur les effets secondaires potentiels lors de la prise de ce médicament.
Informations sur les médicaments de la FDA
- Description de la drogue
- Indications
- Dosage
- Effets secondaires
- Interactions médicamenteuses
- Avertissements
- Surdosage
- Pharmacologie clinique
- Guide des médicaments
Description de Kapspargo Sprinkle
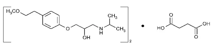
Le succinate de métoprolol est un agent de blocage adrénergène sélectif bêta1 (cardioslectif) pour l'administration orale disponible en tant que capsules à libération prolongée. Des capsules à libération étendue du succinate de métoprolol ont été formulées pour fournir une libération contrôlée et prévisible de métoprolol pour une administration une fois par jour. Les capsules à libération étendue comprennent un système à unité multiple contenant du succinate de métoprolol dans une multitude de pastilles à libération contrôlée. Chaque culot agit comme une unité de livraison de médicaments séparée et est conçu pour fournir du métoprolol en continu sur l'intervalle de dosage. Les capsules à libération prolongée contiennent 10,24 mg 20,48 mg 40,96 mg et 81,92 mg de base sans métoprolol présente à 23,75 mg 47,5 mg 95 mg et 190 mg de succinate de métoprolol et équivalent respectivement à 25 mg 50 mg 100 mg et 200 mg de métoprolol tartrate USP respectivement. Son nom chimique est (±) -1- (isopropylamino) -3- [p- (2-méthoxyéthyl) phénoxy] -2propanol succinate (2: 1) (sel). Sa formule structurelle est:
|
Le succinate de métoprolol USP est une poudre blanche à blanc cassé avec un poids moléculaire de 652,82. Il est librement soluble dans l'eau soluble dans le méthanol avec parcimonie soluble dans l'alcool légèrement soluble dans l'alcool isopropylique. Ingrédients inactifs: éthyl-cellulose hypromellose polyéthylène glycol 400 polyéthylène glycol 6000 sphères de sucre (amidon de maïs et saccharose) et citrate de triéthyle. La coquille de capsule et l'encre d'impression ont la composition suivante: jaune d'oxyde ferrique (25 mg 50 mg et 200 mg) d'oxyde ferrosoferrique gélatine hydroxyde d'hydroxyde de propylène glycol et de dioxyde de titane.
Utilisations pour Kapspargo Sprinkle
Hypertension
La saupoudrer de Kapspargo est indiquée pour le traitement de l'hypertension pour abaisser la pression artérielle. La baisse de la pression artérielle réduit le risque d'événements cardiovasculaires mortels et non mortels principalement des coups et des infarctus du myocarde. Ces avantages ont été observés dans des essais contrôlés de médicaments antihypertenseurs à partir d'une grande variété de classes pharmacologiques, y compris le métoprolol.
Le contrôle de l'hypertension artérielle devrait faire partie d'une gestion complète des risques cardiovasculaires, notamment le cas échéant de la gestion appropriée du diabète de contrôle des lipides. De nombreux patients auront besoin de plus d'un médicament pour atteindre les objectifs de la pression artérielle. Pour des conseils spécifiques sur les objectifs et la gestion, voir des lignes directrices publiées telles que celles du Comité national conjoint du Comité national conjoint de la détection et du traitement de l'hypertension artérielle (JNC).
De nombreux médicaments antihypertenseurs provenant de diverses classes pharmacologiques et avec différents mécanismes d'action ont été montrés dans des essais contrôlés randomisés pour réduire la morbidité et la mortalité cardiovasculaires et il peut être conclu que c'est la réduction de la pression artérielle et non d'autres biens pharmacologiques des médicaments qui sont largement responsables de ces avantages. Le bénéfice des résultats cardiovasculaires les plus importants et les plus cohérents a été une réduction du risque d'AVC, mais des réductions de l'infarctus du myocarde et de la mortalité cardiovasculaire ont également été observées régulièrement.
Une pression systolique ou diastolique élevée provoque une augmentation du risque cardiovasculaire et l'augmentation du risque absolu par MMHg est plus élevée à des pressions sanguines plus élevées, de sorte que même des réductions modestes de l'hypertension sévère peuvent offrir un avantage substantiel. La réduction relative des risques de la réduction de la pression artérielle est similaire à tous les populations avec un risque absolu variable, de sorte que le bénéfice absolu est plus élevé chez les patients qui présentent un risque plus élevé indépendamment de leur hypertension (par exemple les patients atteints de diabète ou d'hyperlipidémie) et ces patients devraient bénéficier d'un traitement plus agressif à un objectif de pression artérielle plus faible.
Certains médicaments antihypertenseurs ont des effets de pression artérielle plus faibles (comme monothérapie) chez les patients noirs et de nombreux médicaments antihypertenseurs ont des indications et des effets approuvés supplémentaires (par exemple sur l'insuffisance cardiaque de l'angine ou la maladie rénale diabétique). Ces considérations peuvent guider la sélection de la thérapie.
Kapspargo Sprinkle peut être administré avec d'autres agents antihypertenseurs.
Coffre d'angine
Kapspargo Sprinkle est indiqué dans le traitement à long terme de l'angine de poitrine pour réduire les attaques d'angine et améliorer la tolérance à l'exercice.
Insuffisance cardiaque
La saupoudrer de Kapspargo est indiquée pour réduire le risque de mortalité cardiovasculaire et d'hospitalisation cardiaque chez les patients souffrant d'insuffisance cardiaque.
Dosage pour Kapspargo Sprinkle
Hypertension
Adultes
La dose initiale habituelle est de 25 mg à 100 mg une fois par jour en une seule dose. Ajustez la posologie à des intervalles hebdomadaires (ou plus) jusqu'à ce que la réduction optimale de la pression artérielle soit obtenue. Les doses supérieures à 400 mg par jour n'ont pas été étudiées.
Patients hypertendus pédiatriques de 6 ans ou plus
La dose de démarrage recommandée de la saupoudrer de Kapspargo est de 1 mg / kg une fois par jour, la dose initiale maximale ne doit pas dépasser 50 mg une fois par jour. Ajustez le dosage en fonction de la réponse à la pression artérielle. Des doses supérieures à 2 mg / kg (ou plus de 200 mg) une fois par jour n'ont pas été étudiées chez les patients pédiatriques [voir Pharmacologie clinique ].
Kapspargo Sprinkle n'a pas été étudié chez les patients pédiatriques de moins de 6 ans [voir Utiliser dans des populations spécifiques ].
Coffre d'angine
Individualiser la dose de la saupoudrer de Kapspargo. La dose initiale habituelle est de 100 mg une fois par jour donnée par une seule dose. Augmentez progressivement la dose à intervalles hebdomadaires jusqu'à ce que une réponse clinique optimale soit obtenue ou qu'il y ait un ralentissement prononcé de la fréquence cardiaque. Les doses supérieures à 400 mg par jour n'ont pas été étudiées. Si le traitement doit être interrompu, réduisez progressivement le dosage sur une période de 1 à 2 semaines [voir Avertissements et précautions ].
