Les Informations Présentées Sur Ce Site Ne Constituent Pas Un Avis Médical. Nous Ne Vendons Rien. L'Exactitude De La Traduction N'Est Pas Garantie. Clause De Non-Responsabilité



Asmanex

Résumé

Qu'est-ce que Asmanex?

L'aérosol d'inhalation Asmanex HFA (furoate de mométasone) est un corticostéroïde utilisé comme traitement d'entretien pour la prévention et le contrôle de asthme Symptômes chez les personnes âgées de 12 ans et plus.

Quels sont les effets secondaires d'Asmanex?

Asmanex



  • urticaire
  • difficulté à respirer
  • gonflement de ton visage lèvres langue ou gorge
  • respiration sifflante
  • étouffement
  • Autres problèmes de respiration après avoir utilisé le médicament
  • vision floue
  • vision du tunnel
  • douleurs oculaires
  • voir des halos autour des lumières
  • Changements dans la forme ou l'emplacement de la graisse corporelle (en particulier dans vos bras de bras Face Neck poitrine et taille)
  • aggraver les symptômes de l'asthme
  • Des plaies ou des taches blanches dans votre bouche ou votre gorge
  • Problème avalé
  • fatigue ou faiblesse extrême
  • nausée
  • vomissements et
  • étourdissement

Obtenez de l'aide médicale immédiatement si vous présentez l'un des symptômes énumérés ci-dessus.



Les effets secondaires courants d'Asmanex HFA comprennent:

Cherchez des soins médicaux ou appelez le 911 à la fois si vous avez les effets secondaires graves suivants:



  • Des symptômes oculaires graves tels que la perte de vision soudaine floue du tunnel de vision de la vision de la vision des yeux ou de l'enflure ou de voir des halos autour des lumières;
  • Symptômes cardiaques graves tels que les battements cardiaques rapides ou battants; flotter dans votre poitrine; essoufflement; et des étourdissements soudains étourdisseurs ou s'évanouissant;
  • Maux de tête sévères Confusion Slurred Speech Bras ou Ligne Proulitude Trouble de la merde Perte de coordination Sentiment des muscles très rigides très rigides Fièvre élevée Propice ou des tremblements.

Ce document ne contient pas tous les effets secondaires possibles et d'autres peuvent survenir. Vérifiez auprès de votre médecin des informations supplémentaires sur les effets secondaires.

Dosage pour Asmanex

Asmanex HFA est disponible en 2 points forts. La dose d'Asmanex HFA est de 2 bouffées le matin et 2 bouffées le soir.

Quelles substances ou suppléments de médicaments interagissent avec Asmanex?

Asmanex HFA peut interagir avec les médicaments antifongiques et les anti- VIH médicaments. Dites à votre médecin tous les médicaments et suppléments que vous utilisez.

Asmanex pendant la grossesse et l'allaitement

On ne sait pas si Asmanex HFA affecterait un fœtus. Dites à votre médecin si vous êtes enceinte ou prévoyez de tomber enceinte avant d'utiliser Asmanex HFA. On ne sait pas si Asmanex HFA passe dans le lait maternel. Consultez votre médecin avant l'allaitement.

Informations Complémentaires

Notre ASMANEX HFA (Furoate Mometasone) Aérosol Aérosol Centre de médicaments Aérosols offre une vue complète des informations sur les médicaments disponibles sur les effets secondaires potentiels lors de la prise de ce médicament.

Informations sur les médicaments de la FDA

Description d'Asmanex

Asmanex HFA est un inhalateur de dose mesuré pour l'inhalation orale ne composant que 100 mcg et 200 mcg de furoate de mométasone par actionnement.

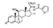
Furoate de mométasone La composante active d'Asmanex HFA est un corticostéroïde ayant le nom chimique 921-dichloro-11 (bêta) 17-dihydroxy-16 (alpha) -méthylpregna-14-diène-320-dione 17- (2-furoate) avec la structure chimique suivante:

Le furoate de mométasone est une poudre blanche avec une formule empirique de c 27 H 30 CL 2 O 6 et poids moléculaire 521,44. Il est pratiquement insoluble dans l'eau; légèrement soluble dans l'éthanol de méthanol et l'isopropanol; soluble en acétone.

Chaque Asmanex HFA 100 mcg et 200 mcg est un hydrofluoroalkane (HFA-227: 1112333- heptafluoropropane) a propulsé l'inhalateur de dose mètre sous pression contenant suffisamment de médicament pour 120 actuations [voir Comment fourni / Stockage et manipulation ]. Après l'amorçage de chaque actionnement de l'inhalateur délivre 115 ou 225 mcg de furoate de mométasone dans 69,6 mg de suspension de la valve et délivre 100 ou 200 mcg de furoate de mométasone de l'actionneur. La quantité réelle de médicament délivrée au poumon peut dépendre de facteurs de patient tels que la coordination entre l'actionnement de l'appareil et l'inspiration à travers le système de livraison. Asmanex HFA contient également de l'éthanol comme cosolvant et acide oléique comme tensioactif.

Asmanex HFA doit être amorcé avant de l'utiliser pour la première fois en libérant 4 sprays d'essai dans l'air loin du visage secouant bien avant chaque pulvérisation. Dans les cas où l'inhalateur n'a pas été utilisé depuis plus de 5 jours, amorcez à nouveau l'inhalateur en libérant 4 sprays d'essai dans l'air loin du visage qui secoue bien avant chaque pulvérisation.

Utilisations pour Asmanex

Traitement de l'asthme

Asmanex ® Le HFA est indiqué pour le traitement d'entretien de l'asthme en tant que traitement prophylactique chez les patients de 5 ans et plus.

Limites importantes de l'utilisation

  • Asmanex HFA is NOT indicated fou the relief of acute bronchospasm.

Dosage pour Asmanex

Informations sur l'administration

Administrer Asmanex HFA uniquement par l'itinéraire inhalé par voie orale [voir Instructions pour une utilisation ]. Après que chaque dose conseille aux patients de rincer la bouche avec de l'eau et sans avaler crachant le contenu pour aider à réduire le risque de candidose oropharyngée.

Retirez le capuchon de l'embout buccal de l'actionneur avant d'utiliser Asmanex HFA.

Prime Asmanex HFA avant de l'utiliser pour la première fois en libérant 4 sprays d'essai dans l'air loin du visage secouant bien avant chaque pulvérisation. Dans les cas où l'inhalateur n'a pas été utilisé depuis plus de 5 jours, amorcez à nouveau l'inhalateur en libérant 4 sprays d'essai dans l'air loin du visage qui secoue bien avant chaque pulvérisation.

Utilisez uniquement la canister ASMANEX HFA avec l'actionneur ASMANEX HFA. N'utilisez pas l'actionneur Asmanex HFA avec un autre produit de médicament inhalation. N'utilisez pas d'actionneurs d'autres produits avec la cartouche Asmanex HFA.

Dosage recommandé

Administrer Asmanex HFA comme deux inhalations deux fois par jour par jour (matin et soir) par la route inhalée par voie orale. Secouez bien avant chaque inhalation. Si des symptômes surviennent entre les doses, utilisez une bêta à courte action inhalée 2 -Goniste pour un soulagement immédiat. L'avantage maximum peut ne pas être réalisé pendant 1 semaine ou plus après le début du traitement. Les patients individuels peuvent éprouver un temps variable pour apparier et le degré de soulagement des symptômes.

Patients adultes et adolescents âgés de 12 ans et plus

Pour les patients âgés de 12 ans et plus, le dosage est soit 2 inhalations deux fois par jour d'Asmanex HFA 100 mcg ou 200 mcg. La dose de départ est basée sur la thérapie antérieure de l'asthme et la gravité de la maladie, y compris les considérations du contrôle actuel des patients sur les symptômes de l'asthme et le risque d'exacerbations futures. La dose de départ recommandée pour les patients de 12 ans et plus qui ne sont pas sur un corticostéroïde inhalé est Asmanex HFA 100 mcg 2 inhalations deux fois par jour. Il est recommandé que les patients reçoivent actuellement une corticothérapie orale chronique (par exemple la prednisone) commencent par Asmanex HFA 200 mcg (2 inhalations deux fois par jour). Pour les patients qui ne répondent pas correctement au dosage initial après 2 semaines de traitement, l'augmentation du dosage peut fournir un contrôle supplémentaire de l'asthme. La dose quotidienne maximale recommandée est deux inhalations d'Asmanex HFA 200 mcg deux fois par jour (maximum de 800 mcg par jour).

Une fois que la stabilité de l'asthme a été obtenue, il peut être souhaitable de titrer la dose efficace la plus faible pour réduire la possibilité d'effets secondaires.

Si un régime posologique d'Asmanex HFA ne fournit pas un contrôle adéquat de l'asthme, réévaluez le régime thérapeutique et envisagez des options thérapeutiques supplémentaires, par exemple Remplacement de la force actuelle d'Asmanex HFA par une résistance plus élevée initiant un corticostéroïde inhalé et une bêta à longue durée 2 -Conse de combinaison ou agoniste ou lance des corticostéroïdes oraux.

Patients pédiatriques âgés de 5 à moins de 12 ans

Pour les patients âgés de 5 à moins de 12 ans, le dosage est de 2 inhalations d'Asmanex HFA 50 mcg deux fois par jour. La dose quotidienne maximale est de 200 mcg.

Comment fourni

Formes et forces posologiques

Asmanex HFA is a pressurized metered dose inhaler (MDI) that is available in 2 strengths (100 mcg et 200 mcg) fou adult et adolescent patients aged 12 years et older; et 1 strength (50 mcg) fou pediatric patients aged 5 to less than 12 years.

Asmanex HFA 50 mcg delivers 50 mcg of mometasone furoate per actuation.

Asmanex HFA 100 mcg delivers 100 mcg of mometasone furoate per actuation.

Asmanex HFA 200 mcg delivers 200 mcg of mometasone furoate per actuation.

Chaque force d'Asmanex HFA est fournie avec un actionneur de couleur bleue et un capuchon de poussière rose [voir Comment fourni ].

Asmanex HFA est disponible en trois forces et fourni dans la taille du package suivant (tableau 3):

Tableau 3

Emballer NDC Identifiant de force
(Bande de couleur) *
Asmanex HFA 50 mcg 120 metered actuations 0085-222-01 Orange
Asmanex HFA 100 mcg120 metered actuations 0085-4333-01 Vert
Asmanex HFA 200 mcg 120 metered actuations 0085-4334-01 Bleu
* Inclus sur l'actionneur de carton extérieur et les étiquettes de cartouche.

Chaque résistance est fournie comme une cartouche en aluminium sous pression qui a un actionneur en plastique bleu intégré à un compteur de dose et à un capuchon de poussière rose. Chaque cartouche a un poids de remplissage net de 13 grammes. Chaque inhalateur est placé dans un carton. Chaque carton contient 1 inhalateur.

Initialement, le compteur de dose affichera 124 actuations. Après l'amorçage initial avec 4 actuations, le compteur de dose se lira 120 et l'inhalateur est maintenant prêt à l'emploi.

