Les Informations Présentées Sur Ce Site Ne Constituent Pas Un Avis Médical. Nous Ne Vendons Rien. L'Exactitude De La Traduction N'Est Pas Garantie. Clause De Non-Responsabilité



Cosopt

Résumé

Qu'est-ce que Cosopt?

COSOPT (Maleate de chlorhydrate de dorzolamide-timolol) est une combinaison d'un inhibiteur de l'anhydrase carbonique et d'un bêta-bloquant qui réduit la pression dans l'œil et est utilisé pour traiter certains types de glaucome et d'autres causes de haute pression à l'intérieur de l'œil. Cosopt est disponible sous forme générique.

Quels sont les effets secondaires de Cosopt?

Les effets secondaires courants du cosopt comprennent:



  • Vision floue temporaire
  • vision nuageuse
  • double vision
  • brûlure / picotement temporaire / démangeaisons / rougeur de l'œil
  • yeux aqueux
  • sécher les yeux
  • se sentir comme si quelque chose était dans les yeux
  • paupière tombante
  • Sensibilité des yeux à la lumière
  • Taste amer ou étrange dans la bouche
  • toux
  • symptômes de la grippe
  • nausée
  • estomac renversé
  • douleurs à l'estomac
  • maux de dos
  • mal de gorge
  • nez encombré
  • Maux de tête ou
  • somnolence.

Dites à votre médecin si vous avez des effets secondaires improbables mais graves de Cosopt, notamment:



  • vertiges
  • rythme cardiaque lent ou irrégulier
  • faiblesse musculaire
  • changements mentaux / d'humeur ou
  • froideur / engourdissement / douleur dans les mains ou les pieds.

Cherchez des soins médicaux ou appelez le 911 à la fois si vous avez les effets secondaires graves suivants:

  • Des symptômes oculaires graves tels que la perte de vision soudaine floue du tunnel de vision de la vision de la vision des yeux ou de l'enflure ou de voir des halos autour des lumières;
  • Symptômes cardiaques graves tels que les battements cardiaques rapides ou battants; flotter dans votre poitrine; essoufflement; et des étourdissements soudains, de la légèreté ou de l'évanouissement;
  • Maux de tête sévères Confusion Slurred Speech Bras ou Ligne Proulitude Trouble de la merde Perte de coordination Sentiment des muscles très rigides très rigides Fièvre élevée Propice ou des tremblements.

Ce document ne contient pas tous les effets secondaires possibles et d'autres peuvent survenir. Vérifiez auprès de votre médecin des informations supplémentaires sur les effets secondaires.



Dosage pour cosopt

La dose est une goutte de solution ophtalmique cosopt dans les yeux affectés deux fois par jour. Si plus d'un médicament ophtalmique topique est utilisé, les médicaments doivent être administrés à au moins dix minutes d'intervalle.

Quelles substances ou suppléments de médicaments interagissent avec COSOPT?

Cosopt peut interagir avec la clonidine quinidine réserve digitalis acétazolamide ou des bloqueurs bêta-bloquants de méthazolamide bloqueurs ou antidépresseurs. Dites à votre médecin tous les médicaments que vous utilisez.

Cosopt pendant la grossesse et l'allaitement

Le cosopt ne doit être utilisé que lorsqu'il est prescrit pendant la grossesse. Ce médicament passe dans le lait maternel. Consultez votre médecin avant l'allaitement.

Informations Complémentaires

Notre centre de médicaments à effets secondaires du chlorhydrate de chlorhydrate de dorzolamide COSOPT (dorzolamide de dorzolamide fournit une vue complète des informations sur les médicaments disponibles sur les effets secondaires potentiels lors de la prise de ce médicament.

Informations sur les médicaments de la FDA

Description de Cosopt

COSOPT (solution ophtalmique du mal-chlorhydrate de dorzolamide-timolol) est la combinaison d'un inhibiteur topique de l'anhydrase carbonique et d'un agent de blocage des récepteurs bêta-adrénergiques topique.

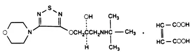
Le chlorhydrate de dorzolamide est décrit chimiquement comme: (4S-trans) -4- (éthylamino) -56-dihydro-6méthyl-4H-thiéno [23-b] thiopyran-2-sulfonamide 77-dioxyde monohydrochlorure. Le chlorhydrate de dorzolamide est optiquement actif. La rotation spécifique est:

J'ai utilisé monistat et ça brûle

[A] 25 ° CM 405 nm (c = 1 eau) = ~ -17 °.

Sa formule empirique est C 10 H 16 N 2 O 4 S 3 • HCL et sa formule structurelle est:

Le chlorhydrate de dorzolamide a un poids moléculaire de 360,91. Il s'agit d'une poudre cristalline blanche à blanc cassé qui est soluble dans l'eau et légèrement soluble dans le méthanol et l'éthanol.

Le maléate de Timolol est décrit chimiquement comme: (-) - 1- (tert-butylamino) -3 - [(4-morpholino-125thiadiazol-3-yl) oxy] -2-propanol maléate (1: 1) (sel). Le maléate de Timolol possède un atome de carbone asymétrique dans sa structure et est fourni comme levo-isomère. La rotation optique du maléate de Timolol est:

[α] 25 ° C 405 nm dans 1N HCl (C = 5) = -12,2 ° (-11,7 ° à -12,5 °).

Sa formule moléculaire est C 13 H 24 N 4 O 3 S • C. 4 H 4 O 4 Et sa formule structurelle est:

Le maléate de Timolol a un poids moléculaire de 432,50. Il s'agit d'une poudre cristalline blanche sans odor qui est soluble dans le méthanol d'eau et l'alcool. Timolol Maleate est stable à température ambiante.

COSOPT est fourni comme une solution aqueuse isotonique purement colorée stérile à une solution aqueuse légèrement visqueuse. Le pH de la solution est d'environ 5,65 et l'osmolarité est de 242323 MOSM. Chaque ml de cosopt contient 20 mg de dorzolamide (NULL,26 mg d'hydrochloride de dorzolamide) et 5 mg de timolol (NULL,83 mg de maléate de timolol). Les ingrédients inactifs sont l'hydroxyéthyl-cellulose de sodium hydroxyéthyl-cellulose hydroxyde de mannitol et l'eau pour l'injection. Le chlorure de benzalkonium 0,0075% est ajouté comme conservateur.

Utilisations pour cosopt

COSOPT® est indiqué pour la réduction de la pression intraoculaire élevée (PIO) chez les patients atteints de glaucome à angle ouvert ou d'hypertension oculaire qui sont insuffisamment sensibles aux bêta-bloquants (n'ayant pas atteint la PIO cible déterminée après plusieurs mesures au fil du temps). L'abandon de la PIO de Cosopt administré deux fois par jour était légèrement inférieure à celle observée avec l'administration concomitante de 0,5% de Timolol administré deux fois par jour et 2% de dorzolamide administré trois fois par jour [voir [voir Études cliniques ].

