Les Informations Présentées Sur Ce Site Ne Constituent Pas Un Avis Médical. Nous Ne Vendons Rien. L'Exactitude De La Traduction N'Est Pas Garantie. Clause De Non-Responsabilité
Bêta-bloquants, bêta-1 sélectif
Comprimés bystoliques
Résumé
Qu'est-ce que Bystolic?
Bystolic (nébivolol) est un bêta-bloquant indiqué pour le traitement de l'hypertension artérielle ( hypertension ).
Quels sont les effets secondaires de Bystolic?
Bystolic peut provoquer des effets secondaires graves, notamment:
- étourdissement
- gain de poids rapide
- essoufflement
- raies cardiaques lents ou inégaux et
- engourdissement ou sentiment de froid dans vos mains ou vos pieds
Obtenez de l'aide médicale immédiatement si vous présentez l'un des symptômes énumérés ci-dessus.
Les effets secondaires des bystoliques comprennent:
- mal de tête
- vertiges
- fatigue
- fatigue
- rythme cardiaque lent
- nausée
- douleurs à l'estomac
- diarrhée
- Problèmes de sommeil (insomnie)
- engourdissement ou une sensation de froid dans vos mains et vos pieds
- essoufflement
- éruption cutanée ou
- Rétention des liquides dans les jambes.
Cherchez des soins médicaux ou appelez le 911 à la fois si vous avez les effets secondaires graves suivants:
- Des symptômes oculaires graves tels que la perte de vision soudaine floue du tunnel de vision de la vision de la vision des yeux ou de l'enflure ou de voir des halos autour des lumières;
- Symptômes cardiaques graves tels que les battements cardiaques rapides ou battants; flotter dans votre poitrine; essoufflement; et des étourdissements soudains étourdisseurs ou s'évanouissant;
- Maux de tête sévères Confusion Slurred Speech Bras ou Ligne Proulitude Trouble de la merde Perte de coordination Sentiment des muscles très rigides très rigides Fièvre élevée Propice ou des tremblements.
Ce document ne contient pas tous les effets secondaires possibles et d'autres peuvent survenir. Vérifiez auprès de votre médecin des informations supplémentaires sur les effets secondaires.
Dosage pour Bystolic?
La dose de bystolique est individualisée aux besoins du patient. Pour la plupart des patients, la dose de départ recommandée de Bystolic est de 5 mg une fois par jour avec ou sans nourriture en monothérapie ou en combinaison avec d'autres agents.
Quelles substances ou suppléments de médicaments interagissent avec Bystolic?
Bystolic peut interagir avec la cimétidine clonidine digitalis Isoniazide méthimazole réserpine ropinirole ticlopidine d'autres bêta-bloquants antibiotiques antidépresseurs anti- paludisme Médicaments Cœur ou Médicaments de pression artérielle Médicaments de rythme cardiaque VIH ou sida Médicaments ou médicaments pour traiter les troubles psychiatriques. Dites à votre médecin tous les médicaments et suppléments que vous utilisez.
Bystolique pendant la grossesse et l'allaitement
Dites à votre médecin si vous êtes enceinte ou prévoyez de tomber enceinte tout en utilisant Bystolic; On ne sait pas si Bystolic nuira à un fœtus. On ne sait pas si Bystolic passe dans le lait maternel ou s'il pourrait nuire à un bébé qui allaitait. Consultez votre médecin avant l'allaitement.
Informations Complémentaires
Notre centre de médicaments des effets secondaires bystoliques offre une vue complète des informations sur les médicaments disponibles sur les effets secondaires potentiels lors de la prise de ce médicament.
Informations sur les médicaments de la FDA
- Description de la drogue
- Indications
- Dosage
- Effets secondaires
- Interactions médicamenteuses
- Avertissements
- Surdosage
- Pharmacologie clinique
- Guide des médicaments
Description des tablettes bystoliques
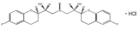
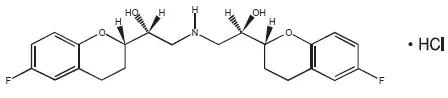
Le nom chimique de l'ingrédient actif dans les comprimés bystoliques (nébivolol) est (1RS1'RS) -11 '- [(2RS2'SR) bis (6-fluoro-34-dihydro-2h-1-benzopyran-2-yl)] - 22'-iminodiéthanol. Le nébivolol est un racémate composé de D-nébivolol et de L-nébivolol avec les désignations stéréochimiques de [SRRR] -nebivolol et [RSSS] nébivolol respectivement. La formule moléculaire du nébivolol est (c 22 H 25 F 2 NON 4 • HCl) avec la formule structurelle suivante:
Chlorhydrate de srrr-ou d-nébivolol
|
Chlorhydrate RSSS-ou L -nebivolol
|
MW: 441,90 g / mol
Le chlorhydrate de nébivolol est une poudre blanche à presque blanche qui est soluble dans le diméthylsulfoxyde de méthanol et le nn-diméthylformamide avec paroi soluble dans l'éthanol propylène glycol et le polyéthylène glycol et très légèrement soluble dans le dichlorométhane hexane et le méthylbenzène.
Bystolic comme comprimés pour l'administration orale contient du chlorhydrate de nébivolol équivalent à 2,5 5 10 et 20 mg de base de nébivolol. De plus, Bystolic contient les ingrédients inactifs suivants: dioxyde de silicium colloïdal croscarmellose sodium d
Utilisations pour les tablettes bystoliques
Hypertension
Bystolic est indiqué pour le traitement de l'hypertension pour abaisser la pression artérielle [voir Études cliniques ]. Bystolic peut être utilisé seul ou en combinaison avec d'autres agents antihypertenseurs [voir Interactions médicamenteuses ].
Lowering blood pressure reduces the risk of fatal and nonfatal cardiovascular events primarily strokes and myocardial infarctions. These benefits have been seen in controlled trials of antihypertensive drugs from a wide variety of pharmacologic classes including the class to which this drug principally belongs. There are no controlled trials demonstrating risk reduction with BYSTOLIC.
Le contrôle de l'hypertension artérielle devrait faire partie d'une gestion complète des risques cardiovasculaires, notamment le cas échéant de la gestion appropriée du diabète de contrôle des lipides. De nombreux patients auront besoin de plus d'un médicament pour atteindre les objectifs de la pression artérielle. Pour des conseils spécifiques sur les objectifs et la gestion, voir des lignes directrices publiées telles que celles de l'évaluation nationale nationale de la détection et du traitement de l'hypertension artérielle (JNC).
De nombreux médicaments antihypertenseurs provenant de diverses classes pharmacologiques et avec différents mécanismes d'action ont été montrés dans des essais contrôlés randomisés pour réduire la morbidité et la mortalité cardiovasculaires et il peut être conclu que c'est la réduction de la pression artérielle et non d'autres biens pharmacologiques des médicaments qui sont largement responsables de ces avantages. Le bénéfice des résultats cardiovasculaires les plus importants et les plus cohérents a été une réduction du risque d'AVC, mais des réductions de l'infarctus du myocarde et de la mortalité cardiovasculaire ont également été observées régulièrement.
