Les Informations Présentées Sur Ce Site Ne Constituent Pas Un Avis Médical. Nous Ne Vendons Rien. L'Exactitude De La Traduction N'Est Pas Garantie. Clause De Non-Responsabilité



Tanzém

Résumé

Qu'est-ce que Tanzeum?

Le stylo tanzéum (albiglutide) pour l'injection pour une utilisation sous-cutanée est un agoniste du récepteur GLP-1 Une protéine de fusion recombinante utilisée comme complément du régime alimentaire et de l'exercice pour améliorer le contrôle glycémique chez les adultes atteints de diabète de type 2.

Quels sont les effets secondaires de Tanzeum?

Les effets secondaires courants de Tanzeum comprennent:



  • diarrhée
  • nausée
  • Réactions du site d'injection (comme les démangeaisons des démangeaisons de la rougeur des éruptions)
  • toux
  • maux de dos
  • douleurs articulaires
  • diarrhée
  • infection des sinus ( sinusite )
  • infections des voies respiratoires supérieures
  • vomissement
  • indigestion/ brûlures d'estomac et
  • symptômes de rhume ou de grippe.

Posologie pour tanzeum

La dose recommandée de tanzeum est de 30 mg une fois par semaine donnée comme injection sous-cutanée dans la cuisse de l'abdomen ou le haut du bras. La posologie peut être augmentée à 50 mg une fois par semaine si la réponse glycémique est inadéquate.



Quelles substances de médicaments ou suppléments interagissent avec Tanzeum?

Le tanzeua peut affecter l'absorption des médicaments pris par voie orale en même temps. Il peut interagir avec d'autres médicaments. Dites à votre médecin tous les médicaments et suppléments que vous utilisez.

Tanzeum pendant la grossesse ou l'allaitement

Le tanzeum n'est généralement pas recommandé pour une utilisation pendant la grossesse. En raison de la longue période de lavage pour les patients en tanzeum, devrait envisager d'arrêter le médicament au moins 1 mois avant une grossesse prévue. On ne sait pas si ce médicament passe dans le lait maternel, mais il peut être possible et pourrait entraîner une diminution du poids corporel des nourrissons infirmiers. Consultez votre médecin avant l'allaitement.



Informations Complémentaires

Notre stylo de tanzeum (albiglutide) pour l'injection pour le centre de médicaments à effets secondaires à usage sous-cutané offre une vue complète des informations sur les médicaments disponibles sur les effets secondaires potentiels lors de la prise de ce médicament.

Informations sur les médicaments de la FDA

AVERTISSEMENT

Risque de tumeurs de cellules C thyroïdes

  • La cancérogénicité de l'albiglutide n'a pas pu être évaluée chez les rongeurs, mais d'autres agonistes des récepteurs du peptide-1 de type glucagon (GLP-1) ont provoqué des tumeurs de cellules C thyroïdes chez les rongeurs lors d'expositions cliniquement pertinentes. La pertinence humaine des tumeurs des cellules C induite par les récepteurs GLP-1 chez les rongeurs n'a pas été déterminée. On ne sait pas si le tanzeum provoque des tumeurs thyroïdiennes Cell, y compris le carcinome médullaire de la thyroïde (MTC) chez l'homme [voir les avertissements et PRÉCAUTIONS Toxicologie non clinique ].
  • Le tanzeum est contre-indiqué chez les patients ayant des antécédents personnels ou familiaux de MTC ou chez les patients atteints du syndrome de néoplasie endocrinienne multiple de type 2 (hommes 2). Conseiller les patients concernant le risque potentiel de MTC avec l'utilisation du tanzeum et les informer des symptômes des tumeurs thyroïdiennes (par exemple, la masse dans la dysphagie du cou dyspnée enrouée persistante). La surveillance routine de la calcitonine sérique ou l'utilisation de la surveillance des échographies thyroïdiennes est d'une valeur incertaine pour la détection précoce du MTC chez les patients traités par tanzeum [voir Contre-indications AVERTISSEMENTS AND PRÉCAUTIONS ].

Description de Tanzeum

Tanzeum est un agoniste du récepteur GLP-1 Une protéine de fusion recombinante composée de 2 copies en tandem du GLP-1 humain modifié génétiquement fusionné en tandem à l'albumine humaine. La séquence de fragments GLP-1 humaine 7 à 36 a été modifiée avec une glycine substituée à l'alanine naturelle à la position 8 afin de conférer une résistance à la protéolyse médiée par la dipeptidylpeptidase IV (DPP-IV). La fraction de l'albumine humaine de la protéine de fusion recombinante ainsi que la résistance DPP-IV étendent la demi-vie permettant un dosage une fois par semaine. Le tanzeum a un poids moléculaire de 72970 daltons.

Le tanzeum est produit par une souche de Saccharomyces cerevisiae modifiée pour exprimer la protéine thérapeutique.

Un stylo tanzeum de 30 mg pour l'injection (pour une utilisation sous-cutanée) contient 40,3 mg d'albiglutide lyophilisé et 0,65 ml d'eau pour le diluant d'injection conçu pour fournir une dose de 30 mg dans un volume de 0,5 ml après reconstitution.

Un stylo tanzeum de 50 mg pour l'injection (pour une utilisation sous-cutanée) contient 67 mg d'albiglutide lyophilisé et 0,65 ml d'eau pour un diluant d'injection conçu pour fournir une dose de 50 mg dans un volume de 0,5 ml après la reconstitution.

La poudre lyophilisée des deux forces de dose est de couleur blanche à jaune et le solvant est une solution claire et incolore. La solution reconstituée est de couleur jaune.

Les ingrédients inactifs comprennent 153 mm de mannitol 0,01% (p / p) de polysorbate de sodium à 80 mM de phosphate de sodium et de dihydrate de tréhalose 117 mM. Tanzeum ne contient pas de conservateur.

Utilisations pour Tanzeum

Le tanzeu est indiqué comme un complément du régime et de l'exercice pour améliorer le contrôle glycémique chez les adultes atteints de type 2 diabète sucré [voir Études cliniques ].

Limitations d'utilisation

  • Le tanzeu n'est pas recommandé comme traitement de première intention pour les patients contrôlés de manière insuffisante sur l'alimentation et l'exercice en raison de la pertinence incertaine des résultats des tumeurs des cellules C des rongeurs pour l'homme. Prescrire du tanzeum uniquement aux patients pour lesquels les avantages potentiels sont considérés comme l'emportent sur le risque potentiel [voir AVERTISSEMENTS AND PRÉCAUTIONS ].
  • Le tanzé n'a pas été étudié chez des patients ayant des antécédents de pancréatite [voir AVERTISSEMENTS AND PRÉCAUTIONS ]. Consider other antidiabetic therapies in patients with a hisàry of pancreatitis.
  • Le tanzeume n'est pas indiqué dans le traitement des patients atteints de diabète sucré de type 1 ou pour le traitement des patients atteints de cétoacidose diabétique. Le tanzeum ne remplace pas l'insuline chez ces patients.
  • Le tanzeume n'a pas été étudié chez des patients atteints d'une maladie gastro-intestinale sévère, y compris une gastroparésie sévère. L'utilisation de tanzeum n'est pas recommandée chez les patients atteints d'une maladie gastro-intestinale grave préexistante [voir Effets indésirables ].
  • Le tanzeu n'a pas été étudié en combinaison avec l'insuline prandiale.

Posologie pour tanzeum

Dosage

La dose recommandée de tanzeum est de 30 mg une fois par semaine donnée comme injection sous-cutanée dans la cuisse de l'abdomen ou le haut du bras. La posologie peut être augmentée à 50 mg une fois par semaine si la réponse glycémique est inadéquate.

Tanzeum peut être administré à tout moment de la journée sans égard aux repas. Demandez aux patients d'administrer un tanzeum une fois par semaine le même jour chaque semaine. Le jour de l'administration hebdomadaire peut être modifié si nécessaire tant que la dernière dose a été administrée 4 jours ou plus auparavant.

Si une dose est manquée, demandez aux patients d'administrer dès que possible dans les 3 jours suivant la dose manquée. Par la suite, les patients peuvent reprendre le dosage de leur jour d'administration habituel. Si c'est plus de 3 jours après la dose manquée, demandez aux patients d'attendre leur prochaine dose hebdomadaire régulière.

Utilisation concomitante avec un sécrétagogue d'insuline (par exemple sulfonylurée) ou avec l'insulin

Lors du début du tanzeum, envisagez de réduire le dosage des sécrétagogues d'insuline administrés concomitants (par exemple les sulfonylures) ou l'insuline pour réduire le risque de risque de hypoglycémie [voir AVERTISSEMENTS AND PRÉCAUTIONS ].

Dosage In Patients souffrant de troubles rénaux

Aucun ajustement de dose n'est nécessaire chez les patients atteints d'une insuffisance rénale modérée légère ou sévère (EGFR 15 à 89 ml / min / 1,73 m²). Faire preuve de prudence lors de l'initiation ou de l'escalade de doses de tanzeum chez les patients souffrant de troubles rénaux. Surveiller la fonction rénale chez les patients souffrant de troubles rénaux signalant des réactions gastro-intestinales défavorables sévères [voir AVERTISSEMENTS AND PRÉCAUTIONS Utiliser dans des populations spécifiques ].

Reconstitution de la poudre lyophilisée

La poudre lyophilisée contenue dans le stylo doit être reconstituée avant l'administration. Voir les instructions du patient à utiliser pour les instructions d'administration complètes avec des illustrations. Les instructions peuvent également être trouvées sur www.tanzeum.com. Instruire les patients comme suit:

Reconstitution du stylo
  1. Tenez le corps du stylo avec la cartouche claire pointant vers le haut pour voir le [1] dans la fenêtre du numéro.
  2. Pour reconstituer la poudre lyophilisée avec le diluant dans le stylo tord la cartouche transparente sur le stylo dans le sens de la flèche jusqu'à ce que le stylo soit ressenti / entendu pour cliquer en place et que le [2] est vu dans la fenêtre numérique. Cela mélange le diluant avec la poudre lyophilisée.
  3. Rockez lentement et doucement le stylo à côté 5 fois pour mélanger la solution reconstituée de tanzeum. Conseillez au patient de ne pas secouer le stylo dur pour éviter de mousser.
  4. Attendez 15 minutes pour le stylo de 30 mg et 30 minutes pour le stylo de 50 mg pour vous assurer que la solution reconstituée est mélangée.
  5. Préparer le stylo à l'injection
  6. Rockez lentement et doucement le stylo côté à côté 5 fois plus pour mélanger la solution reconstituée.
  7. Inspectez visuellement la solution reconstituée dans la fenêtre de visualisation pour les particules. La solution reconstituée sera de couleur jaune. Après reconstitution, utilisez du tanzeum dans les 8 heures.
  8. Tenser le stylo droit attacher l'aiguille à la stylo en la poussant directement vers le bas jusqu'à ce qu'il y ait un clic et que l'aiguille se précipite en place. Appuyez doucement sur la cartouche transparente pour amener de grandes bulles au sommet.

Voir Posologie et administration Pour les instructions d'administration importantes, y compris la procédure d'injection.

Méthode alternative de reconstitution (utilisation professionnelle des soins de santé uniquement)

Les instructions du patient à utiliser fournissent des instructions pour que le patient attende 15 minutes pour le stylo de 30 mg et 30 minutes pour le stylo de 50 mg après la poudre lyophilisée et le diluant sont mélangés pour assurer la reconstitution.

Les professionnels de la santé peuvent utiliser la méthode alternative de reconstitution suivante. Parce que cette méthode repose sur le tourbillon approprié et l'inspection visuelle de la solution, elle ne doit être effectuée que par des professionnels de la santé.

  1. Suivez l'étape A (inspectez votre stylo et mélangez votre médicament) dans les instructions à utiliser. Assurez-vous d'avoir:
    • Inspecté le stylo pour [1] dans la fenêtre numérique et la date d'expiration.
    • Twiste la cartouche transparente jusqu'à ce que [2] apparaisse dans la fenêtre numérique et qu'un clic est entendu. Cela combine la poudre de médicament et le liquide dans la cartouche claire.
  2. Tenez le stylo avec la cartouche claire pointant vers le haut et maintenez cette orientation tout au long de la reconstitution.
  3. Souit doucement le stylo en petits mouvements circulaires pendant au moins une minute. Évitez de trembler car cela peut entraîner un moussage qui peut affecter la dose.
  4. Inspectez la solution et si nécessaire, continuez à tourbillonner doucement le stylo jusqu'à ce que toute la poudre soit dissoute et que vous voyez une solution jaune claire sans particules. Une petite quantité de mousse au-dessus de la solution à la fin de la reconstitution est normale.
    • Pour le stylo de 30 mg: la dissolution complète se produit généralement en 2 minutes mais peut prendre jusqu'à 5 minutes comme confirmé par inspection visuelle pour une solution jaune claire exempte de particules.
    • Pour le stylo à 50 mg: la dissolution complète se produit généralement en 7 minutes mais peut prendre jusqu'à 10 minutes.
  5. Après reconstitution, continuez à suivre les étapes des instructions d'utilisation à partir de l'étape B: attachez l'aiguille.

Instructions d'administration importantes

Instruire les patients comme suit:

  • Le stylo doit être utilisé dans les 8 heures suivant la reconstitution avant de fixer l'aiguille.
  • Après avoir fixé l'aiguille fournie, retirez les bulles d'air en tordant lentement le stylo jusqu'à ce que vous voyiez le [3] dans la fenêtre numérique. Dans le même temps, le bouton d'injection sera automatiquement libéré du bas du stylo.
  • Utilisez immédiatement une fois que l'aiguille est fixée et amorcée. Le produit peut obstruer l'aiguille s'il est autorisé à sécher dans l'aiguille amorcée.
  • Après avoir inséré par voie sous-cutanée l'aiguille dans la peau dans la cuisse de l'abdomen ou la région du haut du bras, appuyez sur le bouton d'injection. Maintenez le bouton d'injection jusqu'à ce que vous entendiez un clic, puis maintenez le bouton pendant 5 secondes supplémentaires pour livrer la dose complète.

Lorsque vous utilisez du tanzeum avec l'insuline, demandez aux patients d'administrer comme injections séparées et de ne jamais mélanger les produits. Il est acceptable d'injecter du tanzeum et de l'insuline dans la même région du corps, mais les injections ne doivent pas être adjacentes les unes aux autres.

Lors de l'injection dans la même région du corps conseille aux patients d'utiliser un site d'injection différent chaque semaine. Le tanzé ne doit pas être administré par voie intraveineuse ou intramusculaire.

Comment fourni

Dosage Forms And Strengths

Tanzeum est fourni comme suit:

  • Pour l'injection: poudre lyophilisée de 30 mg dans un stylo à dose unique (injecteur du stylo) pour reconstitution.
  • Pour l'injection: poudre lyophilisée 50 mg dans un stylo à dose unique (injecteur du stylo) pour la reconstitution.