Stockage et manipulation

Utilisez uniquement la canister ASMANEX HFA avec l'actionneur ASMANEX HFA. N'utilisez pas l'actionneur Asmanex HFA avec un autre produit de médicament inhalation. N'utilisez pas d'actionneurs d'autres produits avec la cartouche Asmanex HFA.

Ne retirez pas la cartouche de l'actionneur car la quantité correcte de médicaments peut ne pas être déchargée; Le compteur de dose peut ne pas fonctionner correctement; La réinsertion peut provoquer le comptage de dose pour compter de 1 et décharger une bouffée.

La quantité correcte de médicaments dans chaque inhalation ne peut pas être assurée après que le nombre marqué d'actionnement de la cartouche a été utilisé même si l'inhalateur peut ne pas se sentir complètement vide et peut continuer à fonctionner. Jeter l'inhalateur lorsque le nombre marqué d'actionnement a été utilisé (le compteur de dose se lira 0 ').

Stocker à température ambiante contrôlée 20 ° C-25 ° C (68 ° F-77 ° F); Excursions autorisées à 15 ° C-30 ° C (59 ° F-86 ° F) [voir la température ambiante contrôlée par l'USP].

Pour les meilleurs résultats, gardez la cartouche à température ambiante avant utilisation. Bien secouer et retirer le capuchon de l'embout buccal de l'actionneur avant de l'utiliser. Restez hors de portée des enfants. Évitez de pulvériser dans les yeux.

Contenu sous pression: Ne percez pas. N'utilisez pas ou ne stockez pas près de la chaleur ou de la flamme ouverte. L'exposition à des températures supérieures à 120 ° F peut provoquer l'éclatement. Ne jetez jamais le conteneur dans le feu ou l'incinérateur.

Fabriqué par: 3M Health Care Ltd. Loughborough Royaume-Uni. Révisé: août 2019

Effets secondaires fou Asmanex

L'utilisation systémique et locale des corticostéroïdes peut entraîner la suivante:

  • Infection de Candida albicans [voir Avertissements et PRÉCAUTIONS ]
  • Immunosuppression [voir Avertissements et PRÉCAUTIONS ]
  • Hypercorticisme et suppression surrénalienne [voir Avertissements et PRÉCAUTIONS ]
  • Effets de la croissance en pédiatrie [voir Avertissements et PRÉCAUTIONS ]
  • Glaucome et cataractes [voir Avertissements et PRÉCAUTIONS ]

CLinical Trials Experience

Étant donné que les essais cliniques sont menés dans des conditions de réaction indésirables très variables observées dans les essais cliniques d'un médicament ne peuvent pas être directement comparées aux taux dans les essais cliniques d'un autre médicament et ne peuvent pas refléter les taux observés dans la pratique. La sécurité d'Asmanex HFA a été évaluée dans 2 essais randomisés et à commande active de 12 et 26 semaines de durée dans le cadre d'un programme d'asthme combiné Furoate / Formoterol Furoate / Formoterol qui a inscrit 1509 patients atteints d'asthme persistant. L'âge des patients variait de 12 à 84 ans 41% étaient des hommes et 59% de 73% étaient du race blanche et 27% non caucasiens. Sur la population totale inscrite dans les 2 essais, 432 patients ont reçu deux inhalations deux fois par jour d'Asmanex HFA 100 mcg ou 200 mcg / actionnement. Au cours de l'essai de 26 semaines (essai 1), 192 patients ont reçu deux inhalations deux fois par jour d'Asmanex HFA 100 mcg / actionnement et 196 patients ont reçu un placebo. Au cours de l'essai de 12 semaines (essai 2), 240 patients ont reçu deux inhalations deux fois par jour d'Asmanex HFA 200 mcg / actionnement et 233 et 255 patients ont reçu respectivement le furoate de mométasone et le fumarate de formoterol 100 mcg / 5 mcg et 200 mcg / 5 mcg / combinaison d'actionnement de produits de combinaison d'actionnement en tant que comparateurs.

Dans ces essais, la proportion de patients qui ont interrompu le traitement à l'étude tôt en raison des effets indésirables était de 3% et 2% pour les patients traités Asmanex HFA 100 et 200 MCG respectivement et 4% pour les patients traités par placebo. Des effets indésirables graves, qu'ils soient considérés comme liés au médicament ou non par les chercheurs qui se sont produits plus fréquemment chez les patients traités par Asmanex HFA comprenaient une colite ulcéreuse colonique de la poitrine de poitrine gastro-entérite de l'endométriose de l'endométriose et de l'hémoptysis; Tous les événements se sont produits à des taux inférieurs à 1%.

L'incidence des effets indésirables émergents émergents associés à Asmanex HFA est présenté dans les tableaux 2 et 3. Ceux-ci sont basés sur les données de chacun des 2 essais cliniques de 12 ou 26 semaines de durée chez les patients 12 ans et plus traités avec deux inhalations Twice par jour de l'asmanex HFA (100 mcg ou 200 mcg) Mométasone Furoate / FormOtol Placebo.

Tableau 2: Essai 1: réactions indésirables émergentes au traitement se produisant à une incidence ≥ 3% et plus souvent que le placebo sur 26 semaines

Asmanex HFA 100 mcg
N = 192
n (%)
Placebo
N = 196
n (%)
Nasopharynngite 15 (8) 7 (4)
Mal de tête 10 (5) 7 (4)
Grippe 7 (4) 5 (3)
Sinusite 6 (3) 2 (1)

Tableau 3: Procès 2: Treatment-Emergent Adverse Reactions Occurring at an Incidence of ≥ 3% Over 12 Weeks

Asmanex HFA 200 mcg
N = 240
n (%)
MF / F * 100/5 MCG
N = 233
n (%)
MF / F * 200/5 MCG
N = 255
n (%)
Nasopharynngite 13 (5) 8 (3) 12 (5)
Mal de tête 8 (3) 10 (4) 5 (2)
Bronchite 6 (3) 2 (1) 7 (3)
* MF / F = furoate de mométasone / fumarate de formoterol

La candidose orale a été signalée dans des essais cliniques à une incidence de 0,5% chez les patients utilisant Asmanex HFA 100 mcg 0,8% chez les patients utilisant Asmanex HFA 200 mcg et 0,5% dans le groupe placebo.

Expérience de commercialisation de la poste

Il n'y a pas d'expériences défavorables du marché postal rapportées à ce jour avec Asmanex HFA. Cependant, l'expérience de sécurité post-commercialisation avec l'inhalateur de poudre sèche à furoate de mométasone est pertinente pour Asmanex HFA car ils contiennent le même ingrédient actif. Les effets indésirables suivants ont été signalés lors de l'utilisation post-approbation de l'inhalateur de poudre sèche furoate de mométasone. Étant donné que ces réactions sont rapportées volontairement d'une population de taille incertaine, il n'est pas toujours possible d'estimer de manière fiable leur fréquence ou d'établir une relation causale à l'exposition au médicament.

Troubles du système immunitaire

Réactions d'hypersensibilité immédiates et retardées, y compris l'œdème de l'efficacité et la réaction anaphylactique du prurit éruption Contre-indications et Avertissements et PRÉCAUTIONS ].

Troubles thoraciques et médiastinaux respiratoires

Aggravation de l'asthme qui peut inclure la respiration sifflante de la dyspnée de la toux et le bronchospasme.

Interactions médicamenteuses fou Asmanex

Dans les essais cliniques, l'administration simultanée d'Asmanex HFA et d'autres médicaments tels que les corticostéroïdes bêta2 à courte durée d'action et les corticostéroïdes intranasaux n'a pas entraîné une fréquence accrue de réactions médicamenteuses indésirables. Aucune étude formelle d'interaction médicamenteuse n'a été réalisée avec Asmanex HFA.

Inhibiteurs du cytochrome P450 3A4

La principale voie de métabolisme des corticostéroïdes, y compris le furoate de mométasone, est via le CYP3A4. Après l'administration orale de kétoconazole, un fort inhibiteur du CYP3A4, la concentration plasmatique moyenne du furoate de mométasone inhalée par voie orale a augmenté. L'administration concomitante d'inhibiteurs du CYP3A4 peut inhiber le métabolisme et augmenter l'exposition systémique au furoate de mométasone. Caution should be exercised when considering the coadministration of ASMANEX HFA with long-term ketoconazole and other known strong CYP3A4 inhibitors (e.g. ritonavir atazanavir clarithromycin indinavir itraconazole nefazodone nelfinavir saquinavir telithromycin) [see Avertissements et PRÉCAUTIONS et Pharmacologie clinique ].

Avertissements pour Asmanex

Inclus dans le cadre du 'PRÉCAUTIONS' Section

Précautions pour Asmanex

Détérioration de l'asthme et des épisodes aigus

Asmanex HFA is not indicated fou the relief of acute symptoms i.e. as rescue therapy fou the treatment of acute episodes of bronchospasm. An inhaled shout-acting beta 2 -Goniste pas Asmanex HFA devrait être utilisé pour soulager des symptômes aigus tels que l'essoufflement. Lorsque vous prescrivez Asmanex HFA, le médecin doit également fournir au patient une version bêta à action courte inhalée 2 -Goniste (par exemple albuterol) pour le traitement des symptômes aigus malgré l'utilisation régulière de deux fois par jour (matin et soir) d'Asmanex HFA. Demandez aux patients de contacter immédiatement leur médecin si des épisodes d'asthme qui ne répondent pas aux bronchodilators se produisent au cours du traitement avec Asmanex HFA. Au cours de ces épisodes, les patients peuvent nécessiter un traitement avec des corticostéroïdes oraux.

Effets locaux

Dans les essais cliniques, le développement d'infections localisées de la bouche et du pharynx avec Candida albicans se sont produits chez les patients traités par Asmanex HFA. Si la candidose oropharyngée se développe avec un traitement avec un traitement antifongique local ou systémique approprié (c'est-à-dire oral) tout en restant sur un traitement avec une thérapie Asmanex HFA, mais parfois un traitement avec Asmanex HFA peut devoir être interrompu. Pour réduire le risque de candidose oropharyngée après le dosage avec Asmanex HFA conseille aux patients de rincer la bouche avec de l'eau et de cracher le contenu sans avaler.

Immunosuppression

Les personnes qui utilisent des médicaments qui suppriment le système immunitaire sont plus sensibles aux infections que les individus en bonne santé.

La varicelle et la rougeole par exemple peuvent avoir un cours plus grave ou même mortel chez les enfants ou les adultes sensibles à l'aide de corticostéroïdes. Chez ces enfants ou adultes, qui n'ont pas eu ces maladies ou qui ne sont pas correctement immunisés, des soins particuliers doivent être pris pour éviter l'exposition. La façon dont la voie de dose et la durée de l'administration des corticostéroïdes affectent le risque de développer une infection disséminée n'est pas connue. La contribution de la maladie sous-jacente et / ou le traitement antérieur des corticostéroïdes au risque n'est pas non plus connue. S'il est exposé à la varicelle, la prophylaxie avec varicelle zono-globuline (VZIG) ou immunoglobuline intraveineuse (IVIG) regroupée peut être indiquée. S'il est exposé à une prophylaxie de la rougeole avec une immunoglobuline intramusculaire groupée (Ig) peut être indiqué. (Voir les inserts de package respectifs pour les informations complètes de prescription VZIG et IG.) Si la varicelle développe un traitement avec des agents antiviraux peut être envisagé.

