Les Informations Présentées Sur Ce Site Ne Constituent Pas Un Avis Médical. Nous Ne Vendons Rien. L'Exactitude De La Traduction N'Est Pas Garantie. Clause De Non-Responsabilité
Médicaments
Solution de lactulose
Résumé
Qu'est-ce que le lactulose?
La solution de lactulose est un disaccharide synthétique un type de sucre qui est décomposé dans le gros intestin en acides doux qui attirent l'eau dans le côlon, ce qui aide à ramollir les selles. La solution de lactulose est utilisée pour traiter la constipation chronique. La solution de lactulose est également utilisée pour traiter ou prévenir les complications de la maladie du foie (encéphalopathie hépatique). La solution de lactulose est disponible en générique formulaire.
Quels sont les effets secondaires du lactulose?
Les effets secondaires de la solution de lactulose comprennent:
- diarrhée
- nausée
- vomissement
- ballonnements
- gaz
- émoussant et
- douleur ou inconfort de l'estomac.
Solution de lactulose
- urticaire
- difficulté à respirer
- gonflement de ton visage lèvres langue ou gorge
- confusion
- problèmes de mémoire
- Changements de comportement
- tremblements
- Se sentir irritable
- problèmes de sommeil
- perte de coordination et
- perte de conscience
Obtenez de l'aide médicale immédiatement si vous présentez l'un des symptômes énumérés ci-dessus.
Cherchez des soins médicaux ou appelez le 911 à la fois si vous avez les effets secondaires graves suivants:
- Des symptômes oculaires graves tels que la perte de vision soudaine floue du tunnel de vision de la vision de la vision des yeux ou de l'enflure ou de voir des halos autour des lumières;
- Symptômes cardiaques graves tels que les battements cardiaques rapides ou battants; flotter dans votre poitrine; essoufflement; et des étourdissements soudains étourdisseurs ou s'évanouissant;
- Maux de tête sévères Confusion Slurred Speech Bras ou Ligne Proulitude Trouble de la merde Perte de coordination Sentiment des muscles très rigides très rigides Fièvre élevée Propice ou des tremblements.
Dose pour le lactulose
La dose orale adulte habituelle de la solution de lactulose est de 2 à 3 cuillères à soupe (30 à 45 ml contenant 20 g à 30 g de lactulose) trois ou quatre fois par jour.
Quelles substances ou suppléments de médicaments interagissent avec le lactulose?
La solution de lactulose peut interagir avec les antiacides. Dites à votre médecin tous les médicaments et suppléments que vous utilisez.
Lactulose pendant la grossesse et l'allaitement
La solution de lactulose ne devrait pas être nocive pour un fœtus. Dites à votre médecin si vous êtes enceinte ou prévoyez de devenir enceinte pendant le traitement avec une solution de lactulose. On ne sait pas si la solution de lactulose passe dans le lait maternel ou si elle pourrait nuire à un bébé qui allaitait. Consultez votre médecin avant l'allaitement.
Informations Complémentaires
Notre centre de médicaments à effets secondaires de la solution de lactulose offre une vue complète des informations sur les médicaments disponibles sur les effets secondaires potentiels lors de la prise de ce médicament.
Informations sur les médicaments de la FDA
- Description de la drogue
- Indications
- Effets secondaires
- Avertissements
- Surdosage
- Pharmacologie clinique
- Guide des médicaments
Description de la solution de lactulose
Le lactulose est un disaccharide synthétique sous forme de solution pour l'administration orale ou rectale. Chaque 15 ml de solution de lactulose USP contient 10 g de lactulose (et moins de 1,6 g de galactose inférieur à 1,2 g de lactose et 0,1 g ou moins de fructose). Il contient également d
Le lactulose est un acidificateur colique pour le traitement et la prévention de l'encéphalopathie portale-systémique.
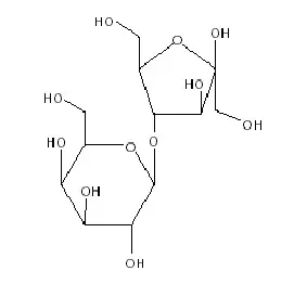
Le nom chimique du lactulose est le 4-O-β-d-galactopyranosyl-d-fructofuranose. Il a la formule structurelle suivante:
|
Le poids moléculaire est de 342,30. Il est librement soluble dans l'eau.
Utilisations pour la solution de lactulose
Pour la prévention et le traitement de l'encéphalopathie portale-systémique, y compris les étapes du pré-Coma hépatique et du coma.
Des études contrôlées ont montré que le traitement de la solution de lactulose réduit les taux d'ammoniac sanguin de 25 à 50%; Ceci est généralement parallèle par une amélioration de l'état mental des patients et par une amélioration des schémas EEG. La réponse clinique a été observée chez environ 75% des patients, ce qui est au moins aussi satisfaisant que celui résultant du traitement de la néomycine. Une augmentation de la tolérance aux protéines des patients est également fréquemment observée avec un traitement par lactulose. Dans le traitement de l'encéphalopathie porte-système chronique, la lactulose est donnée depuis plus de 2 ans dans des études contrôlées.