Tanzém est disponible dans les forces et la taille des emballages suivants:

30 mg stylo à dose unique ( NDC 0173-0866-01):

Carton de 4 (contenant quatre aiguilles minces de 5 mm de calibre 29): NDC 0173-0866-35

50 mg stylo à dose unique ( NDC 0173-0867-01):

Carton de 4 (contenant quatre aiguilles minces de 5 mm de calibre 29): NDC 0173-0867-35

Stockage et manipulation

  • Avant la distribution: stocker les stylos au réfrigérateur à 36 ° F à 46 ° F (2 ° C à 8 ° C). Les stylos peuvent être stockés au réfrigérateur jusqu'à la date d'expiration.
  • DISPOSSION SUIVANCE: Conservez les stylos au réfrigérateur à 36 ° F à 46 ° F (2 ° C à 8 ° C). Les patients peuvent stocker des stylos à température ambiante pour ne pas dépasser 86 ° F (30 ° C) jusqu'à 4 semaines avant utilisation. Stockez les stylos dans le carton d'origine jusqu'à utiliser.
  • Ne congelez pas.
  • N'utilisez pas après la date d'expiration.
  • Utilisez dans les 8 heures suivant la reconstitution.

Fabriqué par GlaxoSmithKline LLC Wilmington de 19808 U.S. Lic. N ° 1727 commercialisé par GlaxoSmithKline Research Triangle Park NC 27709.

Effets secondaires pour Tanzeum

Les réactions graves suivantes sont décrites ci-dessous ou ailleurs dans les informations de prescription:

  • Risque de tumeurs thyroïdiennes Cell [voir AVERTISSEMENTS AND PRÉCAUTIONS ]
  • Pancréatite aiguë [voir AVERTISSEMENTS AND PRÉCAUTIONS ]
  • Hypoglycémie avec une utilisation concomitante de sécrétagogues d'insuline ou d'insuline [voir AVERTISSEMENTS AND PRÉCAUTIONS ]
  • Réactions d'hypersensibilité [voir AVERTISSEMENTS AND PRÉCAUTIONS ]
  • Trouble rénal [voir AVERTISSEMENTS AND PRÉCAUTIONS ]

Expérience des essais cliniques

Étant donné que les essais cliniques sont menés dans des conditions de réaction indésirables très variables observées dans les essais cliniques d'un médicament ne peuvent pas être directement comparées aux taux dans les essais cliniques d'un autre médicament et ne peuvent pas refléter les taux observés dans la pratique.

Piscine d'essais contrôlés par placebo

Les données du tableau 1 sont dérivées de 4 essais contrôlés par placebo. Tanzeum a été utilisé comme monothérapie dans 1 essai et comme traitement complémentaire dans 3 essais [voir Études cliniques ]. Ces données reflètent l'exposition de 923 patients au tanzeum et une durée moyenne d'exposition à un tanzeum de 93 semaines. L'âge moyen des participants était de 55 ans 1% des participants étaient de 75 ans ou plus et 53% des participants étaient des hommes. La population de ces études était à 48% blanche 13% africaine / afro-américaine 7% asiatique et 29% hispanique / latino. Au départ, la population avait un diabète de type 2 pendant une moyenne de 7 ans et avait un HbA1c moyen de 8,1%. Au départ, 17% de la population de ces études a signalé une neuropathie périphérique et 4% ont signalé une rétinopathie. La fonction rénale estimée de base était normale ou légèrement altérée (EGFR> 60 ml / min / 1,73 m²) dans 91% de la population d'étude et modérément altérée (EGFR 30 à 60 ml / min / 1,73 m²) dans 9%.

Le tableau 1 montre des réactions indésirables courantes à l'exclusion de l'hypoglycémie associée à l'utilisation de tanzeum dans le pool d'essais contrôlés par placebo. Ces effets indésirables n'étaient pas présents au départ se sont produits plus souvent sur le tanzeum que sur le placebo et se sont produits chez au moins 5% des patients traités par tanzeum.

Tableau 1: réactions indésirables dans les essais contrôlés par placebo rapportés chez ≥ 5% des patients traités par tanzeum a

Réaction indésirable Placebo
(n = 468)%
Tanzém
(n = 923)%
Infection des voies respiratoires supérieures 13.0 14.2
Diarrhée 10.5 13.1
Nausée 9.6 11.1
Réaction du site d'injection b 2.1 10.5
Toux 6.2 6.9
Maux de dos 5.8 6.7
Arthralgie 6.4 6.6
Sinusite 5.8 6.2
Grippe 3.2 5.2
a Les effets indésirables rapportés incluent ceux qui se produisent avec l'utilisation de médicaments de sauvetage glycémique qui comprenaient la metformine (17% pour le placebo et 10% pour le tanzeum) et l'insuline (24% pour le placebo et 14% pour le tanzeum).
b Voir below for other events of injection site reactions reported.
Effets indésirables gastro-intestinaux

Dans le pool d'essais contrôlés par placebo, les plaintes gastro-intestinales se sont produites plus fréquemment chez les patients recevant du tanzeum (39%) que les patients recevant un placebo (33%). En plus de la diarrhée et des nausées (voir le tableau 1) Les réactions indésirables gastro-intestinales suivantes se sont également produites plus fréquemment chez les patients recevant du tanzeum: vomissements (NULL,6% contre 4,2% pour le placebo contre tanzeum) Reflux gastro -ophagien (NULL,9% contre 3,5% pour le placebo-tanzez) et la dyspepsie (NULL,8% versus pour le placebo versus versus) et la dyspepsie. La constipation a également contribué aux réactions fréquemment rapportées. Dans le groupe traité avec des chercheurs de tanzeum, a classé la gravité des réactions gastro-intestinales comme légère dans 56% des cas modérés dans 37% des cas et graves dans 7% des cas. L'arrêt dus à des effets indésirables gastro-intestinaux s'est produit chez 2% des individus sur tanzeum ou placebo.

Réactions du site d'injection

Dans la piscine des essais contrôlés par placebo, les réactions du site d'injection se sont produites plus fréquemment sur le tanzeum (18%) que sur le placebo (8%). En plus du terme réaction du site d'injection (voir tableau 1) Les autres types de réactions de site d'injection suivants se sont également produites plus fréquemment sur le tanzeum: site d'injection hématome (NULL,9% contre 2,1% pour le placebo versus tanzeum) site d'injection érythème (NULL,4% contre 1,7% pour le site d'injection du placebo contre tanzeum) (0% contre 1,4% pour le placebo contre tanzéum) Hypersensibilité du site d'injection (0% contre 0,8% pour le placebo versus tanzo) et le site d'injection Hemorragage (NULL,6% versus 0,7 pour le Placebo-Ban). Le prurit du site d'injection a également contribué aux réactions fréquemment rapportées. La majorité des réactions du site d'injection ont été jugées légères par les enquêteurs dans les deux groupes (73% pour le tanzeum contre 94% pour le placebo). Plus de patients sur le tanzeut que sur le placebo: interrompu en raison d'une réaction du site d'injection (2% contre 0,2%) ont connu plus de 2 réactions (38% contre 20%) avaient une réaction jugée par les chercheurs pour être modérée ou sévère (27% contre 6%) et nécessité un traitement local ou systémique pour les réactions (36% contre 11%).

Piscine d'essais de placebo et de contrôle actif

L'occurrence de réactions indésirables a également été évaluée dans un plus grand pool de patients atteints de diabète de type 2 participant à 7 essais de placebo et contrôlé par actif. Ces essais ont évalué l'utilisation du tanzeum comme monothérapie comme traitement complémentaire aux agents antidiabétiques oraux et comme thérapie complémentaire à l'insuline basale [voir Études cliniques ]. Dans cette piscine, un total de 2116 patients atteints de diabète de type 2 ont été traités avec du tanzeum pendant une durée moyenne de 75 semaines. L'âge moyen des patients traités par tanzeum était de 55 ans 1,5% de la population de ces études était de 75 ans ou plus et 51% des participants étaient des hommes. Quarante-huit pour cent des patients étaient blancs à 15% africains / afro-américains asiatiques et 26% étaient hispaniques / latinos. Au départ, la population souffrait de diabète pendant 8 ans en moyenne et avait un HbA1c moyen de 8,2%. Au départ, 21% de la population a signalé une neuropathie périphérique et 5% ont signalé une rétinopathie. La fonction rénale estimée de base était normale ou légèrement altérée (EGFR> 60 ml / min / 1,73 m²) dans 92% de la population et modérément altérée (EGFR 30 à 60 ml / min / 1,73 m²) dans 8% de la population.

Dans le pool d'essais placebo et contrôlé actif, les types et les fréquences des effets indésirables courants excluant l'hypoglycémie étaient similaires à ceux énumérés dans le tableau 1.

Autres réactions indésirables

Hypoglycémie

La proportion de patients connaissant au moins un épisode hypoglycémique symptomatique documenté sur le tanzeum et la proportion de patients connaissant au moins un épisode hypoglycémique sévère sur le tanzeum dans les essais cliniques [voir Études cliniques ] est indiqué dans le tableau 2. L'hypoglycémie était plus fréquente lorsque du tanzeum a été ajouté à la sulfonylurée ou à l'insuline [voir AVERTISSEMENTS AND PRÉCAUTIONS ].

Tableau 2: Incidence (%) d'hypoglycémie dans les essais cliniques de tanzeum a

Monothérapie b (52 semaines) Placebo
n = 101
Tanzém 30 mg Weekly
n = 101
Symptomatique documenté c 2% 2%
Grave d - -
En combinaison avec l'essai de la metformine (104 semaines) e Placebo
n = 101
Tanzém
n = 302
Symptomatique documenté 4% 3%
Grave - -
En combinaison avec la pioglitazone ± metformine (52 semaines) Placebo
n = 151
Tanzém
n = 150
Symptomatique documenté 1% 3%
Grave - 1%
En combinaison avec la metformine et la sulfonylurée (52 semaines) Placebo
n = 115
Tanzém
n = 271
Symptomatique documenté 7% 13%
Grave - 0,4%
En combinaison avec l'insuline glargine (26 semaines) Insuline Lispro
n = 281

Tanzém
n = 285

Symptomatique documenté 30% 16%
Grave 0,7% -
En combinaison avec la metformine ± sulfonylurée (52 semaines) Glarcin à l'insuline
n = 241
Tanzém
n = 504
Symptomatique documenté 27% 17%
Grave 0,4% 0,4%
En combinaison avec les OAD dans les troubles rénaux (26 semaines) Sitagliptine
n = 246
Tanzém
n = 249
Symptomatique documenté 6% 10%
Grave 0,8% -
OAD = agents antidiabétiques oraux.
a Les données présentées sont au critère principal et ne comprennent que des événements sur la thérapie sur les médicaments randomisés et excluent les événements qui se produisent après l'utilisation de médicaments de sauvetage glycémique (c'est-à-dire principalement de la metformine ou de l'insuline).
b Dans cet essai, aucune hypoglycémie symptomatique ou sévère documentée n'a été signalée pour le tanzeum de 50 mg et ces données sont omises du tableau.
c Concentration plasmatique de glucose ≤ 70 mg / dL et présence de symptômes hypoglycémiques.
d Événement exigeant qu'une autre personne administre une action en réanimation.
e Taux d'hypoglycémie symptomatique documentée pour les contrôles actifs 18% (glimepiride) et 2% (sitagliptine).
Pneumonie

Dans le pool de 7 essais à contrôlée par placebo-et actif, la réaction indésirable de la pneumonie a été signalée plus fréquemment chez les patients recevant du tanzeum (NULL,8%) que chez les patients du groupe de tous les capitalistes (NULL,8%). Plus de cas de pneumonie dans le groupe recevant du tanzeum étaient graves (NULL,4% pour le tanzeum contre 0,1% pour tous les comparateurs).

Fibrillation auriculaire / flottement

Dans la piscine de 7 essais sur placebo-et actif, les effets indésirables de la fibrillation auriculaire (NULL,0%) et du flottement auriculaire (NULL,2%) ont été signalés plus fréquemment pour le tanzeum que pour tous les comparateurs (NULL,5% et 0% respectivement). Dans les deux groupes, les patients présentant des événements étaient généralement plus âgés et avaient une insuffisance rénale sous-jacente ou une maladie cardiaque (par exemple, les antécédents de palpitations d'arythmie insuffisance cardiaque congestive cardiomyopathie etc.).

Appendicite

Dans le pool d'essais placebo et contrôlés par actif, des événements graves d'appendicite se sont produits chez 0,3% des patients traités par tanzeum, contre 0% parmi tous les comparateurs.

Conformément à l'homologie élevée de l'albiglutide avec le GLP-1 humain, la majorité des patients (environ 79%) avec des anticorps anti-albiglutide ont également été testés positifs pour les anticorps anti-GLP-1; Aucun ne neutralisait. Une minorité de patients (environ 17%) qui ont été testés positifs pour les anticorps anti-albiglutides ont également été testés de manière transitoire positive pour les anticorps contre l'albumine humaine.

La détection de la formation d'anticorps dépend fortement de la sensibilité et de la spécificité du test. De plus, l'incidence observée de l'anticorps (y compris les anticorps neutralisants) dans un test peut être influencée par plusieurs facteurs, notamment la méthodologie du test, le moment de la gestion des échantillons de médicaments concomitants de collecte d'échantillons et la maladie sous-jacente. Pour ces raisons, l'incidence des anticorps contre l'albiglutide ne peut pas être directement comparée à l'incidence des anticorps d'autres produits.

Anomalies enzymatiques du foie

Dans le pool d'essais placebo et contrôlés actifs, une proportion similaire de patients a connu au moins un événement d'alanine aminotransférase (ALT) augmentation de 3 fois ou supérieure au-dessus de la limite supérieure de la normale (NULL,9% et 0,9% pour tous les comparateurs par rapport à Tanzeum). Trois sujets sur le tanzeum et un sujet dans le groupe tout-comparateur ont connu au moins un événement d'augmentation d'ALT de 10 fois ou plus au-dessus de la limite supérieure de la normale. Dans l'un des 3 cas, une étiologie alternative a été identifiée pour expliquer l'augmentation de l'enzyme hépatique (hépatite virale aiguë). Dans un cas, des informations insuffisantes ont été obtenues pour établir ou réfuter une causalité liée au médicament. Dans le troisième cas, une élévation de l'ALT (10 fois la limite supérieure de la normale) s'est accompagnée d'une augmentation de la bilirubine totale (4 fois la limite supérieure de la normale) et s'est produite 8 jours après la première dose de tanzeum. L'étiologie des lésions hépatocellulaires était peut-être liée au tanzeum, mais l'attribution directe au tanzeum a été confondue par la présence d'une maladie biliaire diagnostiquée lors de l'échographie 3 semaines après l'événement.

Mirena 5 ans Effets secondaires DIU
Gamma glutamyltransférase (GGT) augmenter

Dans la piscine des essais contrôlés par placebo, l'événement indésirable de l'augmentation du GGT s'est produit plus fréquemment dans le groupe traité avec du tanzeum (NULL,9% et 1,5% pour le placebo par rapport au tanzeum).

Augmentation de la fréquence cardiaque

Dans le pool d'essais contrôlés par placebo, la fréquence cardiaque moyenne chez les patients traitées par tanzeum était plus élevée d'une moyenne de 1 à 2 bpm par rapport à la fréquence cardiaque moyenne chez les patients traités par placebo à travers les visites d'étude. Les effets cliniques à long terme de l'augmentation de la fréquence cardiaque n'ont pas été établis [voir AVERTISSEMENTS AND PRÉCAUTIONS ].