Les corticostéroïdes inhalés doivent être utilisés avec prudence si chez les patients atteints d'une infection active ou au redressement de la tuberculose des infections virales bactériennes ou parasites bactériennes fongiques systémiques non traitées non traitées; ou herpès simplex oculaire.

Transfert de patients à partir de corticothérapie systémique

Des soins particuliers sont nécessaires pour les patients transférés des corticostéroïdes systémiquement actifs à Asmanex HFA, car les décès dus à une insuffisance surrénalienne se sont produits chez des patients asthmatiques pendant et après le transfert de corticostéroïdes systémiques à des corticostéroïdes inhalés moins systématiquement disponibles. Après le retrait des corticostéroïdes systémiques, un certain nombre de mois sont nécessaires pour la récupération de la fonction hypothalamique-hypophyso-surrénalienne (HPA).

Les patients qui ont déjà été maintenus sur 20 mg ou plus par jour de prednisone (ou son équivalent) peuvent être les plus sensibles, en particulier lorsque leurs corticostéroïdes systémiques ont été presque complètement retirés. Au cours de cette période de suppression de HPA, les patients peuvent présenter des signes et symptômes d'insuffisance surrénalienne lorsqu'ils sont exposés à une chirurgie ou à une infection des traumatismes (en particulier une gastro-entérite) ou d'autres conditions associées à une perte d'électrolyte sévère. Bien qu'Asmanex HFA puisse améliorer le contrôle des symptômes de l'asthme au cours de ces épisodes à des doses recommandées, il fournit de moins que les quantités physiologiques normales de corticostéroïdes et ne fournit pas l'activité minéralocorticoïde nécessaire pour faire face à ces urgences.

Pendant les périodes de stress ou d'asthme sévère, les patients qui ont été retirés des corticostéroïdes systémiques doivent être invités à reprendre immédiatement les corticostéroïdes oraux (à grande dose) et à contacter leurs médecins pour plus d'instructions. Ces patients devraient également être invités à transporter une carte d'identification médicale indiquant qu'ils peuvent avoir besoin de corticostéroïdes systémiques supplémentaires pendant les périodes de stress ou d'asthme sévère.

Les patients nécessitant des corticostéroïdes systémiques ou d'autres corticostéroïdes doivent être sevrés lentement de l'utilisation orale ou d'autres corticostéroïdes systémique après le transfert vers Asmanex HFA. Fonction pulmonaire (FEV 1 ou PEF) betaagonist use et asthme symptoms should be carefully monitoued during withdrawal of oual ou other systemic corticostéroïdes. In addition to monitouing asthme signs et symptoms patients should be observed fou signs et symptoms of adrenal insufficiency such as fatigue lassitude faiblesse nausée et vomissements et hypotension.

Le transfert de patients de la corticothérapie systémique à Asmanex HFA peut démasquer les conditions allergiques précédemment supprimées par la corticothérapie systémique, par ex. Rhinite conjonctivite arthrite eczéma et affections éosinophiles.

Pendant le retrait des corticostéroïdes oraux, certains patients peuvent ressentir des symptômes de sevrage systématiquement actif des corticostéroïdes, par exemple Lassitude et dépression de la douleur articulaire et / ou musculaire malgré le maintien ou même l'amélioration de la fonction respiratoire.

Hypercorticisme et suppression surrénalienne

Asmanex HFA will often help control asthme symptoms with less suppression of HPA function than therapeutically equivalent oual doses of prednisone. Since mometasone furoate is absoubed into the circulation et can be systemically active at higher doses the beneficial effects of Asmanex HFA in minimizing HPA dysfunction may be expected only when recommended dosages are not exceeded et individual patients are titrated to the lowest effective dose.

En raison de la possibilité d'absorption systémique des patients atteints de corticostéroïdes inhalés traités par Asmanex HFA doit être observé avec soin pour toute preuve d'effets systémiques corticostéroïdes. Des soins particuliers devraient être pris dans l'observation des patients postopératoires ou pendant les périodes de stress pour des preuves de réponse surrénalienne inadéquate.

Il est possible que des effets systémiques corticostéroïdes tels que l'hypercorticisme et la suppression surrénalienne (y compris la crise surrénalienne) puissent apparaître chez un petit nombre de patients, en particulier lorsque le furoate de mométasone est administré à des doses plus élevées que les doses recommandées sur des périodes prolongées. Si de tels effets se produisent, la dose d'Asmanex HFA doit être réduite lentement conforme aux procédures acceptées pour réduire les corticostéroïdes systémiques et pour la gestion des symptômes de l'asthme.

Interactions médicamenteuses With Strong Cytochrome P450 3A4 Inhibitous

Caution should be exercised when considering the coadministration of ASMANEX HFA with ketoconazole and other known strong cytochrome P450 (CYP) isoenzyme 3A4 (CYP3A4) inhibitors (e.g. ritonavir cobicistat-containing products atazanavir clarithromycin indinavir itraconazole nefazodone nelfinavir saquinavir télithromycine) car les effets néfastes liés à une exposition systémique accrue au furoate de mométasone peuvent se produire [voir Interactions médicamenteuses et Pharmacologie clinique ].

Bronchospasme paradoxal et symptômes supérieurs des voies respiratoires

Asmanex HFA may produce inhalation induced bronchospasm with an immediate increase in respiration sifflante after dosing that may be life-threatening. If inhalation induced bronchospasm occurs it should be treated immediately with an inhaled shout-acting bronchodilatou. Asmanex HFA should be discontinued immediately et alternative therapy instituted.

Réactions d'hypersensibilité, y compris l'anaphylaxie

Des réactions d'hypersensibilité telles que l'urticaire rinçant la dermatite allergique et le bronchospasme peuvent se produire après l'administration d'Asmanex HFA. Arrêtez Asmanex HFA si de telles réactions se produisent [voir Contre-indications ].

Les réactions d'hypersensibilité supplémentaires suivantes telles que l'œdème d'angio-œdème de l'Éruption et la réaction anaphylactique ont été rapportées après l'administration d'inhalateur de poudre sec de furoate de mométasone (DPI) [voir Effets indésirables ].

Réduction de la densité minérale osseuse

Des diminutions de la densité minérale osseuse (DMO) ont été observées avec une administration à long terme de produits contenant des corticostéroïdes inhalés, y compris le furoate de mométasone. La signification clinique des petits changements dans la DMO en ce qui concerne les résultats à long terme tels que la fracture est inconnue. Les patients présentant des facteurs de risque majeurs de diminution de la teneur en minéraux osseux tels que des antécédents familiaux d'immobilisation prolongés d'ostéoporose ou d'utilisation chronique de médicaments qui peuvent réduire la masse osseuse (par exemple, les anticonvulsivants et les corticostéroïdes) doivent être surveillés et traités avec des normes de soins établies.

Dans une étude en double aveugle de 2 ans chez 103 patients atteints d'asthme masculin et féminin, 18 à 50 ans auparavant maintenus sur une thérapie bronchodilator (FEV de base 1 85% -88% ont prédit) le traitement avec un inhalateur de poudre sec de furoate mométasone 200 mcg deux fois par jour a entraîné une réduction significative de la DMO de la colonne lombaire (LS) à la fin de la période de traitement par rapport au placebo. Le changement moyen de la ligne de base au point final dans la DMO de la colonne lombaire était de -0,015 (-1,43%) pour le groupe d'inhalateur sèche de furoate de mométasone par rapport à 0,002 (NULL,25%) pour le groupe placebo. Dans une autre étude en double aveugle de 2 ans chez 87 patients atteints d'asthme masculin et féminin de 18 à 50 ans précédemment maintenus sur une thérapie bronchodilatrice (FEV de base 1 82% à 83% prédit) avec un inhalateur de poudre sec de furoate mométasone 400 mcg deux fois par jour n'a démontré aucun changement statistiquement significatif dans la DMO de la colonne lombaire à la fin de la période de traitement par rapport au placebo. Le changement moyen de la ligne de base au point final dans la DMO de la colonne vertébrale lombaire était de -0,018 (-1,57%) pour le groupe de furoate de mométasone par rapport à -0,006 (-0,43%) pour le groupe placebo.

Effet sur la croissance

Les corticostéroïdes inhalés par voie orale, y compris Asmanex HFA, peuvent entraîner une réduction de la vitesse de croissance lorsqu'ils sont administrés aux patients pédiatriques. Surveillez la croissance des patients pédiatriques recevant régulièrement Asmanex HFA (par exemple via la stadiométrie). Pour minimiser les effets systémiques des corticostéroïdes inhalés par voie orale, y compris Asmanex HFA, titrer la dose de chaque patient à la dose la plus faible qui contrôle efficacement ses symptômes [voir Utiliser dans des populations spécifiques ].

Glaucome et cataractes

Le glaucome a augmenté la pression intraoculaire et des cataractes ont été signalées à la suite de l'utilisation de l'administration à long terme de corticostéroïdes inhalés, y compris le furoate de mométasone. Envisagez une référence à un ophtalmologiste chez les patients qui développent des symptômes oculaires ou utilisent Asmanex HFA à long terme [voir Effets indésirables ].

Informations de conseil des patients

Conseiller au patient de lire l'étiquetage des patients approuvé par la FDA ( Informations et instructions pour les patients pour une utilisation ).

Pas pour les symptômes aigus

Conseillez les patients selon lesquels Asmanex HFA n'est pas indiqué pour soulager les symptômes aigus de l'asthme et que des doses supplémentaires ne devraient pas être utilisées à cette fin. Asmanex HFA n'est pas un bronchodilatateur et ne doit pas être utilisé pour traiter le statut asthmatique ou pour soulager les symptômes aigus de l'asthme. Traiter les symptômes aigus de l'asthme avec une version bêta à courte durée 2 -Goniste comme l'albutérol. Prescrire le patient avec de tels médicaments et instruire le patient sur la façon de l'utiliser [voir Avertissements et PRÉCAUTIONS ].

Demandez aux patients de consulter immédiatement un médecin s'ils vivent l'un des éléments suivants:

  • Si leurs symptômes aggravent
  • Une diminution significative de la fonction pulmonaire telle que décrite par le médecin
  • S'ils ont besoin de plus d'inhalations d'une version bêta à action courte 2 -Goniste que d'habitude

Conseiller aux patients de ne pas augmenter la dose ou la fréquence d'Asmanex HFA. Ne dépassez pas la dose quotidienne d'Asmanex HFA deux inhalations deux fois par jour. S'ils manquent une dose, demandez aux patients de prendre leur prochaine dose en même temps qu'ils le font normalement.

Conseiller aux patients de ne pas arrêter ou réduire le traitement ASMANEX HFA sans guidage des médecins / fournisseurs, car les symptômes peuvent se reproduire après l'arrêt.