Thé vert et contracepulation
Insuffisance cardiaque
Avant l'initiation de Kapspargo Sprinkle stabiliser la dose d'une autre thérapie médicamenteuse d'insuffisance cardiaque et s'assurer que le patient n'est pas surchargé de liquide. La dose de départ recommandée de Sprinking Kapspargo est de 25 mg une fois par jour pendant deux semaines. Kapspargo Sprinkle ne convient pas au traitement initial chez les patients qui devraient nécessiter une dose de départ inférieure à 25 mg par jour. La dose doit être individualisée et étroitement surveillée pendant la transmission de la hausse. Doublez la dose toutes les deux semaines au niveau de dose le plus élevé toléré par le patient ou jusqu'à 200 mg de saupoudrer de Kapspargo. Si un patient éprouve une bradycardie symptomatique réduit la dose de saupoudrer de Kapspargo. Si une aggravation transitoire de l'insuffisance cardiaque se produit, envisagez de traiter avec des doses accrues de diurétiques abaissant la dose de kapspargo saupoudrer ou l'arrêt temporairement. La dose de saupoudrer de Kapspargo ne doit pas être augmentée tant que les symptômes d'aggravation de l'insuffisance cardiaque ont été stabilisés. La difficulté initiale de titrage ne devrait pas empêcher les tentatives ultérieures d'introduire le sprinking Kapspargo.
Pour les patients qui prennent des comprimés à libération étendue du succinate de métoprolol à une dose de 25 mg à 200 mg une fois que le substitut quotidien Kapspargo se répartit pour les comprimés à libération prolongée du succinate de métoprolol en utilisant la même dose quotidienne totale de succinate de métoprolol.
Administration
Kapspargo Sprinkle doit être avalé entier. Pour les patients incapables d'avaler une capsule intacte, des options d'administration alternatives sont disponibles.
Directions à utiliser avec des aliments mous (pudding de compote de pommes ou yaourt)
Pour les patients souffrant de difficulté de déglutition, la saupoudrer de Kapspargo peut être ouverte et le contenu peut être réparti sur les aliments mous. Le contenu des capsules doit être avalé avec une petite quantité (cuillère à café) d'aliments mous (comme le pudding de compote de pommes ou le yaourt). Le mélange médicament / alimentaire doit être avalé en 60 minutes et non stocké pour une utilisation future.
Administration de tube nasogastrique
Ouvrez et ajoutez le contenu de la capsule à une seringue de pointe orale en plastique et ajoutez 15 ml d'eau. Secouez doucement la seringue pendant environ 10 secondes. Livrer rapidement à travers un tube nasogastrique français ou plus grand. Assurez-vous qu'aucune granulée ne reste dans la seringue. Rincez avec de l'eau supplémentaire si nécessaire.
Comment fourni
Dosage Forms And Strengths
Capsule de 25 mg : Casquette opaque jaune clair et corps opaque blanc imprimé avec «RL14» à l'encre noire contenant du blanc à blanc cassé.
Capsule de 50 mg : Casquette opaque jaune foncé et corps opaque blanc imprimé avec «RL15» en encre noire contenant du blanc à blanc cassé.
100 mg de capsule : Bouchon opaque blanc et corps opaque blanc imprimé avec «RL16» à encre noire contenant des pastilles blanches à blanc cassé.
Capsule de 200 mg : Casquette opaque jaune et corps opaque jaune imprimé avec «RL17» à encre noire contenant du blanc à blanc cassé.
Stockage et manipulation
Chaque capsule à libération prolongée contient 10,24 mg 20,48 mg 40,96 mg et 81,92 mg de base sans métoprolol présente à 23,75 mg 47,5 mg 95 mg et 190 mg de métoprolol succinate et équivalent à 25 mg 50 mg 100 mg et 200 mg de tartrolol de métoprolol
Capsule de 25 mg : Casquette opaque jaune clair et corps opaque blanc imprimé avec «RL14» à l'encre noire contenant du blanc à blanc cassé. Â NDC 10631-008-30 Bouteille de 30
Capsule de 50 mg : Casquette opaque jaune foncé et corps opaque blanc imprimé avec «RL15» en encre noire contenant du blanc à blanc cassé. Â NDC 10631-009-30 bouteilles de 30
100 mg de capsule : Bouchon opaque blanc et corps opaque blanc imprimé avec «RL16» à encre noire contenant des pastilles blanches à blanc cassé. Â NDC 10631-010-30 bouteilles de 30
Capsule de 200 mg : Casquette opaque jaune et corps opaque jaune imprimé avec «RL17» à encre noire contenant du blanc à blanc cassé. NDC 10631-011-30 bouteilles de 30
Stocker à 20 ° C -25 ° C (68 ° F -77 ° F). [Voir Température ambiante contrôlée par l'USP ].
Fabriqué par: Ohm Laboratories Inc. New Brunswick NJ 08901 Distribué par: Sun Pharmaceutical Industries Inc. Cranbury NJ 08512. Révisé: avril 2023
Effets secondaires for Kapspargo Sprinkle
Les effets indésirables suivants sont décrits ailleurs dans l'étiquetage:
- Aggraver l'angine de poitrine ou l'infarctus du myocarde [voir Avertissements et précautions ]
- Aggraver l'insuffisance cardiaque [voir Avertissements et précautions ]
- Aggraver le bloc [voir Contre-indications ]
Expérience des essais cliniques
Étant donné que les essais cliniques sont menés dans des conditions de réaction indésirables très variables observées dans les essais cliniques d'un médicament ne peuvent pas être directement comparées aux taux dans les essais cliniques d'un autre médicament et ne peuvent pas refléter les taux observés dans la pratique. Les informations sur les réactions indésirables des essais cliniques fournissent cependant une base pour identifier les événements indésirables qui semblent être liés à la consommation de médicaments et à l'approximation des taux.
Hypertension And Angina
La plupart des effets indésirables ont été légers et transitoires. Les effets indésirables les plus courants (> 2%) sont la fatigue étourdie la dépression de dépression diarrhée à l'essoufflement bradycardie et éruption cutanée.
Insuffisance cardiaque
Dans l'étude du mérite-HF comparant le succinate de métoprolol à des doses quotidiennes allant jusqu'à 200 mg (dose moyenne de 159 mg une fois par jour; n = 1990) au placebo (n = 2001) 10,3% des patients succinés du métoprolol ont arrêté pour les événements indésirables contre 12,2% des patients atteints de placebo.
Le tableau ci-dessous répertorie les effets indésirables dans l'étude du mérite-HF qui s'est produit à une incidence ≥ 1% dans le groupe succinate de métoprolol et supérieur au placebo de plus de 0,5%, quelle que soit l'évaluation de la causalité.