Une pression systolique ou diastolique élevée provoque une augmentation du risque cardiovasculaire et l'augmentation du risque absolu par MMHg est plus élevée à des pressions sanguines plus élevées, de sorte que même des réductions modestes de l'hypertension sévère peuvent offrir un avantage substantiel. La réduction relative des risques de la réduction de la pression artérielle est similaire à tous les populations avec un risque absolu variable, de sorte que le bénéfice absolu est plus élevé chez les patients qui présentent un risque plus élevé indépendamment de leur hypertension (par exemple les patients atteints de diabète ou d'hyperlipidémie) et ces patients devraient bénéficier d'un traitement plus agressif à un objectif de pression artérielle plus faible.
Certains médicaments antihypertenseurs ont des effets de pression artérielle plus faibles (comme monothérapie) chez les patients noirs et de nombreux médicaments antihypertenseurs ont des indications et des effets approuvés supplémentaires (par exemple sur l'insuffisance cardiaque de l'angine ou la maladie rénale diabétique). Ces considérations peuvent guider la sélection de la thérapie.
Dosage fou Bystolic Tablets
Hypertension
La dose de bystolique doit être individualisée aux besoins du patient. Pour la plupart des patients, la dose de départ recommandée est de 5 mg une fois par jour avec ou sans nourriture en monothérapie ou en combinaison avec d'autres agents. Pour les patients nécessitant une réduction supplémentaire de la pression artérielle, la dose peut être augmentée à des intervalles de 2 semaines jusqu'à 40 mg. Il est peu probable qu'un régime de dosage plus fréquent soit bénéfique.
Trouble rénal
Chez les patients présentant une insuffisance rénale sévère (CLCR moins de 30 ml / min), la dose initiale recommandée est de 2,5 mg une fois par jour; Titrez lentement si nécessaire. Bystolic n'a pas été étudié chez les patients recevant une dialyse [voir Pharmacologie clinique ].
Trouble hépatique
Chez les patients présentant une déficience hépatique modérée, la dose initiale recommandée est de 2,5 mg une fois par jour; Titrez lentement si nécessaire. Bystolic n'a pas été étudié chez des patients souffrant de troubles hépatiques graves et il n'est donc pas recommandé dans cette population [voir Pharmacologie clinique ].
Sous-populations
Patients gériatriques
Il n'est pas nécessaire d'ajuster la dose chez les personnes âgées [voir Utiliser dans des populations spécifiques ].
Polymorphisme CYP2D6
Aucun ajustement de dose n'est nécessaire pour les patients qui sont des métaboliseurs pauvres du CYP2D6. L'effet clinique et le profil de sécurité observés dans de mauvais métaboliseurs étaient similaires à ceux des métaboliseurs étendus [voir Pharmacologie clinique ].
Comment fourni
Dosage Foums And Strengths
Bystolique est disponible sous forme de comprimés pour l'administration orale contenant du chlorhydrate de nébivolol équivalent à 2,5 5 10 et 20 mg de nébivolol.
Bystolique Les comprimés sont du biconvexe de forme triangulaire non scorés différenciés par la couleur et sont gravés avec Dans d'un côté et le nombre de mg (2 ½ 5 10 ou 20) de l'autre côté.
Stockage et manipulation
Bystolique est disponible sous forme de comprimés pour l'administration orale contenant du chlorhydrate de nébivolol équivalent à 2,5 5 10 et 20 mg de nébivolol.
Bystolique Les comprimés sont du biconvexe de forme triangulaire non scorés différenciés par la couleur et sont gravés avec Dans d'un côté et le nombre de mg (2 ½ 5 10 ou 20) de l'autre côté. Bystolique tablets are supplied in the following strengths et package configurations:
| Bystolique | |||
| Résistance à la tablette | Configuration du package | NDC | Couleur de tablette |
| 2,5 mg | Bouteille de 30 | 0456-1402-30 | Bleu clair |
| Bouteille de 90 | 0456-1402-90 | ||
| Bouteille de 100 | 0456-1402-01 | ||
| Dose de 10 x 10 unité | 0456-1402-63 | ||
| 5 mg | Bouteille de 30 | 0456-1405-30 | Beige |
| Bouteille de 90 | 0456-1405-90 | ||
| Bouteille de 100 | 0456-1405-01 | ||
| Dose de 10 x 10 unité | 0456-1405-63 | ||
| 10 mg | Bouteille de 30 | 0456-1410-30 | Rosâtre |
| Bouteille de 90 | 0456-1410-90 | ||
| Bouteille de 100 | 0456-1410-01 | ||
| Dose de 10 x 10 unité | 0456-1410-63 | ||
| 20 mg | Bouteille de 30 | 0456-1420-30 | Bleu clair |
| Bouteille de 90 | 0456-1420-90 | ||
| Bouteille de 100 | 0456-1420-01 | ||
| Dose de 10 x 10 unité | 0456-1420-63 |
Conserver à 20 ° à 25 ° C (68 ° à 77 ° F) [voir USP pour la température ambiante contrôlée].
Dispenser dans un récipient serré résistant à la lumière telle que définie dans l'USP à l'aide d'une fermeture résistante à l'enfant.
Distribué par: Allergan USA Inc. Madison NJ 07940. Révisé: juin 2023.
Effets secondaires fou Bystolic Tablets
Études cliniques Experience
Bystolique has been evaluated fou safety in patients with hypertension et in patients with insuffisance cardiaque. Le observed adverse reaction profile was consistent with the pharmacology of the drug et the health status of the patients in the clinical trials. Adverse reactions repouted fou each of these patient populations are provided below. Excluded are adverse reactions considered too general to be infoumative et those not reasonably associated with the use of the drug because they were associated with the condition being treated ou are very common in the treated population.
Les données décrites ci-dessous reflètent une exposition dans le monde entier à l'essai clinique à l'instolique chez 6545 patients, dont 5038 patients traités pour l'hypertension et les 1507 sujets restants traités pour d'autres maladies cardiovasculaires. Les doses variaient de 0,5 mg à 40 mg. Les patients ont reçu de la bystolique jusqu'à 24 mois avec plus de 1900 patients traités pendant au moins 6 mois et environ 1300 patients pendant plus d'un an.
Hyperténstion
Dans les essais cliniques contrôlés par placebo comparant la baisse de l'arrêt du placebo du traitement en raison de réactions indésirables, il a été signalé chez 2,8% des patients traités par nébivolol et 2,2% des patients ont reçu un placebo. Les effets indésirables les plus courants qui ont conduit à l'arrêt des nausées bystoliques (NULL,4%) (NULL,2%) et de la bradycardie (NULL,2%).
Le tableau 1 répertorie les effets indésirables émergents du traitement qui ont été signalés dans trois essais de monothérapie contrôlés par un placebo de 12 semaines impliquant 1597 patients hypertendus traités avec 5 mg 10 mg ou 20 à 40 mg de byscoliers et 205 patients donnés par le placebo et pour lesquels le taux d'occurrence était au moins 1% de patients avec un NEBIVOLOL et plus que la fréquence pour les personnes traitées au moins dans un groupe de Dose avec un dose avec un dose avec un dose avec un dose avec un dose avec un dose avec un dose avec un dose avec un groupe de Dose.
