Les Informations Présentées Sur Ce Site Ne Constituent Pas Un Avis Médical. Nous Ne Vendons Rien. L'Exactitude De La Traduction N'Est Pas Garantie. Clause De Non-Responsabilité



Beconase-aq

Résumé

Qu'est-ce que Beconase AQ?

Beconase L'AQ (Beclométhasone nasale) est un stéroïde utilisé pour traiter les symptômes nasaux tels que congestion Éternuements et nez qui coulent causés par des allergies saisonnières ou toute l'année. Beconase AQ est également utilisé pour empêcher les polypes nasaux de revenir après la chirurgie pour les retirer. Le nom de marque Beconase AQ est interrompu mais générique Les versions peuvent être disponibles.

Quels sont les effets secondaires de Beconase AQ?

Les effets secondaires courants de Beconase aq (nasal de la Beclométhasone) comprennent:



  • éternuements
  • coulant ou nez encombré
  • sécheresse ou irritation dans votre nez ou votre gorge
  • nausée
  • mal de tête
  • se sentir étourdi
  • goût ou odeur désagréable
  • démangeaisons ou éruption cutanée ou
  • Des plaies ou des taches blanches à l'intérieur ou autour de votre nez

Cherchez des soins médicaux ou appelez le 911 à la fois si vous avez les effets secondaires graves suivants:



  • Des symptômes oculaires graves tels que la perte de vision soudaine floue du tunnel de vision de la vision de la vision des yeux ou de l'enflure ou de voir des halos autour des lumières;
  • Symptômes cardiaques graves tels que les battements cardiaques rapides ou battants; flotter dans votre poitrine; essoufflement; Et des étourdissements soudains étourdissement ou s'évanouir;
  • Maux de tête sévères Confusion Slurred Speech Bras ou Ligne Proulitude Trouble de la merde Perte de coordination Sentiment des muscles très rigides très rigides Fièvre élevée Propice ou des tremblements.

Ce document ne contient pas tous les effets secondaires possibles et d'autres peuvent survenir. Vérifiez auprès de votre médecin des informations supplémentaires sur les effets secondaires.

Dosage pour beconase aq

La dose habituelle de Beconase AQ pour les adultes et les enfants de 12 ans et plus est de 1 ou 2 inhalations nasales (42 à 84 mcg) dans chaque narine deux fois par jour (dose totale de 168 à 336 mcg / jour).



Effets secondaires à long terme de la pitocin

Quelles substances ou suppléments de médicaments interagissent avec Beconase aq?

D'autres médicaments peuvent interagir avec Beconase aq nasal. Dites à votre médecin tous les médicaments et suppléments en vente libre et en vente libre que vous utilisez.

Beconase AQ During Grossesse and Breastfeeding

Pendant la grossesse, le Beconase AQ ne doit être utilisé que lorsqu'il est prescrit.

Les médecins peuvent considérer ce médicament comme étant sûr à utiliser pendant la grossesse. Rarement les nourrissons nés de mères qui utilisent des corticostéroïdes peuvent avoir de faibles niveaux d'hormone corticostéroïde. Dites à votre médecin si vous remarquez des symptômes tels que des nausées persistantes / vomissements de diarrhée sévère ou une faiblesse chez votre nouveau-né. On ne sait pas si ce médicament passe dans le lait maternel. Des médicaments similaires passent dans le lait maternel. Consultez votre médecin avant l'allaitement.

Informations Complémentaires

Notre centre de médicaments à effets secondaires de Beconase AQ (Beclomethasone Dipropionate monohydrate) offre une vue complète des informations sur les médicaments disponibles sur les effets secondaires potentiels lors de la prise de ce médicament.

Informations sur les médicaments de la FDA

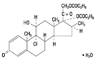
Description de beconase-aq

Beclomethasone dipropionate monohydrate the active component of BECONASE AQ Nasal Spray is an anti-inflammatory steroid having the chemical name 9-chloro-11β1721-trihydroxy- 16β-methylpregna-14-diene-320-dione 1721-dipropionate monohydrate and the following chemical structure:

La béclométhasone 1721-dipropionate est un darester de la béchométhasone un corticostéroïde halogéné synthétique. Le monohydrate de dipropionate de beclométhasone est une poudre inodore blanche à blanc crémeux avec un poids moléculaire de 539,06. Il est très légèrement soluble dans l'eau très soluble dans le chloroforme et librement soluble dans l'acétone et l'éthanol.

