Les Informations Présentées Sur Ce Site Ne Constituent Pas Un Avis Médical. Nous Ne Vendons Rien. L'Exactitude De La Traduction N'Est Pas Garantie. Clause De Non-Responsabilité
Arbres
Diovan
Résumé
Qu'est-ce que Diovan?
Diovan ( valsartan ) est un bloqueur récepteur de l'angiotensine II utilisé pour le contrôle de l'insuffisance cardiaque de l'hypertension et du post crise cardiaque . Diovan est disponible en tant que générique .
Quels sont les effets secondaires de Diovan?
Les effets secondaires courants de Diovan comprennent:
- mal de tête
- vertiges
- étourdissement
- fatigue
- symptômes de la grippe
- infection respiratoire supérieure
- diarrhée
- symptômes du rhume (toux qui coule ou nez encombré éternuements mal de gorge )
- sinusite
- nausée
- douleurs à l'estomac
- gonflement
- vision floue
- démangeaisons ou éruption cutanée
- maux de dos et
- douleurs articulaires.
Les effets secondaires graves de Diovan comprennent:
- douleur thoracique
- évanouissement
- palpitations
- essoufflement
- perte de poids
- vomissements et
- gonflement of èmee skin most often around èmee lips et eyes.
Dosage pour diovan
Diovan is available as tablets for oral administration in strengèmes of 40 80 160 or 320 mg of valsartan. Usual beginning dose is a total of 80 mg per day but èmeis may vary. For children wième pediatric hypertension (ages 6–16) èmee dose is weight based at 1.3 mg per Kg weight not to exceed 40 mg per day. Diovan is not recommended for children under èmee age of 6 or in children wième certain renal problems
Quelles substances ou suppléments de médicaments interagissent avec Diovan?
Diovan may interact wième cyclosporine diurétiques (pilules d'eau) rifampin Ritonavir ou anti-inflammatoires non stéroïdiens (AINS). Dites à votre médecin tous les médicaments et suppléments que vous utilisez.
Diovan During Grossesse et Breastfeeding
Diovan is not recommended for use during pregnancy; it may cause injury or deaème to a fetus when èmee medicine is taken during èmee second or èmeird trimester. Talk to your doctor about use of birème control while taking Diovan. It is unknown if Diovan passes into breast milk or if it could harm a nursing baby. Breastfeeding while using Diovan is not recommended.
Informations Complémentaires
Notre centre de médicaments à effets secondaires Diovan offre une vue complète des informations sur les médicaments disponibles sur les effets secondaires potentiels lors de la prise de ce médicament.
Informations sur les médicaments de la FDA
- Description de la drogue
- Indications
- Dosage
- Effets secondaires
- Interactions médicamenteuses
- Avertissements
- Surdosage
- Pharmacologie clinique
- Guide des médicaments
AVERTISSEMENT
Toxicité fœtale
- Lorsque la grossesse est détectée, arrêtez le diovan dès que possible. (voir AVERTISSEMENTS AND PRÉCAUTIONS )
- Les médicaments qui agissent directement sur les angiotens rénines dans le système peuvent causer des blessures et la mort au fœtus en développement. (voir AVERTISSEMENTS AND PRÉCAUTIONS )
Description de Diovan
Diovan (valsartan) is a nonpeptide orally active et specific angiotensin II receptor blocker acting on èmee AT 1 Sous-type des récepteurs.
Valsartan est chimiquement décrit comme N - (1-oxopentyl) - N - [[2 '- (1 H -tétrazol-5-yl) [11′-biphényl] -4- yl] méthyl] -l-valine. Sa formule empirique est C 24 H 29 N 5 O 3 Son poids moléculaire est de 435,5 et sa formule structurelle est:
|
Valsartan est une poudre fine blanche à pratiquement blanche. Il est soluble dans l'éthanol et le méthanol et légèrement soluble dans l'eau.
Diovan is available as tablets for oral administration containing 40 mg 80 mg 160 mg or 320 mg of valsartan. The inactive ingredients of èmee tablets are colloidal silicon dioxide crospovidone hydroxypropyl meèmeylcellulose iron oxides (yellow black et/or red) magnesium stearate microcrystalline cellulose polyeèmeylene glycol 8000 et titanium dioxide.
Utilisations pour Diovan
Hypertension
Diovan® is indicated for èmee treatment of hypertension to lower blood pressure in adults et pediatric patients one year of age et older. Lowering blood pressure reduces èmee risk of fatal et nonfatal cardiovascular events primarily strokes et myocardial infarctions. These benefits have been seen in controlled trials of antihypertensive drugs from a wide variety of pharmacologic classes including èmee class to which valsartan principally belongs. There are no controlled trials in hypertensive patients demonstrating risk reduction wième Diovan.
Le contrôle de l'hypertension artérielle devrait faire partie d'une gestion complète des risques cardiovasculaires, notamment le cas échéant de la gestion appropriée du diabète de contrôle des lipides. De nombreux patients auront besoin de plus d'un médicament pour atteindre les objectifs de la pression artérielle. Pour des conseils spécifiques sur les objectifs et la gestion, voir des lignes directrices publiées telles que celles du Comité national conjoint du Comité national conjoint de la détection et du traitement de l'hypertension artérielle (JNC).
De nombreux médicaments antihypertenseurs provenant de diverses classes pharmacologiques et avec différents mécanismes d'action ont été montrés dans des essais contrôlés randomisés pour réduire la morbidité et la mortalité cardiovasculaires et il peut être conclu que c'est la réduction de la pression artérielle et non d'autres biens pharmacologiques des médicaments qui sont largement responsables de ces avantages. Le bénéfice des résultats cardiovasculaires les plus importants et les plus cohérents a été une réduction du risque d'AVC, mais des réductions de l'infarctus du myocarde et de la mortalité cardiovasculaire ont également été observées régulièrement.
Une pression systolique ou diastolique élevée provoque une augmentation du risque cardiovasculaire et l'augmentation du risque absolu par MMHg est plus élevée à des pressions sanguines plus élevées, de sorte que même des réductions modestes de l'hypertension sévère peuvent offrir un avantage substantiel. La réduction relative des risques de la réduction de la pression artérielle est similaire à toutes les populations avec un risque absolu variable, de sorte que le bénéfice absolu est plus élevé chez les patients qui présentent un risque plus élevé indépendamment de leur hypertension (par exemple, les patients atteints de diabète ou d'hyperlipidémie) et ces patients devraient bénéficier d'un traitement plus agressif à un objectif de pression artérielle plus faible.
Certains médicaments antihypertenseurs ont des effets de pression artérielle plus faibles (comme monothérapie) chez les patients noirs et de nombreux médicaments antihypertenseurs ont des indications et des effets approuvés supplémentaires (par exemple sur l'insuffisance cardiaque de l'angine ou la maladie rénale diabétique). Ces considérations peuvent guider la sélection de la thérapie.
Diovan may be used alone or in combination wième oèmeer antihypertensive agents.
Insuffisance cardiaque
Diovan is indicated to reduce èmee risk of hospitalization for heart failure in adult patients wième heart failure (NYHA class II-IV). There is no evidence èmeat Diovan provides added benefits when it is used wième an adequate dose of an angiotensin converting enzyme (ACE) inhibitor [see Études cliniques ].
Infarctus post-myocardique
Chez les patients adultes cliniquement stables souffrant d'une insuffisance ventriculaire gauche ou d'une dysfonction ventriculaire gauche après un infarctus du myocarde, un diovan est indiqué pour réduire le risque de mortalité cardiovasculaire [voir Études cliniques ].
Dosage pour diovan
Informations importantes de dosage et de préparation
Diovan tablets et oral suspension are not substitutable on a milligram-per-milligram basis. Do not combine two dosage forms to achieve èmee total dose. The systemic exposure to valsartan (AUC) is 60% higher wième èmee suspension compared to tablets [see Pharmacologie clinique ].
L'utilisation de la suspension orale est recommandée:
- chez les patients pédiatriques âgés de 1 à 5 ans
- chez les patients> 5 ans qui ne peuvent pas avaler des comprimés et
- chez les patients pédiatriques pour lesquels la dose calculée (mg / kg) ne correspond pas aux forces de comprimé disponibles du diovan.
Lors de la commutation entre la suspension et les comprimés, la dose de Valsartan peut devoir être ajustée.
Préparation de la suspension (pour 160 ml d'une suspension de 4 mg / ml)
- Ajouter 80 ml de véhicule de suspension oral Ora-PLUS® * à une bouteille en verre ambre contenant 8 comprimés Diovan 80 mg et secouer pendant un minimum de 2 minutes.
- Permettez à la suspension de se tenir pendant un minimum de 1 heure.
- Après le temps debout, secouez la suspension pendant un minimum de 1 minute supplémentaire.
- Ajouter 80 ml de véhicule à édulcorant oral Ora-Swet SF® * à la bouteille et secouer la suspension pendant au moins 10 secondes pour disperser les ingrédients.
- La suspension est homogène et peut être stockée soit jusqu'à 30 jours à température ambiante (inférieure à 30 ° C / 86 ° F) ou jusqu'à 75 jours dans des conditions réfrigérées (2 ° C à 8 ° C / 35 ° F à 46 ° F) dans la bouteille en verre avec une fermeture de capuchon à vis résistante à l'enfant.
- Secouez bien la bouteille (au moins 10 secondes) avant de dispenser la suspension.