Les effets indésirables se produisant dans l'étude du mérite-HF à une incidence ≥ 1% dans le groupe succinate du métoprolol et supérieur au placebo de plus de 0,5%
| Succinate de métoprolol n = 1990% des patients | Placebo n = 2001% des patients | |
| Étourdissements / vertiges | 1.8 | 1.0 |
| Bradycardie | 1.5 | 0.4 |
Événements indésirables postopératoires
Dans un essai randomisé en double aveugle contrôlé par placebo de 8351 patients présentant ou à risque de maladie athérosclérotique subissant une chirurgie non vasculaire et qui ne prenait pas de thérapie bêta-bloquante succinate de métoprolol, 100 mg ont été lancés 2 à 4 heures avant la chirurgie, puis poursuivis pendant 30 jours à 200 mg par jour. L'utilisation du succinate de métoprolol était associée à une incidence plus élevée de bradycardie (NULL,6% contre 2,4%; HR 2,74; IC à 95% 2,19 3,43) hypotension (15% contre 9,7%; HR 1,55; 95% IC 1,37 1,74) AVC (NULL,0% vs 0,5%; HR 2,17; 95% CI 1,26 3.74) et la mort (NULL,17 Vs. 2,3%; HR 1,33; 95% IC 1,03 1,74) par rapport au placebo.
Expérience post-commercialisation
Les effets indésirables suivants ont été identifiés lors de l'utilisation post-approbation d'un métoprolol à libération étendue ou d'un métoprolol à libération immédiate. Étant donné que ces réactions sont rapportées volontairement d'une population de taille incertaine, il n'est pas toujours possible d'estimer de manière fiable leur fréquence ou d'établir une relation causale à l'exposition au médicament.
Cardiovasculaire: Extrémités froides Insuffisance artérielle (généralement du type Raynaud) Palpitations Palpitations périphériques Syncope Pain thoracique et hypotension.
Respiratoire: Dyspnée sifflante (bronchospasme).
Système nerveux central: Confusion Loss de mémoire à court terme Maux de tête Somnolence Nightmars Insomnie Anxiété / Nervance Hallucinations Paresthésie.
Gastro-intestinal: Nausées Dry Mouton Constipation Platulence Grumps d'estomac Hépatite Vomit.
Réactions hypersensives: Prurit.
Divers: Douleur musculo-squelettique arthralgie vision floue diminution de la libido impuissance mâle impuissance des acouceurs alopécies réversibles agranulocytose les yeux secs aggravant le psoriasis de la maladie de peyronie transpirant la perturbation du goût de la photosensibilité.
Réactions indésirables potentielles
De plus, il y a des réactions indésirables non énumérées ci-dessus qui ont été rapportées avec d'autres agents de blocage bêta-adrénergique et doivent être considérés comme des réactions indésirables potentielles au succinate de métoprolol.
Système nerveux central: Dépression mentale réversible progressant vers la catatonie; Un syndrome réversible aigu caractérisé par une désorientation pour le temps et la pertes de mémoire à court terme de la labilité émotionnelle du sensorium et une diminution des performances en neuropsychométrie.
Hématologique: Agranulocytosis non thrombocytopénique purpura thrombocytopénique purpura.
Réactions hypersensives: Détresse respiratoire du laryngospasme.
Interactions médicamenteuses for Kapspargo Sprinkle
Médicaments d'épuisement des catécholamine
Les médicaments épuissant les catécholamine (par exemple les inhibiteurs de la reserpine monoamine oxydase (MAO)) peuvent avoir un effet additif lorsqu'ils sont administrés avec des agents de blocage bêta. Observez les patients traités avec du succinate de métoprolol plus un déplecteur de catécholamine pour des preuves d'hypotension ou de bradycardie marquée qui peut produire une syncope vertige ou une hypotension posturale.
Inhibiteurs du CYP2D6
Il a été démontré que les médicaments qui sont de forts inhibiteurs du CYP2D6 tels que la quinidine fluoxétine paroxétine et la propafénone. Bien qu'il n'y ait aucune information sur les inhibiteurs modérés ou faibles, ceux-ci sont également susceptibles d'augmenter la concentration du métoprolol. Les augmentations de la concentration plasmatique diminuent la cardiosélectivité du métoprolol [voir Pharmacologie clinique ]. Monitor patients closely when the combination cannot be avoided.
Digitalis clonidine et bloqueurs de canaux calciques
Digitalis glycosides clonidine diltiazem et vérapamil lent à la conduction autrioventriculaire et diminue la fréquence cardiaque. L'utilisation concomitante avec les bêta-bloquants peut augmenter le risque de bradycardie.
Si la clonidine et un bêta-bloquant comme le métoprolol sont co-administrés, retirez le bêta-bloquant plusieurs jours avant le retrait progressif de la clonidine parce que les bêta-bloquants peuvent exacerber l'hypertension rebond qui peut suivre le retrait de la clonidine. Si le remplacement de la clonidine par une thérapie bêta-bloquants retarde l'introduction de bêta-bloquants pendant plusieurs jours après l'arrêt de l'administration de la clonidine.
Alcool
Le succinate de métoprolol est libéré plus rapidement de la saupoudrer de Kapspargo en présence d'alcool. Cela peut augmenter le risque d'événements indésirables associés à la saupoudrer de Kapspargo. Évitez la consommation d'alcool lors de la prise de Kapspargo Sprinkle [voir Pharmacologie clinique ].
Avertissements pour Kapspargo Sprinkle
Inclus dans le cadre du PRÉCAUTIONS section.
Précautions pour Kapspargo Sprinkle
Cessation brusque de la thérapie
Après l'arrêt brusque de la thérapie avec certains agents de blocage bêta, des exacerbations de l'angine de poitrine et dans certains cas, un infarctus du myocarde s'est produit. Lors de l'arrêt du succinate de métoprolol administré de façon chronique, en particulier chez les patients atteints d'une maladie cardiaque ischémique, réduisez progressivement la posologie sur une période de 1 à 2 semaines et surveillez le patient. Si l'angine de poitrine aggrave nettement ou l'ischémie coronarienne aiguë se développe rapidement, réintégrer le succinate de métoprolol et prendre des mesures appropriées pour la gestion de l'angine de poitrine instable. Avertissez les patients de ne pas interrompre la thérapie sans les conseils de leur médecin. Parce que la maladie coronarienne est courante et peut être méconnue, évitez brusquement le succinate de métoprolol chez les patients traités uniquement pour l'hypertension.
Insuffisance cardiaque
L'aggravation de l'insuffisance cardiaque peut se produire pendant la transmission de succinate de métoprolol. Si de tels symptômes se produisent augmentent les diurétiques et rétablissent la stabilité clinique avant de faire avancer la dose de succinate de métoprolol [voir Posologie et administration ]. It may be necessary to lower the dose of metoprolol succinate or temporarily discontinue it. Such episodes do not preclude subsequent successful titration of metoprolol succinate.
Maladie bronchospastique
Les patients atteints de maladies bronchospatiques devraient en général ne pas recevoir de bêta. En raison de sa sélectivité relative de la bêta1-cardio, mais le succinate de métoprolol peut être utilisé chez les patients atteints de maladie bronchospastique qui ne répondent pas ou ne peuvent pas tolérer un autre traitement antihypertenseur. Because beta1-selectivity is not absolute use the lowest possible dose of metoprolol succinate. Les bronchodilatateurs, y compris les bêta2, doivent être facilement disponibles ou administrés concomitamment [voir Posologie et administration ].
