Les Informations Présentées Sur Ce Site Ne Constituent Pas Un Avis Médical. Nous Ne Vendons Rien. L'Exactitude De La Traduction N'Est Pas Garantie. Clause De Non-Responsabilité
Antipsychotiques, deuxième génération
Invega Sustrenna
Résumé
Qu'est-ce qu'Invega Sustenna?
Invega La subsenne (palmitate de palipéridone) est un médicament antipsychotique utilisé pour traiter la schizophrénie.
Quels sont les effets secondaires d'Invega Sustrenna?
Invega Sustennamay cause serious side effects including:
- urticaire
- difficulté à respirer
- gonflement de ton visage lèvres langue ou gorge
- difficulté à avaler
- agitation
- spasmes musculaires
- fièvre
- mal de gorge persistant
- évanouissement
- étourdissements sévères
- rythme cardiaque lent
- crises
- Mouvements incontrôlés (facettes du visage bouche langue langue ou jambes)
- raideur musculaire douleurs de douleur ou de faiblesse
- fatigue sévère
- confusion sévère
- transpiration
- rythme cardiaque rapide ou irrégulier
- urine sombre
- Changement de la quantité d'urine
- accrue soif et miction
- lait maternel indésirable
- Périodes manquées ou arrêtées
- diminution de la capacité sexuelle
- incapacité à produire des spermatozoïdes
- Poitrine élargie (chez les hommes)
- érection douloureuse ou prolongée (durée plus de 4 heures) et
- étourdissements sévères
Obtenez de l'aide médicale immédiatement si vous présentez l'un des symptômes énumérés ci-dessus.
Les effets secondaires courants des supports d'Invega comprennent:
- somnolence
- vertiges
- étourdissement
- prise de poids
- haut cholestérol (ou triglycérides) niveaux
- Données et gonflements sur le site d'injection.
Dites à votre médecin si vous avez des effets secondaires graves d'Invega Sustrenna, notamment:
- difficulté à avaler
- agitation
- spasmes musculaires or
- Signes d'infection (comme la fièvre persistante mal de gorge).
Invega Sustennamay cause serious side effects including:
- urticaire
- difficulté à respirer
- gonflement de ton visage lèvres langue ou gorge
- difficulté à avaler
- agitation
- spasmes musculaires
- fièvre
- mal de gorge persistant
- évanouissement
- étourdissements sévères
- rythme cardiaque lent
- crises
- Mouvements incontrôlés (facettes du visage bouche langue langue ou jambes)
- raideur musculaire douleurs de douleur ou de faiblesse
- fatigue sévère
- confusion sévère
- transpiration
- rythme cardiaque rapide ou irrégulier
- urine sombre
- Changement de la quantité d'urine
- accrue soif et miction
- lait maternel indésirable
- Périodes manquées ou arrêtées
- diminution de la capacité sexuelle
- incapacité à produire des spermatozoïdes
- Poitrine élargie (chez les hommes)
- érection douloureuse ou prolongée (durée plus de 4 heures) et
- étourdissements sévères
Obtenez de l'aide médicale immédiatement si vous présentez l'un des symptômes énumérés ci-dessus.
Cherchez des soins médicaux ou appelez le 911 à la fois si vous avez les effets secondaires graves suivants:
- Des symptômes oculaires graves tels que la perte de vision soudaine floue du tunnel de vision de la vision de la vision des yeux ou de l'enflure ou de voir des halos autour des lumières;
- Symptômes cardiaques graves tels que les battements cardiaques rapides ou battants; flotter dans votre poitrine; essoufflement; et des étourdissements soudains, de la légèreté ou de l'évanouissement;
- Maux de tête sévères Confusion Slurred Speech Bras ou Ligne Proulitude Trouble de la merde Perte de coordination Sentiment des muscles très rigides très rigides Fièvre élevée Propice ou des tremblements.
Ce document ne contient pas tous les effets secondaires possibles et d'autres peuvent survenir. Vérifiez auprès de votre médecin des informations supplémentaires sur les effets secondaires.
Dosage pour Invega Sustrenna
La dose recommandée d'Invega Sustrenna est de 234 mg le premier jour de traitement 156 mg une semaine plus tard et 117 mg une fois par mois par la suite.
Quelles substances ou suppléments de médicaments interagissent avec Invega Sustrenna?