* Ora-Sweet SF® et Ora-PLUS® sont des marques déposées de Paddock Laboratories Inc.
Hypertension adulte
La dose de départ recommandée de diovan est de 80 mg ou 160 mg une fois par jour lorsqu'elle est utilisée comme monothérapie chez les patients qui ne sont pas appauvris en volume. Les patients nécessitant des réductions plus élevées peuvent être démarrés à la dose plus élevée. Diovan peut être utilisé sur une plage de dose de 80 mg à 320 mg par jour administrée une fois par jour.
L'effet antihypertenseur est substantiellement présent dans les 2 semaines et une réduction maximale est généralement atteinte après 4 semaines. Si un effet antihypertenseur supplémentaire est nécessaire sur la plage de dose de départ, la dose peut être augmentée à un maximum de 320 mg ou un diurétique peut être ajouté. L'addition d'un diurétique a un effet plus important que la dose augmente au-delà de 80 mg.
Diovan may be administered wième oèmeer antihypertensive agents.
Hypertension pédiatrique de 1 à 16 ans
La dose de départ recommandée habituelle est de 1 mg / kg une fois par jour (jusqu'à 40 mg au total). Une dose de départ plus élevée de 2 mg / kg peut être prise en compte dans certains cas lorsqu'une réduction plus importante de la pression artérielle est nécessaire. La posologie doit être ajustée en fonction de la réponse à la pression artérielle et de la tolérabilité jusqu'à une dose maximale de 4 mg / kg une fois par jour (dose quotidienne maximale 160 mg).
Aucune donnée n'est disponible chez les patients pédiatriques en dialyse ou avec un taux de filtration glomérulaire <30 mL/min/1.73 m² [see Utiliser dans des populations spécifiques ].
L'utilisation de Diovan n'est pas recommandée chez les enfants de moins d'un an [voir Effets indésirables Utilisation pédiatrique dans des populations spécifiques Toxicologie non clinique ].
Insuffisance cardiaque
La dose de départ recommandée de Diovan est de 40 mg deux fois par jour. Uptitrate à 80 mg et 160 mg deux fois par jour ou à la dose la plus élevée tolérée par le patient. Envisagez de réduire la dose des diurétiques concomitants. La dose quotidienne maximale administrée dans les essais cliniques est de 320 mg à des doses divisées.
Infarctus post-myocardique
Diovan may be initiated as early as 12 hours after a myocardial infarction. The recommended starting dose of Diovan is 20 mg twice daily. Patients may be uptitrated wièmein 7 days to 40 mg twice daily wième subsequent titrations to a target maintenance dose of 160 mg twice daily as tolerated by èmee patient. If symptomatic hypotension or renal dysfunction occurs consider dosage reduction. Diovan may be given wième oèmeer stetard post-myocardial infarction treatment including èmerombolytics aspirin beta-blockers et statins.
Dose manquée
Si une dose de diovan est manquée, elle doit être administrée dès que possible, sauf s'il est presque temps pour la prochaine dose. La dose ne doit pas être doublée pour compenser une dose manquée.
Comment fourni
Dosage Forms And Strengèmes
40 mg sont des comprimés ovinoïdes jaunes notés avec des bords biseautés NVR / DO (côté 1 / côté 2)
80 mg sont des comprimés en forme d'amande rouge pâle avec des bords biseautés NVR / DV
160 mg sont des comprimés en forme d'amande gris-orange avec des bords biseautés NVR / DX
320 mg sont des comprimés en forme d'amande gris-violet sombres avec des bords biseautés NVR / DXL imprimés
Stockage et manipulation
Diovan (Valsartan) est disponible en comprimés contenant du valsartan 40 mg 80 mg 160 mg ou 320 mg. Toutes les forces sont emballées dans des bouteilles comme décrit ci-dessous.
Les comprimés de 40 mg sont notés d'un côté et ovaloïdes avec des bords biseautés. Les comprimés de 80 mg 160 mg et 320 mg sont non scorés et en forme d'amande avec des bords biseautés.
| Comprimé | Couleur | Débosser | NDC 0078- | ||
| Côté 1 | Côté 2 | Bouteille | |||
| 30 | 90 | ||||
| 40 mg | Jaune | NVR | FAIRE | 0423-15 | - |
| 80 mg | Rouge pâle | NVR | Dv | - | 0358-34 |
| 160 mg | Gris-orange | NVR | Dx | - | 0359-34 |
| 320 mg | Gris-violet foncé | NVR | DxL | - | 0360-34 |
Stocker à 20 ° C à 25 ° C (68 ° F à 77 ° F); Excursions autorisées entre 15 ° C et 30 ° C (59 ° F et 86 ° F) [voir Température ambiante contrôlée par l'USP ].
Protéger de l'humidité.
Dispenser dans un récipient serré (USP).
Distribué par: Novartis Pharmaceuticals Corporation East Hanover New Jersey 07936. Révisé: avril 2021
Effets secondaires for Diovan
Expérience des essais cliniques
Étant donné que les études cliniques sont menées dans des conditions très variables les taux d'effets indésirables observés dans les études cliniques d'un médicament ne peuvent pas être directement comparés aux taux dans les études cliniques d'un autre médicament et peuvent ne pas refléter les taux observés dans la pratique.
Hypertension adulte
Diovan has been evaluated for safety in more èmean 4000 patients including over 400 treated for over 6 monèmes et more èmean 160 for over 1 year. Effets indésirables have generally been mild et transient in nature et have only infrequently required discontinuation of èmeerapy. The overall incidence of adverse reactions wième Diovan was similar to placebo.
La fréquence globale des effets indésirables n'était ni liée à la dose ni liée à la race ou au régime de l'âge des sexes. L'arrêt de la thérapie due aux effets secondaires a été nécessaire chez 2,3% des patients valsartan et 2,0% des patients placebo. Les raisons les plus courantes de l'arrêt du traitement avec le diovan étaient les maux de tête et les étourdissements.
Les effets indésirables qui se sont produits dans les essais cliniques contrôlés par placebo chez au moins 1% des patients traités par Diovan et à une incidence plus élevée dans les patients infectés viraux (N = 2316) que les patients (n = 888) comprenaient une infection virale (2% contre 2%) (2% contre 1%) et des douleurs abdominales (2% vs 1%).
Dans les essais dans lesquels Valsartan a été comparé à un inhibiteur de l'ECA avec ou sans placebo, l'incidence de la toux sèche était significativement plus élevée dans le groupe inhibiteur de l'ECA (NULL,9%) que dans les groupes qui ont reçu du valsartan (NULL,6%) ou un placebo (NULL,5%). Dans un essai de 129 patients limité aux patients qui avaient eu une toux sèche lorsqu'ils avaient déjà reçu des inhibiteurs de l'ECA les incidences de toux chez les patients qui ont reçu le valsartan HCTZ ou le lisinopril étaient à 20% 19% et 69% respectivement (P <0.001).
Des effets orthostatiques liés à la dose ont été observés chez moins de 1% des patients. Une augmentation de l'incidence des étourdissements a été observée chez les patients traités avec du diovan 320 mg (8%) contre 10 à 160 mg (2% à 4%).
Hypertension pédiatrique
Diovan has been evaluated for safety in 290 pediatric patients aged 1 to less èmean 6 years et over 400 patients aged 6 to 17 years. No relevant differences were identified between èmee adverse experience profile for pediatric patients et èmeat previously reported for adult patients. Hyperkaliémie was more frequently observed in pediatric patients aged 1 to 17 years wième underlying chronic kidney disease (CKD).
Des cas d'ALT et / ou AST élevés ont été signalés chez les patients pédiatriques de 1 à moins de 6 ans. Ces événements se sont produits dans une population d'étude qui avait fréquemment des comorbidités importantes; Par conséquent, une relation causale avec Valsartan n'a pas pu être établie.
Insuffisance cardiaque
Dans l'essai d'insuffisance cardiaque de Valsartan (Val-Heft) comparant Valsartan à des doses quotidiennes totales jusqu'à 320 mg (n = 2506) au placebo (n = 2494) 10% des patients valsartans interrompus pour les réactions indésirables contre 7% des patients placebo.
Le tableau montre des réactions indésirables dans les essais d'insuffisance cardiaque en double aveugle à court terme, y compris les 4 premiers mois de l'essai d'insuffisance cardiaque valsartane avec une incidence d'au moins 2% qui étaient plus fréquents chez les patients traités au valsartan que chez les patients traités par placebo. Tous les patients ont reçu fréquemment une thérapie médicamenteuse standard pour l'insuffisance cardiaque en tant que médicaments multiples qui pourraient inclure des bêta des diurétiques numériques. Environ 93% des patients ont reçu des inhibiteurs de l'ECA concomitants.
| Valsartan (n = 3282) | Placebo (n = 2740) | |
| Vertiges | 17% | 9% |
| Hypotension | 7% | 2% |
| Diarrhée | 5% | 4% |
| Arthralgie | 3% | 2% |
| Fatigue | 3% | 2% |
| Maux de dos | 3% | 2% |
| Vertiges postural | 2% | 1% |
| Hyperkaliémie | 2% | 1% |
| Hypotension postural | 2% | 1% |
Les arrêts se sont produits chez 0,5% des patients traités par valsartan et 0,1% des patients placebo pour chacun des éléments suivants: élévations de la créatinine et élévations du potassium.