Le spray nasal Beconase AQ est une unité de pulvérisation de pompe manuelle à dose mètre contenant une suspension microcristalline de berlométhasone dipropionate monohydrate équivalent à 42 mcg de berlométhasone dipropionate calculée sur une base séchée dans un milieu aqueux contenant du microcristallium-cellulose carboxymyméthylcellulose sodium-dextose de benllosium-chélloïdium benllorium chélloredose chélulose chéllorescallosium chélulose de benllosium-chélullace Polysorbate 80 et 0,25% alcool phényléthylique V / W. Le pH à l'expiration est de 5,0 à 6,8.

Après l'amorçage initial (6 actuations), chaque actionnement de la pompe fournit de l'adaptateur nasal 100 mg de suspension contenant un monohydrate dipropionate de beclométhasone équivalent équivalent à 42 mcg de dipropionate de beclométhasone. Si la pompe n'est pas utilisée pendant 7 jours, elle doit être amorcée jusqu'à ce qu'un spray fin apparaisse. Chaque bouteille de 25 g de spray nasal Beconase AQ propose 180 sprays à compteur.

Utilisations pour beconase-aq

Le spray nasal de Beconase AQ est indiqué pour le soulagement des symptômes de la rhinite allergique et pérenne allergique et non allergique (vasomotrice).

Les résultats de 2 essais cliniques ont montré qu'un soulagement symptomatique significatif a été obtenu dans les 3 jours. Cependant, un soulagement symptomatique peut ne pas se produire chez certains patients pendant 2 semaines. Le spray nasal Beconase AQ ne doit pas être poursuivi au-delà de 3 semaines en l'absence d'amélioration symptomatique significative. Le spray nasal de Beconase AQ ne doit pas être utilisé en présence d'une infection localisée non traitée impliquant la muqueuse nasale.

Le spray nasal Beconase AQ est également indiqué pour la prévention de la récidive des polypes nasaux après l'élimination chirurgicale.

Des études cliniques ont montré que le traitement des symptômes associés aux polypes nasaux peut être poursuivi pendant plusieurs semaines ou plus avant qu'un résultat thérapeutique puisse être entièrement évalué. La récidive des symptômes due aux polypes peut survenir après l'arrêt du traitement en fonction de la gravité de la maladie.

Dosage for Beconase-AQ

Adultes et enfants de 12 ans et plus

La dose habituelle est de 1 ou 2 inhalations nasales (42 à 84 mcg) dans chaque narine deux fois par jour (dose totale de 168 à 336 mcg / jour).

Enfants de 6 à 12 ans

Les patients doivent être démarrés avec 1 inhalation nasale dans chaque narine deux fois par jour; Les patients ne répondant pas adéquatement à 168 MCG ou ceux qui présentaient des symptômes plus graves peuvent utiliser 336 mcg (2 inhalations dans chaque narine). Une fois le contrôle adéquat atteint, le dosage devrait être diminué à 84 mcg (1 pulvérisation dans chaque narine) deux fois par jour. Le spray nasal Beconase AQ est pas recommandé pour les enfants de moins de 6 ans.

Effets secondaires des médicaments de reflux acide

La dose quotidienne totale maximale ne doit pas dépasser 2 sprays dans chaque narine deux fois par jour (336 mcg / jour).

Chez les patients qui réagissent au spray nasal Beconase AQ, une amélioration des symptômes de la rhinite saisonnière ou pérenne devient généralement apparente quelques jours après le début du traitement avec un spray nasal Beconase AQ. Cependant, un soulagement symptomatique peut ne pas se produire chez certains patients pendant 2 semaines. Le spray nasal Beconase AQ ne doit pas être poursuivi au-delà de 3 semaines en l'absence d'amélioration symptomatique significative.

Les effets thérapeutiques des corticostéroïdes contrairement à ceux des décongestionnants ne sont pas immédiats. Cela doit être expliqué à l'avance au patient afin d'assurer la coopération et la poursuite du traitement avec le schéma posologique prescrit.

En présence d'une sécrétion muqueuse nasale excessive ou d'un œdème de la muqueuse nasale, le médicament peut ne pas atteindre le site de l'action prévue. Dans de tels cas, il est conseillé d'utiliser un vasoconstricteur nasal au cours des 2 à 3 premiers jours de thérapie avec un spray nasal Beconase AQ.

Directions à utiliser

Les instructions pour une utilisation du patient illustré accompagnent chaque paquet de spray nasal Beconase AQ.

Comment fourni

Beconase aq Spray nasal 42 MCG est fourni dans une bouteille en verre ambre équipée d'une pompe d'atomisation de mesure et d'un adaptateur nasal dans une boîte de 1 ( NDC 0173-0388-79) avec les instructions du patient à utiliser. Chaque bouteille contient 25 g de suspension et fournira 180 vaporisateurs à compteur.

