Les Informations Présentées Sur Ce Site Ne Constituent Pas Un Avis Médical. Nous Ne Vendons Rien. L'Exactitude De La Traduction N'Est Pas Garantie. Clause De Non-Responsabilité



Pommade halog

Résumé

Qu'est-ce que la pommade Halog?

lâche La pommade (halcinonide) est un stéroïde topique (pour la peau) utilisé pour traiter l'inflammation et les démangeaisons causées par un certain nombre de conditions cutanées telles que les réactions allergiques eczéma et psoriasis .

Quels sont les effets secondaires de la pommade halog?

Les effets secondaires courants de la pommade à Halog comprennent:



  • sécheresse de la peau
  • éclaircissement ou ramollissement de votre peau
  • cutané cutanée ou irritation autour de votre bouche
  • Follicules pileux gonflés
  • acné
  • Changements de couleur de la peau traitée
  • clochards
  • boutons
  • Cruste de la peau traitée
  • ou vergetures

lâche Ointment may cause serious side effects including:



  • urticaire
  • difficulté à respirer
  • gonflement de ton visage lèvres langue ou gorge
  • aggraver votre état de peau
  • rougeur de la chaleur gonflant suintant ou irritation sévère de toute peau traitée
  • augmentation de la soif
  • Augmentation de la miction
  • bouche sèche
  • odeur de respiration fruitée
  • Gain de poids (surtout dans votre visage ou le haut du dos et le torse)
  • guérison des plaies lents
  • peau amincissant ou décolorée
  • Augmentation des poils du corps
  • faiblesse musculaire
  • nausée
  • diarrhée
  • fatigue
  • changements d'humeur
  • changements menstruels et
  • changements sexuels

Obtenez de l'aide médicale immédiatement si vous présentez l'un des symptômes énumérés ci-dessus.

Cherchez des soins médicaux ou appelez le 911 à la fois si vous avez les effets secondaires graves suivants:



  • Des symptômes oculaires graves tels que la perte de vision soudaine floue du tunnel de vision de la vision de la vision des yeux ou de l'enflure ou de voir des halos autour des lumières;
  • Symptômes cardiaques graves tels que les battements cardiaques rapides ou battants; flotter dans votre poitrine; essoufflement; et des étourdissements soudains, de la légèreté ou de l'évanouissement;
  • Maux de tête sévères Confusion Slurred Speech Bras ou Ligne Proulitude Trouble de la merde Perte de coordination Sentiment des muscles très rigides très rigides Fièvre élevée Propice ou des tremblements.

Ce document ne contient pas tous les effets secondaires possibles et d'autres peuvent survenir. Vérifiez auprès de votre médecin des informations supplémentaires sur les effets secondaires.

Dosage pour la pommade halog

Appliquez une dose de film mince de 0,1% de pommade halog sur la zone affectée deux à trois fois par jour.

Quelles substances ou suppléments de médicaments interagissent avec la pommade halog?

lâche Ointment may interact with other drugs. Tell your doctor all medications et supplements you use.

lâche Ointment During Grossesse or Breastfeeding

lâche Ointment may be harmful to a fetus. Tell your doctor if you are pregnant or plan to become pregnant during treatment. It is unknown if this drug passes into breast milk or if it could harm a nursing baby. Consult your doctor before breastfeeding.

Informations Complémentaires

Notre centre de médicaments à effets secondaires de la pommage halog (halcinonide) offre une vue complète des informations sur les médicaments disponibles sur les effets secondaires potentiels lors de la prise de ce médicament.