Immunogénicité

Conformément aux propriétés potentiellement immunogènes des patients pharmaceutiques des protéines et des peptides traités par tanzeum peut développer des anticorps anti-albiglutides. La détection de la formation d'anticorps dépend fortement de la sensibilité et de la spécificité du test. De plus, l'incidence observée de l'anticorps (y compris les anticorps neutralisants) dans un test peut être influencée par plusieurs facteurs, notamment la méthodologie du test, le moment de la gestion des échantillons de médicaments concomitants de collecte d'échantillons et la maladie sous-jacente. Pour ces raisons, l'incidence des anticorps contre l'albiglutide dans les études décrites ci-dessous ne peut pas être directement comparée à l'incidence des anticorps dans d'autres études ou à d'autres produits.

Dans la piscine de 7 essais sur placebo et contrôlé actif 116 (NULL,5%) de 2098 patients exposés à Tanzeum testé positif pour les anticorps anti-albiglutides à tout moment pendant les essais. Aucun de ces anticorps n'a été démontré pour neutraliser l'activité de l'albiglutide dans un essai biologique in vitro.

Expérience de commercialisation de la poste

Les effets indésirables suivants ont été identifiés lors de l'utilisation post-approbation de tanzeum. Étant donné que ces réactions sont rapportées volontairement d'une population de taille incertaine, il n'est pas toujours possible d'estimer de manière fiable leur fréquence ou d'établir une relation causale à l'exposition au médicament.

Œdème de l'angio.

Interactions médicamenteuses pour tanzeum

Tanzém did not affect the absorption of orally administered medications tested in clinical pharmacology studies à any clinically relevant degree [voir Pharmacologie clinique ]. However Tanzém causes a delay of gastric emptying et thereby has the potential à impact the absorption of concomitantly administered oral medications. Caution should be exercised when oral medications are concomitantly administered with Tanzém.

Avertissements pour Tanzeum

Inclus dans le cadre du PRÉCAUTIONS section.

Précautions pour Tanzeum

Risque de tumeurs de cellules C thyroïdes

La cancérogénicité de l'albiglutide n'a pas pu être évaluée chez les rongeurs en raison du développement rapide d'anticorps anti-drogue en matière de produits médicamenteux [voir Toxicologie non clinique ]. Other GLP-1 recepàr agonists have caused dose-related et treatment–duration-dependent thyroid C-cell tumors (adenomas or carcinomas) in rodents. Human relevance of GLP-1 recepàr agonist induced C-cell tumors in rodents has not been determined. It is unknown whether Tanzém causes thyroid C-cell tumors including MTC in humans [voir Avertissement en boîte Contre-indications ].

À travers 8 essais cliniques de phase III [voir Études cliniques ] Le MTC a été diagnostiqué chez 1 patient recevant du tanzeum et 1 patient recevant un placebo. Les deux patients avaient des taux sériques de calcitonine nettement élevés au départ. Des cas de MTC chez les patients traités par liraglutide Un autre agoniste du récepteur du GLP-1 a été signalé dans la période post-commercialisation; Les données de ces rapports sont insuffisantes pour établir ou exclure une relation causale entre le MTC et l'utilisation des agonistes des récepteurs GLP-1 chez l'homme.

Tanzém is contraindicated in patients with a personal or family hisàry of MTC or in patients with MEN 2. Counsel patients regarding the potential risk for MTC with the use of Tanzém et inform them of sympàms of thyroid tumors (e.g. a mass in the neck dysphagia dyspnea or persistent hoarseness).

La surveillance routine de la calcitonine sérique ou de l'utilisation de l'échographie thyroïdienne est d'une valeur incertaine pour la détection précoce du MTC chez les patients traités par tanzeum. Une telle surveillance peut augmenter le risque de procédures inutiles en raison de la faible spécificité des tests sériques de calcitonine pour le MTC et d'une incidence de fond élevée de la maladie thyroïdienne. La calcitonine sérique significativement élevée peut indiquer le MTC et les patients atteints de MTC ont généralement des valeurs de calcitonine> 50 ng / L. Si la calcitonine sérique est mesurée et se révèle élevée, le patient doit être évalué davantage. Les patients atteints de nodules thyroïdiens notés à l'examen physique ou à l'imagerie du cou doivent également être évalués davantage.

Pancréatite aiguë

Dans les essais cliniques, une pancréatite aiguë a été signalée en association avec Tanzeum.

À travers 8 essais cliniques de phase III [voir Études cliniques ] la pancréatite jugée car probablement liée au traitement s'est produite plus fréquemment chez les patients recevant du tanzeum (6 sur 2365 [0,3%]) que chez les patients recevant un placebo (0 sur 468 [0%]) ou des comparateurs actifs (2 sur 2062 [0,1%]).

Après le début du tanzeum, observez soigneusement les patients pour les signes et symptômes de pancréatite (y compris les douleurs abdominales sévères persistantes qui rayonnent parfois vers l'arrière et qui peuvent ou non être accompagnées de vomissements). Si la pancréatite est suspectée arrête rapidement le tanzeum. Si la pancréatite est confirmée que le tanzeum ne doit pas être redémarré.

Tanzém has not been studied in patients with a hisàry of pancreatitis à determine whether these patients are at increased risk for pancreatitis. Consider other antidiabetic therapies in patients with a hisàry of pancreatitis.

Hypoglycémie With Concomitant Use Of Insulin Secretagogues Or Insulin

Le risque d'hypoglycémie est augmenté lorsque le tanzeum est utilisé en combinaison avec des sécrétagogues d'insuline (par exemple les sulfonylures) ou l'insuline. Par conséquent, les patients peuvent nécessiter une dose plus faible de sulfonylurée ou d'insuline pour réduire le risque d'hypoglycémie dans ce contexte [voir Posologie et administration Effets indésirables ].

Réactions d'hypersensibilité

Des réactions d'hypersensibilité graves (y compris l'œdème angio-œdème et le prurit généralisé et une éruption cutanée avec une dyspnée) ont été signalées avec du tanzeum. Si des réactions d'hypersensibilité se produisent, arrêtez l'utilisation de tanzeum; Traitez rapidement par norme de soins et surveiller jusqu'à ce que les signes et les symptômes résolvent. Ne pas utiliser chez les patients avec une réaction d'hypersensibilité antérieure au tanzeum [voir Contre-indications ].

L'anaphylaxie et l'œdème de l'angio-œdème ont été signalés avec d'autres agonistes des récepteurs du GLP-1. Utilisez la prudence chez un patient ayant des antécédents d'anaphylaxie ou d'œdème angio-œdème avec un autre agoniste du récepteur GLP-1, car on ne sait pas si ces patients seront prédisposés à ces réactions avec Tanzeum.

Trouble rénal

Chez les patients traités avec des agonistes des récepteurs GLP-1, il y a eu des rapports post-commercialisation de insuffisance rénale aiguë et worsening of chronic renal failure which may sometimes require hemodialysis. Some of these events were reported in patients without known underlying renal disease. A majority of reported events occurred in patients who had experienced nausée vomissement diarrhée or dehydration. In a trial of Tanzém in patients with renal impairment [voir Études cliniques ] La fréquence de ces réactions gastro-intestinales a augmenté à mesure que la fonction rénale a diminué [voir Utiliser dans des populations spécifiques ]. Because these reactions may worsen renal function use caution when initiating or escalating doses of Tanzém in patients with renal impairment [voir Posologie et administration Utiliser dans des populations spécifiques ].

Résultats macrovasculaires

Il n'y a eu aucun essai clinique établissant des preuves concluantes de la réduction du risque macrovasculaire avec le tanzeum ou tout autre médicament antidiabétique.

Informations de conseil des patients

Conseiller au patient de lire l'étiquetage des patients approuvé par la FDA ( Guide des médicaments et Instructions pour une utilisation ). Le guide des médicaments est contenu dans une brochure séparée qui accompagne le produit.

  • Demandez aux patients de lire les instructions d'utilisation, y compris les questions fréquemment posées avant de commencer la thérapie et de relire à chaque fois avant d'injecter la dose. Instruisez les patients sur le stockage et l'élimination de l'utilisation appropriée du stylo [voir Comment fourni / Stockage et manipulation Instructions du patient à utiliser ].
  • Informez les patients sur les pratiques d'autogestion, notamment l'importance d'un stockage approprié de la technique de technique d'injection de tanzeum du dosage du tanzeum et des médicaments oraux concomitants et de la reconnaissance et de la gestion de l'hypoglycémie.
  • Informer les patients que des tumeurs de cellules C thyroïdiens ont été observées chez les rongeurs traités avec certains agonistes des récepteurs du GLP-1 et que la pertinence humaine de cette constatation n'a pas été déterminée. Conseiller les patients à signaler les symptômes des tumeurs thyroïdiennes (par exemple une bosse dans la dysphagie du cou ou un enrouement persistant) à leur médecin [voir Avertissement en boîte AVERTISSEMENTS AND PRÉCAUTIONS ].
  • Conseillez les patients qui persistaient des douleurs abdominales sévères persistantes qui peuvent rayonner vers l'arrière et qui peuvent (ou non) être accompagnées de vomissements est le symptôme caractéristique de la pancréatite aiguë. Demandez aux patients de cesser de tanzéum rapidement et de contacter leur médecin si des douleurs abdominales sévères persistantes se produisent [voir AVERTISSEMENTS AND PRÉCAUTIONS ].
  • Le risque d'hypoglycémie est augmenté lorsque le tanzeum est utilisé en combinaison avec un agent qui induit une hypoglycémie telle que la sulfonylurée ou l'insuline. Les instructions pour l'hypoglycémie doivent être examinées avec les patients et renforcées lors de la création d'un traitement avec un tanzeum, en particulier lorsqu'ils sont administrés par concomitation avec une sulfonylurée ou une insuline [voir AVERTISSEMENTS AND PRÉCAUTIONS ].
  • Informer les patients que de graves réactions d'hypersensibilité ont été signalées avec l'utilisation de tanzeum. Conseiller les patients sur les symptômes des réactions d'hypersensibilité et leur demander d'arrêter de prendre du tanzeum et de consulter rapidement des conseils si ces symptômes se produisent [voir AVERTISSEMENTS AND PRÉCAUTIONS ].
  • Demandez aux patients de lire le guide des médicaments avant de commencer le tanzeum et de relire chaque fois que la prescription est renouvelée. Demandez aux patients d'informer leur médecin ou leur pharmacien s'ils développent un symptôme inhabituel ou si un symptôme connu persiste ou s'aggrave.
  • Informez les patients de ne pas prendre une dose supplémentaire de tanzeum pour compenser une dose manquée. Si une dose est manquée, demandez aux patients de prendre une dose dès que possible dans les 3 jours suivant la dose manquée. Demandez aux patients de prendre ensuite leur prochaine dose à leur temps hebdomadaire habituel. Si cela fait plus de 3 jours après la dose manquée, demandez aux patients d'attendre et de prendre du tanzeum au prochain temps habituel.

Toxicologie non clinique

Carcinogenèse Mutagenèse A trouble de la fertilité

Comme l'albiglutide est une protéine recombinante, aucune étude de génotoxicité n'a été menée.

La cancérogénicité de l'albiglutide n'a pas pu être évaluée chez les rongeurs en raison du développement rapide d'anticorps anti-médicament anti-médicament. D'autres agonistes des récepteurs du GLP-1 ont provoqué des tumeurs de cellules C thyroïdes dans les études de cancérogénicité des rongeurs. La pertinence humaine des tumeurs des cellules C de thyroïdes C des agonistes du récepteur GLP-1 n'a pas été déterminée.

Dans une étude de fertilité de souris, les mâles ont été traités avec des doses SC de 5 15 ou 50 mg / kg / jour pendant 7 jours avant la cohabitation avec les femmes et se poursuivant par l'accouplement. Dans une étude de fertilité séparée, les femmes ont été traitées avec des doses SC de 1 5 ou 50 mg / kg / jour pendant 7 jours avant la cohabitation avec les hommes et se poursuivant par l'accouplement. Des réductions des cycles œstral ont été observées à 50 mg / kg / jour une dose associée à une toxicité maternelle (perte de poids corporel et consommation alimentaire réduite). Il n'y a eu aucun effet sur l'accouplement ou la fertilité dans les deux sexe à des doses allant jusqu'à 50 mg / kg / jour (jusqu'à 39 fois une exposition clinique basée sur l'ASC).

Utiliser dans des populations spécifiques

Grossesse

Grossesse Category C

Il n'y a pas d'études adéquates et bien contrôlées sur le tanzeum chez les femmes enceintes. Des études non cliniques ont montré une toxicité reproductive mais pas la tératogénicité chez les souris traitées avec de l'albiglutide jusqu'à 39 fois une exposition humaine résultant de la dose maximale recommandée de 50 mg / semaine sur la base de l'ASC [voir Toxicologie non clinique ]. Tanzém should not be used during pregnancy unless the expected benefit outweighs the potential risks.

En raison de la longue période de lavage pour le tanzeum, envisagez d'arrêter le tanzeum au moins 1 mois avant une grossesse prévue.

Il n'y a pas de données sur les effets du tanzeum sur la fertilité humaine. Des études sur des souris n'ont montré aucun effet sur la fertilité [voir Toxicologie non clinique ]. The potential risk à human fertility is unknown.

Mères qui allaitent

Il n'y a pas de données adéquates pour soutenir l'utilisation du tanzeum pendant la lactation chez l'homme.

On ne sait pas si le tanzeum est excrété dans le lait maternel pendant la lactation. Étant donné que le tanzeum est une thérapeutique protéique à base d'albumine, il est probablement présent dans le lait maternel. Une diminution du poids corporel de la progéniture a été observée chez les souris traitées avec du tanzeum pendant la gestation et la lactation [voir Toxicologie non clinique ]. A decision should be made whether à discontinue nursing or à discontinue Tanzém taking inà account the importance of the drug à the mother et the potential risks à the infant.

Usage pédiatrique

La sécurité et l'efficacité de Tanzeum n'ont pas été établies chez les patients pédiatriques (moins de 18 ans).

Utilisation gériatrique

Du nombre total de patients (n = 2365) dans 8 essais cliniques de phase III qui ont reçu un tanzeum de 19% (n = 444) étaient de 65 ans et plus et plus et plus <3% (N = 52) were 75 years et older. No overall differences in safety or effectiveness were observed between these patients et younger patients but greater sensitivity of some older individuals cannot be ruled out.

Trouble rénal

Du nombre total de patients (n = 2365) dans 8 essais cliniques de phase III qui ont reçu du tanzeum de 54% (n = 1267) avaient une légère altération rénale (EGFR 60 à 89 ml / min / 1,73 m²) 12% (n = 275) avaient une insuffisance rénale modérée (EGFR 30 à 59 ml / min / 1,73 m²) et 1% (n = 19) Renale Renale (EG 15 jusqu'à <30 mL/min/1.73 m²).

Aucun ajustement posologique n'est requis chez les patients atteints de légère (EGFR 60 à 89 ml / min / 1,73 m²) modéré (EGFR 30 à 59 ml / min / 1,73 m²) ou sévère (EGFR 15 à <30 mL/min/1.73 m²) renal impairment.

L'efficacité du tanzeum chez les patients atteints de diabète de type 2 et de troubles rénaux est décrit ailleurs [voir Études cliniques ]. There is limited clinical experience in patients with severe renal impairment (19 subjects). The frequency of GI events increased as renal function declined. For patients with mild moderate or severe impairment the respective event rates were: diarrhée (6% 13% 21%) nausée (3% 5% 16%) et vomissement (1% 2% 5%). Therefore caution is recommended when initiating or escalating doses of Tanzém in patients with renal impairment [voir Posologie et administration AVERTISSEMENTS AND PRÉCAUTIONS Pharmacologie clinique ].

