Les Informations Présentées Sur Ce Site Ne Constituent Pas Un Avis Médical. Nous Ne Vendons Rien. L'Exactitude De La Traduction N'Est Pas Garantie. Clause De Non-Responsabilité
Corticostéroïdes, topique
Tri-lumière
Résumé
Qu'est-ce que Tri-Luma?
Tri-luma ( fluocinolone L'acétonide 0,01% d'hydroquinone 4% de trétinoïne 0,05%) est une combinaison de trois médicaments (un agent de blanchiment de la peau stéroïde et une forme de vitamine A) utilisée pour traiter le mélasma (parcelles de peau foncée) du visage.
Quelles substances ou suppléments de médicaments interagissent avec Tri-Luma?
Tri-Luma peut provoquer des effets secondaires graves, notamment:
- assombrissement ou décoloration de la peau traitée
- irritation de vos yeux nez ou bouche
- Redness de la peau sévère démangeaisons de peeling boursoufler ou croûte
- brûlure sévère ou gonflement de la peau
- aggraver la fatigue
- faiblesse musculaire
- perte d'appétit
- diarrhée
- Perte de poids ou gain de poids (en particulier dans votre visage, le haut du dos et le torse)
- guérison des plaies lents
- peau d'amincissement
- Augmentation des poils du corps
- changements dans la fonction sexuelle
- dépression
- anxiété et
- Se sentir irritable
Obtenez de l'aide médicale immédiatement si vous présentez l'un des symptômes énumérés ci-dessus.
Les effets secondaires courants de Tri-Luma comprennent:
- brûlure légère
- piqûre
- rougeur
- sécheresse
- picotements
- démangeaison
- gonflement ou
- peler de votre peau; éruption cutanée; acné; bosses de peau ou cloques; ou
- Des lignes rouges ou des vaisseaux sanguins plus perceptibles montrant à travers votre peau
Cherchez des soins médicaux ou appelez le 911 à la fois si vous avez les effets secondaires graves suivants:
- Des symptômes oculaires graves tels que la perte de vision soudaine floue du tunnel de vision de la vision de la vision des yeux ou de l'enflure ou de voir des halos autour des lumières;
- Symptômes cardiaques graves tels que les battements cardiaques rapides ou battants; flotter dans votre poitrine; essoufflement; et des étourdissements soudains étourdisseurs ou s'évanouissant;
- Maux de tête sévères Confusion Slurred Speech Bras ou Ligne Proulitude Trouble de la merde Perte de coordination Sentiment des muscles très rigides très rigides Fièvre élevée Propice ou des tremblements.
Ce document ne contient pas tous les effets secondaires possibles et d'autres peuvent survenir. Vérifiez auprès de votre médecin des informations supplémentaires sur les effets secondaires.
Dosage pour Tri-Luma
La crème Tri-Luma doit être appliquée une fois par jour. Il doit être appliqué au moins 30 minutes avant le coucher.
Quels sont les effets secondaires de Tri-Luma?
Tri-Luma peut interagir avec les antibiotiques diurétiques (pilules d'eau) antibiotiques sulfa phénothiazines pilules contraceptives ou l'hormonothérapie remplacée par l'hormone. Dites à votre médecin tous les médicaments que vous prenez.
Tri-Luma pendant la grossesse et l'allaitement
Tri-Luma n'est pas recommandé pour une utilisation pendant la grossesse. Un médicament dans ce produit (trétinoïne) a causé du mal à un fœtus lorsqu'il est pris par la bouche. On ne sait pas si ces médicaments passent dans le lait maternel lorsqu'ils sont appliqués sur la peau. Consultez votre médecin avant l'allaitement. Évitez le contact peau à peau avec votre bébé dans les zones où ce produit a été utilisé.
Informations Complémentaires
aNotre Tri-Luma (fluocinolone acétonide 0,01% d'hydroquinone 4% de trétinoïne 0,05%) Le centre de médicaments à effets secondaires offre une vue complète des informations sur les médicaments disponibles sur les effets secondaires potentiels lors de la prise de ce médicament.
Informations sur les médicaments de la FDA
- Description de la drogue
- Indications
- Dosage
- Effets secondaires
- Avertissements
- Surdosage
- Pharmacologie clinique
- Guide des médicaments
Description de Tri-Luma
La crème de Tri-Luma (fluocinolone acétonide hydroquinone et de trétinoine) 0,01% / 4% / 0,05% contient de l'hydroquinone USP de fluocinolone acétonide USP et de la trétinoïne USP dans une base de crème hydrophile jaune légère pour une application topique.
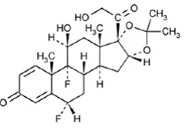
L'acétonide de fluocinolone est un corticostéroïde à fluor synthétique. C'est une poudre cristalline blanche qui est inodore et stable en lumière.
Le nom chimique de l'acétonide de fluocinolone est: (6α11β16α) -69-difluoro-1121-dihydroxy-1617 - [(1-méthyléthylidène) bis (oxy)] - pregna-1-4-diène-320dione.
La formule moléculaire est C 24 H 30 F 2 O 6 et le poids moléculaire est de 452,50.