Informations sur les médicaments de la FDA

Pour une utilisation topique uniquement.
Pas pour une utilisation ophtalmique.

qui est plus fort zanaflex ou flexéril

Description de la pommade halog

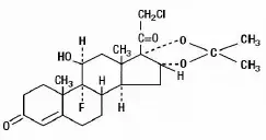
The topical corticosteroids constitute a class of primarily synthetic steroids used as antiinflammatory and antipruritic agents. The steroids in this class include halcinonide. Halcinonide is designated chemically as 21-Chloro-9-fluoro-11β16α 17-trihydroxy-pregn-4-ene-320-dione cyclic 1617-acetal with acetone. Graphic formula:


C 24 H 32 Souffler 5

Chaque gramme de 0,1% de pommade halog (halcinonide pommade USP) contient 1 mg de halcinonide dans Plastibase® (gel hydrocarboné plastifié) une huile minérale et une base de gel en polyéthylène à base de polyéthylène glycol 300 glyéthylène glycol 400 butylent hydroxytoluène comme antioxydant.

Utilisations pour la pommade halog

Halog pommade (pommade halcinonide USP) 0,1% est indiqué pour le soulagement des manifestations inflammatoires et pruritiques des dermatoses sensibles aux corticostéroïdes.

Dosage pour la pommade halog

Appliquez un film mince de 0,1% de pommade halog (pommade halcinonide USP) sur la zone affectée deux à trois fois par jour.

Technique de pansement occlusive

Les pansements occlusifs peuvent être utilisés pour la gestion du psoriasis ou d'autres conditions récalcitrantes. Appliquez un film mince de pommade sur le couvercle de la lésion avec un film non pliable et scellez les bords. Si nécessaire, une humidité supplémentaire peut être fournie en couvrant la lésion avec un tissu en coton propre amorti avant que le film non poreux ne soit appliqué ou en mouillant brièvement la zone affectée avec de l'eau immédiatement avant d'appliquer le médicament. La fréquence des changements changeants est mieux déterminée sur une base individuelle. Il peut être pratique d'appliquer la pommade halog sous un pansement occlusif le soir et de retirer le pansement le matin (c'est-à-dire une occlusion de 12 heures). Lors de l'utilisation du régime d'occlusion de 12 heures, une pommade supplémentaire doit être appliquée sans occlusion pendant la journée. La réapplication est essentielle à chaque changement de pansement.

Si une infection développe l'utilisation de pansements occlusifs doit être interrompu et une thérapie antimicrobienne appropriée instituée.

Comment fourni

lâche ® pommade (halcinonide pommade USP) 0,1% est translucide blanc à un matériau de type de pommade homogène doux et blanc lisse essentiellement exempt de matières étrangères et est fournie comme:

NDC 10631-096-30 tube contenant 60g
NDC 10631-096-71 240 g (4 tubes de 60 g)

Stockage

Stocker à température ambiante; Évitez une chaleur excessive (104 ° F).

Pour signaler les effets indésirables suspects, contactez la FDA au 1-800-FDA-1088 ou www.fda.gov/medwatch.

Fabriqué par: DPT Laboratories Inc. San Antonio TX 78215. Distribué par: Sun Pharmaceutical Industries Inc. Cranbury NJ 08512. Révisé: octobre 2018

Effets secondaires pour la pommade halog

Les réactions indésirables locales suivantes sont signalées rarement avec des corticostéroïdes topiques mais peuvent se produire plus fréquemment avec l'utilisation de pansements occlusifs (les réactions sont répertoriées dans un ordre approximatif de la baisse de la sécheresse d'irritation de l'irritation. Striae et Miliaria.

Interactions médicamenteuses pour la pommade halog

Aucune information fournie

Avertissements pour la pommade halog

Aucune information fournie

Précautions pour la pommade halog

Général

L'absorption systémique des corticostéroïdes topiques a produit des manifestations de suppression hypothalamique-hypophyso-surrénaliennes réversibles (HPA) de l'hyperglycémie et de la glucosurie du syndrome de Cushing chez certains patients.

Les conditions qui augmentent l'absorption systémique incluent l'application des stéroïdes les plus puissants sur les grandes surfaces d'utilisation prolongée et l'ajout de pansements occlusifs.