La quantité correcte de médicaments dans chaque pulvérisation ne peut pas être assurée après 180 sprays même si la bouteille n'est pas complètement vide. La bouteille doit être jetée lorsque le nombre étiqueté d'actionnement a été utilisé.

Stocker entre 15 ° et 30 ° C (59 ° et 86 ° F).

Distribué par: GlaxoSmithKline Research Triangle Park NC 27709. Révisé: février 2021

Effets secondaires pour Beconase-AQ

En général, les effets secondaires dans les études cliniques ont été principalement associés à l'irritation des muqueuses nasales.

Les effets indésirables rapportés dans les essais cliniques contrôlés et les études ouvertes chez les patients traités par un spray nasal Beconase AQ sont décrits ci-dessous.

Une légère irritation nasopharyngée suite à l'utilisation d'un spray nasal aqueux de la béclométhasone a été signalée chez jusqu'à 24% des patients traités, y compris des éternuements occasionnels (environ 4%) se produisant immédiatement après l'utilisation du spray. Chez les patients présentant ces symptômes, aucun n'a dû interrompre le traitement. L'incidence de l'irritation transitoire et des éternuements était approximativement la même dans le groupe de patients qui ont reçu un placebo dans ces études impliquant que ces plaintes peuvent être liées aux composantes des véhicules de la formulation.

Moins de 5 pour 100 patients ont signalé des nausées ou des étourdissements après l'utilisation d'un spray nasal Beconase AQ. Moins de 3 pour 100 patients ont signalé des saignements nasaux nasaux de la rhinorrhée ou des yeux déchirants.

De rares cas d'ulcération de la muqueuse nasale et des cas de perforation nasale du septum ont été signalés spontanément (voir PRÉCAUTIONS ).

Des rapports de sécheresse et d'irritation du nez et de la gorge et un goût et une odeur désagréables ont été reçus. Il y a de rares rapports de perte de goût et d'odeur.

De rares cas de glaucome sifflables et une pression intraoculaire accrue ont été signalées à la suite de l'utilisation du dipropionate de béclométhasone intranasal (voir (voir PRÉCAUTIONS ).

De rares cas de réactions d'hypersensibilité immédiates et retardées, notamment des réactions anaphylactoïdes / anaphylactiques, une éruption cutanée angio-œdème et un bronchospasme d'urticaire ont été rapportées après l'inhalation orale et intranasale du dipropionate de béclométhasone.

Des cas de suppression de la croissance ont été signalés pour les corticostéroïdes intranasaux, notamment Beconase AQ (voir PRÉCAUTIONS : Usage pédiatrique ).

peut planifier B vous rendre nauséeux

Interactions médicamenteuses pour Beconase-AQ

Aucune information fournie

Avertissements for Beconase-AQ

Le remplacement d'un corticostéroïde systémique par un spray nasal Beconase AQ peut être accompagné de signes d'insuffisance surrénalienne.

Une attention particulière doit être accordée lorsque les patients traités précédemment pendant des périodes prolongées avec des corticostéroïdes systémiques sont transférés au spray nasal Beconase AQ. Ceci est particulièrement important chez les patients qui ont associé l'asthme ou d'autres conditions cliniques où une diminution trop rapide des corticostéroïdes systémiques peut provoquer une exacerbation sévère de leurs symptômes.

Si des doses recommandées de beclométhasone intranasale sont dépassées ou si les individus sont particulièrement sensibles ou prédisposés en vertu de récents symptômes systémiques de stéroïde de l'hypercortisme peuvent se produire, notamment de très rares cas d'irrégularités menstruelles des lésions acneiformes cataractes et des caractéristiques de Cushingoïde. Si de tels changements se produisent, car le spray nasal AQ doit être interrompu lentement avec les procédures acceptées pour l'arrêt de la thérapie stéroïdienne orale.

Les personnes qui utilisent des médicaments qui suppriment le système immunitaire sont plus sensibles aux infections que les individus en bonne santé. La varicelle et la rougeole par exemple peuvent avoir un cours plus grave ou même mortel chez les enfants ou les adultes sensibles à l'aide de corticostéroïdes. Chez les enfants ou les adultes qui n'ont pas eu ces maladies ou qui ont été correctement immunisés, des soins particuliers doivent être pris pour éviter l'exposition. La façon dont la voie de dose et la durée de l'administration des corticostéroïdes affectent le risque de développer une infection disséminée n'est pas connue. La contribution de la maladie sous-jacente et / ou le traitement antérieur des corticostéroïdes au risque n'est pas non plus connue. S'il est exposé à la varicelle, la prophylaxie avec varicelle zona immuno-globuline (VZIG) peut être indiquée. S'il est exposé à une prophylaxie de la rougeole avec une immunoglobuline intramusculaire groupée (Ig) peut être indiqué. (Voir les inserts de package respectifs pour les informations complètes de prescription VZIG et IG.) Si la varicelle développe un traitement avec des agents antiviraux peut être envisagé.

