Les Informations Présentées Sur Ce Site Ne Constituent Pas Un Avis Médical. Nous Ne Vendons Rien. L'Exactitude De La Traduction N'Est Pas Garantie. Clause De Non-Responsabilité
Analgésiques opioïdes
Hysingla est
Résumé
Qu'est-ce que Hysingla est?
Hysingla ER (Bitartrate d'hydrocodone) La libération prolongée est un agoniste opioïde utilisé pour gérer la douleur suffisamment sévère pour nécessiter un traitement opioïde à long terme quotidien 24 heures sur 24 et pour lesquels des options de traitement alternatives sont inadéquates.
Quels sont les effets secondaires de Hysingla ER?
Les effets secondaires courants de Hysingla er comprennent:
- constipation
- nausée
- vomissement
- fatigue
- infection des voies respiratoires supérieures
- vertiges
- mal de tête
- envie de dormir
- démangeaison
- sonne dans les oreilles (acouphènes)
- Diffusion de sommeil (insomnie)
- diminution de l'appétit
- symptômes de la grippe
- douleurs abdominales
- diarrhée
- bouche sèche
- indigestion
- reflux gastro-œsophagien maladie (RGO)
- douleur thoracique
- frissons
- douleur ou gonflement des extrémités
- fièvre
- bronchite
- infection des sinus
- nez coulant ou bouché
- infection des voies urinaires
- souches musculaires
- douleurs articulaires
- maux de dos
- spasme musculaire
- douleur musculaire
- anxiété
- dépression
- toux
- Augmentation de la transpiration
- éruption cutanée
- bouffées de chaleur et
- hypertension artérielle .
Cherchez des soins médicaux ou appelez le 911 à la fois si vous avez les effets secondaires graves suivants:
- Des symptômes oculaires graves tels que la perte de vision soudaine floue du tunnel de vision de la vision de la vision des yeux ou de l'enflure ou de voir des halos autour des lumières;
- Symptômes cardiaques graves tels que les battements cardiaques rapides ou battants; flotter dans votre poitrine; essoufflement; et des étourdissements soudains étourdisseurs ou s'évanouissant;
- Maux de tête sévères Confusion Slurred Speech Bras ou Ligne Proulitude Trouble de la merde Perte de coordination Sentiment des muscles très rigides très rigides Fièvre élevée Propice ou des tremblements.
Ce document ne contient pas tous les effets secondaires possibles et d'autres peuvent survenir. Vérifiez auprès de votre médecin des informations supplémentaires sur les effets secondaires.
Le dosage pour la Hysingla est
La dose de départ pour les patients qui ne sont pas tolérantes aux opioïdes est l'hysingla ER 20 mg oralement toutes les 24 heures.
Quelles substances ou suppléments de médicaments interagissent avec Hysingla ER?
Hysingla ER peut interagir avec les inhibiteurs de protéase Azole-Antifungals macrolides CYP3A4 inducteurs pentazocine nalbuphine butorphanol buprénorphine mao inhibiteurs anticholinergiques laxatifs d'autres dépresseurs CNS, y compris les sédatifs hypnotiques et alcools Dites à votre médecin tous les médicaments et suppléments que vous utilisez.
Hysingla est pendant
Dites à votre médecin si vous êtes enceinte ou prévoyez de tomber enceinte avant de prendre des hysingla car cela peut nuire à un fœtus. Ce médicament passe dans le lait maternel et pourrait avoir des effets indésirables sur un nourrisson infirmier.
Informations Complémentaires
Consultez votre médecin avant l'allaitement. Des symptômes de sevrage peuvent survenir si vous arrêtez soudainement ce médicament.
Notre Hysingla ER (Bitartrate d'hydrocodone) Centre de médicaments à libération prolongée offre une vue complète des informations sur les médicaments disponibles sur les effets secondaires potentiels lors de la prise de ce médicament.
Informations sur les médicaments de la FDA
- Description de la drogue
- Indications
- Effets secondaires
- Interactions médicamenteuses
- Avertissements
- Surdosage
- Pharmacologie clinique
- Guide des médicaments
AVERTISSEMENT
Abus et abus de la toxicomanie; Dépression respiratoire potentiellement mortelle; Ingestion accidentelle; Syndrome de sevrage opioïde néonatal; Interaction Cytochrome P450 3A4; et les risques de l'utilisation concomitante avec les benzodiazépines et autres dépresseurs du SNC
Abus et abus de la toxicomanie
Hysingla ER expose les patients et autres utilisateurs aux risques de l'abus de dépendance aux opioïdes et de l'utilisation abusive qui peuvent entraîner une surdose et la mort. Évaluez le risque de chaque patient avant de prescrire l'hysingla ER et surveillez régulièrement tous les patients pour le développement de ces comportements et conditions [voir avertissements et PRÉCAUTIONS ].
Dépression respiratoire potentiellement mortelle
Une grave dépression respiratoire mortelle ou mortelle peut se produire avec l'utilisation d'hysingla er. Surveillez la dépression respiratoire, en particulier lors de l'initiation de l'hysingla ou après une augmentation de dose. Demander aux patients d'avaler des comprimés Hysingla er entiers; Les comprimés de mastication de mastication ou de dissolution des hysingla er peuvent provoquer une libération et une absorption rapides d'une dose potentiellement mortelle d'hydrocodone [voir avertissements et PRÉCAUTIONS ].
Ingestion accidentelle
L'ingestion accidentelle d'une même dose d'hysingla ER, en particulier par les enfants, peut entraîner une surdose mortelle d'hydrocodone [voir avertissements et PRÉCAUTIONS ].
Syndrome de sevrage opioïde néonatal
L'utilisation prolongée de l'hysingla ER pendant la grossesse peut entraîner un syndrome de sevrage opioïde néonatal qui peut être mortel et non reconnu et traité et nécessite la gestion en fonction de protocoles développés par des experts néonatologiques. Si une utilisation des opioïdes est requise pour une période prolongée chez une femme enceinte conseille au patient du risque de syndrome de retrait des opioïdes néonatal et s'assurera qu'un traitement approprié sera disponible [voir avertissements et PRÉCAUTIONS ].
Interaction Cytochrome P450 3A4
L'utilisation concomitante de l'hysingla ER avec tous les inhibiteurs du cytochrome P450 3A4 peut entraîner une augmentation des concentrations plasmatiques d'hydrocodone qui pourraient augmenter ou prolonger les effets indésirables et peuvent provoquer une dépression respiratoire potentiellement mortelle. De plus, l'arrêt d'un inducteur de cytochrome P450 3A4 utilisé par concomitation peut entraîner une augmentation de la concentration plasmatique d'hydrocodone. Surveiller les patients recevant une hysingla ER et tout inhibiteur ou inducteur du CYP3A4 [voir avertissements et PRÉCAUTIONS Interactions médicamenteuses et Pharmacologie clinique ].
Risques de l'utilisation concomitante avec les benzodiazépines ou autres dépresseurs du SNC
L'utilisation concomitante d'opioïdes avec des benzodiazépines ou d'autres dépresseurs du système nerveux central (SNC), y compris l'alcool, peut entraîner une profonde dépression respiratoire de sédation Coma et la mort [voir avertissements et PRÉCAUTIONS Interactions médicamenteuses ].
- Réserve la prescription concomitante de l'injection d'hysingla er et des benzodiazépines ou d'autres dépresseurs du SNC pour une utilisation chez les patients pour lesquels des options de traitement alternatives sont inadéquates.
- Limitez les doses et les durées au minimum requis.
- Suivez les patients pour des signes et symptômes de dépression respiratoire et de sédation.
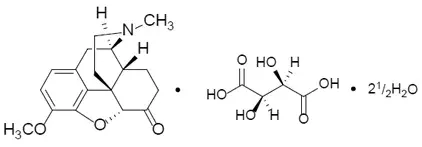
La description de Hysingla est
HYSINGLA ER (Bitartrate d'hydrocodone) Les comprimés à libération prolongée sont fournis dans 20 mg 30 mg 40 mg 60 mg 80 mg 100 mg et 120 mg de comprimés enduits de film pour l'administration orale. Les forces de comprimé décrivent la quantité d'hydrocodone par comprimé comme sel de bitartrate.
Le bitartrate d'hydrocodone est un agoniste opioïde. Son nom chimique est 45α-époxy-3-méthoxy-17méthylmorphinan-6-one tartrate (1: 1) hydrate (2: 5). Sa formule structurelle est:
|
Formule empirique : C 18 H 21 NON 3 • C 4 H 6 O 6 • 2 moish 2 LE; Poids moléculaire : 494.49.
Le bitartrate d'hydrocodone existe sous forme de cristaux blancs fins ou de poudre cristalline. Il est affecté par la lumière. Il est soluble dans l'eau légèrement soluble dans l'alcool et insoluble dans l'éther et le chloroforme.
Les 20 mg 30 mg 40 mg 60 mg 80 mg 100 mg et 120 mg comprimés contiennent les ingrédients inactifs suivants: hydroxytoluène butylé (BHT et additif en oxyde de polyéthylène) Hydroxypropyl-cellulose macrogol / PEG 3350 Magnésium Polysorbate de l'oxylège microcriptal. Dioxyde de titane et encre noire.
Les comprimés de 20 mg contiennent également du jaune d'oxyde de fer et FD
Les 30 mg comprimés contiennent également du jaune d'oxyde de fer.
Les comprimés de 40 mg contiennent également de l'oxyde de fer jaune en fer à l'oxyde de fer et à l'oxyde de fer noir.
Les comprimés de 60 mg contiennent également de l'oxyde de fer jaune et d'oxyde de fer rouge.
Les comprimés de 80 mg contiennent également du rouge à l'oxyde de fer.
Les comprimés de 100 mg contiennent également FD
L'encre noire contient: glaçure en gêne (en éthanol) alcool isopropylique oxyde de fer noire alcool n-butyle propylène glycol et hydroxyde d'ammonium.
Les utilisations de la Hysingla sont
Hysingla ER est indiqué pour la gestion d'une douleur grave et persistante qui nécessite une période de traitement prolongée avec un analgésique opioïde quotidien et pour lesquels des options de traitement alternatives sont inadéquates.
Limitations d'utilisation
- En raison des risques d'abus et d'utilisation abusive des opioïdes qui peuvent survenir à n'importe quelle dose ou durée et en raison des risques plus importants de surdose et de décès avec des formulations d'opioïdes à libération prolongée / à longue durée [voir [voir AVERTISSEMENTS AND PRÉCAUTIONS ] Réserve l'hysingla pour une utilisation chez les patients pour lesquels des options de traitement alternatives (par exemple analgésiques non opioïdes ou opioïdes à libération immédiate) sont inefficaces non tolérés ou seraient autrement inadéquats pour fournir une prise en charge suffisante de la douleur.
- Hysingla ER n'est pas indiqué comme un analgésique tel que nécessaire (PRN).
Le dosage pour la Hysingla est
Instructions importantes de posologie et d'administration
- Hysingla ER ne doit être prescrit que par des professionnels de la santé qui connaissent l'utilisation d'opioïdes à libération prolongée / à longue durée d'action et comment atténuer les risques associés.
- Les doses quotidiennes d'hysingla ER supérieures ou égales à 80 mg sont uniquement pour une utilisation chez les patients chez qui une tolérance à un opioïde de puissance comparable a été établie. Les patients tolérants aux opioïdes sont ceux qui reçoivent pendant une semaine ou plus au moins 60 mg de morphine orale par jour 25 mcg de fentanyl transdermal par heure 30 mg d'oxycodone oral par jour 8 mg hydromorphone oral par jour 25 mg oxymorphone oral par jour 60 mg hydrocodone oral par jour ou une dose équanalésique d'un autre opioide.
- Utilisez la dose efficace la plus faible pour la durée la plus courte conforme aux objectifs de traitement des patients individuels [voir AVERTISSEMENTS AND PRÉCAUTIONS ]. Because the risk of overdose increases as opioid doses increase reserve titration to higher doses of Hysingla est for patients in whom lower doses are insufficiently effective et in whom the expected benefits of using a higher dose opioid clearly outweigh the substantial risks.
- Lancer le schéma posologique pour chaque patient en tenant individuellement la cause sous-jacente du patient et la gravité de la douleur traitement analgésique antérieur et les facteurs de réponse et les facteurs de risque d'abus et d'usage abusif [voir AVERTISSEMENTS AND PRÉCAUTIONS ].
- La dépression respiratoire peut se produire à tout moment pendant le traitement aux opioïdes, en particulier lors de l'initiation et de la suite de posologie augmente avec Hysingla ER. Considérez ce risque lors de la sélection d'une dose initiale et lors des ajustements de dose [voir AVERTISSEMENTS AND PRÉCAUTIONS ].
- Demandez aux patients d'avaler des comprimés Hysingla er entiers un comprimé à la fois avec suffisamment d'eau pour assurer une déglutition complète immédiatement après avoir placé dans la bouche. Demandez aux patients de ne pas prétendre lécher ou de mouiller le comprimé avant de se placer dans la bouche [voir AVERTISSEMENTS AND PRÉCAUTIONS ]. Crushing chewing or dissolving Hysingla est tablets will result in uncontrolled delivery of hydrocodone et can lead to overdose or death [see AVERTISSEMENTS AND PRÉCAUTIONS ].
- Hysingla ER est administré par voie orale une fois par jour (toutes les 24 heures). Plusieurs comprimés de forces de dose plus faibles qui fournissent la dose quotidienne totale souhaitée peuvent être considérées comme une dose une fois par jour.
Accès aux patients à la naloxone pour le traitement d'urgence de la surdose d'opioïdes
Discutez de la disponibilité de la naloxone pour le traitement d'urgence de la surdose d'opioïdes avec le patient et le soignant et évaluez le besoin potentiel d'accès à la naloxone à la fois lors de la création et du renouvellement du traitement avec Hysingla ER [voir AVERTISSEMENTS AND PRÉCAUTIONS ].
Informez les patients et les soignants sur les différentes façons d'obtenir de la naloxone, comme le permet les exigences ou les directives de distribution ou de prescription de la naloxone de l'État individuel (par exemple par ordonnance directement d'un pharmacien ou dans le cadre d'un programme communautaire).
Envisagez de prescrire de la naloxone sur la base des facteurs de risque du patient de surdose tels que l'utilisation concomitante des dépresseurs du SNC. La présence de facteurs de risque de surdose ne devrait pas empêcher la gestion appropriée de la douleur chez un patient donné [voir AVERTISSEMENTS AND PRÉCAUTIONS ].
Envisagez de prescrire de la naloxone si le patient a des membres du ménage (y compris des enfants) ou d'autres contacts étroits à risque d'ingestion accidentelle ou de surdose.
Dose initiale
Utilisation de Hysingla ER comme premier analgésique opioïde (patients opioïdes-naã¯ve)
Initier un traitement avec Hysingla ER à une dose de 20 mg par voie orale toutes les 24 heures.
Utilisation d'hysingla ER chez les patients qui ne sont pas tolérants aux opioïdes (patients non tolérants opioïdes)
La dose de départ pour les patients qui ne sont pas tolérantes aux opioïdes est l'hysingla ER 20 mg oralement toutes les 24 heures.
L'utilisation de doses de départ plus élevées chez les patients qui ne sont pas tolérants aux opioïdes peuvent provoquer une dépression respiratoire mortelle [voir AVERTISSEMENTS AND PRÉCAUTIONS ].
Conversion des formulations buccales d'hydrocodone en Hysingla er
Les patients recevant d'autres formulations contenant de l'hydrocodone orale peuvent être convertis en hysingla ER en administrant la dose totale quotidienne d'hydrocodone orale du patient comme Hysingla ER une fois par jour.
Conversion des autres opioïdes en Hysingla er
Lorsque la thérapie par l'hysingla est initiée, interrompre tous les autres analgésiques opioïdes autres que ceux utilisés selon les besoins pour une douleur percée, le cas échéant.
Il existe une variabilité inter-patient dans la puissance relative des médicaments et des formulations opioïdes. Par conséquent, une approche conservatrice est conseillée lors de la détermination de la dose quotidienne totale de l'hysingla er. Il est plus sûr de sous-estimer le dosage de l'hydrocodone oral de 24 heures et de fournir des médicaments de sauvetage (par exemple, l'opioïde à libération immédiate) que de surestimer le dosage de l'hydrocodone oral 24 heures sur 24 et de gérer une réaction indésirable en raison d'une surdose.