Effets locaux

Conseiller les patients à localiser les infections Candida albicans s'est produit dans la bouche et le pharynx chez certains patients. Si la candidose oropharyngée se développe avec un traitement avec une thérapie antifongique locale ou systémique appropriée (c'est-à-dire orale) tout en continuant avec une thérapie ASMANEX HFA, mais parfois le traitement avec Asmanex HFA peut devoir être temporairement interrompu sous une supervision médicale étroite. Après le dosage, les patients ont conseillé de rincer la bouche avec de l'eau et de cracher des contenus sans avaler [voir Avertissements et PRÉCAUTIONS ].

Immunosuppression

Avertissez les patients sous des doses d'immunosuppresseurs de corticostéroïdes pour éviter l'exposition à la varicelle ou à la rougeole et si elle est exposée pour consulter leur médecin sans délai. Informer les patients de l'aggravation potentielle de la tuberculose existante fongique bactérienne ou des infections parasitaires ou de l'herpès simplex oculaire [voir Avertissements et PRÉCAUTIONS ].

Hypercorticisme et suppression surrénalienne

Conseillez les patients qu'Asmanex HFA peut provoquer des effets corticostéroïdes systémiques de l'hypercorticisme et de la suppression surrénalienne. De plus, instruisez les patients que les décès dus à une insuffisance surrénalienne se sont produits pendant et après le transfert des corticostéroïdes systémiques. Demandez aux patients de s'affaiblir lentement à partir de corticostéroïdes systémiques en cas de transfert vers Asmanex HFA [voir Avertissements et PRÉCAUTIONS ].

Réduction de la densité minérale osseuse

Conseiller les patients qui courent un risque accru de DMO diminuée que l'utilisation de corticostéroïdes peut présenter un risque supplémentaire et doit être surveillée et le cas échéant d'être traité pour cette condition [voir Avertissements et PRÉCAUTIONS ].

Réduction de la vitesse de croissance

Informez les patients que les corticostéroïdes inhalés par voie orale, notamment Asmanex HFA, peuvent entraîner une réduction de la vitesse de croissance lorsqu'ils sont administrés aux patients pédiatriques. Les médecins devraient suivre de près la croissance des patients pédiatriques prenant des corticostéroïdes par n'importe quelle route [voir Avertissements et PRÉCAUTIONS ].

Glaucome et cataractes

Informer les patients que l'utilisation à long terme de corticostéroïdes inhalés peut augmenter le risque de certains problèmes oculaires (glaucome ou cataractes); Envisagez des examens de la vue réguliers [voir Avertissements et PRÉCAUTIONS ].

Réactions d'hypersensibilité, y compris l'anaphylaxie

Informez les patients que les réactions d'hypersensibilité telles que l'urticaire rinçaient la dermatite allergique de la dermatite bronchospasm. Demandez aux patients de cesser Asmanex HFA si de telles réactions se produisent [voir Avertissements et PRÉCAUTIONS ].

Utilisez quotidiennement pour le meilleur effet

Conseiller aux patients d'utiliser Asmanex HFA à intervalles réguliers car son efficacité dépend de l'utilisation régulière. Un avantage maximum ne peut pas être réalisé pendant 1 semaine ou plus après le début du traitement. Si les symptômes ne s'améliorent pas après 2 semaines de thérapie ou si la maladie s'aggrave, demandez aux patients de contacter leur médecin.

Instructions pour une utilisation

Instruire les patients concernant les éléments suivants:

  • Lisez les informations du patient avant utilisation et suivez soigneusement les instructions d'utilisation.
  • Rappelez aux patients à:
    • Retirez le capuchon de l'embout buccal de l'actionneur avant utilisation.
    • Après le dosage, rincez la bouche avec de l'eau et crachez le contenu sans avaler. Cela aidera à réduire le risque de candidose oropharyngée.
    • Ne pas supprimer la cartouche de l'actionneur.
    • Ne pas laver l'inhalateur dans l'eau. L'embout buccal doit être nettoyé à l'aide d'une lingette à sec tous les 7 jours d'utilisation.

Toxicologie non clinique

Carcinogenèse Mutagenèse A trouble de la fertilité

Dans une étude de cancérogénicité de 2 ans à Sprague Dawley Rats Furoate Mométasone a démontré aucune augmentation statistiquement significative de l'incidence des tumeurs à des doses d'inhalation jusqu'à 67 mcg / kg (environ 14 fois le MRHD sur une base AUC). Dans une étude de cancérogénicité de 19 mois chez les souris Suisses CD-1, le furoate de mométasone n'a démontré aucune augmentation statistiquement significative de l'incidence des tumeurs à des doses d'inhalation jusqu'à 160 mcg / kg (environ 9 fois le MRHD sur une base AUC).

Le furoate de mométasone a augmenté les aberrations chromosomiques dans un in vitro Test de cellules ovaires du hamster chinois mais n'a pas eu cet effet dans un in vitro Test de cellules pulmonaires de hamster chinois. Le furoate de mométasone n'était pas mutagénique dans le test AME en vain Dosage de micronucléus de souris Un test d'aberration chromosomique de la moelle osseuse de rat ou un test d'aberration chromosomique à cellules germinales mâles de souris. Le furoate de mométasone n'a pas non plus induit une synthèse d'ADN imprévue en vain dans les hépatocytes de rat.

Dans les études de reproduction chez les rats, l'altération de la fertilité n'a pas été produite par des doses sous-cutanées jusqu'à 15 mcg / kg (environ 8 fois le MRHD sur une base AUC).

Utiliser dans des populations spécifiques

Grossesse

Résumé des risques

Il n'y a pas d'études cliniques randomisées sur Asmanex HFA chez les femmes enceintes. Il y a des considérations cliniques avec l'utilisation d'Asmanex HFA chez les femmes enceintes [voir CLinical Considerations ]. In animal reproduction studies with pregnant mice rats ou rabbits mometasone furoate caused increased fetal malfoumations et decreased fetal survival et growth following administration of doses that produced exposures approximately 1/3 to 8 times the maximum recommended human dose (MRHD) on a mcg/m 2 ou AUC basis [see Données ]. However experience with oual corticostéroïdes suggests that rodents are moue prone to teratogenic effects from corticostéroïde exposure than humans.

Le risque de fond estimé de malformations congénitales majeures et de fausse couche pour la population indiquée est inconnue. Dans la population générale des États-Unis, le risque estimé de malformations congénitales majeures et de fausse couche dans les grossesses cliniquement reconnues est respectivement de 2 à 4% et 15 à 20%.

CLinical Considerations

Risque maternel et / ou embryonnaire associé à la maladie

Chez les femmes souffrant d'asthme mal ou modérément contrôlé, il existe un risque accru de plusieurs résultats défavorables périnataux tels que la prééclampsie chez la mère et la prématurité faible poids à la naissance et petit pour l'âge gestationnel chez le nouveau-né. Pregnant women with asthma should be closely monitored and medication adjusted as necessary to maintain optimal asthma control.

Données

Données sur les animaux

Dans une étude de développement embryofétal avec des souris enceintes dosées tout au long de l'organogenèse, le furoate de mométasone a produit une fente palatine à une exposition environ un tiers du MRHD (sur un MCG / m 2 base avec des doses sous-cutanées maternelles de 60 mcg / kg et plus) et une diminution de la survie fœtale à une exposition approximativement équivalente au MRHD (sur un MCG / M 2 base avec une dose sous-cutanée maternelle de 180 mcg / kg). Aucune toxicité n'a été observée avec une dose qui a produit une exposition environ un dixième du MRHD (sur un MCG / M 2 base avec des doses dermiques topiques maternelles de 20 mcg / kg et plus).

Dans une étude de développement embryofétal avec des rats enceintes dosés tout au long de l'organogenèse, le furoate de mométasone a produit une hernie ombilicale fœtale à des expositions environ 6 fois le MRHD (sur un MCG / M 2 base avec des doses dermiques topiques maternelles de 600 mcg / kg et plus) et des retards d'ossification fœtale à des expositions environ 3 fois le MRHD (sur un MCG / M 2 base avec des doses dermiques topiques maternelles de 300 mcg / kg et plus).

Dans une autre étude de toxicité reproductrice, les rats enceintes ont été dosés avec du furoate de mométasone tout au long de la grossesse ou tard dans la gestation. Les animaux traités avaient une main-d'œuvre prolongée et difficile moins de naissances vivantes à moins de poids à la naissance et réduit la survie précoce du chiot à une exposition qui était environ 8 fois le MRHD (sur une zone sous la courbe (AUC) avec une dose sous-cutanée maternelle de 15 mcg / kg). Il n'y a eu aucune conclusion avec une exposition environ 4 fois le MRHD (sur une base AUC avec une dose sous-cutanée maternelle de 7,5 mcg / kg).

Des études de développement embryofétal ont été menées avec des lapins enceintes dosés avec du furoate de mométasone par la route cutanée topique ou la route orale tout au long de l'organogenèse. Dans l'étude utilisant la route dermique topique, le furoate de mométasone a provoqué de multiples malformations chez les fœtus (par exemple, l'hydrocéphalie des hernies de la vésicule biliaire fléchie) à une exposition environ 3 fois le MRHD (sur un MCG / m / m 2 base avec des doses dermiques topiques maternelles de 150 mcg / kg et plus). Dans l'étude utilisant la route orale, le furoate de mométasone a provoqué une augmentation des résorption fœtale et des malformations de la fente palatine et / ou de la tête (hydrocéphalie et tête en forme de dôme) à une exposition d'environ 1/2 de la MRHD (sur une base AUC avec une dose orale maternelle de 700 mcg / kg). À une exposition environ 2 fois le MRHD (sur une base AUC avec une dose orale maternelle de 2800 mcg / kg), la plupart des portées ont été avortées ou résorties. Aucun effet n'a été observé à une exposition d'environ 1/10 de la MRHD (sur une base AUC avec une dose orale maternelle de 140 mcg / kg).

Lactation

Résumé des risques

Il n'y a pas de données disponibles sur la présence d'Asmanex HFA dans le lait maternel les effets sur l'enfant allaité ou les effets sur la production de lait. D'autres corticostéroïdes inhalés similaires au furoate de mométasone sont présents dans le lait maternel. Les avantages du développement et de la santé de l'allaitement doivent être pris en compte avec le besoin clinique de la mère pour Asmanex HFA et tout effet négatif potentiel sur le nourrisson allaité d'Asmanex HFA ou de l'état maternel sous-jacent.

Usage pédiatrique

La sécurité et l'efficacité d'Asmanex HFA ont été établies chez les patients de 12 ans et plus dans 2 essais cliniques de 12 et 26 semaines. Dans les 2 essais cliniques, 32 patients de 12 à 17 ans ont été traités avec Asmanex HFA. Aucune différence globale d'efficacité n'a été observée entre les patients de ce groupe d'âge par rapport à ceux observés chez les patients âgés de 18 ans et plus. Il n'y avait aucune différence évidente dans le type ou la fréquence des effets indésirables rapportés dans ce groupe d'âge par rapport aux patients âgés de 18 ans et plus.