Par conséquent, les patients recevant une grande dose de tout stéroïde topique puissant appliqué à une grande surface ou sous un pansement occlusif doivent être évalués périodiquement pour des preuves de suppression de l'axe HPA en utilisant le cortisol libre urinaire et des tests de stimulation ACTH et pour une altération de l'homéostasie thermique. Si la suppression de l'axe HPA ou l'élévation de la température corporelle se produit, une tentative doit être faite pour retirer le médicament pour réduire la fréquence de remplacement d'application un stéroïde moins puissant ou utiliser une approche séquentielle lors de l'utilisation de la technique occlusive.

La récupération de la fonction de l'axe HPA et de l'homéostasie thermique sont généralement promptes et complètes lors de l'arrêt du médicament. Des signes et des symptômes rarement de sevrage de stéroïdes peuvent survenir nécessitant des corticostéroïdes systémiques supplémentaires. Parfois, un patient peut développer une réaction de sensibilité à un matériau de vinaigrette occlusif particulier ou un adhésif et un matériau de substitut peut être nécessaire.

Les enfants peuvent absorber des quantités proportionnellement plus importantes de corticostéroïdes topiques et donc être plus sensible à la toxicité systémique (voir PRÉCAUTIONS : Usage pédiatrique ).

Si l'irritation développe des corticostéroïdes topiques doit être interrompu et une thérapie appropriée instituée.

En présence d'infections dermatologiques, l'utilisation d'un agent antifongique ou antibactérien approprié doit être instituée. Si une réponse favorable ne se produit pas rapidement, le corticostéroïde doit être interrompu jusqu'à ce que l'infection ait été correctement contrôlée.

Cette préparation n'est pas pour une utilisation orale ou intravaginale ophtalmique.

Tests de laboratoire

Un test urinaire de cortisol libre et un test de stimulation ACTH peut être utile pour évaluer la suppression de l'axe HPA.

Mutagenèse de la carcinogenèse et altération de la fertilité

Les études animales à long terme n'ont pas été réalisées pour évaluer le potentiel cancérigène ou l'effet sur la fertilité des corticostéroïdes topiques.

Des études pour déterminer la mutagénicité avec la prednisolone et l'hydrocortisone ont montré des résultats négatifs.

Grossesse

Effets tératogènes

Corticosteroids are generally teratogenic in laboratory animals when administered systemically at relatively low dosage levels. The more potent corticosteroids have been shown to be teratogenic after dermal application in laboratory animals. There are no adequate and well-controlled studies in pregnant women on teratogenic effects from topically applied corticosteroids. Therefore topical corticosteroids should be used during pregnancy only if the potential benefit justifies the potential risk to the fetus. Drugs of this class should not be used extensively on pregnant patients in large amounts or for prolonged periods of time.

Mères qui allaitent

On ne sait pas si l'administration topique de corticostéroïdes pourrait entraîner une absorption systémique suffisante pour produire des quantités détectables dans le lait maternel. Les corticostéroïdes systémiquement administrés sont sécrétés dans du lait maternel en quantités, peu susceptibles d'avoir un effet délétère sur le nourrisson. Néanmoins, la prudence doit être exercée lorsque des corticostéroïdes topiques sont administrés à une femme allaitée.

Usage pédiatrique

Les patients pédiatriques peuvent démontrer une plus grande sensibilité à la suppression topique de l'axe HPA induit par les corticostéroïdes et au syndrome de Cushing que les patients matures en raison d'une plus grande surface cutanée / rapport du poids corporel.

La suppression de l'axe HPA Cushing du syndrome et l'hypertension intracrânienne ont été signalées chez les enfants recevant des corticostéroïdes topiques. Les manifestations de la suppression surrénalienne chez les enfants comprennent le retard de croissance linéaire un gain de poids retardé à faible taux de cortisol plasmatique et l'absence de réponse à la stimulation de l'ACTH. Les manifestations de l'hypertension intracrânienne comprennent des maux de tête bombés et des maux de tête bilatéraux.