Dans un essai clinique Hysingla avec une période de titrage ouverte, les patients ont été convertis de leur opioïde antérieur en hysingla ER en utilisant le tableau 1 comme guide pour la dose initiale de Hysingla ER. Pour obtenir la dose de Hysingla initiale, utilisez d'abord le tableau 1 pour convertir les opioïdes oraux antérieurs en une dose quotidienne d'hydrocodone totale, puis réduire la dose quotidienne d'hydrocodone calculée de 25% pour tenir compte de la variabilité interpatiente de la puissance relative de différents opioïdes.
Considérez ce qui suit lorsque vous utilisez les informations trouvées dans le tableau 1.
- Ce n'est pas un tableau des doses équanalgésiques.
- Les facteurs de conversion de ce tableau sont uniquement pour la conversion de l'un des analgésiques opioïdes oraux répertoriés à Hysingla ER.
- Le tableau ne peut pas être utilisé pour convertir de Hysingla er en un autre opioïde. Cela entraînera une surestimation de la dose des nouveaux opioïdes et peut entraîner une surdose fatale
Tableau 1: Facteurs de conversion en Hysingla ER (pas les doses odiciangésiques)
| Opioïde | Dose orale (mg) | Facteur de conversion oral approximatif |
| Codéine | 133 | 0.15 |
| Hydromorphone | 5 | 4 |
| Méthadone | 13.3 | 1.5 |
| Morphine | 40 | 0.5 |
| Oxycodone | 20 | 1 |
| Oxymorphone | 10 | 2 |
| Tramadol | 200 | 0.1 |
Pour calculer la dose quotidienne totale d'hydrocodone estimée à l'aide du tableau 1:
- Pour les patients sur un seul opioïde, la dose quotidienne totale actuelle de l'opioïde, puis multipliez la dose quotidienne totale par le facteur de conversion oral approximatif pour calculer la dose quotidienne approximative de l'hydrocodone oral.
- Pour les patients sous régime de plus d'un opioïde, calculez la dose approximative de l'hydrocodone oral pour chaque opioïde et résume les totaux pour obtenir la dose quotidienne de l'hydrocodone orale approximative.
- Pour les patients sous régime de produits analgésiques opioïdes / opioïdes à rapport fixe / non opioïdes, utilisez uniquement la composante opioïde de ces produits dans la conversion.
- Réduire la dose quotidienne de l'hydrocodone buccale calculée de 25%
TOUJOURS ARRRILLER LA DOSE DOSSI Si nécessaire à la résistance au comprimé Hysingla ER la plus proche disponible et initier la thérapie avec cette dose. Si la dose Hysingla ER convertie à l'aide du tableau 1 est inférieure à 20 mg d'initié le traitement avec Hysingla ER 20 mg.
Exemple de conversion d'un seul opioïde à Hysingla ER: Par exemple, une dose quotidienne totale d'oxycodone 50 mg serait convertie en hydrocodone 50 mg basée sur le tableau ci-dessus, puis multipliée par 0,75 (c'est-à-dire une réduction de 25%) résultant en une dose de 37,5 mg d'hydrocodone. Crondez-vous jusqu'à la résistance à la dose la plus proche disponible Hysingla er 30 mg pour lancer une thérapie.
Une observation étroite et un titrage fréquent sont justifiés jusqu'à ce que la gestion de la douleur soit stable sur le nouvel opioïde. Surveillez les patients pour les signes et symptômes de sevrage opioïde ou pour les signes de sur-sédation / toxicité après avoir converti des patients en hysingla ER.
La conversion de la méthhadone en Hysingla est
L'évaluation régulière est particulièrement importante lors de la conversion de la méthadone en d'autres agonistes opioïdes. Le rapport entre la méthadone et d'autres agonistes opioïdes peut varier considérablement en fonction de l'exposition à la dose antérieure. La méthadone a une longue demi-vie et peut s'accumuler dans le plasma.
Conversion du fentanyl transdermique à Hysingla er
Dix-huit heures après l'élimination du traitement transdermique du patch de fentanyl Hysingla ER peuvent être initiées. Pour chaque correctif transdermique de fentanyl de 25 mcg / h, une dose de Hysingla ER 20 mg toutes les 24 heures représente une dose initiale conservatrice. Suivez le patient de près lors de la conversion du fentanyl transdermique à l'hysingla car il existe une expérience limitée avec cette conversion.
La conversion de la buprénorphine transdermique en Hysingla est
Tous les patients recevant de la buprénorphine transdermique (≤ 20 mcg / h) devraient lancer un traitement avec Hysingla ER 20 mg toutes les 24 heures. Suivez le patient de près lors de la conversion de la buprénorphine transdermique en hysingla car il existe une expérience limitée avec cette conversion.
Titrage et maintien de la thérapie
Titrez individuellement Hysingla ER à une dose qui fournit une analgésie adéquate et minimise les effets indésirables. Réévaluez en permanence les patients recevant des hysingla pour évaluer le maintien des signes et symptômes de contrôle de la douleur du sevrage des opioïdes et d'autres incidences relatives des effets indésirables ainsi que pour réévaluer le développement de la toxicomanie ou de l'abus de toxicomanie [voir AVERTISSEMENTS AND PRÉCAUTIONS .] La communication fréquente est importante chez les autres membres de l'équipe de santé du patient et du soignant / de la famille pendant les périodes de modification des exigences analgésiques, y compris le titrage initial. Pendant l'utilisation de la thérapie opioïde pendant une période prolongée, réévaluez périodiquement le besoin continu pour l'utilisation d'analgésiques opioïdes.
Les patients qui éprouvent une douleur révolutionnaire peuvent nécessiter un ajustement posologique de l'hysingla ER ou peuvent avoir besoin de médicaments de sauvetage avec une dose appropriée d'analgésique à libération immédiate.
Si le niveau de douleur augmente après la stabilisation de la dose, tentez d'identifier la source d'une douleur accrue avant d'augmenter le dosage Hysingla ER. Si après l'augmentation du dosage, des réactions indésirables liées aux opioïdes inacceptables sont observées (y compris une augmentation de la douleur après une augmentation de la dose), envisagez de réduire le dosage [voir AVERTISSEMENTS AND PRÉCAUTIONS ]. Adjust the dosage to obtain an appropriate balance between management of pain et opioid-related adverse reactions. Adjust the dose of Hysingla est in increments of 10 mg to 20 mg every 3 to 5 days as needed to achieve adequate analgesia.
Modifications posologiques chez les patients souffrant de troubles hépatiques graves
Les patients présentant une déficience hépatique sévère peuvent avoir des concentrations plasmatiques d'hydrocodone plus élevées que celles ayant une fonction normale. Initier une thérapie avec une moitié de la dose initiale d'hysingla ER chez ces patients et évaluer régulièrement la sédation et l'hypotension de la dépression respiratoire [voir Pharmacologie clinique ].
Modifications posologiques chez les patients présentant une insuffisance rénale modérée à sévère
Les patients présentant des troubles rénaux modérés à sévères et une maladie rénale terminale peuvent avoir des concentrations plasmatiques plus élevées que celles dont la fonction normale. Initier une thérapie avec une moitié de la dose initiale d'hysingla ER chez ces patients et évaluer régulièrement la sédation et l'hypotension de la dépression respiratoire [voir Pharmacologie clinique ].
Réduction ou arrêt sûr de Hysingla ER
N'arrêtez pas brusquement à l'hysingla ER chez les patients qui peuvent être physiquement dépendants des opioïdes. L'arrêt rapide des analgésiques opioïdes chez les patients qui dépendent physiquement des opioïdes ont entraîné de graves symptômes de sevrage de la douleur et du suicide incontrôlées. L'arrêt rapide a également été associé à des tentatives de trouver d'autres sources d'analgésiques opioïdes qui peuvent être confondus avec la recherche de drogues pour abus. Les patients peuvent également tenter de traiter leur douleur ou leurs symptômes de sevrage avec des opioïdes illicites tels que l'héroïne et d'autres substances.
Lorsqu'une décision a été prise pour réduire la dose ou interrompre la thérapie chez un patient dépendant des opioïdes prenant Hysingla er, il existe une variété de facteurs qui devraient être pris en compte, y compris le type d'opioïde quotidien total (y compris Hysingla ER), le patient a pris la durée du traitement. Il est important d'assurer les soins continus du patient et de convenir d'un calendrier de rétrécissement et d'un plan de suivi approprié afin que les objectifs et attentes des patients et des prestataires soient clairs et réalistes. Lorsque les analgésiques opioïdes sont interrompus en raison d'un trouble suspecté de la consommation de substances, évaluez et traitez le patient ou référez-vous à l'évaluation et au traitement du trouble de la consommation de substances. Le traitement doit inclure des approches fondées sur des preuves telles que le traitement assisté aux médicaments du trouble de la consommation d'opioïdes. Les patients complexes souffrant de douleurs comorbides et de troubles de la consommation de substances peuvent bénéficier d'une référence à un spécialiste.
Il n'y a pas de calendriers d'opioïde standard qui conviennent à tous les patients. Une bonne pratique clinique dicte un plan spécifique au patient pour réduire la dose de l'opioïde progressivement. Pour les patients sous Hysingla ER qui dépendent physiquement des opioïdes, initier le conicité par une incrément suffisamment faible (par exemple, pas plus de 10% à 25% de la dose quotidienne totale) pour éviter les symptômes de sevrage et procéder à la dose à un intervalle de 2 à 4 semaines. Les patients qui ont pris des opioïdes pendant des périodes de temps brillant peuvent tolérer un conique plus rapide.
Il peut être nécessaire de fournir au patient des forces de dose inférieures pour réaliser un cône réussi. Réévaluez fréquemment le patient pour gérer la douleur et les symptômes de sevrage s'ils émergent. Les symptômes courants de sevrage comprennent l'agitation du crassement de la rhinorrhée de la rhinorrhée de la transpiration des frissons et de la mydriase. D'autres signes et symptômes peuvent également se développer, notamment l'irritabilité anxiété malafer pouons articulaires faiblesse crampes abdominales insomnie nausées anorexie vomissements de diarrhée ou augmentation de la fréquence respiratoire de la pression artérielle ou de la fréquence cardiaque. Si des symptômes de sevrage surviennent, il peut être nécessaire de suspendre le cône pendant une période de temps ou d'augmenter la dose de l'analgésique opioïde à la dose précédente, puis de procéder avec un cône plus lent. En outre, évaluez les patients pour tout changement dans l'émergence de l'humeur de pensées suicidaires ou l'utilisation d'autres substances.
Lors de la gestion des patients qui prennent des analgésiques opioïdes, en particulier ceux qui ont été traités pendant une longue période et / ou avec des doses élevées pour la douleur chronique, assurez-vous qu'une approche multimodale de la gestion de la douleur, y compris le soutien en santé mentale (si nécessaire) est en place avant de lancer un cône analgésique opioïde. Une approche multimodale de la gestion de la douleur peut optimiser le traitement de la douleur chronique ainsi que pour aider à réduire la réduction de l'analgésique opioïde [voir AVERTISSEMENTS AND PRÉCAUTIONS Abus de drogues et dépendance ].
Comment fourni
Formes et forces posologiques
- 20 mg de comprimés à libération prolongée à revêtement de film (comprimés de bi-convex de couleur verte imprimés avec Hyd 20)
- 30 mg de comprimés à libération prolongée en revêtement de film (comprimés de bi-convex de couleur jaune ronde imprimés avec Hyd 30)
- 40 mg de comprimés à libération prolongée à revêtement de film (comprimés Bi-Convex de couleur gris imprimés avec HYD 40)
- 60 mg de comprimés à libération prolongée en revêtement de film (comprimés de bigex beige ronds imprimés avec HYD 60)
- Tablettes à libération prolongée à 80 mg (comprimés de bi-convex de couleur rose imprimés avec Hyd 80)
- 100 mg de comprimés à libération prolongée à revêtement de film (comprimés de bi-convex de couleur bleue imprimés avec Hyd 100)
- 120 mg de comprimés à libération prolongée à revêtement de film (comprimés de bi-convex de couleur blanche imprimés avec Hyd 120)
Stockage et manipulation
HYSINGLA ER (Bitartrate d'hydrocodone) Comprimés à libération prolongée 20 mg sont des comprimés BifeCex de couleur verte ronde imprimés avec Hyd 20 et sont fournis dans des bouteilles en plastique opaques de fermeture à la résistance à l'enfant de 60 ( NDC 59011-271-60).
HYSINGLA ER (Bitartrate d'hydrocodone) Comprimés à libération prolongée 30 mg sont des comprimés Bireconvex de couleur jaune ronde imprimés avec Hyd 30 et sont fournis dans des bouteilles en plastique opaques de fermeture à la résistance aux enfants de 60 ( NDC 59011-272-60).
Hysingla ER (Bitartrate d'hydrocodone) Comprimés à libération prolongée 40 mg sont des comprimés Bireconvex de couleur gris ronde imprimés avec HYD 40 et sont fournis dans des bouteilles en plastique opaques de fermeture à la résistance aux enfants de 60 ( NDC 59011-273-60).
HYSINGLA ER (Bitartrate d'hydrocodone) Comprimés à libération prolongée 60 mg sont des comprimés de Biâconvex de couleur beige ronde imprimés avec HYD 60 et sont fournis dans des bouteilles en plastique opaques de fermeture de 60 ans résistantes aux enfants ( NDC 59011-274-60).
HYSINGLA ER (Bitartrate d'hydrocodone) comprimés à libération prolongée 80 mg sont des comprimés Biâconvex roses ronds imprimés avec Hyd 80 et sont fournis dans des bouteilles en plastique opaques de fermeture de 60 ans. NDC 59011-275-60).
HYSINGLA ER (Bitartrate d'hydrocodone) comprimés à libération prolongée 100 mg sont des comprimés BifeCex de couleur bleue ronde imprimés avec Hyd 100 et sont fournis dans des bouteilles en plastique opaques de fermeture de 60 ans. NDC 59011-276-60).
HYSINGLA ER (Bitartrate d'hydrocodone) Comprimés à libération prolongée 120 mg sont des comprimés Bireconvex de couleur blanche rondes imprimées avec HYD 120 et sont fournies dans des bouteilles en plastique opaques de fermeture de 60 ans ( NDC 59011-277-60).
Stocker à 25 ° C (77 ° F); Excursions autorisées entre 15 ° -30 ° C (59 ° -86 ° F) [voir Température ambiante contrôlée par l'USP ].
Dispenser dans un récipient étanche résistant à la lumière telle que définie par l'USP.
Stocker Hysingla er en toute sécurité et éliminer correctement.
Purdue Pharma L.P. Stamford CT 06901-3431. UN
Effets secondaires for Hysingla ER
Les réactions indésirables graves suivantes sont décrites ailleurs dans l'étiquetage:
- Abus et abus de la toxicomanie [see AVERTISSEMENTS AND PRÉCAUTIONS ]
- Dépression respiratoire potentiellement mortelle [see AVERTISSEMENTS AND PRÉCAUTIONS ]
- Interactions avec la benzodiazépine ou d'autres dépresseurs du SNC [voir AVERTISSEMENTS AND PRÉCAUTIONS ]
- Syndrome de sevrage opioïde néonatal [see AVERTISSEMENTS AND PRÉCAUTIONS ]
- Opioïde-Induced Hyperalgesia et Allodynia [see AVERTISSEMENTS AND PRÉCAUTIONS ]
- Insuffisance surrénale [voir AVERTISSEMENTS AND PRÉCAUTIONS ]
- Hypotension sévère [voir AVERTISSEMENTS AND PRÉCAUTIONS ]
- Réactions indésirables gastro-intestinales [voir AVERTISSEMENTS AND PRÉCAUTIONS ]
- Convulsions [voir AVERTISSEMENTS AND PRÉCAUTIONS ]
- Retrait [voir AVERTISSEMENTS AND PRÉCAUTIONS ]
Expérience d'essai clinique
Étant donné que les essais cliniques sont menés dans des conditions de réaction indésirables très variables observées dans les essais cliniques d'un médicament ne peuvent pas être directement comparées aux taux dans les essais cliniques d'un autre médicament et ne peuvent pas refléter les taux observés dans la pratique.
Au total, 1827 patients ont été traités par Hysingla ER dans des essais cliniques de douleur chronique contrôlés et ouverts. Cinq cents patients ont été traités pendant 6 mois et 364 patients ont été traités pendant 12 mois. La population d'essais cliniques était composée de patients en opioïde naïfs et expérimentés aux opioïdes présentant une douleur chronique modérée à modérée persistante.