Benztropine Scopolamine Levodopa bromocriptine lisinopril et rispéridone peut interagir avec Invega Sustenna. Dites à votre médecin tous les médicaments que vous prenez. N'arrêtez pas de prendre Invega Sustrenna sans consulter d'abord votre médecin. Évitez la consommation d'alcool tout en prenant Invega Sustrenna.
Invega Sustenna During Grossesse or Breastfeeding
Si vous êtes enceinte, prenez Invega Sustrenna si cela est clairement nécessaire. Parlez à votre médecin avant de prendre Invega Sustenna si vous allaitez.
Informations Complémentaires
Notre centre de médicaments sur les effets secondaires d'Invega Susthenna (Paliperidone Palmitate) offre une vue complète des informations sur les médicaments disponibles sur les effets secondaires potentiels lors de la prise de ce médicament.
Informations sur les médicaments de la FDA
- Description de la drogue
- Indications
- Effets secondaires
- Interactions médicamenteuses
- Avertissements
- Surdosage
- Pharmacologie clinique
- Guide des médicaments
AVERTISSEMENT
Accrue de la mortalité chez les patients âgés atteints de psychose démentielle
- Les patients âgés atteints de psychose liée à la démence traitée avec des antipsychotiques sont à un risque accru de décès [voir AVERTISSEMENTS AND PRÉCAUTIONS ].
- Invega Sustrenna ® n'est pas approuvé pour une utilisation chez les patients atteints de psychose liée à la démence [voir AVERTISSEMENTS AND PRÉCAUTIONS ].
Diminution de l'investisseur sensusna
Invega Sustrenna ® est un antipsychotique atypique. Invega Sustrenna ® contains paliperidone palmitate. The active ingredient paliperidone palmitate is a psychotropic agent belonging to the chemical class of benzisoxazole derivatives. INVEGA SUSTENNA ® contient un mélange racémique de ()-et (-) - palmitate de palipéridone. Le nom chimique est (9 Rs ) -3- [2- [4- (6fluoro- 12-benzisoxazol-3-yl) pipéridine-1-yl] éthyl] -2-méthyl-4-oxo-6789-tétrahydro-4 H pyrido [12- a ] pyrimadin-9-ylaxadécanoate. Sa formule moléculaire est C 39 H 57 FN 4 O 4 et son poids moléculaire est de 664,89. La formule structurelle est:
|
Le palmitate de palipéridone est très légèrement soluble dans l'éthanol et le méthanol pratiquement insolubles dans le polyéthylène glycol 400 et le propylène glycol et légèrement soluble dans l'acétate d'éthyle.
Invega Sustrenna ® est disponible en tant que suspension à libération étendue aqueuse blanche à blanc stérile à blanc stérile pour l'injection intramusculaire dans les résistances à dose suivantes de la palipéridone palmitate (et les volumes livrables des seringues préfabillées): 39 mg (NULL,25 ml) 78 mg (NULL,5 ml) 117 mg (NULL,75 ml) 156 mg (NULL,0 ml) et 234 mg (1.5 ml). Le produit médicamenteux s'hydrolyse de la fraction active de la palipéridone entraînant des doses de 25 mg 50 mg 75 mg 100 mg et 150 mg de palipéridone respectivement. Les ingrédients inactifs sont le polysorbate 20 (12 mg / ml) de polyéthylène glycol 4000 (30 mg / ml) monohydrate d'acide citrique (5 mg / ml) Disodium phosphate hydrogène phosphate de sodium anhydrogén phosphate monohydrate monohydrate de sodium hydroxyde et eau pour l'injection.
Invega Sustrenna ® est fourni dans une seringue préfilée (cyclique-oléfine-copolymère) avec un bouchon de piston et un capuchon de pointe (caoutchouc bromobutyle). Le kit contient également 2 aiguilles de sécurité (une aiguille de sécurité de 1 ½ pouce 22 et une aiguille de sécurité de 1 pouce 23).
Utilisation de la maison honsienne True
Invega Sustrenna® (palmitate de palipéridone) is indicated for the treatment of:
- Schizophrénie chez les adultes [voir Études cliniques ].
- Trouble schizo-affectif chez les adultes comme monothérapie et comme complément des stabilisateurs ou antidépresseurs de l'humeur [voir Études cliniques ].
Dosage pour Invega Sustrenna
Instructions d'administration
Chaque injection ne doit être administrée que par un professionnel de la santé.
Les médicaments parentéraux doivent être inspectés visuellement pour les matières étrangères et la décoloration avant l'administration chaque fois que le produit et le permis de conteneurs.