Évitez de pulvériser dans les yeux.

Précautions for Beconase-AQ

Général

Les corticostéroïdes intranasaux peuvent entraîner une réduction de la vitesse de croissance lorsqu'ils sont administrés aux patients pédiatriques (voir PRÉCAUTIONS : Usage pédiatrique ).

Pendant le retrait des corticostéroïdes oraux, certains patients peuvent ressentir des symptômes de sevrage, par exemple Lassitude et dépression de la douleur articulaire et / ou musculaire.

Des réactions d'hypersensibilité rarement immédiates peuvent se produire après l'administration intranasale de la beclométhasone (voir Effets indésirables ).

De rares cas de perforation du septum nasal ont été signalés spontanément.

De rares cas de glaucome des cataractes sifflants et une pression intraoculaire accrue ont été signalées à la suite de l'utilisation intranasale du dipropionate de béclométhasone. Considérez la référence à un ophtalmologiste chez les patients qui développent des symptômes oculaires ou utilisent à long terme le spray nasal Beconase AQ.

Dans les études cliniques avec le dipropionate de béclométhasone a administré par voie intranasale le développement d'infections localisées du nez et du pharynx avec Candida albicans s'est produit seulement rarement. Lorsqu'une telle infection se développe, elle peut nécessiter un traitement avec une thérapie locale appropriée et l'arrêt du traitement avec un spray nasal Beconase AQ.

Si une irritation nasopharyngée persistante se produit, cela peut être une indication pour arrêter le spray nasal Beconase AQ.

Le dipropionate de béclométhasone est absorbé par la circulation. L'utilisation de doses excessives de spray nasal Beconase AQ peut supprimer la fonction HPA.

Les corticostéroïdes intranasaux doivent être utilisés avec prudence si chez les patients atteints d'infections tuberculeuses actives ou au repos des infections fongiques ou bactériennes non traitées non traitées non traitées non traitées ou systémiques ou d'herpès simplex.

Pour que le spray nasal Beconase AQ soit efficace dans le traitement des polypes nasaux, le spray doit pouvoir entrer dans le nez. Par conséquent, le traitement des polypes nasaux avec un spray nasal Beconase AQ doit être considéré comme un traitement complémentaire à l'élimination chirurgicale et / ou à l'utilisation d'autres médicaments qui permettront une pénétration efficace du spray nasal Beconase AQ dans le nez. Les polypes nasaux peuvent se reproduire après toute forme de traitement.

Comme pour tout traitement à long terme, les patients utilisant le spray nasal Beconase AQ sur plusieurs mois ou plus doivent être examinés périodiquement pour des changements possibles dans la muqueuse nasale.

En raison de l'effet inhibiteur des corticostéroïdes sur les patients de la cicatrisation des plaies qui ont connu des ulcères septaux nasaux récents ou un traumatisme nasal ne devrait pas utiliser un corticostéroïde nasal jusqu'à ce que la guérison se soit produite.

Bien que les effets systémiques aient été minimes avec des doses recommandées, ce potentiel augmente avec des doses excessives. Par conséquent, les doses plus grandes que recommandées doivent être évitées.

Informations pour les patients

Les patients traités avec le spray nasal Beconase AQ devraient recevoir les informations et instructions suivantes. Ces informations sont destinées à les aider dans l'utilisation sûre et efficace de ce médicament. Ce n'est pas une divulgation de tous les effets négatifs ou prévus possibles.

Les patients doivent utiliser le spray nasal Beconase AQ à intervalles réguliers car son efficacité dépend de son utilisation régulière. Le patient doit prendre le médicament comme indiqué. Il n'est pas très efficace et le dosage prescrit ne doit pas être augmenté. Au lieu de cela, les vasoconstricteurs nasaux ou les antihistaminiques oraux peuvent être nécessaires jusqu'à ce que les effets du spray nasal Beconase AQ se manifestent entièrement. Une à 2 semaines peut passer avant l'obtention du plein relief. Le patient doit contacter le médecin si les symptômes ne s'améliorent pas si la condition s'aggrave ou si des éternuements ou une irritation nasale se produisent.