Dosage pour cosopt

La dose est une goutte de cosopt dans les yeux affectés deux fois par jour.

Si plus d'un médicament ophtalmique topique est utilisé, les médicaments doivent être administrés au moins cinq minutes d'intervalle [voir Interactions médicamenteuses ].

Comment fourni

Formes et forces posologiques

Solution ophtalmique contenant du dorzolamide 20 mg / ml (2%) équivalent à 22,26 mg / ml de chlorhydrate de dorzolamide et de timolol 5 mg / ml (NULL,5%) équivalent à 6,83 mg / ml de malé de Timolol.

Stockage et manipulation

COSOPT® (chlorhydrate de dorzolamide et solution ophtalmique du maléate Timolol) 2% / 0,5% est fourni dans des bouteilles en plastique en polyéthylène basse densité blanches de 10 ml (LDPE) avec des pointes de compte-gouttes LDPE blanches et des capuchons P / P bleus comme suit:

NDC 17478-605-10 10 ml Bouteille de capacité.

Stockage

Stocker à 20 ° à 25 ° C (68 ° à 77 ° F). Protéger de la lumière. Après l'ouverture, le cosopt peut être utilisé jusqu'à la date d'expiration de la bouteille.

Distribué par: Akorn Inc. Lake Forest IL 60045 Les marques Cosopt appartiennent à Merck Sharp

Effets secondaires for Cosopt

Expérience des essais cliniques

Étant donné que les essais cliniques sont menés dans des conditions de réaction indésirables très variables observées dans les essais cliniques d'un médicament ne peuvent pas être directement comparées aux taux dans les essais cliniques d'un autre médicament et ne peuvent pas refléter les taux observés dans la pratique.

Le COSOPT a été évalué chez 1035 patients présentant une pression intraoculaire élevée traitée pour un glaucome à angle ouvert ou une hypertension oculaire jusqu'à 15 mois. Environ 5% de tous les patients ont interrompu le traitement en raison des effets indésirables.

Les effets indésirables les plus fréquemment signalés survenant jusqu'à 30% des patients étaient la perversion du goût (aigre-amer ou le goût inhabituel) ou la brûlure et / ou les picotements oculaires. Les effets indésirables suivants ont été rapportés chez 5 à 15% des patients: l'hyperémie conjonctivale floue la kératite superficielle ponctuelle ou les démangeaisons des yeux.

Les effets indésirables suivants ont été signalés chez 1 à 5% des patients: douleurs abdominales Dain de dos Blépharite Bronchite Vision nuageuse Décharge conjonctivale œdème conjonctival Follicules conjonctivaux injection conjonctivite Érosion corne exsudate d'exsuda / échelles Douleur des paupières ou inconfort Sensation du corps étranger Glaucomateous Passe-tête Hypertension Colorcure de la lentille de la grippe Coloration Opacité Nausea Lens nucléaire Opacité Pharyngite PHARYNGITE Postaracsulaire Cataract Cataracte Infection respiratoire supérieure Infection usulaire infection du champ visual de champ visuel défectueux.

D'autres réactions indésirables qui ont été signalées avec les composantes individuelles sont répertoriées ci-dessous:

Dorzolamide 2%

Bronchospasme de l'œdème de l'angio-œdème Asthénie / Fatigue Contact Contact Dermatite Epistaxis Signe des cris de la paupière Cruste de la photophobie oculaire et des symptômes de la myopie transitoire de réaction allergique oculaire.

Timolol (administration oculaire)

Corps dans son ensemble: Asthénie / fatigue; Cardiovasculaire: Arythmie Syncope Ischémie cérébrale aggravant l'angine de l'angine pectoralis PALPITATION STRÉREST CARDIAC EDEME PULONAIRE œdème claudication phénomène de Raynaud et des mains et pieds froids; Digestif: Anorexie douleurs abdominales; Immunologique: Lupus érythémateux systémique; Système nerveux / psychiatrique: Augmentation des signes et symptômes de la myasthénie gravis somnolence insomnie cauchemars changements comportementaux et perturbations psychiques, y compris les hallucinations de confusion, la désorientation anxiété nervesse et perte de mémoire; Peau: Alopécie psoriasiforme éruption cutanée ou exacerbation du psoriasis; Hypersensibilité: Signes et symptômes des réactions allergiques systémiques, y compris l'anapio-œdème de l'angio-œdème de l'angio-anthralia et une éruption localisée et généralisée; Respiratoire: Bronchospasme (principalement chez les patients atteints d'une maladie bronchospastique préexistante); Endocrine: Symptômes masqués d'hypoglycémie chez les patients diabétiques; Sens spéciaux: La ptose a diminué la sensibilité cornéenne des cystoïdes maculaires de perturbations visuelles, y compris les changements de réfraction et la diplopie pseudopemphigoïde et les acouphènes; Urogénital: La fibrose rétropéritonéale a diminué l'impuissance de la libido et la maladie de Peyronie; Musculo-squelette: Myalgie.

Expérience de commercialisation de la poste

Les effets indésirables suivants ont été identifiés lors de l'utilisation post-approbation de COSOPT. Étant donné que ces réactions sont signalées volontairement à partir d'une population de taille incertaine, il n'est pas toujours possible d'estimer de manière fiable leur fréquence ou d'établir une relation causale à l'exposition au médicament: Bradycardie Insuffine syndrome de nécrolyse épidermique toxique paresthésie photophobie insuffisance respiratoire cutanée éruption cutanée urolithiase et vomissements.

Timolol (administration orale)

Les effets indésirables supplémentaires suivants ont été signalés dans une expérience clinique avec le maléate de timolol oral ou d'autres agents bêta oraux et peuvent être considérés comme des effets potentiels du maléate de timolol ophtalmique: Allergique: La fièvre érythémateuse combinée avec un laryngospasme douloureux et mal de gorge avec détresse respiratoire; Corps dans son ensemble: La douleur à l'extrémité a diminué la perte de poids de la tolérance à l'exercice; Cardiovasculaire: L'aggravation de la vasodilatation d'insuffisance artérielle; Digestif: Hepatomégalie gastro-intestinale Hepatomégalie Mésentérique Thrombose artérielle Colite ischémique; Hématologique: Purpura non thrombocytopénique; thrombocytopénique purpura agranulocytose; Endocrine: Hypoglycémie hyperglycémie; Peau: L'irritation cutanée du prurit a augmenté la transpiration de la pigmentation; Musculo-squelette: Arthralgia; Système nerveux / psychiatrique: La faiblesse locale des vertiges a diminué la concentration dépression mentale réversible progressant vers la catatonie Un syndrome réversible aigu caractérisé par une désorientation pour le temps et la place émotionnelle légèrement obscurci le sensorium et une diminution des performances sur la neuropsychométrie; Respiratoire: Obstruction bronchique des rales; Urogénital: difficultés de miction.