Bradycardie
Bradycardie including sinus pause heart block and cardiac arrest have occurred with the use of metoprolol succinate. Patients with first-degree atrioventricular block sinus node dysfunction conduction disorders (including Wolff-Parkinson-White) or on concomitant drugs that cause bradycardie [see Interactions médicamenteuses ] peut être à risque accru. Surveillez la fréquence cardiaque chez les patients recevant du succinate de métoprolol. Si une bradycardie sévère se développe, réduisez ou arrêtez le succinate de métoprolol.
Phéochromocytome
Si le succinate de métoprolol est utilisé dans le cadre du phéochromocytome, il doit être donné en combinaison avec un alpha-bloqueur et seulement après le lancement de l'alpha-blocker.
Administration of beta-blockers alone in the setting of pheochromocytoma has been associated with a paradoxical increase in blood pressure due to the attenuation of beta-mediated vasodilatation in skeletal muscle.
Chirurgie majeure
Évitez le début d'un régime à forte dose de métoprolol à libération prolongée chez les patients subissant une chirurgie non cardiaque, car une telle utilisation chez les patients présentant des facteurs de risque cardiovasculaire a été associée à un AVC d'hypotension de Bradycardie et à la mort.
La thérapie bêta administrée chronique ne doit pas être systématiquement retirée avant la chirurgie majeure; Cependant, la capacité altérée du cœur à répondre aux stimuli adrénergiques réflexes peut augmenter les risques de l'anesthésie générale et des procédures chirurgicales.
Hypoglycémie
Les bêta-bloquants peuvent prévenir les signes d'alerte précoce d'hypoglycémie tels que la tachycardie et augmenter le risque d'hypoglycémie sévère ou prolongée à tout moment pendant le traitement, en particulier chez les patients atteints de diabète sucré ou les enfants et les patients qui jeûnent (c'est-à-dire la chirurgie ne mange pas régulièrement ou sont des vomissements). Si une hypoglycémie sévère se produit, les patients doivent être invités à demander un traitement d'urgence.
Thyrotoxicose
Le blocage bêta-adrénergique peut masquer certains signes cliniques d'hyperthyroïdie tels que la tachycardie. Un retrait brusque de bêta-blockade peut précipiter une tempête thyroïdienne.
Maladie vasculaire périphérique
Les bêta-bloquants peuvent précipiter ou aggraver les symptômes de l'insuffisance artérielle chez les patients atteints de maladie vasculaire périphérique.
Réaction anaphylactique
Tout en prenant des bêta-bloquants ayant des antécédents de réactions anaphylactiques graves à une variété d'allergènes peut être plus réactive à un défi répété et peut ne pas répondre aux doses habituelles d'épinéphrine utilisées pour traiter une réaction allergique.
Toxicologie non clinique
Carcinogenèse Mutagenèse A trouble de la fertilité
Des études à long terme chez les animaux ont été menées pour évaluer le potentiel cancérigène du tartrate du métoprolol. Dans les études sur 2 ans chez le rat à trois niveaux de dose orale allant jusqu'à 800 mg / kg / jour (41 fois sur une mg / m² la dose quotidienne de 200 mg pour un patient de 60 kg), il n'y a eu aucune augmentation du développement de néoplasmes bénignes ou malins spontanément. Les seuls changements histologiques qui semblaient être liés au médicament étaient une incidence accrue d'une accumulation focale généralement légère de macrophages mousseux dans les alvéoles pulmonaires et une légère augmentation de l'hyperplasie biliaire. Dans une étude de 21 mois chez des souris albinos suisses à trois niveaux de dosage oral allant jusqu'à 750 mg / kg / jour (18 fois sur un mg / m², la dose quotidienne de 200 mg pour une patiente de 60 kg) a eu lieu plus fréquemment chez les souris femelles recevant la dose la plus élevée que chez les animaux témoins non traités. Il n'y a eu aucune augmentation des tumeurs pulmonaires malignes ou totales (bénignes plus malignes) ni dans l'incidence globale des tumeurs ou des tumeurs malignes. Cette étude de 21âmon a été répétée chez des souris CD-1 et aucune différence statistiquement ou biologiquement significative n'a été observée entre les souris traitées et témoins de l'un ou l'autre sexe pour tout type de tumeur.
distance jusqu'à nashville tennessee
Tous les tests de génotoxicité effectués sur le tartrate du métoprolol (une étude létale dominante dans les études chromosomiques de souris dans les cellules somatiques a Salmonelle / Test de mutagénicité des microsomes mammifères et test d'anomalie de noyau dans les noyaux interphases somatiques) et succinate de métoprolol (A Salmonelle / Le test de mutagénicité des microsomes des mammifères) était négatif.
Aucune preuve de fertilité altérée due au tartrate de métoprolol n'a été observée dans une étude réalisée chez le rat à des doses allant jusqu'à 22 fois sur une base de mg / m² la dose quotidienne de 200 mg chez un patient de 60 kg.
Utiliser dans des populations spécifiques
Grossesse
Résumé des risques
L'hypertension non traitée et l'insuffisance cardiaque pendant la grossesse peuvent entraîner des résultats indésirables pour la mère et le fœtus (voir Considérations cliniques ). Les données disponibles des études d'observation publiées n'ont pas démontré de risque associé au médicament de malformations congénitales majeures ou des résultats défavorables maternels ou fœtaux avec l'utilisation du métoprolol pendant la grossesse. Cependant, il existe des rapports incohérents de restriction de la croissance intra-utérine des naissances prématurées et de la mortalité périnatale avec l'utilisation maternelle des bêta-bloquants, y compris le métoprolol pendant la grossesse (voir Données ). Dans les études de reproduction animale, le métoprolol augmente la perte post-implantation et la survie néonatale chez le rat à des doses orales de 500 mg / kg / jour environ 24 fois la dose quotidienne de 200 mg chez un patient de 60 kg sur une base de mg / m².
Le risque de fond estimé de malformations congénitales majeures et de fausse couche pour la population indiquée est inconnue. Toutes les grossesses présentent un risque de fond de perte de maltraitance natale ou d'autres résultats indésirables. Dans la population générale américaine, le risque de fond estimé de malformations congénitales majeures et de fausse couche dans les grossesses cliniquement reconnues est respectivement de 2 à 4% et 15 à 20%.
Considération clinique
Risque maternel et / ou embryonnaire associé à la maladie
Hypertension in pregnancy increases the maternal risk for pre-eclampsia gestational diabetes premature delivery and delivery complications (e.g. need for cesarean section and post-partum hemorrhage).
Hypertension increases the fetal risk for intrauterine growth restriction and intrauterine death. Pregnant women with hypertension should be carefully monitored and managed accordingly.
Le volume des AVC et l'augmentation de la fréquence cardiaque pendant la grossesse augmentent le débit cardiaque, en particulier au cours du premier trimestre. Il existe un risque de naissance prématurée avec les femmes enceintes souffrant d'insuffisance cardiaque chronique au 3ème trimestre de la grossesse.