Les effets indésirables courants (≥ 2%) rapportés par les patients des essais cliniques comparant l'hysingla ER (20-120 mg / jour) avec un placebo sont présentés dans le tableau 2 ci-dessous:
Tableau 2: Réactions indésirables rapportées chez ≥ 2% des patients pendant la période de titration en libre-échange et la période de traitement en double aveugle: patients naïfs d'opioïdes et expérimentés aux opioïdes
| MEDDRA Terme privilégié | Période de titrage ouvert (N = 905) (%) | Période de traitement en double aveugle | |
| Placebo (N = 292) (%) | Hysingla est (N = 296) (%) | ||
| Nausée | 16 | 5 | 8 |
| Constipation | 9 | 2 | 3 |
| Vomissement | 7 | 3 | 6 |
| Vertiges | 7 | 2 | 3 |
| Mal de tête | 7 | 2 | 2 |
| Somnolence | 5 | 1 | 1 |
| Fatigue | 4 | 1 | 1 |
| Prurit | 3 | <1 | 0 |
| Sonnerie | 2 | 1 | 2 |
| Insomnie | 2 | 2 | 3 |
| Diminution de l'appétit | 1 | 1 | 2 |
| Grippe | 1 | 1 | 3 |
Les effets indésirables observés dans les études de douleur chronique contrôlée et ouverte sont présentées ci-dessous de la manière suivante: les plus courants (les plus courants (≥ 5%) courants (≥ 1% pour <5%) et less common ( <1%).
Les réactions indésirables les plus courantes (≥ 5%) rapportées par les patients traitées par Hysingla ER dans les essais cliniques de douleur chronique ont été la constipation nausée des nausées vomissant la fatigue des voies respiratoires supérieures infection des étourdissements somnolence.
Le commun (≥ 1% pour <5%) adverse events reported by patients treated with Hysingla est in the chronic pain clinical trials organized by MedDRA (Medical Dictionary for Regulatory Activities) System Organ Class were:
Troubles de l'oreille et du labyrinthe: sonnerie
Troubles gastro-intestinaux: douleurs abdominales douleurs abdominales upper diarrhée bouche sèche dyspepsia reflux gastro-œsophagien disease
Troubles généraux et conditions du site d'administration: douleur thoracique frissons edema peripheral pain pyrexia
Infections et infestations: bronchite gastroenteritis gastroenteritis viral influenza nasopharyngitis sinusitis infection des voies urinaires
Empoisonnement aux blessures et complications procédurales: tension musculaire de chute
Métabolisme et troubles nutritionnels: diminution de l'appétit
Troubles du tissu musculo-squelettique et conjonctif: arthralgia male de dos spasmes musculaires douleurs musculo-squelettes myalgie douleur à l'extrémité
Troubles du système nerveux: sédation de migraine léthargique
Troubles psychiatriques: anxiété dépression insomnia
Troubles thoraciques et médiastinaux respiratoires: toux nasal congestion oropharyngeal pain
Troubles de la peau et des tissus sous-cutanés: hyperhidrose prurit éruption cutanée
Troubles vasculaires: Hypertension à chasse d'eau chaude
D'autres réactions indésirables moins courantes qui ont été observées dans <1% of the patients in the Hysingla est chronic pain clinical trials include the following in alphabetical order: abdominal discomfort abdominal distention agitation asthenia choking confusional state depressed mood drug hypersensitivity drug withdrawal syndrome dysphagia dyspnea esophageal obstruction flushing hypogonadism hypotension hypoxia irritability libido decreased malaise mental impairment mood altered muscle twdémangeaison edema orthostatic hypotension palpitations presyncope retching syncope thinking abnormal thirst tremor et urinary retention.
Expérience de commercialisation de la poste
Les effets indésirables suivants ont été identifiés lors de l'utilisation post-approbation de l'hydrocodone. Étant donné que ces réactions sont rapportées volontairement d'une population de taille incertaine, il n'est pas toujours possible d'estimer de manière fiable leur fréquence ou d'établir une relation causale à l'exposition au médicament.
Syndrome de Seroton
Cas de syndrome de sérotonine Une condition potentiellement mortelle a été signalée lors de l'utilisation concomitante d'opioïdes avec des médicaments sérotoninergiques.
Insuffisance surrénale
Des cas d'insuffisance surrénale ont été signalés avec une consommation d'opioïdes plus souvent après un mois d'utilisation.
Anaphylaxie
Anaphylaxie has been reported with ingredients contained in Hysingla est.
Carence en androgène
Des cas de carence en androgène se sont produits avec l'utilisation d'opioïdes pendant une longue période [voir Pharmacologie clinique ].
Hyperalgésie et allodynie
Des cas d'hyperalgésie et d'allodynie ont été signalés avec une thérapie opioïde de toute durée [voir AVERTISSEMENTS AND PRÉCAUTIONS ].
Hypoglycémie
Des cas d'hypoglycémie ont été signalés chez des patients prenant des opioïdes. La plupart des rapports se trouvaient chez les patients avec au moins un facteur de risque prédisposant (par exemple le diabète).
Interactions médicamenteuses for Hysingla ER
Le tableau 3 comprend des interactions médicamenteuses cliniquement significatives avec Hysingla ER.
Tableau 3: Interactions médicamenteuses cliniquement significatives avec Hysingla ER
| Inhibiteurs du CYP3A4 | |
| Impact clinique: | L'utilisation concomitante des inhibiteurs de Hysingla ER et du CYP3A4 peut augmenter la concentration plasmatique d'hydrocodone entraînant des effets opioïdes accrus ou prolongés. Ces effets pourraient être plus prononcés avec l'utilisation concomitante des inhibiteurs de l'hysingla ER et du CYP3A4, en particulier lorsqu'un inhibiteur est ajouté après une dose stable de Hysingla ER [voir AVERTISSEMENTS AND PRÉCAUTIONS ]. After stopping a CYP3A4 inhibitor as the effects of the inhibitor decline the hydrocodone plasma concentration will decrease [see Pharmacologie clinique ] entraînant une diminution de l'efficacité des opioïdes ou un syndrome de sevrage chez les patients qui avaient développé une dépendance physique à l'hydrocodone. |
| Intervention: | Si une utilisation concomitante est nécessaire, considérez la réduction du dosage de l'hysingla ER jusqu'à ce que des effets de médicament stables soient obtenus. Évaluer les patients à intervalles fréquents pour la dépression respiratoire et la sédation. Si un inhibiteur du CYP3A4 est interrompu, envisagez d'augmenter le dosage de l'hysingla ER jusqu'à ce que des effets de médicament stables soient atteints. Évaluer les signes de retrait des opioïdes. |
| Exemples | Antibiotiques macrolides (par exemple érythromycine) agents azolé-antifongiques (par exemple le kétoconazole) inhibiteurs de protéase (par exemple le ritonavir). |
| Inducteurs CYP3A4 | |
| Impact clinique: | L'utilisation concomitante des inducteurs Hysingla ER et CYP3A4 peut diminuer la concentration plasmatique d'hydrocodone [voir Pharmacologie clinique ] entraînant une diminution de l'efficacité ou de l'apparition d'un syndrome de sevrage chez les patients qui ont développé une dépendance physique à l'hydrocodone [voir AVERTISSEMENTS AND PRÉCAUTIONS ]. After stopping a CYP3A4 inducer as the effects of the inducer decline the hydrocodone plasma concentration will increase [see Pharmacologie clinique ] qui pourrait augmenter ou prolonger à la fois les effets thérapeutiques et les effets indésirables et peut provoquer une grave dépression respiratoire. |
| Intervention: | Si une utilisation concomitante est nécessaire, envisagez d'augmenter la dose Hysingla ER jusqu'à ce que les effets de médicament stables soient obtenus. Évaluez les signes de retrait des opioïdes. Si un inducteur du CYP3A4 est interrompu, envisagez une réduction des dosages de l'hysingla et évaluez les patients à intervalles fréquents pour des signes de dépression respiratoire et de sédation. |
| Exemples: | Rifampin carbamazépine phénytoïne |
| Benzodiazépines et autres dépresseurs du système nerveux central (SNC) | |
| Impact clinique: | En raison de l'effet pharmacologique additif, l'utilisation concomitante de benzodiazépines ou d'autres dépresseurs du SNC, y compris l'alcool AVERTISSEMENTS AND PRÉCAUTIONS ]. |
| Intervention: | Réserve la prescription concomitante de ces médicaments pour une utilisation chez les patients pour lesquels des options de traitement alternatives sont inadéquates. Limitez les doses et les durées au minimum requis. Informer les patients et les soignants de cette interaction potentielle et les informer sur les signes et symptômes de la dépression respiratoire (y compris la sédation). Si une utilisation concomitante est justifiée, envisagez de prescrire de la naloxone pour le traitement d'urgence de la surdose d'opioïdes [voir Posologie et administration AVERTISSEMENTS AND PRÉCAUTIONS ]. |
| Exemples: | Les benzodiazépines et autres sédatifs / hypnotiques anxiolytiques tranquillisants relaxants musculaires anesthésiques généraux antipsychotiques autres opioïdes alcool. |
| Drogues sérotoninergiques | |
| Impact clinique: | L'utilisation concomitante d'opioïdes avec d'autres médicaments qui affectent le système de neurotransmetteur sérotoninergique a entraîné un syndrome de sérotonine. |
| Intervention: | Si une utilisation concomitante est justifiée, évaluez fréquemment le patient, en particulier pendant l'initiation du traitement et l'ajustement de la dose. Arrêtez Hysingla er si le syndrome de la sérotonine est suspecté. |
| Exemples: | Les inhibiteurs sélectifs de la sérotonine inhibiteurs (ISRS) inhibiteurs de la sérotonine et les inhibiteurs tricycliques des antidépresseurs (TCA) ont-ils des antagonistes du récepteur tricyclique qui affectent le système de neurotrans émetteur de sérotonine (par exemple des relaxants musclés de la Mirtazapine Traramadol). Cyclobenzaprine Metaxalone) Inhibiteurs de monoamine oxydase (ceux destinés à traiter les troubles psychiatriques et d'autres tels que le linézolide et le bleu de méthylène intraveineux). |
| Inhibiteurs de la monoamine oxydase (MAOI) | |
| Impact clinique: | Les interactions MAOI avec les opioïdes peuvent se manifester sous forme de syndrome de la sérotonine ou de toxicité opioïde (par exemple la dépression respiratoire coma) [voir AVERTISSEMENTS AND PRÉCAUTIONS ]. |
| Intervention: | L'utilisation de Hysingla ER n'est pas recommandée pour les patients prenant des MAOI ou dans les 14 jours suivant l'arrêt de ce traitement. |
| Exemples: | Phenelzine tranylcypromine linezolid |
| Agoniste / antagoniste mixte et analgésiques opioïdes agonistes partiels | |
| Impact clinique: | Peut réduire l'effet analgésique de l'hysingla ER et / ou précipiter les symptômes de sevrage. |
| Intervention: | Évitez l'utilisation concomitante. |
| Exemples: | butorphanol nalbuphine pentazocine buprénorphine |
| Relaxants musculaires | |
| Impact clinique: | L'hydrocodone peut améliorer l'action de blocage neuromusculaire des relaxants musculaires squelettiques et produire un degré accru de dépression respiratoire. |
| Intervention: | Parce que la dépression respiratoire peut être supérieure à ce que l'on attend autrement, diminuez le dosage de l'hysingla ER et / ou le relaxant musculaire si nécessaire. En raison du risque de dépression respiratoire avec une utilisation concomitante des relaxants musculaires squelettiques et des opioïdes envisagez de prescrire de la naloxone pour le traitement d'urgence de la surdose d'opioïdes [voir Posologie et administration AVERTISSEMENTS AND PRÉCAUTIONS ]. |
| Exemple: | Métaxalone cyclobenzaprine |
| Diurétiques | |
| Impact clinique: | Opioïdes can reduce the efficacy of diuretics by inducing the release of antidiuretic hormone. |
| Intervention: | Évaluer les patients pour des signes de diurèse diminuée et / ou d'effets sur la pression artérielle et augmenter la dose du diurétique au besoin. |
| Médicament anticholinergique s | |
| Impact clinique: | L'utilisation concomitante de médicaments anticholinergiques peut augmenter le risque de rétention urinaire et / ou de constipation sévère qui peut entraîner un iléus paralytique. |
| Intervention: | Évaluer les patients pour des signes de rétention urinaire ou une motilité gastrique réduite lorsque l'hysingla ER est utilisée en concomitance avec des médicaments anticholinergiques. |
| Laxatifs forts | |
| Impact clinique: | L'utilisation concomitante d'hysingla ER avec de forts laxatifs qui augmentent rapidement la motilité gastro-intestinale peuvent diminuer l'absorption d'hydrocodone et entraîner une diminution des taux de plasma d'hydrocodone. |
| Intervention: | Si l'hysingla ER est utilisée chez ces patients, évaluez régulièrement le développement d'événements indésirables ainsi que la modification des exigences analgésiques. |
| Exemple: | lactulose |
Les avertissements pour Hysingla sont
Inclus dans le cadre du PRÉCAUTIONS section.
Les précautions pour Hysingla sont
Abus et abus de la toxicomanie
Hysingla est contains hydrocodone a Schedule II controlled substance. As an opioid Hysingla est exposes users to the risks of addiction abuse et misuse. Because extended-release products such as Hysingla est deliver the opioid over an extended period of time there is a greater risk for overdose et death due to the larger amount of hydrocodone present [see Abus de drogues et dépendance ].
Bien que le risque de dépendance chez tout individu soit inconnu, il peut se produire chez les patients à Hysingla ER prescrit de manière appropriée. La dépendance peut survenir à des doses recommandées et si la drogue est mal utilisée ou maltraitée.
Évaluer le risque de chaque patient pour l'abus de la dépendance aux opioïdes ou l'abus de maltraitance avant de prescrire Hysingla ER et de réévaluer tous les patients recevant une hysingla pour le développement de ces comportements et conditions. Les risques sont augmentés chez les patients ayant des antécédents personnels ou familiaux de toxicomanie (y compris l'abus de drogues ou d'alcool ou la dépendance) ou une maladie mentale (par exemple, dépression majeure). Le potentiel de ces risques ne devrait cependant pas empêcher la prescription d'hysingla ER pour la bonne prise en charge de la douleur chez un patient donné. Les patients à risque accru peuvent se voir prescrire des opioïdes tels que l'hysingla, mais l'utilisation chez ces patients nécessite un conseil intensif sur les risques et une utilisation appropriée de l'hysingla ainsi qu'une réévaluation fréquente pour les signes d'abus de dépendance et d'abus abusif. Envisagez de prescrire de la naloxone pour le traitement d'urgence de la surdose d'opioïdes [voir Posologie et administration AVERTISSEMENTS AND PRÉCAUTIONS ].
Abus ou abus de Hysingla ER en écrasant le rinçage ou l'injection du produit dissous entraînera la livraison incontrôlée de l'hydrocodone et peut entraîner une surdose et une mort [voir Abus de drogues et dépendance et Sur-ladosage ].
Opioïdes are sought for nonmedical use et are subject to diversion from legitimate prescribed use. Consider these risks when prescribing or dispensing Hysingla est. Strategies to reduce these risks include prescribing the drug in the smallest appropriate quantity et advising the patient on careful storage of the drug during the course of treatment et the proper disposal of unused drug. Contact local state professional licensing board or state-controlled substances authority for information on how to prevent et detect abuse or diversion of this product.
Dépression respiratoire potentiellement mortelle
Une grave dépression respiratoire mortelle ou mortelle a été signalée avec l'utilisation d'opioïdes même lorsqu'elle est utilisée comme recommandée. La dépression respiratoire si elle n'est pas immédiatement reconnue et traitée peut entraîner une arrestation respiratoire et une mort. La gestion de la dépression respiratoire peut inclure des mesures de soutien étroites et l'utilisation des antagonistes opioïdes en fonction de l'état clinique du patient [voir Sur-ladosage ]. Carbon dioxide (CO2) retention from opioid-induced respiratory dépression can exacerbate the sedating effects of opioids.
Bien que la grave dépression respiratoire mortelle ou mortelle puisse se produire à tout moment pendant l'utilisation de l'hysingla, le risque est le plus important lors de l'initiation de la thérapie ou après une augmentation de posologie.
Pour réduire le risque de dépression respiratoire Posologie et administration ]. Overestimating the Hysingla est dosage when converting patients from another opioid product can result in fatal overdose with the first dose.
L'ingestion accidentelle d'une dose même d'une hysingla ER, en particulier par les enfants, peut entraîner une dépression respiratoire et une mort en raison d'une surdose d'hydrocodone.
Éduquer les patients et les soignants sur la façon de reconnaître la dépression respiratoire et de souligner l'importance d'appeler le 911 ou d'obtenir une aide médicale d'urgence immédiatement en cas de surdose connue ou suspectée.