Tableau 1. Réactions indésirables émergentes au traitement avec une incidence (plus de 6 semaines) ≥ 1% chez les patients traités par l'établissement et à une fréquence plus élevée que les patients traités par placebo
| Classe d'organes système Terme préféré | Placebo (n = 205) (%) | Nébivolol 5 mg (n = 459) (%) | Nébivolol 10 mg (n = 461) (%) | Nébivolol 20-40 mg (n = 677) (%) |
| Troubles cardiaques | ||||
| 0 | 0 | 0 | 1 | |
| Troubles gastro-intestinaux | ||||
| 2 | 2 | 2 | 3 | |
| 0 | 1 | 3 | 2 | |
| Troubles généraux | ||||
| 1 | 2 | 2 | 5 | |
| 0 | 0 | 1 | 1 | |
| 0 | 1 | 1 | 1 | |
| Troubles du système nerveux | ||||
| 6 | 9 | 6 | 7 | |
| 2 | 2 | 3 | 4 | |
| Troubles psychiatriques | ||||
| 0 | 1 | 1 | 1 | |
| Troubles respiratoires | ||||
| 0 | 0 | 1 | 1 | |
| Troubles de la peau et des tissus sous-cutanés | ||||
| 0 | 0 | 1 | 1 |
Vous trouverez ci-dessous les autres effets indésirables signalés avec une incidence d'au moins 1% chez plus de 4300 patients traités par des essais contrôlés ou ouverts, à l'exception de ceux qui apparaissent déjà dans le tableau 1 trop général pour être des symptômes mineurs ou des effets indésirables informatifs qui sont peu susceptibles d'être attribuables au médicament car ils sont communs dans la population. Ces effets indésirables ont été observés dans la plupart des cas à une fréquence similaire chez les patients traités par placebo dans les études contrôlées.
Claritin d 12 heures Effets secondaires
Corps dans son ensemble: Asthénie.
Troubles du système gastro-intestinal: douleurs abdominales
Troubles métaboliques et nutritionnels: hypercholestérolémie
Troubles du système nerveux: parasthésie
Anomalies de laboratoire
Dans les essais de monothérapie contrôlés sur des patients hypertendus, le bystolique a été associé à une augmentation des triglycérides d'acide urique BUN et à une diminution du cholestérol HDL et du nombre de plaquettes.
Expérience de commercialisation de la poste
Les effets indésirables suivants ont été identifiés à partir de rapports spontanés de bystoliques reçues dans le monde et n'ont pas été répertoriés ailleurs. Ces effets indésirables ont été choisis pour l'inclusion en raison d'une combinaison de la fréquence grave du rapport ou de la connexion causale potentielle avec le bystolique. Les effets indésirables courants dans la population ont généralement été omis. Étant donné que ces effets indésirables ont été signalés volontairement à partir d'une population de taille incertaine, il n'est pas possible d'estimer leur fréquence ou d'établir une relation causale à l'exposition bystolique: une fonction hépatique anormale (y compris une augmentation de l'AST et de la bilirubine) œdème pulmonaire aigu Vasculite et rapports rares de l'œdème de l'angio-œdème) Hypotension Infarctus du myocarde Psoriasis Phénomène de Raynaud Ischémie périphérique / Claudication Somnolence Syncope Thrombocytopénie Divers éruptions cutanées et troubles cutanés vertige et vomissements.
Interactions médicamenteuses fou Bystolic Tablets
Inhibiteurs du CYP2D6
Faire preuve de prudence lorsque Bystolic est co-administré avec des inhibiteurs du CYP2D6 (quinidine propafénone fluoxetine paroxétine, etc.) [voir Pharmacologie clinique ].
Agents hypotensifs
N'utilisez pas d'instolie avec d'autres β-bloquants. Surveillez de près les patients recevant des médicaments appauvrissants de catécholamine tels que la réserpine ou la guanéthidine car l'action ajoutée de blocage β de la bystolique peut produire une réduction excessive de l'activité sympathique. Chez les patients qui reçoivent la stolide et la clonidine interrompent la bystolique pendant plusieurs jours avant le rétrécissement progressif de la clonidine.
Digitalis Glycosides
Les glycosides numériques et les β-bloquants ralentissent la conduction autrioventriculaire et diminuent la fréquence cardiaque. L'utilisation concomitante peut augmenter le risque de bradycardie.
Bloqueurs de canaux calciques
Bystolique can exacerbate the effects of myocardial depressants ou inhibitous of AV conduction such as certain calcium antagonists (particularly of the phenylalkylamine [verapamil] et benzothiazepine [diltiazem] classes) ou antiarrhythmic agents such as disopyramide.
d amphet sel combo xr 20mg
Avertissements pour les tablettes bystoliques
Inclus dans le cadre du 'PRÉCAUTIONS' Section
Précautions pour les tablettes bystoliques
Cessation brusque de la thérapie
N'arrêtez pas brusquement la thérapie bystolique chez les patients atteints d'une maladie coronarienne. Une exacerbation sévère de l'infarctus du myocarde et des arythmies ventriculaires a été signalée chez des patients atteints d'une maladie coronarienne après l'arrêt abrupte du traitement avec des β-bloquants. L'infarctus du myocarde et les arythmies ventriculaires peuvent survenir avec ou sans exacerbation précédente de l'angine de poitrine. ATTENTION PATIENTS SUR LA MALADIE CORONAIRE ORTEUR CORONAIRE CONTRE L'interruption ou l'arrêt abrupte du traitement. Comme pour les autres β-bloquants lors de l'arrêt de la bystolique, il est prévu d'observer soigneusement et de conseiller aux patients de minimiser l'activité physique. Continue bystolique sur 1 à 2 semaines si possible. Si l'angine de poitrine aggrave ou que l'insuffisance coronarienne aiguë se développe rapidement par le redémarrage.
Poitrine et infarctus aigu du myocarde
Bystolique was not studied in patients with angina pectouis ou who had a recent MI.
Maladies bronchospatiques
En général, les patients atteints de maladies bronchospatiques ne devraient pas recevoir de β-bloquants.
Anesthésie et chirurgie majeure
Étant donné que le retrait du bêta-bloquant a été associé à un risque accru de patients atteints de douleur à l'IM et de douleur thoracique déjà sous bêta, devrait généralement poursuivre le traitement tout au long de la période périopératoire. Si Bystolic doit être continué à surveiller en périopérative des patients étroitement lorsque des agents anesthésiques qui dépriment la fonction myocardique tels que l'éther cyclopropane et le trichloréthylène sont utilisés. Si le traitement de blocage β est retiré avant la chirurgie majeure, la capacité altérée du cœur à répondre aux stimuli adrénergiques réflexes peut augmenter les risques de l'anesthésie générale et des procédures chirurgicales.