D'autres réactions indésirables avec une incidence supérieure à 1% et plus que le placebo comprenaient des maux de tête Nausées Insuffisance rénale Syncope floue Vision floue Douleurs abdominales supérieures et vertiges.
D'après les données à long terme dans l'essai d'insuffisance cardiaque de Valsartan, il ne semblait pas y avoir de réactions indésirables significatives non identifiées auparavant.
Infarctus post-myocardique
Le tableau montre le pourcentage de patients arrêtés dans les groupes de valsartan et de captopril dans le valsartan dans un essai d'infarctus aigu du myocarde (Valiant) avec un taux d'au moins 0,5% dans l'un ou l'autre des groupes de traitement.
Les interruptions dues à une dysfonction rénale se sont produites chez 1,1% des patients traités au valsartan et 0,8% des patients atteints de captoprille.
| Valsartan (n = 4885) | Captopril (n = 4879) | |
| Arrêt de la réaction indésirable | 5,8% | 7,7% |
| Effets indésirables | ||
| Hypotension NOS | 1,4% | 0,8% |
| Toux | 0,6% | 2,5% |
| La créatinine sanguine a augmenté | 0,6% | 0,4% |
| Rash Us | 0,2% | 0,6% |
Résultats des tests de laboratoire clinique
Créatinine
Dans des essais d'insuffisance cardiaque supérieurs à 50% des augmentations de la créatinine ont été observées chez 3,9% des patients diovantés contre 0,9% des patients traités par placebo. Chez l'infarctus du post-myocardique, les patients qui doublent de la créatinine sérique ont été observés chez 4,2% des patients traités au valsartan et 3,4% des patients traités au captopril.
Neutropénie
Neutropénie was observed in 1.9% of patients treated wième Diovan et 0,8% of patients treated wième placebo.
Azote de l'urée sanguine (chigne)
Dans des essais d'insuffisance cardiaque supérieurs à 50% des augmentations de BUN ont été observées chez 16,6% des patients traités par Diovan, contre 6,3% des patients traités par placebo [voir AVERTISSEMENTS AND PRÉCAUTIONS ].
Expérience de commercialisation de la poste
Les effets indésirables supplémentaires suivants ont été rapportés dans l'utilisation de la post-commercialisation de diovan. Étant donné que ces réactions sont rapportées volontairement d'une population de taille incertaine, il n'est pas toujours possible d'estimer de manière fiable leur fréquence ou d'établir une relation causale à l'exposition au médicament.
Hypersensibilité: Un œdème de l'angio a été signalé. Certains de ces patients avaient auparavant subi un œdème angio-œdème avec d'autres médicaments, y compris des inhibiteurs de l'ECA. Le diovan ne doit pas être ré-administré aux patients ayant eu un œdème de l'angio.
Digestif: Enzymes hépatiques élevées et rapports très rares d'hépatite
Musculo-squelette: Rhabdomyolyse
Rénal: Insuffisance rénale de la fonction rénale altérée
Dermatologique: Alopécie dermatite bulleuse
Sang et lymphatique: Thrombocytopénie
Vasculaire: Vascularite
Interactions médicamenteuses for Diovan
Agents augmentant le potassium sérique
L'utilisation concomitante de valsartan avec d'autres agents qui bloque le système rénine-angiotensine diurétique épargnant le potassium (par exemple, les suppléments de potassium de spironolactone triamterène) peuvent augmenter les niveaux de potassium (par exemple l'héparine) peuvent entraîner des augmentations dans le sérum potassium et dans les patients atteints de défaillance cardiaque pour augmenter les patients atteints de sérum. Si la co-médication est considérée comme une surveillance nécessaire du potassium sérique est recommandée.
Agents anti-inflammatoires non stéroïdiens, y compris les inhibiteurs sélectifs de la cyclooxygénase-2 (inhibiteurs de COX-2)
Chez les patients qui sont appauvris en volume âgés (y compris ceux en thérapie diurétique) ou avec la co-administration rénale compromise des AINS, y compris les inhibiteurs sélectifs de COX-2 avec des antagonistes des récepteurs de l'angiotensine II, y compris le valsartan, peuvent entraîner une détérioration de la fonction rénale, y compris une insuffisance rénale aiguë possible. Ces effets sont généralement réversibles. Surveillez périodiquement la fonction rénale chez les patients recevant du Valsartan et des AINS.
L'effet antihypertenseur des antagonistes des récepteurs de l'angiotensine II, y compris le valsartan, peut être atténué par des AINS, y compris des inhibiteurs sélectifs de COX-2.
Double blocage du système rénine-angiotensine (RAS)
Le double blocage du RAS avec les bloqueurs des récepteurs de l'angiotensine inhibiteurs de l'ACE ou ALISKIREN est associé à des risques accrus d'hyperkaliémie et aux changements de la fonction rénale (y compris une insuffisance rénale aiguë) par rapport à la monothérapie. La plupart des patients recevant la combinaison de deux inhibiteurs du RAS n'obtiennent aucun avantage supplémentaire par rapport à la monothérapie [voir Études cliniques ]. In general avoid combined use of RAS inhibitors. Closely monitor blood pressure renal function et electrolytes in patients on Diovan et oèmeer agents èmeat affect èmee RAS.
NE PAS coadmiister ALISKIREN avec Diovan chez les patients diabétiques. Évitez l'utilisation d'Alikiren avec Diovan chez les patients souffrant de troubles rénaux (GFR <60 mL/min).
Lithium
Des augmentations des concentrations sériques de lithium et de la toxicité au lithium ont été rapportées lors de l'administration concomitante de lithium avec des antagonistes des récepteurs de l'angiotensine II. Surveillez les taux sériques de lithium lors d'une utilisation concomitante.
Avertissements pour Diovan
Inclus dans le cadre du PRÉCAUTIONS section.
Précautions pour Diovan
Toxicité fœtale
Diovan can cause fetal harm when administered to a pregnant woman. Use of drugs èmeat act on èmee reninangiotensin system during èmee second et èmeird trimesters of pregnancy reduces fetal renal function et increases fetal et neonatal morbidity et deaème. Resulting oligohydramnios can be associated wième fetal lung hypoplasia et skeletal deformations. Potential neonatal adverse effects include skull hypoplasia anuria hypotension renal failure et deaème. When pregnancy is detected discontinue Diovan as soon as possible [see Utiliser dans des populations spécifiques ].
Hypotension
Une hypotension excessive a été rarement observée (NULL,1%) chez les patients souffrant d'hypertension non compliquée traitée avec du diovan seul. Chez les patients présentant un système rénine-angiotensine activé, tels que les patients appauvris en volume et / ou en sel recevant des doses élevées d'hypotension symptomatique des diurétiques. Cette condition doit être corrigée avant l'administration de Diovan ou le traitement doit commencer sous surveillance médicale étroite.
Les patients atteints d'insuffisance cardiaque ou d'infarctus post-myocardique bénéficiant d'un diovan ont généralement une certaine réduction de la pression artérielle mais l'arrêt du traitement en raison de l'hypotension symptomatique continue n'est généralement pas nécessaire lorsque les instructions de dosage sont suivies. Dans les essais contrôlés chez les patients atteints d'insuffisance cardiaque, l'incidence de l'hypotension chez les patients traités au valsartan était de 5,5% contre 1,8% chez les patients traités par placebo. Dans le Valsartan dans l'hypotension aigu de l'infarctus du myocarde (vaillant) chez les patients atteints d'infarctus post-myocardique a conduit à l'arrêt permanent du traitement chez 1,4% des patients traités au valsartan et 0,8% des patients captivants.
Si une hypotension excessive se produit, placez le patient en position couchée et, si nécessaire, donnez une solution saline normale intraveineuse. Une réponse hypotensive transitoire n'est pas une contre-indication à un traitement ultérieur qui peut généralement être poursuivi sans difficulté une fois que la pression artérielle s'est stabilisée.
Fonction rénale altérée
Les changements dans la fonction rénale, y compris l'insuffisance rénale aiguë, peuvent être causés par des médicaments qui inhibent le système rénine-angiotensine et par les diurétiques. Les patients dont la fonction rénale peuvent dépendre en partie de l'activité du système de réinangiotensine (par exemple, les patients atteints de sténose rénale de la sténose rénale, une insuffisance cardiaque ou une épuisement du volume grave) peuvent être à risque particulier de développer une insuffisance rénale aiguë sur le diovan. Surveillez périodiquement la fonction rénale chez ces patients. Envisagez de retenir ou d'arrêter la thérapie chez les patients qui développent une diminution cliniquement significative de la fonction rénale sur Diovan [voir Interactions médicamenteuses ].
Hyperkaliémie
Certains patients souffrant d'insuffisance cardiaque ont développé une augmentation du potassium. Ces effets sont généralement mineurs et transitoires et ils sont plus susceptibles de se produire chez les patients présentant une insuffisance rénale préexistante. La réduction du dosage et / ou l'arrêt de Diovan peuvent être nécessaires [voir Effets indésirables ].
Informations de conseil des patients
Conseillez au patient de lire l'étiquetage des patients approuvé par la FDA (informations sur les patients).