Réactions indésirables fœtales / néonatales
Le métoprolol traverse le placenta. Les nouveau-nés nés de mères qui reçoivent du métoprolol pendant la grossesse peuvent être à risque d'hypotension hypoglycémie bradycardie et dépression respiratoire. Observez les nouveau-nés et gérez en conséquence.
Données
Données humaines
Données from published observational studies did not demonstrate an association of major congenital malformations and use of metoprolol in pregnancy. The published literature has reported inconsistent findings of intrauterine growth retardation preterm birth and perinatal mortality with maternal use of metoprolol during pregnancy; however these studies have methodological limitations hindering interpretation. Methodological limitations include retrospective design concomitant use of other medications and other unadjusted confounders that may account for the study findings including the underlying disease in the mother. These observational studies cannot definitely establish or exclude any drug-associated risk during pregnancy.
Données sur les animaux
Il a été démontré que le métoprolol augmente la perte post-implantation et diminue la survie néonatale chez le rat à des doses orales de 500 mg / kg / jour, soit 24 fois sur un mg / m² la dose quotidienne de 200 mg chez un patient de 60 kg.
Aucune anomalie fœtale n'a été observée lorsque des rats enceintes ont reçu du métoprolol par voie orale jusqu'à une dose de 200 mg / kg / jour, soit 10 fois la dose quotidienne de 200 mg chez un patient de 60 kg.
Lactation
Résumé des risques
Données disponibles limitées de la littérature publiée Rapport que le métoprolol est présent dans le lait maternel. La dose quotidienne estimée quotidienne du métoprolol reçu du lait maternel varie de 0,05 mg à moins de 1 mg. La posologie relative estimée du nourrisson était de 0,5% à 2% du dosage ajusté en poids de la mère (voir Données ). Aucune réaction indésirable de métoprolol sur le nourrisson allaité n'a été identifiée. Il n'y a aucune information concernant les effets du métoprolol sur la production de lait.
Considération clinique
Surveillance des effets indésirables
L'azithromycine est-elle la même que Zithromax
Surveillez le nourrisson allaité pour la bradycardie et d'autres symptômes de bêta comme l'aplétabilité (hypoglycémie).
Données
Sur la base des rapports de cas publiés, la dose quotidienne estimée du nourrisson de métoprolol reçu de l'aire de lait maternel de 0,05 mg à moins de 1 mg. La posologie relative estimée du nourrisson était de 0,5% à 2% de la dose ajustée en poids de la mère.
Chez deux femmes qui prenaient une quantité non spécifiée d'échantillons de lait de métoprolol ont été prélevés après une dose de métoprolol. La quantité estimée de métoprolol et de métoprolol alpha-hydroxy dans le lait maternel serait inférieure à 2% du dosage ajusté en poids de la mère.
Dans une petite étude, le lait maternel a été collecté toutes les 2 à 3 heures sur un intervalle de dosage chez trois mères (au moins 3 mois post-partum) qui ont pris du métoprolol d'une quantité non spécifiée. La quantité moyenne de métoprolol présente dans le lait maternel était de 71,5 mcg / jour (intervalle de 17,0 à 158,7). Le dosage relatif moyen relatif était de 0,5% du dosage ajusté en poids de la mère.
Femmes et mâles de potentiel reproducteur
Résumé des risques
Sur la base de la littérature publiée, les bêta-bloquants (y compris le métoprolol) peuvent provoquer une dysfonction érectile et inhiber la motilité des spermatozoïdes.
Aucune preuve de fertilité altérée due au métoprolol n'a été observée chez le rat [voir Toxicologie non clinique ].
Usage pédiatrique
Cent quarante-quatre patients pédiatriques hypertendus âgés de 6 à 16 ans ont été randomisés dans un placebo ou à l'un des trois niveaux de dose de succinate de métoprolol (NULL,2 1 ou 2 mg / kg une fois par jour) et suivis pendant 4 semaines. L'étude n'a pas respecté son critère d'évaluation principal (réponse dose pour la réduction de la SBP). Certains critères d'évaluation secondaires pré-spécifiés ont démontré l'efficacité, notamment:
- Dose-réponse pour la réduction du DBP
- 1 mg / kg par rapport au placebo pour le changement de SBP et
- 2 mg / kg par rapport au placebo pour le changement de SBP et DBP.
Les réductions moyennes corrigées du placebo du SBP variaient de 3 à 6 mmHg et DBP de 1 à 5 mmHg. La réduction moyenne de la fréquence cardiaque variait de 5 à 7 bpm, mais des réductions considérablement plus élevées ont été observées chez certaines personnes [voir Posologie et administration ].
Aucune différence cliniquement pertinente dans le profil d'événements indésirables n'a été observée pour les patients pédiatriques âgés de 6 à 16 ans par rapport aux patients adultes.
La sécurité et l'efficacité du succinate du métoprolol n'ont pas été établies chez les patients <6 years of age.
Utilisation gériatrique
Les études cliniques du succinate de métoprolol dans l'hypertension n'ont pas inclus un nombre suffisant de sujets âgés de 65 ans et plus pour déterminer s'ils répondent différemment des sujets plus jeunes. D'autres expériences cliniques signalées chez les patients hypertensives n'ont pas identifié de différences dans les réponses entre les patients âgés et les patients plus jeunes.
Parmi les patients de 1990 souffrant d'insuffisance cardiaque randomisés en succinate de métoprolol dans l'essai Merit-HF, 50% (990) étaient âgés de 65 ans et plus et 12% (238) étaient âgés de 75 ans et plus. Il n'y avait pas de différences notables dans l'efficacité ou le taux d'effets indésirables entre les patients plus âgés et plus jeunes.
En général, utilisez une faible dose de départ initiale chez les patients âgés, compte tenu de leur plus grande fréquence de diminution de la fonction rénale ou cardiaque hépatique ou de maladie concomitante ou autre médicament.
Trouble hépatique
Aucune étude n'a été réalisée avec le succinate de métoprolol chez les patients souffrant de troubles hépatiques. Parce que le succinate de métoprolol est métabolisé par les niveaux sanguins du métoprolol hépatique sont susceptibles d'augmenter considérablement avec une mauvaise fonction hépatique. Par conséquent, lancer une thérapie à des doses inférieures à celles recommandées pour une indication donnée; et augmenter les doses progressivement chez les patients présentant une fonction hépatique altérée.
Trouble rénal
La disponibilité systémique et la demi-vie du métoprolol chez les patients atteints d'insuffisance rénale ne diffèrent pas à un degré cliniquement significatif de ceux des sujets normaux. Aucune réduction de la dose n'est nécessaire chez les patients atteints d'insuffisance rénale chronique [voir Pharmacologie clinique ].
Informations sur la surdose pour Kapspargo Sprinkle
Signes et symptômes - Overdosage du succinate de métoprolol peut entraîner une hypotension sévère de bradycardie et un choc cardiogénique. La présentation clinique peut également inclure: Bronchospasme autrioventriculaire Bronchospasme Hypoxie Hypoxie de la conscience / nausée et des vomissements de la conscience.