Les effets de blocage β de la bystolique peuvent être inversés par les β-agonistes, par ex. dobutamine ou isoprotérénol. Cependant, ces patients peuvent être soumis à une hypotension sévère prolongée. De plus, la difficulté à redémarrer et à maintenir le rythme cardiaque a été signalée avec des bêtise β.
Hypoglycémie
Les bêta-bloquants peuvent prévenir les signes d'alerte précoce d'hypoglycémie tels que la tachycardie et augmenter le risque d'hypoglycémie sévère ou prolongée à tout moment pendant le traitement, en particulier chez les patients atteints de diabète sucré ou les enfants et les patients qui jeûnent (c'est-à-dire la chirurgie ne mange pas régulièrement ou sont des vomissements). Si une hypoglycémie sévère se produit, les patients doivent être invités à demander un traitement d'urgence.
Thyrotoxicose
Les β-bloquants peuvent masquer les signes cliniques d'hyperthyroïdie tels que la tachycardie. Un retrait brusque des bloqueurs β peut être suivi d'une exacerbation des symptômes de l'hyperthyroïdie ou peut précipiter une tempête thyroïdienne.
Maladie vasculaire périphérique
Les β-bloquants peuvent précipiter ou aggraver les symptômes de l'insuffisance artérielle chez les patients atteints de maladie vasculaire périphérique.
Bloqueurs de canaux calciques non dihydropyridine
En raison des effets inotropes et chronotropes négatifs significatifs chez les patients traités avec des bloqueurs β et des bloqueurs de canaux calciques du type de vérapamil et de type diltiazem surveillent l'ECG et la pression artérielle chez les patients traités concomitante avec ces agents.
Utiliser avec les inhibiteurs du CYP2D6
Nébivolol exposure increases with inhibition of CYP2D6 [see Interactions médicamenteuses ]. Le dose of Bystolique may need to be reduced.
Fonction rénale altérée
La clairance rénale du nébivolol est diminuée chez les patients atteints d'une grave insuffisance rénale. Bystolic n'a pas été étudié chez les patients recevant une dialyse [voir Pharmacologie clinique et Posologie et administration ].
Fonction hépatique altérée
Le métabolisme du nébivolol est diminué chez les patients ayant une déficience hépatique modérée. Bystolic n'a pas été étudié chez des patients souffrant de troubles hépatiques graves [voir Pharmacologie clinique et Posologie et administration ].
Risque de réactions anaphylactiques
Tout en prenant les patients β avec des antécédents de réactions anaphylactiques graves à une variété d'allergènes peut être plus réactive à un défi diagnostique accidentel ou thérapeutique répété. Ces patients peuvent ne pas répondre aux doses habituelles d'épinéphrine utilisées pour traiter les réactions allergiques.
Phéochromocytome
Chez les patients atteints de phéochromocytome connu ou suspecté, déclenche un bloqueur α avant l'utilisation de tout bloqueur β.
Informations de conseil des patients
Voir l'étiquetage des patients approuvé par la FDA ( Informations sur les patients ).
Conseils des patients
Conseiller aux patients de prendre des bystoliques régulièrement et continuellement comme indiqué. Bystolic peut être pris avec ou sans nourriture. Si une dose est manquée, prenez la prochaine dose prévue uniquement (sans le doubler). N'interrompez pas ou n'arrêtez pas Bystolic sans consulter le médecin.
Les patients doivent savoir comment ils réagissent à ce médicament avant qu'ils utilisent des automobiles à utiliser des machines ou à s'engager dans d'autres tâches nécessitant une vigilance.
Conseiller aux patients de consulter un médecin si une difficulté à respirer se produit ou s'ils développent des signes ou des symptômes d'aggravation d'insuffisance cardiaque congestive tels que la prise de poids ou l'augmentation de l'essoufflement ou une bradycardie excessive.
ATTENTION PATIVENTS SUJET D'HYPOGLYCÉME SPONTANEUSE OU DES PATIENTS DIABÉTIQUES recevant de l'insuline ou des agents hypoglycémiques oraux selon lesquels les β-bloqueurs peuvent masquer certaines des manifestations de l'hypoglycémie, en particulier la tachycardie.
Informez les patients ou les soignants qu'il existe un risque d'hypoglycémie lorsque la bystolique est donnée aux patients à jeun ou qui vomissent. Instruire les patients ou les soignants comment surveiller les signes d'hypoglycémie [voir Avertissements et précautions ].
Toxicologie non clinique
Carcinogenèse Mutagenèse A trouble de la fertilité
Dans une étude de deux ans du nébivolol chez la souris, une augmentation statistiquement significative de l'incidence de l'hyperplasie des cellules de Leydig testiculaire et des adénomes a été observée à 40 mg / kg / jour (5 fois la dose humaine maximale recommandée de 40 mg sur un mg / m 2 base). Des résultats similaires n'ont pas été rapportés dans des doses administrées par des souris égales à environ 0,3 ou 1,2 fois la dose humaine maximale recommandée. Aucune preuve d'un effet tumorigène n'a été observée dans une étude de 24 mois chez des rats Wistar recevant des doses de nébivolol 2,5 10 et 40 mg / kg / jour (équivalent à 0,6 2,4 et 10 fois la dose humaine recommandée au maximum). La co-administration de dihydrotestostérone a réduit les taux de LH dans le sang et a empêché l'hyperplasie des cellules Leydig cohérente avec un effet indirect médié par la LH du nébivolol chez la souris et il n'est pas considéré comme cliniquement pertinent chez l'homme.
Une étude randomisée en double aveugle en double aveugle et un groupe parallèle à contrôle actif chez des volontaires masculins en bonne santé a été menée pour déterminer les effets du nébivolol sur les niveaux d'hormones et de testostérone lutéinisant la fonction surrénale. Cette étude a démontré que 6 semaines de dosage quotidien avec 10 mg de nébivolol n'avaient pas d'effet significatif sur le cortisol sérique moyen stimulé par l'ACTH AUC0-120 min sérum LH ou la testostérone totale sérique.
Des effets sur la spermatogenèse ont été observés chez les rats mâles et les souris à ≥ 40 mg / kg / jour (10 et 5 fois le MRHD respectivement). Pour les rats, les effets sur la spermatogenèse n'ont pas été inversés et peuvent avoir aggravé pendant une période de récupération de quatre semaines. Les effets du nébivolol sur le sperme chez la souris étaient cependant partiellement réversibles.
Mutagenèse: le nébivolol n'était pas génotoxique lorsqu'il était testé dans une batterie de tests (Ames in vitro lymphome de souris Tk / - in vitro aberration du chromosome lymphocytaire périphérique humain en vain Drosophila melanogaster lié à liaison sexuelle récessive et en vain Tests de micronucleus de moelle osseuse de souris).