Invega Sustrenna® is intended for intramuscular use only. Do not administer by any other route. Avoid inadvertent injection into a blood vessel. Administer the dose in a single injection; do not administer the dose in divided injections. Inject slowly deep into the deltoid or gluteal muscle.
Invega Sustrenna® must be administered using only the needles that are provided in the Invega Sustrenna® kit.
La taille de l'aiguille recommandée pour l'administration d'Invega Sustrenna® dans le muscle deltoïde est déterminée par le poids du patient:
- Pour les patients pesant moins de 90 kg, une aiguille de calibre 2 de 1 pouce est recommandée.
- Pour les patients pesant 90 kg ou plus, une aiguille de calibre 22 à 1½ pouce est recommandée.
Les injections deltoïdes doivent être alternées entre les deux muscles deltoïdes.
La taille de l'aiguille recommandée pour l'administration d'Invega Sustrenna® dans le muscle fessier est l'aiguille de calibre 22 de 1½ pouce, quel que soit le poids du patient.
Administrer dans le quadrant de l'observation supérieure du muscle gluéal. Les injections de fusée doivent être alternées entre les deux muscles glués.
Schizophrénie et trouble schizo-affectif
Pour les patients qui n'ont jamais pris de la palipéridone orale ou de la rispéridone orale ou injectable, il est recommandé d'établir une tolérabilité avec la palipéridone orale ou la rispéridone orale avant de lancer un traitement avec Invega Supprenna®.
La dosage recommandée d'Invega Sustrenna® pour chaque indication approuvée est affichée dans le tableau 1. L'initiation recommandée d'Invega Supprenna® est avec une dose de 234 mg le jour 1 et 156 mg une semaine plus tard dans le muscle deltoïde. Après la deuxième dose d'initiation, les doses de maintenance mensuelles peuvent être administrées dans le muscle deltoïde ou fessier.
Tableau 1: Dossier recommandé d'Invega Sustrenna® pour les adultes atteints de schizophrénie ou de trouble schizo-affectif
| Indication | Dosing d'initiation (deltoïde) | Dose de maintenance mensuelle a (Deltoïde ou Gluteal) | Dose mensuelle maximale | |
| Jour 1 | Jour 8 | |||
| Schizophrénie | 234 mg | 156 mg | 39-234 mg b | 234 mg |
| Trouble schizo-affectif | 234 mg | 156 mg | 78-234 mg c | 234 mg |
| a Administré 5 semaines après la première injection. b La dose d'entretien recommandée pour le traitement de la schizophrénie est de 117 mg. Certains patients peuvent bénéficier de doses d'entretien inférieures ou plus élevées dans les forces disponibles supplémentaires (39 mg 78 mg 156 mg et 234 mg). c Ajustez la dose en fonction de la tolérabilité et / ou de l'efficacité en utilisant les forces disponibles. La force de 39 mg n'a pas été étudiée dans l'étude sur les troubles schizo-affectifs à long terme. |
L'ajustement de la dose de maintenance peut être effectué mensuellement. Lors des ajustements de dose, les caractéristiques prolongées à libération d'Invega Sustrenna® doivent être envisagées [voir Pharmacologie clinique ] car le plein effet de l'ajustement de la dose peut ne pas être évident pendant plusieurs mois.
Doses manquées
Éviter les doses manquées
Il est recommandé que la deuxième dose d'initiation d'Invega Sustrenna® soit donnée une semaine après la première dose. Pour éviter une dose manquée, les patients peuvent recevoir la deuxième dose 4 jours avant ou après le moment d'une semaine. De même, les troisième injections et suivantes après le régime d'initiation sont recommandées pour être administrées mensuellement. Pour éviter une dose mensuelle manquée, les patients peuvent recevoir l'injection jusqu'à 7 jours avant ou après le moment mensuel.
Gestion d'une deuxième dose d'initiation manquée
Si la date cible pour la deuxième injection d'Invega Sustrenna® (une semaine ± 4 jours) est manquée, la réinitiation recommandée dépend de la durée qui s'est écoulée depuis la première injection du patient. En cas de deuxième dose d'initiation manquée, suivez les instructions de dosage fournies dans le tableau 2.