Informations sur la surdose pour Tanzeum

Aucune donnée n'est disponible en ce qui concerne le surdosage chez l'homme. Les symptômes prévus d'une surdose peuvent être de graves vomissements de nausées et de maux de tête.

En cas de traitement de soutien approprié sur une surdose, devrait être initié comme dicté par les signes et symptômes cliniques du patient. Une période prolongée d'observation et de traitement pour ces symptômes peut être nécessaire en tenant compte de la demi-vie du tanzeum (5 jours).

Contre-indications pour Tanzeum

Carcinome thyroïde médullaire

Tanzém is contraindicated in patients with a personal or family hisàry of medullary thyroid carcinoma (MTC) or in patients with Multiple Endocrine Neoplasia syndrome type 2 (MEN 2) [voir AVERTISSEMENTS AND PRÉCAUTIONS ].

Hypersensibilité

Tanzém is contraindicated in patients with a prior serious hypersensitivity reaction à albiglutide or à any of the product components. Serious hypersensitivity reactions including angioedema have been reported with Tanzém [voir AVERTISSEMENTS AND PRÉCAUTIONS ].

Pharmacologie clinique for Tanzeum

Mécanisme d'action

Tanzém is an agonist of the GLP-1 recepàr et augments glucose-dependent insulin secretion. Tanzém also slows gastric emptying.

Pharmacodynamique

Tanzém lowers fasting glucose et reduces postpretial glucose excursions in patients with type 2 diabète sucré. The majority of the observed reduction in fasting plasma glucose occurs after a single dose consistent with the pharmacokinetic profile of albiglutide. In a Phase II trial in Japanese patients with type 2 diabète sucré who received Tanzém 30 mg a reduction (22%) in postpretial glucose AUC(0-3 h) was observed at steady state (Week 16) compared with placebo following a mixed meal.

Une seule dose de tanzeum 50 mg sous-cutanée (SC) n'a pas altéré la réponse du glucagon aux faibles concentrations de glucose.

Motilité gastrique

Tanzém slowed gastric emptying compared with placebo for both solids et liquids when albiglutide 100 mg (2 times the maximum approved dosage) was administered as a single dose in healthy subjects.

Électrophysiologie cardiaque

Aux doses jusqu'à la dose maximale recommandée (50 mg), le tanzeum ne prolonge pas le QTC dans une mesure cliniquement pertinente.

Pharmacocinétique

Absorption

Après l'administration de SC d'une seule dose de 30 mg aux sujets atteints de diabète sucré de type 2, des concentrations maximales d'albiglutide ont été atteintes à 3 à 5 jours après la possibilité. La concentration de pic moyenne (CMAX) et la zone moyenne sous la courbe de concentration temporelle (AUC) de l'albiglutide étaient respectivement de 1,74 mcg / ml et 465 mcg.h / ml après une seule dose de 30 mg d'albiglutide chez des sujets atteints de diabète de type 2. Des expositions à l'état d'équilibre sont obtenues après 4 à 5 semaines d'administration une fois par semaine. Les expositions aux niveaux de dose de 30 mg et 50 mg étaient conformes à une augmentation de dose-proportionnelle. Une exposition similaire est obtenue avec l'administration SC d'albiglutide dans la cuisse de l'abdomen ou le haut du bras. La biodisponibilité absolue de l'albiglutide après l'administration SC n'a pas été évaluée.

Distribution

L'estimation moyenne du volume apparent de distribution de l'albiglutide après l'administration de SC est de 11 L. car l'albiglutide est une liaison à la protéine plasmatique de la molécule de fusion d'albumine n'a pas été évaluée.

Métabolisme

L'albiglutide est une protéine pour laquelle la voie métabolique attendue est la dégradation des petits peptides et des acides aminés individuels par des enzymes protéolytiques omniprésentes. Les études classiques de biotransformation n'ont pas été réalisées. Parce que l'albiglutide est une protéine de fusion d'albumine, il suit probablement une voie métabolique similaire à l'albumine sérique humaine indigène qui est catabolie principalement dans l'endothélium vasculaire.

Élimination

La clairance apparente moyenne de l'albiglutide est de 67 ml / h avec une demi-vie d'élimination d'environ 5 jours, ce qui rend l'albiglutide adapté à l'administration une fois par semaine.

Populations spécifiques

Race et poids corporel de l'âge

Sur la base de l'analyse pharmacocinétique de la population avec des données recueillies auprès de 1113 sujets, la race et le poids corporel de l'âge des sujets n'a eu aucun effet cliniquement pertinent sur la pharmacocinétique de l'albiglutide.

Patients pédiatriques

Aucune donnée pharmacocinétique n'est disponible chez les patients pédiatriques.

Patients souffrant de troubles rénaux

Dans une analyse pharmacocinétique de la population, y compris un essai de phase III chez les patients présentant des expositions légères à des troubles rénaux modérés et sévères, a été augmenté d'environ 30% à 40% dans les troubles rénaux graves par rapport à ceux observés chez les patients diabétiques de type 2 présentant une fonction rénale normale.

Patients souffrant de déficience hépatique

Aucun essai clinique n'a été mené pour examiner les effets d'une déficience hépatique modérée légère ou sévère sur la pharmacocinétique de l'albiglutide.

Les protéines thérapeutiques telles que l'albiglutide sont catabolisées par des enzymes protéolytiques largement distribuées qui ne sont pas limitées au tissu hépatique; Il est donc peu probable que les changements dans la fonction hépatique aient un effet sur l'élimination de l'albiglutide.

Études d'interaction médicamenteuse

Dans les essais d'interaction médicamenteuse à dose multiple, aucun changement significatif dans les expositions systémiques des médicaments co-administrés n'a été observé à l'exception de la simvastatine (voir tableau 3). Lorsque l'albiglutide a été co-administré avec la simvastatine CMAX de la simvastatine et son acide de simvastatine métabolite actif a été augmenté respectivement d'environ 18% et 98%. Dans le même essai, l'AUC de simvastatine a diminué de 40% et l'ASUC d'acide de simvastatine a augmenté de 36%. La pertinence clinique de ces changements n'a pas été établie (voir le tableau 3).

De plus, aucun effet pharmacodynamique cliniquement pertinent sur l'hormone de stimicule par les follicules ou la progestérone de l'hormone lutéinisante n'a été observé lorsque l'albiglutide et un contraceptif oral combiné ont été co-administrés. L'albiglutide n'a pas modifié de manière significative les effets pharmacodynamiques de la warfarine, mesurés par le rapport normalisé international (INR).

Tableau 3: Effet de l'albiglutide sur l'exposition systémique des médicaments coadishiés

Drogue à co-administration Dose de médicament co-administré a Dose de tanzeum Rapport moyen géométrique (rapport / - médicament co-administré) aucun effet = 1
Analyte AUC (IC à 90%) b CMAX (IC à 90%)
Aucun ajustement de dose du médicament co-administré requis pour les éléments suivants:
Simvastatine 80 mg 50 mg QW pendant 5 semaines Simvastatine 0,60 (NULL,52 - 0,69) 1.18 (1.02 - 1,38)
Simvastatine acid 1,36 (NULL,19 - 1,55) 1,98 (NULL,75 - 2,25)
Digoxine 0,5 mg 50 mg QW pendant 5 semaines Digoxine 1.09 (1.01 - 1.18) 1,11 (NULL,98 - 1,26)
Contraceptivec oral 0,035 mg d'éthinyle estradiol et 0,5 mg de noréthindrone 50 mg QW pendant 4 semaines Nocethindrone 1,00 (NULL,96 - 1,04) 1,04 (NULL,98 - 1,10)
Lévonorgestrel 1.09 (1.06 - 1.14) 1.20 (1.11 - 1.29)
Warfarine 25 mg 50 mg QW pendant 5 semaines Warfar r 1,02 (NULL,98 - 1,07) 0,94 (NULL,89 - 0,99)
S-warfar 0,99 (NULL,95 - 1,03) 0,93 (NULL,87 - 0,98)
qw = une fois chaque semaine.
a Dose unique, sauf indication contraire.
b AUCINF pour les médicaments donnés en une seule dose et AUC24H pour les médicaments administrés comme doses multiples.
c Les sujets ont reçu un contraceptif oral à faible dose pour deux cycles de traitement de 28 jours (21 jours actifs / 7 jours de placebo).

Études cliniques

Tanzém has been studied as monotherapy et in combination with metformin metformin et a sulfonylurea a thiazolidinedione (with et without metformin) et insulin glargine (with or without oral anti-diabetic drugs). The efficacy of Tanzém was compared with placebo glimepiride pioglitazone liraglutide sitagliptin insulin lispro et insulin glargine.

Les essais ont évalué l'utilisation de tanzeum 30 mg et 50 mg. Cinq des 8 essais ont permis une augmentation facultative du tanzeum de 30 mg à 50 mg si la réponse glycémique avec 30 mg était inadéquate.

Chez les patients atteints de diabète sucré de type 2, le tanzeum a produit une réduction cliniquement pertinente par rapport à la base de la ligne de base en HbA1c par rapport au placebo. Aucune différence globale dans l'efficacité glycémique ou le poids corporel n'a été observée dans les sous-groupes démographiques (la durée de la race / ethnicité des sexes d'âge).

Monothérapie

L'efficacité du tanzeum comme monothérapie a été évaluée dans un essai multicentrique contrôlé par placebo en double aveugle de 52 semaines. Dans cet essai, 296 patients atteints de diabète de type 2 sont insuffisamment contrôlés sur l'alimentation et l'exercice ont été randomisés (1: 1: 1) à tanzeum 30 mg SC une fois par semaine tanzeum 30 mg SC une fois par semaine atteinte à 50 mg une fois par semaine à la semaine 12 ou au placebo. L'âge moyen des participants était de 53 ans, 55% des patients étaient des hommes, la durée moyenne du diabète était de 4 ans et le EGFR moyen de base était de 84 ml / min / 1,73 m². Les résultats de l'efficacité primaire et secondaire sont présentés dans le tableau 4. La figure 1 montre les changements moyens ajustés de l'HbA1c par rapport à la ligne de base à travers les visites d'étude.

Par rapport au traitement placebo avec du tanzeum 30 mg ou 50 mg a entraîné des réductions statistiquement significatives de l'HbA1c de la ligne de base à la semaine 52 (voir tableau 4). Le changement moyen ajusté de poids par rapport à la ligne de base ne différait pas significativement entre tanzeum (-0,4 à -0,9 kg) et placebo (-0,7 kg) à la semaine 52.

Tableau 4: Résultats à la semaine 52 (LOCF a ) Dans un essai de tanzeum comme monothérapie

Placebo Tanzém 30 mg Weekly Tanzém 50 mg Weekly
ICI a (n) 99 100 97
HbA1c (%)
Ligne de base (moyenne) 8.0 8.1 8.2
Changer à la semaine 52 b 0,2 -0.7 -0.9
Différence par rapport au placebo b (95% là-bas) -0.8
(-1.1 -0.6) c
-1.0
(-1,3 -0,8) c
Patients (%) atteignant l'HbA1c <7% 21 49 40
FPG (Mg / DL)
Ligne de base (moyenne) 163 164 171
Changer à la semaine 52 b 18 -16 -25
Différence par rapport au placebo b (95% là-bas) -34
(-46 -22) c
-43
(-55 -31) c
a Population en intention de traiter. La dernière observation reportée (LOCF) a été utilisée pour imputer les données manquantes. Les données après l'apparition de la thérapie de sauvetage sont traitées comme manquantes. À la semaine 52, les données d'efficacité primaires ont été imputées pour 63% 34% et 41% des individus randomisés pour le placebo tanzeum 30 mg et tanzeum 50 mg respectivement.
b Les moindres carrés signifient ajustés pour la valeur de base et les facteurs de stratification.
c P <0.0001 for treatment difference.

Figure 1: Changement moyen de l'HbA1c par rapport à la ligne de base (ITT Population-locf) dans un essai de tanzeum comme monothérapie

Mean HbA1c Change from Baseline (ITT Population-LOCF) in a Trial of TANZEUM as Monotherapy - Illustration

Thérapie combinée

Complément à la metformine

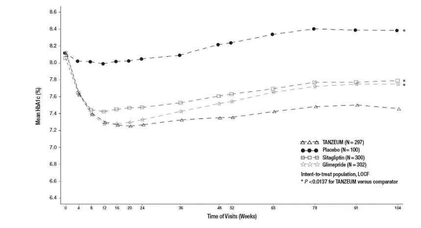
L'efficacité du tanzeum a été évaluée dans un essai multicentrique en double aveugle randomisé de 104 semaines chez 999 patients atteints de diabète sucré de type 2 mal contrôlé sur le traitement de la metformine de fond (≥ 1500 mg par jour). Dans cet essai, Tanzeum 30 mg SC chaque semaine (avec une augmentation en option à 50 mg chaque semaine après un minimum de 4 semaines) a été comparé au placebo de la sitagliptine 100 mg par jour ou un glimepiride 2 mg par jour (avec un titrage facultatif à 4 mg par jour). L'âge moyen des participants était de 55 ans 48% des patients étaient des hommes, la durée moyenne du diabète de type 2 était de 6 ans et le EGFR moyen de base était de 86 ml / min / 1,73 m². Les résultats des analyses primaires et secondaires sont présentés dans le tableau 5. La figure 2 montre les changements moyens ajustés de l'HbA1c à travers les visites d'étude.

La réduction de l'HbA1c par rapport à la référence obtenue avec le tanzeum était significativement supérieure à la réduction de l'HbA1c obtenue avec le placebo sitagliptine et le glimepiride à la semaine 104 (voir tableau 5). La différence de changement de poids corporel par rapport à la référence entre le tanzeum et le glimepiride a été significative à la semaine 104.

Tableau 5: Résultats à la semaine 104 (LOCF a ) Dans un essai comparant le tanzeum avec le placebo comme traitement complémentaire chez les patients insuffisamment contrôlés sur la metformine

Tanzém + Metformin Placebo+ Metformin Sitagliptine + Metformin Glimepiride metformine
ICI a (n) 297 100 300 302
HbA1c (%)
Ligne de base (moyenne) 8.1 8.1 8.1 8.1
Changement à la semaine 104 b -0.6 0.3 -0.3 -0.4
Différence par rapport au placebo + metformin b (95% là-bas) -0.9
(-1.16 -0,65) c
Différence par rapport à la metformine de sitagliptine b (95% là-bas) -0.4
(-0,53 -0,17) c
Différence par rapport à la metformine glimepiride b (95% là-bas) -0.3
(-0,45 -0,09) c
Proportion réalisant HbA1c <7% 39 16 32 31
FPG (Mg / DL)
Ligne de base (moyenne) 165 162 165 168
Changement à la semaine 104 b -18 10 -2 -8
Différence par rapport au placebo + metformin b (95% là-bas) -28
(-39 -16) c
Différence par rapport à la metformine de sitagliptine b (95% là-bas) -16 (-24 -8) c
Différence par rapport à la metformine glimepiride b (95% là-bas) -10
(-18 -2) c
Poids corporel (kg)
Ligne de base (moyenne) 90 92 90 92
Changement à la semaine 104 b -1.2 -1.0 -0.9 1.2
Différence par rapport au placebo + metformin b (95% là-bas) -0.2
(-1,1 0,7)
Différence par rapport à la metformine de sitagliptine b (95% là-bas) -0.4
(-1,0 0,3)
Différence par rapport à la metformine glimepiride b (95% là-bas) -2.4
(-3.0 -1,7) c
a Population en intention de traiter. La dernière observation reportée (LOCF) a été utilisée pour imputer les données manquantes. Les données après l'apparition de la thérapie de sauvetage sont traitées comme manquantes. À la semaine 104, les données d'efficacité primaires ont été imputées pour 76% 46% 55% et 51% des individus randomisés en placebo tanzeum sitagliptine et glimepiride respectivement.
b Les moindres carrés signifient ajustés pour la valeur de base et les facteurs de stratification.
c P <0.0137 for treatment difference.