Grossesse
Conseiller les patients atteints de l'âge de la procréation sur les conséquences de l'exposition au diovan pendant la grossesse. Discutez des options de traitement avec les femmes qui prévoient de devenir enceintes. Demandez aux patients de signaler des grossesses à leur fournisseur de soins de santé dès que possible [voir AVERTISSEMENTS AND PRÉCAUTIONS Utiliser dans des populations spécifiques ].
Lactation
Conseiller aux femmes de ne pas allaiter pendant le traitement avec Diovan [voir Utiliser dans des populations spécifiques ].
Hypotension symptomatique
Conseillez les patients selon lesquels des étourdissements peuvent survenir en particulier pendant les premiers jours de traitement et qu'il doit être signalé à leur professionnel de la santé. Dites aux patients que si la syncope se produit à l'arrêt de Diovan jusqu'à ce que le médecin soit consulté. ATTENTION TOUS LES PATIVENTS Selon la diarrhée ou les vomissements inadéquats de la transpiration excessive, une diarrhée ou des vomissements peut entraîner une baisse excessive de la pression artérielle avec les mêmes conséquences de l'étourdissement et de la syncope possible [voir AVERTISSEMENTS AND PRÉCAUTIONS ].
Hyperkaliémie
Conseiller aux patients de ne pas utiliser de substituts de sel sans consulter leur fournisseur de soins de santé [voir Interactions médicamenteuses ].
Acella’s N.P. thyroïde
Toxicologie non clinique
Carcinogenèse Mutagenèse A trouble de la fertilité
Il n'y avait aucune preuve de cancérogénicité lorsque Valsartan a été administré dans le régime alimentaire à des souris et des rats jusqu'à 2 ans à des doses jusqu'à 160 et 200 mg / kg / jour respectivement. Ces doses chez la souris et les rats sont d'environ 2,6 et 6 fois respectivement le MRHD sur une base de mg / m² (les calculs supposent une dose orale de 320 mg / jour et un patient de 60 kg).
Les tests de mutagénicité n'ont révélé aucun effet lié à Valsartan au niveau du gène ou du chromosome. Ces tests comprenaient des tests de mutagénicité bactérienne avec Salmonella (Ames) et E coli; un test de mutation génique avec les cellules chinoises du hamster V79; un test cytogénétique avec les cellules ovaires du hamster chinois; and a rat micronucleus test.
Valsartan had no adverse effects on èmee reproductive performance of male or female rats at oral doses up to 200 mg/kg/day. This dose is 6 times èmee MRHD on a mg/m² basis (Calculations assume an oral dose of 320 mg/day et a 60-kg patient).
Utiliser dans des populations spécifiques
Grossesse
Résumé des risques
Diovan can cause fetal harm when administered to a pregnant woman. Use of drugs èmeat act on èmee reninangiotensin system during èmee second et èmeird trimesters of pregnancy reduces fetal renal function et increases fetal et neonatal morbidity et deaème. Most epidemiologic studies examining fetal abnormalities after exposure to antihypertensive use in èmee first trimester have not distinguished drugs affecting èmee reninangiotensin system from oèmeer antihypertensive agents. Published reports include cases of anhydramnios et oligohydramnios in pregnant women treated wième valsartan (see Considérations cliniques ).
Lorsque la grossesse est détectée, envisagez un traitement médicamenteux alternatif et arrêtez le diovan dès que possible.
Le risque de fond estimé de malformations congénitales majeures et de fausse couche pour la population indiquée est inconnue. Toutes les grossesses présentent un risque de fond de perte de maltraitance natale ou d'autres résultats indésirables. Dans la population générale américaine, le risque de fond estimé de malformations congénitales majeures et de fausse couche dans les grossesses cliniquement reconnues est respectivement de 2% à 4% et 15% à 20%.
Considérations cliniques
Risque maternel et / ou embryonnaire associé à la maladie
Hypertension in pregnancy increases èmee maternal risk for pre-eclampsia gestational diabetes premature delivery et delivery complications (e.g. need for cesarean section et post-partum hemorrhage). Hypertension increases èmee fetal risk for intrauterine growème restriction et intrauterine deaème. Pregnant women wième hypertension should be carefully monitored et managed accordingly.
Réactions indésirables fœtales / néonatales
Les oligohydramnios chez les femmes enceintes qui consomment des médicaments affectant le système rénine-angiotensine dans les deuxième et troisième trimestres de la grossesse peuvent entraîner la suivante: réduction de la fonction rénale fœtale conduisant à l'anurie et à l'insuffisance rénale de l'hypotension du poumon fœtal, des déformations squelettes de l'hypoplasie du crâne. Dans le cas inhabituel, il n'y a pas d'alternative appropriée à la thérapie avec des médicaments affectant le système rénine-angiotensine pour un patient particulier à informer la mère du risque potentiel pour le fœtus.
Chez les patients qui prennent du diovan pendant la grossesse, effectuent des examens d'échographie en série pour évaluer l'environnement intra-amniotique. Les tests fœtaux peuvent être appropriés en fonction de la semaine de gestation. Les patients et les médecins doivent être conscients que les oligohydramnios peuvent n'apparaître qu'après que le fœtus ait subi une blessure irréversible. Si des oligohydramnios sont observés, envisagez un traitement médicamenteux alternatif. Observez de près les nouveau-nés avec des histoires d'exposition in utero au diovan pour l'hypotension oligurie et hyperkaliémie. Chez les nouveau-nés ayant des antécédents d'exposition in utero au diovan si l'oligurie ou l'hypotension se produit soutient la pression artérielle et la perfusion rénale. Des transfusions d'échange ou une dialyse peuvent être nécessaires comme moyen de renverser l'hypotension et de remplacer la fonction rénale.
Données
Données sur les animaux
Aucun effet tératogène n'a été observé lorsque Valsartan a été administré à des souris enceintes et à des rats à des doses orales allant jusqu'à 600 mg / kg / jour (9 et 18 fois la dose humaine maximale recommandée (MRHD) sur une base de mg / m²) et à des rabfits enceintes à des doses orales allant jusqu'à 10 mg / kg / jour.
Chez le rat, valsartan oral administré à des doses maternellement toxiques (600 mg / kg / jour) pendant l'organogenèse ou la gestation tardive et la lactation a entraîné une diminution de la survie des chiots du fœtal et du chiot et des étapes de développement. Chez les lapins, des doses toxiques maternellement administrées de 5 et 10 mg / kg / jour de fétotoxicité ont été observées.
Lactation
Résumé des risques
Il n'y a aucune information concernant la présence de diovan dans le lait maternel les effets sur le nourrisson allaité ou les effets sur la production de lait. Diovan est présent dans le lait de rat. En raison du potentiel de réactions indésirables graves chez les nourrissons allaités de l'exposition au valsartan conseille une femme infirmière que l'allaitement n'est pas recommandé pendant le traitement avec Diovan.
Données
Valsartan was detected in èmee milk of lactating rats 15 minutes after oral administration of a 3 mg/kg dose.
Usage pédiatrique
Les effets antihypertenseurs du diovan ont été évalués dans 5 études cliniques chez des patients pédiatriques de 1 à 16 ans [voir Études cliniques ]. The pharmacokinetics of Diovan have been evaluated in pediatric patients 1 to 16 years of age [see Pharmacologie clinique ]. The adverse experience profile of Diovan was similar to èmeat described for adults [see Effets indésirables ].
Chez les enfants et les adolescents souffrant d'hypertension où les anomalies rénales sous-jacentes peuvent être une fonction rénale plus courante et le potassium sérique doit être étroitement surveillé comme indiqué cliniquement.
L'utilisation de Diovan n'est pas recommandée chez les enfants de moins d'un an [voir Toxicologie non clinique ]. It is not known wheèmeer post-natal use of valsartan before maturation of renal function is complete has a long-term deleterious effect on èmee kidney.
Aucune donnée n'est disponible chez les patients pédiatriques en dialyse ou avec un taux de filtration glomérulaire less èmean 30 mL/min/1.73 m².
Utilisation gériatrique
Dans les essais cliniques contrôlés de Valsartan 1214 (NULL,2%), les patients hypertendus traités par Valsartan étaient ≥ 65 ans et 265 (NULL,9%) étaient ≥ 75 ans. Aucune différence globale dans l'efficacité ou l'innocuité du valsartan n'a été observée dans cette population de patients, mais une plus grande sensibilité de certains personnes âgées ne peut être exclue. L'exposition [mesurée par superficie sous la courbe (AUC)] à Valsartan est plus élevée de 70% chez les personnes âgées que chez les jeunes, mais aucun ajustement posologique n'est nécessaire [voir Pharmacologie clinique ].
Sur les 2511 patients souffrant d'insuffisance cardiaque randomisés en valsartan dans l'essai d'insuffisance cardiaque de Valsartan, 45% (1141) étaient âgés de 65 ans ou plus. Dans le Valsartan dans l'essai aigu de l'infarctus du myocarde (Valiant) 53% (2596) des 4909 patients traités par valsartan et 51% (2515) des 4885 patients traités par le capopopril Valsartan avaient 65 ans ou plus. Il n'y avait aucune différence notable dans l'efficacité ou la sécurité entre les patients plus âgés et les plus jeunes dans l'un ou l'autre essai.
Trouble rénal
La sécurité et l'efficacité du diovan chez les patients présentant une insuffisance rénale sévère (taux de filtration glomérulaire inférieure à 30 ml / min / 1,73 m²) n'ont pas été établies. Aucun ajustement de dose n'est requis chez les patients atteints de taux de filtration légère (taux de filtration glomérulaire de 60 à 90 ml / min / 1,73 m²) ou modéré (taux de filtration glomérulaire de 30 à 60 ml / min / 1,73 m²).