Opioïdes can cause sleep-related breathing disorders including central sleep apnea (CSA) et sleep-related hypoxemia. Opioïde use increases the risk of CSA in a dose-dependent fashion. In patients who present with CSA consider decreasing the opioid dosage using best practices for opioid taper [see Posologie et administration ].
Accès aux patients à la naloxone pour le traitement d'urgence de la surdose d'opioïdes
Discutez de la disponibilité de la naloxone pour le traitement d'urgence de la surdose des opioïdes avec le patient et le soignant et évaluez le besoin potentiel d'accès à la naloxone à la fois lors de l'organisation et du renouvellement du traitement avec Hysingla ER. Informez les patients et les soignants sur les différentes façons d'obtenir de la naloxone, comme le permet les exigences ou les directives de distribution ou de prescription de la naloxone de l'État individuel (par exemple par ordonnance directement d'un pharmacien ou dans le cadre d'un programme communautaire). Éduquer les patients et les soignants sur la façon de reconnaître la dépression respiratoire et de souligner l'importance d'appeler le 911 ou d'obtenir une aide médicale d'urgence même si la naloxone est administrée.
Envisagez de prescrire de la naloxone sur la base des facteurs de risque du patient de surdose tels que l'utilisation concomitante des dépresseurs du SNC. La présence de facteurs de risque de surdose ne devrait pas empêcher la gestion appropriée de la douleur chez un patient donné. Envisagez également de prescrire de la naloxone si le patient a des membres du ménage (y compris des enfants) ou d'autres contacts étroits à risque d'ingestion accidentelle ou de surdosage. Si la naloxone est prescrite, éduquez les patients et les soignants sur la façon de traiter avec la naloxone [voir Posologie et administration AVERTISSEMENTS AND PRÉCAUTIONS Sur-ladosage ].
Risques de l'utilisation concomitante avec les benzodiazépines ou autres dépresseurs du SNC
La dépression respiratoire de sédation profonde et la mort peuvent résulter de l'utilisation concomitante de l'hysingla ER avec des benzodiazépines et / ou d'autres dépresseurs du SNC, y compris l'alcool (par exemple, les non-détendants du Muscle Antipsychotique Antiotics anxilotiques En raison de ces risques, se réservent la prescription concomitante de ces médicaments pour une utilisation chez les patients pour lesquels des options de traitement alternatives sont inadéquates.
Des études observationnelles ont démontré que l'utilisation concomitante d'analgésiques opioïdes et de benzodiazépines augmente le risque de mortalité liée au médicament par rapport à l'utilisation des analgésiques opioïdes seuls. En raison de propriétés pharmacologiques similaires, il est raisonnable de s'attendre à un risque similaire avec l'utilisation concomitante d'autres médicaments dépresseurs du SNC avec des analgésiques opioïdes [voir Interactions médicamenteuses ].
Si la décision est prise de prescrire une benzodiazépine ou d'autres dépresseurs du SNC en même temps qu'un analgésique opioïde prescrit les doses efficaces les plus faibles et les durées minimales d'utilisation concomitante. Chez les patients, recevant déjà un analgésique opioïde, prescrivez-vous une dose initiale plus faible de la benzodiazépine ou d'autres dépresseurs du SNC que ce qui indique en l'absence d'opioïde et de titrate basé sur la réponse clinique. Si un analgésique opioïde est initié chez un patient qui prenait déjà une benzodiazépine ou d'autres dépresseurs du SNC prescrivent une dose initiale plus faible de l'analgésique opioïde et du titrate basé sur la réponse clinique. Informer les patients et les soignants de cette interaction potentielle et les informer sur les signes et symptômes de la dépression respiratoire (y compris la sédation).
Si une utilisation concomitante est justifiée, envisagez de prescrire de la naloxone pour le traitement d'urgence de la surdose d'opioïdes [voir Posologie et administration AVERTISSEMENTS AND PRÉCAUTIONS Sur-ladosage ].
Conseillez les patients et les soignants sur les risques de dépression respiratoire et de sédation lorsque l'hysingla ER est utilisée avec des benzodiazépines ou d'autres dépresseurs du SNC (y compris l'alcool et les drogues illicites). Conseiller aux patients de ne pas conduire ou d'exploiter des machines lourdes jusqu'à ce que les effets de l'utilisation concomitante de la benzodiazépine ou d'autres dépresseurs du SNC aient été déterminés. Écrivez les patients pour le risque de troubles de la consommation de substances, y compris l'abus d'opioïdes et les abus et les avertissent du risque de surdose et de décès associés à l'utilisation de dépresseurs du SNC supplémentaires, y compris l'alcool et les drogues illicites [voir Interactions médicamenteuses ].
Syndrome de sevrage opioïde néonatal
L'utilisation de Hysingla ER pendant une période prolongée pendant la grossesse peut entraîner un sevrage chez le nouveau-né. Syndrome de sevrage opioïde néonatal Contrairement au syndrome de sevrage des opioïdes chez les adultes peut être mortel s'il n'est pas reconnu et traité et nécessite la gestion en fonction des protocoles développés par des experts néonatologiques. Observez les nouveau-nés pour les signes du syndrome de retrait des opioïdes néonatals et gérez en conséquence. Conseiller les femmes enceintes utilisant des opioïdes pendant une longue période de risque de syndrome de retrait des opioïdes néonatal et s'assurer que un traitement approprié sera disponible [voir Utiliser dans des populations spécifiques ].
Opioïde Analgesic Risk Evaluation And Mitigation Strategy (REMS)
Pour s'assurer que les avantages des analgésiques opioïdes l'emportent sur les risques de l'abus de la toxicomanie et abutent la Food and Drug Administration (FDA) a nécessité une stratégie d'évaluation et d'atténuation des risques (REM) pour ces produits. En vertu des exigences des sociétés pharmaceutiques REMS dont les produits analgésiques opioïdes approuvés doivent mettre à disposition des programmes d'éducation conformes aux REM pour les prestataires de soins de santé. Les prestataires de soins de santé sont fortement encouragés à faire tous les éléments suivants:
- Terminez un programme d'éducation conforme aux REM offert par un fournisseur accrédité de formation continue (CE) ou un autre programme d'éducation qui comprend tous les éléments du plan d'éducation de la FDA pour les prestataires de soins de santé impliqués dans la gestion ou le soutien des patients souffrant de douleur.
- Discutez de l'utilisation sécuritaire des risques graves et du stockage et de l'élimination appropriés des analgésiques opioïdes avec les patients et / ou leurs soignants chaque fois que ces médicaments sont prescrits. Le guide de conseil des patients (PCG) peut être obtenu sur ce lien: www.fda.gov/opioidangesicremspcg.
- Soulignez les patients et leurs soignants l'importance de lire le guide de médicaments qu'ils recevront de leur pharmacien chaque fois qu'un analgésique opioïde leur est distribué.
- Envisagez d'utiliser d'autres outils pour améliorer la sécurité des ménages et de la communauté, tels que les accords de patient-prescripteurs qui renforcent les responsabilités des patients-préscripteur.
Pour obtenir des informations supplémentaires sur les REM analgésiques opioïdes et pour une liste de REMS accrédités CME / CE, appelez le 1-800-503-0784 ou connectez-vous à www.opioidangesicrems.com. Le plan FDA se trouve sur www.fda.gov/opioidanalgesicremsblueprint
Risques d'utilisation ou d'arrêt concomitants des inhibiteurs et inducteurs du cytochrome P450 3A4
Concomitant use of HYSINGLA ER with a CYP3A4 inhibitor such as macrolide antibiotics (e.g. erythromycin) azole-antifungal agents (e.g. ketoconazole) and protease inhibitors (e.g. ritonavir) may increase plasma concentrations of hydrocodone and prolong opioid adverse reactions which may cause potentially fatal respiratory depression [see AVERTISSEMENTS AND PRÉCAUTIONS ] en particulier lorsqu'un inhibiteur est ajouté après une dose stable d'hysingla er. L'arrêt de la même manière d'un inducteur du CYP3A4 tel que la rifampine carbamazépine et la phénytoïne chez les patients traités par l'hysingla peut augmenter les concentrations plasmatiques d'hydrocodone et prolonger les effets indésirables des opioïdes. Lors de l'utilisation de Hysingla ER avec des inhibiteurs du CYP3A4 ou de l'arrêt des inducteurs du CYP3A4 chez les patients traités par Hysingla ER évaluent les patients à intervalles fréquents et envisagent la réduction du dosage de l'hysingla ER jusqu'à ce que les effets de médicament stables soient obtenus [voir Interactions médicamenteuses ].
L'utilisation concomitante de l'hysingla ER avec les inducteurs du CYP3A4 ou l'arrêt d'un inhibiteur du CYP3A4 pourrait diminuer les concentrations plasmatiques d'hydrocodone diminuer l'efficacité des opioïdes ou peut-être conduire à un syndrome de sevrage chez un patient qui avait développé une dépendance physique à l'hydrocodone. Lors de l'utilisation de Hysingla ER avec des inducteurs du CYP3A4 ou de l'arrêt des inhibiteurs du CYP3A4, surveillez les patients étroitement à intervalles et envisagez d'augmenter le dosage des opioïdes si nécessaire pour maintenir une analgésie adéquate ou si les symptômes de sevrage opioïde se produisent [voir Interactions médicamenteuses ].
Opioïde-Induced Hyperalgésie et allodynie
Opioïde-Induced Hyperalgesia (OIH) occurs when an opioid analgesic paradoxically causes an increase in pain or an increase in sensitivity to pain. This condition differs from tolerance which is the need for increasing doses of opioids to maintain a defined effect [see Dépendance ]. Symptoms of OIH include (but may not be limited to) increased levels of pain upon opioid dosage increase decreased levels of pain upon opioid dosage decrease or pain from ordinarily non-painful stimuli (allodynia). These symptoms may suggest OIH only if there is no evidence of underlying disease progression opioid tolerance opioid withdrawal or addictive behavior.
Des cas d'OIH ont été signalés à court terme et à plus long terme d'utilisation des analgésiques opioïdes. Bien que le mécanisme de l'OIH ne soit pas entièrement compris, plusieurs voies biochimiques ont été impliquées. La littérature médicale suggère une forte plausibilité biologique entre les analgésiques opioïdes et l'OIH et l'allodynie. Si un patient est soupçonné de connaître l'OIH, envisagez de réduire attentivement la dose de la rotation analgésique opioïde actuelle ou opioïde (commutant en toute sécurité le patient à un groupe opioïde différent) [voir Posologie et administrationAVERTISSEMENTS AND PRÉCAUTIONS ].
Dépression respiratoire potentiellement mortelle In Patients atteints de maladie pulmonaire chronique Or In Patients âgés cachectiques ou affaiblis
L'utilisation de l'hysingla ER chez les patients souffrant d'asthme bronchique aigu ou sévère dans un cadre sans surveillance ou en l'absence d'équipement de réanimation est contre-indiqué.
Patients atteints de maladie pulmonaire chronique
Hysingla est-treated patients with significant chronic obstructive pulmonary disease or cor pulmonale et those with a substantially decreased respiratory reserve hypoxia hypercapnia or pre-existing respiratory dépression are at increased risk of decreased respiratory drive including apnea even at recommended dosages of Hysingla est [see AVERTISSEMENTS AND PRÉCAUTIONS ].
Patients âgés cachectiques ou affaiblis
La dépression respiratoire potentiellement mortelle est plus susceptible de se produire chez les patients âgés cachectiques ou affaiblies car ils peuvent avoir altéré la pharmacocinétique ou une clairance altérée par rapport aux patients plus jeunes en meilleure santé [voir AVERTISSEMENTS AND PRÉCAUTIONS ].
Évaluez régulièrement les patients en particulier lors de l'initiation et de la titrage de l'hysingla ER et lorsque Hysingla ER est donnée concomitante avec d'autres médicaments qui dépriment la respiration [voir AVERTISSEMENTS AND PRÉCAUTIONS Interactions médicamenteuses ]. Alternatively consider the use of non-opioid analgesics in these patients.
Insuffisance surrénale
Des cas d'insuffisance surrénale ont été signalés avec une consommation d'opioïdes plus souvent après un mois d'utilisation. Presentation of adrenal insufficiency may include non-specific symptoms et signs including nausée vomissement anorexia fatigue weakness vertiges et low blood pressure . If adrenal insufficiency is suspected confirm the diagnosis with diagnostic testing as soon as possible. If adrenal insufficiency is diagnosed treat with physiologic replacement doses of corticosteroids. Wean the patient off of the opioid to allow adrenal function to recover et continue corticosteroid treatment until adrenal function recovers. Other opioids may be tried as some cases reported use of a different opioid without recurrence of adrenal insufficiency. The information available does not identify any particular opioids as being more likely to be associated with adrenal insufficiency.
Hypotension sévère
Hysingla est may cause severe hypotension including orthostatic hypotension et syncope in ambulatory patients. There is an increased risk in patients whose ability to maintain blood pressure has already been compromised by a reduced blood volume or after concurrent administration of certain CNS depressant drugs (e.g. phenothiazines or general anesthetics) [see Interactions médicamenteuses ]. Regularly evaluate these patients for signs of hypotension after initiating or titrating the dosage of Hysingla est. In patients with circulatory shock Hysingla est may cause vasodilation that can further reduce cardiac output et blood pressure. Avoid the use of Hysingla est in patients with circulatory shock.
Prolongation d'intervalle QTC
Une prolongation de QTC a été observée avec Hysingla ER après des doses quotidiennes de 160 mg [voir Pharmacologie clinique ]. This observation should be considered in making clinical decisions regarding patient monitoring when prescribing Hysingla est in patients with insuffisance cardiaque congestive Les anomalies d'électrolyte de bradyarythmies ou qui prennent des médicaments connus pour prolonger l'intervalle QTC.
Hysingla est should be avoided in patients with congenital long QT syndrome. In patients who develop QTc prolongation consider reducing the dose by 33 †50% or changing to an alternate analgesic.
Risques d'utilisation chez les patients présentant une augmentation des tumeurs du cerveau de pression intracrânienne
Chez les patients qui peuvent être sensibles aux effets intracrâniens de la rétention de CO2 (par exemple, ceux qui ont des preuves d'une augmentation de la pression intracrânienne ou des tumeurs cérébrales) Hysingla ER peuvent réduire l'entraînement respiratoire et la rétention du CO2 qui en résulte peut augmenter davantage la pression intracrânienne. Surveillez ces patients pour des signes de sédation et de dépression respiratoire, en particulier lors du début de la thérapie avec Hysingla ER.
Opioïdes may also obscure the clinical course in a patient with a head injury. Avoid the use of Hysingla est in patients with impaired consciousness or coma.
Dysphagie d'obstruction gastro-intestinale et étouffement
Dans les études cliniques avec des instructions spécifiques pour prendre Hysingla ER avec une eau adéquate pour avaler le comprimé 11 sur 2476 sujets ont signalé une difficulté à avaler Hysingla ER. Ces rapports comprenaient la dysphagie d'obstruction œsophagienne et l'étouffement dont l'un avait besoin d'une intervention médicale pour retirer le comprimé [voir Effets indésirables ].
Demandez aux patients de ne pas pré-faire lécher ou des comprimés d'hysingla er autrement humides avant de placer dans la bouche et de prendre un comprimé à la fois avec suffisamment d'eau pour assurer une déglutition complète immédiatement après avoir placé dans la bouche.
Les patients atteints de troubles gastro-intestinaux sous-jacents tels que le cancer de l'œsophage ou le cancer du côlon avec une petite lumière gastro-intestinale sont plus à risque de développer ces complications. Considérez l'utilisation d'un analgésique alternatif chez les patients qui ont du mal à avaler et les patients à risque de troubles gastro-intestinaux sous-jacents, ce qui entraîne une petite lumière gastro-intestinale.
Les patients pédiatriques peuvent courir un risque accru de dysphagie d'obstruction œsophagienne et d'étouffement en raison d'une lumière gastro-intestinale plus petite si elles ingèrent Hysingla er [voir Utiliser dans des populations spécifiques ].
Risques d'utilisation chez les patients souffrant de conditions gastro-intestinales
Hysingla est is contraindicated in patients with known or suspected gastrointestinal obstruction including paralytic ileus.
L'hydrocodone dans Hysingla ER peut provoquer un spasme du sphincter d'Oddi. Les opioïdes peuvent provoquer une augmentation de l'amylase sérique. Évaluez régulièrement les patients atteints d'une maladie des voies biliaires, y compris une pancréatite aiguë pour l'aggravation des symptômes.
Risque accru de crises chez les patients souffrant de troubles de crise
L'hydrocodone dans Hysingla ER peut augmenter la fréquence des crises chez les patients atteints de troubles de crise et peut augmenter le risque de crises qui se produisent dans d'autres milieux cliniques associés aux crises. Évaluez régulièrement les patients ayant des antécédents de troubles de crise pour le contrôle des crises aggravé pendant la thérapie par l'hysingla.