La sécurité et l'efficacité d'Asmanex HFA 50 MCG Deux inhalations deux fois par jour ont été établies chez des patients atteints d'asthme âgés de 5 à moins de 12 ans dans des essais cliniques jusqu'à 24 semaines de durée de traitement. Le profil de sécurité et l'efficacité globale de ce groupe d'âge étaient cohérents avec ceux observés chez les patients âgés de 12 ans et plus qui ont également reçu Asmanex HFA [voir Effets indésirables et CLinical Studies ].

La sécurité et l'efficacité d'Asmanex HFA n'ont pas été établies chez les enfants de moins de 5 ans.

Des études cliniques contrôlées ont montré que les corticostéroïdes inhalés peuvent entraîner une réduction de la vitesse de croissance chez les patients pédiatriques. Dans ces études, la réduction moyenne de la vitesse de croissance était d'environ 1 cm par an (plage de 0,3 à 1,8 par an) et semble dépendre de la dose et de la durée de l'exposition. Cet effet a été observé en l'absence de preuves de laboratoire de suppression de l'axe HPA suggérant que la vitesse de croissance est un indicateur plus sensible de l'exposition systémique des corticostéroïdes chez les patients pédiatriques que certains tests couramment utilisés de la fonction de l'axe HPA. Les effets à long terme de cette réduction de la vitesse de croissance associés aux corticostéroïdes inhalés par voie orale, y compris l'impact sur la hauteur finale de l'adulte, sont inconnus. Le potentiel de croissance de «rattrapage» après l'arrêt du traitement avec des corticostéroïdes inhalés par voie orale n'a pas été étudié de manière adéquate.

La croissance des enfants et des adolescents recevant des corticostéroïdes inhalés par voie orale, notamment Asmanex HFA, doit être surveillé systématiquement (par exemple via la stadiométrie). Si un enfant ou un adolescent sur un corticostéroïde semble avoir une suppression de la croissance, la possibilité qu'il soit particulièrement sensible à cet effet devrait être envisagée. Les effets de croissance potentiels d'un traitement prolongé doivent être pesés avec les avantages cliniques obtenus et les risques associés aux thérapies alternatives. Pour minimiser les effets systémiques des corticostéroïdes inhalés par voie orale, y compris Asmanex HFA, chaque patient doit être titré à sa dose efficace la plus faible [voir Posologie et administration ].

Utilisation gériatrique

Au total, 38 patients âgés de 65 ans et plus (dont 3 avaient 75 ans et plus) ont été traités avec Asmanex HFA dans 2 essais cliniques de 12 et 26 semaines. Aucune différence globale de sécurité ou d'efficacité n'a été observée entre ces patients et les patients plus jeunes, mais une plus grande sensibilité de certaines personnes âgées ne peut être exclue. Sur la base des données disponibles pour Asmanex HFA, aucun ajustement de dosage chez les patients gériatriques n'est justifié.

Trouble hépatique

Les concentrations de furoate de mométasone semblent augmenter avec la gravité des troubles hépatiques [voir Pharmacologie clinique ].

Informations sur la surdose pour Asmanex

Un surdosage chronique peut entraîner des signes / symptômes de l'hypercorticisme [voir Avertissements et PRÉCAUTIONS ]. Single oual doses up to 8000 mcg of mometasone furoate have been studied on adult subjects with no adverse reactions repouted.

Contre-indications pour Asmanex

Énoncer asthmatique

Asmanex HFA is contraindicated in the primary treatment of status asthmeticus ou other acute episodes of asthme where intensive measures are required.

Hypersensibilité

Asmanex HFA is contraindicated in patients with known hypersensitivity to mometasone furoate ou any of the ingredients in Asmanex HFA [see Avertissements et PRÉCAUTIONS ].

Pharmacologie clinique fou Asmanex

Mécanisme d'action

Le furoate de mométasone est un corticostéroïde démontrant une puissante activité anti-inflammatoire. Le mécanisme précis de l'action corticostéroïde sur l'asthme n'est pas connu. L'inflammation est un élément important de la pathogenèse de l'asthme. Il a été démontré que les corticostéroïdes ont un large éventail d'effets inhibiteurs sur plusieurs types de cellules (par exemple, les mâts de mastocytes éosinophiles neutrophiles macrophages et lymphocytes) et les médiateurs (par exemple les éicosanoïdes histamiques leucotriènes et les cytokines) impliqués dans l'inflammation et dans la réponse asthmatique. Ces actions anti-inflammatoires des corticostéroïdes peuvent contribuer à leur efficacité dans l'asthme.

Le furoate de mométasone a été montré in vitro Pour montrer une affinité de liaison pour le récepteur des glucocorticoïdes humains qui est environ 12 fois celle de la dexaméthasone 7 fois celle de l'acétonide de triamcinolone 5 fois celle du boudonide et 1,5 fois celle de la fluticasone. La signification clinique de ces résultats est inconnue.

Pharmacodynamique

Les effets systémiques des corticostéroïdes inhalés sont liés à une exposition systémique. Les données pharmacocinétiques ont démontré que chez les adultes, l'exposition systémique au furoate de mométasone administré par MDI est identique ou inférieure à celle des doses équivalentes de furoate de mométasone inhalé administré via DPI [voir Pharmacocinétique ]. Based upon the pharmacokinetic data the systemic effects (e.g. HPA-axis suppression et growth retardation) of mometasone furoate delivered by MDI in adult et pediatric patients would be expected to be no greater than what is repouted fou inhaled mometasone furoate when administered at comparable doses via DPI [see Utiliser dans des populations spécifiques ].

Effets de l'axe HPA (adultes)

Les effets du furoate de mométasone inhalé administré via Asmanex HFA sur la fonction surrénale n'ont pas été directement évalués. Cependant, les effets du furoate de mométasone inhalé administré dans le cadre d'un produit d'aérosol inhalation de furoate de mométasone / formotérol de fumarate de fumarate sur la fonction surrénale ont été évalués dans deux essais cliniques chez les patients asthmatiques. Comme aucune preuve d'une interaction pharmacocinétique entre le furoate de mométasone et le formotérol n'a été observée lorsque les deux médicaments ont été administrés en combinaison des effets de l'axe HPA du produit combiné sont applicables à Asmanex HFA. Pour le programme de produits de furoate de mométasone / formoterol, le programme clinique combiné du programme HPA-axe a été évalué par le cortisol plasma 24 heures sur 24. Bien que ces deux essais aient une conception ouverte et contiennent un petit nombre de sujets par traitement, les résultats du bras de ces essais pris ensemble ont démontré la suppression de la suppression de cortisol plasma 24h / 24 pour la combinaison du furoate de mométasone / fumarate de formoterol 200 mcg / 5 mcg par rapport au placebo cohérent avec les effets systémiques connus du corcoïde inhalé.

In a 42-day open-label placebo- and active-controlled study the mean change from baseline plasma cortisol AUC(0-24 hr) was 8% 22% and 34% lower compared to placebo for the mometasone furoate/formoterol fumarate 100 mcg/5 mcg (n=13) mometasone furoate/formoterol fumarate 200 mcg/5 mcg (n=15) and Fluticasone propionate / salmeterol xinafoate 230 mcg / 21 mcg (n = 16) groupes de traitement respectivement.

Dans une étude de sécurité ouverte de 52 semaines, l'ASC de cortisol plasma moyen (0-24 heures) était de 2,2% 29,6% 16,7% et 32,2% de la ligne de base pour le furoate de mométasone / Formoterol Fumarate 100 mcg / 5 mcg (n = 18) Mométasone furoate / formoterol propionate / salmeterol xinafoate 125/25 mcg (n = 8) et fluticasone propionate / salmeterol xinafoate 250/25 mcg (n = 11) des groupes de traitement respectivement.

L'effet potentiel du furoate de mométasone via un inhalateur de poudre sec (DPI) sur l'axe HPA a également été évalué dans une étude de 29 jours. Au total, 64 patients adultes souffrant d'asthme léger à modéré ont été randomisés dans l'un des 4 groupes de traitement: le furoate de mométasone DPI 440 mcg deux fois par jour furoate de mométasone DPI 880 mcg deux fois par jour de la prednisone orale 10 mg une fois par jour ou un placebo. The 30-minute post-Cosyntropin stimulation serum cortisol concentration on Day 29 was 23.2 mcg/dL for the mometasone furoate DPI 440 mcg twice daily group and 20.8 mcg/dL for the mometasone furoate DPI 880 mcg twice daily group compared to 14.5 mcg/dL for the oral prednisone 10 mg group and 25 mcg/dL for the placebo groupe. La différence entre le furoate de mométasone DPI 880 mcg deux fois par jour (deux fois la dose maximale recommandée) et le placebo était statistiquement significatif.

Effets de l'axe HPA (pédiatrie)

L'effet potentiel du furoate de mométasone via un DPI sur l'axe HPA a été évalué chez 50 enfants âgés de 6 à 11 ans dans un essai clinique parallèle à groupe parallèle contrôlé par le placebo à double aveugle de 29 jours. Dans cette étude, la différence moyenne par rapport au placebo dans le cortisol de plasma AUC (0-12hr) pour DPI 110 mcg deux fois par jour était de 3,4 mcg • hr / dl (IC à 95%: -14,0 20,7) et pour 220 mcg deux fois par jour était -16,0 mcg • HR / DL (95% CI: -33.9 1.9). La différence moyenne par rapport au placebo dans l'ASC du cortisol plasmatique (0-12h) pour le groupe de 440 mcg deux fois par jour (huit fois la dose de furoate de mométasone actuellement recommandée via un DPI chez les enfants de 4 à 11 ans) était de -17,9 mcg • HR / DL (IC à 95%: -35,8 0,0). Les différences moyennes dans les changements de cortisol sans urinaire par rapport à la ligne de base par rapport au placebo étaient de 3,1 mcg / jour (IC à 95%: -3,3 9,6) 3,3 mcg / jour (IC à 95%: -3,0 9,7) et -2,0 mcg / jour (95% IC: -8,6 4,6) pour les groupes traités avec 110 mcg twice 220 mcg twice twice et 440 mcg twice quotidien.

Pharmacocinétique

Comme aucune preuve d'une interaction pharmacocinétique entre le furoate de mométasone et le formotérol n'a été observée lorsque les deux médicaments ont été administrés à partir d'un produit combiné de furoate / formoterol de mométasone, les informations pharmacocinétiques du produit de combinaison sont applicables à Asmanex HFA.

Absorption

Sujets sains adultes

Following oral inhalation of single doses of ASMANEX HFA mometasone furoate was absorbed in healthy subjects with median Tmax values ranging from 0.50 to 2 hours. Après l'administration à dose unique d'une dose plus élevée que recommandée d'Asmanex HFA (4 inhalations d'Asmanex HFA 200 mcg) chez des sujets sains, les valeurs de la moyenne arithmétique (CV%) CMAX et AUC (0-TF) pour le furoate de mométasone étaient respectivement de 53 (102) pg / ml et 992 (80) pg • hr / ml respectivement. Des études utilisant le dosage oral de médicament marqué et non marqué ont démontré que la biodisponibilité systémique orale du furoate de mométasone est négligeable ( <1%).