Interactions médicamenteuses for Cosopt

Inhibiteurs buccaux de l'anhydrase carbonique

Il existe un potentiel pour un effet additif sur les effets systémiques connus de l'inhibition de l'anhydrase carbonique chez les patients recevant un inhibiteur oral de l'anhydrase carbonique et COSOPT. L'administration concomitante des inhibiteurs de l'anhydrase carbonique COSOPT et orale n'est pas recommandée.

Thérapie à forte dose

Bien que les perturbations acides et électrolytes n'aient pas été signalées dans les essais cliniques avec une solution ophtalmique de chlorhydrate de dorzolamide, ces perturbations ont été rapportées avec des inhibiteurs de l'anhydrase carbonique orale et ont entraîné dans certains cas des interactions médicamenteuses (par exemple la toxicité associée à une thérapie à salicylate à forte dose). Par conséquent, le potentiel de ces interactions médicamenteuses doit être pris en compte chez les patients recevant COSOPT.

Agents de blocage bêta-adrénergique

Les patients qui reçoivent un agent de blocage bêta-adrénergique oralement et COSOPT doivent être observés pour les effets additifs potentiels de la bêta-blockade à la fois systémique et sur la pression intraoculaire. L'utilisation concomitante de deux agents de blocage topique bêta-adrénergique n'est pas recommandée.

Antagonistes du calcium

La prudence doit être utilisée dans la co-administration d'agents de blocage bêta-adrénergique tels que les antagonistes de calcium Cosopt et oraux ou intraveineux en raison des éventuelles perturbations de la conduction atrioventriculaire, défaillance ventriculaire gauche et hypotension. Chez les patients atteints de la fonction cardiaque altérée, la co-administration doit être évitée.

Médicaments appauvrissants de la catécholamine

Une observation étroite du patient est recommandée lorsqu'un bêta-bloquant est administré aux patients recevant catécholamine -Les médicaments de transport tels que la reserpine en raison des effets additifs possibles et de la production d'hypotension et / ou de bradycardie marquée qui peut entraîner une syncope vertige ou une hypotension posturale.

Digitalis et antagonistes du calcium

L'utilisation concomitante d'agents de blocage bêta-adrénergique avec des digitalis et des antagonistes du calcium peut avoir des effets additifs dans la prolongation du temps de conduction atrioventriculaire.

Inhibiteurs du CYP2D6

La bêta-blocage systémique potentialisée (par exemple une diminution de la dépression du rythme cardiaque) a été signalée pendant le traitement combiné avec des inhibiteurs du CYP2D6 (par exemple les ISRS de quinidine) et le Timolol.

Clonidine

Les agents de blocage bêta-adrénergiques oraux peuvent exacerber l'hypertension du rebond qui peut suivre le retrait de la clonidine. Il n'y a eu aucun rapport d'exacerbation de l'hypertension rebond avec maléate de timolol ophtalmique.

Avertissements pour Cosopt

Inclus dans le cadre du PRÉCAUTIONS section.

Avantages et effets secondaires des baies de l'aubépine

Précautions pour Cosopt

Potentialisation des réactions respiratoires, y compris l'asthme

Cosopt contient du maléate de timolol un agent de blocage bêta-adrénergique; et bien que l'administration topique soit absorbée de manière systématique. Par conséquent, les mêmes types de réactions indésirables qui sont attribuables à l'administration systémique d'agents de blocage bêta-adrénergique peuvent se produire avec l'administration topique. Par exemple, des réactions respiratoires sévères, y compris la mort due au bronchospasme chez les patients souffrant d'asthme et rarement la mort en association avec une insuffisance cardiaque, une administration systémique ou ophtalmique de maléate de timolol [voir Contre-indications ].

Insuffisance cardiaque

La stimulation sympathique peut être essentielle pour le soutien de la circulation chez les individus avec une diminution de la contractilité myocardique et son inhibition par le blocage des récepteurs bêta-adrénergiques peut précipiter une défaillance plus grave.

Chez les patients sans antécédents d'insuffisance cardiaque, la dépression continue du myocarde avec des agents de blocage bêta sur une période de temps peut dans certains cas entraîner une insuffisance cardiaque. Au premier signe ou symptôme de l'insuffisance cardiaque, le cosopt doit être interrompu [voir Contre-indications ].

Hypersensibilité sulfonamide

Cosopt contient du dorzolamide un sulfonamide; et bien que administré par voie topique, il est absorbé systématiquement. Par conséquent, les mêmes types de réactions indésirables qui sont attribuables aux sulfonamides peuvent se produire avec l'administration topique de COSOPT. Les décès se sont produits bien que rarement en raison de réactions graves aux sulfonamides, notamment le syndrome toxique de Stevens-Johnson Nécrolyse épidermique toxique nécrose hépatique fulminante agranulocytose anémie aplasique et autres dyscrasies sanguines. La sensibilisation peut se reproduire lorsqu'un sulfonamide est réadministré, quelle que soit la voie d'administration. Si des signes de réactions graves ou d'hypersensibilité se produisent, arrêtez l'utilisation de cette préparation [voir Contre-indications ].

Maladie pulmonaire obstructive

Les patients atteints de maladie pulmonaire obstructive chronique (par exemple la bronchite chronique emphysème) de la gravité légère ou modérée de la gravité de la maladie bronchospastique ou des antécédents de maladie bronchospastique (autre que l'asthme bronchique ou des antécédents d'asthme bronchique dans lesquels le cosopt est contre-indiqué) devrait en général ne pas recevoir de bêta-agents comprenant le cosopt [voir [voir voir), en général, ne pas recevoir de bêta-agents comprenant la cosopt [voir [voir voir), en général, ne pas recevoir de bêta-agents, dont le cosopt [voir [voir voir), en général, ne recevant pas de bêta-agents, dont Cosopt [voir [voir voir), en général, ne pas recevoir de bêta-agents, dont le cosopt [voir [voir voir), en général, ne recevant pas de bêta-agents, dont Cosopt [voir, le cosopt est contre Contre-indications ].

Réactivité accrue aux allergènes

Tout en prenant des bêta-bloquants ayant des antécédents d'atopie ou des antécédents de réactions anaphylactiques graves à une variété d'allergènes peut être plus réactive à un défi diagnostique accidentel ou thérapeutique répété avec de tels allergènes. Ces patients peuvent ne pas répondre aux doses habituelles d'épinéphrine utilisées pour traiter les réactions anaphylactiques.

Potentialisation de la faiblesse musculaire

Il a été rapporté que le blocage bêta-adrénergique potentialise la faiblesse musculaire compatible avec certains symptômes myasthéniques (par exemple la ptose de la diplopie et la faiblesse généralisée). Il a été rapporté que le Timolol augmente la faiblesse musculaire chez certains patients atteints de myasthénie grave ou de symptômes myasthéniques.