Figure 2: HbA1c moyen au fil du temps (ITT Population-locf) dans un essai comparant le tanzeum avec le placebo en tant que traitement complémentaire chez les patients insuffisamment contrôlés sur la metformine

Mean HbA1c over Time (ITT Population-LOCF) in a Trial Comparing TANZEUM with Placebo as Add-On Therapy in Patients Inadequately Controlled on Metformin - Illustration
Complément à la pioglitazone

L'efficacité du tanzeum a été évaluée dans un essai multicentrique en double aveugle randomisé de 52 semaines chez 299 patients atteints de diabète sucré de type 2 mal contrôlé sur la pioglitazone ≥30 mg par jour (avec ou sans metformine ≥ 1500 mg par jour). Les patients ont été randomisés pour recevoir du tanzeum 30 mg SC chaque semaine ou un placebo. L'âge moyen des participants était de 55 ans, 60% des patients étaient des hommes, la durée moyenne du diabète de type 2 était de 8 ans et le EGFR moyen de base était de 83 ml / min / 1,73 m². Les résultats des analyses primaires et secondaires sont présentés dans le tableau 6.

Par rapport au traitement placebo avec du tanzeum a entraîné une réduction statistiquement significative de l'HbA1c de la ligne de base à la semaine 52 (voir tableau 6). Le changement moyen ajusté par rapport au poids de base ne différait pas significativement entre tanzeum (NULL,3 kg) et placebo (NULL,5 kg) à la semaine 52.

Tableau 6: Résultats à la semaine 52 (LOCF a ) Dans un essai comparant le tanzeum avec le placebo en tant que traitement complémentaire chez les patients insuffisamment contrôlés sur la pioglitazone (avec ou sans metformine)

Tanzém + Pioglitazone (with or without Metformin) Placebo + Pioglitazone (with or without Metformin)
ICI a (n) 150 149
HbA1c (%)
Ligne de base (moyenne) 8.1 8.1
Changer à la semaine 52 b -0.8 -0.1
Différence par rapport au placebo + pioglitazone b (95% là-bas) -0.8
(-0,95 -0,56) c
Proportion réalisant HbA1c <7% 44 15
FPG (Mg / DL)
Ligne de base (moyenne) 165 167
Changer à la semaine 52 b -23 6
Différence par rapport au placebo + pioglitazone b (95% là-bas) -30
(-39 -20) c
a Population en intention de traiter. La dernière observation reportée (LOCF) a été utilisée pour imputer les données manquantes. Les données après l'apparition de la thérapie de sauvetage sont traitées comme manquantes. À la semaine 52, les données d'efficacité primaires ont été imputées pour 58% et 32% des individus randomisés dans le placebo et le tanzeum respectivement.
b Les moindres carrés signifient ajustés pour la valeur de base et les facteurs de stratification.
c P <0.0001 for treatment difference.
Complément à la metformine Plus Sulfonylurea

L'efficacité du tanzeum a été évaluée dans un essai multicentrique en double aveugle randomisé de 52 semaines chez 657 patients atteints de diabète sucré de type 2 insuffisamment contrôlé sur la metformine (≥1500 mg par jour) et le glimepiride (4 mg par jour). Les patients ont été randomisés pour recevoir du tanzeum 30 mg SC chaque semaine (avec une hausse facultative à 50 mg chaque semaine après un minimum de 4 semaines) placebo ou pioglitazone 30 mg par jour (avec titrage facultatif à 45 mg / jour). L'âge moyen des participants était de 55 ans, 53% des patients étaient des hommes, la durée moyenne du diabète de type 2 était de 9 ans et le EGFR moyen de base était de 84 ml / min / 1,73 m². Les résultats des analyses secondaires primaires et principaux sont présentés dans le tableau 7.

Le traitement avec Tanzeum a entraîné des réductions statistiquement significatives de l'HbA1c à partir de la ligne de base par rapport au placebo (voir tableau 7). Le traitement par tanzeum n'a pas respecté la marge de non-infériorité préspécifiée (NULL,3%) contre la pioglitazone. Dans cet essai, le tanzeum a fourni moins de réduction de l'HbA1c que la pioglitazone et la différence de traitement était statistiquement significative (voir tableau 7). Le changement par rapport à la ligne de base en poids corporel pour le tanzeum ne différait pas significativement du placebo mais était significativement différent par rapport à la pioglitazone (voir tableau 7).

Tableau 7: Résultats à la semaine 52 (LOCF a ) Dans un essai comparant le tanzeum avec le placebo comme traitement complémentaire chez les patients insuffisamment contrôlés sur la metformine plus Sulfonylurea

Tanzém + Metformin + Glimepiride Placebo + Metformin + Glimepiride Pioglitazone metformine glimepiride
ICI a (n) 269 115 273
HbA1c (%)
Ligne de base (moyenne) 8.2 8.3 8.3
Changer à la semaine 52 b -0.6 0.3 -0.8
Différence par rapport au placebo + met + glim b (95% là-bas) -0.9
(-1.07 -0,68) c
Différence par rapport à la pioglitazone a rencontré Glim b (95% là-bas) 0.25
(NULL,10 0,40) d
Proportion réalisant HbA1c <7% 30 9 35
FPG (Mg / DL)
Ligne de base (moyenne) 171 174 177
Changer à la semaine 52 b -12 12 -31
Différence par rapport au placebo + met + glim b (95% là-bas) -24
(-34 -14) c
Différence par rapport à la pioglitazone a rencontré Glim b (95% là-bas) 19
(11 27) c
Poids corporel (kg)
Ligne de base (moyenne) 91 90 91
Changer à la semaine 52 b -0.4 -0.4 4.4
Différence par rapport au placebo + met + glim b (95% là-bas) -0.0
(-0,9 0,8)
Différence par rapport à la pioglitazone a rencontré Glim b (95% là-bas) -4.9
(-5.5 -4.2) c
a Population en intention de traiter. La dernière observation reportée (LOCF) a été utilisée pour imputer les données manquantes. Les données après l'apparition de la thérapie de sauvetage sont traitées comme manquantes. À la semaine 52, les données d'efficacité primaires ont été imputées pour 70% 35% et 34% des individus randomisés pour le placebo tanzeum et la pioglitazone respectivement.
b Les moindres carrés signifient ajustés pour la valeur de base et les facteurs de stratification.
c P <0.0001 for treatment difference.
d N'a pas rencontré une marge de non-infériorité de 0,3%.
Thérapie combinée: Active-Controlled Trial Versus Liraglutide

L'efficacité du tanzeum a été évaluée dans un essai de non-infériorité randomisé en ouvert randomisé de 32 semaines chez 805 patients atteints de diabète sucré de type 2 mal contrôlé sur la monothérapie ou la combinaison de thérapie antidiabétique (metformine thiazolidinedione sulfonylurea ou une combinaison de celles-ci). Les patients ont été randomisés en tanzeum 30 mg SC chaque semaine (avec une hausse à 50 mg par semaine à la semaine 6) ou en liraglutide 1,8 mg par jour (titré à partir de 0,6 mg à la semaine 1 et à partir de 1,2 mg à la semaine 2). L'âge moyen des participants était de 56 ans 50% des patients étaient des hommes, la durée moyenne du diabète de type 2 était de 8 ans et le EGFR moyen de base était de 95 ml / min / 1,73 m². Les résultats des analyses secondaires primaires et principaux sont présentés dans le tableau 8.

La différence entre le traitement de 0,2% avec un intervalle de confiance à 95% (NULL,08 0,34) entre le tanzeum et le liraglutide n'a pas respecté la marge non spécialisé prédéfinie (NULL,3%). Dans cet essai, le tanzeum a fourni moins de réduction de l'HbA1c que le liraglutide et la différence de traitement était statistiquement significative (voir tableau 8).

Tableau 8: Résultats de l'essai contrôlé de Tanzeum contre le liraglutide à la semaine 32 (LOCF a )

Tanzém Liraglutide
ICI a (n) 402 403
HbA1c (%)
Ligne de base (moyenne) 8,2% 8,2%
Changer à la semaine 32 b -0.8 -1.0
Différence par rapport au liraglutide b (95% là-bas) 0,2 (NULL,08 0,34) c
Proportion réalisant HbA1c <7% 42% 52%
FPG (Mg / DL)
Ligne de base (moyenne) 169 167
Changer à la semaine 32 b -22 -30
Différence par rapport au liraglutide b (95% là-bas) 8 (3 14) d
Poids corporel (kg)
Ligne de base (moyenne) 92 93
Changer à la semaine 32 b -0.6 -2.2
Différence par rapport au liraglutide b (95% là-bas) 1.6 (1.1 2.1) d
a Population en intention de traiter. La dernière observation reportée (LOCF) a été utilisée pour imputer les données manquantes. Les données après l'apparition de la thérapie de sauvetage sont traitées comme manquantes. À la semaine 32, les données d'efficacité primaires ont été imputées pour 31% et 24% des individus randomisés pour tanzeum et liraglutide respectivement.
b Les moindres carrés signifient ajustés pour la valeur de base et les facteurs de stratification.
c N'a pas rencontré une marge de non-infériorité de 0,3%.
d P <0.005 for treatment difference in favor of liraglutide.
Thérapie combinée: Active-Controlled Trial Versus Basal Insulin

L'efficacité du tanzeum a été évaluée dans un essai de non-ingérence contrôlé par l'insuline à insuline à insuline ouverte de 52 semaines (2: 1) chez 735 patients atteints de diabète sucré de type 2 par tous les par jour sur la metformine ≥ 1500 mg par jour (avec ou sans sulfonylurea). Les patients ont été randomisés pour recevoir du tanzeum 30 mg de SC chaque semaine (avec une hausse facultative à 50 mg par semaine) ou de l'insuline glargine (dose de départ médiane de 10 unités et titrée hebdomadaire par informations prescriptives). Le critère d'évaluation principal a été le changement de HbA1c par rapport à la ligne de base par rapport à l'insuline glargine. La dose quotidienne totale de départ de l'insuline glarnique variait entre 2 et 40 unités (dose quotidienne médiane de 10 unités) et variait entre 3 et 230 unités (dose quotidienne médiane de 30 unités) à la semaine 52. Soixante-neuf pour cent des patients traités par tanzéum ont été atteints de 50 mg SC semaine. L'âge moyen des participants était de 56 ans, 56% des patients étaient des hommes, la durée moyenne du diabète de type 2 était de 9 ans et le EGFR moyen de base était de 85 ml / min / 1,73 m². Les résultats des analyses secondaires primaires et principaux sont présentés dans le tableau 9.

La différence entre le traitement de 0,1% avec un intervalle de confiance à 95% (-0,04% 0,27%) pour le tanzeum et l'insuline glargine a rencontré la marge non spécifiée de non-infériorité (NULL,3%). Une diminution moyenne du poids corporel a été observée pour le tanzeum par rapport à une augmentation moyenne du poids corporel pour l'insuline glargine et la différence de changement de poids était statistiquement significative (voir tableau 9).

Tableau 9: Résultats à la semaine 52 (LOCF a .

Tanzém + Metformin (with or without Sulfonylurea) Glarcin à l'insuline + Metformin (with or without Sulfonylurea)
ICI a (n) 496 239
HbA1c (%)
Ligne de base (moyenne) 8.3 8.4
Changer à la semaine 52 b -0.7 -0.8
Différence par rapport à l'insuline glargine b (95% là-bas) 0,1 (-0,04 0,27) c
Proportion réalisant HbA1c <7% 32 33
FPG (Mg / DL)
Ligne de base (moyenne) 169 175
Changer à la semaine 52 b -16 -37
Différence par rapport à l'insuline glargine b (95% là-bas) 21 (14 29) d
Poids corporel (kg)
Ligne de base (moyenne) 95 95
Changer à la semaine 52 b -1.1 1.6
Différence par rapport à l'insuline glargineb (95% là-bas) -2,6 (-3.2 -2.0) e
a Population en intention de traiter. La dernière observation reportée (LOCF) a été utilisée pour imputer les données manquantes. Les données après l'apparition de la thérapie de sauvetage sont traitées comme manquantes. À la semaine 52, les données d'efficacité primaires ont été imputées pour 41% et 36% des individus randomisés pour le tanzeum et l'insuline glargine respectivement.
b Les moindres carrés signifient ajustés pour la valeur de base et les facteurs de stratification.
c A rencontré une marge de non-infériorité de 0,3%.
d P <0.0001 in favor of insulin glargine.
e P <0.0001.

Figure 3: Changement moyen de l'HbA1c par rapport à la ligne de base (finissants) dans un essai comparant le tanzeum avec l'insuline glargine comme traitement complémentaire chez les patients insuffisamment contrôlés sur la metformine (avec ou sans sulfonylurée)

Mean HbA1c Change from Baseline (Completers) in a Trial Comparing TANZEUM with Insulin Glargine as Add-On Therapy in Patients Inadequately Controlled on Metformin - Illustration
Thérapie combinée: Active-Controlled Trial Versus Pretial Insulin

L'efficacité du tanzeum a été évaluée dans un essai de non-inférieur multicentrique randomisé de 26 semaines de 26 semaines chez 563 patients atteints de diabète sucré de type 2, contrôlée par insuline glargine (≥20 unités par jour). Les patients ont été randomisés pour recevoir du tanzeum 30 mg de SC une fois par semaine (avec une hausse à 50 mg s'ils étaient mal contrôlés après la semaine 8) ou à l'insuline Lispro (administré quotidiennement au moment des repas commencés selon le niveau de soins et titré pour effet). À la semaine 26, la dose quotidienne moyenne d'insuline glargine était de 53 UI pour le tanzeum et 51 UI pour l'insuline Lispro. La dose quotidienne moyenne d'insuline Lispro à la semaine 26 était de 31 UI et 51% des patients traités par tanzeum étaient sur 50 mg chaque semaine. L'âge moyen des participants était de 56 ans 47% des patients étaient des hommes, la durée moyenne du diabète de type 2 était de 11 ans et le EGFR moyen de base était de 91 ml / min / 1,73 m². Les résultats des analyses secondaires primaires et principaux sont présentés dans le tableau 10. La figure 4 montre les changements moyens ajustés de l'HbA1c par rapport à la ligne de base à travers les visites d'étude.

La différence entre le traitement de -0,2% avec un intervalle de confiance à 95% (-0,32% 0,00%) entre l'albiglutide et l'insuline Lispro a rencontré la marge non spécialisé non spécifiée (NULL,4%). Le traitement avec du tanzeum a entraîné une perte de poids moyenne pour le tanzeum par rapport à un gain de poids moyen pour l'insuline Lispro et la différence entre les groupes de traitement était statistiquement significative (voir tableau 10).

Tableau 10: Résultats à la semaine 26 (LOCF a .