L'acétonide de fluocinolone a la formule structurelle suivante:
|
L'hydroquinone est un inhibiteur de la synthèse de la mélanine. Il est préparé à partir de la réduction de la p-benzoquinone avec du bisulfite de sodium. Il se produit comme de fines aiguilles blanches qui s'assombrissent sur l'exposition à l'air. Le nom chimique de l'hydroquinone est: 14-benznenediol.
La formule moléculaire est C 6 H 6 O 2 et le poids moléculaire est de 110,11.
L'hydroquinone a la formule structurelle suivante:
Triamterène HCTZ 37,5 25 effets secondaires
|
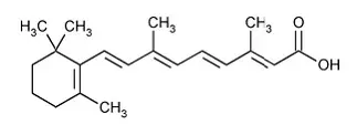
La trétinoïne un rétinoïde est de l'acide tout trans-rétinoïque formé à partir de l'oxydation du groupe aldéhyde de rétinène dans un groupe carboxyle. Il se produit sous forme de cristaux jaunes à orange léger ou de poudre cristalline avec une odeur caractéristique de l'élinique. Il est très réactif à la lumière et à l'humidité.
Le nom chimique de la trétinoïne est: (All-E) -37-diméthyl-9- (266-triméthyl-1-cyclohexen-1-yl) -2468-nonatraenoïque.
La formule moléculaire est C 20 H 28 O 2 et le poids moléculaire est de 300,44.
La trétinoïne a la formule structurelle suivante:
|
Chaque gramme de crème Tri-Luma contient actif: acétonide de fluocinolone 0,01% (NULL,1 mg) d'hydroquinone 4% (40 mg) et de trétinoïne 0,05% (NULL,5 mg). INACTIVE: Hydroxytoluène cétyl alcool cétyl citrique citrique glycérine glycérine glycéryl stéarate magnésium aluminium silicate méthyl gluceth-10 méthylparaben PEG-100 stearate propylparabène purifié à l'eau métabisulfite de l'acide stéarique et de stéaryle.
Utilisations pour Tri-Luma
Indication
La crème Tri-Luma est une combinaison de l'hydroquinone de la fluocinolone (un corticostéroïde) (un inhibiteur de la synthèse de la mélanine) et de la trétinoïne (un rétinoïde) qui est indiquée pour le traitement à court terme des écrans modérés à sévères du visage en présence de mesures pour l'évitement du soleil, y compris l'utilisation des écrans solaires.
Limitations d'utilisation
La crème Tri-Luma n'est pas indiquée pour le traitement d'entretien du mélasma. Après avoir atteint le contrôle avec la crème Tri-Luma, certains patients peuvent être gérés avec d'autres traitements au lieu d'une triple thérapie avec de la crème Tri-Luma. Le mélasma se reproduit généralement lors de l'arrêt de la crème Tri-Luma.
La sécurité et l'efficacité de la crème Tri-Luma chez les patients des types de peau de Fitzpatrick V et VI n'ont pas été étudiées. Un blanchiment excessif entraînant un effet cosmétique indésirable chez les patients à la peau plus foncée ne peut pas être exclu.
L'innocuité et l'efficacité de la crème Tri-Luma dans le traitement des conditions d'hyperpigmentation autres que le mélasma du visage n'ont pas été étudiées.
Parce que les femmes enceintes et allaitantes ont été exclues et que les femmes de potentiel de procréation devaient utiliser des mesures de contrôle des naissances dans les essais cliniques, la sécurité et l'efficacité de la crème Tri-Luma chez les femmes enceintes et les mères qui allaitent n'ont pas été établies [voir Utiliser dans des populations spécifiques ].
Dosage pour Tri-Luma
Appliquez un film mince de crème Tri-Luma sur la zone affectée une fois par jour au moins 30 minutes avant le coucher.
Lavez doucement le visage et le cou avec un nettoyant doux. Rincer et tapoter la peau sèche. Appliquez de la crème Tri-Luma sur les zones hyperpigmentées du mélasma, y compris environ ½ pouce de peau d'apparence normale entourant chaque lésion. Frottez légèrement et uniformément dans la peau.
La thérapie doit être interrompue lorsque le contrôle est atteint.
Pendant la journée, utilisez un écran solaire de SPF 30 et portez des vêtements de protection. Évitez l'exposition au soleil. Les patients peuvent utiliser des hydratants et / ou des cosmétiques pendant la journée. La crème Tri-Luma est pour une utilisation topique uniquement. Ce n'est pas pour une utilisation orale ophtalmique ou intravaginale.
Comment fourni
Dosage Forms And Strengths
Crème 0,01% / 4% / 0,05%.
Chaque gramme de crème Tri-Luma contient 0,1 mg d'acétonide de fluocinolone 40 mg d'hydroquinone et 0,5 mg de trétinoïne dans une base de crème hydrophile jaune clair.
Stockage et manipulation
Crème tri-juma est de couleur jaune clair et fourni en tubes en aluminium de 30 g NDC 0299-5950-30.
Stockage
Restez bien fermé. Conserver dans un réfrigérateur 2 ° -8 ° C (36 ° -46 ° F). Protéger contre le gel.