Retrait
N'arrêtez pas brusquement Hysingla ER chez un patient dépendant physiquement des opioïdes. Lors de l'arrêt de l'hysingla ER chez un patient physiquement dépendant effacer progressivement le dosage. Le rétrécissement rapide de l'hydrocodone chez un patient dépendant physiquement des opioïdes peut entraîner un syndrome de sevrage et un retour de douleur [voir Posologie et administration Abus de drogues et dépendance ].
Évitez en outre l'utilisation d'analgésiques mixtes agonistes / antagonistes (par exemple la pentazocine nalbuphine et butorphanol) ou des agonistes partiels (par exemple la buprénorphine) chez les patients qui reçoivent un analgésique total d'agoniste opioïde, y compris Hysingla ER. Chez ces patients, les analgésiques mixtes agonistes / antagonistes et agonistes partiels peuvent réduire l'effet analgésique et / ou précipiter les symptômes de sevrage [voir Interactions médicamenteuses ].
Risques de conduite et d'exploitation
Hysingla est may impair the mental et physical abilities needed to perform potentially hazardous activities such as driving a car or operating machinery. Peak blood levels of hydrocodone may occur 14 †16 hours (range 6 †30 hours) after initial dosing of Hysingla est tablet administration. Blood levels of hydrocodone in some patients may be high at the end of 24 hours after repeated-dose administration. Warn patients not to drive or operate dangerous machinery unless they are tolerant to the effects of Hysingla est et know how they will react to the medication.
Informations de conseil des patients
Conseiller au patient de lire l'étiquetage des patients approuvé par la FDA ( Guide des médicaments )
Stockage et élimination
En raison des risques associés à l'ingestion accidentelle, une abus et une abus conseillent aux patients pour stocker l'hysingla en toute sécurité hors de la vue et de la portée des enfants et dans un endroit non accessible par d'autres, y compris des visiteurs de la maison. Informer les patients que le départ de Hysingla er non garanti peut présenter un risque mortel pour les autres à la maison [voir AVERTISSEMENTS AND PRÉCAUTIONS Abus de drogues et dépendance ].
Informez les patients et les soignants que lorsque les médicaments ne sont plus nécessaires, ils doivent être éliminés rapidement. Hysingla ER indésirable ou inutilisé expiré doit être éliminé en rincer le médicament inutilisé dans les toilettes si une option de reprise de drogue n'est pas facilement disponible. Informez les patients qu'ils peuvent visiter www.fda.gov/drugdisposose pour une liste complète des médicaments recommandés pour l'élimination par rinçage ainsi que des informations supplémentaires sur l'élimination des médicaments non utilisés.
Abus et abus de la toxicomanie
Informer les patients que l'utilisation de Hysingla ER même lorsqu'elle est prise comme recommandée peut entraîner des abus de dépendance et une mauvaise utilisation qui peuvent entraîner une surdose ou une mort [voir AVERTISSEMENTS AND PRÉCAUTIONS ]. Instruct patients not to share Hysingla est with others et to take steps to protect Hysingla est from theft or misuse.
Dépression respiratoire potentiellement mortelle
Informer les patients du risque de dépression respiratoire potentiellement mortelle, y compris des informations que le risque est le plus élevé lors du démarrage de l'hysingla ou lorsque le dosage est augmenté et qu'il peut se produire même aux doses recommandées.
Éduquer les patients et les soignants sur la façon de reconnaître la dépression respiratoire et de souligner l'importance d'appeler le 911 ou d'obtenir une aide médicale d'urgence immédiatement en cas de surdose connue ou suspectée [voir AVERTISSEMENTS AND PRÉCAUTIONS Sur-ladosage ].
Ingestion accidentelle
Informer les patients que l'ingestion accidentelle, en particulier par les enfants, peut entraîner une dépression respiratoire ou une mort [voir AVERTISSEMENTS AND PRÉCAUTIONS ].
Interaction avec les benzodiazépines et autres dépresseurs du SNC
Informer les patients et les soignants que des effets additifs potentiellement mortels peuvent se produire si l'hysingla er est utilisée avec des benzodiazépines ou d'autres dépresseurs du SNC, y compris l'alcool et ne pas les utiliser de manière concomitante à moins que ce soit supervisé par un fournisseur de soins de santé [voir AVERTISSEMENTS AND PRÉCAUTIONS Interactions médicamenteuses ].
Accès aux patients à la naloxone pour le traitement d'urgence de la surdose d'opioïdes
Discutez avec le patient et le soignant la disponibilité de la naloxone pour le traitement d'urgence de la surdose d'opioïdes à la fois lors de la création et du renouvellement du traitement avec Hysingla ER. Informer les patients et les soignants sur les différentes façons d'obtenir la naloxone, comme le permet des exigences ou des directives de distribution et de prescription de la naloxone de l'État individuel (par exemple par ordonnance directement d'un pharmacien ou dans le cadre d'un programme communautaire) [voir Posologie et administration AVERTISSEMENTS AND PRÉCAUTIONS ].
Éduquer les patients et les soignants sur la façon de reconnaître les signes et les symptômes d'une surdose.
Expliquez aux patients et aux soignants que les effets de la naloxone sont temporaires et qu'ils doivent appeler le 911 ou obtenir une aide médicale d'urgence immédiatement dans tous les cas de surdose d'opioïdes connus ou suspects même si la naloxone est administrée [voir Sur-ladosage ].
Si la naloxone est prescrite, conseille également les patients et les soignants:
- Comment traiter avec la naloxone en cas de surdose d'opioïdes
- Pour parler à la famille et aux amis de leur naloxone et de le garder dans un endroit où la famille et les amis peuvent y accéder en cas d'urgence
- Pour lire les informations du patient (ou tout autre matériel éducatif) qui viendra avec leur naloxone. Soulignez l'importance de le faire avant qu'une urgence opioïde ne se produise afin que le patient et le soignant sachent quoi faire.
Hyperalgésie et allodynie
Informer les patients et les soignants pour ne pas augmenter le dosage des opioïdes sans consulter d'abord un clinicien. Conseiller aux patients de consulter des soins médicaux s'ils éprouvent des symptômes d'hyperalgésie, y compris l'aggravation de la douleur, une sensibilité accrue à la douleur ou à la douleur [voir AVERTISSEMENTS AND PRÉCAUTIONS Effets indésirables ].
Syndrome de Seroton
Informer les patients que les opioïdes pourraient provoquer une affection rare mais potentiellement mortelle appelée syndrome de sérotonine résultant de l'administration concomitante de médicaments sérotoninergiques. Avertissez les patients des symptômes du syndrome de la sérotonine et de consulter immédiatement un médecin si les symptômes se développent. Demandez aux patients d'informer leurs prestataires de soins de santé s'ils prennent ou prévoient de prendre des médicaments sérotoninergiques [voir Interactions médicamenteuses ].
Interaction maoi
Informez les patients pour éviter de prendre des hysingla ER tout en utilisant des médicaments qui inhibent la monoamine oxydase. Les patients ne doivent pas commencer les maons lors de la prise de Hysingla er [voir Interactions médicamenteuses ].
Instructions d'administration importantes
Instruisez les patients comment bien prendre l'hysingla, y compris les éléments suivants:
- Utilisez Hysingla er exactement comme prescrit pour réduire le risque de réactions indésirables potentiellement mortelles (par exemple, dépression respiratoire) [voir AVERTISSEMENTS AND PRÉCAUTIONS ].
- Avaler des comprimés entiers un comprimé à la fois avec suffisamment d'eau pour assurer la déglutition immédiatement après avoir placé dans la bouche [voir Posologie et administration ].
- Ne pas piétiner ou mouiller la tablette avant de placer dans la bouche [voir Posologie et administration ].
- Ne mâchez pas d'écraser et de dissoudre les comprimés [voir Posologie et administration ].
Instructions d'importance d'arrêt
Afin d'éviter de développer des symptômes de sevrage, demandez aux patients de ne pas interrompre Hysingla ER sans d'abord discuter d'un plan de réparation avec le prescripteur [voir Posologie et administration ]
Machines lourdes à conduire ou à exploiter
Informer les patients que Hysingla ER peut nuire à la capacité d'effectuer des activités potentiellement dangereuses telles que la conduite d'une voiture ou le fonctionnement de machines lourdes. Les taux sanguins d'hydrocodone chez certains patients peuvent être élevés au bout des 24 heures après l'administration de dose répétée. Conseiller aux patients de ne pas effectuer de telles tâches tant qu'elles ne savent pas comment ils réagiront au médicament [voir AVERTISSEMENTS AND PRÉCAUTIONS ].
Constipation
Conseillez les patients sur le potentiel de constipation sévère, y compris les instructions de gestion et le moment de consulter un médecin. Demandez aux patients de surveiller leur réponse analgésique après l'utilisation de laxatifs forts et de contacter le prescripteur si des modifications sont notées [voir Effets indésirables Pharmacologie clinique ].
Insuffisance surrénale
Informer les patients que l'hysingla pourrait provoquer une insuffisance surrénalienne une condition potentiellement mortelle. L'insuffisance surrénalienne peut présenter des symptômes non spécifiques et des signes tels que les étourdissements des nausées vomissements de la fatigue de l'anorexie et de la pression artérielle basse. Conseiller aux patients de consulter des médecins s'ils éprouvent une constellation de ces symptômes [voir AVERTISSEMENTS AND PRÉCAUTIONS ].
Hypotension
Informer les patients que l'hysingla ER peut provoquer une hypotension et une syncope orthostatiques. Instruisez les patients sur la façon de reconnaître les symptômes de la pression artérielle basse et comment réduire le risque de conséquences graves si une hypotension se produit (par exemple, s'asseoir ou se coucher soigneusement s'élever d'une position assise ou mensonge) [voir AVERTISSEMENTS AND PRÉCAUTIONS ].
Prolongation d'intervalle QTC
Informer les patients que l'allongement du QT a été observé avec Hysingla ER [voir Pharmacologie clinique ]. Hysingla est should be avoided in patients with congenital long QT syndrome. Instruct patients with a history of congestive heart failure or bradyarrhythmias et patients at risk for electrolyte abnormalities or who are taking other medications known to prolong the QT interval that periodic monitoring of electrocardiograms et electrolytes may be necessary during therapy with Hysingla est [see AVERTISSEMENTS AND PRÉCAUTIONS ].
Anaphylaxie
Informer les patients que l'anaphylaxie a été signalée avec des ingrédients contenus dans Hysingla ER. Conseiller aux patients comment reconnaître une telle réaction et quand consulter un médecin [voir Contre-indication Effets indésirables ].
Grossesse
Syndrome de sevrage opioïde néonatal
Informer les patientes de potentiel de reproduction que l'utilisation de l'hysingla ER pendant une période prolongée pendant la grossesse peut entraîner un syndrome de sevrage opioïde néonatal qui peut être mortel s'il n'est pas reconnu et traité [voir AVERTISSEMENTS AND PRÉCAUTIONS Utiliser dans des populations spécifiques ].
Toxicité embryo-fœtale
Informer les patientes féminines de potentiel reproducteur selon lesquelles Hysingla ER peut causer des dommages fœtaux et informer leur fournisseur de soins de santé d'une grossesse connue ou suspectée [voir Utiliser dans des populations spécifiques ].
Lactation
Conseiller les patients que l'allaitement n'est pas recommandé pendant le traitement avec Hysingla ER [voir Utiliser dans des populations spécifiques ]
Infertilité
Informer les patients que l'utilisation chronique d'opioïdes pendant une période prolongée peut provoquer une fertilité réduite. On ne sait pas si ces effets sur la fertilité sont réversibles [voir Effets indésirables Utiliser dans des populations spécifiques ].
Les professionnels de la santé peuvent téléphoner au service des services médicaux de Purdue (1-888-726-7535) pour plus d'informations sur ce produit.
Toxicologie non clinique
Carcinogenèse Mutagenèse A trouble de la fertilité
Cancérogenèse
L'hydrocodone a été évaluée pour un potentiel cancérigène chez le rat et les souris. Dans un essai biologique de deux ans chez des doses de rat jusqu'à 25 mg / kg chez les hommes et les femmes, il n'a été administré par voie orale et aucun néoplasme lié au traitement n'a été observé (l'exposition est équivalente à 0,2 fois la dose d'hydrocodone humaine de 120 mg / jour sur la base des comparaisons de l'exposition à l'AUC). Dans un essai biologique de deux ans chez des doses de souris allant jusqu'à 200 mg / kg chez les hommes et 100 mg / kg chez les femelles ont été administrés par voie orale et aucun néoplasme lié au traitement n'a été observé (l'exposition est équivalente à 3,5 fois et 3,0 fois respectivement la dose d'hydrocodone humaine de 120 mg / jour basée sur des comparaisons d'exposition AUC).
Mutagenèse
L'hydrocodone était génotoxique dans le test de lymphome de souris en présence d'une activation métabolique S9 du rat mais pas en l'absence d'activation métabolique du rat. Cependant, l'hydrocodone n'était pas génotoxique dans le test de lymphome de souris avec ou sans activation métabolique S9 humaine. Il n'y avait aucune preuve de potentiel génotoxique avec l'hydrocodone dans un test de mutation inverse bactérienne in vitro avec Salmonella typhimurium et Escherichia coli avec ou sans activation métabolique ou dans un test de micronucleus de moelle osseuse de souris in vivo avec ou sans activation métabolique.
Altération de la fertilité
Aucun effet sur la fertilité ou les performances de reproduction générale n'a été observée avec l'administration orale d'hydrocodone à des rats mâles et femelles à des doses allant jusqu'à 25 mg / kg / jour (environ 0,06 fois et 0,08 fois respectivement la dose d'hydrocodone humaine de 120 mg / jour sur la base des comparaisons de l'exposition à l'AUC).
Utiliser dans des populations spécifiques
Grossesse
Résumé des risques
L'utilisation d'analgésiques opioïdes pendant une longue période pendant la grossesse peut provoquer un syndrome de sevrage opioïde néonatal [voir AVERTISSEMENTS AND PRÉCAUTIONS ]. Available data with Hysingla est in pregnant women are insufficient to inform a drug-associated risk for major birth defects et miscarriage. In animal reproduction studies with hydrocodone in rats et rabbits no embryotoxicity or teratogenicity was observed. However reduced pup survival rates reduced fetal/pup body weights et delayed ossification were observed at doses causing maternal toxicity. In all of the studies conducted the exposures in animals were less than the human exposure [see Données ].
Le risque de fond de malformations congénitales majeures et de fausse couche pour la population indiquée est inconnue. Toutes les grossesses présentent un risque de fond de perte de maltraitance natale ou d'autres résultats indésirables. Dans la population générale américaine, le risque de fond estimé de malformations congénitales majeures et de fausse couche dans les grossesses cliniquement reconnues est respectivement de 2 à 4% et 15 à 20%.
Considérations cliniques
Réactions indésirables fœtales / néonatales
L'utilisation d'analgésiques opioïdes pendant une période prolongée pendant la grossesse à des fins médicales ou non médicales peut entraîner une dépendance physique dans le syndrome de retrait des nouveau-nés et des opioïdes néonatal peu de temps après la naissance. Le syndrome de sevrage des opioïdes néonatal se présente sous forme d'hyperactivité d'irritabilité et de schémas de sommeil anormal de vomissements de tremblement de tremblements de cry à haut niveau et de ne pas prendre de poids. La durée et la gravité du syndrome de retrait des opioïdes néonatals varient en fonction de la durée de synchronisation utilisée par l'opioïde spécifique et la quantité de dernière utilisation maternelle et le taux d'élimination du médicament par le nouveau-né. Observer les nouveau-nés pour les symptômes du syndrome de sevrage des opioïdes néonatals et gérer en conséquence [voir AVERTISSEMENTS AND PRÉCAUTIONS ].
Travail et accouchement
Opioïdes cross the placenta et may produce respiratory dépression et psycho-physiologic effects in neonates. An opioid antagonist such as naloxone must be available for reversal of opioid-induced respiratory dépression in the neonate. Hysingla est is not recommended for use in pregnant women during or immediately prior to labor when use of shorter-acting analgesics or other analgesic techniques are more appropriate. Opioïde analgesics including Hysingla est can prolong labor through actions which temporarily reduce the strength duration et frequency of uterine contractions. However this effect is not consistent et may be offset by an increased rate of cervical dilation which tends to shorten labor. Monitor neonates exposed to opioid analgesics during labor for signs of excess sedation et respiratory dépression.