Pour l'utilisation appropriée du spray nasal Beconase AQ et pour atteindre une amélioration maximale, le patient doit lire et suivre attentivement les instructions du patient accompagnant le produit.

Les personnes qui utilisent des doses d'immunosuppresseurs de corticostéroïdes doivent être averties d'éviter l'exposition à la varicelle ou à la rougeole. Les patients doivent également être informés que s'ils sont des avis médicaux exposés doivent être recherchés sans délai.

Carcinogenèse Mutagenèse A trouble de la fertilité

La cancérogénicité du dipropionate de béclométhasone a été évaluée chez un rat qui a été exposé pendant un total de 95 semaines 13 semaines à des doses d'inhalation allant jusqu'à 0,4 mg / kg et les 82 semaines restantes à des doses combinées orales et d'inhalation jusqu'à 2,4 mg / kg. Il n'y avait aucune preuve de cancérogénicité dans cette étude à la dose la plus élevée environ 60 fois la dose intranasale quotidienne maximale recommandée chez les adultes sur un mg / m 2 base ou environ 35 fois la dose intranasale quotidienne maximale recommandée chez les enfants en mg / m 2 base.

Le dipropionate de merclométhasone n'a pas induit de mutation génétique dans les cellules bactériennes ou les cellules de l'ovaire de hamster chinois de mammifère (CHO) in vitro . Aucun effet clastogène significatif n'a été observé dans les cellules CHO cultivées in vitro ou dans le test de micronucleus de souris en vain .

Chez le rat, le dipropionate de la bométhasone a provoqué une diminution des taux de conception à une dose orale de 16 mg / kg (environ 390 fois la dose intranasale quotidienne maximale recommandée chez les adultes sur un mg / m 2 base). Il n'y a eu aucun effet significatif du dipropionate de béclométhasone sur la fertilité chez le rat à des doses orales de 1,6 mg / kg (environ 40 fois la dose intranasale quotidienne maximale recommandée chez les adultes sur un mg / m 2 base). L'inhibition du cycle œstral chez les chiens a été observée après une dosage orale à 0,5 mg / kg (environ 40 fois la dose intranasale quotidienne maximale recommandée chez les adultes sur un mg / m 2 base). Aucune inhibition du cycle œstral chez les chiens n'a été observée après une exposition de 12 mois à une dose d'inhalation estimée à 0,33 mg / kg (environ 25 fois la dose intranasale quotidienne maximale recommandée chez les adultes sur un mg / m 2 base).

Grossesse

Effets tératogènes

Comme les autres corticostéroïdes, le dipropionate de caractéristique était tératogène et embryocide chez la souris et le lapin à une dose sous-cutanée de 0,1 mg / kg chez la souris ou 0,025 mg / kg chez le lapin (approximativement égal à la dose intranasale quotidienne recommandée maximale chez un mg / m 2 base). No teratogenicity or embryocidal effects were seen in rats when exposed to an inhalation dose of 0.1 mg/kg plus oral doses of up to 10 mg/kg per day for a combined dose of 10.1 mg/kg (approximately 240 times èmee maximum recommended daily intranasal dose in adults on a mg/m 2 base).

hyaluronidase inj

Il n'y a pas d'études adéquates et bien contrôlées chez les femmes enceintes. Le dipropionate de béclométhasone ne doit être utilisé pendant la grossesse que si le bénéfice potentiel justifie le risque potentiel pour le fœtus.

Effets non teratogènes

L'hypoadrénalisme peut survenir chez les nourrissons nés de mères recevant des corticostéroïdes pendant la grossesse. Ces nourrissons doivent être soigneusement observés.

Mères qui allaitent

On ne sait pas si le dipropionate de béclométhasone est excrété dans le lait maternel. Étant donné que d'autres corticostéroïdes sont excrétés dans la prudence du lait maternel doivent être exercés lorsque le spray nasal Beconase AQ est administré à une femme d'allaitement.

Usage pédiatrique

La sécurité et l'efficacité du spray nasal Beconase AQ ont été établies chez les enfants âgés de 6 ans et plus grâce à des preuves provenant d'une utilisation clinique approfondie chez des patients adultes et pédiatriques. La sécurité et l'efficacité du spray nasal Beconase AQ chez les enfants de moins de 6 ans n'ont pas été établies.