Utiliser dans des populations spécifiques
Grossesse
Résumé des risques
Les données disponibles concernant l'utilisation de la bystolique chez les femmes enceintes sont insuffisantes pour déterminer s'il existe des risques associés aux médicaments des résultats du développement défavorables. Il y a des risques pour la mère et le fœtus associés à une hypertension mal contrôlée pendant la grossesse. L'utilisation de bêta-bloquants au cours du troisième trimestre de la grossesse peut augmenter le risque d'hypotension de l'hypoglycémie bradycardienne et de la dépression respiratoire chez le nouveau-né [voir Considérations cliniques ]. Oral administration of nebivolol to pregnant rats during ouganogenesis resulted in embryofetal et perinatal lethality at doses approximately equivalent to the maximum recommended human dose (MRHD).
Le risque de fond estimé de malformations congénitales majeures et de fausse couche pour la population indiquée est inconnue. Dans la population générale américaine, le risque de fond estimé de malformations congénitales majeures et de fausse couche dans les grossesses cliniquement reconnues est respectivement de 2 à 4% et 15 à 20%.
Considérations cliniques
Risque maternel et / ou embryonnaire associé à la maladie
Hypertension in pregnancy increases the maternal risk fou pre-eclampsia gestational diabetes premature delivery et delivery complications (e.g. need fou cesarean section et post-partum hemourhage). Hypertension increases the fetal risk fou intrauterine growth restriction et intrauterine death. Pregnant women with hypertension should be carefully monitoued et managed accoudingly.
Réactions indésirables fœtales / néonatales
Les nouveau-nés des femmes atteints d'hypertension qui sont traités avec des bêta-bloquants au cours du troisième trimestre de la grossesse peuvent être à risque accru d'hypotension hypoglycémie de Bradycardie et de dépression respiratoire. Observez les nouveau-nés pour les symptômes de l'hypotension de l'hypoglycémie de Bradycardie et de la dépression respiratoire et gérez en conséquence.
Données
Données sur les animaux
Nébivolol was shown to increase embryo-fetal et perinatal lethality in rats at approximately 1.2 times the MRHD ou 40 mg/day on a mg/m 2 base. Une diminution des poids corporels des PUP s'est produite à 1,25 et 2,5 mg / kg chez le rat lorsqu'il est exposé pendant la période périnatale (parturition de gestation tardive et lactation). À 5 mg / kg et des doses plus élevées (NULL,2 fois la MRHD), une dystocie de gestation prolongée et des soins maternels réduits ont été produits avec des augmentations correspondantes des décès fœtaux tardifs et des mortinaissances et une diminution du poids de la naissance et de la survie des litière vivante. Ces événements ne se sont produits que lorsque le nébivolol a été donné pendant la période périnatale (parturition de gestation tardive et lactation). Un nombre insuffisant de chiots a survécu à 5 mg / kg pour évaluer la progéniture des performances de reproduction.
Dans les études dans lesquelles des rats enceintes ont reçu du nébivolol pendant l'organogenèse, des poids corporels fœtaux réduits ont été observés à des doses maternellement toxiques de 20 et 40 mg / kg / jour (5 et 10 fois le MRHD) et de petits retards réversibles sternaux et thoraciques associés à la réduction du poids fœtal et au jour de la MRD).
Aucun effet indésirable sur le poids sexuel ou la morphologie de la viabilité de la viabilité embryon-foetal n'a été observé dans des études dans lesquelles le nébivolol a été donné aux lapins enceintes à des doses pouvant atteindre 20 mg / kg / jour (10 fois le MRHD).
Lactation
Résumé des risques
Il n'y a aucune information concernant la présence de nébivolol dans le lait maternel les effets sur le nourrisson allaité ou les effets sur la production de lait. Le nébivolol est présent dans le lait de rat [voir Données ]. Because of the potential fou β-blockers to produce serious adverse reactions in nursing infants especially bradycardia Bystolique is not recommended during nursing.
Données
Chez les rats allaitants, des niveaux de lait maximum de nébivolol inchangé ont été observés à 4 heures après des doses simples et répétées de 2,5 mg / kg / jour. La dose quotidienne (mg / kg de poids corporel) ingéré par un chiot de rat est de 0,3% de la dose de barrage pour le nébivolol inchangé.
pilule jaune avec 2632
Usage pédiatrique
La sécurité et l'efficacité des patients pédiatriques n'ont pas été établies. Des études pédiatriques à l'âge du nouveau-né à 18 ans n'ont pas été menées en raison de la caractérisation incomplète de la toxicité du développement et des effets indésirables possibles sur la fertilité à long terme [voir Toxicologie non clinique ].
Données sur la toxicité des animaux juvéniles
Les doses orales quotidiennes de nébivolol aux rats juvéniles du jour postnatal 14 au jour postnatal 27 ont montré une mort soudaine inexpliquée à des expositions égales à celles des métaboliseurs pauvres humains étant donné une seule dose de 10 mg. Aucune mortalité n'a été observée à la moitié de l'exposition humaine adulte.
Chez les rats survivants, une cardiomyopathie a été observée à des expositions supérieures ou égales à l'exposition humaine. Les chiots de rat mâles exposés à deux fois l'exposition humaine ont montré une diminution du nombre total de spermatozoïdes ainsi que une diminution du total et du pourcentage du sperme mobile.
Utilisation gériatrique
Sur les 2800 patients aux États-Unis parrainés par parrainage d'hypertension clinique contrôlée par placebo, 478 patients avaient 65 ans ou plus. Aucune différence globale d'efficacité ou de l'incidence des événements indésirables n'a été observée entre les patients plus âgés et plus jeunes.
Insuffisance cardiaque
Dans un essai contrôlé par placebo de 2128 patients (1067 placebo bystolique 1061) plus de 70 ans avec une insuffisance cardiaque chronique recevant une dose maximale de 10 mg par jour pour une médiane de 20 mois, aucune aggravation d'insuffisance cardiaque n'a été signalée avec le nébivolol par rapport au placebo. Cependant, si l'insuffisance cardiaque s'aggrave, envisagez l'arrêt des bysliques.
Informations sur la surdose pour les tablettes bystoliques
Dans les essais cliniques et l'expérience mondiale de commercialisation postale, il y avait des rapports de surdose bystolique. Les signes et symptômes les plus courants associés à un surdosage bystolique sont la bradycardie et l'hypotension. Les autres réactions indésirables importantes rapportées avec une surdose bysolique comprennent la fatigue et les vomissements de l'hypoglycémie à l'insuffisance cardiaque. Les autres effets indésirables associés à la surdose de blocage β comprennent le bronchospasme et le bloc cardiaque.
La plus grande ingestion connue de bystolique dans le monde a impliqué un patient qui a ingéré jusqu'à 500 mg de bystolique ainsi que plusieurs comprimés de 100 mg d'acide acétylsalicylique dans une tentative de suicide. Le patient a connu l'hyperhydrose Pallore du niveau déprimé de conscience hypokinésie hypotension sinus bradycardie hypoglycémie hypokaliémie insuffisance et vomissements respiratoires. Le patient s'est rétabli.
En raison de la liaison approfondie des médicaments aux protéines plasmatiques, l'hémodialyse ne devrait pas améliorer la clairance nébivolol.