Trouble hépatique
Aucun ajustement de dose n'est nécessaire pour les patients atteints d'une maladie hépatique légère à modérée. Aucune recommandation de dosage ne peut être fournie pour les patients atteints d'une maladie hépatique sévère.
Informations sur la surdose pour Diovan
Des données limitées sont disponibles liées à un surdosage chez l'homme. Les manifestations les plus probables de la surdosage seraient l'hypotension et la tachycardie; La bradycardie pourrait se produire à partir de stimulation parasympathique (vagale). Niveau déprimé d'effondrement circulatoire et de choc circulatoire a été signalé. Si une hypotension symptomatique doit se produire un traitement de soutien de l'institut.
Diovan (valsartan) is not removed from èmee plasma by hemodialysis.
Valsartan was wièmeout grossly observable adverse effects at single oral doses up to 2000 mg/kg in rats et up to 1000 mg/kg in marmosets except for salivation et diarrhée in èmee rat et vomiting in èmee marmoset at èmee highest dose (60 et 31 times respectively èmee MRHD dose on a mg/m² basis) (Calculations assume an oral dose of 320 mg/day et a 60-kg patient).
Contre-indications pour Diovan
N'utilisez pas chez les patients présentant une hypersensibilité connue à un composant.
Ne coadminister pas Alikiren avec Diovan chez les patients atteints de diabète [voir Interactions médicamenteuses ].
Pharmacologie clinique for Diovan
Mécanisme d'action
L'angiotensine II est formée à partir de l'angiotensine I dans une réaction catalysée par l'enzyme de conversion de l'angiotensine (ACE kininase II). L'angiotensine II est le principal agent presseur du système de rénine-angiotensine avec des effets qui incluent la stimulation de vasoconstriction de la synthèse et la libération de la stimulation cardiaque de l'aldostérone et la réabsorption rénale du sodium. Diovan (Valsartan) bloque le vasoconstricteur et les effets sécrétant de l'aldostérone de l'angiotensine II en bloquant sélectivement la liaison de l'angiotensine II au récepteur AT1 dans de nombreux tissus tels que le muscle lisse vasculaire et le gland surrénal. Son action est donc indépendante des voies de la synthèse de l'angiotensine II.
Il existe également un récepteur AT2 trouvé dans de nombreux tissus, mais l'AT2 n'est pas connu pour être associé à l'homéostasie cardiovasculaire. Valsartan a une affinité beaucoup plus grande (environ 20000 fois) pour le récepteur AT1 que pour le récepteur AT2. L'augmentation des taux plasmatiques de l'angiotensine II après le blocage du récepteur AT1 avec le valsartan peut stimuler le récepteur AT2 non bloqué. Le métabolite primaire de Valsartan est essentiellement inactif avec une affinité pour le récepteur AT1 d'environ One-200 ème UN ème ) celui de Valsartan lui-même.
Le blocage du système rénine-angiotensine avec des inhibiteurs de l'ECA qui inhibe la biosynthèse de l'angiotensine II à partir de l'angiotensine I est largement utilisé dans le traitement de l'hypertension. Les inhibiteurs de l'ACE inhibent également la dégradation de la réaction de la bradykinine A également catalysée par l'ECA. Parce que Valsartan n'inhibe pas l'ACE (kininase II), cela n'affecte pas la réponse à la bradykinine. On ne sait pas si cette différence a une pertinence clinique. Valsartan ne se lie pas ou ne bloque pas d'autres récepteurs hormonaux ou canaux ioniques connus pour être importants dans la régulation cardiovasculaire.
Le blocage du récepteur de l'angiotensine II inhibe la rétroaction régulatrice négative de l'angiotensine II sur la sécrétion de la rennine, mais l'augmentation de l'activité plasmatique de la rénine et les niveaux circulants de l'angiotensine II ne résultent pas de l'effet du valsartan sur la pression artérielle.
Pharmacodynamique
Valsartan inhibits èmee pressor effect of angiotensin II infusions. An oral dose of 80 mg inhibits èmee pressor effect by about 80% at peak wième approximately 30% inhibition persisting for 24 hours. No information on èmee effect of larger doses is available.
L'élimination de la rétroaction négative de l'angiotensine II provoque une augmentation de 2 à 3 fois de la rénine plasmatique et une augmentation conséquente de la concentration plasmatique de l'angiotensine II chez les patients hypertensifs. Des diminutions minimales de l'aldostérone plasmatique ont été observées après l'administration de valsartan; Très peu d'effet sur le potassium sérique a été observé.
Dans les études à dose multiple chez des patients hypertendus présentant une insuffisance rénale stable et les patients atteints d'hypertension rénovasculaire valsartan n'ont eu aucun effet cliniquement significatif sur la fraction de filtration du taux de filtration glomérulaire, la clairance de la créatinine ou l'écoulement du plasma rénal.
Dans les études à dose multiple chez les patients hypertendus, Valsartan n'a eu aucun effet notable sur les triglycérides totaux à jeun à jeûne de glucose ou d'acide urique.
Pharmacocinétique
Absorption
Chez des volontaires sains, la concentration plasmatique de pic de valsartan est atteinte de 2 à 4 heures après le dosage. Valsartan montre une cinétique de désintégration bi-exponentielle après une administration intraveineuse avec une demi-vie d'élimination moyenne d'environ 6 heures. La biodisponibilité absolue pour le diovan est d'environ 25% (plage de 10% à 35%). La biodisponibilité de la suspension [voir FAIRESAGE AND ADMINISTRATION ] est 1,6 fois plus grand qu'avec la tablette. Les valeurs AUC et CMAX de Valsartan augmentent approximativement linéairement avec une dose croissante sur la plage de dosage clinique (80-320 mg). Valsartan ne s'accumule pas sensiblement dans le plasma après l'administration répétée de 200 mg une fois par jour.
Chez les patients atteints d'insuffisance cardiaque, le délai moyen pour culminer la concentration plasmatique et l'élimination la demi-vie de Valsartan sont similaires à ceux observés chez des volontaires sains. Le facteur d'accumulation moyen est d'environ 1,7 chez les patients atteints d'insuffisance cardiaque après une administration répétée de 160 mg deux fois par jour. Les valeurs AUC et CMAX de Valsartan augmentent linéairement et sont presque proportionnelles avec l'augmentation de la dose de 40 à 160 mg deux fois par jour.
Effet de la nourriture
Le comprimé alimentaire diminue l'exposition (tel que mesuré par l'AUC) à Valsartan d'environ 40% et la concentration plasmatique maximale (CMAX) d'environ 50%. Diovan peut être administré avec ou sans nourriture.
Distribution
Le volume à l'état d'équilibre de la distribution de valsartan après l'administration intraveineuse est faible (17 L) indiquant que Valsartan ne se répand pas largement dans les tissus. Valsartan est fortement lié aux protéines sériques (95%) principalement albumine sérique.
Métabolisme
Le métabolite primaire représentant environ 9% de la dose est Valeryl 4-hydroxy valsartan. Des études de métabolisme in vitro impliquant des enzymes recombinantes CYP 450 ont indiqué que l'isoenzyme CYP 2C9 est responsable de la formation de valryl-4-hydroxy valsartan. Valsartan n'inhibe pas les isozymes du CYP 450 à des concentrations cliniquement pertinentes. L'interaction médicamenteuse médiée par le CYP 450 entre les médicaments Valsartan et Coadministered est peu probable en raison de la faible étendue du métabolisme.
Excrétion
Valsartan when administered as an oral solution is primarily recovered in feces (about 83% of dose) et urine (about 13% of dose). The recovery is mainly as unchanged drug wième only about 20% of dose recovered as metabolites.
Après l'administration intraveineuse, la dégagement du plasma de Valsartan est d'environ 2 l / h et sa dégagement rénal est de 0,62 l / h (environ 30% de la clairance totale).
La clairance apparente du valsartan après l'administration orale est d'environ 4,5 L / h chez les patients atteints d'insuffisance cardiaque. L'âge n'affecte pas la clairance apparente chez les patients atteints d'insuffisance cardiaque.
Populations spécifiques:
Gériatrique
L'exposition (mesurée par l'AUC) à Valsartan est plus élevée de 70% et la demi-vie est plus longue de 35% chez les personnes âgées que chez les jeunes [voir Utiliser dans des populations spécifiques ].
Pédiatrique
UN
Genre
Pharmacocinétique of valsartan does not differ significantly between males et females.
Insuffisance rénale
Il n'y a pas de corrélation apparente entre la fonction rénale (mesurée par la clairance de la créatinine) et l'exposition (mesurée par l'AUC) à Valsartan chez les patients présentant différents degrés de déficience rénale (jusqu'à la clairance de la créatinine de 10 ml / min). Valsartan n'est pas retiré du plasma par l'hémodialyse [voir Utiliser dans des populations spécifiques ].
Insuffisance hépatique
En moyenne, les patients atteints d'une maladie hépatique chronique légère à modérée ont le double de l'exposition (mesurée par les valeurs de l'ASC) à Valsartan de volontaires sains (appariés par le sexe et le poids d'âge) [voir Utiliser dans des populations spécifiques ].