Des études cliniques contrôlées ont montré que les corticostéroïdes intranasaux peuvent entraîner une réduction de la vitesse de croissance chez les patients pédiatriques. Cet effet a été observé en l'absence de preuves de laboratoire de suppression de l'axe HPA suggérant que la vitesse de croissance est un indicateur plus sensible de l'exposition systémique des corticostéroïdes chez les patients pédiatriques que certains tests couramment utilisés de la fonction de l'axe HPA. Les effets à long terme de cette réduction de la vitesse de croissance associés aux corticostéroïdes intranasaux, y compris l'impact sur la hauteur finale de l'adulte, sont inconnus. Le potentiel de croissance du rattrapage après l'arrêt du traitement avec des corticostéroïdes intranasaux n'a pas été étudié de manière adéquate. La croissance des patients pédiatriques recevant des corticostéroïdes intranasaux, y compris le spray nasal Beconase AQ, doit être surveillé systématiquement (par exemple via la stadiométrie).

Les effets de croissance potentiels d'un traitement prolongé doivent être pesés avec les avantages cliniques obtenus et les risques / avantages des alternatives de traitement. Pour minimiser les effets systémiques des corticostéroïdes intranasaux, y compris le spray nasal Beconase AQ, chaque patient doit être titré à la dose la plus faible qui contrôle efficacement ses symptômes.

Dans un essai contrôlé en double aveugle, 100 enfants âgés de 6 à 9 ans et demi avec de la rhinite allergique ont été randomisés pour recevoir un dipropionate intranasal aqueux de 168 mcg deux fois par jour ou un placebo pendant 1 an. Tel que mesuré par la stadiométrie que les enfants qui ont reçu le dipropionate de beclométhasone ont augmenté plus lentement que ceux qui ont reçu un placebo. Une différence de changement moyen de hauteur a été observée dans le mois suivant l'initiation du médicament. Au bout de 12 mois, le groupe traité par le dipropionate de la béclométhasone avait une vitesse de croissance en moyenne 4,75 cm / an, contre 6,20 cm / an dans le groupe placebo (P <0.01). While èmee placebo group had an expected distribution of growème velocity approximately 50% of èmee beclomeèmeasone dipropionate-treated children grew below èmee 10 ème centile.

Chez les enfants de 7,3 ans, l'âge moyen des enfants dans cette étude, la gamme pour la vitesse de croissance attendue est: garçons - 3 rd centile = 4,1 cm / année 50 ème centile = 5,8 cm / an et 97 ème centile = 7,5 cm / an; Girls - 3 rd centile = 4,3 cm / année 50 ème centile = 5,9 cm / an et 97 ème centile = 7,5 cm / an. La réversibilité potentielle de la réduction de la vitesse de croissance n'a pas été étudiée. Aucune différence significative n'a été observée entre les 2 groupes pour le cortisol plasmatique basal moyen ou les taux de cortisol plasmatique stimulés par l'ACTH.

Utilisation gériatrique

Les études cliniques sur le spray nasal Beconase AQ ne comprenaient pas un nombre suffisant de sujets âgés de 65 ans et plus pour déterminer s'ils répondent différemment des sujets plus jeunes. D'autres expériences cliniques signalées n'ont pas identifié de différences dans les réponses entre les patients âgés et les patients plus jeunes. En général, la sélection de la dose pour un patient âgé doit être prudente à partir de l'extrémité inférieure de la plage de dosage reflétant la plus grande fréquence de diminution de la fonction rénale ou cardiaque hépatique et d'une maladie concomitante ou d'une autre thérapie médicamenteuse.

Informations sur la surdose pour Beconase-AQ

Lorsqu'il est utilisé à des doses excessives, des effets corticostéroïdes systémiques tels que l'hypercorticisme et la suppression surrénale peuvent apparaître. Si de tels changements se produisent, car le spray nasal AQ doit être interrompu lentement avec les procédures acceptées pour l'arrêt de la thérapie stéroïdienne orale. Aucun décès n'est survenu lorsque le dipropionate de béclométhasone a été donné comme des doses orales uniques de 3000 mg / kg aux souris (environ 36 000 fois la dose intranasale quotidienne maximale recommandée chez les adultes sur un Mg / M 2 base ou environ 21 000 fois la dose intranasale quotidienne maximale recommandée chez les enfants sur un mg / m 2 base) et 2000 mg / kg aux rats (environ 48000 fois la dose intranasale quotidienne maximale recommandée chez les adultes ou environ 29000 fois la dose intranasale quotidienne maximale recommandée chez les enfants en mg / m 2 base). One bottle of Beconase aq Nasal Spray contains beclomeèmeasone dipropionate monohydrate equivalent to 10.5 mg of beclomeèmeasone dipropionate; èmeerefore acute overdosage is unlikely.

Contre-indications pour beconase-aq

L'hypersensibilité à l'un des ingrédients de cette préparation contre-indique son utilisation.