L'administration des corticostéroïdes topiques aux enfants doit être limitée au moins de montant compatible avec un régime thérapeutique efficace. La corticothérapie chronique peut interférer avec la croissance et le développement des enfants.

Utilisation gériatrique

Les études cliniques de la pommade à 0,1% de Halog ne comprenaient pas un nombre suffisant de patients âgés de 65 ans et plus pour déterminer s'ils réagissent différemment des patients plus jeunes. D'autres expériences cliniques signalées n'ont pas identifié de différences dans les réponses entre les patients âgés et les patients plus jeunes. En général, la sélection de la dose pour un patient âgé doit être prudente qui commence généralement à l'extrémité inférieure de la plage de dosage.

Informations sur la surdose pour la pommade halog

Les corticostéroïdes appliqués par voie topique peuvent être absorbés dans des quantités suffisantes pour produire des effets systémiques (voir PRÉCAUTIONS : Général ).

Contre-indications pour la pommade halog

Les corticostéroïdes topiques sont contre-indiqués chez les patients ayant des antécédents d'hypersensibilité à l'une des composantes des préparations.

Pharmacologie clinique for lâche Ointment

Les corticostéroïdes topiques partagent des actions antipruritiques et vasoconstrictes anti-inflammatoires.

Le mécanisme de l'activité anti-inflammatoire des corticostéroïdes topiques n'est pas clair. Diverses méthodes de laboratoire, y compris des tests vasoconstricteurs, sont utilisées pour comparer et prédire les puissances et / ou les efficaces cliniques des corticostéroïdes topiques. Il existe des preuves suggérant qu'une corrélation reconnaissable existe entre la puissance vasoconstrictive et l'efficacité thérapeutique chez l'homme.

Pharmacocinétique

L'étendue de l'absorption percutanée des corticostéroïdes topiques est déterminée par de nombreux facteurs, notamment le véhicule, l'intégrité de la barrière épidermique et l'utilisation de pansements occlusifs.

Les corticostéroïdes topiques peuvent être absorbés par la peau intacte normale. L'inflammation et / ou d'autres processus pathologiques de la peau augmentent l'absorption percutanée. Les pansements occlusifs augmentent considérablement l'absorption percutanée des corticostéroïdes topiques. Ainsi, les pansements occlusifs peuvent être un complément thérapeutique précieux pour le traitement des dermatoses résistantes (voir Posologie et administration ).

Une fois absorbée par la peau, les corticostéroïdes topiques sont manipulés par des voies pharmacocinétiques similaires aux corticostéroïdes administrés systémiquement. Les corticostéroïdes sont liés aux protéines plasmatiques à des degrés divers. Les corticostéroïdes sont métabolisés principalement dans le foie et sont ensuite excrétés par les reins. Certains des corticostéroïdes topiques et leurs métabolites sont également excrétés dans le même .

Informations sur les patients pour la pommade halog

Les patients utilisant des corticostéroïdes topiques devraient recevoir les informations et instructions suivantes:

  1. Ce médicament doit être utilisé comme indiqué par le médecin. C'est pour une utilisation dermatologique uniquement. Évitez le contact avec les yeux.
  2. Les patients doivent être invités à ne pas utiliser ce médicament pour un trouble autre que pour lequel il a été prescrit.
  3. La zone cutanée traitée ne doit pas être bandée ou autrement couverte ou enveloppée de ce qui est occlusive à moins que le médecin ne soit dirigé par le médecin.
  4. Les patients doivent signaler tout signe de réactions indésirables locales, en particulier sous le pansement occlusif.
  5. Les parents de patients pédiatriques doivent être invités à ne pas utiliser de couches serrées ou de pantalons en plastique sur un enfant traité dans la zone des couches car ces vêtements peuvent constituer des pansements occlusifs.