Dose pour le lactulose Solution
Oral
Adulte: Le dosage oral habituel adulte est de 2 à 3 cuillères à soupe (30 à 45 ml contenant 20 g à 30 g de lactulose) trois ou quatre fois par jour. La posologie peut être ajustée tous les jours ou deux pour produire 2 ou 3 selles molles par jour.
Des doses horaires de 30 à 45 ml de lactulose peuvent être utilisées pour induire la laxation rapide indiquée dans la phase initiale de la thérapie de l'encéphalopathie porte-système. Lorsque l'effet laxatif a été atteint, la dose de lactulose peut alors être réduite à la dose quotidienne recommandée.
L'amélioration de l'état du patient peut se produire dans les 24 heures mais peut ne pas commencer avant 48 heures ou même plus tard.
Une thérapie à long terme continue est indiquée pour réduire la gravité et empêcher la récidive de l'encéphalopathie porte-systémique. La dose de lactulose à cette fin est la même que la dose quotidienne recommandée.
Pédiatrique
Très peu d'informations sur l'utilisation du lactulose chez les jeunes enfants et les adolescents ont été enregistrées. Comme pour les adultes, l'objectif subjectif dans un traitement approprié est de produire 2 à 3 selles molles par jour. Sur la base d'informations disponibles, la dose buccale quotidienne initiale recommandée chez les nourrissons est de 2,5 à 10 ml en doses divisées.
Pour les enfants plus âgés et les adolescents, la dose quotidienne totale est de 40 à 90 ml. Si la dose initiale provoque une diarrhée, la dose doit être réduite immédiatement. Si la diarrhée persiste le lactulose doit être interrompue.
Rectal
Lorsque le patient adulte est au stade de coma ou de coma imminent de l'encéphalopathie portale-systémique et du danger d'aspiration existe ou lorsque les procédures endoscopiques ou d'intubation nécessaires interfèrent physiquement avec l'administration de la solution de lactulose à doses orales recommandées. Les lavements nettoyants contenant des savons ou d'autres agents alcalins ne doivent pas être utilisés.
Trois cents ml de solution de lactulose doivent être mélangés avec 700 ml d'eau ou de solution saline physiologique et conservés pendant 30 à 60 minutes. Le lavement du lactulose peut être répété toutes les 4 à 6 heures. Si le lavement est évacué par inadvertance trop rapidement, il peut être répété immédiatement.
L'objectif du traitement est l'inversion du stade du coma afin que le patient puisse prendre des médicaments oraux. L'inversion du coma peut avoir lieu dans les 2 heures suivant le premier lavement chez certains patients. Le lactulose donné par voie orale dans les doses recommandés doit être démarré avant que le lactulose par le lavement ne soit complètement arrêté.
Comment fourni
Stockage et manipulation
Solution de lactulose USP 10 g / 15 ml est une solution de couleur naturelle et une solution non savoureuse fournie dans une bouteille de pinte (473 ml).
La solution de lactulose contient du lactulose 670 mg / ml (10 g / 15 ml).
Stocker entre 36 ° et 86 ° F (2 ° à 30 ° C). Ne congelez pas.
Dans des conditions de stockage recommandées, un assombrissement normal de la couleur peut se produire. Un tel assombrissement est caractéristique des solutions de sucre et n'affecte pas l'action thérapeutique. Une exposition prolongée à des températures supérieures à 86 ° F (30 ° C) ou à la lumière directe peut provoquer un assombrissement et une turbidité extrêmement répandus qui peuvent être pharmaceutiquement répréhensibles. Si cette condition se développe, n'utilisez pas.
Une exposition prolongée à des températures de congélation peut entraîner des changements à un semi-solide trop visqueux à verser. La viscosité reviendra à la normale lors du réchauffement à température ambiante.
Dispense dans un récipient serré résistant à la lumière telle que définie dans l'USP avec une fermeture résistante à l'enfant.
Fabriqué et emballé par: Fresenius Kabi Austria GmbH Estermannstrase 17 4020 Linz Autriche. Révisé: mars 2016.
Effets secondaires pour la solution de lactulose
Des données de fréquence précises ne sont pas disponibles.
Le lactulose peut produire une distension gazeuse avec des flatulences ou des éructations et une inconfort abdominal comme les crampes chez environ 20% des patients. Une dose excessive peut entraîner une diarrhée avec des complications potentielles telles que la perte d'hypokaliémie et d'hypernatrémie.
Des nausées et des vomissements ont été signalés.
Pour signaler les événements indésirables suspects, contactez la FDA au 1-800-FDA-1008 ou https://www.fda.gov/ pour la déclaration volontaire des événements indésirables.
Interactions médicamenteuses pour la solution de lactulose
Il y a eu des rapports contradictoires sur l'utilisation concomitante de la solution de néomycine et de lactulose. Théoriquement, l'élimination de certaines bactéries coliques par la néomycine et éventuellement d'autres agents anti-infectieuses peut interférer avec la dégradation souhaitée du lactulose et donc empêcher l'acidification des teneurs coliques. Ainsi, le statut du patient traité au lactulose doit être étroitement surveillé en cas de thérapie anti-infective orale concomitante.