Si une surdose se produit, fournit un traitement symptomatique général et spécifique. Sur la base des actions pharmacologiques attendues et des recommandations pour les autres β-bloquants, considérez les mesures générales suivantes, notamment l'arrêt de l'instoliration, lorsqu'il est cliniquement justifié:
Bradycardie
Administrer IV atropine. Si la réponse est un isoprotérénol inadéquate ou un autre agent aux propriétés chronotropes positives peut être donné avec prudence. Dans certaines circonstances, un placement de stimulateur cardiaque transhoracique ou transvenant peut être nécessaire.
Hypotension
Administrer des liquides IV et des vasopresseurs. Le glucagon intraveineux peut être utile.
Bloc cardiaque (deuxième ou troisième degré)
Surveillez et traitez avec la perfusion d'isoprotérénol. Dans certaines circonstances, un placement de stimulateur cardiaque transhoracique ou transvenant peut être nécessaire.
Insuffisance cardiaque congestive
Initier la thérapie avec le glycoside et les diurétiques de Digitalis. Dans certains cas, considérez l'utilisation d'agents inotropes et vasodilatants.
Bronchospasme
Administrer le traitement des bronchodilatateurs tels qu'un β inhalé à action courte 2 -Goniste et / ou aminophylline.
Hypoglycémie
Administrer le glucose IV. Des doses répétées de glucose IV ou éventuellement de glucagon peuvent être nécessaires.
Les mesures de soutien doivent se poursuivre jusqu'à ce que la stabilité clinique soit obtenue. La demi-vie des faibles doses de nébivolol est de 12 à 19 heures.
Appelez le National Poison Control Center (800-222-1222) pour les informations les plus récentes sur le traitement de surdosage β-bloqueur.
Contre-indications pour les comprimés bystoliques
Bystolique is contraindicated in the following conditions:
- Bradycardie sévère
- Bloc cardiaque supérieur au premier degré
- Patients atteints de choc cardiogénique
- Insuffisance cardiaque décompensée
- Syndrome des sinus malades (sauf si un stimulateur cardiaque permanent est en place)
- Patients souffrant de troubles hépatiques sévères (enfant-pugh> b)
- Les patients qui sont hypersensibles à tout composant de ce produit.
Pharmacologie clinique fou Bystolic Tablets
Nébivolol is a β-adrenergic receptou blocking agent. In extensive metabolizers (most of the population) et at doses less than ou equal to 10 mg nebivolol is preferentially β 1 sélectif. Dans les métaboliseurs pauvres et à des doses plus élevées, le nébivolol inhibe les deux β 1 - et b 2 - Récepteurs adrénergiques. Le nébivolol n'a pas d'activité intrinsèque sympathomimétique et stabilisatrice des membranes à des concentrations thérapeutiquement pertinentes. Aux doses cliniquement pertinentes, bystolique ne démontre pas α 1 - Activité de blocage des récepteurs adrénergiques. Divers métabolites, y compris les glucuronides, contribuent à l'activité de blocage β.
Mécanisme d'action
Le mécanisme d'action de la réponse antihypertense de la bystolique n'a pas été définitivement établi. Les facteurs possibles qui peuvent être impliqués comprennent: (1) une diminution de la fréquence cardiaque (2) une diminution de la contractilité myocardique (3) une diminution de l'écoulement sympathique tonique à la périphérie des centres vasomoteurs cérébraux (4) de la suppression de la rénine et (5) une vasodilatation et une diminution de la résistance vasculaire périphérique.
Pharmacocinétique
Nébivolol is metabolized by a number of routes including glucuronidation et hydroxylation by CYP2D6. Le active isomer (d-nebivolol) has an effective half-life of about 12 hours in CYP2D6 extensive metabolizers (most people) et 19 hours in poou metabolizers et exposure to d-nebivolol is substantially increased in poou metabolizers. This has less impoutance than usual however because the metabolites including the hydroxyl metabolite et glucuronides (the predominant circulating metabolites) contribute to β-blocking activity.
Les taux plasmatiques de d - nébivolol augmentent la proportion de la dose dans le SME et le PMS pour des doses allant jusqu'à 20 mg. L’exposition au L-nébivolol est plus élevée qu'au D-nébivolol, mais le L-nébivolol contribue peu à l'activité du médicament en tant qu'affinité du récepteur bêta du D-nébivolol est> 1000 fois plus élevé que le L-nébivolol. Pour la même dose, le PMS atteint un CMAX 5 fois plus élevé et l'ASUC 10 fois plus élevé de D-nébivolol que les EMS. Le D-nébivolol s'accumule environ 1,5 fois avec une dosage une fois répétée dans le SME.
Absorption
Absorption of Bystolique is similar to an oual solution. Le absolute bioavailability has not been determined.
Les concentrations de nébivolol plasmatique maximales moyennes se produisent d'environ 1,5 à 4 heures après la possibilité de dose dans le SME et le PMS.
La nourriture ne modifie pas la pharmacocinétique du nébivolol. Dans des conditions nourries, les glucuronides nébivololols sont légèrement réduits. Bystolic peut être administré sans égard aux repas.
Distribution
Le in vitro La liaison aux protéines plasmatiques humaines du nébivolol est d'environ 98% principalement à l'albumine et est indépendante des concentrations de nébivolol.
Métabolisme
Nébivolol is predominantly metabolized via direct glucuronidation of parent et to a lesser extent via N-dealkylation et oxidation via cytochrome P450 2D6. Its stereospecific metabolites contribute to the pharmacologic activity [see Interactions médicamenteuses ].
Élimination
Après une seule administration orale de 14C-nébivolol, 38% de la dose a été récupérée dans l'urine et 44% dans les matières fécales pour EMS et 67% dans l'urine et 13% dans les excréments pour le PMS. Essentiellement, tous les nébivolols ont été excrétés sous forme de métabolites oxydatifs multiples ou leurs conjugués de glucuronide correspondants.
Pharmacocinétique In Special Populations
Maladie hépatique
La concentration plasmatique de pic de nébivolol au D-nébivolol a augmenté l'exposition de 3 fois (ASC) a augmenté de 10 fois et la clairance apparente a diminué de 86% chez les patients présentant une déficience hépatique modérée (Child-Pugh classe B). Aucune étude formelle n'a été réalisée chez des patients souffrant de troubles hépatiques graves et le nébivolol doit être contre-indiqué pour ces patients [voir Posologie et administration ].
Maladie rénale
Le apparent clearance of nebivolol was unchanged following a single 5 mg dose of Bystolique in patients with mild renal impairment (ClCr 50 to 80 mL/min n=7) et it was reduced negligibly in patients with moderate (ClCr 30 to 50 mL/min n=9) but clearance was reduced by 53% in patients with severe renal impairment (ClCr <30 mL/min n=5). No studies have been conducted in patients on dialysis [see Posologie et administration ].
Interactions médicament-médicament
On peut s'attendre à ce que des médicaments qui inhibent le CYP2D6 augmentent les taux plasmatiques de nébivolol. Lorsque Bystolic est co-administré avec un inhibiteur ou un inducteur de cette enzyme, surveillez de près les patients et ajustez la dose de nébivolol en fonction de la réponse à la pression artérielle. In vitro Des études ont démontré qu'à des concentrations thérapeutiquement pertinentes, le D-nébivolol ne inhibe aucune voie de cytochrome P450.
