Les Informations Présentées Sur Ce Site Ne Constituent Pas Un Avis Médical. Nous Ne Vendons Rien. L'Exactitude De La Traduction N'Est Pas Garantie. Clause De Non-Responsabilité



Nascobal

Résumé

Qu'est-ce que NASCOBAL?

Pulvérisation nasale nascobale ( cyanocobalamine ) est une forme artificielle de vitamine B12 utilisée pour traiter la vitamine B12 Carence chez les personnes atteintes d'anémie pernicieuse et d'autres conditions.

Quels sont les effets secondaires de Nascobal?

Les effets secondaires communs du spray nasal nascobal comprennent



  • mal de tête
  • nausée
  • estomac renversé
  • diarrhée
  • nez qui coule
  • éternuements
  • mal de gorge
  • languette
  • vertiges
  • faiblesse
  • engourdissement ou picotement
  • fièvre
  • douleur articulaire ou
  • démangeaisons ou éruption cutanée

Dosage pour nascobal

La dose initiale recommandée de spray nasal nascobal est un pulvérisation (500 mcg) administré dans une narine une fois par semaine.



Quelles substances ou suppléments de médicaments interagissent avec Nascobal?

Le spray nasal nascobal peut interagir avec les antibiotiques méthotrexate pyriméthamine colchicine ou alcool. Dites à votre médecin tous les médicaments et suppléments que vous utilisez.

Nascobal pendant la grossesse ou l'allaitement

Pendant la grossesse, le spray nasal nascobal ne doit être utilisé que lorsqu'il est prescrit. Sur la base des informations provenant de médicaments connexes, ce médicament peut passer dans le lait maternel. Consultez votre médecin avant l'allaitement.



Informations Complémentaires

Notre centre de médicaments à effets secondaires nasal nasal (cyanocobalamine) fournit une vue complète des informations sur les médicaments disponibles sur les effets secondaires potentiels lors de la prise de ce médicament.

Informations sur les médicaments de la FDA

Description de Nascobal

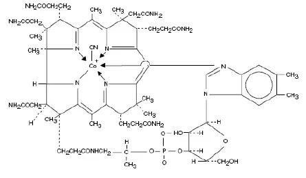
La cyanocobalamine est une forme synthétique de vitamine B 12 avec de la vitamine B équivalente 12 activité. Le nom chimique est le 56-diméthyl-benzimidazolyl cyanocobamide. La teneur en cobalt est de 4,35%. La formule moléculaire est C 63 H 88 Avec 14 O 14 P qui correspond à un poids moléculaire de 1355,38 et à la formule structurelle suivante:

La cyanocobalamine se produit sous forme de cristaux rouge foncé ou d'aiguilles orthorhombiques ou de poudre rouge cristalline. Il est très hygroscopique sous la forme anhydre et avec parcimonie à modérément soluble dans l'eau (1:80). Son activité pharmacologique est détruite par des métaux lourds (fer) et de forts agents oxydants ou réducteurs (vitamine C) mais pas par l'autoclavage pendant de courtes périodes (15-20 minutes) à 121 ° C. La vitamine B 12 Les coenzymes sont très instables en lumière.

Le spray nasal NASCOBAL® est une solution de cyanocobalamine USP (vitamine B 12 ) pour l'administration comme un pulvérisation à la muqueuse nasale. Chaque bouteille de pulvérisation nasale NASCOBAL (cyanocobalamine) contient 2,3 ml d'une solution de 500 mcg / 0,1 ml de cyanocobalamine avec du chlorure de citrate de citrate de sodium citrique et de chlorure de benzalkonium dans de l'eau purifiée. La solution de pulvérisation a un pH entre 4,5 et 5,5. L'unité de pompe à pulvérisation doit être entièrement amorcée (voir Posologie et administration ) avant l'utilisation initiale. Après l'amorçage initial, chaque pulvérisation offre une moyenne de 500 mcg de cyanocobalamine et la solution de pulvérisation de 2,3 ml contenue dans la bouteille fournira 8 doses de pulvérisation nasale nascobal (cyanocobalamine). L'unité doit être rénovée avant chaque dose. (voir Posologie et administration ).