Les résultats des études préliminaires chez l'homme et les rats suggèrent que les antiacides non absorbables donnés simultanément avec le lactulose peuvent inhiber la baisse induite par le lactulose souhaitée dans le pH colique. Par conséquent, un manque possible d'effet souhaité du traitement doit être pris en considération avant que de tels médicaments ne soient donnés en concomitance avec le lactulose.
D'autres laxatifs ne doivent pas être utilisés en particulier pendant la phase initiale de thérapie pour l'encéphalopathie porte-systémique car les selles lâches résultant de leur utilisation peuvent faussement suggérer qu'une dose de lactulose adéquate a été obtenue.
Avertissements pour la solution de lactulose
Inclus dans le cadre du 'PRÉCAUTIONS' Section
Précautions pour la solution de lactulose
Toxicologie non clinique
Cancérogenèse
Il n'y a pas de données humaines connues sur le potentiel à long terme de la mutagénicité de la cancérogénicité ou de la déficience de la fertilité.
Il n'y a pas de données animales connues sur le potentiel à long terme de mutagénicité.
L'administration de solution de lactulose dans le régime alimentaire des souris pendant 18 mois à des concentrations de 3 et 10% (v / b) n'a produit aucune preuve de cancérogénicité.
Dans des études sur des rats de souris et des doses de lapins de solution de lactulose jusqu'à 6 ou 12 ml / kg / jour n'a produit aucun effet délétère dans la conception de la reproduction ou la parturition.
Utiliser dans des populations spécifiques
Grossesse
Effets tératogènes
Grossesse category B
Des études de reproduction ont été réalisées chez des rats de souris et des lapins à des doses allant jusqu'à 2 ou 4 fois la dose buccale humaine habituelle et n'ont révélé aucune preuve de fertilité ou de préjudice altéré ou de préjudice du fœtus due au lactulose. Il n'y a cependant pas d'études adéquates et bien contrôlées chez les femmes enceintes. Étant donné que les études de reproduction animale ne sont pas toujours prédictives de la réponse humaine, ce médicament ne doit être utilisé pendant la grossesse que s'il est clairement nécessaire.
Mères qui allaitent
On ne sait pas si ce médicament est excrété dans le lait maternel. Étant donné que de nombreux médicaments sont excrétés dans la prudence du lait maternel doivent être exercés lorsque la solution de lactulose est administrée à une femme infirmière.
Pédiatrique Use
Très peu d'informations sur l'utilisation du lactulose chez les patients pédiatriques ont été enregistrées. (Voir Posologie et administration .)
Informations sur la surdose pour la solution de lactulose
Signes et symptômes
Il n'y a eu aucun rapport de surdosage accidentel. En cas de surdosage, il est prévu que la diarrhée et les crampes abdominales soient les principaux symptômes. Les médicaments doivent être résiliés.
Oral LD 50
Le LD oral aigu 50 du médicament est de 48,8 ml / kg chez la souris et supérieur à 30 ml / kg chez le rat.
Dialyse
Dialyse data are not available for lactulose. Its molecular similarity to sucrose however would suggest that it should be dialyzable.
Contre-indications pour la solution de lactulose
Étant donné que la solution de lactulose contient du galactose (moins de 1,6 g / 15 ml), il est contre-indiqué chez les patients qui ont besoin d'un régime faible en galactose.
Pharmacologie clinique for Lactulose Solution
Le lactulose provoque une diminution de la concentration dans l'ammoniac sanguin et réduit le degré d'encéphalopathie portalsystémique. Ces actions sont considérées comme des résultats suivants:
La dégradation bactérienne du lactulose dans le côlon acidifie le contenu colique.
Cette acidification des contenus coliques entraîne la rétention de l'ammoniac dans le côlon comme l'ion ammonium. Étant donné que le contenu colique est alors plus acide que le sang que l'ammoniac devrait migrer du sang dans le côlon pour former l'ion ammonium.
Le contenu des coliques acides convertit NH 3 à l'ion ammonium (NH 4 ) le piéger et empêcher son absorption.
L'action laxative des métabolites de la lactulose expulse ensuite l'ion ammonium piégé du côlon.
Les données expérimentales indiquent que le lactulose est mal absorbé. Le lactulose donné par voie orale à l'homme et aux animaux expérimentaux n'a entraîné que de petites quantités d'atteindre le sang. L'excrétion urinaire a été déterminée comme étant de 3% ou moins et est essentiellement terminée dans les 24 heures.
Lorsqu'il est incubé avec des extraits de la muqueuse intestinale humaine, la muqueuse lactulose n'a pas été hydrolysée pendant une période de 24 heures et n'a pas inhibé l'activité de ces extraits sur le lactose. Lactulose atteint le côlon essentiellement inchangé. Là, il est métabolisé par des bactéries avec la formation d'acides de faible poids moléculaire qui acidifient le contenu du côlon.
Y a-t-il un générique pour Benicar
Informations sur les patients pour la solution de lactulose
Aucune information fournie. Veuillez vous référer au Avertissements et précautions section.