Après l'administration à dose unique d'une dose plus élevée que recommandée de furoate de mométasone (4 inhalations de furoate de mométasone / fumarate de formotérol 200 mcg / 5 mcg) chez des sujets sains, la moyenne arithmétique (CV%) CMAX et Auc (0-12 HR) respectivement, tandis que les estimations correspondantes après 5 jours de dosage de soumission avec le furoate de mométasone 800 mcg / 20 mcg étaient 241 (36) pg / ml et 2200 (35) pg • hr / ml. L'exposition systémique au furoate de mométasone (basée sur l'ASC) était d'environ 52% et 25% plus faible le jour 1 et le jour 5 après l'administration de furoate de mométasone par rapport au furoate de mométasone via un DPI.

Patients d'asthme adulte

Après l'inhalation orale de doses uniques et multiples du produit de combinaison de furoate de mométasone / formotérol, le furoate de mométasone a été absorbé chez les patients atteints d'asthme avec des valeurs médianes de Tmax allant de 1 à 2 heures. Après l'administration à dose unique de furoate de mométasone / fumarate de formoterol 400 mcg / 10 mcg La moyenne arithmétique (CV%) CMAX et AUC (0-12 h) pour le furoate de mométasone était de 20 (88) PG / ml et 170 (94) PG • HR / ML en train Le fumarate 400 mcg / 10 mcg à l'état d'équilibre était de 60 (36) pg / ml et 577 (40) pg • hr / ml.

Distribution

Sur la base de l'étude utilisant une dose inhalée de 1000 mcg de poudre d'inhalation de furoate de mométasone tritiée chez l'homme, aucune accumulation appréciable de furoate de mométasone dans les globules rouges n'a été trouvée. Après une dose intraveineuse de 400 mcg de furoate de mométasone, les concentrations plasmatiques ont montré un déclin biphasique avec un volume moyen à l'état d'équilibre de distribution de 152 litres. Le in vitro La liaison des protéines pour le furoate de mométasone était de 98% à 99% (dans une plage de concentration de 5 à 500 ng / ml).

Métabolisme

Des études ont montré que le furoate de mométasone est principalement métabolisé dans le foie de toutes les espèces étudiées et subit un métabolisme étendu à plusieurs métabolites. In vitro Des études ont confirmé le rôle principal du CYP3A4 du foie humain dans le métabolisme de ce composé; Cependant, aucun métabolite majeur n'a été identifié. Le foie humain CYP3A4 métabolise le furoate de mométasone en furoate de mométasone hydroxy 6-bêta.

Excrétion

Après un dosage intraveineux, la demi-vie terminale aurait été d'environ 5 heures. Après la dose inhalée de furoate de mométasone tritiée de 1000 mcg, la radioactivité est excrétée principalement dans les excréments (une moyenne de 74%) et dans une petite mesure dans l'urine (moyenne de 8%) jusqu'à 7 jours. Aucune radioactivité n'a été associée au furoate de mométasone inchangé dans l'urine. Le furoate de mométasone absorbé est éliminé du plasma à une vitesse d'environ 12,5 ml / min / kg indépendamment de la dose. Le T effectif ½ Pour le furoate de mométasone après l'inhalation était de 25 heures chez des sujets sains adultes et chez les patients adultes asthmatiques.

Populations spéciales

Troubles hépatiques / rénaux

Il n'y a pas de données concernant l'utilisation spécifique d'Asmanex HFA chez les patients atteints de troubles hépatiques ou rénaux.

Une étude évaluant l'administration d'une seule dose inhalée de 400 mcg de furoate de mométasone par un inhalateur de poudre sèche à des sujets adultes atteints de déficience hépatique légère (n = 4) modérée (n = 4) et sévère (n = 4) n'a entraîné que 1 ou 2 sujets dans chaque groupe ayant des concentrations plasmatiques de pointe détectables de furoate de mometasone (indication de 50-105 pg / ml). Les concentrations plasmatiques maximales observées semblent augmenter avec la gravité des troubles hépatiques; Cependant, le nombre de niveaux détectables était peu nombreux.

Genre et race

Des études spécifiques pour examiner les effets du genre et de la race sur la pharmacocinétique d'Asmanex HFA n'ont pas été spécifiquement étudiées.

Gériatrie

La pharmacocinétique d'Asmanex HFA n'a pas été spécifiquement étudiée dans la population âgée.

Interactions médicament-médicament

Une étude de croisement à dose unique a été menée pour comparer la pharmacocinétique de 4 inhalations de ce qui suit: Furoate mDi Foroterol MDI MDI mDI Furoate / Formoterol Fumarate Fumarate combinaison MDI et mDi furoate mDi plus formoterol fumarate MDI a administré de manière concurrente. Les résultats de l'étude ont indiqué qu'il n'y avait aucune preuve d'une interaction pharmacocinétique entre le furoate de mométasone et le formotérol.

Inhibiteurs des enzymes du cytochrome P450

Kétoconazole

Dans une étude d'interaction médicamenteuse, une dose inhalée de furoate de mométasone 400 mcg délivrée par un inhalateur de poudre sèche a été donnée à 24 sujets sains adultes deux fois par jour pendant 9 jours et le kétoconazole 200 mg (ainsi que le placebo) ont été concoctés par jour les jours 4 à 9. <150 pg/mL on Day 3 prior to coadministration of ketoconazole or placebo. Following concomitant administration of ketoconazole 4 out of 12 subjects in the ketoconazole treatment group (n=12) had peak plasma concentrations of mometasone furoate> 200 pg / ml le jour 9 (211-324 pg / ml). Les taux plasmatiques de furoate de mométasone semblent augmenter et les taux plasmatiques de cortisol semblaient diminuer lors de l'administration concomitante de kétoconazole.

CLinical Studies

Asthme

Patients adultes et adolescents âgés de 12 ans et plus

La sécurité et l'efficacité d'Asmanex HFA ont été démontrées dans deux essais cliniques multi-centres à double centre ou à contrôle actif randomisées d'une durée de 12 et 26 semaines menée dans le cadre d'un programme de développement de combinaison de combinaison de furoate / formotérol de 12 et 26 semaines ou de 200/5 MCG. Au total, 1509 patients âgés de 12 ans et plus souffrant d'asthme persistant (FEV de base moyen 1 de 66% à 73% prédits) ont été évalués.

Procès 1

CLinical Trial with Asmanex HFA 100 mcg

Cet essai contrôlé par un placebo de 26 semaines (NCT00383240) a mené dans le cadre d'un programme d'asthme combiné pour combinaison de furoate de mométasone / formoterol a évalué 781 patients âgés de 12 ans et plus. Parmi ces patients, 192 patients ont reçu Asmanex HFA 100 mcg et 196 patients ont reçu un placebo, chacun administré comme 2 inhalations deux fois par jour par des aérosols d'inhalation à dose mesurés. Toutes les autres thérapies d'entretien ont été interrompues. L'étude a inclus une période de randonnée de 2 à 3 semaines avec des inhalations Asmanex HFA 100 MCG 2 deux fois par jour. Les patients variaient de 12 à 76 ans 41% étaient des hommes et 59% des femmes et 72% étaient du race blanche et 28% non caucasiens. Les patients avaient un asthme persistant et n'étaient pas bien contrôlés sur une dose moyenne de corticostéroïdes inhalés avant la randomisation. FEV moyen 1 et mean percent predicted FEV 1 étaient similaires parmi tous les groupes de traitement (NULL,33 L 73%).

Treize (7%) patients recevant Asmanex HFA 100 MCG et 46 (23%) patients recevant un placebo ont interrompu l'étude tôt en raison de l'échec du traitement.

Le changement de diable moyen FEV 1 De la ligne de base à la semaine 12 par rapport au placebo a été évalué pour évaluer l'efficacité d'Asmanex HFA 100 mcg. Le changement de la ligne de base à la semaine 12 dans le creux moyen FEV 1 était plus élevé chez les patients recevant des inhalations Asmanex HFA 100 mcg 2 deux fois par jour que chez ceux recevant un placebo (différence de traitement par rapport au placebo 0,12 L et à 95% d'intervalle de confiance [0,05 0,20]).

CLinically judged deteriouations in asthme ou reductions in lung function were also assessed to evaluate the efficacy of Asmanex HFA 100 mcg. Deteriouations in asthme were defined as any of the following: a 20% decrease in FEV 1 ; une diminution de 30% du PEF sur deux jours ou plus consécutifs; Hospitalisation ou traitement du traitement d'urgence avec des corticostéroïdes systémiques ou d'autres médicaments d'asthme non autorisés par protocole. Soixante-cinq (34%) patients qui ont reçu Asmanex HFA 100 MCG ont signalé un événement contre 109 (56%) patients qui ont reçu un placebo.

Le traitement des patients atteints d'asthme avec Asmanex HFA 100 mcg Deux inhalations deux fois par jour ont également entraîné moins d'éveil nocturne et amélioré le débit de pointe du matin par rapport à ceux qui ont reçu un placebo.

Procès 2

CLinical Trial with Asmanex HFA 200 mcg

Cet essai randomisé en double aveugle randomisé de 12 semaines (NCT00381485) a également mené dans le cadre d'un programme d'asthme combinaison de furoate de mométasone / formotorol Fumarate Programme d'asthme a évalué un total de 728 patients âgés de 12 ans et plus ancien Patients) et le furoate de mométasone / fumarate de formotérol 100 mcg / 5 mcg (n = 233 patients) ont chacun administré 2 inhalations deux fois par jour par des aérosols d'inhalation à dose mesurés. Toutes les autres thérapies d'entretien ont été interrompues. Cet essai comprenait une période de mise en compte de 2 à 3 semaines avec des inhalations Asmanex HFA 200 MCG 2 deux fois par jour. Les patients avaient un asthme persistant et n'étaient pas contrôlés sur des corticostéroïdes inhalés à haute dose avant l'entrée de l'étude. Les patients variaient de 12 à 84 ans 44% étaient des hommes et 56% des femmes et 89% étaient du race blanche et 11% non caucasiens. FEV moyen 1 et mean percent predicted FEV 1 Les valeurs étaient similaires parmi tous les groupes de traitement (NULL,05 L 66%). Le nombre de patients qui ont interrompu l'essai tôt en raison de l'échec du traitement étaient de 11 (5%) dans le groupe 8 mcg de furoate de mométasone / formoterol 100 mcg / 5 mcg (3%) dans le groupe de furoate de mométasone / formoterol Fumarate 200 mcg / 5 mcg et 13 (5%) dans le groupe Asmanex HFA 200 mcg.

Afin d'évaluer l'avantage supplémentaire d'une dose plus élevée de mométasone dans le produit de furoate de mométasone de 200 mcg / actionnement par rapport à la dose inférieure de 100 mcg / action d'actionnement FEV FEV 1 à 12 semaines a été comparée entre la combinaison du furoate de mométasone / furoate / formotorol Fumarate 200 mcg / 5 mcg et 100 mcg / 5 mcg de groupes de traitement comme critère d'évaluation secondaire. Amélioration de la FEV du creux 1 De la ligne de base à la semaine 12 chez les patients qui ont reçu du furoate de mométasone 200 mcg en combinaison avec du fumarate de formoterol 5 mcg était numériquement plus élevé que chez les patients qui ont reçu du furo de mométasone 100 mcg en combinaison avec l'intervalle de confiance en formotérol [-02 0,10]).