Masquage des symptômes hypoglycémiques chez les patients atteints de diabète sucré

Les agents de blocage bêta-adrénergiques doivent être administrés avec prudence chez les patients soumis à une hypoglycémie spontanée ou à des patients diabétiques (en particulier ceux atteints de diabète labile) qui reçoivent de l'insuline ou des agents hypoglycémiques oraux. Les agents de blocage des récepteurs bêta-adrénergiques peuvent masquer les signes et symptômes de l'hypoglycémie aiguë.

Masquage de la thyrotoxicose

Les agents de blocage bêta-adrénergique peuvent masquer certains signes cliniques (par exemple la tachycardie) de l'hyperthyroïdie. Les patients soupçonnés de développer une thyrotoxicose devraient être gérés avec soin pour éviter un retrait brutal d'agents de blocage bêta-adrénergique qui pourraient précipiter une tempête thyroïdienne.

Troubles rénaux et hépatiques

Le dorzolamide n'a pas été étudié chez des patients atteints d'une insuffisance rénale sévère (CRCL <30 mL/min). Because dorzolamide and its metabolite are excreted predominantly by the kidney COSOPT is not recommended in such patients.

Le dorzolamide n'a pas été étudié chez les patients souffrant de troubles hépatiques et doit donc être utilisé avec prudence chez ces patients.

Altération des réflexes à médiation bêta-adrénergique pendant la chirurgie

La nécessité ou l'opportunité du retrait des agents de blocage bêta-adrénergique avant la chirurgie majeure est controversée. Le blocage des récepteurs bêta-adrénergiques altère la capacité du cœur à répondre aux stimuli réflexes médiés par bêta-drénergiquement. Cela peut augmenter le risque d'anesthésie générale dans les procédures chirurgicales. Certains patients recevant des agents de blocage des récepteurs bêta-adrénergiques ont connu une hypotension sévère prolongée pendant l'anesthésie. Des difficultés à redémarrer et à maintenir le rythme cardiaque ont également été signalées. Pour ces raisons chez les patients subissant une chirurgie élective, certaines autorités recommandent le retrait progressif des agents de blocage des récepteurs bêta-adrénergiques.

Si nécessaire pendant la chirurgie, les effets des agents de blocage bêta-adrénergiques peuvent être inversés par des doses suffisantes d'agonistes adrénergiques.

Endothélium cornéen

L'activité de l'anhydrase carbonique a été observée à la fois dans le cytoplasme et autour des membranes plasmiques de l'endothélium cornéen. Il existe un potentiel accru de développer un œdème cornéen chez les patients avec un nombre de cellules endothéliales faible. La prudence doit être utilisée lors de la prescription de COSOPT à ce groupe de patients.

Kératite bactérienne

Il y a eu des rapports de kératite bactérienne associée à l'utilisation de conteneurs à dose multiple de produits ophtalmiques topiques. Ces conteneurs avaient été contaminés par inadvertance par les patients qui, dans la plupart des cas, avaient une maladie cornéenne simultanée ou une perturbation de l'épithélial oculaire.

Informations de conseil des patients

Conseiller au patient de lire l'étiquetage des patients approuvé par la FDA ( Informations et instructions pour les patients pour une utilisation ).

Potentiel d'exacerbation de l'asthme et de la MPOC

Le cosopt peut provoquer une aggravation sévère des symptômes de l'asthme et de la MPOC, y compris la mort due au bronchospasme. Conseiller les patients atteints d'asthme bronchique des antécédents d'asthme bronchique ou de maladie pulmonaire obstructive chronique sévère pour ne pas prendre ce produit. [voir Contre-indications ].

Potentiel des effets cardiovasculaires

Le cosopt peut provoquer une aggravation des symptômes cardiaques. Conseiller les patients atteints de bradycardie sinusale au deuxième ou au troisième degré, bloc auriculo-ventriculaire ou insuffisance cardiaque à ne pas prendre ce produit. [voir Contre-indications ].

Réactions de sulfonamide

Cosopt contient du dorzolamide (qui est un sulfonamide) et bien que administré par voie topique est absorbé systémiquement. Par conséquent, les mêmes types de réactions indésirables qui sont attribuables aux sulfonamides peuvent se produire avec l'administration topique, y compris des réactions cutanées sévères. Conseillez les patients selon lesquels si des réactions graves ou inhabituelles ou des signes d'hypersensibilité se produisent, ils devraient interrompre l'utilisation du produit et demander les conseils de leur médecin. [voir Avertissements et précautions ].

Manipulation des solutions ophtalmiques

Instruisez les patients que les solutions oculaires si elles sont manipulées de manière incorrecte ou si la pointe du récipient de distribution contacte l'œil ou les structures environnantes peut devenir contaminée par des bactéries courantes connues pour provoquer des infections oculaires. Des dommages graves à l'œil et une perte de vision ultérieure peuvent résulter de l'utilisation de solutions contaminées. [voir Avertissements et précautions ].

Conditions oculaires intercurrentes

Conseillez les patients que s'ils subissent une chirurgie oculaire ou développent une condition oculaire intercurrente (par exemple, traumatisme ou infection), ils devraient immédiatement demander les conseils de leur médecin concernant l'utilisation continue du conteneur multidose actuel.

Thérapie oculaire topique concomitante

Si plus d'un médicament ophtalmique topique est utilisé, les médicaments doivent être administrés à au moins cinq minutes d'intervalle.

Utilisation de la lentille de contact

Conseillez les patients que COSOPT contient du chlorure de benzalkonium qui peut être absorbé par des lentilles de contact doux. Les lentilles de contact doivent être supprimées avant l'administration de la solution. Les lentilles peuvent être réinsérées 15 minutes après l'administration de Cosopt.

Toxicologie non clinique

Carcinogenèse Mutagenèse A trouble de la fertilité

Dans une étude de deux ans sur le chlorhydrate de dorzolamide administré par voie orale aux rats mâles et femelles des rats de la vessie urinaire, ont été observés chez des rats mâles dans le groupe dose de dose de 20 mg / kg / jour (250 fois la dose ophtalmique humaine recommandée). Les papillomes n'ont pas été observés chez le rat, des doses orales équivalent à environ 12 fois la dose ophtalmique humaine recommandée. Aucune tumence liée au traitement n'a été observée dans une étude de 21 mois chez des souris femelles et mâles, des doses orales jusqu'à 75 mg / kg / jour (~ 900 fois la dose ophtalmique humaine recommandée).

The increased incidence of urinary bladder papillomas seen in the high-dose male rats is a class-effect of carbonic anhydrase inhibitors in rats. Rats are particularly prone to developing papillomas in response to foreign bodies compounds causing crystalluria and diverse sodium salts.