Commercié par: Galderma Laboratories L.P. Fort Worth TX 76177 USA. Fabriqué par: Hill Dermaceuticals Inc. Sanford FL 32773 USA. Fabriqué par: G Production Inc. Baie d'Urfé QC H9X 3S4 Canada. Fabriqué au Canada. Révisé: mars 2014
Effets secondaires de Tri-Luma
Étant donné que les essais cliniques sont menés dans des conditions de réaction indésirables très variables observées dans les essais cliniques d'un médicament ne peuvent pas être directement comparées aux taux dans les essais cliniques d'un autre médicament et peuvent ne pas refléter les taux observés dans la pratique clinique.
Dans les essais cliniques contrôlés, les événements indésirables ont été surveillés chez les 161 sujets qui ont utilisé la crème Tri-Luma une fois par jour au cours d'une période de traitement de 8 semaines. Il y avait 102 (63%) sujets qui ont connu au moins un événement indésirable lié au traitement au cours de ces essais. Les événements les plus fréquemment signalés étaient la sécheresse et le prurit de la desquamation de l'érythème au site d'application. La majorité de ces événements étaient légers à modérés en gravité. Les événements indésirables rapportés par au moins 1% des patients et jugés par les enquêteurs sont raisonnablement liés au traitement avec la crème Tri-Luma des essais cliniques contrôlés sont résumés (par ordre décroissant de fréquence) comme suit:
Tableau 1: Incidence et fréquence des événements indésirables liés au traitement avec de la crème Tri-Luma chez au moins 1% ou plus des sujets (n = 161)
| Événement indésirable | n (%) |
| Érythème | 66 (41%) |
| Desquamation | 61 (38%) |
| Brûlant | 29 (18%) |
| Sécheresse | 23 (14%) |
| Prurit | 18 (11%) |
| Acné | 8 (5%) |
| Paresthésie | 5 (3%) |
| Télangiectasie | 5 (3%) |
| Hyperesthsie | 3 (2%) |
| Changements pigmentaires | 3 (2%) |
| Irritation | 3 (2%) |
| Papules | 2 (1%) |
| Acné-like rash | 1 (1%) |
| Rosacée | 1 (1%) |
| Bouche sèche | 1 (1%) |
| Éruption cutanée | 1 (1%) |
| Vésicules | 1 (1%) |
Dans un essai ouvert, des sujets qui ont subi un traitement cumulatif du mélasma avec de la crème Tri-Luma pendant 6 mois ont montré un schéma similaire d'événements indésirables que dans les études de 8 semaines.
Les effets indésirables locaux suivants ont été signalés avec des corticostéroïdes topiques. Ils peuvent survenir plus fréquemment avec l'utilisation de pansements occlusifs, en particulier avec des corticostéroïdes de puissance plus élevés. Ces réactions sont répertoriées dans un ordre d'occurrence décroissant approximatif: brûler les démangeaisons de la sécheresse d'irritation folliculite éruptions acneiformes hypopigmentation de la dermatite périorale à contact allergique de la dermatite secondaire atrophie cutanée et miliaria.
Interactions médicamenteuses pour Tri-Luma
Aucune information fournie.
Avertissements pour Tri-Luma
Inclus dans le cadre du PRÉCAUTIONS section.
Précautions pour Tri-Luma
Hypersensibilité
Crème tri-juma contains sodium metabisulfite a sulfite that may cause allergic-type reactions including anaphylactic symptoms et life-threatening asthmatic episodes in susceptible individuals. If anaphylaxis asthma or other clinically significant hypersensitivity reactions occur institute appropriate therapy et discontinue Tri-lumière. Allergic contact dermatitis may also occur [see Réactions cutanées ].
Ochronose exogène
Crème tri-juma contains hydroquinone which may produce exogenous ochronosis a gradual blue-black darkening of the skin the occurrence of which should prompt discontinuation of therapy. The majority of patients developing this condition are Black but it may also occur in Caucasians et Hispanics.
Effets sur le système endocrinien
Crème tri-juma contains the corticosteroid fluocinolone acetonide. Systemic absorption of topical corticosteroids can produce reversible hypothalamic-pituitary-adrenal (HPA) axis suppression with the potential for glucocorticosteroid insufficiency after withdrawal of treatment. Manifestations of Cushing's syndrome hyperglycemia et glucosuria can also be produced by systemic absorption of topical corticosteroid while on treatment. If HPA axis suppression is noted the use of Crème tri-juma should be discontinued. Recovery of HPA axis function generally occurs upon discontinuation of topical corticosteroids.
Le test de stimulation de l'ACTH ou de la cosyntropine peut être utile pour évaluer les patients pour la suppression de l'axe HPA.
Réactions cutanées
Une hypersensibilité cutanée aux ingrédients actifs de la crème Tri-Luma a été signalée dans la littérature. Dans une étude de test de patch pour déterminer le potentiel de sensibilisation chez 221 volontaires sains, trois volontaires ont développé des réactions de sensibilité à la crème Tri-Luma ou à ses composants.
Crème tri-juma contains hydroquinone et tretinoin that may cause mild to moderate irritation. Local irritation such as skin reddening peeling brûlure légère sensation sécheresse et pruritus may be expected at the site of application. Transient skin reddening or brûlure légère sensation does not preclude treatment. If a reaction suggests hypersensitivity or chemical irritation the use of the medication should be discontinued.
Les patients doivent éviter les savons médicamenteux ou abrasifs et les nettoyants savons et cosmétiques avec des effets de séchage avec des concentrations élevées d'alcool et d'astringents et autres irritants ou médicaments kératolytiques pendant le traitement à la crème Tri-Luma. Les patients sont mis en garde sur l'utilisation concomitante des médicaments connus pour être photosensibilisante.