Tanzém + Glarcin à l'insuline Insuline Lispro + Glarcin à l'insuline
ICI a (n) 282 281
HbA1c (%)
Ligne de base (moyenne) 8.5 8.4
Changement à la semaine 26 b -0.8 -0.7
Différence par rapport à l'insuline Lispro b (95% là-bas) -0.2
(-0,32 0,00) c
Proportion réalisant HbA1c <7% 30% 25%
FPG (Mg / DL)
Ligne de base (moyenne) 153 153
Changement à la semaine 26 b -18 -13
Différence par rapport à l'insuline Lispro b (95% là-bas) -5 (-13 3)
Poids corporel (kg)
Ligne de base (moyenne) 93 92
Changement à la semaine 26 b -0.7 0.8
Différence par rapport à l'insuline Lispro b (95% là-bas) -1,5 (-2.1 -1.0) d
a Population en intention de traiter. La dernière observation reportée (LOCF) a été utilisée pour imputer les données manquantes. Les données après l'apparition de la thérapie de sauvetage sont traitées comme manquantes. À la semaine 26, les données d'efficacité primaires ont été imputées pour 29% et 29% des individus randomisés en tanzeum et en insuline Lispro respectivement.
b Les moindres carrés signifient ajustés pour la valeur de base et les facteurs de stratification.
c Exclut une marge de non-infériorité de 0,4%.
d P <0.0001 for treatment difference.

Figure 4: Changement moyen de l'HbA1c par rapport à la ligne de base (population ITT-LOCF) dans un essai comparant le tanzeum avec l'insuline Lispro comme thérapie complémentaire chez les patients insuffisamment contrôlés sur l'insuline glargine

Mean HbA1c Change from Baseline (ITT-LOCF population) in a Trial Comparing TANZEUM with Insulin Lispro as Add-On Therapy in Patients Inadequately Controlled on Insulin Glargine - Illustration

Patients de diabète sucré de type 2 souffrant d'insuffisance rénale

L'efficacité du tanzeum a été évaluée dans un essai contrôlé en double aveugle randomisé de 26 semaines chez 486 patients atteints de troubles rénaux modérés (n = 250) légers (n = 200) et sévères (n = 36) contrôlés par un régime actuel de régime alimentaire et d'exercice ou autre thérapie antidiabétique. Les patients ont été randomisés pour recevoir du tanzeum 30 mg SC chaque semaine (avec une hausse à 50 mg chaque semaine si nécessaire dès la semaine 4) ou de la sitagliptine. La sitagliptine a été dosée selon la fonction rénale (100 mg 50 mg et 25 mg par jour dans des troubles rénaux modérés et graves respectivement). L'âge moyen des participants était de 63 ans, 54% des patients étaient des hommes, la durée moyenne du diabète de type 2 était de 11 ans et le EGFR moyen de base était de 60 ml / min / 1,73 m².

Les résultats des analyses secondaires primaires et principaux sont présentés dans le tableau 11. Le traitement avec du tanzeum a entraîné des réductions statistiquement significatives de l'HbA1c de la ligne de base à la semaine 26 par rapport à la sitagliptine (voir le tableau 11).

Tableau 11: Résultats à la semaine 26 (LOCF a ) Dans un essai comparant le tanzeum avec la sitagliptine chez les patients souffrant de troubles rénaux

Tanzém Sitagliptine
ICI a (n) 246 240
HbA1c (%)
Ligne de base (moyenne) 8.1 8.2
Changement à la semaine 26 b -0.8 -0.5
Différence par rapport à la sitagliptine b (95% là-bas) -0.3
(-0,49 -0,15) c
Proportion réalisant HbA1c <7% 43% 31%
FPG (Mg / DL)
Ligne de base (moyenne) 166 165
Changement à la semaine 26 b -26 -4
Différence par rapport à la sitagliptine b (95% là-bas) -22 (-31 -13) c
Poids corporel (kg)
Ligne de base (moyenne) 84 83
Changement à la semaine 26 b -0.8 -0.2
Différence par rapport à la sitagliptine b (95% là-bas) -0,6 (-1.1 -0.1) d
a Population en intention de traiter. La dernière observation reportée (LOCF) a été utilisée pour imputer les données manquantes. Les données après l'apparition de la thérapie de sauvetage sont traitées comme manquantes. À la semaine 26, les données d'efficacité primaires ont été imputées pour 17% et 25% des individus randomisés pour tanzeum et sitagliptine respectivement.
b Les moindres carrés signifient ajustés pour la valeur de base et les facteurs de stratification.
c P <0.0003 for treatment difference.
d P = 0,0281 pour la différence de traitement.

Informations sur les patients pour Tanzeum

Tanzém®
(Tan-zee-um)
(albiglutide) pour l'injection pour une utilisation sous-cutanée

Lisez ce guide de médicaments avant de commencer à utiliser Tanzeum et chaque fois que vous obtenez une recharge. Il peut y avoir de nouvelles informations. Ces informations ne prennent pas la place de parler à votre fournisseur de soins de santé de votre état de santé ou de votre traitement.

Quelles sont les informations les plus importantes que je devrais connaître sur Tanzeum?

Tanzém may cause serious side effects including:

  • Tumeurs thyroïdiennes possibles, y compris le cancer. Dites à votre fournisseur de soins de santé si vous obtenez une bosse ou un gonflement dans votre enrouement de cou enroulant la déglutition ou un essoufflement. Il peut s'agir de symptômes du cancer de la thyroïde. Dans des études avec des rats et des médicaments sur les souris qui fonctionnent comme le tanzeum, a provoqué des tumeurs thyroïdiennes, y compris le cancer de la thyroïde. On ne sait pas si le tanzeum provoquera des tumeurs thyroïdiennes ou un type de cancer de la thyroïde appelée carcinome thyroïdien médullaire (MTC) chez les personnes.
  • N'utilisez pas Tanzeum si vous Ou n'importe lequel de votre famille a déjà eu un type de cancer de la thyroïde appelée carcinome thyroïdien médullaire (MTC) ou si vous avez une condition du système endocrinien appelé syndrome de néoplasie endocrinienne multiple de type 2 (Men 2).

Qu'est-ce que Tanzeum?

Tanzém is an injectable prescription medicine that may improve blood sugar (glucose) in adults with type 2 diabète sucré et should be used along with diet et exercise.

  • Tanzém is not recommended as the first choice of medicine for treating diabetes.
  • On ne sait pas si le tanzeum peut être utilisé chez les personnes qui ont eu une pancréatite.
  • Tanzém is not a substitute for insulin et is not for use in people with type 1 diabetes or people with diabetic keàacidosis.
  • Tanzém is not recommended for use in people with severe sàmach or intestinal problems.
  • On ne sait pas si Tanzeum peut être utilisé avec l'insuline des repas.
  • On ne sait pas si Tanzeum est sûr et efficace pour une utilisation chez les enfants de moins de 18 ans.

Qui ne devrait pas utiliser Tanzeum?

N'utilisez pas de tanzeum si:

  • Vous ou votre famille avez déjà eu un type de cancer de la thyroïde appelée carcinome médullaire de la thyroïde (MTC) ou si vous avez une condition du système endocrinien appelé syndrome de néoplasie endocrinienne multiple de type 2 (Men 2).
  • Vous êtes allergique à l'albiglutide ou à l'un des ingrédients de Tanzeum. Voyez quels sont les effets secondaires possibles de Tanzeum ?. Voir la fin de ce guide de médicaments pour une liste complète des ingrédients à Tanzeum.

Que dois-je dire à mon fournisseur de soins de santé avant d'utiliser Tanzeum?

Avant d'utiliser Tanzeum, dites à votre fournisseur de soins de santé si vous:

  • ont ou ont eu des problèmes avec vos reins de pancréas ou votre foie.
  • Ayez de graves problèmes avec votre estomac, comme la vidange ralentie de votre estomac (gastroparésie) ou des problèmes de digestion des aliments.
  • avoir d'autres conditions médicales.
  • sont enceintes ou prévoient de devenir enceintes. On ne sait pas si Tanzeum nuira à votre bébé à naître. Dites à votre fournisseur de soins de santé si vous tombez enceinte en utilisant Tanzeum.
  • allaitent ou prévoient d'allaiter. On ne sait pas si Tanzeum passe dans votre lait maternel. Vous et votre fournisseur de soins de santé devriez décider si vous utiliserez du tanzeum ou de l'allaitement.

Parlez à votre fournisseur de soins de santé de tous les médicaments que vous prenez y compris les médicaments sur ordonnance et en vente libre des vitamines et des suppléments à base de plantes. Le tanzeum peut affecter le fonctionnement de certains médicaments et certains médicaments peuvent affecter le fonctionnement du tanzeum.

Avant d'utiliser Tanzeum, parlez à votre fournisseur de soins de santé de la basse glycémie et de la façon de le gérer. Dites à votre fournisseur de soins de santé si vous prenez d'autres médicaments pour traiter le diabète, y compris l'insuline ou les sulfonylures. Connaissez les médicaments que vous prenez. Gardez une liste d'entre eux pour montrer votre fournisseur de soins de santé et votre pharmacien lorsque vous obtenez un nouveau médicament.

Comment dois-je utiliser Tanzeum?

  • Lisez les instructions pour une utilisation, y compris les questions fréquemment posées avec Tanzeum la première fois que vous vous donnez une injection et à nouveau chaque fois que vous vous donnez une injection.
  • Utilisez Tanzeum exactement comme votre professionnel de la santé vous le dit.
  • Votre fournisseur de soins de santé devrait vous montrer comment utiliser Tanzeum avant de l'utiliser pour la première fois.
  • Tanzém is injected under the skin (subcutaneously) of your sàmach (abdomen) thigh or upper arm. Ne pas inject Tanzém inà a muscle (intramuscularly) or vein (intravenously).
  • Utilisez Tanzeum 1 fois par semaine le même jour chaque semaine à tout moment de la journée.
  • Vous pouvez changer le jour de la semaine tant que votre dernière dose a été donnée 4 jours ou plus auparavant.
  • Si vous manquez une dose de Tanzeum, prenez la dose manquée de Tanzeum dans les 3 jours suivant votre journée prévue habituelle. Si plus de 3 jours se sont écoulés depuis que votre dose manquée attend votre prochaine dose hebdomadaire régulière. Ne prenez pas 2 doses de tanzeum dans les 3 jours les uns des autres.
  • Tanzém may be taken with or without food.
  • Tanzém should be injected within 8 hours after mixing your medicine.
  • Tanzém should be injected right after you attach the needle.
  • Ne mélangez pas l'insuline et le tanzeum dans la même injection.
  • Changez (tournez) votre site d'injection à chaque injection hebdomadaire. N'utilisez pas le même site pour chaque injection.
  • Si vous prenez trop de tanzeum, appelez votre médecin ou allez immédiatement aux urgences les plus proches.

Ne partagez pas votre stylo ou les aiguilles de tanzeum avec une autre personne. Vous pouvez donner à une autre personne une infection ou obtenir une infection de leur part.

Votre dose de tanzeum et d'autres médicaments contre le diabète peut avoir besoin de changer à cause de: Le changement de niveau d'activité physique ou de la prise de poids ou de la perte de l'exercice a augmenté le changement de maladie du stress dans l'alimentation ou en raison d'autres médicaments que vous prenez.

Quels sont les effets secondaires possibles de Tanzeum?

Tanzém may cause serious side effects including:

  • Voir Quelles sont les informations les plus importantes que je devrais connaître sur Tanzeum?
  • Inflammation de votre pancréas (pancréatite). Arrêtez d'utiliser Tanzeum et appelez votre fournisseur de soins de santé immédiatement si vous avez une douleur intense dans votre estomac (abdomen) qui ne disparaîtra pas avec ou sans vomir. Vous pouvez ressentir de la douleur de votre abdomen à votre dos.
  • Basse glycémie (hypoglycémie). Votre risque d'obtention de la glycémie peut être plus élevée si vous utilisez du tanzeum avec un autre médicament qui peut provoquer une glycémie faible comme une sulfonylurée ou une insuline. Les signes et symptômes de la glycémie faible peuvent inclure:
    • étourdissements ou étourdissements
    • vision floue
    • irritabilité de l'anxiété ou changements d'humeur
    • transpiration
    • discours
    • faim
    • confusion ou somnolence
    • shakakess
    • Se sentir nerveux
    • mal de tête
    • battement de cœur rapide
    • faiblesse
  • Réactions allergiques graves. Arrêtez d'utiliser Tanzeum et obtenez une aide médicale immédiatement si vous avez des symptômes d'une réaction allergique grave, notamment:
    • gonflement de ton visage lèvres langue ou gorge
    • s'évanouir ou se sentir étourdi
    • Problèmes respirer ou avaler
    • rythme cardiaque très rapide
    • éruption cutanée sévère ou démangeaisons
  • Problèmes rénaux (insuffisance rénale). Chez les personnes qui ont des problèmes rénaux, les nausées et les vomissements peuvent provoquer une perte de liquides (déshydratation), ce qui peut aggraver les problèmes rénaux.

Les effets secondaires les plus courants du tanzeum peuvent inclure:

  • infection des voies respiratoires supérieures
  • maux de dos
  • diarrhée
  • douleurs articulaires
  • nausée
  • inflammation des sinus
  • Réactions sur votre site d'injection
  • symptômes de la grippe
  • toux

Parlez à votre fournisseur de soins de santé de tout effet secondaire qui vous dérange ou ne disparaît pas. Ce ne sont pas tous les effets secondaires possibles du tanzeum.

Appelez votre médecin pour des conseils médicaux sur les effets secondaires. Vous pouvez signaler les effets secondaires à la FDA au 1-800-FDA-1088.

Informations générales sur l'utilisation sûre et efficace du tanzeum.

Les médicaments sont parfois prescrits à des fins autres que celles énumérées dans un guide de médicaments. N'utilisez pas de tanzeum pour une condition pour laquelle il n'a pas été prescrit. Ne donnez pas de tanzeum à d'autres personnes même s'ils présentent les mêmes symptômes que vous. Cela peut leur faire du mal.

Ce guide de médicaments résume les informations les plus importantes sur Tanzeum. Si vous souhaitez plus d'informations, parlez avec votre fournisseur de soins de santé. Vous pouvez demander à votre pharmacien ou fournisseur de soins de santé pour des informations sur Tanzeum qui est écrit pour les professionnels de la santé.

Quels sont les ingrédients de Tanzeum?

Ingrédient actif: albiglutide

Ingrédients inactifs: Le polysorbate de mannitol 80 phosphate de sodium et tréhalose dihydraté. Tanzeum ne contient pas de conservateur.

Ce guide de médicaments a été approuvé par la Food and Drug Administration des États-Unis.

Instructions pour une utilisation

Tanzém ®
(Tan-zee-um)
(albiglutide) pour l'injection pour une utilisation sous-cutanée

Tanzém (albiglutide) Pen 30 mg

Utilisez 1 fois par semaine

Lisez toutes les instructions, y compris les questions fréquemment posées et suivez les étapes ci-dessous pour mélanger le médicament et préparer le stylo à l'injection.

Gardez ces instructions et utilisez-les chaque fois que vous préparez votre médicament.

Le défaut de suivre les étapes A à C dans le bon ordre peut entraîner des dommages à votre stylo.

TANZEUM (albiglutide) Injection Pen - Illustration

Informations sur ce stylo

  • Ce médicament est injecté 1 heure chaque semaine.
  • Le stylo a une poudre de médicament dans 1 compartiment et de l'eau dans un autre compartiment. À la fin de l'étape A, vous devrez les mélanger ensemble en tordant le stylo puis attendez 15 Minutes pour les médicaments et l'eau pour se mélanger complètement.