Aucun changement dans l'urothélium de la vessie n'a été observé chez le chlorhydrate de dorzolamide donné pendant un an à 2 mg / kg / jour (25 fois la dose ophtalmique humaine recommandée) ou des singes dosés par voie topique à l'œil à 0,4 mg / kg / jour (~ 5 fois la dose ophtalmique humaine recommandée) pendant une année.

Dans une étude de deux ans sur le maléate de Timolol administré par voie orale aux rats, il y a eu une augmentation statistiquement significative de l'incidence des phéochromocytomes surrénaliens chez les rats mâles administrés 300 mg / kg / jour (environ 42000 fois l'exposition systémique après la dose ophtalmique humaine recommandée maximale). Des différences similaires n'ont pas été observées chez les doses orales administrées par des rats équivalentes à environ 14 000 fois la dose ophtalmique humaine maximale recommandée.

Dans une étude orale à vie du maléate de timolol chez la souris, il y a eu des augmentations statistiquement significatives de l'incidence des tumeurs bénignes et malignes des polypes utérines bénignes et des adénocarcinomes mammaires chez les souris femelles à 500 mg / kg / jour (environ 71000 fois l'exposition systémique suivant le maximum d'ophtalmum recommandé) (Environ 700 ou 7000 respectivement, une exposition systémique après la dose ophtalmique humaine maximale recommandée). Dans une étude ultérieure chez les souris femelles dans lesquelles les examens post mortem étaient limités à l'utérus et aux poumons, une augmentation statistiquement significative de l'incidence des tumeurs pulmonaires a de nouveau été observée à 500 mg / kg / jour.

L'augmentation de l'occurrence d'adénocarcinomes mammaires a été associée à des élévations de la prolactine sérique qui s'est produite chez des souris femelles administrées par le timolol oral à 500 mg / kg / jour mais pas à des doses de 5 ou 50 mg / kg / jour. Une incidence accrue d'adénocarcinomes mammaires chez les rongeurs a été associée à l'administration de plusieurs autres agents thérapeutiques qui augmentent la prolactine sérique, mais aucune corrélation entre les taux sériques de prolactine et les tumeurs mammaires n'a été établie chez l'homme. De plus, chez les sujets féminins humains adultes qui ont reçu des doses orales allant jusqu'à 60 mg de maléate de timolol (la posologie orale humaine maximale recommandée), il n'y a eu aucun changement cliniquement significatif dans la prolactine sérique.

Les tests suivants pour le potentiel mutagène étaient négatifs pour le dorzolamide: (1) test cytogénétique in vivo (souris); (2) test d'aberration chromosomique in vitro; (3) essai d'élution alcaline; (4) test V-79; et (5) test Ames.

Le maléate de timolol était dépourvu de potentiel mutagène lorsqu'il était testé in vivo (souris) dans le test du micronucléus et le test cytogénétique (doses jusqu'à 800 mg / kg) et in vitro dans un test de transformation cellulaire néoplasique (jusqu'à 100 mcg / ml). Dans les tests d'Ames, les concentrations les plus élevées de timolol utilisé 5000 ou 10000 mcg / plaque ont été associées à des élévations statistiquement significatives de réversions observées avec la déformation des testeurs TA100 (dans sept tests répliqués) mais pas dans les trois souches restantes. Dans les tests avec déformation du testeur TA100, aucune relation de réponse à la dose cohérente n'a été observée et le rapport de test pour contrôler les réversions n'a pas atteint 2. Un rapport de 2 est généralement considéré comme le critère d'un test AMES positif.

Les études de reproduction et de fertilité chez le rat avec du maléate de timolol ou de chlorhydrate de dorzolamide ont démontré aucun effet indésirable sur la fertilité masculine ou féminine à des doses jusqu'à environ 100 fois l'exposition systémique après la dose maximale recommandée par l'ophtalme humain.

Utiliser dans des populations spécifiques

Grossesse

Effets tératogènes

Les études de toxicité du développement avec du chlorhydrate de dorzolamide chez les lapins à des doses orales de ≥2,5 mg / kg / jour (37 fois la dose ophtalmique humaine recommandée) ont révélé des malformations des corps vertébraux. Ces malformations se sont produites à des doses qui ont provoqué une acidose métabolique avec une diminution du gain de poids corporel dans les barrages et une diminution du poids fœtal. Aucune malformation liée au traitement n'a été observée à 1 mg / kg / jour (15 fois la dose ophtalmique humaine recommandée).

Quel type de médicament est l'alprazolam

Les études de tératogénicité avec du timolol chez des rats de souris et des lapins à des doses orales jusqu'à 50 mg / kg / jour (7000 fois l'exposition systémique après la dose ophtalmique humaine maximale recommandée) n'ont montré aucune preuve de malformations fœtales. Bien que l'ossification fœtale retardée ait été observée à cette dose chez le rat, il n'y a eu aucun effet indésirable sur le développement postnatal de la progéniture. Les doses de 1000 mg / kg / jour (142000 fois l'exposition systémique après la dose ophtalmique humaine maximale recommandée) étaient maternotoxiques chez la souris et ont entraîné une augmentation du nombre de résorption fœtale. Une augmentation des résorption fœtale a également été observée chez le lapin à des doses de 14 000 fois l'exposition systémique après la dose ophtalmique humaine maximale recommandée dans ce cas sans maternotoxicité apparente.

Il n'y a pas d'études adéquates et bien contrôlées chez les femmes enceintes. Le cosopt ne doit être utilisé pendant la grossesse que si le bénéfice potentiel justifie le risque potentiel pour le fœtus.

Mères qui allaitent

On ne sait pas si le dorzolamide est excrété dans le lait maternel. Le maléate de Timolol a été détecté dans le lait maternel suivant l'administration de médicaments oraux et ophtalmiques. En raison du potentiel de réactions indésirables graves de la part de la COSOPT chez les nourrissons en soins infirmiers, une décision doit être prise de cesser les soins infirmiers ou de cesser le médicament en tenant compte de l'importance du médicament pour la mère.

Usage pédiatrique

La sécurité et l'efficacité de la solution ophtalmique de chlorhydrate de dorzolamide et de la solution ophtalmique du maléate de timolol ont été établies lorsqu'ils sont administrés individuellement chez des patients pédiatriques âgés de 2 ans et plus. L'utilisation de ces médicaments chez ces enfants est étayée par des preuves d'études adéquates et bien contrôlées chez les enfants et les adultes. La sécurité et l'efficacité chez les patients pédiatriques de moins de 2 ans n'ont pas été établies.

Utilisation gériatrique

Aucune différence globale de sécurité ou d'efficacité n'a été observée entre les patients âgés et les patients plus jeunes.