Utilisations pour nascobal

Le spray nasal nascobal (cyanocobalamine) est indiqué pour le maintien du statut hématologique normal chez les patients atteints d'anémie pernicieuse qui sont en rémission après la vitamine B intramusculaire 12 thérapie et qui n'ont aucune implication du système nerveux.

Le spray nasal nascobal (cyanocobalamine) est également indiqué comme un supplément pour d'autres vitamines B 12 lacunes, notamment:

I. Carence alimentaire de la vitamine B 12 se produisant chez des végétariens stricts (vitamine B isolée 12 La carence est très rare).

Ii Malabsorption de la vitamine B 12 résultant des dommages structurels ou fonctionnels à l'estomac où le facteur intrinsèque est sécrété ou à l'iléon où le facteur intrinsèque facilite la vitamine B 12 absorption. Ces conditions comprennent l'infection par le VIH, les aides à la maladie de la maladie de Crohn et la sprue non tropicale (entéropathie induite par le gluten stéatorrhée idiopathique). La carence en folate chez ces patients est généralement plus grave que la vitamine B 12 carence.

Iii. Sécrétion inadéquate du facteur intrinsèque résultant de lésions qui détruisent la muqueuse gastrique (ingestion de néoplasie étendue corrosifs) et un certain nombre de conditions associées à un degré variable d'atrophie gastrique (tels que sclérose en plaques L'infection à VIH aide à certains troubles endocriniens une carence en fer et une gastrectomie subtotale). La gastrectomie totale produit toujours de la vitamine B 12 carence. Structural lesions leading to vitamin B 12 La carence comprend des résections iléites régionales tumeurs malignes, etc.

Iv. Compétition pour la vitamine B 12 par des parasites intestinaux ou des bactéries. Le ténias de poisson (diphyllobothrium latum) absorbe d'énormes quantités de vitamine B 12 et les patients infestés ont souvent une atrophie gastrique associée. Le syndrome de la boucle aveugle peut produire une carence en vitamine B 12 ou folate.

V. Utilisation inadéquate de la vitamine B 12 . Cela peut se produire si les antimétabolites pour la vitamine sont utilisés dans le traitement de la néoplasie.

Combien de métronidazole dois-je prendre

Il peut être possible de traiter la maladie sous-jacente par correction chirurgicale des lésions anatomiques conduisant à une expulsion de prolifération bactérienne de l'intestin grêle de l'arrêt du ténia des poissons conduisant à une malabsorption de vitamine (voir (voir Interactions de test de médicament / de laboratoire ) Utilisation d'un régime sans gluten dans la piste non tropicale ou l'administration d'antibiotiques dans la piste tropicale. De telles mesures suppriment la nécessité d'une administration à long terme de vitamine B 12 .

Exigences de la vitamine B 12 Au-delà de la normale (en raison de la grossesse de la thyrotoxicose de la thyrotoxicose anémie hémorragie hémorragie, une maladie hépatique et rénale) peut généralement être rencontrée avec une supplémentation intranasale ou orale.

Le spray nasal nascobal (cyanocobalamine) ne convient pas à la vitamine B 12 Test d'absorption (test de Schilling).

Dosage pour nascobal

La dose initiale recommandée de spray nasal NASCOBAL (cyanocobalamine) est un pulvérisation (500 mcg) administré dans une narine une fois par semaine. Le spray nasal Nascobal (cyanocobalamine) doit être administré au moins une heure avant ou une heure après l'ingestion d'aliments chauds ou de liquides. Surveillance périodique du sérum B 12 Les niveaux doivent être obtenus pour établir une adéquation de la thérapie.