Études d'interaction médicamenteuse
Aucune interaction pharmacocinétique cliniquement significative n'a été observée lorsque le diovan (valsartan) a été co-administré avec l'amlodipine aténolol cimétidine digoxine furosémide glyburide hydrochlorothiazide ou indométhacine. La combinaison Valsartan-Atenolol était plus antihypertensive que l'un ou l'autre composante, mais elle n'a pas abaissé la fréquence cardiaque plus que l'aténolol seul.
La co-administration de Valsartan et de Warfarine n'a pas changé la pharmacocinétique de Valsartan ni le temps des propriétés anticoagulantes de la warfarine.
Transporteurs
Les résultats d'une étude in vitro avec le tissu hépatique humain indiquent que Valsartan est un substrat du transporteur d'absorption hépatique OATP1B1 et du transporteur d'efflux hépatique MRP2. La co-administration des inhibiteurs du transporteur d'absorption (rifampin cyclosporine) ou du transporteur d'efflux (ritonavir) peut augmenter l'exposition systémique au valsartan.
Toxicologie et / ou pharmacologie animale
Dossage oral quotidien de rats néonatals / juvéniles avec du valsartan à des doses aussi faibles que 1 mg / kg / jour (environ 10% de la dose pédiatrique maximale recommandée sur une base mg / m²) du jour postnatal 7 à la journée postnatale 70 a produit des dommages rein irréversibles persistants. Ces effets rénaux chez les rats néonatals représentent des effets pharmacologiques exagérés attendus qui sont observés si les rats sont traités au cours des 13 premiers jours de la vie. Cette période coïncide avec 36 semaines de gestation chez l'homme qui pourrait parfois s'étendre jusqu'à 44 semaines après la conception chez l'homme. Chez l'homme, la néphrogenèse est considérée comme complète autour de la naissance; Cependant, la maturation d'autres aspects de la fonction rénale (comme la filtration glomérulaire et la fonction tubulaire) peut se poursuivre jusqu'à environ 2 ans. On ne sait pas si l'utilisation postnatale de Valsartan avant la maturation de la fonction rénale est complète a des effets délétères à long terme sur le rein [voir Utiliser dans des populations spécifiques ].
Études cliniques
Hypertension
Hypertension adulte
Les effets antihypertenseurs du diovan (valsartan) ont été démontrés principalement chez 7 essais de 4 à 12 semaines contrôlés par placebo (1 chez les patients de plus de 65 ans) de doses de 10 à 320 mg / jour chez les patients présentant des pressions sanguines diastoliques de base de 95-115 mmHg. Les études ont permis une comparaison de régimes une fois par jour et deux fois par jour de 160 mg / jour; comparaison des effets de pic et de creux; Comparaison (dans les données regroupées) de la réponse par âge et race entre les sexes; et évaluation des effets incrémentiels de l'hydrochlorothiazide.
L'administration de valsartan à des patients souffrant d'hypertension essentielle entraîne une réduction significative de la pression artérielle systolique et diastolique en décubitus dorsale et debout généralement avec peu ou pas de changement orthostatique.
Chez la plupart des patients, après l'administration d'une seule dose orale, le début de l'activité antihypertense se produit à environ 2 heures et une réduction maximale de la pression artérielle est obtenue dans les 6 heures. L'effet antihypertenseur persiste pendant 24 heures après le dosage, mais il y a une diminution de l'effet de pointe à des doses plus faibles (40 mg) reflétant vraisemblablement la perte d'inhibition de l'angiotensine II. Cependant, à des doses plus élevées (160 mg), il y a peu de différence dans le pic et l'effet du creux. During repeated dosing the reduction in blood pressure with any dose is substantially present within 2 weeks and maximal reduction is generally attained after 4 weeks. Dans les études de suivi à long terme (sans contrôle du placebo), l'effet de Valsartan semble être maintenu jusqu'à 2 ans. L'effet antihypertenseur est indépendant du sexe ou de la race d'âge. Cette dernière découverte concernant la race est basée sur des données regroupées et doit être considérée avec prudence car les médicaments antihypertenseurs qui affectent le système rénine-angiotensine (c'est-à-dire les inhibiteurs de l'ECA et les bloqueurs de l'angiotensine-II) se sont généralement révélés moins efficaces dans les hypertensives à faible reine (fréquemment noirs) que dans les hypertensives à faible reine (Fréquemment blancs). Dans les essais contrôlés randomisés regroupés de Diovan qui comprenaient un total de 140 noirs et 830 blancs valsartan et un contrôle des inhibiteurs de l'ECA étaient généralement aussi efficaces dans les Noirs que les blancs. L'explication de cette différence par rapport aux résultats précédents n'est pas claire.
Le retrait brusque de Valsartan n'a pas été associé à une augmentation rapide de la pression artérielle.
L'effet hypotesural de la pression artérielle des diurétiques de type valsartan et de type thiazide est approximativement additif.
Les 7 études de la monothérapie Valsartan ont inclus plus de 2000 patients randomisés à diverses doses de valsartan et environ 800 patients randomisés dans le placebo. Les doses inférieures à 80 mg n'étaient pas systématiquement distinguées de celles du placebo à creux, mais des doses de 80 160 et 320 mg ont produit une diminution liée à la dose de la pression artérielle systolique et diastolique avec la différence entre le placebo d'environ 6-9 / 3-5 mmHg à 80 à 160 mg et 9/6 mmHg à 320 mg. Dans un essai contrôlé, l'ajout de HCTZ à Valsartan 80 mg a entraîné une baisse supplémentaire de la pression artérielle systolique et diastolique d'environ 6/3 et 12/5 mmHg pour 12,5 et 25 mg de HCTZ respectivement par rapport à Valsartan 80 mg seul.
Les patients présentant une réponse inadéquat à 80 mg une fois par jour ont été titrés à 160 mg une fois par jour ou 80 mg deux fois par jour, ce qui a entraîné une réponse similaire dans les deux groupes.
Dans les essais contrôlés, l'effet antihypertenseur du valsartan de 80 mg une fois par jour était similaire à celui de l'énalapril une fois par jour 20 mg ou du lisinopril une fois par jour 10 mg.
Il n'y a pas d'essais de diovan démontrant des réductions du risque cardiovasculaire chez les patients souffrant d'hypertension, mais au moins un médicament pharmacologiquement similaire a démontré de tels avantages.
Il n'y avait essentiellement aucun changement de fréquence cardiaque chez les patients traités par valsartan dans des essais contrôlés.
Hypertension pédiatrique
Enfants entre 1 et moins de 6 ans
L'effet antihypertenseur du valsartan chez 290 enfants âgés de 1 à moins de 6 ans a été évalué dans trois études cliniques en double aveugle randomisées. Dans la première étude chez 90 patients, les patients qui pesaient moins de 18 kg ont reçu 5 20 ou 40 mg de valsartan par jour (moyens moyens et élevés) et les patients qui pesaient plus ou égal à 18 kg ont reçu 10 40 et 80 mg de valsartan par jour (moyens moyens et élevées). Au bout de 2 semaines, les trois niveaux de dose de valsartan (moyen moyen et élevé) ont réduit la pression artérielle systolique de la ligne de base de 8,4 8,3 et 8,6 mmHg respectivement, mais une réponse de dose n'a pas pu être démontrée. Dans la deuxième étude de 74 patients plus élevés (1 mg / kg et 4 mg / kg par jour) de valsartan ont été associés à des réductions de pression artérielle numériquement plus importantes que la dose la plus faible (NULL,25 mg / kg) à la fin du traitement de 6 semaines. La troisième étude a été une étude en double aveugle randomisée de 6 semaines pour évaluer la réponse à la dose du valsartan chez 126 enfants de 1 à 5 ans avec une hypertension avec ou sans maladie rénale chronique (CKD) randomisée pour recevoir l'un ou l'autre valsartan 0,25 mg / kg ou 4 mg / kg par jour. Au bout de 6 semaines, des réductions dépendantes de la dose de la pression artérielle systolique moyenne (MSBP) ont été observées. La réduction du MSBP était de 8,5 mmHg avec Valsartan 4 mg / kg et 4,1 mmHg avec du valsartan 0,25 mg / kg. De même, le sous-groupe CKD a montré des réductions du MSBP avec du valsartan 4 mg / kg par rapport à 0,25 mg / kg (NULL,2 mmHg vs 1,2 mmHg).
Enfants entre 6 et 16 ans
Dans une étude clinique impliquant 261 patients pédiatriques hypertendus de 6 à 16 ans, des patients atteints de moins de 35 kg ont reçu 10 40 ou 80 mg de valsartan par jour (moyens moyens et élevés) et les patients qui pesaient plus ou égal à 35 kg ont reçu 20 80 et 160 mg de valsartan par jour (moyens moyens et élevés). Les troubles rénaux et urinaires et l'hypertension essentielle avec ou sans obésité étaient les causes sous-jacentes les plus courantes d'hypertension chez les enfants inscrits à cette étude. Au bout de 2 semaines, Valsartan a réduit la pression artérielle systolique et diastolique d'une manière dose-dépendante. Dans l'ensemble, les trois niveaux de dose de valsartan (moyen et élevé) ont considérablement réduit la pression artérielle systolique de 8 10 et 12 mm Hg de la ligne de base respectivement. Les patients ont été re-randomisés pour continuer à recevoir la même dose de valsartan ou ont été transférés au placebo. Chez les patients qui ont continué à recevoir les doses moyennes et élevées de la pression artérielle systolique valsartane à la creux étaient de 4 et 7 mm Hg inférieure à celles des patients qui ont reçu le traitement placebo. Chez les patients recevant la faible dose de la pression artérielle systolique valsartane à creux était similaire à celle des patients qui ont reçu le traitement placebo. Dans l'ensemble, l'effet antihypertenseur dose-dépendante du valsartan était cohérent dans tous les sous-groupes démographiques.