Informations sur la surdose pour Cosopt

Des symptômes conformes à l'administration systémique de bêta-bloquants ou d'inhibiteurs de l'anhydrase carbonique peuvent survenir, notamment le développement du déséquilibre électrolytique d'un état de tête de maux de tête des étourdissements à l'état acidotique de Bradycardia Bronchospasme arrêt cardiaque et des effets possibles du système nerveux central. Les taux d'électrolytes sériques (en particulier le potassium) et les taux de pH sanguin doivent être surveillés. [Voir Effets indésirables ]

Une étude de patients atteints d'insuffisance rénale a montré que Timolol ne dialyserait pas facilement.

Contre-indications pour cosopt

MPOC de l'asthme

Le cosopt est contre-indiqué chez les patients souffrant d'asthme bronchique A antécédents d'asthme bronchique ou de maladie pulmonaire obstructive chronique sévère [voir Avertissements et précautions ].

Sinus Bradycardia AV Block Insuffisance cardiaque choc cardiogénique

Le cosopt est contre-indiqué chez les patients atteints de bradycardie sinus Avertissements et précautions ].

Hypersensibilité

COSOPT est contre-indiqué chez les patients hypersensibles à tout composant de ce produit [voir Avertissements et précautions ].

Pharmacologie clinique for Cosopt

Mécanisme d'action

Le cosopt est composé de deux composants: le chlorhydrate de dorzolamide et le maléate de timolol. Chacun de ces deux composants diminue une pression intraoculaire élevée, qu'elle soit associée ou non au glaucome en réduisant la sécrétion d'humour aqueuse. Une pression intraoculaire élevée est un facteur de risque majeur dans la pathogenèse des lésions du nerf optique et la perte de champ visuel glaucomateuse. Plus le niveau de pression intraoculaire est élevé, plus la probabilité de perte de champ glaucomateuse et de lésions optiques.

Le chlorhydrate de dorzolamide est un inhibiteur de l'anhydrase carbonique humaine II. L'inhibition de l'anhydrase carbonique dans les processus ciliaires de l'œil diminue vraisemblablement la sécrétion d'humour aqueuse en ralentissant la formation d'ions bicarbonate avec une réduction ultérieure du transport de sodium et de liquide. Le maléate Timolol est un agent de blocage des récepteurs adrénergiques Beta1 et Beta2 (non sélectif) qui n'a pas d'activité d'activité intrinsèque de myocarde directe (stabilisant la membrane locale intrinsèque. L'effet combiné de ces deux agents administrés sous forme de COSOPT deux fois par jour entraîne une réduction de pression intraoculaire supplémentaire par rapport à l'un ou l'autre composant administré seul, mais la réduction n'est pas autant que lorsque le dorzolamide administré trois fois par jour et le timolol deux fois par jour sont administrés de manière concomitante. [Voir Études cliniques ]

Pharmacocinétique

Chlorhydrate de dorzolamide

Une fois appliqué par voie topique, le Dorzolamide atteint la circulation systémique. Pour évaluer le potentiel d'inhibition systémique de l'anhydrase carbonique après les concentrations d'administration topique et de métabolites dans les globules rouges et l'inhibition du plasma et de l'anhydrase carbonique dans les globules rouges a été mesurée. Le dorzolamide s'accumule dans les globules rouges pendant la possibilité de dose chronique en raison de la liaison au CA-II. Le médicament parent forme un seul métabolite N-dééthyle qui inhibe le Ca-II moins puissant que le médicament parent mais inhibe également le Ca-I. Le métabolite s'accumule également dans les globules rouges où il se lie principalement au Ca-I. Les concentrations plasmatiques de dorzolamide et de métabolite sont généralement inférieures à la limite du test de quantification (15 nm). Le dorzolamide se lie modérément aux protéines plasmatiques (environ 33%).

Le dorzolamide est principalement excrété inchangé dans l'urine; Le métabolite est également excrété dans l'urine. Une fois le dosage à l'arrêt du Dorzolamide, les lavages des globules rouges sans linéaire entraînant un déclin rapide de la concentration de médicament initialement suivi d'une phase d'élimination plus lente avec une demi-vie d'environ quatre mois.

Pour simuler l'exposition systémique après administration oculaire topique à long terme, le dorzolamide a été donné par voie orale à huit sujets sains jusqu'à 20 semaines. La dose orale de 2 mg deux fois par jour rapproche de près la quantité de médicament délivrée par l'administration oculaire topique de dorzolamide 2% trois fois par jour. L'état d'équilibre a été atteint dans les 8 semaines. L'inhibition des activités de CA-II et d'anhydrase carbonique totale était inférieure au degré d'inhibition qui devrait être nécessaire pour un effet pharmacologique sur la fonction rénale et la respiration chez les individus en bonne santé.

Maleate Timolol

Dans une étude des concentrations de médicament plasmatique chez six sujets, l'exposition systémique au Timolol a été déterminée après l'administration topique deux fois par jour de la solution ophtalmique de maléate Timolol 0,5%. La concentration plasmatique maximale moyenne du matin après le dosage du matin était de 0,46 ng / ml.

Études cliniques

Des études cliniques d'une durée de 3 à 15 mois ont été menées pour comparer l'effet hypothéquent au cours de la journée de Cosopt deux fois par jour (dosed le matin et le coucher) à l'administration individuelle et concomitante de 0,5% de Timolol deux fois par jour et à 2% de dorzolamide deux fois et trois fois par jour. L'effet hypotesqueur de la PIO de COSOPT deux fois par jour était plus élevé (1 à 3 mmHg) que celui de la monothérapie avec 2% de dorzolamide trois fois par jour, soit 0,5% de timolol deux fois par jour. L'effet hypoli en IOP de COSOPT deux fois par jour était d'environ 1 mmHg de moins que celui de la thérapie concomitante avec 2% de dorzolamide trois fois par jour et 0,5% de timolol deux fois par jour.

Des extensions en libre étiquette de deux études ont été menées jusqu'à 12 mois. Au cours de cette période, l'effet dégagé de la PIO de COSOPT deux fois par jour était cohérent au cours de la période de suivi de 12 mois.

Informations sur les patients pour cosopt

Cosopt®
(Co-sopt)
(Solution ophtalmique du chlorhydrate de dorzolamide et du maléate de Timolol) pour une utilisation ophtalmique topique

Qu'est-ce que Cosopt?

COSOPT est une solution de chute des yeux sur ordonnance qui contient deux médicaments chlorhydrate de dorzolamide appelé inhibiteur de l'anhydrase carbonique ophtalmique et maléate de timolol appelé bêta-bloquant.

Le cosopt est utilisé pour abaisser la haute pression dans l'œil chez les personnes atteintes d'un glaucome à angle ouvert ou d'une hypertension oculaire lorsqu'un médicament bêta-bloquant seul ne fonctionne pas pour contrôler la pression oculaire. On ne sait pas si Cosopt est sûr et efficace chez les enfants de 2 ans et moins.