Amorçage (activation) de la pompe

Avant la première dose et l'administration, la pompe doit être amorcée. Retirez le couvercle en plastique transparent et le clip de sécurité en plastique de la pompe. Pour amorcer la pompe, placez la buse entre le premier et le deuxième doigt avec le pouce sur le bas de la bouteille. Pomper l'unité fermement et rapidement jusqu'à la première apparence de pulvérisation. Puis amorcez la pompe 2 fois plus. Maintenant, le spray nasal est prêt à l'emploi. L'unité doit être rénovée avant chaque dose. Amorcer la pompe une fois Immédiatement avant chaque administration de doses 2 à 8.

Nascobal (Cyanocobalamin USP) Priming the pump - Illustration

Voir Tests de laboratoire pour la surveillance b 12 Niveaux et ajustement de la dose.

Comment fourni

Le spray nasal NASCOBAL (cyanocobalamine) est disponible sous forme de pulvérisation dans des bouteilles en verre de 3 ml contenant 2,3 ml de solution. Il est disponible en dose de 500 mcg par action (NULL,1 ml / actionnement). Un actionneur à vision est fourni. Cet actionneur suivant l'amorçage fournira 0,1 ml du spray. Le spray nasal Nascobal (cyanocobalamine) est fourni dans un carton contenant un actionneur de pulvérisation nasal avec un couvercle de poussière une bouteille de solution de pulvérisation nasale et un insert de colis. Une bouteille fournira 8 doses (NDC 67871-773-35).

Instructions d'assemblage des pharmaciens pour le spray nasal Nascobal (cyanocobalamine)

Le pharmacien doit assembler l'unité de pulvérisation nasale NASCOBAL (cyanocobalamine) avant de se dispenser au patient selon les instructions suivantes:

  1. Ouvrez le carton et retirez l'actionneur de pulvérisation et la bouteille de solution de pulvérisation.
  2. Assemblez le spray nasal Nascobal (cyanocobalamine) en dévissant d'abord le bouchon blanc de la bouteille de solution de pulvérisation et en vissant bien l'unité d'actionneur sur la bouteille. Assurez-vous que le couvercle de poussière clair est sur l'unité de pompe.
  3. Retournez le vaporisateur nasal Nascobal (cyanocobalamine) dans le carton pour se dispenser au patient.
Pharmacist Assembly Instructions For Nascobal Nasal Spray

Mfd. pour QOL Medical LLC
Kirland WA 98033 USA
1.866.469.3773
www.nascobal (cyanocobalamin) .com
3078 Rév. 02/06
FDA Rev Date: 15/09/2006

Effets secondaires pour nascobal

L'incidence des expériences indésirables décrites dans le tableau ci-dessous est basée sur les données d'un essai clinique à court terme en vitamine B 12 Patients déficients en rémission hématologique recevant un gel NASCOBAL (cyanocobalamine USP) pour l'administration intranasale (n = 24) et la vitamine B intramusculaire 12 (N = 25). Dans l'étude pharmacocinétique comparant le pulvérisation nasale nascobale (cyanocobalamine) et le gel nasal nascobal (cyanocobalamine), l'incidence des événements indésirables était similaire.

Tableau. Expériences indésirables par système corporel Nombre de patients et nombre d'occurrences par traitement après l'administration intramusculaire et intranasale de cyanocobalamine.