Digoxine
L'administration concomitante de bystolique (10 mg une fois par jour) et de digoxine (NULL,25 mg une fois par jour) pendant 10 jours en 14 personnes adultes en bonne santé n'a entraîné aucun changement significatif dans la pharmacocinétique de la digoxine ou du nébivolol [voir [voir Interactions médicamenteuses ].
Warfarine
L'administration de bystolique (10 mg une fois par jour pendant 10 jours) n'a entraîné aucun changement significatif dans la pharmacocinétique du nébivolol ou de la warfarine R ou S après une seule dose de 10 mg de warfarine. De même, le nébivolol n'a pas d'effets significatifs sur l'activité anticoagulante de la warfarine, comme évalué par le temps de prothrombine et les profils INR de 0 à 144 heures après une seule dose de warfarine de 10 mg chez 12 volontaires adultes en bonne santé.
Diurétiques
Aucune interaction pharmacocinétique n'a été observée chez des adultes en bonne santé entre le nébivolol (10 mg par jour pendant 10 jours) et l'hydrochlorothiazide de furosémide (40 mg unique) (25 mg par jour (25 mg une fois par jour pendant 10 jours) ou de spironolactone (25 mg une fois par jour pendant 10 jours).
Ramipril
L'administration concomitante de bystolique (10 mg une fois par jour) et de ramipril (5 mg une fois par jour) pendant 10 jours dans 15 volontaires adultes en bonne santé n'a produit aucune interaction pharmacocinétique.
Losartan
L'administration concomitante de dose bystolique (10 mg unique) et de losartan (50 mg de dose unique) chez 20 volontaires adultes en bonne santé n'a pas entraîné d'interactions pharmacocinétiques.
Fluoxétine
Fluoxétine a CYP2D6 inhibitou administered at 20 mg per day fou 21 days priou to a single 10 mg dose of nebivolol to 10 healthy adults led to an 8-fold increase in the AUC et 3-fold increase in Cmax fou d-nebivolol [see Interactions médicamenteuses ].
Antagonistes des récepteurs de l'histamine-2
Le pharmacokinetics of nebivolol (5 mg single dose) were not affected by the co-administration of ranitidine (150 mg twice daily). Cimetidine (400 mg twice daily) causes a 23% increase in the plasma levels of d-nebivolol.
Charbon de bois
Le pharmacokinetics of nebivolol (10 mg single dose) were not affected by repeated co-administration (4 8 12 16 22 28 36 et 48 hours after nebivolol administration) of activated charcoal (Actidose ® -Aqua).
Sildénafil
Le co-administration of nebivolol et sildenafil decreased AUC et Cmax of sildenafil by 21 et 23% respectively. Le effect on the Cmax et AUC fou d-nebivolol was also small ( <20%). Le effect on vital signs (e.g. pulse et blood pressure) was approximately the sum of the effects of sildenafil et nebivolol.
Autres médicaments concomitants
Utilisation d'analyses pharmacocinétiques de la population dérivées de patients hypertendus Les médicaments suivants ont été observés pour ne pas avoir d'effet sur la pharmacocinétique du nébivovolol: acétaminophène acétylsalicylique à l'acide atorvastatine esoméprazole ibuprofène levihyroxine sodium metformin sildenefil simvastatine ou tocopopherol.
Liaison des protéines
Aucun changement significatif dans l'étendue de in vitro La liaison des nébivolols aux protéines plasmatiques humaines a été notée en présence de concentrations élevées de diazépam digoxine diphénylydantoin éalapril hydrochlorothiazide imipramine indométhacine propranolol sulfaméthazine tolbutamide ou warfarine. De plus, le nébivolol n'a pas modifié de manière significative la liaison aux protéines des médicaments suivants: la diazépam digoxine diphénylhydant-diphénylhydantoïne hydrochlorothiazide imipramine ou warfarine à leurs concentrations thérapeutiques.
Études cliniques
Hypertension
Le antihypertensive effectiveness of Bystolique as monotherapy has been demonstrated in three retomized double-blind multi-center placebo-controlled trials at doses ranging from 1.25 to 40 mg fou 12 weeks (Studies 1 2 et 3). A fourth placebo-controlled trial demonstrated additional antihypertensive effects of Bystolique at doses ranging from 5 to 20 mg when administered concomitantly with up to two other antihypertensive agents (ACE inhibitous angiotensin II receptou antagonists et thiazide diuretics) in patients with inadequate blood pressure control.
Le three monotherapy trials included a total of 2016 patients (1811 Bystolique 205 placebo) with mild to moderate hypertension who had baseline diastolic blood pressures (DBP) of 95 to 109 mmHg. Patients received either Bystolique ou placebo once daily fou twelve weeks. Two of these monotherapy trials (Studies 1 et 2) studied 1716 patients in the general hypertensive population with a mean age of 54 years 55% males 26% non-Caucasians 7% diabetics et 6% genotyped as PMs. Le third monotherapy trial (Étude 3) studied 300 Black patients with a mean age of 51 years 45% males 14% diabetics et 3% as PMs.
Placebo-subtracted blood pressure reductions by dose fou each study are presented in Table 2. Most studies showed increasing response to doses above 5 mg.
Tableau 2. Réductions moyennes les moins soustraites du placebo dans la pression artérielle systolique / diastolique (SISBP / SIDBP MMHG)
Essential Acio Acides Suppléments Effets secondaires
| Nébivolol dose (mg) | ||||||
| 1.25 | 2.5 | 5.0 | 10 | 20 | 30 | |
| Étude 1 | -6.6 * / - 5.1 * | -8,5 * / - 5.6 * | -8.1 * / - 5.5 * | -9.2 * / - 6.3 * | -8,7 * / - 6.9 * | -11.7 * / - 8.3 * |
| Étude 2 | -3.8 / -3.2 * | -3.1 / -3.9 * | -6.3 * / - 4.5 * | |||
| Étude 3 ¶ | -1,5 / -2.9 | -2.6 / -4.9 * | -6.0 * / - 6.1 * | -7.2 * / - 6.1 * | -6.8 * / - 5.5 * | |
| Étude 4 ^ | -5.7 * / - 3.3 * | -3.7 * / - 3.5 * | -6.2 * / - 4.6 * | |||
| * P <0.05 based on pair-wise comparison vs. placebo ¶ L'étude n'a inscrit que des Afro-Américains. ^ Étude au-dessus d'un ou deux autres médicaments antihypertenseurs. |
Étude 4 enrolled 669 patients with a mean age of 54 years 55% males 54% Caucasians 29% Blacks 15% Hispanics 1% Asians 14% diabetics et 5% PMs. Bystolique 5 mg to 20 mg administered once daily concomitantly with stable doses of up to two other antihypertensive agents (ACE inhibitous angiotensin II receptou antagonists et thiazide diuretics) resulted in significant additional antihypertensive effects over placebo compared to baseline blood pressure.