N'utilisez pas Cosopt si vous:

  • ont ou ont eu de l'asthme.
  • ont une maladie pulmonaire obstructive chronique (MPOC) qui comprend une bronchite chronique d'emphysème ou les deux.
  • Avoir des problèmes cardiaques, y compris une insuffisance cardiaque du bloc cardiaque du cœur lent ou votre muscle cardiaque devient soudainement faible en raison d'une crise cardiaque sévère ou d'un autre problème cardiaque qui a causé des lésions cardiaques (choc cardiogénique).
  • sont allergiques à l'un des ingrédients de Cosopt. Voir la fin de ce dépliant d'information du patient pour une liste complète des ingrédients dans Cosopt.

Avant d'utiliser Cosopt, dites à votre fournisseur de soins de santé de toutes vos conditions médicales, y compris si vous:

  • ont ou ont eu des allergies aux médicaments sulfa
  • ont des antécédents de réactions anaphylactiques aux allergènes
  • avoir une atopie (disposition génétique pour développer des réactions allergiques)
  • ont ou ont eu une faiblesse musculaire ou de la myasthénie grave
  • avoir le diabète
  • avoir une maladie thyroïdienne
  • ont ou ont eu des problèmes de rein ou de foie
  • prévoyez d'avoir tout type de chirurgie
  • porter des lentilles de contact
  • utilisent toutes les autres gouttes pour les yeux
  • avoir une infection oculaire ou un traumatisme oculaire
  • sont enceintes ou prévoient de devenir enceintes. On ne sait pas si Cosopt nuira à votre bébé à naître. Dites immédiatement votre professionnel de la santé si vous tombez enceinte en utilisant Cosopt. Vous et votre fournisseur de soins de santé déciderez si vous devriez utiliser Cosopt pendant que vous êtes enceinte.
  • allaitent ou prévoient d'allaiter. On ne sait pas si Cosopt passe dans le lait maternel. Parlez à votre fournisseur de soins de santé de la meilleure façon de nourrir votre bébé tout en utilisant Cosopt.

Parlez à votre fournisseur de soins de santé de tous les médicaments que vous prenez, y compris les vitamines et suppléments à base de plantes sur ordonnance et sur-thecounter.

COSOPT peut affecter le fonctionnement des médicaments et d'autres médicaments peuvent affecter le fonctionnement du COSOPT. Ne démarrez pas un nouveau médicament sans d'abord parler à votre fournisseur de soins de santé. Demandez à votre fournisseur de soins de santé ou à votre pharmacien une liste de médicaments que vous utilisez si vous n'êtes pas sûr. Connaissez les médicaments que vous prenez. Gardez une liste d'entre eux et montrez-le à votre fournisseur de soins de santé et à votre pharmacien lorsque vous obtenez un nouveau médicament.

Comment dois-je utiliser Cosopt?

Qu'est-ce que la crème acyclovir utilisée pour
  • Voir les instructions complètes pour une utilisation à la fin de ce dépliant d'information du patient pour des instructions détaillées sur la bonne façon d'utiliser Cosopt.
  • Utilisez COSOPT exactement comme vous le dit votre fournisseur de soins de santé.
  • Utilisez 1 goutte de cosopt dans l'œil affecté ou les deux yeux si nécessaire 2 fois par jour. 1 goutte le matin et 1 chute le soir.
  • Si vous utilisez Cosopt avec une autre piolet Attendez au moins 5 minutes avant ou après avoir utilisé Cosopt.
  • Si vous avez une chirurgie oculaire ou si vous avez des problèmes avec vos yeux, comme un traumatisme ou une infection, parlez à votre professionnel de la santé de continuer à utiliser la bouteille (multidose) qui contient COSOPT.
  • Cosopt contient un conservateur appelé chlorure de benzalkonium. Le conservateur peut être absorbé par des lentilles de contact souples. Si vous portez des lentilles de contact, retirez-les avant d'utiliser Cosopt. Les lentilles peuvent être placées dans vos yeux 15 minutes après avoir utilisé Cosopt.
  • Ne pas Touchez votre œil ou votre paupière avec la pointe du compte-gouttes. Les médicaments oculaires non manipulés de la bonne façon peuvent devenir contaminés par des bactéries qui peuvent provoquer des infections oculaires. Des dommages graves à l'œil et suivis d'une perte de vision peuvent se produire en utilisant des médicaments contre les yeux contaminés. Si vous pensez que votre médecine COSOPT peut être contaminé ou si vous développez une infection oculaire, contactez votre fournisseur de soins de santé immédiatement pour continuer à utiliser votre bouteille de cosopt.
  • Si vous utilisez trop de cosopt, vous pouvez avoir des maux de tête étourdis pour la respiration des battements cardiaques ou des problèmes de respiration. Si vous avez l'un de ces symptômes, appelez votre fournisseur de soins de santé ou allez immédiatement aux urgences de l'hôpital le plus proche.

Quels sont les effets secondaires possibles de Cosopt?

Cosopt peut provoquer des effets secondaires graves, notamment:

  • Problèmes respiratoires graves. Ces problèmes respiratoires peuvent se produire chez les personnes souffrant d'asthme une maladie pulmonaire obstructive chronique ou une insuffisance cardiaque et peuvent provoquer la mort. Dites immédiatement votre professionnel de la santé si vous avez des problèmes de respiration lors de l'utilisation de Cosopt.
  • insuffisance cardiaque. Cela peut se produire chez des personnes qui ont déjà une insuffisance cardiaque et chez des personnes qui n'ont jamais eu d'insuffisance cardiaque auparavant. Dites immédiatement votre fournisseur de soins de santé si vous obtenez l'un de ces symptômes d'insuffisance cardiaque tout en prenant Cosopt:
    • essoufflement
    • battement cardiaque irrégulier (palpitations)
    • gonflement de vos chevilles ou pieds
    • gain de poids soudain
  • Réactions graves de sulfa (sulfonamide). Des réactions graves, y compris la mort, peuvent survenir chez les personnes allergiques aux médicaments sulfonamides comme l'un des médicaments de Cosopt. D'autres réactions graves peuvent inclure:
    • Réactions de la peau sévères
    • problèmes de foie
    • problèmes de sang
  • Arrêtez d'utiliser Cosopt et appelez votre fournisseur de soins de santé ou obtenez une aide d'urgence immédiatement si vous obtenez l'un de ces symptômes d'une réaction allergique:
    • gonflement de ton visage lèvres bouche ou langue
    • difficulté à respirer
    • respiration sifflante
    • démangeaisons sévères
    • Redness ou gonflement des éruptions cutanées
    • vertiges or fainting
    • rythme cardiaque rapide ou battant dans votre poitrine
    • transpiration
  • Augmentation des réactions allergiques. Les personnes qui ont des antécédents génétiques de développement d'allergies (atopie) ou qui ont des antécédents de réactions anaphylactiques graves de différents allergènes peuvent avoir accru les réactions allergiques tout en prenant des bêta comme l'un des médicaments de COSOPT. Votre dose habituelle d'épinéphrine utilisée pour traiter vos réactions anaphylactiques peut ne pas fonctionner aussi bien. Arrêtez d'utiliser Cosopt et appelez votre fournisseur de soins de santé ou obtenez une aide d'urgence immédiatement si vous obtenez l'un de ces symptômes d'une réaction allergique:
    • gonflement de ton visage lèvres bouche ou langue
    • difficulté à respirer
    • respiration sifflante
    • démangeaisons sévères
    • Redness ou gonflement des éruptions cutanées
    • vertiges or fainting
    • rythme cardiaque rapide ou battant dans votre poitrine
    • transpiration
  • aggraver la faiblesse musculaire. Les symptômes de faiblesse musculaire, y compris la double vision ou les paupières tombantes, peuvent se produire lors de l'utilisation de Cosopt. La faiblesse musculaire peut empirer chez les personnes qui ont déjà des problèmes de faiblesse musculaire comme la myasthénie grave.
  • gonflement de l'œil. Certaines personnes à faible nombre de certains types de cellules dans l'œil ont développé un œdème cornéen lors de l'utilisation de Cosopt. Appelez votre fournisseur de soins de santé si vous avez un gonflement dans vos yeux.