Nombre de patients (occurrences)
Système corporel Expérience défavorable Vitamine B 12
Gel nasal
500 mcg
N = 24
Intramusculaire
Vitamine B 12
100 mcg
N = 25
Le corps dans son ensemble Asthénie 1 (1) 4 (4)
Maux de dos 0 (0) 1 (1)
Douleur généralisée 0 (0) 2 (3)
Mal de tête 1 (2) * 5 (11)
Infection 3 (4) 3 (3)
Système cardiovasculaire Trouble vasculaire périphérique 0 (0) 1 (1)
Système digestif Dyspepsie 0 (0) 1 (2)
Glossite 1 (1) 0 (0)
Nausée 1 (1)* 1 (1)
Nausée & Vomissement 0 (0) 1 (1)
Vomissement 0 (0) 1 (1)
Système musculo-squelettique Arthrite 0 (0) 2 (2)
Myalgie 0 (0) 1 (1)
Système nerveux Démarche anormale 0 (0) 1 (1)
Anxiété 0 (0) 1 (1)*
Vertiges 0 (0) 3 (3)
Hypoesthésie 0 (0) 1 (1)
Incoordination 0 (0) 1 (2) *
Nervosité 0 (0) 1 (3) *
Paresthésie 1 (1) 1 (1)
Respiratoire Dyspnée 0 (0) 1 (1)
Système Rhinite 1 (1)* 2 (2)
a Mal de gorge commune rhume
* Il peut y avoir une relation possible entre ces expériences défavorables et les médicaments d'étude. Ces expériences défavorables auraient également pu être produites par l'état clinique du patient ou une autre thérapie concomitante.

L'intensité des expériences indésirables signalées après l'administration du gel NASCOBAL (cyanocobalamine USP) pour l'administration intranasale et la vitamine B intramusculaire 12 étaient généralement doux. Un patient a signalé des maux de tête sévères après un dosage intramusculaire. De même, quelques expériences indésirables d'intensité modérée ont été signalées après une possibilité intramusculaire (deux maux de tête et une rhinite; une arthrite et des étourdissements de la dyspepsie) et un dosage avec un gel NASCOBAL (cyanocobalamine USP) pour l'administration intranasale (une infection à la tête et la patesthésie).

La majorité des expériences indésirables signalées après le dosage avec un gel NASCOBAL (cyanocobalamine USP) pour l'administration intranasale et la vitamine B intramusculaire 12 ont été jugés comme des événements intercurrents. Pour les autres expériences défavorables signalées, la relation à l'étude de la drogue a été jugée comme possible ou éloignée. Des expériences indésirables jugées d'une relation possible avec l'incoordination et de la nervosité de l'anxiété du médicament 12 et des nausées et des nausées et de la rhinite ont été signalés après le dosage avec un gel NASCOBAL (cyanocobalamin USP) pour l'administration intranasale.

Les effets indésirables suivants ont été signalés avec la vitamine B parentérale 12 :

Généralisé: Choc anaphylactique et mort (voir Avertissements et PRÉCAUTIONS ).

Cardiovasculaire: Œdème pulmonaire et insuffisance cardiaque congestive au début du traitement; thrombose vasculaire périphérique.

Hématologique: Polycythémie vera.

Gastro-intestinal: Diarrhée transitoire légère.

Dermatologique: Démangeaison; exanthème transitoire.

Divers: Sentiment de gonflement de tout le corps.

Interactions médicamenteuses pour nascobal

Interactions de test de médicament / de laboratoire

Les personnes prenant la plupart des antibiotiques méthotrexate ou pyriméthamine invalident l'acide folique et la vitamine B 12 tests sanguins diagnostiques.

Colchicine para-aminosalicylique et une consommation lourde d'alcool pendant plus de 2 semaines peuvent produire de la malabsorption de la vitamine B 12 .

Bupropion HCl 75 mg Perte de poids

Avertissements for Nascobal

Les patients atteints de la maladie de Leber (atrophie du nerf optique héréditaire) qui ont été traitées avec de la vitamine B 12 a subi une atrophie optique grave et rapide.

Une hypokaliémie et une mort subite peuvent survenir dans une anémie mégaloblastique sévère qui est traitée intensément avec de la vitamine B 12 . L'acide folique ne remplace pas la vitamine B 12 Bien qu'il puisse améliorer la vitamine B 12 -Anémie mégaloblastique déficiente. Utilisation exclusive de l'acide folique dans le traitement de la vitamine B 12 -La anémie mégaloblastique déficiente pourrait entraîner des dommages neurologiques progressifs et irréversibles.

Un choc anaphylactique et une mort ont été signalés après la vitamine B parentérale 12 administration. Aucune réaction de ce type n'a été rapportée dans les essais cliniques avec un pulvérisation nasale nascobale (cyanocobalamine) ou un gel nasal nascobal (cyanocobalamine).