PRUDENCE:

Ne laissez pas le stylo se congeler. Jetez le stylo si gelé.

Si vous êtes stocké au réfrigérateur, permettez de reposer à température ambiante pendant 15 minutes avant de commencer l'étape A.

N'attachez pas l'aiguille jusqu'à l'étape B. déposez immédiatement le stylo après l'injection. Ne récapitulez pas de supprimer ou de réutiliser l'aiguille.

Avant de commencer: lavez-vous les mains Rassemblez et inspectez vos fournitures

  • Lavez-vous les mains.
  • Sortez un stylo et une nouvelle aiguille hors de la boîte et cochez l'étiquette de votre stylo pour vous assurer que c'est votre dose de médecine prescrite.
  • Rassembler un Coupe vide propre pour tenir le stylo pendant que le médicament mélange un minuterie d'horloge pour mesurer le temps pendant que les médicaments se mélangent et un grand récipient à tranches pour l'élimination du stylo. Voir Éliminer vos stylos et aiguilles d'occasion à la fin de ces instructions.
TANZEUM (albiglutide) Injection Pen - Illustration
TANZEUM (albiglutide) Injection Pen - Illustration
Clean empty cup - Illustration
Timer - Illustration
Sharps container - Illustration

Étape A

Inspectez votre stylo et mélangez votre médicament

Inspectez votre stylo

  • Assurez-vous que vous disposez de toutes les fournitures énumérées ci-dessus (stylo à empatter à emporte-pointeur de tasse à aiguille).
  • Vérifiez la date d'expiration sur le stylo. Ne pas Utiliser si expiré.
  • Check Expiration Date - Illustration
  • Vérifiez que le stylo a un [1] Dans la fenêtre numéro.
    Ne pas Utiliser si le [1] ne montre pas.
  • Check that the pen has a [1] in the number window - Illustration

Twist Pen pour mélanger votre médicament

  • Tenez le corps du stylo avec la cartouche claire pointant vers le haut pour que vous Voir le [1] dans la fenêtre numérique.
  • Avec votre autre main tordre la cartouche claire Plusieurs fois dans le sens de la flèche (dans le sens des aiguilles d'une montre) jusqu'à ce que vous ressentiez et entendez le stylo cliquer en place et vous Voir le [2] dans la fenêtre numéro . Cela mélangera la poudre de médecine et le liquide dans la cartouche claire.
  • Slowly and gently rock the pen side to side - Illustration
    Hold the pen body with the clear cartridge pointing up and twist the clear cartridge several times - Illustration
  • Rockage lentement et doucement le stylo à côté (comme un essuie-glace) 5 fois pour mélanger le médicament. Ne pas Secouez le stylo dur pour éviter la moussière; Cela peut affecter votre dose.
Slowly and gently rock the pen - Illustration

Attendez que les médicaments se dissolvent

  • Placez le stylo dans la tasse vide propre pour garder la cartouche claire pointant vers le haut.
  • Réglez la minuterie de l'horloge pendant 15 minutes.
  • Set the clock timer for 15 minutes - Illustration

Vous devez attendre 15 minutes pour que le médicament se dissout avant de continuer à étape B.

Étape B

Fixez l'aiguille et préparez le stylo à l'injection

Après l'attente de 15 minutes, lavez-vous les mains et terminez tout de suite le reste des marches.

Inspectez votre médicament dissous

  • Encore une fois, secouez lentement et doucement le stylo à côté (comme un essuie-glace) 5 fois pour mélanger à nouveau le médicament. Ne pas Secouez le stylo dur pour éviter la moussière; Cela peut affecter votre dose.
  • Slowly and gently rock the pen side to side - Illustration
  • Parcourez la fenêtre de visualisation pour vérifier que le liquide dans la cartouche est clair et gratuit 854 de particules solides.
  • Look through the viewing window to check that the liquid in the cartridge is clear and free of solid particles - Illustration
  • Le liquide aura une couleur jaune et il y aura grandes bulles d'air au-dessus du liquide.

Fixez l'aiguille

  • Décollez l'onglet du capuchon d'aiguille extérieur.
  • Peel the tab from the outer needle cap - Illustration
  • Tenez le stylo avec la cartouche transparente pointant vers le haut et poussez l'aiguille directement vers le bas sur la cartouche claire jusqu'à ce que vous entendiez un clic et que vous sentiez l'aiguille se claquer en place. Cela signifie que l'aiguille est attachée.
  • Hold the pen with the clear cartridge pointing up and push the needle straight down onto the clear cartridge - Illustration

Appuyez sur des bulles d'air

  • Avec la pointe d'aiguille, appuyez doucement sur la cartouche claire 2 à 3 fois pour amener de grandes bulles d'air au sommet.
  • Gently tap the clear cartridge 2 to 3 times to bring large air bubbles to the top - Illustration

Les petites bulles sont correctes et n'ont pas besoin de monter au sommet.

Twist Pen pour amorcer l'aiguille

  • Une fois que l'aiguille est attachée lentement tordre la cartouche claire Plusieurs fois dans le sens de la flèche (dans le sens des aiguilles d'une montre) jusqu'à ce que vous ressentiez et entendez le stylo clic et vous Voir le [3] dans la fenêtre numéro . Cela supprime les grandes bulles d'air de la cartouche transparente. Le bouton d'injection sortira également du bas du stylo.
  • Slowly twist the clear cartridge several times in the direction of the arrow - Illustration

Étape C

Retirez les deux bouchons d'aiguille et injectez votre médicament

Retirer les bouchons d'aiguille

  • Retirez soigneusement le capuchon d'aiguille extérieur puis le capuchon à aiguille interne. Quelques gouttes de liquide peuvent sortir de l'aiguille. C'est normal.
  • Carefully remove the outer needle cap then the inner needle cap - Illustration

Injecter le médicament

  • Insérez l'aiguille dans la peau sur votre cuisse de l'abdomen ou le haut du bras et injectez comme vous le montrent par votre fournisseur de soins de santé.
  • Injection sites - Illustration
  • Avec votre pouce, appuyez lentement et régulièrement le bouton d'injection pour injecter votre médicament.
  • Plus vous appuyez lent sur le bouton, moins vous ressentirez de pression.
  • Gardez le bouton d'injection enfoncé jusqu'à ce que vous entendiez un clic. Après avoir entendu le clic, continuez à maintenir votre pouce sur le bouton, puis à compter lentement à 5 pour fournir la dose complète du médicament.
  • Holding your thumb down on the button and then slowly count to 5 to deliver the full dose of the medicine - Illustration
  • Après avoir entendu le clic, puis compter lentement à 5 Tirez l'aiguille de votre peau.

Éliminer vos stylos et aiguilles d'occasion

  • Ne pas Récapitulez l'aiguille ou retirez l'aiguille du stylo.
  • Mettez immédiatement vos aiguilles et stylos usagés dans un conteneur d'élimination des objets tranchants approuvé par la FDA après utilisation. Ne pas throw away (dispose of) loose needles et pens in your household trash.
  • Put your used needles and pens in an FDA-cleared sharps disposal container - Illustration

Informations générales sur l'utilisation sûre et efficace du tanzeum

  • Prendre 1 heure chaque semaine. You can take your medicine at any time of day with or without meals.
  • Votre fournisseur de soins de santé vous apprendra à mélanger et à injecter du tanzeum avant 894 Vous l'utilisez pour la première fois. Si vous avez des questions ou ne comprenez pas le Instructions pour une utilisation Parlez à votre fournisseur de soins de santé.
  • Utilisez Tanzeum exactement comme vous le dit votre fournisseur de soins de santé. Ne pas Changez votre dose ou arrêtez Tanzeum sans parler à votre fournisseur de soins de santé.
  • Changez (tournez) votre site d'injection à chaque injection (hebdomadaire).
  • Tanzém is injected under the skin (subcutaneously) in your sàmach area (abdomen) upper leg (thigh) or upper arm.
  • Ne pas Injectez du tanzeum dans une veine ou un muscle.
  • Si vous utilisez du tanzeum avec de l'insuline, vous devez injecter séparément votre tanzeum et votre insuline. Ne pas mix insulin et Tanzém àgether. Vous pouvez injecter du tanzeum et de l'insuline dans la même zone corporelle (par exemple votre zone d'estomac) mais vous ne devez pas donner les injections les uns à côté des autres.
  • Gardez les stylos et les aiguilles hors de portée des enfants.
  • Utilisez toujours une nouvelle aiguille pour chaque injection.
  • Ne pas share pens or needles.

Questions fréquemment posées

Dosing de médicaments

Et si je dois prendre mon médicament un jour différent de la semaine?

  • Vous pouvez prendre votre prochaine dose de médecine un jour différent aussi longtemps que cela au moins 4 jours depuis votre dernière dose.

Et si j'oublie de prendre le médicament le jour où je suis censé le faire?

  • Prendre your missed dose of medicine within 3 jours après votre journée prévue, puis revenez à votre journée prévue pour votre prochaine dose. Si plus de 3 Les jours se sont écoulés depuis que votre journée prévue habituelle attend la prochaine journée prévue pour prendre l'injection de Tanzeum.

Stockage

Comment dois-je stocker mes médicaments?

  • Conservez vos stylos dans le réfrigérateur entre 36 ° F et 46 ° F (2 ° C à 8 ° C).
  • Vous pouvez stocker votre stylo dans la boîte à température ambiante en dessous de 86 ° F (30 ° C) pour jusqu'à 4 des semaines avant d'être prête à utiliser le stylo.
  • Stockez les stylos dans le carton dans lequel ils sont entrés.
  • Ne pas stylos gel. Si le liquide dans le stylo est gelé, jetez le stylo et utilisez un autre stylo.

Fenêtre numérique

Les numéros 1 et 3 sont-ils utilisés pour sélectionner ma dose de médecine?

  • Non, vous n'avez pas à sélectionner votre dose. Les chiffres sont pour vous aider à vous préparer et à donner vos médicaments.
    Numéro 1: Le stylo est prêt à commencer. La poudre de médecine et l'eau sont dans des compartiments séparés dans la cartouche claire. Si vous ne voyez pas de numéro 1 Dans la fenêtre jette le stylo.
    Numéro 2: La poudre de médecine et l'eau sont mélangées puis secouées doucement. Attendez 15 Minutes puis attacher l'aiguille.
    Numéro 3: Les grandes bulles d'air sont retirées, le bouton d'injection apparaît et le stylo est prêt pour l'injection.

Étape A: Inspectez votre stylo et mélangez votre médicament

Et si je n'attends pas 15 minutes après avoir tourné le stylo au numéro 2?

  • Si vous n'attendez pas le plein 15 Minutes Le médicament peut ne pas être mélangé avec l'eau de la bonne manière. Cela peut entraîner des particules flottant dans la cartouche transparente sans obtenir votre dose complète ou une aiguille bloquée. En attendant le plein 15 Les minutes garantissent que la poudre de médecine et l'eau sont mélangées de la bonne manière même si elle peut sembler être mélangée plus tôt.

Et si je quitte mon stylo pendant plus de 15 minutes après avoir tourné le stylo au numéro 2 à l'étape A?

  • Tant que l'aiguille n'a pas été attachée, le stylo peut être utilisé pour jusqu'à 8 des heures du temps Étape A a été démarré. Si ça a été plus que 8 heures depuis que le médicament a été mélangé Étape A Jetez le stylo et utilisez un autre stylo.
  • Si vous avez attaché, le tanzeua à l'aiguille doit être utilisé immédiatement.

Étape B: Fixez l'aiguille et préparez le stylo à l'injection

Et si je laisse mon stylo avec l'aiguille attachée à l'étape B et que je reviens plus tard pour terminer l'étape C?

  • Cela peut faire bloquer votre aiguille, vous devez continuer Étape B à Étape C tout de suite.

Et si je n'attache pas l'aiguille à l'étape B comme indiqué?

  • Si l'aiguille est attachée à Étape A Certains médicaments peuvent être perdus pendant le mélange. Ne pas attach the needle at Étape A.
  • La fixation de l'aiguille tandis que le numéro 2 est dans la fenêtre permet à l'air à l'intérieur de la cartouche de s'échapper à travers l'aiguille. Si vous ne cliquez pas sur l'aiguille ou si vous commencez à tourner la cartouche avant de fixer l'aiguille, le stylo peut ne pas fournir la dose complète.
  • Si le stylo est coincé ou fuit, jetez-le et utilisez un autre stylo.

Et si je n'entends pas le clic lorsque le 2 ou lorsque le 3 est déplacé dans la fenêtre du numéro?

  • Si vous n'entendez pas de clic lorsque le 2 ou lorsque le 3 est déplacé dans la fenêtre numérique, vous n'avez peut-être pas le numéro entièrement centré dans la fenêtre. Tordre la cartouche claire légèrement dans le sens des flèches (dans le sens des aiguilles d'une montre) pour terminer le clic et centrer le numéro dans la fenêtre.
  • Si vous ne pouvez pas vous tourner vers la position 3, jetez-le et utilisez un autre stylo.

Étape C: Retirez les deux bouchons d'aiguille et injectez votre médicament

Après avoir tourné le stylo au numéro 3 (étape B), il reste encore de petites bulles d'air. Puis-je encore utiliser le stylo?

  • Voiring small air bubbles remaining is normal et you can still use the pen.

Après avoir donné mon médicament, il y a encore du liquide dans la cartouche claire.

  • C'est normal. Si vous avez entendu et senti le bouton d'injection cliquer et compté lentement pour 5 Avant de retirer l'aiguille de votre peau, vous auriez dû recevoir la dose complète de votre médicament.

Comment devrais-je éliminer le stylo?

  • Ne pas Récapitulez l'aiguille ou retirez l'aiguille du stylo.
  • Mettez immédiatement vos aiguilles et stylos usagés dans un conteneur d'élimination des objets tranchants approuvé par la FDA après utilisation. Ne pas throw away (dispose of) loose needles et pens in your household trash.
  • Si vous ne disposez pas d'un conteneur d'élimination des objets tranchants approuvé par la FDA, vous pouvez utiliser un conteneur domestique qui est:
    • fait d'un plastique robuste
    • peut être fermé avec un couvercle résistant à la perforation serrée sans que les objets tranchants ne puissent sortir
    • droit et stable pendant l'utilisation
    • résistant à la fuite et
    • correctement étiqueté pour avertir des déchets dangereux à l'intérieur du récipient.
  • Lorsque votre conteneur d'élimination des objets tranchants est presque plein, vous devrez suivre vos directives communautaires pour la bonne façon de disposer de votre conteneur d'élimination des objets tranchants. Il peut y avoir des lois étatiques ou locales sur la façon dont vous devez jeter les aiguilles et les stylos usagés. Pour plus d'informations sur l'élimination des objets de reculations sûrs et pour des informations spécifiques sur l'élimination des objets tranchants dans l'État dans lequel vous vivez dans le site Web de la FDA à: https://www.fda.gov/safesharpsdisposal.
  • Ne pas Jetez votre conteneur d'élimination des objets tranchants d'occasion dans vos déchets ménagers, sauf si vos directives communautaires le permettent. Ne pas Recyclez votre conteneur d'élimination des objets tranchants d'occasion.
30 mg pen - Illustration

Veuillez vous assurer que vous utilisez la bonne dose.
Ces instructions concernent la dose de 30 mg.