Les effets secondaires les plus courants de Cosopt comprennent:

  • brûlant
  • œil piquant
  • rougeur des yeux
  • vision floue
  • déchirant
  • démangeaisons des yeux
  • un goût aigre ou inhabituel après avoir mis vos piquant

Ce ne sont pas tous les effets secondaires possibles de Cosopt.

Appelez votre médecin pour des conseils médicaux sur les effets secondaires. Vous pouvez signaler les effets secondaires à la FDA au 1-800-FDA1088

Comment dois-je stocker Cosopt?

  • Stocker à 68 ° à 77 ° F (20 ° à 25 ° C).
  • Protéger de la lumière.
  • Ne pas Utilisez Cosopt après la date d'expiration de la bouteille.

Gardez Cosopt et tous les médicaments hors de portée des enfants.

Informations générales sur l'utilisation sûre et efficace de Cosopt.

Les médicaments sont parfois prescrits à des fins autres que celles énumérées dans une brochure d'information du patient. N'utilisez pas COSOPT pour une condition pour laquelle il n'a pas été prescrit. Ne donnez pas de cosopt à d'autres personnes même s'ils présentent les mêmes symptômes que vous. Cela peut leur faire du mal. Vous pouvez demander à votre pharmacien ou fournisseur de soins de santé pour des informations sur Cosopt qui sont écrits pour les professionnels de la santé.

Quels sont les ingrédients de Cosopt?

Ingrédients actifs: chlorhydrate de dorzolamide et maleat de timolol

Ingrédients inactifs: Hydroxyéthylcellulose de sodium Hydroxyéthylcellulose Hydroxyde de sodium Eau de mannitol pour l'injection et le chlorure de benzalkonium ajouté comme conservateur.

Instructions pour une utilisation

Cosopt®
(Co-sopt)
(Solution ophtalmique du chlorhydrate de dorzolamide et du maléate de Timolol) pour une utilisation ophtalmique topique

Lisez ces instructions à utiliser avant de commencer à utiliser Cosopt et chaque fois que vous obtenez une recharge. Il peut y avoir de nouvelles informations. Cette brochure ne prend pas la place de parler à votre fournisseur de soins de santé de votre état de santé ou de votre traitement.

Informations importantes:

  • Cosopt est à utiliser dans l'œil.
  • Si vous utilisez Cosopt avec une autre piolet Attendez au moins 5 minutes avant ou après avoir utilisé Cosopt.
  • Si vous portez des lentilles de contact, retirez-les avant d'utiliser Cosopt. Les lentilles peuvent être remises dans vos yeux 15 minutes après Utilisation de Cosopt.
  • Ne pas Touchez votre œil ou votre paupière avec la pointe du compte-gouttes. Les médicaments oculaires non manipulés de la bonne façon peuvent devenir contaminés par des bactéries qui peuvent provoquer des infections oculaires. Des dommages graves à l'œil et suivis d'une perte de vision peuvent se produire en utilisant des médicaments contre les yeux contaminés. Si vous pensez que votre médicament Cosopt peut être contaminé ou si vous développez une infection oculaire, contactez votre fournisseur de soins de santé immédiatement pour continuer à utiliser votre bouteille de cosopt.
  • Lavez-vous les mains avant chaque utilisation pour vous assurer de ne pas vous infecter les yeux tout en utilisant Cosopt.
  • Avant d'utiliser les yeux pour la première fois, assurez-vous que le joint de sécurité autour du capuchon n'est pas cassé. Si le sceau de sécurité est brisé, appelez votre pharmacien pour obtenir une nouvelle bouteille de cosopt.

Étape 1. Déchiron le sceau de sécurité.

Étape 2. Pour ouvrir la bouteille Cosopt, dévissez le bouchon en tournant dans le sens antihoraire.

Étape 3. Inclinez la tête en arrière. Tirez doucement la paupière inférieure vers le bas pour former une poche entre votre paupière et votre œil le look (voir la figure A).

Figure A

Étape 4. Tournez la bouteille Cosopt à l'envers.

Étape 5. Placez la pointe du compte-gouttes de la bouteille Cosopt près de votre œil, mais faites attention à ne pas toucher votre œil avec elle. Appuyez doucement légèrement sur la bouteille Cosopt avec votre pouce ou votre index jusqu'à ce qu'une goutte de Cosopt tombe dans votre œil (voir figure B).

Figure B

Étape 6. Répétez les étapes 4 et 5 avec l'autre œil si vous le faites pour le faire par votre fournisseur de soins de santé.

Étape 7. Remplacez le capuchon en tournant jusqu'à ce qu'il touche fermement la bouteille. Ne dépassez pas le capuchon.

Étape 8. Si vous utilisez des lentilles de contact, attendez au moins 15 minutes avant de les remettre dans vos yeux.

  • La pointe du compte-gouttes est conçue pour donner une seule goutte de cosopt. N'élargissez pas le trou de la pointe du compte-gouttes.
  • Après avoir utilisé toutes vos doses de cosopt, il y aura du cosopt dans la bouteille.
  • Il y a une quantité supplémentaire de cosopt qui a été ajoutée à la bouteille. Vous obtiendrez le montant total de Cosopt que votre médecin a prescrit.
  • Ne pas Essayez de retirer le médicament Cosopt supplémentaire de la bouteille.

Ces instructions pour une utilisation ont été approuvées par la Food and Drug Administration des États-Unis