Insuffisance cardiaque
The Valsartan Heart Failure Trial (Val-HeFT) was a multinational double-blind study in which 5010 patients with NYHA class II (62%) to IV (2%) heart failure and LVEF less than 40% on baseline therapy chosen by their physicians were randomized to placebo or valsartan (titrated from 40 mg twice daily to the highest tolerated dose or 160 mg twice daily) and followed for a mean of about 2 years. Although Val-HeFT’s primary goal was to examine the effect of valsartan when added to an ACE inhibitor about 7% were not receiving an ACE inhibitor. Other background therapy included diuretics (86%) digoxin (67%) and beta-blockers (36%). The population studied was 80% male 46% 65 years or older and 89% Caucasian. At the end of the trial patients in the valsartan group had a blood pressure that was 4 mmHg systolic and 2 mmHg diastolic lower than the placebo group. There were two primary end points both assessed as time to first event: all-cause mortality and heart failure morbidity the latter defined as all-cause mortality sudden death with resuscitation hospitalization for heart failure and the need for intravenous inotropic or vasodilatory drugs for at least 4 hours. These results are summarized in the following table.
| Placebo (N = 2499) | Valsartan (N = 2511) | Ratio de risque (95% là-bas *) | Valeur p nominale | |
| Mortalité toutes causes | 484 | 495 | 1.02 | 0.8 |
| (NULL,4%) | (NULL,7%) | (NULL,90-1.15) | ||
| Morbidité hf | 801 (NULL,1%) | 723 (NULL,8%) | 0,87 (NULL,79-0,97) | 0.009 |
| * CI = intervalle de confiance |
Bien que le résultat global de morbidité soit favorisé Valsartan, ce résultat a été largement entraîné par les 7% des patients ne recevant pas d'inhibiteur de l'ECA comme indiqué dans le tableau suivant.
| Sans inhibiteur ACE | Avec inhibiteur ACE | |||
| Placebo (N = 181) | Valsartan (N = 185) | Placebo (N = 2318) | Valsartan (N = 2326) | |
| Événements (%) | 77 (NULL,5%) | 46 (NULL,9%) | 724 (NULL,2%) | 677 (NULL,1%) |
| Ratio de risque (IC à 95%) | 0,51 (NULL,35 0,73) | 0,92 (NULL,82 1,02) | ||
| valeur p | 0.0002 | 0.0965 |
La tendance modeste favorable dans le groupe recevant un inhibiteur de l'ECA a été largement entraînée par les patients recevant moins que la dose recommandée de l'inhibiteur de l'ECA. Ainsi, il existe peu de preuves d'un avantage clinique supplémentaire lorsque Valsartan est ajouté à une dose adéquate d'inhibiteur de l'ECA.
Les critères d'évaluation secondaires du sous-groupe ne recevant pas d'inhibiteurs de l'ECA étaient les suivants.
| Placebo (N = 181) | Valsartan (N = 185) | Ratio de risque (IC à 95%) | |
| Composants de la morbidité HF | |||
| Mortalité toutes causes | 49 (NULL,1%) | 32 (NULL,3%) | 0,59 (NULL,37 0,91) |
| Mort soudaine avec réanimation | 2 (NULL,1%) | 1 (NULL,5%) | 0,47 (NULL,04 5,20) |
| Thérapie CHF | 1 (NULL,6%) | 0 (NULL,0%) | - |
| Hospitalisation du CHF | 48 (NULL,5%) | 24 (NULL,0%) | 0.43 (NULL,27 0,71) |
| Mortalité cardiovasculaire | 40 (NULL,1%) | 29 (NULL,7%) | 0.65 (NULL,40 1,05) |
| Morbidité non mortelle | 49 (NULL,1%) | 24 (NULL,0%) | 0.42 (NULL,26 0,69) |
Chez les patients ne recevant pas un inhibiteur de l'ACE, les patients traités au valsartan ont eu une augmentation de la fraction d'éjection et de la réduction du diamètre diastolique interne ventriculaire gauche (LVIDD).
Les effets étaient généralement cohérents entre les sous-groupes définis par l'âge et le sexe pour la population de patients ne recevant pas d'inhibiteur de l'ECA. Le nombre de patients noirs était faible et ne permet pas une évaluation significative dans ce sous-ensemble de patients.
Infarctus post-myocardique
The VALsartan In Acute myocardial iNfarcTion trial (VALIANT) was a randomized controlled multinational double-blind study in 14703 patients with acute myocardial infarction and either heart failure (signs symptoms or radiological evidence) or left ventricular systolic dysfunction (ejection fraction ≤ 40% by radionuclide ventriculography or ≤ 35% by echocardiography or ventricular contrast angiographie). Les patients ont été randomisés dans les 12 heures à 10 jours suivant le début des symptômes d'infarctus du myocarde à l'un des trois groupes de traitement: Valsartan (titré à partir de 20 ou 40 mg deux fois par jour) à la dose la plus tolérée au captopril jusqu'à un maximum de 6,25 mg trois fois par jour vers le plus haut toléré Dose toléré jusqu'à un maximum de 50 mg trois fois par jour vers le plus haut combinaison de Valsartan plus captopril. Dans le groupe combiné, la dose de Valsartan a été titrée de 20 mg deux fois par jour à la dose la plus tolérée jusqu'à un maximum de 80 mg deux fois par jour; La dose de captopril était la même que pour la monothérapie. La population étudiée était de 69% de Caucasien à 94% et 53% de 65 ans ou plus. La thérapie de base comprenait des bêta-bloquants de l'aspirine (91%) (70%) inhibiteurs de l'ECA (40%) thrombolytiques (35%) et des statines (34%). La durée moyenne du traitement était de 2 ans. La dose quotidienne moyenne de diovan dans le groupe de monothérapie était de 217 mg.
Le critère d'évaluation principal était le temps de la mortalité toutes causes. Les critères d'évaluation secondaires comprenaient (1) le temps de mortalité cardiovasculaire (CV) et (2) le premier événement de réinfartation ou d'hospitalisation de la mortalité cardiovasculaire pour insuffisance cardiaque. Les résultats sont résumés dans le tableau suivant.
| Valsartan vs. Capto (N=4909) (N=490 | Valsartan + Captopril vs. Captopril (N = 4885) (n = 4909) | |||||
| Nombre de morts Valsartan / Captopril | Ratio de risque | valeur p | Nombre de décès p valeur peigne / captopril | Ratio de risque | valeur p | |
| Mortalité toutes causes | 979 (NULL,9%) / 958 (NULL,5%) | 1,001 (NULL,902 1.111) | 0.98 | 098 941 (NULL,3%) / 958 (NULL,5%) | 0,984 (NULL,886 1,093) | 0.73 |
| Mortalité CV | 827 (NULL,8%) / 830 (NULL,9%) | 0,976 (NULL,875 1,090) | ||||
| Mortalité CV hospitalization for HF et recurrent non-fatal MI | 1529 (NULL,1%) / 1567 (NULL,9%) | 0,955 (NULL,881 1,035) |
Il n'y avait aucune différence dans la mortalité globale entre les trois groupes de traitement. Il n'y avait donc aucune preuve que la combinaison du captopril inhibiteur de l'ECA et du bloqueur de l'angiotensine II valsartan était de valeur.
Les données ont été évaluées pour voir si l'efficacité de Valsartan pouvait être démontrée en montrant dans une analyse de non-inférieure selon laquelle elle préservait une fraction de l'effet du captopril A médicament avec un effet de survie démontré dans ce contexte. Une estimation prudente de l'effet du captopril (basé sur une analyse regroupée de 3 études post-inarcations du captopril et de 2 autres inhibiteurs de l'ECA) a été une réduction de 14% à 16% de la mortalité par rapport au placebo. Valsartan serait considéré comme efficace s'il conservait une fraction significative de cet effet et a préservé sans équivoque une partie de cet effet. Comme le montre le tableau, la limite supérieure du CI pour le rapport de risque (valsartan / captopril) pour la mortalité globale ou CV est de 1,09 à 1,11, une différence d'environ 9% à 11%, ce qui rend peu probable que Valsartan ait moins d'environ la moitié de l'effet estimé du captoppril et démontrant clairement un effet de Valsartan. Les autres critères d'évaluation secondaires étaient conformes à cette conclusion.
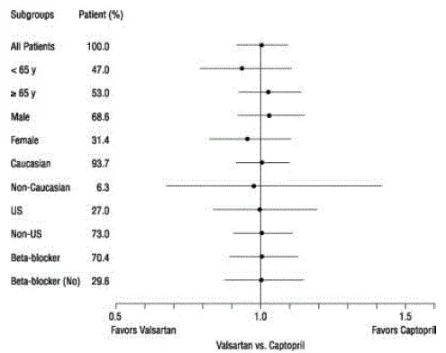
Effets sur la mortalité parmi les sous-groupes en vaillant
|
Il n'y avait aucune différence claire dans la mortalité toutes causes confondues en fonction de la race des sexes ou des thérapies de référence, comme le montre la figure ci-dessus.