Réponse thérapeutique émoussée ou entravée à la vitamine B 12 Peut être dû à des conditions telles que les médicaments d'urémie infectés ayant des propriétés de suppresseur de moelle osseuse telles que le chloramphénicol et la carence en acide folique ou en acide folique simultanée.

Précautions for Nascobal

Général

Une dose de test intradermique de vitamine B parentérale 12 est recommandé avant que le spray nasal NASCOBAL (cyanocobalamine) ne soit administré aux patients soupçonnés de sensibilité à la cyanocobalamine. Vitamine B 12 La carence qui est autorisée à progresser pendant plus de trois mois peut produire des lésions dégénératives permanentes de la moelle épinière. Les doses d'acide folique supérieures à 0,1 mg par jour peuvent entraîner une rémission hématologique chez les patients atteints de vitamine B 12 carence. Neurologic manifestations will not be prevented with folic acid et if not treated with vitamin B 12 Des dommages irréversibles en résulteront.

Doses de vitamine B 12 Le dépassement de 10 mcg par jour peut produire une réponse hématologique chez les patients atteints de carence en folate. L'administration aveugle peut masquer le véritable diagnostic.

La validité de la vitamine B diagnostique 12 ou les tests sanguins d'acide folique pourraient être compromis par les médicaments et cela doit être pris en compte avant de s'appuyer sur de tels tests de thérapie.

Vitamine B 12 n'est pas un substitut à l'acide folique et car il pourrait améliorer l'anémie mégaloblastique déficiente en acide folique 12 pourrait masquer le vrai diagnostic.

L'hypokaliémie et la thrombocytose peuvent se produire lors de la conversion de mégaloblastique sévère en érythropoïèse normale avec de la vitamine B 12 thérapie. Par conséquent, les taux sériques de potassium et le nombre de plaquettes doivent être surveillés soigneusement pendant le traitement.

Vitamine B 12 La carence peut supprimer les signes de la polycythémie vera. Traitement avec de la vitamine B 12 peut démasquer cette condition.

Si un patient n'est pas correctement maintenu avec la vitamine intramusculaire nasale NASCOBAL® (cyanocobalamine) 12 est nécessaire pour un traitement adéquat du patient. Aucun régime unique ne correspond à tous les cas et l'état du patient observé dans le suivi est le critère final de l'adéquation du traitement.

L'efficacité du spray nasal nascobal (cyanocobalamine) chez les patients atteints de rhinite allergique de congestion nasale et d'infections respiratoires supérieures n'a pas été déterminée. Par conséquent, le traitement avec le spray nasal NASCOBAL (cyanocobalamine) doit être différé jusqu'à ce que les symptômes se soient calmés.

Tests de laboratoire

Les réticulocytes hématocrit comptes de vitamine B 12 Les niveaux de folate et de fer doivent être obtenus avant le traitement. Si les niveaux de folate sont faibles d'acide folique doivent également être administrés. Tous les paramètres hématologiques doivent être normaux lors du début du traitement avec un spray nasal NASCOBAL® (cyanocobalamine).

Vitamine B 12 Les taux sanguins et les numéros sanguins périphériques doivent être surveillés initialement à un mois après le début du traitement avec un spray nasal NASCOBAL® (cyanocobalamine), puis à des intervalles de 3 à 6 mois.

Une baisse des taux sériques de b 12 Après un mois de traitement avec b 12 Le spray nasal peut indiquer que la dose peut devoir être ajustée vers le haut. Les patients doivent être vus un mois après chaque ajustement de dose; continu de faibles niveaux de sérum b 12 peut indiquer que le patient n'est pas candidat pour ce mode d'administration.

Les patients atteints d'anémie pernicieuse ont environ 3 fois l'incidence du carcinome de l'estomac comme dans la population générale, donc des tests appropriés pour cette condition doivent être effectués lorsqu'ils sont indiqués.