Données
Données sur les animaux
Aucune preuve d'embryotoxicité ou de tératogénicité n'a été observée après l'administration orale d'hydrocodone tout au long de la période d'organogenèse chez le rat et les lapins à des doses allant jusqu'à 30 mg / kg / jour (environ 0,1 et 0,3 fois respectivement la dose d'hydrocodone humaine de 120 mg / jour en fonction des comparaisons d'exposition de l'AUC). Cependant, dans ces études, une réduction des poids corporels fœtaux et une ossification retardée ont été observées chez le rat à 30 mg / kg / jour et des poids corporels fœtaux réduits ont été observés chez le lapin à 30 mg / kg / jour (environ 0,1 et 0,3 fois respectivement, la dose hydrocodone humaine de 120 mg / jour basée sur des comparaisons d'exposition au CUC). Dans une étude de développement pré et post-natal, des rats enceintes ont été administrés par l'hydrocodone orale tout au long de la période de gestation et de lactation. À une dose de 30 mg / kg / jour, a diminué la viabilité des pupts des indices de survie des pup, la taille de la litière et le poids corporel du chiot ont été observés. Cette dose est d'environ 0,1 fois la dose d'hydrocodone humaine de 120 mg / jour sur la base des comparaisons d'exposition à l'ASC.
Lactation
Résumé des risques
L'hydrocodone est présente dans le lait maternel. Une étude de lactation publiée rapporte des concentrations variables d'hydrocodone et d'hydromorphone (un métabolite actif) dans le lait maternel avec l'administration d'hydrocodone à libération immédiate aux mères infirmières au début de la période post-partum. Cette étude de lactation n'a pas évalué les nourrissons allaités pour des réactions potentielles sur les médicaments indésirables. Les études de lactation n'ont pas été menées avec Hysingla et aucune information n'est disponible sur les effets du médicament sur le nourrisson allaité ou les effets du médicament sur la production de lait. En raison du potentiel de réactions indésirables graves, notamment une sédation excessive et une dépression respiratoire chez un nourrisson allaité conseille aux patients que l'allaitement n'est pas recommandé pendant le traitement par Hysingla ER.
Considérations cliniques
Surveiller les nourrissons exposés à l'hysingla ER par le lait maternel pour une sédation excessive et une dépression respiratoire. Des symptômes de sevrage peuvent survenir chez les nourrissons allaités lorsque l'administration maternelle d'un analgésique opioïde est arrêtée ou lors de l'arrêt de l'allaitement.
Femmes et mâles de potentiel reproducteur
Infertilité
L'utilisation d'opioïdes pendant une période prolongée peut provoquer une fertilité réduite chez les femmes et les hommes de potentiel reproducteur. On ne sait pas si ces effets sur la fertilité sont réversibles [voir Effets indésirables Pharmacologie clinique Toxicologie non clinique ].
Usage pédiatrique
La sécurité et l'efficacité de l'hysingla ER chez les patients pédiatriques n'ont pas été établies.
Hysingla est gradually forms a viscous hydrogel (i.e. a gelatinous mass) when exposed to water or other fluids. Les patients pédiatriques peuvent courir un risque accru de dysphagie d'obstruction œsophagienne et d'étouffement en raison d'une lumière gastro-intestinale plus petite si elles ingèrent Hysingla er [voir AVERTISSEMENTS AND PRÉCAUTIONS ]
Utilisation gériatrique
Dans une étude pharmacocinétique contrôlée, les sujets âgés (supérieurs à 65 ans) par rapport aux jeunes adultes avaient des concentrations plasmatiques similaires d'hydrocodone [voir Pharmacologie clinique ]. Of the 1827 subjects exposed to Hysingla est in the pooled chronic pain studies 241 (13%) were age 65 et older (including those age 75 et older) while 42 (2%) were age 75 et older. In clinical trials with appropriate initiation of therapy et dose titration no untoward or unexpected adverse reactions were seen in the elderly patients who received Hysingla est.
En général, il est prudent lors de la sélection d'un dosage pour un patient âgé qui commence généralement à l'extrémité inférieure de la plage de dosage reflétant la plus grande fréquence de diminution de la fonction rénale ou cardiaque hépatique et d'une maladie concomitante ou d'une autre thérapie médicamenteuse.
La dépression respiratoire est le principal risque de patients âgés traités par des opioïdes et s'est produit après que de grandes doses initiales ont été administrées à des patients qui n'étaient pas tolérants aux opioïdes ou lorsque les opioïdes ont été co-administrés avec d'autres agents qui dépriment la respiration. Titrez lentement le dosage de l'hysingla er chez les patients gériatriques et réévaluez fréquemment le patient pour des signes de système nerveux central et de dépression respiratoire [voir AVERTISSEMENTS AND PRÉCAUTIONS ].
L'hydrocodone est connue pour être considérablement excrétée par le rein et le risque de réactions indésirables à ce médicament peut être plus élevé chez les patients présentant une fonction rénale altérée. Étant donné que les patients âgés sont plus susceptibles d'avoir une diminution des soins de la fonction rénale devrait être pris dans la sélection de la dose et il peut être utile d'évaluer régulièrement la fonction rénale.
Trouble hépatique
Aucun ajustement de la dose de démarrage avec Hysingla ER n'est requis chez les patients présentant une déficience hépatique légère ou modérée. Les patients présentant une déficience hépatique sévère peuvent avoir des concentrations plasmatiques plus élevées que celles avec une fonction hépatique normale [voir Pharmacologie clinique ]. Therefore a dosage reduction is recommended for these patients [see AVERTISSEMENTS AND PRÉCAUTIONS ]. Regularly evaluate closely for respiratory dépression sedation et hypotension.
Trouble rénal
Aucun ajustement de dose n'est nécessaire chez les patients présentant une légère altération rénale. Les patients présentant une insuffisance rénale modérée ou sévère ou une maladie rénale de stade terminal ont des concentrations plasmatiques plus élevées que celles avec une fonction rénale normale [voir Pharmacologie clinique ]. Therefore a dosage reduction is recommended for these patients [see Posologie et administration ]. Regularly evaluate closely for respiratory dépression sedation et hypotension.
Abus de drogues et dépendance
Substance contrôlée
Hysingla est contains hydrocodone bitartrate a Schedule II controlled substance.
Abus
Hysingla est contains hydrocodone a substance with high potential for misuse et abuse which can lead to the development of substance use disorder including addiction [see AVERTISSEMENTS AND PRÉCAUTIONS ].
L'utilisation abusive est l'utilisation intentionnelle à des fins thérapeutiques d'un médicament par un individu d'une manière autre que prescrite par un fournisseur de soins de santé ou pour qui il n'a pas été prescrit.
Abus is the intentional non-therapeutic use of a drug even once for its desirable psychological or physiological effects.
La toxicomanie est un groupe de phénomènes cognitifs et physiologiques comportementaux qui peuvent inclure un fort désir de prendre les difficultés médicamenteuses dans le contrôle de la consommation de drogues (par exemple, la consommation de drogues malgré les conséquences nocives donnant une priorité plus élevée à la consommation de médicaments que les autres activités et obligations) et une tolérance possible ou une dépendance physique.
L'utilisation abusive et l'abus de l'hysingla augmente le risque de surdose qui peut entraîner des crises d'hypotension et de mort d'hypotension de dépression respiratoire et de décès. Le risque est augmenté avec les abus simultanés d'hysingla ER avec de l'alcool et d'autres dépresseurs du SNC. L'abus et la dépendance aux opioïdes chez certaines personnes peuvent ne pas s'accompagner d'une tolérance simultanée et des symptômes de dépendance physique. De plus, l'abus d'opioïdes peut survenir en l'absence de dépendance.
Tous les patients traités avec des opioïdes nécessitent une réévaluation minutieuse et fréquente pour les signes d'abus abusif et de dépendance car l'utilisation de produits analgésiques opioïdes comporte le risque de dépendance même sous une utilisation médicale appropriée. Les patients à haut risque d'abus hysingla er comprennent ceux qui ont des antécédents d'utilisation prolongée de tout opioïde, y compris des produits contenant de l'hydrocodone ceux qui ont des antécédents d'abus de drogue ou d'alcool ou ceux qui utilisent l'hysingla ER en combinaison avec d'autres médicaments abusés.
Le comportement de recherche de médicaments est très fréquent chez les personnes atteintes de troubles de la consommation de substances. Les tactiques de recherche de médicaments comprennent des appels ou des visites d'urgence vers la fin des heures de bureau refus de subir des tests d'examen appropriés ou une perte répétée de référence de falsification d'ordonnances de prescriptions et de réticence à fournir des dossiers médicaux ou des coordonnées préalables pour d'autres fournisseurs de soins de santé traitants. Les achats de médecins (visiter plusieurs prescripteurs pour obtenir des prescriptions supplémentaires) sont courants chez les personnes qui abusent des drogues et des personnes atteintes de troubles de la consommation de substances. La préoccupation de l'obtention d'un soulagement adéquate de la douleur peut être un comportement approprié chez un patient présentant un contrôle inadéquat de la douleur.
Hysingla est like other opioids can be diverted for nonmedical use into illicit channels of distribution. Careful record-keeping of prescribing information including quantity frequency et renewal requests as required by state et federal law is strongly advised.
Évaluation appropriée du patient Pratiques de prescription appropriées La réévaluation périodique de la thérapie et de la dispensation et du stockage appropriés sont des mesures appropriées qui aident à limiter l'abus des médicaments opioïdes.
Risques spécifiques à l'abus de Hysingla ER
Abus of Hysingla est poses a risk of overdose et death. This risk is increased with concurrent use of Hysingla est with alcohol et/or other CNS depressants [see AVERTISSEMENTS AND PRÉCAUTIONS Interactions médicamenteuses ].
Abus may occur by taking intact tablets in quantities greater than prescribed or without legitimate purpose by crushing et chewing or snorting the crushed formulation or by injecting a solution made from the crushed formulation. Taking cut broken chewed crushed or dissolved Hysingla est increases the risk of overdose et death.
Hysingla est is approved for oral use only.
Avec une abus parentérale, les ingrédients inactifs de Hysingla ER peuvent entraîner une infection de nécrose tissulaire locale granulomes pulmonaires un risque d'augmentation du risque d'endocardite et d'embolie et de décès des lésions cardiaques valvulaires. La toxicomanie parentérale est généralement associée à la transmission de maladies infectieuses telles que l'hépatite et le VIH.
Abus Deterrence Studies
Hysingla est is formulated with physicochemical properties intended to make the tablet more difficult to manipulate for misuse et abuse et maintains some extended-release characteristics even if the tablet is physically compromised. To evaluate the ability of these physicochemical properties to reduce the potential for abuse of Hysingla est a series of in vitro laboratory studies pharmacokinetic studies et clinical abuse potential studies was conducted. A summary is provided at the end of this section.
Tests in vitro
Des études de manipulation de comprimés physiques et chimiques in vitro ont été réalisées pour évaluer le succès de différentes méthodes d'extraction pour vaincre la formulation à libération prolongée. Soutien des résultats que Hysingla Resset Resiste de rupture et de dissolution de broyage en utilisant une variété d'outils et de solvants et conserve certaines propriétés à libération prolongée malgré la manipulation. Lorsqu'il est soumis à un environnement aqueux, Hysingla ER forme progressivement un hydrogel visqueux (c'est-à-dire une masse gélatineuse) qui résiste au passage à travers une aiguille hypodermique.
Études potentielles de violence clinique
Études sur des abuseurs opioïdes non dépendants
Deux études randomisées de placebo en double aveugle et de capital actif chez des abuseurs d'opioïdes non dépendantes ont été menées pour caractériser le potentiel d'abus de l'hysingla après la manipulation physique et l'administration via les voies intranasales et orales. Pour les deux études, le plaisir du médicament a été mesuré sur une échelle de dégagement de médicament bipolaire de 0 à 100, où 50 représente une réponse neutre de ni de goût ni de détestement 0 ne représente pas un déluge maximal et 100 représente un goût maximal. La réponse à la question de savoir si le sujet reprendrait le médicament d'étude a été mesuré sur une échelle unipolaire de 0 à 100 où 0 représente la réponse négative la plus forte (ne reprendrait certainement pas de médicament) et 100 représente la réponse positive la plus forte (reprendrait certainement le médicament).
Étude potentielle de l'abus intranasal
Dans l'étude du potentiel d'abus intranasal, 31 sujets ont été dosés et 25 sujets ont terminé l'étude. Les traitements étudiés comprenaient des comprimés d'accès par voie intranasalement altérés de 60 mg comprimés en poudre bitartre à hydrocodone 60 mg et placebo. Dossage incomplet dû à des granules tombant des narines des sujets se sont produites dans 82% (n = 23) des sujets recevant une hysingla falsifiée par rapport à aucun sujet atteint d'hydrocodone en poudre ou de placebo.
L'administration intranasale de l'hysingla falsifiée a été associée à des scores moyens et médians statistiquement significativement plus faibles pour aimer les médicaments et reprendre la drogue (P <0.001 for both) compared with powdered hydrocodone as summarized in Table 4.
Tableau 4: Résumé des scores maximaux (EMAX) sur le dégagement du médicament et reprendre le médicament VAS après l'administration intranasale de la poudre d'hysingla er et d'hydrocodone chez les abuseurs d'opioïdes non dépendants
| Échelle VAS (100 points) intranasal (n = 25) | Hysingla est Manipulated | Poudre d'hydrocodone |
| Drug Aiming * | ||
| Moyenne (SE) | 65,4 (3.7) | 90,4 (2.6) |
| Médian (gamme) | 56 (50-100) | 100 (51-100) |
| Prendre à nouveau de la drogue ** | ||
| Moyenne (SE) | 36.4 (8.2) | 85.2 (5.0) |
| Médian (gamme) | 14 (0-100) | 100 (1-100) |
| * Échelle bipolaire (0 = réponse négative maximale 50 = réponse neutre 100 = réponse positive maximale) ** Échelle unipolaire (0 = réponse négative maximale 100 = réponse positive maximale) |
La figure 1 démontre une comparaison des scores de prélèvement de médicaments maximaux pour l'hysingla altéré par rapport à l'hydrocodone en poudre chez les sujets (n = 25) qui ont reçu les deux traitements par voie intranasalement. L'axe des y représente le pourcentage de sujets atteignant une réduction en pourcentage des scores de gibation de médicaments maximaux pour la hysingla d'altération par rapport à la poudre d'hydrocodone supérieure ou égale à la valeur de l'axe x.
Environ 80% (n = 20) des sujets ont eu une certaine réduction du médicament aimant avec une hysingla falsifiée par rapport à la poudre d'hydrocodone. Soixante-huit pour cent (n = 17) des sujets ont subi une réduction d'au moins 30% du médicament avec un hysingla falsifié par rapport à la poudre d'hydrocodone et environ 64% (n = 16) des sujets ont eu une réduction d'au moins 50% de médicament avec un Hysingla tamponné par rapport à la poudre d'hydrocodone. Environ 20% (n = 5) des sujets n'ont eu aucune réduction de l'alimentation avec une hysingla altérée par rapport à la poudre d'hydrocodone.
Figure 1: Profils de réduction en pourcentage pour l'Emax de médicament aimant les EVA pour l'hysingla manipulée en poudre d'hydrocodone n = 25 après l'administration intranasale
Étude potentielle de l'abus oral
Dans l'étude sur le potentiel d'abus oral, 40 sujets ont été dosés et 35 sujets ont terminé l'étude. Les traitements étudiés comprenaient les administrations orales de comprimés à mâcher 60 mg comprimés intacts Hysingla ER 60 mg comprimés 60 mg de solution aqueuse d'hydrocodone et de placebo.
L'administration orale de Hysingla mâchée et intacte était associée à des scores moyens et médians statistiquement inférieurs sur des échelles qui mesurent le goût du médicament et le désir de reprendre le médicament (P <0.001) compared to hydrocodone solution as summarized in Table 5.
Tableau 5: Résumé des scores maximaux (EMAX) sur le dégagement du médicament et reprendre le médicament VAS après l'administration orale de la solution Hysingla ER et Hydrocodone chez les utilisateurs d'opioïdes récréatifs non dépendants
| Échelle VAS (100 points) orale (n = 35) | Hysingla est | Solution d'hydrocodone | |
| Intact | Mâché | ||
| Drug Aiming * | |||
| Moyenne (SE) | 63.3 (2.7) | 69.0 (3.0) | 94.0 (1.7) |
| Médian (gamme) | 58 (50-100) | 66 (50-100) | 100 (51-100) |
| Prendre à nouveau de la drogue ** | |||
| Moyenne (SE) | 34.3 (6.1) | 44.3 (6.9) | 89.7 (3.6) |
| Médian (gamme) | 24 (0-100) | 55 (0-100) | 100 (1-100) |
| * Échelle bipolaire (0 = réponse négative maximale 50 = réponse neutre 100 = réponse positive maximale) ** Échelle unipolaire (0 = réponse négative maximale 100 = réponse positive maximale) |
La figure 2 démontre une comparaison des scores maximaux de plaisir de médicament pour l'hysingla mâché par rapport à la solution d'hydrocodone chez les sujets qui ont reçu les deux traitements par voie orale. L'axe des y représente le pourcentage de sujets atteignant une réduction en pourcentage des scores de gisement de médicaments maximaux pour la solution de Hysingla ER par rapport à l'hydrocodone supérieure ou égale à la valeur de l'axe X.