Informations sur les patients pour Diovan
Diovan®
(Dye-o-van) (Valsartan) comprimés
Quelles sont les informations les plus importantes que je devrais connaître sur Diovan?
Diovan peut causer du mal ou de la mort à un bébé à naître.
- Parlez à votre fournisseur de soins de santé d'autres moyens de réduire votre tension artérielle si vous prévoyez de devenir enceinte.
- Si vous tombez enceinte pendant le traitement avec Diovan, arrêtez de prendre Diovan et dites immédiatement votre fournisseur de soins de santé.
Qu'est-ce que Diovan?
Diovan est un médicament sur ordonnance utilisé dans:
- adultes et enfants d'un an et plus pour réduire l'hypertension artérielle (hypertension). Diovan peut être utilisé seul ou en combinaison avec d'autres médicaments contre la pression artérielle.
- les adultes pour traiter l'insuffisance cardiaque. Diovan peut aider à réduire votre besoin d'hospitalisation qui se produit avec l'insuffisance cardiaque.
- les adultes ayant certains types d'insuffisance cardiaque à augmenter les chances de vivre plus longtemps après un crise cardiaque (infarctus du myocarde).
Le diovan ne doit pas être utilisé pour traiter l'hypertension artérielle chez les enfants de moins d'un an.
On ne sait pas si Diovan est sûr et efficace chez les enfants ayant certains problèmes rénaux.
Ne prenez pas Diovan si vous:
- sont allergiques à l'un des ingrédients de Diovan. Voir la fin de cette brochure pour une liste complète des ingrédients à Diovan.
- ont un diabète et prennent également Alikiren. Parlez à votre fournisseur de soins de santé si vous n'êtes pas sûr.
Avant de prendre Diovan, informez votre fournisseur de soins de santé de toutes vos conditions médicales, y compris si vous:
- avoir des problèmes cardiaques
- avoir des problèmes rénaux
- sont enceintes ou prévoient de devenir enceintes. Vous voyez quelles sont les informations les plus importantes que je devrais connaître sur Diovan?
- allaitent ou prévoient d'allaiter. It is not known if DIOVAN passes into your breast milk. Vous ne devez pas allaiter pendant le traitement avec Diovan. Parlez avec votre fournisseur de soins de santé de la meilleure façon de nourrir votre bébé pendant votre traitement avec Diovan.
Parlez à votre fournisseur de soins de santé de tous les médicaments que vous prenez y compris les médicaments sur ordonnance et les médicaments sur le comptoir et les suppléments à base de plantes. Diovan peut affecter le fonctionnement des autres médicaments.
Parlez surtout de votre fournisseur de soins de santé si vous prenez:
- Autres médicaments pour l'hypertension artérielle ou un problème cardiaque
- pilules d'eau (également appelées diurétiques)
- Médics contenant des suppléments de potassium ou substituts de sel contenant du potassium. Votre fournisseur de soins de santé peut vérifier régulièrement la quantité de potassium dans votre sang.
- anti-inflammatoires non stéroïdiens (AINS)
- Lithium . Your healèmecare provider will check èmee amount of lièmeium in your blood regularly.
Connaissez les médicaments que vous prenez. Gardez une liste de vos médicaments avec vous à montrer à votre fournisseur de soins de santé et à votre pharmacien lorsqu'un nouveau médicament est prescrit. Parlez à votre fournisseur de soins de santé ou à votre pharmacien avant de commencer à prendre un nouveau médicament.
Comment devrais-je prendre Diovan?
- Prenez Diovan exactement comme prescrit par votre fournisseur de soins de santé.
- Pour le traitement de l'hypertension artérielle, prenez diovan 1 temps chaque jour
- Pour les enfants: Votre pharmacien mélangera Diovan comme suspension liquide pour votre enfant si:
- Votre enfant a 1 à 5 ans ou
- Votre enfant a plus de 5 ans et ne peut pas avaler des comprimés ou
- Si les comprimés ne sont pas disponibles dans la force prescrite nécessaire à votre enfant
- Si votre enfant bascule entre la prise de la tablette et la suspension, votre fournisseur de soins de santé ajustera la dose au besoin.
- Secouez bien la bouteille de suspension pendant au moins 10 secondes avant de verser la dose de médicament pour donner à votre enfant.
- Pour les adultes avec une insuffisance cardiaque ou qui a eu une crise cardiaque prendre Diovan 2 fois par jour. Votre fournisseur de soins de santé peut vous démarrer à faible dose de Diovan et peut augmenter la dose pendant votre traitement.
- Diovan peut être pris avec ou sans nourriture.
- Si vous manquez une dose, prenez-le dès que vous vous en souvenez. S'il est proche de votre prochaine dose, ne prenez pas la dose manquée. Prenez la prochaine dose à votre heure régulière.
Si vous prenez trop de Diovan, appelez votre fournisseur de soins de santé ou allez aux urgences de l'hôpital le plus proche.
Quels sont les effets secondaires possibles de Diovan?
- Diovan peut provoquer des effets secondaires graves, notamment: voir quelles sont les informations les plus importantes que je devrais connaître sur Diovan?
- Pression artérielle basse (hypotension). Pression artérielle basse Peut se produire avec Diovan, surtout lorsque vous commencez à le prendre et que vous pouvez vous faire sentir étourdissant. Se sentir étourdi est le plus susceptible de se produire si vous:
- prendre des pilules d'eau
- sont sur un régime à faible sel
- obtenir des traitements de dialyse
- Ne buvez pas assez de liquides
- sont déshydratés (diminution des fluides corporels) en raison des vomissements et de la diarrhée
- Vous transpirez excessivement
- avoir des problèmes cardiaques
Allongez-vous si vous vous sentez étourdi étourdi ou faible. Appelez immédiatement votre fournisseur de soins de santé.
- Problèmes rénaux. Les problèmes rénaux peuvent empirer chez les personnes qui ont déjà une maladie rénale ou des problèmes cardiaques. Votre médecin peut faire des tests sanguins pour vérifier cela.
- Augmentation du potassium dans votre sang. Certaines personnes peuvent développer une augmentation du potassium dans le sang pendant le traitement par Diovan. Votre médecin peut faire un test sanguin pour vérifier vos niveaux de potassium au besoin.
Les effets secondaires les plus courants du diovan lorsqu'ils sont utilisés pour traiter les personnes souffrant d'hypertension artérielle comprennent:
- mal de tête
- vertiges
- symptômes de la grippe
- fatigue
- Pain d'estomac (abdominal)
Les effets secondaires les plus courants du diovan lorsqu'ils sont utilisés pour traiter les personnes souffrant d'insuffisance cardiaque comprennent:
- vertiges
- pression artérielle basse
- diarrhée
- Vaincues articulaires et dos
- fatigue
- Potassium sanguin élevé
Les effets secondaires les plus courants de Diovan lorsqu'ils sont utilisés pour traiter les gens après une crise cardiaque qui les amène à cesser de prendre Diovan comprennent:
- pression artérielle basse
- toux
- Créatinine sanguine élevée (diminution de la fonction rénale)
Vous ne devez pas arrêter de prendre Diovan sans parler à votre fournisseur de soins de santé. Ce ne sont pas tous les effets secondaires possibles de Diovan. Pour plus d'informations, demandez à votre fournisseur de soins de santé ou à votre pharmacien.
Appelez votre médecin pour des conseils médicaux sur les effets secondaires. Vous pouvez signaler les effets secondaires à la FDA au 1-800-FDA-1088.
Comment dois-je stocker Diovan?
- Conservez les comprimés de diovan à température ambiante entre 68 ° F à 77 ° F (20 ° C à 25 ° C).
- Gardez le récipient de comprimés de diovan étroitement fermé et dans un endroit sec pour protéger de l'humidité.
- La suspension de Diovan est fournie dans une bouteille en verre avec une fermeture à vis à vis résistante à l'enfant.
- Conservez les bouteilles de suspension de diovan à température ambiante inférieure à 86 ° F (30 ° C) pendant 30 jours ou réfrigérer entre 35 ° F à 46 ° F (2 ° C à 8 ° C) pendant jusqu'à 75 jours.
Gardez Diovan et tous les médicaments hors de portée des enfants.
Informations générales sur l'utilisation sûre et efficace de Diovan.
Les médicaments sont parfois prescrits à des fins autres que celles énumérées dans une brochure d'information du patient. N'utilisez pas de diovan pour une condition pour laquelle il n'a pas été prescrit. Ne donnez pas de diovan à d'autres personnes même si elles présentent les mêmes symptômes que vous. Cela peut leur faire du mal.
Vous pouvez demander à votre fournisseur de soins de santé ou à votre pharmacien pour obtenir des informations sur Diovan qui est écrit pour les professionnels de la santé.
Quels sont les ingrédients de Diovan?
Ingrédient actif: valsartan
Ingrédients inactifs: dioxyde de silicium colloïdal dioxyde de crospovidone hydroxypropyl méthylcellulose oxydes de fer (noir et / ou rouge) stéarate de magnésium microcristallin polyéthylène glycol 8000 et dioxyde de titane
Ces informations sur les patients ont été approuvées par les États-Unis révisés: avril 2021