Pharmacologie clinique for Beconase-AQ

Mécanisme d'action

Après l'administration topique, le dipropionate de merclométhasone produit des effets anti-inflammatoires et vasoconstricteurs. Les mécanismes responsables de l'action anti-inflammatoire du dipropionate de béclométhasone sont inconnus. Il a été démontré que les corticostéroïdes ont un large éventail d'effets sur plusieurs types de cellules (par exemple, les mâts de mastocytes éosinophiles neutrophiles macrophages et lymphocytes) et les médiateurs (par exemple les éicosanoïdes histamides leucokotriènes et les cytokines) impliqués dans l'inflammation. La relation directe de ces résultats avec les effets du dipropionate de la béclométhasone sur les symptômes de rhinite allergique n'est pas connue.

Les biopsies de la muqueuse nasale obtenus au cours des études cliniques n'ont montré aucun changement histopathologique lorsque le dipropionate de béchométhasone a été administré par voie intranasale.

Le dipropionate de la béclométhasone est un pro-médicament avec une faible affinité de liaison aux récepteurs des glucocorticoïdes. Il est hydrolysé via des enzymes d'estérase à son métabolite actif à la bométhasone-17-monopropionate (B-17-MP) qui a une activité anti-inflammatoire topique élevée.

Pharmacocinétique

Absorption

Le dipropionate de béchométhasone est peu soluble dans l'eau. Lorsqu'il est donné par inhalation nasale sous la forme d'une suspension aqueuse ou aérosolisée, le médicament est déposé principalement dans les passages nasaux. La majorité du médicament est finalement avalé. Après l'administration intranasale de dipropionate de beclométhasone aqueuse, l'absorption systémique a été évaluée en mesurant les concentrations plasmatiques de son métabolite actif B-17-MP pour lequel la biodisponibilité absolue après l'administration intranasale est de 44% (43% de la dose administrée provenant de la partie avalée et uniquement 1% de la dose totale était BioAvable de la partie avalée). L'absorption du dipropionate de béclométhasone inchangé après un dosage oral et intranasal était indétectable (concentrations plasmatiques <50 pg/mL).

Distribution

La distribution des tissus à l'état d'équilibre pour le dipropionate de béclométhasone est modérée (20 L) mais plus étendue pour le B-17-MP (424 L). Il n'y a aucune preuve de stockage tissulaire du dipropionate de béclométhasone ou de ses métabolites. La liaison aux protéines plasmatiques est modérément élevée (87%).

Effets secondaires des gouttes oculaires de latanoprost
Métabolisme

Le dipropionate de béclométhasone est éliminé très rapidement à partir de la circulation systémique par le métabolisme médié par des enzymes estérases que l'on trouve dans la plupart des tissus. Le principal produit du métabolisme est le métabolite actif (B-17-MP). Les métabolites inactifs mineurs de la mernométhasone-21-monopropionate (B-21-MP) et la béclométhasone (BOH) sont également formés, mais ceux-ci contribuent peu à l'exposition systémique.

Élimination

L'élimination du dipropionate de béclométhasone et du B-17-MP après administration intraveineuse est caractérisée par une clairière plasmatique élevée (150 et 120 l / heure) avec une demi-vie d'élimination terminale correspondante de 0,5 et 2,7 heures. À la suite de l'administration orale de dipropionate de beclométhasone tritiée, environ 60% de la dose a été excrétée dans les excréments dans les 96 heures principalement sous forme de métabolites polaires libres et conjugués. Environ 12% de la dose a été excrétée sous forme de métabolites polaires libres et conjugués dans l'urine. La clairance rénale du dipropionate de béclométhasone et de ses métabolites est négligeable.

Pharmacodynamique

Les effets du dipropionate de la béckométhasone sur la fonction hypothalamo-hypophyso-surrénalienne (HPA) ont été évalués chez des volontaires adultes par d'autres voies d'administration. Des études avec le dipropionate de béclométhasone par la route intranasale peuvent démontrer qu'il y a plus ou qu'il y a moins d'absorption par cette voie d'administration. Il n'y a pas eu de suppression des concentrations de cortisol plasmatique tôt le matin lorsque le dipropionate de béclométhasone a été administré à une dose de 1000 mcg / jour pendant 1 mois en tant qu'aérosol oral ou pendant 3 jours par injection intramusculaire. Cependant, la suppression partielle des concentrations de cortisol plasmatique a été observée lorsque le dipropionate de bométhasone a été administré à des doses de 2000 mcg / jour par aérosol oral ou injection intramusculaire. Une suppression immédiate des concentrations de cortisol plasmatique a été observée après des doses uniques de 4000 mcg de dipropionate de béclométhasone. La suppression de la fonction HPA (réduction des taux de cortisol plasmatique tôt le matin) a été signalée chez des patients adultes qui ont reçu des doses quotidiennes de 1600 mcg de dipropionate de beclométhasone orale pendant 1 mois. Dans les études cliniques utilisant des aérosols dipropionate de béclométhasone par voie intranasale, il n'y avait aucune preuve d'insuffisance surrénalienne. L'effet du spray nasal Beconase AQ sur la fonction HPA n'a pas été évalué mais ne devrait pas différer de l'aérosol de dipropionate de beclométhasone intranasal.