Instructions pour une utilisation

Tanzém ®
(Tan-zee-um)
(albiglutide)
pour l'injection pour une utilisation sous-cutanée

Tanzém (albiglutide) Pen 50 mg

Utilisez 1 fois par semaine

Lisez toutes les instructions, y compris les questions fréquemment posées et suivez les étapes ci-dessous pour mélanger le médicament et préparer le stylo à l'injection.

Gardez ces instructions et utilisez-les chaque fois que vous préparez votre médicament.

Le défaut de suivre les étapes A à C dans le bon ordre peut entraîner des dommages à votre stylo.

TANZEUM (albiglutide) Pen 50 mg - Illustration

Informations sur ce stylo

  • Ce médicament est injecté 1 heure chaque semaine.
  • Le stylo a une poudre de médicament dans 1 compartiment et de l'eau dans un autre compartiment. À la fin de l'étape A, vous devrez les mélanger ensemble en tordant le stylo puis attendez 30 Minutes pour les médicaments et l'eau pour se mélanger complètement.

PRUDENCE:

Ne laissez pas le stylo se congeler. Jetez le stylo si gelé.

Si vous êtes stocké au réfrigérateur, permettez de reposer à température ambiante pendant 15 minutes avant de commencer l'étape A.

N'attachez pas l'aiguille jusqu'à l'étape B. déposez immédiatement le stylo après l'injection. Ne récapitulez pas de supprimer ou de réutiliser l'aiguille.

Avant de commencer: lavez-vous les mains Rassemblez et inspectez vos fournitures

  • Lavez-vous les mains.
  • Sortez un stylo et une nouvelle aiguille hors de la boîte et cochez l'étiquette de votre stylo pour vous assurer que c'est votre dose de médecine prescrite.
  • Rassembler un Coupe vide propre pour tenir le stylo pendant que le médicament mélange un minuterie d'horloge pour mesurer le temps pendant que les médicaments se mélangent et un grand récipient à tranches pour l'élimination du stylo. Voir Éliminer vos stylos et aiguilles d'occasion à la fin de ces instructions.
TANZEUM (albiglutide) Pen 50 mg - Illustration
TANZEUM (albiglutide) Pen 50 mg pen - Illustration
Clean empty cup - Illustration
Timer - Illustration
Sharps container - Illustration

Étape A

Inspectez votre stylo et mélangez votre médicament

Inspectez votre stylo

  • Assurez-vous que vous disposez de toutes les fournitures énumérées ci-dessus (stylo à empatter à emporte-pointeur de tasse à aiguille).
  • Vérifiez la date d'expiration sur le stylo. Ne pas Utiliser si expiré.
  • Check Expiration Date - Illustration
  • Vérifiez que le stylo a un [1] Dans la fenêtre numéro.
    Ne pas Utiliser si le [1] ne montre pas.
  • Check that the pen has a [1] in the number window - Illustration

Twist Pen pour mélanger votre médicament

  • Tenez le corps du stylo avec la cartouche claire pointant vers le haut pour que vous Voir le [1] dans la fenêtre numérique.
  • Avec votre autre main tordre la cartouche claire Plusieurs fois dans le sens de la flèche (dans le sens des aiguilles d'une montre) jusqu'à ce que vous ressentiez et entendez le stylo cliquer en place et vous Voir le [2] dans la fenêtre numéro. Cela mélangera la poudre de médecine et le liquide dans la cartouche claire.
  • Twist the clear cartridge several times in the direction of the arrow - Illustration
    See the [2] in the number window - Illustration
  • Rockage lentement et doucement le stylo à côté (comme un essuie-glace) 5 fois pour mélanger le médicament. Ne pas Secouez le stylo dur pour éviter la moussière; Cela peut affecter votre dose.
  • Slowly and gently rock the pen side to side - Illustration

Attendez que les médicaments se dissolvent

  • Placez le stylo dans la tasse vide propre pour garder la cartouche claire pointant vers le haut.
  • Réglez la minuterie de l'horloge pendant 30 minutes.
  • Set the clock timer for 30 minutes - Illustration

Vous devez attendre 30 minutes pour que le médicament se dissolve avant de continuer à étape B.

Étape B

Fixez l'aiguille et préparez le stylo à l'injection

Après l'attente de 30 minutes, lavez-vous les mains et terminez tout de suite le reste des marches.

Inspectez votre médicament dissous

  • Encore une fois, secouez lentement et doucement le stylo à côté (comme un essuie-glace) 5 fois pour mélanger à nouveau le médicament. Ne pas Secouez le stylo dur pour éviter la moussière; Cela peut affecter votre dose.
  • Parcourez la fenêtre de visualisation pour vérifier que le liquide dans la cartouche est clair et exempt de particules solides.
  • Le liquide aura une couleur jaune et il y aura grandes bulles d'air au-dessus du liquide.

Fixez l'aiguille

  • Décollez l'onglet du capuchon d'aiguille extérieur.
  • Tenez le stylo avec la cartouche transparente pointant vers le haut et poussez l'aiguille directement vers le bas sur la cartouche claire jusqu'à ce que vous entendiez un clic et que vous sentiez l'aiguille se claquer en place. Cela signifie que l'aiguille est attachée.

Appuyez sur des bulles d'air

  • Avec la pointe d'aiguille, appuyez doucement sur la cartouche claire 2 à 3 fois pour amener de grandes bulles d'air au sommet.
  • Les petites bulles sont correctes et n'ont pas besoin de monter au sommet.

Twist Pen pour amorcer l'aiguille

  • Une fois que l'aiguille est attachée lentement tordre la cartouche claire Plusieurs fois dans le sens de la flèche (dans le sens des aiguilles d'une montre) jusqu'à ce que vous ressentiez et entendez le stylo clic et vous Voir le [3] dans la fenêtre numéro . Cela supprime les grandes bulles d'air de la cartouche transparente. Le bouton d'injection sortira également du bas du stylo.

Étape C

Retirez les deux bouchons d'aiguille et injectez votre médicament

Retirer les bouchons d'aiguille

  • Retirez soigneusement le capuchon d'aiguille extérieur puis le capuchon à aiguille interne. Quelques gouttes de liquide peuvent sortir de l'aiguille. C'est normal.

Injecter le médicament

  • Insérez l'aiguille dans la peau sur votre cuisse de l'abdomen ou le haut du bras et injectez comme vous le montrent par votre fournisseur de soins de santé.
  • Avec votre pouce, appuyez lentement et régulièrement le bouton d'injection pour injecter votre médicament. Plus vous appuyez lent sur le bouton, moins vous ressentirez de pression.
  • Gardez le bouton d'injection enfoncé jusqu'à ce que vous entendiez un clic. Après avoir entendu le clic, continuez à maintenir votre pouce sur le bouton, puis à compter lentement à 5 pour fournir la dose complète du médicament.
  • Après avoir entendu le clic, puis compter lentement à 5 Tirez l'aiguille de votre peau.

Éliminer vos stylos et aiguilles d'occasion

  • Ne pas Récapitulez l'aiguille ou retirez l'aiguille du stylo.
  • Mettez immédiatement vos aiguilles et stylos usagés dans un conteneur d'élimination des objets tranchants approuvé par la FDA après utilisation. Ne pas throw away (dispose of) loose needles et pens in your household trash.

Informations générales sur l'utilisation sûre et efficace du tanzeum

  • Prendre 1 heure chaque semaine. You can take your medicine at any time of day with or without meals.
  • Votre fournisseur de soins de santé vous apprendra à mélanger et à injecter du tanzeum avant de l'utiliser pour la première fois. Si vous avez des questions ou ne comprenez pas le Instructions pour une utilisation Parlez à votre fournisseur de soins de santé.
  • Utilisez Tanzeum exactement comme vous le dit votre fournisseur de soins de santé. Ne pas Changez votre dose ou arrêtez Tanzeum sans parler à votre fournisseur de soins de santé.
  • Changez (tournez) votre site d'injection à chaque injection (hebdomadaire).
  • Tanzém is injected under the skin (subcutaneously) in your sàmach area (abdomen) upper leg (thigh) or upper arm.
  • Ne pas Injectez du tanzeum dans une veine ou un muscle.
  • Si vous utilisez du tanzeum avec de l'insuline, vous devez injecter séparément votre tanzeum et votre insuline. Ne pas mix insulin et Tanzém àgether . Vous pouvez injecter du tanzeum et de l'insuline dans la même zone corporelle (par exemple votre zone d'estomac) mais vous ne devez pas donner les injections les uns à côté des autres.
  • Gardez les stylos et les aiguilles hors de portée des enfants.
  • Utilisez toujours une nouvelle aiguille pour chaque injection.
  • Ne pas share pens or needles.

Questions fréquemment posées

Dosing de médicaments

Et si je dois prendre mon médicament un jour différent de la semaine?

  • Vous pouvez prendre votre prochaine dose de médecine un jour différent aussi longtemps que cela au moins 4 jours depuis votre dernière dose.

Et si j'oublie de prendre le médicament le jour où je suis censé le faire?

  • Prendre your missed dose of medicine within 3 jours après votre journée prévue, puis revenez à votre journée prévue pour votre prochaine dose. Si plus de 3 Les jours se sont écoulés depuis que votre journée prévue habituelle attend la prochaine journée prévue pour prendre l'injection de Tanzeum.

Stockage

Comment dois-je stocker mes médicaments?

  • Conservez vos stylos dans le réfrigérateur entre 36 ° F et 46 ° F (2 ° C à 8 ° C).
  • Vous pouvez stocker votre stylo dans la boîte à température ambiante en dessous de 86 ° F (30 ° C) pour jusqu'à 4 des semaines avant d'être prête à utiliser le stylo.
  • Stockez les stylos dans le carton dans lequel ils sont entrés.
  • Ne pas stylos gel. Si le liquide dans le stylo est gelé, jetez le stylo et utilisez un autre stylo.

Fenêtre numérique

Les numéros 1 et 3 sont-ils utilisés pour sélectionner ma dose de médecine?

  • Non, vous n'avez pas à sélectionner votre dose. Les chiffres sont pour vous aider à vous préparer et à donner vos médicaments.
    Numéro 1: Le stylo est prêt à commencer. La poudre de médecine et l'eau sont dans des compartiments séparés dans la cartouche claire. Si vous ne voyez pas de numéro 1 Dans la fenêtre jette le stylo.
    Numéro 2: La poudre de médecine et l'eau sont mélangées puis secouées doucement. Attendez 30 Minutes puis attacher l'aiguille.
    Numéro 3: Les grandes bulles d'air sont retirées, le bouton d'injection apparaît et le stylo est prêt pour l'injection.

Étape A: Inspectez votre stylo et mélangez votre médicament

Et si je n'attends pas 30 minutes après avoir tourné le stylo au numéro 2?

  • Si vous n'attendez pas le plein 30 Minutes Le médicament peut ne pas être mélangé avec l'eau de la bonne manière. Cela peut entraîner des particules flottant dans la cartouche transparente sans obtenir votre dose complète ou une aiguille bloquée. En attendant le plein 30 Les minutes garantissent que la poudre de médecine et l'eau sont mélangées de la bonne manière même si elle peut sembler être mélangée plus tôt.

Et si je laisse mon stylo pendant plus de 30 minutes après avoir tourné le stylo au 1138 numéro 2 à l'étape A?

  • Tant que l'aiguille n'a pas été attachée, le stylo peut être utilisé pour jusqu'à 8 des heures du temps Étape A a été démarré. Si ça a été plus que 8 heures depuis que le médicament a été mélangé Étape A Jetez le stylo et utilisez un autre stylo.
  • Si vous avez attaché, le tanzeua à l'aiguille doit être utilisé immédiatement.

Étape B: Fixez l'aiguille et préparez le stylo à l'injection

Et si je laisse mon stylo avec l'aiguille attachée à l'étape B et que je reviens plus tard pour terminer l'étape C?

  • Cela peut faire bloquer votre aiguille, vous devez continuer Étape B à Étape C tout de suite.

Et si je n'attache pas l'aiguille à l'étape B comme indiqué?

  • Si l'aiguille est attachée à Étape A Certains médicaments peuvent être perdus pendant le mélange. Ne pas attach the needle at Étape A.
  • La fixation de l'aiguille tandis que le numéro 2 est dans la fenêtre permet à l'air à l'intérieur de la cartouche de s'échapper à travers l'aiguille. Si vous ne cliquez pas sur l'aiguille ou si vous commencez à tourner la cartouche avant de fixer l'aiguille, le stylo peut ne pas fournir la dose complète.
  • Si le stylo est coincé ou fuit, jetez-le et utilisez un autre stylo.

Et si je n'entends pas le clic lorsque le 2 ou lorsque le 3 est déplacé dans la fenêtre du numéro?

  • Si vous n'entendez pas de clic lorsque le 2 ou lorsque le 3 est déplacé dans la fenêtre numérique, vous n'avez peut-être pas le numéro entièrement centré dans la fenêtre. Tordre la cartouche claire légèrement dans le sens des flèches (dans le sens des aiguilles d'une montre) pour terminer le clic et centrer le numéro dans la fenêtre.
  • Si vous ne pouvez pas vous tourner vers la position 3, jetez-le et utilisez un autre stylo.

Étape C: Retirez les deux bouchons d'aiguille et injectez votre médicament

Après avoir tourné le stylo au numéro 3 (étape B), il reste encore de petites bulles d'air. Puis-je encore utiliser le stylo?

  • Voiring small air bubbles remaining is normal et you can still use the pen.

Après avoir donné mon médicament, il y a encore du liquide dans la cartouche claire.

  • C'est normal. Si vous avez entendu et senti le bouton d'injection cliquer et compté lentement pour 5 Avant de retirer l'aiguille de votre peau, vous auriez dû recevoir la dose complète de votre médicament.

Comment devrais-je éliminer le stylo?

  • Ne pas Récapitulez l'aiguille ou retirez l'aiguille du stylo.
  • Mettez immédiatement vos aiguilles et stylos usagés dans un conteneur d'élimination des objets tranchants approuvé par la FDA après utilisation. Ne pas throw away (dispose of) loose needles et pens in your household trash.
  • Si vous ne disposez pas d'un conteneur d'élimination des objets tranchants approuvé par la FDA, vous pouvez utiliser un conteneur domestique qui est:
    • fait d'un plastique robuste
    • peut être fermé avec un couvercle résistant à la perforation serrée sans que les objets tranchants ne puissent sortir
    • droit et stable pendant l'utilisation
    • résistant à la fuite et
    • correctement étiqueté pour avertir des déchets dangereux à l'intérieur du récipient.
  • Lorsque votre conteneur d'élimination des objets tranchants est presque plein, vous devrez suivre vos directives communautaires pour la bonne façon de disposer de votre conteneur d'élimination des objets tranchants. Il peut y avoir des lois étatiques ou locales sur la façon dont vous devez jeter les aiguilles et les stylos usagés. Pour plus d'informations sur l'élimination des objets de reculations sûrs et pour des informations spécifiques sur l'élimination des objets tranchants dans l'État dans lequel vous vivez dans le site Web de la FDA à: https://www.fda.gov/safesharpsdisposal.
  • Ne pas Jetez votre conteneur d'élimination des objets tranchants d'occasion dans vos déchets ménagers, sauf si vos directives communautaires le permettent. Ne pas Recyclez votre conteneur d'élimination des objets tranchants d'occasion.

Veuillez vous assurer que vous utilisez la bonne dose.
Ces instructions concernent la dose de 50 mg.

Ces instructions pour une utilisation ont été approuvées par la Food and Drug Administration des États-Unis.