Traitement - Pensez à traiter le patient avec des soins intensifs. Les patients atteints d'infarctus du myocarde ou d'insuffisance cardiaque peuvent être sujets à une instabilité hémodynamique importante. Une surdose bêta-bloquante peut entraîner une résistance significative à la réanimation avec des agents adrénergiques, notamment des bêta-agonistes. Sur la base des actions pharmacologiques du métoprolol, utilisez les mesures suivantes.
L'hémodialyse est peu susceptible d'apporter une contribution utile à l'élimination du métoprolol [voir Pharmacologie clinique ].
Bradycardie
Évaluez la nécessité de médicaments ou de stimulateurs stimulants de l'atropine pour traiter la bradycardie et les troubles de la conduction.
Hypotension
Traitez la bradycardie sous-jacente. Considérez la perfusion de vasopresseurs intraveineux tels que la dopamine ou la noradrénaline.
Insuffisance cardiaque And Shock
Peut être traité le cas échéant avec une injection d'expansion de volume appropriée de glucagon (si nécessaire, suivie d'une perfusion intraveineuse de glucagon).
Bronchospasme
Peut généralement être inversé par des bronchodilators.
Contre-indications pour Kapspargo Sprinkle
Le succinate de métoprolol est contre-indiqué dans la bradycardie sévère du deuxième ou du bloc cardiaque du troisième degré choc cardiogénique décompensé Syndrome du sinus malade (sauf si un stimulateur cardiaque permanent est en place) et chez les patients qui sont hypersensibles à tout composant de ce produit.
Pharmacologie clinique for Kapspargo Sprinkle
Mécanisme d'action
Le métoprolol est un agent de blocage des récepteurs adrénergiques sélectif (cardiosélectif) BETA1. Cet effet préférentiel n'est cependant pas absolu et à des concentrations plasmatiques plus élevées, le métoprolol inhibe également les adrécepteurs bêta2 principalement situés dans la musculature bronchique et vasculaire.
Le métoprolol n'a pas d'activité sympathomimétique intrinsèque et l'activité stabilisatrice des membranes n'est détectable qu'aux concentrations plasmatiques beaucoup plus importantes que nécessaire pour la bêta-blockade. Les expériences animales et humaines indiquent que le métoprolol ralentit le taux des sinus et diminue la conduction nodale AV.
La sélectivité bêta1 relative du métoprolol a été confirmée par ce qui suit: (1) Chez les sujets normaux, le métoprolol n'est pas en mesure d'inverser les effets vasodilatants médiés par Beta2 de l'épinéphrine. Cela contraste avec l'effet des bêta-bloquants non sélectifs qui inversent complètement les effets vasodilatants de l'épinéphrine. (2) chez les patients asthmatiques, le métoprolol réduit le FEV 1 et FVC significativement moins qu'un propranolol bêta-bloquant non sélectif à des doses de blocage de récepteurs bêta1 équivalents.
Hypertension
Le mécanisme des effets antihypertenseurs des agents de blocage bêta n'a pas été élucidé. Cependant, plusieurs mécanismes possibles ont été proposés: (1) l'antagonisme compétitif des catécholamines à des sites de neurones adrénergiques périphériques (en particulier cardiaques) conduisant à une diminution du débit cardiaque; (2) un effet central conduisant à une sortie sympathique réduite à la périphérie; et (3) la suppression de l'activité rénine.
Coffre d'angine
En bloquant les augmentations induites par la catécholamine de la fréquence cardiaque de la vitesse et de l'étendue de la contraction myocardique et de la pression artérielle, le métoprolol réduit les besoins en oxygène du cœur à tout niveau d'effort donné, ce qui l'a rendu utile dans la gestion à long terme de l'angine de poitrine.
Insuffisance cardiaque
Le mécanisme précis des effets bénéfiques des bêta-bloquants dans l'insuffisance cardiaque n'a pas été élucidé.
Pharmacodynamique
Des études de pharmacologie clinique ont confirmé l'activité bêta-bloquante du métoprolol chez l'homme, comme le montre (1) la réduction de la fréquence cardiaque et du débit cardiaque au repos et lors de l'exercice (2) de la réduction de la pression artérielle systolique lors de l'exercice (3) inhibition de la tachycardie induite par l'isoprotérénol et (4) de la réduction de la tachycardie réflexique.
La relation entre les taux plasmatiques de métoprolol et la réduction de l'exercice cardiaque est indépendante de la formulation pharmaceutique. Les effets de blocage bêta1 dans la plage de 30 à 80% de l'effet maximal (environ 8 à 23% de réduction de l'exercice de l'exercice) correspondent à des concentrations plasmatiques de métoprolol de 30 à 540 nmol / L. La sélectivité bêta1 relative du métoprolol diminue et le blocage des adrénergateurs bêta2 augmente à la concentration plasmatique supérieure à 300 nmol / L.
Dans cinq études contrôlées chez des sujets sains normaux, le succinate de métoprolol à libération étendue administrée une fois par jour et le métoprolol à libération immédiate administrés une fois à quatre fois par jour fournissaient un blocage total de bêta1 comparable sur 24 heures (zone sous le bloc Beta1 contre la courbe de temps) dans la plage de dose de 100 à 400 mg. Dans une autre étude contrôlée, 50 mg une fois par jour pour chaque produit succinate de métoprolol à libération prolongée produisaient un bloc de bêta1 total significativement plus élevé sur 24 heures que le métoprolol à libération immédiate. Pour le succinate de métoprolol à libération prolongée, la réduction en pourcentage de la fréquence cardiaque de l'exercice était relativement stable tout au long de l'intervalle posologique et le niveau de blocage Beta1 a augmenté avec des doses croissantes de 50 à 300 mg par jour.
Une étude croisée contrôlée chez les patients atteints d'insuffisance cardiaque a comparé les concentrations plasmatiques et les effets de blocage Beta1 de 50 mg de métoprolol à libération immédiate T.I.D. et 100 mg et 200 mg de succinate de métoprolol à libération prolongée une fois par jour. Succinate de métoprolol à libération prolongée 200 mg une fois par jour a produit un effet plus important sur la suppression de la fréquence cardiaque induite par l'exercice et sur le holter sur 24 heures par rapport à 50 mg T.I.D. de métoprolol à libération immédiate.
Dans d'autres études, le traitement par le succinate de métoprolol a produit une amélioration de la fraction d'éjection ventriculaire gauche. Il a également été démontré que le succinate de métoprolol retarde l'augmentation des volumes de systolique final ventriculaire gauche et de diastolique terminal après 6 mois de traitement.
Bien que le blocage des récepteurs bêta-adrénergiques soit utile dans le traitement de l'hypertension et de l'insuffisance cardiaque de l'angine de poitrine, il existe des situations dans lesquelles la stimulation sympathique est vitale. Chez les patients souffrant de cœurs gravement endommagés, une fonction ventriculaire adéquate peut dépendre d'une campagne sympathique. En présence d'un blocage de bloc AV peut empêcher l'effet de facilitation nécessaire de l'activité sympathique sur la conduction. Le blocage bêta2-adrénergique entraîne une constriction bronchique passive en interférant avec l'activité bronchodilatrice adrénergique endogène chez les patients soumis à un bronchospasme et peut également interférer avec des bronchodilatateurs exogènes chez ces patients.