Informations de conseil des patients
Voir Étiquetage des patients approuvé par la FDA ( Informations sur les patients )
Informer les patients des éléments suivants:
- Conseiller aux patients de passer aux formes non hormonales de contrôle des naissances si des méthodes hormonales sont utilisées.
- Utilisez la crème Tri-Luma comme indiqué par le fournisseur de soins de santé et n'utilisez pas de crème Tri-Luma pour tout trouble autre que celle pour laquelle il est prescrit.
- Évitez l'exposition à la lampe solaire au soleil ou à la lumière ultraviolette. Les patients qui sont systématiquement exposés à la lumière du soleil ou aux irritants cutanés soit par leur environnement de travail ou leurs habitudes devraient faire preuve d'une prudence particulière. Utilisez un écran solaire et un revêtement protecteur (comme l'utilisation d'un chapeau) sur les zones traitées. L'utilisation de la crème solaire est un aspect essentiel de la thérapie par mélasma car même la lumière du soleil minimale soutient l'activité mélanocytaire.
- Les temps des conditions telles que la chaleur ou le froid peuvent être irritant pour les patients traités avec de la crème Tri-Luma. En raison de l'effet de séchage de ce médicament, une crème hydratante peut être appliquée au visage le matin après le lavage.
- Gardez la crème Tri-Luma loin des yeux des angles de nez de la bouche ou des plaies ouvertes car ces zones sont plus sensibles à l'effet irritant. Si l'irritation locale persiste ou devient grave, interrompez l'application des médicaments et consultez votre fournisseur de soins de santé. Cherchez des soins médicaux si vous ressentez une croûte de dermatite à contact allergique et une brûlure ou un gonflement sévère de la peau et de l'irritation des muqueuses des yeux le nez et la bouche.
- Si le médicament est appliqué excessivement marqué, un décoller ou un inconfort peut se produire.
- Lavez-vous les mains après chaque application.
Toxicologie non clinique
Carcinogenèse Mutagenèse A trouble de la fertilité
Lorsque la fluocinolone acétonide hydroquinone et la trétinoïne dans des combinaisons fixes équivalentes à 10% 50% 100% et 150% des concentrations de la formulation clinique de la crème Tri-Luma ont été appliquées topiquement aux souris mâles et femelles CD-1 jusqu'à 24 mois à des dosages en approximation jusqu'à 50 19000 et 250 μg / kg / jour respectivement (correspondant (correspondant à Dosages de 150 50 μg / kg / kg μg / m² / jour respectivement) Aucun changement statistiquement significatif de l'incidence tumorale n'a été observé.
Lorsque la fluocinolone acétonide hydroquinone et la trétinoïne dans des combinaisons fixes équivalentes à 10% 25% 50% et 100% des concentrations de la formulation clinique de la crème Tri-Luma ont été appliquées par voie topiquement aux rats SD mâles et femelles jusqu'à 24 mois à des dosages en approximation de 10 4000 et 50 μg / kg / jour respectivement (correspondant à des dosages de 60 000 et 300 et 300 et 300 μg / m² / jour respectivement) augmentations statistiquement significatives des incidences des adénomes des cellules d'îlots et des adénomes et des carcinomes des cellules d'îlots combinés et des carcinomes du pancréas chez les hommes et les femmes ont été observés. La pertinence clinique de ces résultats est inconnue.
Des études sur l'hydroquinone chez les animaux ont démontré des preuves de cancérogénicité. Le potentiel cancérigène de l'hydroquinone chez l'homme est inconnu.
Des études sur des souris albinos sans poils suggèrent qu'une exposition simultanée à la trétinoïne peut améliorer le potentiel tumorigène des doses cancérigènes des UVB et des UVA à partir d'un simulateur solaire. Cet effet a été confirmé dans une étude ultérieure chez les souris pigmentées et la pigmentation foncée n'a pas surmonté l'amélioration de la photocarcinogenèse de 0,05% de trétinoïne. Bien que la signification de ces études aux humains ne soit pas claire, les patients devraient minimiser l'exposition à la lumière du soleil ou aux sources d'irradiation ultraviolette artificielle.
Les études de mutagénicité n'ont pas été menées avec cette combinaison d'ingrédients actifs. Des études publiées ont démontré que l'hydroquinone est un mutagène et un clastogène. Le traitement par l'hydroquinone a entraîné des résultats positifs pour la toxicité génétique dans le test Ames dans les souches bactériennes sensibles à l'oxydation des mutagènes dans in vitro Études sur les cellules de mammifères et dans le test de micronucléus de souris in vivo. Il a été démontré que la trétinoïne est négative pour la mutagenèse dans le test Ames. Des informations supplémentaires concernant le potentiel de toxicité génétique de la trétinoïne et de l'acétonide de fluocinolone ne sont pas disponibles.