Carcinogenèse Mutagenèse A trouble de la fertilité

Des études à long terme chez les animaux pour évaluer le potentiel cancérigène n'ont pas été effectuées. Il n'y a aucune preuve d'une utilisation à long terme chez les patients atteints d'anémie pernicieuse que la vitamine B 12 est cancérigène. L'anémie pernicieuse est associée à une incidence accrue de carcinome de l'estomac, mais cela serait lié à la pathologie sous-jacente et non au traitement avec de la vitamine B 12 .

Grossesse

Grossesse Category C: Animal reproduction studies have not been conducted with vitamin B 12 . On ne sait pas non plus si la vitamine B 12 peut causer un préjudice fœtal lorsqu'il est administré à une femme enceinte ou peut affecter la capacité de reproduction. Des études adéquates et bien contrôlées n'ont pas été menées chez les femmes enceintes. Cependant la vitamine B 12 est une vitamine essentielle et les exigences sont augmentées pendant la grossesse. Quantités de vitamine B 12 qui sont recommandés par le Food and Nutrition Board Academy of Science - le Conseil national de recherche pour les femmes enceintes devrait être consommée pendant la grossesse.

Mères qui allaitent

Vitamine B 12 apparaît dans le lait des mères qui allaitent à des concentrations qui se rapprochent de la vitamine B de la mère 12 Niveau sanguin. Quantités de vitamine B 12 qui sont recommandés par le Food and Nutrition Board Academy of Science-National Research Council pour les femmes allaitants devraient être consommés pendant la lactation.

Usage pédiatrique

L'apport chez les patients pédiatriques devrait être en montant recommandé par le Conseil national de la recherche nationale de la recherche nationale de la National Academy of Science.

Polyéthylène glycol propylène glycol gouttes pour les yeux

Veuillez également voir Informations sur les patients

Informations sur la surdose pour Nascobal

Aucun surdosage n'a été signalé avec le gel nasal nasal nasal (cyanocobalamine USP) pour l'administration intranasale ou la vitamine B parentérale 12 .

Contre-indications pour nascobal

Sensibilité au cobalt et / ou à la vitamine B 12 ou tout composant du médicament est une contre-indication.

Pharmacologie clinique for Nascobal

Général Pharmacology And Mechanism Of Action

Vitamine B 12 est essentiel à l'hématopoïèse de la reproduction des cellules de croissance et à la synthèse des nucléoprotéines et de la myéline. Les cellules caractérisées par une division rapide (par exemple les cellules épithéliales cellules myéloïdes de la moelle osseuse) semblent avoir la plus grande exigence de vitamine B 12 . Vitamine

B 12 peut être converti en coenzyme b 12 Dans les tissus et en tant que tels, est essentiel pour la conversion du méthylmalonate en succina et en synthèse de la méthionine de l'homocystéine une réaction qui nécessite également un folate. En l'absence de coenzyme b 12 Le tétrahydrofolate ne peut pas être régénéré à partir de sa forme de stockage inactive 5-méthyltétrahydrofolate et une carence fonctionnelle en folate se produit. Vitamine B 12 Peut également être impliqué dans le maintien des groupes sulfhydryle (SH) sous la forme réduite requise par de nombreux systèmes enzymatiques activés par SH. À travers ces réactions de la vitamine B 12 est associé au métabolisme des graisses et des glucides et de la synthèse des protéines. Vitamine B 12 La carence entraîne des lésions GI et des dommages neurologiques qui commencent par une incapacité à produire de la myéline et sont suivis d'une dégénérescence progressive de l'axone et de la tête nerveuse.

La cyanocobalamine est la forme la plus stable et la plus utilisée de vitamine B 12 et has hematopoietic activity apparently identical to that of the antianemia factor in purified liver extract. The information below describing the clinical pharmacology of cyanocobalamine has been derived from studies with injectable vitamin B 12 .