Pharmacocinétique
Absorption
Les taux plasmatiques maximaux suivant l'administration une fois par jour de succinate de métoprolol à libération prolongée sont réduits de 50 à 75% en moyenne par rapport à une dose correspondante de tartrate de métoprolol à libération immédiate à la fois lorsqu'ils sont administrés une fois par jour ou en doses divisées. À l'état d'équilibre, la biodisponibilité moyenne du métoprolol après l'administration de succinate de métoprolol à travers la plage de dosage de 50 à 400 mg une fois par jour réduit de 25% par rapport aux doses uniques ou divisées correspondantes de tartrate de métoprolol à libération immédiate. La biodisponibilité du métoprolol montre une augmentation de la dose, mais pas directement proportionnelle avec la dose. L'exposition (CMAX et AUC) de la capsule à libération étendue du succinate de métoprolol est similaire à celle de la tablette Toprol-XL®.
Absorption
Les taux plasmatiques après l'administration orale de comprimés de métoprolol sont environ 50% des niveaux suivant l'administration intraveineuse indiquant environ 50% de métabolisme de premier passage. La concentration plasmatique maximale de métoprolol est atteinte à 10 heures après l'administration de capsule à libération étendue du succinate de métoprolol.
Effet de la nourriture
Par rapport à l'administration de l'état à jeun, la farine élevée à haute teneur en matières grasses (NULL,3% de graisses 15,6% des protéines et 30,1% de glucides) n'a pas eu d'effet significatif sur l'absorption de la saupoudrer de Kapspargo.
Kapspargo Sprinkle (succinate de métoprolol 200 mg) administré dans des conditions de jeûne à des adultes en bonne santé en répartissant l'ensemble du contenu sur une seule table (15 ml) de compote de pommes n'a pas affecté de manière significative Tmax CMAX et AUC de métoprolol.
Distribution
Environ 12% du médicament est lié à l'albumine sérique humaine. Le métoprolol traverse la barrière hémato-encéphalique et a été signalé dans le LCR dans une concentration de 78% de la concentration plasmatique simultanée.
Élimination
Élimination is mainly by biotransformation in the liver and the plasma half-life ranges from approximately 3 to 7 hours.
Métabolisme
Le métoprolol est un mélange racémique de R-et-Enantiomères et est principalement métabolisé par CYP2D6. Lorsqu'il est administré par voie orale, il présente un métabolisme stéréosélectif qui dépend du phénotype d'oxydation.
Excrétion
Moins de 5% d'une dose orale de métoprolol est récupérée inchangée dans l'urine; Le reste est excrété par les reins comme des métabolites qui ne semblent pas avoir d'activité de blocage bêta. Après l'administration intraveineuse de métoprolol, la récupération urinaire du médicament inchangé est d'environ 10%.
Populations spécifiques
Patients souffrant de troubles rénaux
La disponibilité systémique et la demi-vie du métoprolol chez les patients atteints d'insuffisance rénale ne diffèrent pas à un degré cliniquement significatif de ceux des sujets normaux.
Patients pédiatriques
Le profil pharmacocinétique du succinate du métoprolol a été étudié chez 120 patients hypertendus pédiatriques (6 à 17 ans) recevant des doses allant de 12,5 à 200 mg une fois par jour. La pharmacocinétique du métoprolol était similaire à celle décrite précédemment chez les adultes. La course aux sexes et le poids corporel idéal n'ont eu aucun effet significatif sur la pharmacocinétique du métoprolol. La clairance orale apparente du métoprolol (Cl / F) a augmenté linéairement avec le poids corporel. La pharmacocinétique du métoprolol n'a pas été étudiée chez les patients <6 years of age.
Âge du poids corporel et race
La clairance orale apparente du métoprolol (Cl / F) a augmenté linéairement avec le poids corporel. Le sexe et la race de l'âge n'ont eu aucun effet significatif sur la pharmacocinétique du métoprolol.
Interactions médicamenteuses
Cyp2d6
Le métoprolol est métabolisé principalement par CYP2D6. Chez des sujets sains atteints du CYP2D6, un métaboliseur étendu coadmination de quinidine 100 mg Un puissant inhibiteur du CYP2D6 et du métoprolol à libération immédiate 200 mg ont triplé la concentration de S-métoprolol et ont doublé la demi-vie d'élimination du métoprolol. Chez quatre patients atteints de la co-administration cardiovasculaire de la propafénone 150 mg T.I.D. avec métoprolol à libération immédiate 50 mg T.I.D. a entraîné une concentration en régime permanent de métoprolol 2 à 5 fois ce qui est observé avec le métoprolol seul. Les métaboliseurs étendus qui utilisent concomitamment les médicaments inhibés du CYP2D6 auront une augmentation des taux sanguins de métoprolol (plusieurs fois) diminuer la cardiosélectivité du métoprolol [voir Interactions médicamenteuses ].
Alcool
Une étude de dissolution in vitro a été menée pour évaluer l'impact de l'alcool (5 10 20 et 40%) sur les caractéristiques à libération prolongée de la saupoudrer de Kapspargo. L'étude in vitro a montré qu'environ 89% de la dose totale de succinate de métoprolol était libérée à 2 heures au niveau d'alcool le plus élevé (40%) et environ 17% du total de la drogue a été libéré à 2 heures avec 5% d'alcool. L'alcool provoque une libération rapide de succinate de métoprolol à partir de la pincée de Kapspargo qui peut augmenter le risque d'événements ci-dessus associés à la saupoudrer de Kapspargo. La consommation d'alcool n'est pas recommandée lors de la prise de kapspargo, saupoudrer 25 mg 50 mg 100 mg et 200 mg.
Études cliniques
Hypertension
Dans une étude en double aveugle, 1092 patients atteints d'hypertension légère à modérée ont été randomisés dans un succinate de métoprolol quotidien (25 100 ou 400 mg) PENDIL® (comprimés à libération étendue en felodipine) la combinaison ou le placebo. Après 9 semaines, le succinate de métoprolol a diminué à lui seul la pression artérielle assise de 6 € 8 mmHg / 4 -7 mmHg (changement corrigé par placebo par rapport à la ligne de base) à 24 heures après la dose. La combinaison du succinate de métoprolol avec Scoldil® a des effets plus importants sur la pression artérielle.
Dans les études cliniques contrôlées, une forme de dosage à libération immédiate de métoprolol était un agent antihypertenseur efficace lorsqu'il était utilisé seul ou comme traitement concomitant avec les diurétiques de type thiazide à des doses de 100 à 450 mg par jour. Le succinate de métoprolol à des doses de 100 à 400 mg une fois par jour produit un bloc β1 similaire à celui des comprimés de métoprolol conventionnels administrés deux à quatre fois par jour. De plus, le succinate de métoprolol administré à une dose de 50 mg une fois que par jour a abaissé la pression artérielle 24 heures sur 24 après la possibilité de dose dans des études contrôlées par placebo. Dans les études cliniques comparatives contrôlées, le métoprolol à libération immédiate est apparu comparable en tant qu'agent antihypertenseur de la méthyldopa au propranolol et des diurétiques de type thiazide et a affecté la pression artérielle en décubitus dorsale et debout. En raison des taux plasmatiques variables atteints avec une dose donnée et l'absence d'une relation cohérente de l'activité antihypertense à la sélection de la concentration plasmatique médicamenteuse de la dose appropriée nécessite un titrage individuel.