L'efficacité était similaire dans les sous-groupes analysés par l'âge et le sexe. L'efficacité a été établie chez les Noirs, mais en monothérapie, l'ampleur de l'effet était un peu inférieure à celle des Caucasiens.
Le blood pressure lowering effect of Bystolique was seen within two weeks of treatment et was maintained over the 24-hour dosing interval.
Lere are no trials of Bystolique demonstrating reductions in cardiovascular risk in patients with hypertension but at least one pharmacologically similar drug has demonstrated such benefits.
Informations sur les patients pour les tablettes bystoliques
Bystolique ®
(Bi-stol-ik)
(nébivolol) comprimés
Lisez les informations du patient qui s'accompagnent de Bystolic avant de commencer à les prendre et chaque fois que vous obtenez une recharge. Il peut y avoir de nouvelles informations. Ces informations ne prennent pas la place de parler avec votre médecin de votre état médical ou de votre traitement. Si vous avez des questions sur Bystolic, demandez à votre médecin ou pharmacien.
Qu'est-ce que Bystolic?
Bystolique is a kind of prescription medicine called a beta-blocker. Bystolique treats:
- Hypertension artérielle (hypertension)
Bystolique can lower blood pressure when used by itself et with other medicines.
Bystolique is not approved fou children less than 18 years of age.
Qui ne devrait pas prendre bystolic?
Ne prenez pas Bystolic si vous:
- Avoir insuffisance cardiaque et are in the ICU ou need medicines to keep up your blood circulation
- Avoir a rythme cardiaque lent ou your heart skips beats (irregular heartbeat)
- Avoir severe liver damage
- Sont allergiques à tout ingrédient en bystolique. L'ingrédient actif est le nébivolol. Voir la fin de cette brochure pour une liste d'ingrédients.
Que dois-je dire à mon médecin avant de prendre Bystolic?
Parlez à votre médecin de tous vos problèmes médicaux, y compris si vous:
- Avoir asthma ou other lung problems (such as bronchitis ou emphysema)
- Avoir problems with blood flow in your feet et legs (peripheral vascular disease) Bystolique can make symptoms of blood flow problems wouse.
- Avoir diabetes et take medicine to control blood sugar
- Avoir thyroid problems
- Avoir liver ou kidney problems
- Avait des réactions allergiques aux médicaments ou souffrant d'allergies
- Avoir a condition called pheochromocytoma
- Sont enceintes ou essaient de devenir enceintes. On ne sait pas si Bystolic est sûr pour votre bébé à naître. Parlez avec votre médecin de la meilleure façon de traiter l'hypertension artérielle pendant que vous êtes enceinte.
- Allaitent. On ne sait pas si Bystolic passe dans votre lait maternel. Vous ne devez pas allaiter en utilisant Bystolic.
- Sont programmés pour la chirurgie et recevront des agents anesthésiques
Parlez à votre médecin de tous les médicaments que vous prenez . Inclure les médicaments sur ordonnance et les médicaments sans ordonnance et les produits à base de plantes. STOCH et certains autres médicaments peuvent affecter les uns les autres et provoquer des effets secondaires graves.
Gardez une liste de tous les médicaments que vous prenez. Montrez cette liste à votre médecin et pharmacien avant de commencer un nouveau médicament.
Comment dois-je prendre Bystolic?
- N'arrêtez pas soudainement de prendre Bystolic. Vous pourriez avoir une douleur thoracique ou une crise cardiaque. Si votre médecin décide d'arrêter Bystolic, votre médecin peut lentement abaisser votre dose au fil du temps avant de l'arrêter complètement.
- Prenez le bystolique tous les jours exactement comme votre médecin vous le dit. Votre médecin vous dira la quantité d'instoliration à prendre et à quelle fréquence. Votre médecin peut commencer par une faible dose et le soulever au fil du temps.
- N'arrêtez pas de prendre Bystolic ou ne changez pas votre dose sans parler avec votre médecin.
- Prenez-vous par ou sans nourriture.
- Si vous manquez une dose, prenez votre dose dès que vous vous en souvenez, sauf si elle est proche de prendre votre prochaine dose. Ne prenez pas 2 doses en même temps. Prenez votre prochaine dose à l'heure habituelle.
- Si vous prenez trop de bystolique, appelez immédiatement votre médecin ou votre centre de contrôle du poison.
Quels sont les effets secondaires possibles de Bystolic?
- Pression artérielle basse et feeling dizzy. If you feel dizzy sit ou lie down et tell your doctou right away.
- Fatigue
- Rythme cardiaque lent
- Mal de tête
- Gonflement des jambes en raison de la rétention des liquides (œdème). Dites à votre médecin si vous prenez du poids ou si vous avez du mal à respirer tout en prenant Bystolic.
- Si vous êtes diabétique ou prenez des médicaments pour glycémie ou if you have a tendency to have low blood sugar Bystolic can mask/cover some of the signs et symptoms that would tell you that your blood sugar may be low like heart palpitations ou rapid heart beating. Ask your doctou fou other signs that may alert you when having low blood sugar.
Dites à votre médecin si vous avez des effets secondaires qui vous dérangent ou ne partez pas.
Comment dois-je stocker Bystolic?
- Stockez-vous entre 68 ° et 77 ° F (20 ° - 25 ° C).
- Jetez en toute sécurité bystolique qui est obsolète ou qui n'est plus nécessaire.
- Gardez Bystolic et tous les médicaments hors de portée des enfants.
Informations générales sur Bystolic
Les médecins prescrivent parfois des médicaments pour des conditions non incluses dans les dépliants d'information des patients.
- Utiliser uniquement Bystolic pour le problème médical pour lequel il a été prescrit.
- Ne donnez pas d'y autre à d'autres personnes même si elles présentent les mêmes symptômes. Cela peut leur faire du mal.
Cette brochure résume les informations les plus importantes sur Bystolic. Pour plus d'informations:
- Parlez avec votre médecin.
- Demandez à votre médecin ou à votre pharmacien d'informations sur Bystolic qui est écrite pour les professionnels de la santé.
- Visitez www.bystolic.com sur le Web ou appelez le 1-800-678-1605.
Qu'y a-t-il dans Bystolic?
Ingrédient actif: Nébivolol
Ingrédients inactifs: dioxyde de silicium colloïdal croscarmellose sodium d
Qu'est-ce que l'hypertension artérielle (hypertension)?
La pression artérielle est la force dans vos vaisseaux sanguins lorsque votre cœur bat et lorsque votre cœur repose. Vous avez une pression artérielle élevée lorsque la force est trop grande.
L'hypertension artérielle rend le cœur plus dur pour pomper le sang à travers le corps et endommage les vaisseaux sanguins. Les comprimés bystoliques peuvent aider vos vaisseaux sanguins à se détendre afin que votre tension artérielle soit plus faible.
Les médicaments qui abaissent votre tension artérielle abaissez vos chances d'avoir un accident vasculaire cérébral ou crise cardiaque .