Vitamine B 12 est absorbé quantitativement et rapidement des sites intramusculaires et sous-cutanés d'injection. Il est lié aux protéines plasmatiques et stocké dans le foie. Vitamine B 12 est excrété dans la bile et subit un recyclage entérohépatique. Vitamine B absorbée 12 est transporté via un b spécifique 12 Les protéines de liaison transcobalamine I et II aux différents tissus. Le foie est l'organe principal de la vitamine B 12 stockage.

Administration parentérale (intramusculaire) de vitamine B 12 inverse complètement l'anémie mégaloblastique et les symptômes gastro-intestinaux de la vitamine B 12 carence; Le degré d'amélioration des symptômes neurologiques dépend de la durée et de la gravité des lésions, bien que la progression des lésions soit immédiatement arrêtée.

Absorption gastro-intestinale de la vitamine B 12 Cela dépend de la présence de facteurs intrinsèques suffisants et d'ions calcium. Une carence en facteur intrinsèque provoque une anémie pernicieuse qui peut être associée à une dégénérescence combinée subaiguë de la moelle épinière. Administration parentérale rapide de la vitamine B 12 empêche la progression des dommages neurologiques.

La régime alimentaire moyen fournit environ 4 à 15 mcg / jour de vitamine B 12 sous une forme liée aux protéines qui est disponible pour l'absorption après une digestion normale. Vitamine B 12 n'est pas présent dans les aliments d'origine végétale mais est abondant dans les aliments d'origine animale. Chez les personnes présentant des carences d'absorption normales, n'ont été signalées que chez des végétariens stricts qui ne consomment aucun produit d'origine animale (notamment pas de produits laitiers ni d'œufs).

Vitamine B 12 est lié à un facteur intrinsèque pendant le transit à travers l'estomac; La séparation se produit dans l'iléon terminal en présence de calcium et de vitamine B 12 entre dans la cellule muqueuse pour l'absorption. Il est ensuite transporté par les protéines de liaison de la transcobalamine. Une petite quantité (environ 1% de la quantité totale ingérée) est absorbée par une simple diffusion mais ce mécanisme n'est adéquat qu'avec de très grandes doses. L'absorption orale est considérée comme trop indépendable pour compter chez les patients atteints d'anémie pernicieuse ou d'autres conditions entraînant une malabsorption de la vitamine B 12 .

Colchicine para-aminosalicylique et une consommation lourde d'alcool pendant plus de 2 semaines peuvent produire de la malabsorption de la vitamine B 12 .

Pharmacocinétique

Absorption

Une étude croisée à trois voies sur 25 sujets sains à jeun a été mené pour comparer la biodisponibilité du b 12 pulvérisation nasale au b 12 gel nasal et évaluer la biodisponibilité relative des formulations nasales par rapport à l'injection intramusculaire. Les concentrations maximales après administration de pulvérisation intranasale ont été atteintes en 1,25 / - 1,9 heures. La concentration maximale moyenne de b 12 Obtenu après la correction de base après l'administration de pulvérisation intranasale était de 757,96 / - 532.17 pg / ml. La biodisponibilité du spray nasal par rapport à l'injection intramusculaire s'est avérée être de 6,1%. La biodisponibilité du b 12 Le spray nasal s'est avéré être de 10% de moins que le b 12 gel nasal. Les intervalles de confiance à 90% pour l'ASC transformé par LOGE (0-T) et Cmax was 71.71% - 114.19% et 71.6% - 118.66% respectively.

Chez les patients anémiques pernicieux une fois hebdomadaire dose intranasal avec 500 mcg b 12 le gel a entraîné une augmentation constante du sérum pré-dose b 12 niveaux pendant un mois de traitement (P <0.003) above that seen one month after 100 mcg intramuscular dose (Figure).

Distribution

Dans le sang B 12 est lié à la transcobalamine II une protéine de porteuse B-globuline spécifique et est distribuée et stockée principalement dans le foie et la moelle osseuse.