Environ 80% (n = 28) des sujets ont eu une certaine réduction des médicaments dont le médicament avec une hysingla mâchée par rapport à la solution d'hydrocodone. Environ 69% (n = 24) des sujets ont subi une réduction d'au moins 30% de l'alimentation du médicament avec une hysingla mâchée par rapport à la solution d'hydrocodone et environ 60% (n = 21) des sujets ont eu une réduction d'au moins 50% de médicament avec un Hysingla mâché par rapport à la solution d'hydrocodone. Environ 20% (n = 7) des sujets n'ont eu aucune réduction de l'alimentation du médicament avec une hysingla mâchée par rapport à la solution d'hydrocodone.
Figure 2: Profils de réduction en pourcentage pour l'Emax de médicament aimant les VA pour les Hysingla ER à masculi
Les résultats d'une analyse similaire de la fonction de médicament pour l'hysingla intacte par rapport à la solution d'hydrocodone étaient comparables aux résultats de l'hysingla mâché par rapport à la solution d'hydrocodone. Environ 83% (n = 29) des sujets ont eu une certaine réduction du médicament alimentaire avec une hysingla intacte par rapport à la solution d'hydrocodone. Quatre-vingt-trois pour cent (n = 29) des sujets ont connu une réduction d'au moins 30% des scores de conduite de médicaments maximaux avec une hysingla intacte par rapport à la solution d'hydrocodone et environ 74% (n = 26) des sujets ont eu une réduction d'au moins 50% des scores de médicament de pointe avec des hysingla intacts par rapport à la solution d'hydrocodone. Environ 17% (n = 6) n'avaient aucune réduction de la gréation de médicaments avec une hysingla intacte par rapport à la solution d'hydrocodone.
Résumé
Les données in vitro démontrent que Hysingla ER possède des propriétés physiques et chimiques qui devraient dissuader les abus intranasaux et intraveineux. Les données des études de potentiel d'abus clinique ainsi que le soutien des données in vitro indiquent également que l'hysingla ER possède des propriétés physicochimiques qui devraient réduire les abus intranasaux et les abus oraux lorsqu'ils sont mâchés. Cependant, l'abus d'hysingla par les routes intranasales et orales intranasales et orales est toujours possible.
Des données supplémentaires comprenant des données épidémiologiques lorsqu'elles sont disponibles peuvent fournir de plus amples informations sur l'impact de l'hysingla ER sur la responsabilité d'abus du médicament. En conséquence, cette section peut être mise à jour à l'avenir, le cas échéant.
Dépendance
La tolérance et la dépendance physique peuvent se développer lors de l'utilisation de la thérapie opioïde.
La tolérance est un état physiologique caractérisé par une réponse réduite à un médicament après une administration répétée (c'est-à-dire qu'une dose plus élevée d'un médicament est nécessaire pour produire le même effet qui a été obtenu autrefois à une dose plus faible).
La dépendance physique est un état qui se développe à la suite d'une adaptation physiologique en réponse à une consommation répétée de drogues se manifestant par des signes de sevrage et des symptômes après un arrêt brusque ou une réduction de dose significative d'un médicament.
Retrait may be precipitated through the administration of drugs with opioid antagonist activity (e.g. naloxone) mixed agonist/antagonist analgesics (e.g. pentazocine butorphanol nalbuphine) or partial agonists (e.g. buprenorphine). Physical dependence may not occur to a clinically significant degree until after several days to weeks of continued use.
N'arrêtez pas brusquement Hysingla ER chez un patient dépendant physiquement des opioïdes. Le rétrécissement rapide de l'hysingla chez un patient dépendant physiquement des opioïdes peut entraîner de graves symptômes de sevrage de la douleur et du suicide incontrôlés. L'arrêt rapide a également été associé à des tentatives de trouver d'autres sources d'analgésiques opioïdes qui peuvent être confondus avec la recherche de drogues pour abus.
Lors de l'arrêt de l'hysingla, effacer progressivement le dosage à l'aide d'un plan spécifique au patient qui considère les suivants: La dose d'hysingla er le patient a pris la durée du traitement et les attributs physiques et psychologiques du patient. Pour améliorer la probabilité d'un conique réussi et minimiser les symptômes de sevrage, il est important que le calendrier de rétrécissement des opioïdes soit convenu par le patient. Chez les patients qui prennent des opioïdes pendant une période prolongée à des doses élevées, garantissent qu'une approche multimodale de la gestion de la douleur, y compris le soutien en santé mentale (si nécessaire) est en place avant de lancer un cône analgésique opioïde [voir Posologie et administration AVERTISSEMENTS AND PRÉCAUTIONS ].
Les nourrissons nés de mères dépendant physiquement des opioïdes seront également physiquement dépendants et pourront présenter des difficultés respiratoires et des signes de sevrage [voir Utiliser dans des populations spécifiques ].
Les informations sur la surdose pour Hysingla sont
Présentation clinique
Le surdosage aigu avec l'hydrocodone peut se manifester par la somnolence de dépression respiratoire qui progresse vers une stuppe de stupeur ou du coma Flaccidité des muscles squelettiques et des puples à la peau et de la peau en malentend. La mydriase marquée plutôt que la miose peut être observée avec l'hypoxie dans des situations de surdosage [voir Pharmacologie clinique ].
Traitement de la surdose
En cas de priorités de surdose, le rétablissement d'une voie aérienne et d'une institution de ventilation assistée ou contrôlée si nécessaire. Utilisez d'autres mesures de soutien (y compris l'oxygène et les vasopresseurs) dans la gestion du choc circulatoire et de l'œdème pulmonaire accompagnant une surdose comme indiqué. L'arrêt cardiaque ou les arythmies nécessiteront des mesures de soutien à la vie avancées.
Opioïde antagonists such as naloxone are specific antidotes to respiratory dépression resulting from opioid overdosage. For clinically significant respiratory or circulatory dépression secondary to hydrocodone overdose administer an opioid antagonist.
Étant donné que la durée de l'inversion des opioïdes devrait être inférieure à la durée d'action de l'hydrocodone dans l'hysingla, surveillez soigneusement le patient jusqu'à ce que la respiration spontanée soit rétablie de manière fiable. Hysingla ER continuera de libérer de l'hydrocodone et ajoutera à la charge d'hydrocodone pendant 24 à 48 heures ou plus après l'ingestion nécessitant une surveillance prolongée. Si la réponse à un antagoniste opioïde est sous-optimale ou uniquement de nature, administre un antagoniste supplémentaire comme indiqué par les informations de prescription du produit.
Dans un individu dépendant physiquement de l'administration d'opioïdes de la dose recommandée de l'antagoniste, précipitera un syndrome de sevrage aigu. La gravité du syndrome de sevrage produit dépendra du degré de dépendance physique et de la dose de l'antagoniste administré. Si une décision est prise de traiter la dépression respiratoire grave dans l'administration physiquement dépendante de l'antagoniste doit être initiée avec soins et par titrage avec des doses plus petites que d'habitude de l'antagoniste.
Les contre-indications pour Hysingla sont
Hysingla est is contraindicated in patients with:
- Dépression respiratoire importante [voir AVERTISSEMENTS AND PRÉCAUTIONS ]
- Asthme bronchique aigu ou sévère dans un cadre non surveillé ou en l'absence d'équipement de réanimation [voir AVERTISSEMENTS AND PRÉCAUTIONS ]
- Obstruction gastro-intestinale connue ou suspectée, y compris l'iléus paralytique [voir AVERTISSEMENTS AND PRÉCAUTIONS ]
- Hypersensibilité à l'hydrocodone ou à tout composant de l'hysingla er.
Pharmacologie clinique for Hysingla ER
Mécanisme d'action
L'hydrocodone est un agoniste opioïde complet avec une sélectivité relative pour le récepteur mu-opioïde, bien qu'il puisse interagir avec d'autres récepteurs opioïdes à des doses plus élevées. La principale action thérapeutique de l'hydrocodone est l'analgésie. Comme tous les agonistes opioïdes complets, il n'y a pas d'effet de plafond pour l'analgésie avec l'hydrocodone. La dose clinique est titrée pour fournir une analgésie adéquate et peut être limitée par des effets indésirables, notamment la dépression respiratoire et le SNC.
Le mécanisme précis de l'action analgésique est inconnu. Cependant, des récepteurs opioïdes du SNC spécifiques pour les composés endogènes avec une activité de type opioïde ont été identifiés dans tout le cerveau et la moelle épinière et sont censés jouer un rôle dans les effets analgésiques de ce médicament.
Pharmacodynamique
Électrophysiologie cardiaque
L'allongement de l'intervalle de QTC a été étudié dans une étude de dose-groupe parallèle à 3 traitements parallèle à 3 traitements en double et positif à 3 sujets sains. Une prolongation d'intervalle QTC a été observée après Hysingla ER 160 mg par jour. La différence moyenne maximale (limite de confiance supérieure) dans l'intervalle QTC entre Hysingla ER et Placebo (après la correction de base) à l'état d'équilibre était de 6 (9) millisecondes 7 (10) millisecondes et 10 (13) millisecondes à Hysingla ER de 80 mg 120 mg et 160 mg respectivement. Pour les implications cliniques de l'intervalle QTC prolongé [voir AVERTISSEMENTS AND PRÉCAUTIONS ].
Effets sur le système nerveux central
L'hydrocodone produit une dépression respiratoire par action directe sur les centres respiratoires du tronc cérébral. La dépression respiratoire implique une réduction de la réactivité des centres respiratoires du tronc cérébral à une augmentation de la tension du dioxyde de carbone et de la stimulation électrique.
L'hydrocodone provoque la miose même dans l'obscurité totale. Les élèves identités sont un signe de surdose d'opioïdes mais ne sont pas pathognomoniques (par exemple, les lésions pontines d'origine hémorragique ou ischémique peuvent produire des résultats similaires). La mydriase marquée plutôt que la miose peut être observée avec l'hypoxie dans des situations de surdosage [voir Sur-ladosage ].
Effets sur le tractus gastro-intestinal et d'autres muscles lisses
L'hydrocodone provoque une réduction de la motilité associée à une augmentation du tonus musculaire lisse dans l'antre de l'estomac et du duodénum. La digestion des aliments dans l'intestin grêle est retardée et les contractions propulsives sont diminuées. Les ondes péristaltiques propulsives dans le côlon sont diminuées tandis que le ton est augmenté au point de spasme, entraînant une constipation. D'autres effets induits par les opioïdes peuvent inclure une réduction des spasmes de sécrétions biliaires et pancréatiques du sphincter d'Oddi et des élévations transitoires de l'amylase sérique.
Effets sur le système cardiovasculaire
L'hydrocodone produit une vasodilatation périphérique qui peut entraîner une hypotension orthostatique ou des manifestations de syncope de libération d'histamine et / ou de vasodilatation périphérique peut inclure la transpiration des yeux rouges de rinçage du prurit et / ou une hypotension orthostatique.
Effets sur le système endocrinien
Opioïdes inhibit the secretion of adrenocorticotropic hormone (ACTH) cortisol et luteinizing hormone (LH) in humans [see Effets indésirables ]. They also stimulate prolactin growth hormone (GH) secretion et pancreatic secretion of insulin et glucagon.
L'utilisation d'opioïdes pendant une période prolongée peut influencer l'axe hypothalamo-hypophyso-gonadal conduisant à une carence en androgène qui peut se manifester comme une faible impuissance de la libido dysfonction érectile amenorrhée ou infertilité. Le rôle causal des opioïdes dans le syndrome clinique de l'hypogonadisme est inconnu car les diverses moteurs de vie physique et stress psychologiques qui peuvent influencer les niveaux d'hormones gonadiques n'ont pas été correctement contrôlés dans les études menées à ce jour [voir Effets indésirables ].
Effets sur le système immunitaire
Opioïdes have been shown to have a variety of effects on components of the immune system in in vitro et animal models. The clinical significance of these findings is unknown. Overall the effects of opioids appear to be modestly immunosuppressive.
Relations d'efficacité de la concentration
La concentration analgésique efficace minimale variera considérablement selon les patients, en particulier chez les patients qui ont été traités auparavant avec des agonistes opioïdes. La concentration analgésique efficace minimale d'hydrocodone pour tout patient individuel peut augmenter avec le temps en raison d'une augmentation de la douleur Le développement d'un nouveau syndrome de la douleur et / ou le développement d'une tolérance analgésique [voir Posologie et administration ].
Concentration - Expérience défavorable Relations
Il existe une relation entre l'augmentation de la concentration plasmatique d'hydrocodone et l'augmentation de la fréquence des effets indésirables tels que les nausées vomissements des effets du SNC et la dépression respiratoire. Chez les patients tolérants aux opioïdes, la situation peut être modifiée par le développement de la tolérance aux effets indésirables liés aux opioïdes [voir Posologie et administration ].
Pharmacocinétique
Absorption
Hysingla est is a single-entity extended-release formulation of hydrocodone that yields a gradual increase in plasma hydrocodone concentrations with a median Tmax of 14 †16 hours noted for different dose strengths. Peak plasma levels may occur in the range of 6 -30 hours after single dose Hysingla est administration.
L'exposition systémique (AUC et CMAX) a augmenté linéairement avec des doses de 20 à 120 mg. CMAX et AUC ont augmenté légèrement plus que la dose proportionnellement (tableau 6). La demi-vie terminale moyenne (T½) était similaire pour toutes les forces de dose Hysingla ER allant de 7 à 9 heures.
Tableau 6: Paramètres pharmacocinétiques moyens (SD) de Hysingla ER
| Résistance à la dose (MG) | Aucinf (ng • h / ml) | Cmax (ng / ml) | Tmax * (h) |
| 20 | 284 (128) | 14.6 (5.5) | 16 (6 24) |
| 40 | 622 (252) | 33.9 (11.8) | 16 (6 24) |
| 60 | 1009 (294) | 53,6 (NULL,4) | 14 (10 30) |
| 80 | 1304 (375) | 69.1 (17.2) | 16 (10 24) |
| 120 | 1787 (679) | 110 (44.1) | 14 (6 30) |
| * médiane (maximum minimum) |
Par rapport à un produit de combinaison d'hydrocodone à libération immédiate Hysingla ER à la même dose quotidienne entraîne une biodisponibilité similaire mais avec des concentrations maximales plus faibles à l'état stable (figure 3).
Figure 3: Profil de concentration en hydrocodone plasmatique à l'état d'équilibre moyen
Les concentrations de hydrocodone plasmatiques à l'état d'équilibre ont été confirmées le jour 3 de la possibilité de dosage une fois par jour de Hysingla ER. L'étendue de l'accumulation d'exposition systémique était de 1,3 et 1,1 fois par rapport à l'ASC et au CMAX à l'état d'équilibre. La demi-vie terminale moyenne (T½) à l'état d'équilibre était de 7 heures. Les valeurs médianes de Tmax étaient de 14 heures (extrêmes: 12 à 24 heures) le jour 1 et le jour 5 après une administration quotidienne de Hysingla ER pendant cinq jours. La fluctuation quotidienne des taux plasmatiques de pic à creux d'hydrocodone était plus élevé à 80 mg et 120 mg de doses d'hysingla ER par rapport à une dose de 30 mg (tableau 7).
Tableau 7: Paramètres pharmacocinétiques à hydrocodone en régime permanent (SD)
| Régime | AUC24SS (NG • H / ML) | CMAXSS (NG / ML) | CMINSSS (NG / ML) | %Fluctuation* |
| Hysingla est | ||||
| 30 mg q24h | 443 (128) | 26.4 (7.4) | 16.7 (5.2) | 61 (6.4113) |
| 80 mg Q24H | 1252 (352) | 82.6 (NULL,7) | 28.2 (12) | 105 (36214) |
| 120 mg Q24H | 1938 (729) | 135 (50) | 63.6 (29) | 97,9 (32 250) |
| * Moyenne (maximum minimum); Le pourcentage de fluctuation de la concentration plasmatique est dérivé comme (CMAXSS - CMIN SS) * 100 / CAVGSS. |
Effets alimentaires
CMAX et AUC de Hysingla ER 120 mg comprimés étaient similaires dans des conditions faibles en matières grasses par rapport aux conditions de jeûne (17% et 9% plus élevées respectivement). Le CMAX était plus élevé (54%) dans des conditions de graisse élevées par rapport aux conditions de jeûne; Cependant, l'AUC de Hysingla ER 120 mg comprimés n'était que 20% plus élevée lorsqu'il est co-administré avec un repas riche en graisses. Hysingla er peut être administré sans égard aux repas.