Une étude de fertilité reproductive cutanée a été réalisée chez des rats SD en utilisant une dilution de 10 fois de la formulation clinique. Aucun effet n'a été observé sur les paramètres traditionnels utilisés pour évaluer la fertilité, bien que la prolongation de l'oestrus ait été observée chez certaines femmes et qu'il y ait eu une tendance à une augmentation de la perte avant et post-implantation qui n'était pas statistiquement significative. Aucune étude adéquate de la fertilité et de la toxicité embryonnaire précoce du produit médicamenteuse pleine résistance n'a été effectuée. Dans une étude de six mois dans des minipigs, de petits testicules et une hypospermie sévère ont été trouvés lorsque les hommes ont été traités par voie topique avec le produit médicamenteux à pleine puissance.
Utiliser dans des populations spécifiques
Grossesse
Effets tératogènes - catégorie de grossesse C
Il n'y a pas d'études adéquates et bien contrôlées chez les femmes enceintes. La crème Tri-Luma ne doit être utilisée pendant la grossesse que si le bénéfice potentiel justifie le risque potentiel pour le fœtus. La crème Tri-Luma contient la tératogène trétinoïne qui peut provoquer des malformations congénitales de croissance fœtale altérée par la mort des embryons et la mort fœtale et des déficits neurologiques potentiels.
Dans les essais cliniques impliquant une crème Tri-Luma dans le traitement des femmes mélasmatiques faciales de potentiel pouvant être un traitement au potentiel d'enfant seulement après avoir passé un test de grossesse négatif et utilisé des mesures de contraception efficaces pendant le traitement. Cependant, 13 femmes sont tombées enceintes pendant le traitement avec de la crème Triluma. La plupart des résultats de la grossesse sont inconnus. Trois femmes ont donné naissance à des bébés apparemment en bonne santé. Une grossesse a été interrompue prématurément et une autre s'est terminée par une fausse couche.
En général, l'utilisation des médicaments doit être réduite à un minimum pendant la grossesse. Si un patient a été exposé par inadvertance à la crème Tri-Luma pendant la grossesse, elle devrait être conseillé sur le risque de tératogenèse en raison de cette exposition. Le risque de tératogenèse due à une exposition topique à la crème Tri-Luma peut être considéré comme faible. Cependant, l'exposition pendant la période d'organogenèse au cours du premier trimestre est théoriquement plus susceptible de produire des résultats négatifs que lors de la grossesse ultérieure.
La trétinoïne est considérée comme très tératogène lors de l'administration systémique. Les études de reproduction animale ne sont pas disponibles avec une hydroquinone topique. Il a été démontré que les corticostéroïdes sont tératogènes chez les animaux de laboratoire lorsqu'ils sont administrés systématiquement à des niveaux de dose relativement faibles. Certains corticostéroïdes se sont révélés tératogènes après application cutanée chez les animaux de laboratoire.
- Dans une étude d'application dermique utilisant la crème Tri-Luma chez les lapins enceintes, il y a eu une augmentation du nombre de décès in utero et une diminution du poids fœtal dans les portées des barrages traités par voie topique avec le médicament.
- Dans une étude d'application dermique chez des rats enceintes traités avec de la crème Tri-Luma pendant l'organogenèse, il y avait des preuves de tératogénicité du type attendu avec de la trétinoïne. Ces altérations morphologiques comprenaient la fente palatine saillant la langue ouverte des yeux ombilicaux et le pliage rétinien ou la dysplasie.
- Dans une étude d'application cutanée sur les effets gestationnels et postnatals d'une dilution de 10 fois de la crème Tri-Luma chez le rat, une augmentation du nombre de chiots morts-nés inférieurs des poids corporels des chiots et un retard de séparation préputiale ont été observés. Une augmentation de l'activité globale a été observée dans certaines portées traitées au jour postnatal 22 et dans toutes les portées traitées à cinq semaines, un schéma compatible avec les effets précédemment notés chez les animaux exposés in utero avec des acides rétinoïques. Aucune étude adéquate des effets gestationnels tardifs et postnatals de la crème Tri-Luma pleine résistance n'a été effectuée.
- Il est difficile d'interpréter ces études animales sur la tératogénicité avec la crème Tri-Luma car la disponibilité des applications cutanées dans ces études n'a pas pu être assurée et la comparaison avec le dosage clinique n'est pas possible.
Mères qui allaitent
Les corticostéroïdes lorsqu'ils sont administrés systémiquement apparaissent dans le lait maternel. On ne sait pas si l'application topique de la crème tri-luma pourrait entraîner une absorption systémique suffisante pour produire des quantités détectables de fluocinolone acétonide hydroquinone ou de trétinoïne dans le lait maternel. Parce que de nombreux médicaments sont sécrétés dans la prudence du lait maternel doivent être exercés lorsque la crème Tri-Luma est administrée à une femme d'allaitement. Des précautions doivent être prises pour éviter les contacts entre le nourrisson soigné et la crème Tri-Luma.
Usage pédiatrique
La sécurité et l'efficacité de la crème Tri-Luma chez les patients pédiatriques n'ont pas été établies.
Utilisation gériatrique
Les études cliniques de la crème Tri-Luma ne comprenaient pas un nombre suffisant de sujets âgés de 65 ans et plus pour déterminer s'ils réagissent différemment des sujets plus jeunes. D'autres expériences cliniques signalées n'ont pas identifié de différences dans les réponses entre les patients âgés et les patients plus jeunes. En général, la sélection de la dose pour un patient âgé doit être prudente qui commence généralement à l'extrémité inférieure de la plage de dosage reflétant la plus grande fréquence de diminution de la fonction rénale ou cardiaque hépatique et de maladie concomitante ou autre médicament.