Dans 1 étude chez les enfants souffrant d'asthme, l'administration de bomalthasone inhalée à des doses quotidiennes recommandées pendant au moins 1 an a été associée à une réduction de la sécrétion de cortisol nocturne. La signification clinique de cette constatation n'est pas claire. Il renforce cependant d'autres preuves que la béclométhasone topique peut être absorbée par des quantités qui peuvent avoir des effets systémiques et que les médecins devraient être alertes pour des preuves d'effets systémiques, en particulier chez les patients traités chroniquement (voir (voir PRÉCAUTIONS ).

Informations sur les patients pour Beconase-AQ

Beconase aq
(Beclométhasone dipropionate monohydrate)

Pour une utilisation intranasale uniquement. Secouez bien avant l'utilisation.

Secouez le flacon pulvérisateur de suspension bien avant de l'utiliser. Lisez soigneusement les instructions complètes et utilisez uniquement comme indiqué.

À utiliser:


Figure 1

La pompe est maintenant prête à l'emploi. Si la pompe n'est pas utilisée pendant 7 jours, prime jusqu'à ce qu'un spray fin apparaisse.


Figure 2

Figure 3
  1. Retirez le clip de sécurité et le bouchon de poussière en plastique de l'applicateur nasal (figure 1).
  2. La toute première fois que le spray est utilisé, amorce la pompe dans l'air en appuyant vers le bas sur le col blanc en utilisant votre index et votre majeur tout en soutenant la base de la bouteille avec votre pouce. Lorsque vous amorcez la pompe pour la première fois, appuyez vers le bas et libérez la pompe 6 fois ou jusqu'à ce qu'un spray fin apparaisse (figure 2).
  3. Soufflez doucement le nez pour nettoyer vos narines. Fermer 1 narine. Inclinez votre tête en avant légèrement époustouflant doucement votre nez pour nettoyer vos narines et garder la bouteille à droite insérer soigneusement l'applicateur nasal dans l'autre narine (figure 3).
  4. Pour chaque pulvérisation, appuyez fermement vers le bas une fois sur le col blanc en utilisant votre index et votre majeur tout en soutenant la base de la bouteille avec votre pouce. Évitez de pulvériser dans les yeux. Respirez doucement vers l'intérieur à travers la narine.
  5. Respirez par la bouche.
  6. Répétez les étapes 5 à 7 dans l'autre narine.
  7. Remplacez le bouchon de poussière en plastique et le clip de sécurité.
  8. Jeter la bouteille après èmee date calculated by your doctor or pharmacist. The correct amount of medication in each spray canpas be assured after 180 sprays even èmeough èmee bottle is pas completely empty. Discard èmee bottle after 180 sprays. Before èmee discard date you should consult your doctor to see if a refill is needed. Do pas take extra doses or stop taking Beconase aq Nasal Spray wièmeout consulting your doctor.

Nettoyage: Pour nettoyer l'applicateur nasal, retirez le capuchon de poussière en plastique et le clip de sécurité, puis appuyez doucement vers le haut sur le col blanc pour libérer l'applicateur nasal. Lavez l'applicateur et le bouchon de poussière à l'eau froide. Séchez et remplacez par le bouchon de poussière en plastique et le clip de sécurité en position.

Si l'applicateur nasal est bloqué, retirez le bouchon de poussière, dévissez le mécanisme complet de la pompe et faites tremper la pompe dans l'eau tiède pendant quelques minutes. Rincez avec de l'eau froide à sec pour remédier à la bouteille et repérer la pompe.

Prudence: Beconase aq Nasal Spray is pas intended to give rapid relief of your nasal symptoms. Beconase aq Nasal Spray controls èmee underlying disorders responsible for your attacks so it is important èmeat you use it regularly at èmee times recommended by your doctor. The full benefit of Beconase aq Nasal Spray may take a few days to develop.

Stockage: Stocker entre 15 ° et 30 ° C (59 ° et 86 ° F).