Distribution
Après l'administration d'hysingla, la valeur typique (70 kg adulte) du volume apparent de distribution (v / f) est de 402 l suggérant une distribution tissulaire étendue. L'étendue de la liaison in vivo de l'hydrocodone aux protéines plasmatiques humaines était minime avec un% moyen lié à 36%.
Élimination
Métabolisme
L'hydrocodone présente un schéma complexe de métabolisme, notamment la démylation de la N-déméthylation et la réduction des 6-céto aux métabolites 6-α et 6-β-hydroxy correspondants. La nâdéthylation médiée du CYP3A4 à la norhydrocodone inactive est la principale voie métabolique de l'hydrocodone avec une contribution plus faible de CYP2B6 et CYP2C19. L'hydromorphone de métabolite mineur ( <3% of the circulating parent hydrocodone) was mainly formed by Cyp2d6 mediated O-demethylation with a smaller contribution by CYP2B6 et CYP2C19. Hydromorphone may contribute to the total analgesic effect of hydrocodone.
Excrétion
L'hydrocodone et ses métabolites sont éliminés principalement par excrétion rénale. Le pourcentage de la dose administrée excrétée inchangée sous forme d'hydrocodone dans l'urine était de 6,5% chez les sujets ayant une fonction rénale normale et 5,0% 4,8% et 2,3% chez les sujets avec une déficience rénale modérée légère et sévère respectivement. La clairance rénale (CLR) de l'hydrocodone chez des sujets sains était faible (NULL,3 L / H) par rapport à la clairance orale apparente (Cl / F 83 L / H); suggérant que la clairance non rénale est la principale voie d'élimination. Quatre-vingt-dix-neuf pour cent de la dose administrée est éliminée dans les 72 heures. La demi-vie terminale moyenne (T½) était similaire pour toutes les forces de dose Hysingla ER allant d'environ 7 à 9 heures à travers la plage de doses.
Populations spécifiques
Âge: patients gériatriques
Après l'administration de 40 mg d'hysingla, la pharmacocinétique de l'hydrocodone chez des sujets âgés en bonne santé (65 à 77 ans) est similaire à la pharmacocinétique chez des sujets plus jeunes en bonne santé (20 à 45 ans). Il n'y a eu aucune augmentation cliniquement significative de la CMAX (16%) et de l'ASC (15%) d'hydrocodone chez les personnes âgées par rapport aux sujets adultes plus jeunes [voir Utiliser dans des populations spécifiques ].
Sexe
L'exposition systémique de l'hydrocodone (CMAX et AUC) était similaire entre les mâles et les femmes.
Trouble hépatique
Après une seule dose de 20 mg d'hysingla ER chez les sujets (8 chacun) avec une fonction hépatique normale légère modérée ou une déficience hépatique sévère basée sur les classifications de l'enfant-PUGH, les valeurs d'hydrocodone CMAX étaient respectivement de 16 15 17 et 18 ng / ml. Les valeurs moyennes de l'hydrocodone AUC étaient de 342 310 390 et 415 ng.hr/ml pour les sujets avec une fonction hépatique normale légère modérée ou une déficience hépatique sévère respectivement. Les valeurs géométriques moyennes de l'hydrocodone CMAX étaient de -6% 5% et 5% et les valeurs AUC étaient de -14% 13% et 4% chez les patients atteints de déficience hépatique modérée légère ou sévère respectivement par rapport aux sujets ayant une fonction hépatique normale.
La liaison moyenne à la protéine plasmatique in vivo de l'hydrocodone à travers les groupes était similaire de 33% à 37% [voir Utiliser dans des populations spécifiques ].
Trouble rénal
Après une dose unique de 60 mg d'hysingla ER chez les sujets (8 chacun) avec une fonction rénale normale légère modérée ou une insuffisance rénale sévère basée sur les critères de Cockcroft-Gault et la maladie rénale du stade terminal (avec dialyse) les patients en hydrocodone signifient respectivement 40 50 51 46 et 38 Ng / ml. Les valeurs moyennes de l'hydrocodone AUC étaient de 754 942 1222 1220 et 932 ng.hr/ml pour les sujets avec une fonction rénale normale légère modérée ou une insuffisance rénale grave et ESRD avec dialyse respectivement. Les valeurs d'hydrocodone CMAX étaient de 14% 23% 11% et -13% et les valeurs AUC étaient de 13% 61% 57% et 4% plus élevées chez les patients présentant respectivement une maladie rénale modérée légère ou sévère ou une maladie rénale de stade terminal avec dialyse [voir [voir Utiliser dans des populations spécifiques ].
Études d'interaction médicamenteuse
CYP3A4
La co-administration de Hysingla ER (20 mg à dose unique) et de l'inhibiteur du CYP3A4 Kétoconazole (200 mg de BID pendant 6 jours) a augmenté l'hydrocodone moyenne AUC et CMAX de 135% et 78% respectivement [voir AVERTISSEMENTS AND PRÉCAUTIONS et Interactions médicamenteuses ].
Cyp2d6
L'intervalle de confiance (IC) à 90% des moyennes géométriques pour l'hydrocodone aucicinf (98 à 115%) AUCT (98 à 115%) et CMAX (93 à 121%) se situaient dans la fourchette de 80 à 125 ans lorsque une dose unique de Hysingla ER 20 mg a été co-admirée avec 12 jours). Aucune différence dans l'exposition systémique de l'hydrocodone n'a été observée en présence de paroxétine.
Études cliniques
Étude chronique modérée à grave chronique
L'efficacité et l'innocuité de Hysingla ER ont été évaluées dans un essai clinique multi-centres à double centre de 12 semaines contrôlé en double aveugle dans les patients à la fois en opioïde et opioïdes-NaDe avec des douleurs chroniques sur le dos chroniques modérées à sévères.
Au total, 905 patients atteints de lombalgie chronique (opioïdes naïfs et expérimentés aux opioïdes) qui n'étaient pas sensibles à leur thérapie analgésique antérieure sont entrés dans une période de conversion et de dose-tit à ouverture jusqu'à 45 jours avec Hysingla ER. Les patients étaient dosés une fois par jour avec Hysingla ER (20 à 120 mg). Les patients ont arrêté leurs analgésiques opioïdes antérieurs et / ou des analgésiques non opioïdes avant de commencer le traitement par hysingla er. L'utilisation facultative des médicaments de sauvetage (oxycodone à libération immédiate 5 mg) jusqu'à 2 doses (2 comprimés) a été autorisée pendant la période de titrage de dose. Pour une douleur à la douleur inadéquatement contrôlée, la dose d'hysingla er a été augmentée une fois tous les 3 jours jusqu'à une dose stabilisée et tolérable. Au cours de la période de dose-titration, 65% des patients ont obtenu une dose stable de l'hysingla ER et sont entrés dans la période de traitement en double aveugle. Les sujets restants ont interrompu la période de titration de dose pour les raisons suivantes: événements indésirables (10%); manque d'effet thérapeutique (5%); Diversion confirmée ou suspectée (3%); Choix du sujet (5%); perdu contre le suivi (2%); raisons administratives (2%); et l'échec de la réduction définie par le protocole du score de douleur (7%).
Après la période de titrage de dose, 588 patients (65%) ont été randomisés à un rapport de 1: 1 dans une période de traitement en double aveugle de 12 semaines avec leur dose stabilisée fixe de Hysingla ER (ou un placebo correspondant). Ces patients répondaient aux critères de randomisation de l'étude d'une analgésie adéquate (réduction de la douleur d'au moins 2 points à un score de 4 ou moins sur une échelle de notation numérique 0-10) et une tolérabilité acceptable de l'hysingla ER. Les patients randomisés dans le placebo ont reçu un conique en aveugle de l'hysingla ER selon un calendrier de rétrécissement pré-spécifié 3 jours à chaque dose de baisse (réduit de 25 à 50% par rapport à la dose précédente). Les patients ont été autorisés à utiliser des médicaments de sauvetage (oxycodone à libération immédiate 5 mg) jusqu'à 6 doses (6 comprimés) par jour en fonction de leur dose randomisée Hysingla ER. Au cours de la période en double aveugle, 229 patients traités (77%) ont terminé le traitement de 12 semaines avec Hysingla ER et 210 patients (72%) terminés sur le placebo. Dans l'ensemble, 10% des patients ont arrêté en raison du manque d'effet thérapeutique (5% chez les patients Hysingla et de 15% chez les patients placebo); 5% des patients ont arrêté en raison d'événements indésirables (6% chez les patients traités par l'hysingla et 3% chez les patients placebo).
Hysingla est provided greater analgesia compared with placebo. There was a statistically significant difference in the weekly average pain scores at Week 12 between the two groups.
Le pourcentage de patients (répondants) dans chaque groupe qui a démontré une amélioration de leurs scores de douleur moyens hebdomadaires à la semaine 12 par rapport au dépistage est illustré à la figure 4. Le chiffre est cumulatif de sorte que les patients dont le changement de dépistage est par exemple 30% sont également inclus à tous les niveaux d'amélioration inférieurs à 30%. Les patients qui n'ont pas terminé l'étude ont été classés comme non-répondants. Le traitement par hysingla a entraîné une proportion plus élevée de répondants définis comme des patients avec au moins une amélioration de 30% et 50% par rapport au placebo.
Figure 4: pourcentage d'amélioration de l'intensité de la douleur
Les informations sur les patients pour Hysingla sont
Hysingla® est
(Hye-Sing-Luh)
(Bitartrate d'hydrocodone) Comprimés à libération prolongée
Hysingla est is:
- Une forte médecine de la douleur sur ordonnance qui contient un opioïde (narcotique) qui est utilisé pour gérer une douleur sévère et persistante qui nécessite une période de traitement prolongée avec un médicament contre la douleur opioïde quotidien lorsque d'autres médicaments contre la douleur non opioïde ne traitent pas assez bien votre douleur ou que vous ne pouvez pas les tolérer.
- Un médicament contre la douleur aux opioïdes à action prolongée (à libération prolongée) qui peut vous mettre à risque de surdose et de décès. Même si vous prenez correctement votre dose comme prescrit, vous êtes à risque d'abus de dépendance aux opioïdes et d'une mauvaise utilisation qui peuvent entraîner la mort.
- À ne pas prendre en fonction du nécessaire.
Des informations importantes sur Hysingla sont:
- Obtenez une aide d'urgence ou appelez le 911 immédiatement si vous prenez trop d'hysingla er (surdose). Lorsque vous commencez à prendre Hysingla ER lorsque votre dose est modifiée ou si vous prenez trop (surdose) des problèmes respiratoires graves ou mortels qui peuvent entraîner la mort. Parlez à votre fournisseur de soins de santé de la naloxone un médicament pour le traitement d'urgence d'une surdose d'opioïdes.
- Prendre l'hysingla avec d'autres médicaments opioïdes benzodiazépines alcool ou autres dépresseurs du système nerveux central (y compris les médicaments de rue) peut provoquer une somnolence sévère diminution des problèmes respiratoires de conscience du coma et de la mort.
- Ne donnez jamais à personne d'autre votre Hysingla er. Ils pourraient mourir de le prendre. Vendre ou donner Hysingla er est contraire à la loi.
- Stockez Hysingla er en toute sécurité hors de vue et de portée des enfants et dans un endroit non accessible par d'autres, y compris les visiteurs de la maison.
Ne prenez pas Hysingla er si vous avez:
- Des problèmes d'asthme graves respirer ou d'autres problèmes pulmonaires.
- un blocage intestinal ou avoir un rétrécissement de l'estomac ou des intestins.
Avant de prendre Hysingla er, dites à votre fournisseur de soins de santé si vous avez des antécédents:
- Séizées sur les blessures à la tête
- Problèmes de pancréas ou de vésicule biliaire
- Problèmes de thyroïde rein du foie
- Problèmes de rythme cardiaque (syndrome de QT long)
- Problèmes Uriner
- Abus de rue ou de médicaments sur ordonnance Addiction alcoolique Opioïde Opioïde ou problèmes de santé mentale
Dites à votre fournisseur de soins de santé si vous êtes:
- Remarquer votre douleur empire. Si votre douleur empire après avoir pris Hysingla er, ne prenez pas plus d'hysingla er sans parler d'abord à votre fournisseur de soins de santé. Parlez à votre fournisseur de soins de santé si la douleur que vous avez augmente si vous vous sentez plus sensible au pian ou si vous avez une nouvelle douleur après avoir pris Hysingla er.
- enceinte ou prévoyant de devenir enceinte. L'utilisation de Hysingla ER pendant une période prolongée pendant la grossesse peut provoquer des symptômes de sevrage chez votre nouveau-né qui pourraient être mortels s'ils ne sont pas reconnus et traités.
- allaitement maternel. Non recommandé pendant le traitement avec Hysingla ER. Cela peut nuire à votre bébé.
- Vivre dans un ménage où il y a de petits enfants ou quelqu'un qui a abusé des médicaments de rue ou de prescription.
- Prendre des médicaments sur ordonnance ou en vente libre vitamines ou suppléments à base de plantes. La prise d'hysingla avec certains autres médicaments peut provoquer des effets secondaires graves et entraîner la mort.
Lorsque vous prenez Hysingla, c'est:
Effets secondaires du méthocarbamol 750 mg
- Ne changez pas votre dose. Prenez Hysingla er exactement comme prescrit par votre fournisseur de soins de santé. Utilisez la dose la plus basse possible pour les temps les plus courts nécessaires.
- Prenez votre dose prescrite toutes les 24 heures à la même heure chaque jour. Ne prenez pas plus que votre dose prescrite en 24 heures. Si vous manquez une dose, prenez votre prochaine dose à votre heure habituelle le lendemain.
- Swallow Hysingla er entier. Ne coupez pas la rupture de mâcher, le coup de dissolution de snich ou injectez l'hysingla ER car cela peut vous faire une surdose et mourir.
- Hysingla est should be taken 1 tablet at a time. Do not pre-soak lick or wet the tablet before placing it in your mouth to avoid choking on the tablet.
Appelez votre fournisseur de soins de santé si la dose que vous prenez ne contrôle pas votre douleur.
- N'arrêtez pas de prendre Hysingla er sans parler à votre fournisseur de soins de santé.
- Jetez des Hysingla Er expirées ou inutilisées en rincer rapidement dans les toilettes si une option de reprise de drogue n'est pas facilement disponible. Visitez www.fda.gov/drugdispose pour plus d'informations sur l'élimination des médicaments inutilisés.
Tout en prenant Hysingla er ne pas:
- Conduisez ou utilisez des machines lourdes jusqu'à ce que vous sachiez comment Hysingla ER vous affecte. Hysingla er peut vous rendre étourdi ou étourdi.
- Buvez de l'alcool ou utilisez des médicaments sur ordonnance ou en vente libre qui contiennent de l'alcool. L'utilisation de produits contenant de l'alcool pendant le traitement avec Hysingla ER peut vous faire une surdose et mourir.
Les effets secondaires possibles de Hysingla ER sont:
- constipation nausée envie de dormir vomissement tiredness mal de tête vertiges douleurs abdominales. Call your healthcare provider if you have any of these symptoms et they are severe.
Obtenez une aide médicale d'urgence ou appelez le 911 immédiatement si vous avez:
- Problème de respiration du souffle du rythme cardiaque rapide soufflant la douleur thoracique gonflement de votre visage la langue ou la gorge de la gorge extrême de somnolence légère lors de la modification des positions en se sentant à faible agitation de la température corporelle élevée en difficulté des muscles raides ou des changements mentaux tels que la confusion.
Ce ne sont pas tous les effets secondaires possibles de Hysingla ER. Appelez votre fournisseur de soins de santé pour des conseils médicaux sur les effets secondaires. Vous pouvez signaler les effets secondaires à la FDA au 1-800-FDA-1088. Pour plus d'informations, rendez-vous sur dailymed.nlm.nih.gov. Fabriqué par: Purdue Pharma L.P. Stamford CT 06901-3431 www.purdupharma.com ou appelez le 1-888-726-7535
Ce guide de médicaments a été approuvé par la Food and Drug Administration des États-Unis.