Informations sur la surdose pour Tri-Luma
Aucune information fournie.
Contre-indications pour Tri-Luma
Crème tri-juma is contraindicated in individuals with a history of hypersensitivity to this product or any of its components.
Pharmacologie clinique for Tri-Luma
Mécanisme d'action
Le mécanisme d'action des ingrédients actifs dans la crème Tri-Luma dans le traitement du mélasma est inconnu.
Pharmacocinétique
L'absorption percutanée de l'hydroquinone et de l'acétonide de fluocinolone inchangée dans la circulation systémique de deux groupes de volontaires sains (total n = 59) s'est avéré minimal après 8 semaines d'application quotidienne de 1G (groupe I n = 45) ou 6G (groupe II n = 14) de la crème Tri-Luma.
Pour la trétinoïne, des concentrations plasmatiques quantifiables ont été obtenues dans 57,78% (26 sur 45) du groupe I et 57,14% (8 sur 14) des sujets du groupe II. L'exposition à la trétinoïne telle que reflétée par les valeurs C MAX variait de 2,01 à 5,34 ng / ml (groupe I) et 2,0 à 4,99 ng / ml (groupe II). Ainsi, l'application quotidienne de la crème Tri-Luma a entraîné une augmentation minimale des niveaux endogènes normaux de trétinoïne. Les niveaux de trétinoïne circulants ne représentent qu'une partie des rétinoïdes totaux associés à la trétinoïne qui comprendraient des métabolites de la trétinoïne et qui séquestraient en tissus périphériques.
Pour l'hydroquinone, des concentrations plasmatiques quantifiables ont été obtenues chez 18% (8 sur 44) sujets du groupe I. L'exposition à l'hydroquinone, comme le reflète les valeurs C Max, variait de 25,55 à 86,52 ng / ml. Tous les sujets du groupe II (dose de 6G) avaient des concentrations d'hydroquinone plasmatiques post-dose en dessous de la limite de quantification. Pour les groupes de fluocinolone acétonide, les sujets I et II avaient toutes les concentrations plasmatiques post-dose en dessous de la limite de quantification.
À quoi sert le stylo Humira pour
Études cliniques
Deux essais d'efficacité et de sécurité adéquats et bien contrôlés ont été menés dans 641 sujets âgés de 21 à 75 ans ayant des types de peau Fitzpatrick I-IV et un mélasma modéré à sévère du visage. La crème Tri-Luma a été comparée à 3 combinaisons possibles de 2 des 3 ingrédients actifs [(1) de l'hydroquinone 4% (HQ) de trétinoïne 0,05% (PR); (2) acétonide de fluocinolone 0,01% (FA) Trétinoïne 0,05% (PR); (3) acétonide de fluocinolone 0,01% (FA) hydroquinone 4% (QG)] contenu dans le même véhicule que la crème Tri-Luma. Les sujets ont été invités à appliquer leurs médicaments d'étude chaque nuit après avoir lavé le visage avec un nettoyant doux sans savon pendant 8 semaines. Des instructions ont été données pour appliquer une mince couche de médicaments d'étude à la lésion hyperpigmentée en s'assurant de couvrir toute la lésion, y compris les bordures extérieures s'étendant à la peau pigmentée normale. Les sujets ont reçu un hydratant doux pour une utilisation au besoin. Un écran solaire avec SPF 30 a également été fourni avec des instructions pour une utilisation quotidienne. Les vêtements de protection et l'évitement de l'exposition au soleil au visage ont été recommandés.
Les sujets ont été évalués pour la gravité du mélasma au départ et aux semaines 1 2 4 et 8 de traitement. L'efficacité primaire était basée sur la proportion de sujets qui avaient une évaluation par les enquêteurs du succès du traitement défini comme le nettoyage du mélasma à la fin de la période de traitement de huit semaines. La majorité des sujets inscrits aux deux essais étaient blancs (environ 66%) et des femmes (environ 98%). Il a été démontré que la crème Tri-Luma est beaucoup plus efficace que toutes les autres combinaisons des ingrédients actifs.
Analyse d'efficacité primaire
Tableau 2: Évaluation des enquêteurs du succès du traitement * à la fin de 8 semaines de traitement
| Tri-lumière | HQ RA | Four Ra | FA HQ | ||
| Procès 1 | Sujets n | 85 | 83 | 85 | 85 |
| Succès n | 32 | 12 | 0 | 3 | |
| Proportion de succès | 38% | 15% | 0 | 4% | |
| valeur p | <0.001 | <0.001 | <0.001 | ||
| Procès 2 | Sujets n | 76 | 75 | 76 | 76 |
| Succès n | 10 | 3 | 3 | 1 | |
| Proportion de succès | 13% | 4% | 4% | 1% | |
| valeur p | 0.045 | 0.042 | 0.005 | ||
| * Le succès du traitement a été défini comme un score de gravité du mélasma de zéro (lésions de mélasma éliminée d'hyperpigmentation). valeur p is from Cochran-Mantel-Haenszel chi-square statistics controlling for pooled investigator et comparing Crème tri-juma to the other treatment groups. |
Dans l'évaluation des enquêteurs de la gravité du mélasma au jour 56 du traitement, le tableau suivant montre le profil d'amélioration clinique pour tous les sujets traités avec de la crème Tri-Luma basée sur la gravité de leur mélasma au début du traitement.