Coffre d'angine
Dans les essais cliniques contrôlés, une formulation à libération immédiate du métoprolol s'est avérée être un agent antianginal efficace réduisant le nombre d'attaques d'angine de poitrine et augmentant la tolérance à l'exercice. La posologie utilisée dans ces études variait de 100 à 400 mg par jour. Le succinate de métoprolol à des doses de 100 à 400 mg une fois que par jour, il a été démontré par la bêta-blockade similaire aux comprimés de métoprolol conventionnels administrés deux à quatre fois par jour.
Insuffisance cardiaque
Le mérite-HF était une étude randomisée en double aveugle dans laquelle 3991 patients atteints de fraction d'éjection ≤ 0,40 et de l'insuffisance cardiaque NYHA de classe II-IV attribuable à l'hypertension d'ischémie ou à la cardiomyopathie ont été randomisés 1: 1 au métoprolol ou au placebo. Le protocole a exclu les patients présentant des contre-indications à des bêta-bloquants à utiliser ceux qui devraient subir une chirurgie cardiaque et ceux dans les 28 jours suivant l'infarctus du myocarde ou l'angine de poitrine instable. Les principaux critères d'évaluation de l'essai étaient (1) la mortalité toutes causes de causes plus l'hospitalisation toutes causes de causes (temps de premier événement) et (2) la mortalité toutes causes. Les patients ont été stabilisés sur un traitement concomitant optimal pour l'insuffisance cardiaque, y compris les inhibiteurs de diurétiques ACE, les glycosides cardiaques et les nitrates. À la randomisation, 41% des patients étaient de la classe II de NYHA; 55% NYHA CLASSE III; 65% des patients avaient une insuffisance cardiaque attribuée à une maladie cardiaque ischémique; 44% avaient des antécédents d'hypertension; 25% avaient un diabète sucré; 48% avaient des antécédents d'infarctus du myocarde. Parmi les patients de l'essai, 90% étaient sur les diurétiques, 89% étaient sur les inhibiteurs de l'ECA, 64% étaient sur des numériques 27% étaient sur un agent hypolipidéal, 37% étaient sur un anticoagulant oral et la fraction d'éjection moyenne était de 0,28. La durée moyenne du suivi était d'un an. À la fin de l'étude, la dose quotidienne moyenne de succinate de métoprolol était de 159 mg.
The trial was terminated early for a statistically significant reduction in all-cause mortality (34% nominal p= 0.00009). The risk of all-cause mortality plus all-cause hospitalization was reduced by 19% (p= 0.00012). The trial also showed improvements in heart failure-related mortality and heart failure-related hospitalizations and NYHA functional class.
Le tableau ci-dessous montre les principaux résultats de la population d'étude globale. La figure ci-dessous illustre les résultats principaux pour une grande variété de comparaisons de sous-groupe, y compris les populations américaines par rapport aux non-américaines (ce dernier n'a pas été pré-spécifié). Les critères d'évaluation combinés de la mortalité toutes causes confondues plus l'hospitalisation toutes causes toutes les causes et de la mortalité plus l'hospitalisation de l'insuffisance cardiaque ont montré des effets cohérents dans la population d'étude globale et les sous-groupes. Néanmoins, les analyses de sous-groupe peuvent être difficiles à interpréter et on ne sait pas si celles-ci représentent de véritables différences ou des effets de hasard.
Points d'évaluation cliniques dans l'étude du mérite-HF
| Point final clinique | Nombre de patients | Risque relatif (95% CL) | Réduction des risques avec le succinate de métoprolol | Valeur p nominale | |
| Placebo n=2001 | Succinate de métoprolol n=1990 | ||||
| Mortalité toutes causes confondues plus hospitalisation AllCatised 1 | 767 | 641 | 0.81 (NULL,73 à 0,90) | 19% | 0.00012 |
| Mortalité toutes causes | 217 | 145 | 0.66 (NULL,53 à 0,81) | 34% | 0.00009 |
| Mortalité toutes causes plus insuffisance cardiaque hospitalization 1 | 439 | 311 | 0.69 (NULL,60 à 0,80) | 31% | 0.0000008 |
| Mortalité cardiovasculaire | 203 | 128 | 0.62 (NULL,50 à 0,78) | 38% | 0.000022 |
| Mort soudaine | 132 | 79 | 0.59 (NULL,45 à 0,78) | 41% | 0.0002 |
| Mort due à l'aggravation de l'insuffisance cardiaque | 58 | 30 | 0.51 (NULL,33 à 0,79) | 49% | 0.0023 |
| Hospitalisations en raison de l'aggravation de l'insuffisance cardiaque 2 | 451 | 317 | N / A | N / A | 0.0000076 |
| Hospitalisation cardiovasculaire 2 | 773 | 649 | N / A | N / A | 0.00028 |
| 1. Il est temps de premier événement 2. La comparaison des groupes de traitement examine le nombre d'hospitalisations (test Wilcoxon); Le risque relatif et la réduction des risques ne sont pas applicables. |
Résultats des sous-groupes dans le mérite-hf
|
Informations sur les patients pour Kapspargo Sprinkle
Conseiller aux patients de prendre Kapspargo saupoudrer régulièrement et en continu comme indiqué de préférence avec les repas ou immédiatement après. Si une dose est manquée, le patient ne doit prendre que la prochaine dose prévue (sans le doubler). Les patients ne doivent pas interrompre ou interrompre la saupoudrer de Kapspargo sans consulter le médecin.
vimovo 500 mg pour les maux de dos
Conseiller aux patients (1) d'éviter de faire fonctionner les automobiles et les machines ou de s'engager dans d'autres tâches nécessitant une vigilance jusqu'à ce que la réponse du patient à la thérapie avec une pincée de Kapspargo ait été déterminée; (2) contacter le médecin si une difficulté de respiration se produit; (3) Informer le médecin ou le dentiste avant tout type de chirurgie qu'il ou elle fait saupoudrer de Kapspargo.
Insuffisance cardiaque Il faut conseiller aux patients de consulter leur médecin s'ils présentent des signes ou des symptômes d'aggravation de l'insuffisance cardiaque tels que la prise de poids ou une essoufflement croissante.
Risque d'hypoglycémie
Informer les patients ou les soignants qu'il existe un risque de hypoglycémie Lorsque la saupoudrer de Kapspargo est donnée aux patients à jeun ou qui vomissent. Instruire les patients ou les soignants comment surveiller les signes d'hypoglycémie [voir Avertissements et précautions ].
Kapspargo Sprinkle est une marque de fabrique de Sun Pharmaceutical Industries Limited. Toutes les autres marques sont la propriété de leurs propriétaires respectifs.