Élimination

Environ 3-8 mcg de b 12 est sécrété quotidiennement dans le tractus gastro-intestinal via la bile; Chez les sujets normaux avec un facteur intrinsèque suffisant, tout sauf environ 1 mcg est réabsorbé. Quand b 12 est administré à des doses qui saturent la capacité de liaison des protéines plasmatiques et du foie le non lié B 12 est rapidement éliminé dans l'urine. Rétention de B 12 dans le corps est dose-dépendante. Environ 80 à 90% d'une dose intramusculaire jusqu'à 50 mcg est conservée dans le corps; Ce pourcentage tombe à 55% pour une dose de 100 mcg et diminue à 15% lorsqu'une dose de 1000 mcg est donnée.

Nascobal (Cyanocobalamin USP) Vitamine B <sub> 12 </sub>  Taux de creux sérique après une solution intramusculaire (IM) de 100 mcg et un gel nasal (IN) de 500 mcg de cyanocobalamine après des doses hebdomadaires.
Chiffre. Vitamine B 12 Taux de creux sérique après une solution intramusculaire (IM) de 100 mcg et un gel nasal (IN) de 500 mcg de cyanocobalamine après des doses hebdomadaires.

Chiffre. Vitamine B 12 Taux de creux sérique après une solution intramusculaire (IM) de 100 mcg et un gel nasal (IN) de 500 mcg de cyanocobalamine après des doses hebdomadaires.

Informations sur les patients pour nascobal

Les patients atteints d'anémie pernicieuse doivent être informés qu'ils auront besoin d'une administration intranasale hebdomadaire de spray nasal nascobal (cyanocobalamine) pour le reste de leur vie. Ne pas le faire entraînera le retour de l'anémie et le développement de dommages incapable et irréversibles aux nerfs de la moelle épinière. Les patients doivent également être avertis du danger de prendre de l'acide folique à la place de la vitamine B 12 Parce que la première peut empêcher l'anémie mais permettre la progression de la dégénérescence combinée subaiguë de la moelle épinière.

(Les aliments chauds peuvent provoquer des sécrétions nasales et une perte de médicaments qui en résulte; donc les patients doivent être informés d'administrer un spray nasal nascobal (cyanocobalamine) au moins une heure avant ou une heure après l'ingestion d'aliments chauds ou de liquides).

Un régime végétarien qui ne contient pas de produits d'origine animale (y compris des produits laitiers ou des œufs) ne fournit aucune vitamine B 12 . Par conséquent, les patients suivant un tel régime doivent être invités à prendre un spray nasal Nascobal (cyanocobalamine) chaque semaine. Le besoin de vitamine B 12 est augmenté par la grossesse et la lactation. La carence a été reconnue chez les nourrissons de mères végétariennes alimentées par le sein, même si les mères n'avaient aucun symptôme de carence à l'époque.

Parce que les formes de dose nasale de vitamine B 12 Avoir une absorption plus faible que les formes de dosage nasale de dose intramusculaire sont administrées chaque semaine plutôt que la dose intramusculaire mensuelle. Comme le montre la figure ci-dessus au bout d'un mois, l'administration nasale hebdomadaire entraîne une vitamine B sérique significativement plus élevée 12 niveaux qu'après l'administration intramusculaire. Le patient doit également comprendre l'importance de revenir pour les tests sanguins de suivi tous les 3 à 6 mois pour confirmer l'adéquation de la thérapie.

Des instructions minutieuses sur l'assemblage de l'actionneur suppriment l'amorçage des clips de sécurité de l'actionneur et l'administration nasale de spray nasal nascobal (cyanocobalamine) doivent être administrés au patient. Bien que les instructions pour les patients soient fournies avec des bouteilles individuelles des procédures d'utilisation doivent être démontrées à chaque patient.

Conditions de stockage

Protéger de la lumière. Gardez couvert de carton jusqu'à ce qu'il soit prêt à l'emploi. Stocker la droite à température ambiante contrôlée de 15 ° C à 30 ° C (59 ° F à 86 ° F). Protéger contre le gel.