Tableau 3: Évaluation des enquêteurs du changement de gravité du mélasma du référence au jour 56 du traitement (résultats combinés des essais 1 et 2)
| Base de base | Nombre (%) des sujets au jour 56 a | ||||||
| Dégagé b | Bénin b | Modéré b | Grave b | Manquant b | |||
| Cote de gravité | n | n (%) | n (%) | n (%) | n (%) | n (%) | |
| Crème tri-juma N=161 | Modéré | 124 | 36 (29) | 63 (51) | 18 (15) | 0 (0) | 7 (6%) |
| Grave | 37 | 6 (16) | 19 (51) | 9 (24) | 2 (5) | 1 (3%) | |
| a Évaluation basée sur les sujets ayant des scores de gravité au jour 56. Les pourcentages sont basés sur le nombre total de la population du groupe de traitement. b N'inclut pas les sujets qui ont défini avant le jour 56 ou qui manquaient à l'évaluation du jour 56. |
Échelle d'évaluation: Efface (lésions de mélasma approximativement équivalent à la peau normale environnante ou avec une hyperpigmentation résiduelle minimale); Doux (légèrement plus foncé que la peau normale environnante); Modéré (modérément plus foncé que la peau normale environnante); Sévère (nettement plus foncé que la peau normale environnante).
Les sujets ont connu une amélioration de leur mélasma avec l'utilisation de la crème Tri-Luma dès 4 semaines. Cependant, parmi les 7 sujets qui avaient une compensation au bout de 4 semaines de traitement avec de la crème Tri-Luma 4 d'entre eux n'ont pas maintenu la rémission après 4 semaines de traitement supplémentaires.
Après 8 semaines de traitement avec les sujets de médicament à l'essai, il est entré dans une période d'extension ouverte au cours de laquelle la crème Tri-Luma a été donnée au besoin pour le traitement du mélasma. Les périodes de rémission ont semblé se raccourcir entre les cours progressifs de traitement. De plus, peu de sujets ont maintenu une compensation complète du mélasma (environ 1 à 2%).
Informations sur les patients pour Tri-Luma
Tri-lumière®
(Try-Loom-ah)
(fluocinolone acétonide 0,01% hydroquinone 4% et trétinoïne 0,05%)
Informations importantes : La crème Tri-Luma est uniquement utilisée sur la peau. N'utilisez pas de crème Tri-Luma dans vos yeux en bouche ou votre vagin.
Quelles sont les informations les plus importantes que je devrais connaître sur la crème Tri-Luma?
Crème tri-juma may cause birth defects or death of the baby if used during pregnancy. Le risque de malformations congénitales ou de décès du bébé peut être plus grand si la crème tri-luma est utilisée au cours du premier trimestre de la grossesse. Dites à votre médecin si vous êtes enceinte ou prévoyez de devenir enceinte.
Si vous tombez enceinte en utilisant Tri-Luma Cream, dites immédiatement votre médecin.
Qu'est-ce que la crème Tri-Luma?
Crème tri-juma is a prescription medicine used for the short-term treatment of moderate to severe melasma of the face in combination with sun avoidance et the use of sunscreens.
Crème tri-juma is not for continuous treatment of melasma.
On ne sait pas si la crème Tri-Luma est sûre et efficace chez les enfants.
On ne sait pas si la crème Tri-Luma est sûre et efficace chez les personnes atteintes de couleur de peau brun foncé à noir.
On ne sait pas si la crème Tri-Luma est sûre et efficace dans le traitement des taches sombres (hyperpigmentation) de la peau causée par des affections autres que le mélasma du visage.
Levonorgestrel et les effets secondaires de l'éthinyle estradiol
On ne sait pas si la crème Tri-Luma est sûre et efficace chez les femmes enceintes ou qui allaitent. Voir Quelles sont les informations les plus importantes que je devrais connaître sur la crème Triluma? et Que dois-je dire à mon médecin avant d'utiliser la crème Tri-Luma?
Qui ne devrait pas utiliser la crème Tri-Luma?
N'utilisez pas de crème Tri-Luma si vous y êtes allergique ou l'un des ingrédients de la crème Tri-Luma. Voir la fin de cette brochure pour une liste complète des ingrédients dans la crème Tri-Luma.
Que dois-je dire à mon médecin avant d'utiliser la crème Tri-Luma?
Avant d'utiliser Tri-Luma Cream, dites à votre médecin si vous:
- sont allergiques aux sulfites
- avoir d'autres conditions médicales
- sont enceintes ou prévoient de devenir enceintes. Voyez quelles sont les informations les plus importantes que je devrais connaître sur la crème Tri-Luma?
- allaitent ou prévoient d'allaiter. On ne sait pas si la crème Tri-Luma passe dans votre lait maternel. Vous devez éviter le contact peau à peau entre les zones traitées avec de la crème triluma et votre bébé.
Parlez à votre médecin de tous les médicaments que vous prenez y compris les médicaments sur ordonnance et sur-thecounter Suppléments à base de vitamines et produits pour la peau que vous utilisez.
Comment dois-je utiliser Tri-Luma Cream?
- Utilisez la crème Tri-Luma exactement comme votre médecin vous dit de l'utiliser.