Autres études chez les patients adultes et adolescents

En plus de l'essai 1 et de l'essai 2, l'innocuité et l'efficacité du furoate de mométasone MDI 100 mcg et 200 mcg (chacune administrée sous forme de 2 inhalations deux fois par jour) par rapport au placebo ont été démontrées dans deux autres essais contrôlés par un placebo de 12 semaines qui ont évalué le changement moyen de FEV 1 de la ligne de base comme critère d'évaluation principal. Un essai de 26 semaines (NCT00383552) a également évalué le même critère d'évaluation avec une dose plus faible de mDI de furoate de mométasone.

Patients pédiatriques âgés de 5 à moins de 12 ans

L'innocuité et l'efficacité d'Asmanex HFA ont été démontrées dans un essai clinique multicentrique contrôlé par placebo en double semaine randomisé de 12 semaines chez un total de 583 patients âgés de 5 à moins de 12 ans avec de l'asthme persistant (FEV de base moyen de base. 1 de 79%-prédit) qui utilisaient une dose de CI faible à moyen avec ou sans LABA depuis au moins 12 semaines avant l'entrée de l'étude. Après une période de randonnée approximative de 2 semaines, les sujets randomisés en dose Asmanex HFA 50 MCG (administré sous forme de deux inhalations deux fois par jour) deux autres doses d'asmanex hfa Asmanex Dry-Powder inhalateur (DPI) ou de placebo. Les patients étaient 60% de mâles 71% étaient du race blanche et 13% avaient 5 à 6 ans. Les résultats des critères d'évaluation principaux montrent qu'après 12 semaines de traitement Asmanex HFA 50 MCG (administré en deux inhalations deux fois par jour) était statistiquement supérieur au placebo en ce qui 1 À la fin de l'intervalle de dosage (NULL,29% 95% IC: 3,05 9,53).

Informations sur les patients pour Asmanex

Asmanex ® HFA
(Az-ma -snek)
50 mcg

Asmanex ® HFA
100 mcg

Asmanex ® HFA
200 mcg
(furoate de mométasone)
Aérosol d'inhalation

Qu'est-ce que Asmanex HFA?

Asmanex HFA is an inhaled corticostéroïde (ICS) prescription medicine utilisé comme traitement d'entretien pour la prévention et le contrôle de asthme symptoms in people 5 years of age et older.

  • Asmanex HFA is not used pour traiter les symptômes soudains graves de l'asthme.
  • Asmanex HFA should not be used as a rescue inhaler.
  • On ne sait pas si Asmanex HFA est sûr et efficace chez les enfants de moins de 5 ans.

Qui ne devrait pas utiliser Asmanex HFA?

N'utilisez pas Asmanex HFA:

  • pour traiter les symptômes soudains graves de l'asthme.
  • Si vous êtes allergique au furoate de mométasone ou à l'un des ingrédients d'Asmanex HFA. Voir la fin de cette brochure d'information du patient pour une liste complète des ingrédients dans Asmanex HFA.

Que dois-je dire à mon médecin avant et pendant le traitement avec Asmanex HFA?

Avant d'utiliser Asmanex HFA, dites à votre fournisseur de soins de santé si vous:

  • avoir des problèmes de foie.
  • ont une ostéoporose.
  • avoir un problème de système immunitaire.
  • Avoir des problèmes oculaires tels que une pression accrue dans les cataractes du glaucome oculaire floues de vision ou d'autres changements dans votre vision.
  • sont allergiques à tous les médicaments.
  • sont exposés à la varicelle ou à la rougeole.
  • avoir ou souffrir de tuberculose (TB).
  • avoir d'autres problèmes médicaux.
  • sont enceintes ou envisagent de devenir enceintes. On ne sait pas si Asmanex HFA peut nuire à votre bébé à naître.
  • allaitent. On ne sait pas si Asmanex HFA passe dans votre lait maternel et si cela peut nuire à votre bébé. Vous et votre fournisseur de soins de santé devriez décider si vous prenez Asmanex HFA ou l'allaitement.

Parlez à votre fournisseur de soins de santé de tous les médicaments que vous prenez y compris les médicaments sur ordonnance et en vente libre des vitamines et des suppléments à base de plantes.

Asmanex HFA may affect the way other medicines wouk et other medicines may affect how Asmanex HFA wouks.

Surtout, dites à votre fournisseur de soins de santé si vous prenez des médicaments antifongiques antibiotiques ou des médicaments anti-VIH tels que:

  • Ritonavir
  • Atazanavir
  • Produits contenant du cobicistat
  • kétoconazole
  • clarithromycine
  • néfazodone
  • saquinavir
  • Netfinavir
  • télithromycine
  • indinavir
  • itraconazole

Demandez à votre fournisseur de soins de santé si vous n'êtes pas sûr de savoir si l'un de vos médicaments est les types énumérés ci-dessus.

Pour certains médicaments (y compris les médicaments pour le VIH tels que les produits contenant du ritonavir cobicistat et certains antifongiques et antibiotiques), votre médecin peut souhaiter vous surveiller attentivement.

Connaissez les médicaments que vous prenez. Gardez une liste et montrez-la à votre fournisseur de soins de santé et à votre pharmacien chaque fois que vous obtenez un nouveau médicament.

Comment dois-je utiliser ASMANEX HFA?

Lisez les instructions étape par étape pour utiliser AsManEx HFA dans les instructions d'utilisation.

  • Utilisez ASMANEX HFA exactement comme prescrit. Ne pas Utilisez Asmanex HFA plus souvent que prescrit.
  • Vous devez utiliser Asmanex HFA régulièrement. Cela peut prendre 1 semaine ou plus après avoir commencé à utiliser Asmanex HFA pour que vos symptômes d'asthme s'améliorent. N'arrêtez pas d'utiliser Asmanex HFA même si vous vous sentez mieux à moins que votre professionnel de la santé ne vous le dise.
  • Ne pas Changez ou arrêtez d'utiliser Asmanex HFA ou d'autres médicaments contre l'asthme utilisés pour contrôler ou traiter vos problèmes respiratoires, sauf si vous le faites par votre fournisseur de soins de santé. Votre fournisseur de soins de santé changera vos médicaments au besoin.
  • Asmanex HFA comes in 3 strengths. Your healthcare provider has prescribed the strength that is best fou you. Pay attention to the differences between Asmanex HFA et your other inhaled medicines including their prescribed use et the way they look.
  • Pour les enfants âgés de 5 à moins de 12 ans, utilisez Asmanex HFA 50 MCG.
  • Pour les adultes et les adolescents, 12 ans et plus utilisent Asmanex HFA 100 mcg ou 200 mcg.
  • Prenez Asmanex HFA tous les jours avec 2 bouffées le matin et 2 bouffées le soir.
  • Si vous manquez une dose d'Asmanex HFA, sautez votre dose manquée et prenez votre prochaine dose à votre heure régulière. Ne prenez pas Asmanex HFA plus souvent ou utilisez plus de bouffées que ce qui vous a été prescrit.
  • Si vous prenez plus d'Asmanex HFA, votre fournisseur de soins de santé a prescrit immédiatement votre fournisseur de soins de santé.
  • Asmanex HFA does not relieve sudden asthme symptoms. Always have a rescue inhaler with you to treat sudden symptoms. Use your rescue inhaler if you have problèmes de respiration between doses of Asmanex HFA. If you do not have a rescue inhaler call your healthcare provider to have a rescue inhaler prescribed fou you.
  • Ne pas use the Asmanex HFA canister ou actuatou with any other medicines. Ne pas use any other medicine canister ou actuatou with Asmanex HFA.
  • Rincez votre bouche avec de l'eau après chaque dose (2 bouffées) d'Asmanex HFA. Crachez l'eau. Ne l'avalez pas. Cela aidera à atténuer les chances d'obtenir une infection à levures (grive) dans la bouche et la gorge.
  • Ne pas spray Asmanex HFA in your eyes. If you accidentally get Asmanex HFA in your eyes rinse your eyes with water et if redness ou irritation continues call your healthcare provider.
  • Appelez votre fournisseur de soins de santé ou prenez immédiatement des soins médicaux si:
    • Vos problèmes de respiration s'aggravent avec Asmanex HFA
    • Vous devez utiliser votre inhalateur de sauvetage plus souvent que d'habitude
    • Votre inhalateur de sauvetage ne fonctionne pas aussi bien pour vous pour soulager les symptômes
    • Vous devez utiliser 4 inhalations ou plus de votre inhalateur de sauvetage pendant 2 jours ou plus de suite
    • Vous utilisez 1 cartouche entière de votre inhalateur de sauvetage dans les 8 semaines
    • Vos résultats de débitmètre de pointe diminuent. Votre fournisseur de soins de santé vous dira les chiffres qui vous conviennent.
    • Vous souffrez d'asthme et vos symptômes ne s'améliorent pas après avoir utilisé régulièrement Asmanex HFA pendant 1 à 2 semaines

Quels sont les effets secondaires possibles d'Asmanex HFA?

Asmanex HFA can cause serious side effects including

  • Chaude dans la bouche et la gorge. Vous pouvez développer une infection à levures ( Candida albicans ) dans votre bouche ou votre gorge. Après chaque dose (2 bouffées) d'Asmanex, HFA rincez avec l'eau. Crachez l'eau. Ne l'avalez pas. Cela aidera à prévenir la grive dans votre bouche ou votre gorge.
  • Effets du système immunitaire et une plus grande chance d'infections.
    Dites à votre fournisseur de soins de santé de tout signe d'infection tel que:
    • fièvre
    • Se sentir fatigué
    • Les maux de corps
    • vomissement
    • douleur
    • nausée
    • frissons
  • Insuffisance surrénalienne qui peut entraîner la mort Peut se produire lorsque vous arrêtez de prendre des médicaments par corticostéroïdes oraux et que vous commencez à utiliser des médicaments corticostéroïdes inhalés. L'insuffisance surrénalienne peut également se produire chez les personnes qui prennent des doses plus élevées d'Asmanex HFA que recommandées sur une longue période. Lorsque votre corps est soumis à un stress, comme de la fièvre traumatisme (comme un accident de voiture), une infection ou une insuffisance surrénalienne peut s'aggraver. Les symptômes de l'insuffisance surrénale comprennent:
    • Se sentir fatigué ou exhausted (fatigue)
    • faiblesse
    • manque d'énergie
    • nausée et vomissement
    • Basse pression artérielle (hypotension)
    • étourdissements ou se sentir faibles
  • Haulgure une respiration sifflante juste après avoir pris Asmanex HFA. Ayez toujours un inhalateur de sauvetage avec vous pour traiter la respiration sifflante soudaine.
  • Réactions allergiques graves. Arrêtez de prendre Asmanex HFA et appelez votre fournisseur de soins de santé ou prenez immédiatement des soins médicaux d'urgence si vous obtenez l'un des symptômes suivants d'une réaction allergique grave:
    • éruption cutanée
    • urticaire
    • gonflement comprenant un gonflement du visage bouche et langue
    • problèmes de respiration
  • Densité minérale osseuse plus faible. Cela peut être un problème pour les personnes qui ont déjà plus de chances de faible densité osseuse (ostéoporose).
  • Ralenti des enfants. La croissance d'un enfant doit être vérifiée souvent.
  • Problèmes oculaires, y compris les cataractes du glaucome et la vision floue. Vous devriez passer des examens de la vue réguliers lors de l'utilisation d'Asmanex HFA.