- Avant d'appliquer la crème Tri-Luma, lavez doucement votre visage avec un nettoyant doux. Rincez votre visage et tenez votre peau sèche.
- Appliquez de la crème Tri-Luma 1 fois par jour au moins 30 minutes avant le coucher.
- Appliquez une fine couche de crème Tri-Luma sur les zones cutanées affectées. Inclure environ ½ pouce de peau normale entourant la zone affectée.
- Frottez doucement la crème Tri-Luma uniformément dans votre peau.
- N'obtenez pas de crème tri-luma près des coins de votre bouche vos yeux ou ouvrez des blessures.
- Ne pas bander ni couvrir la peau traitée après avoir appliqué la crème Tri-Luma.
- Vous pouvez utiliser des hydratants et des cosmétiques pendant la journée.
- Lavez-vous les mains après avoir appliqué la crème Tri-Luma.
Que dois-je éviter en utilisant la crème Tri-Luma?
- Vous devez éviter les lits de bronzage par la lumière du soleil et la lumière ultraviolette pendant le traitement avec de la crème Tri-Luma.
- Utilisez un écran solaire avec un SPF (facteur de protection solaire) de 30 ou plus. Si vous devez être à la lumière du soleil, portez un chapeau à larges bords ou d'autres vêtements de protection pour couvrir les zones traitées.
- Le mélasma peut empirer avec même une petite quantité de soleil. Vous devez continuer à éviter que la lumière du soleil utilise un écran solaire et porter des vêtements de protection après un traitement avec de la crème Tri-Luma.
- Les femmes doivent éviter l'utilisation de formes hormonales de contraception. Les méthodes de contracepulation hormonale peuvent aggraver votre mélasma. Parlez à votre médecin d'autres options de contraception.
- La chaleur et le froid peuvent irriter la peau traitée avec du tri-luma. Parlez avec votre médecin des moyens de gérer l'irritation cutanée.
Quels sont les effets secondaires possibles de la crème Tri-Luma?
Crème tri-juma may cause serious side effects including:
- réactions allergiques. Crème tri-juma may cause allergic reactions that can be life threatening. Stop using Crème tri-juma et call your doctor or get medical help right away if you get any of the following symptoms:
- gonflement de ton visage les yeux lèvres langue ou gorge
- difficulté à respirer
- démangeaisons sévères
- Rash ou ruée de la peau
- changement de couleur de la peau. L'un des médicaments de la crème Tri-Luma peut provoquer un assombrissement bleu-noir de votre peau. Arrêtez d'utiliser Tri-Luma Cream et dites-vous que le médecin si vous développez un assombrissement bleu-noir de votre peau.
- Crème tri-juma can pass through your skin. Trop de crème Tri-Luma traversant votre peau peut provoquer l'arrêt de vos glandes surrénales. Votre médecin peut faire des tests sanguins pour vérifier les problèmes de glandes surrénales.
- irritation cutanée. Arrêtez d'utiliser Tri-Luma Cream et appelez votre médecin si vous avez:
- cloques ou croûtes de votre peau
- brûlure sévère
- gonflement de votre peau
- irritation de vos yeux nez ou bouche
Les effets secondaires les plus courants de la crème Tri-Luma comprennent:
- rougeur
- sécheresse
- peeling
- démangeaison
- brûlant
- acné
Dites à votre médecin si vous avez un effet secondaire qui vous dérange ou qui ne disparaît pas.
Ce ne sont pas tous les effets secondaires possibles de la crème Tri-Luma. Pour plus d'informations, demandez à votre médecin ou à votre pharmacien. Appelez votre médecin pour des conseils médicaux sur les effets secondaires. Vous pouvez signaler les effets secondaires à la FDA au 1800-FDA-1088.
Vous pouvez également signaler les effets secondaires aux laboratoires Galderma L.P. au 1-866-735-4137.
Comment dois-je stocker la crème Tri-Luma?
- Conservez la crème Tri-Luma dans un réfrigérateur entre 36 ° F et 46 ° F (2 ° C à 8 ° C).
- Gardez le tube à la crème Tri-Luma fermement fermée.
- Ne congelez pas la crème tri-luma.
Informations générales sur l'utilisation sûre et efficace de la crème Tri-Luma
Les médicaments sont parfois prescrits à des fins autres que celles énumérées dans une brochure d'information du patient. N'utilisez pas de crème Tri-Luma pour une condition pour laquelle il n'a pas été prescrit. Ne donnez pas de crème Tri-Luma à d'autres personnes même si elles présentent les mêmes symptômes que vous. Cela peut leur faire du mal.
Si vous souhaitez plus d'informations, parlez avec votre médecin. Vous pouvez demander à votre pharmacien ou médecin des informations sur la crème Tri-Luma qui est écrite pour les professionnels de la santé.
Quels sont les ingrédients de la crème Tri-Luma?
Ingrédients actifs: fluocinolone acetonide hydroquinone et tretinoin
Ingrédients inactifs: Hydroxytoluène butylé d'alcool cétyle acide citrique glycérine anhydère glycérine stéarate magnésium aluminium silicate méthyl gluceth-10 méthylparabène PEG-100 stéarate propylparabène à l'eau purifiée métabisulfite acide sléarique et stéarate
Ces informations sur les patients ont été approuvées par la Food and Drug Administration des États-Unis.