Les effets secondaires les plus courants rapportés lors de l'utilisation d'Asmanex HFA comprennent:

  • inflammation du nez et de la gorge (nasopharyngitis)
  • inflammation des sinus (sinusite)
  • mal de tête
  • bronchite
  • infection contre la grippe (influenza)

Autres effets secondaires: Une aggravation d'asthme ou des crises d'asthme soudaines a été signalée avec l'utilisation de furoate de mométasone inhalée.

Parlez à votre fournisseur de soins de santé de tout effet secondaire qui vous dérange ou qui ne disparaît pas.

Ce ne sont pas tous les effets secondaires avec Asmanex HFA. Demandez à votre fournisseur de soins de santé ou à votre pharmacien pour plus d'informations.

Appelez votre médecin pour des conseils médicaux sur les effets secondaires. Vous pouvez signaler les effets secondaires à la FDA au 1-800-FDA-1088.

Comment dois-je stocker Asmanex HFA?

  • Stockez Asmanex HFA à température ambiante entre 68 ° F à 77 ° F (20 ° C à 25 ° C).
  • Le contenu de votre Asmanex HFA est sous pression. Ne pas ponction. Ne pas utiliser ou stocker près de la chaleur ou une flamme ouverte. Un stockage supérieur à 120 ° F peut faire éclater la cartouche.
  • Ne pas jeter un récipient dans le feu ou l'incinérateur.
  • Gardez Asmanex HFA et tous les médicaments hors de portée des enfants.

Informations générales sur l'utilisation sûre et efficace d'Asmanex HFA.

Les médicaments sont parfois prescrits à des fins autres que celles énumérées dans une brochure d'information du patient. N'utilisez pas Asmanex HFA pour une condition pour laquelle il n'a pas été prescrit. Ne donnez pas votre Asmanex HFA à d'autres personnes même s'ils ont la même condition que vous. Cela peut leur faire du mal.

Ce dépliant d'information du patient résume les informations les plus importantes sur Asmanex HFA. Si vous souhaitez plus d'informations, parlez avec votre fournisseur de soins de santé. Vous pouvez demander à votre fournisseur de soins de santé ou à votre pharmacien d'information sur Asmanex HFA qui a été écrit pour les professionnels de la santé.

Pour plus d'informations sur Asmanex HFA, allez à www.asmanex.com ou to repout side effects call 1-877-888-4231.

Quels sont les ingrédients dans Asmanex HFA?

Ingrédient actif: furoate de mométasone

Ingrédients inactifs: hydrofluoroalkane (HFA-227: 1112333-HEPTAFLUOROPROPANE) éthanol et acide oléique

Instructions pour une utilisation

Asmanex ® HFA
(Az-ma -snek)
50 mcg

Asmanex ® HFA
100 mcg

Asmanex ® HFA
200 mcg
(furoate de mométasone)
Aérosol d'inhalation

Lisez ces instructions à utiliser avant de commencer à utiliser Asmanex HFA et chaque fois que vous obtenez une recharge. Il peut y avoir de nouvelles informations. Cette brochure ne prend pas la place de parler à votre fournisseur de soins de santé de votre état de santé ou de votre traitement.

Les parties de votre Asmanex HFA:

Il y a 2 pièces principales à votre inhalateur Asmanex HFA: la cartouche métallique qui contient le médicament et l'actionneur en plastique bleu qui pulvérise le médicament de la cartouche.

  • L'inhalateur a également un capuchon rose qui couvre l'embout buccal de l'actionneur (Voir figure 1). Le capuchon de l'embout buccal doit être retiré avant utilisation. L'inhalateur contient 120 ACTUATIONS (PUFFS).

Figure 1

The parts of ASMANEX HFA - Illustration
  • L'inhalateur est livré avec un compteur de dose situé sur l'actionneur en plastique (Voir figure 1). Le comptoir affichera le nombre d'actionnement (bouffées) de la médecine restant. La première fois que vous utilisez Asmanex HFA, le compteur de dose affichera 124 actionnes restantes. Chaque fois que vous appuyez sur la cartouche, une bouffée de médecine est libérée et le compteur comptera par 1 . Le comptoir cessera de compter à 0 .

Informations importantes:

  • Utilisez Asmanex HFA exactement comme votre fournisseur de soins de santé vous le dit. Les adultes peuvent aider les enfants à utiliser Asmanex HFA comme prescrit. Les enfants peuvent utiliser Asmanex HFA avec ou sans dispositif d'espaceur.
  • Retirez le capuchon de l'embout buccal de l'actionneur avant d'utiliser Asmanex HFA.
  • Ne pas remove the canister from the actuatou parce que:
    • Vous ne pouvez pas recevoir la quantité correcte de médicaments.
    • Le compteur de dose peut ne pas fonctionner correctement.
    • Si vous essayez d'insérer la cartouche dans l'actionneur, cela peut faire en sorte que le compteur de dose compte de 1 et peut décharger une bouffée.
  • Utilisez la canister Asmanex HFA uniquement avec l'actionneur fourni avec le produit. Ne pas Utilisez des parties de l'inhalateur Asmanex HFA avec des parties de tout autre médicament par inhalation.

Avant d'utiliser votre Asmanex HFA:

Retirez le capuchon de l'embout buccal de l'actionneur avant d'utiliser Asmanex HFA (voir figure 2).

Vérifiez l'embout buccal pour les objets avant utilisation. Assurez-vous que la cartouche est complètement insérée dans l'actionneur.

Figure 2

Remove the cap from the mouthpiece of the actuator before using ASMANEX HFA - Illustration

Amoraison de votre inhalateur Asmanex HFA:

Avant d'utiliser Asmanex HFA pour la première fois, vous devez amorcer l'inhalateur.

  1. Pour amorcer l'inhalateur, maintenez-le en position verticale loin de votre visage et appuyez fermement et complètement sur le dessus de la cartouche jusqu'à ce qu'elle cesse de se déplacer dans l'actionneur. Faire 4 fois pour libérer un total de 4 ACTUATIONS (PUFFS) Dans les airs.
  2. Secouez l'inhalateur bien avant chacune des actuations d'amorçage. Après amorçage 4 fois que le compteur de dose devrait lire 120 .
  3. Si vous n'utilisez pas votre ASMANEX HFA pendant plus de 5 jours, vous devrez l'amorcer à nouveau avant utilisation.

Utilisation de votre Asmanex HFA:

  1. Confirmez que la résistance indiquée sur les étiquettes de l'actionneur et de la cartouche correspond à la posologie prescrite.
  2. Retirez le capuchon de l'embout buccal de l'actionneur (voir figure 3). Vérifiez l'embout buccal pour les objets avant utilisation. Assurez-vous que la cartouche est complètement insérée dans l'actionneur.
  3. Secouez l'inhalateur bien avant chaque utilisation.
  4. Expirez aussi pleinement que vous le pouvez confortablement par la bouche. Poussez autant d'air de vos poumons que possible. Tenez l'inhalateur en position verticale et placez l'embout buccal dans votre bouche (Voir figure 4). CLose your lips around the mouthpiece.
  5. Figure 3

    Remove the cap from the mouthpiece of the actuator - Illustration

    Figure 4

    Hold the inhaler in the upright position and place the mouthpiece into your mouth - Illustration
  6. Respirez profondément (inspirez) lentement par la bouche. Tout en faisant cela, appuyez fermement et entièrement sur le dessus de la cartouche jusqu'à ce qu'il cesse de se déplacer dans l'actionneur. Enlevez votre doigt de la cartouche.
  7. Lorsque vous avez fini de respirer, tenez votre souffle tant que vous pouvez confortablement 10 secondes. Retirez ensuite l'inhalateur de votre bouche et respirez par le nez tout en gardant vos lèvres fermées.
  8. Attendez au moins 30 secondes Pour prendre votre deuxième bouffée d'Asmanex HFA.
  9. Secouez bien l'inhalateur et répétez les étapes 6 à 8 pour prendre votre deuxième bouffée d'Asmanex HFA.

Après avoir utilisé votre inhalateur Asmanex HFA:

L'humalog est-il une insuline à action rapide
  1. Remplacez immédiatement le capuchon sur l'embout buccal après utilisation (Voir figure 5).
  2. Figure 5

    Replace the cap over the mouthpiece right away after use - Illustration
  3. Après avoir fini de prendre Asmanex HFA (2 bouffées) Rincez votre bouche à l'eau.

Lire le comptoir:

  • Le compteur de dose identifie le nombre d'inhalations (bouffées) laissées dans votre inhalateur (Voir figure 6).
  • Le compteur comptera chaque fois que vous libérez une bouffée de médicament (soit lorsque vous préparez votre inhalateur Asmanex HFA pour une utilisation ou lorsque vous utilisez le médicament).

Figure 6

The dose counter identifies the number of inhalations (puffs) left in your inhaler - Illustration

Quand remplacer votre Asmanex HFA:

  • Il est important que vous fassiez attention au nombre d'inhalations (bouffées) laissées dans votre inhalateur Asmanex HFA en lisant le comptoir.
  • Quand le comptoir se lit 20 Vous devez remplir votre ordonnance ou demander à votre fournisseur de soins de santé si vous avez besoin d'une nouvelle ordonnance pour Asmanex HFA.
  • Jetez Asmanex HFA après que le comptoir atteigne 0 indiquant que vous avez utilisé le nombre d'actionnaires sur l'étiquette et la boîte du produit. Votre inhalateur peut ne pas se sentir vide et il peut continuer à fonctionner, mais vous n'obtiendrez pas la bonne quantité de médicaments si vous continuez à l'utiliser.
  • N'essayez jamais de modifier les nombres sur le comptoir ou de supprimer le compteur de l'actionneur.
  • Ne pas use the inhaler after the expiration date.

Comment nettoyer votre Asmanex HFA:

L'embout buccal doit être nettoyé à l'aide d'une lingette à sec tous les 7 jours d'utilisation.

Instructions de nettoyage de routine:

  • Retirez le capuchon hors de l'embout buccal. Essuyez les surfaces intérieures et extérieures du porte-parole de l'actionneur avec un tissu ou un tissu sans peluche sec. Ne pas wash ou put any parts of your inhaler in water. Remettez le capuchon sur l'embout buccal après le nettoyage.
  • Ne pas remove the canister from the actuatou.
  • Ne pas attempt to unblock the actuatou with a sharp object such as a pin.

Ces instructions pour une utilisation ont été approuvées par la Food and Drug Administration des États-Unis.