Tableau 2: Gestion d'une deuxième dose d'initiation manquée
| Du moment de la deuxième dose d'initiation manquée | Dosage |
| Moins de 4 semaines depuis la première injection | Administrer la deuxième dose d'initiation de 156 mg dans le muscle deltoïde dès que possible. 1. Il est recommandé d'administrer une troisième injection de 117 mg dans le muscle deltoïde ou fessier 5 semaines après la première injection (quel que soit le moment de la deuxième injection). 2. Par la suite reprendre un dosage mensuel régulier dans le muscle deltoïde ou fessier. |
| 4 à 7 semaines depuis la première injection | Reprendre le dosage avec deux injections de 156 mg de la manière suivante: 1. Administrer une injection deltoïde dès que possible. 2. Administrer une deuxième injection deltoïde 1 semaine plus tard. 3. Par la suite reprendre un dosage mensuel régulier dans le muscle deltoïde ou fessier. |
| Plus de 7 semaines depuis la première injection | Redémarrer le dosage avec une initiation recommandée (voir la section 2.2 Tableau 1): 1. Administrer une injection deltoïde de 234 mg le jour 1. 2. Administrer une injection deltoïde de 156 mg 1 semaine plus tard. 3. Par la suite reprendre un dosage mensuel régulier dans le muscle deltoïde ou fessier. |
Gestion d'une dose de maintenance manquée
En cas de dose de maintenance manquée, suivez les instructions de dosage fournies dans le tableau 3.
Tableau 3: Gestion d'une dose de maintenance manquée
| Du moment de la dose de maintenance manquée | Dosage |
| 4 à 6 semaines depuis la dernière injection | Reprenez le dosage mensuel régulier dès que possible à la dose précédemment stabilisée du patient, suivie d'injections à intervalles mensuels. |
| Plus de 6 semaines à 6 mois depuis la dernière injection | Reprendre la même dose sur laquelle le patient a été précédemment stabilisé (à moins que le patient ne soit stabilisé sur une dose de 234 mg, les 2 premières injections devraient chacune être de 156 mg) de la manière suivante: 1. Administrer une injection deltoïde dès que possible. 2. Administrer une deuxième injure deltoïde 1 semaine plus tard à la même dose. 3. Par la suite, reprendre l'administration de la dose précédemment stabilisée dans le muscle deltoïde ou fessier 1 mois après la deuxième injection. |
| Plus de 6 mois depuis la dernière injection | Redémarrer le dosage avec une initiation recommandée (voir la section 2.2 Tableau 1): 1. Administrer une injection deltoïde de 234 mg le jour 1. 2. Administrer une injection deltoïde de 156 mg 1 semaine plus tard. 3. Par la suite, reprendre l'administration de la dose précédemment stabilisée dans le muscle deltoïde ou fessier 1 mois après la deuxième injection. |
Utiliser avec la rispéridone ou avec la palipéridone orale
Étant donné que la palipéridone est le principal métabolite actif de la prudence de la rispéridone doit être exercé lorsque Invega Supprenna® est administré avec de la rispéridone ou avec de la palipéridone orale pendant de longues périodes. Les données de sécurité impliquant l'utilisation concomitante d'Invega Sustrenna® avec d'autres antipsychotiques sont limitées.
Ajustements de dosage
Trouble rénal
Invega Sustrenna® has not been systematically studied in patients with renal impairment [see Pharmacologie clinique ]. For patients with mild renal impairment (creatinine clearance ≥ 50 mL/min to <80 mL/min [Cockcroft-Gault Formula]) initiate Invega Sustrenna® with a dose of 156 mg on treatment day 1 et 117 mg one week later. Administer both doses in the deltoid muscle. Thereafter follow with monthly injections of 78 mg in either the deltoid or gluteal muscle [see Utiliser dans des populations spécifiques et Pharmacologie clinique ].
Invega Sustrenna® is not recommended in patients with moderate or severe renal impairment (creatinine clearance <50 mL/min) [see Utiliser dans des populations spécifiques et Pharmacologie clinique ].
CO Administration avec de forts inducteurs CYP3A4 / P-glycoprotéine (P-GP)
Évitez d'utiliser un fort inducteur de CYP3A4 et / ou de P-GP (par exemple, le moût de la carbamazépine St John) pendant l'intervalle de dosage à 1 mois pour Invega Sustenna® si possible. Si l'administration d'un inducteur fort est nécessaire, envisagez de gérer le patient à l'aide de comprimés à libération prolongée de Paliperidone [voir Interactions médicamenteuses et Pharmacologie clinique ].
Passer à partir d'autres antipsychotiques
Il n'y a pas de données systématiquement collectées pour aborder spécifiquement le changement de patients atteints de schizophrénie ou de trouble schizo-affectif, d'autres antipsychotiques à Invega Sustrenna® ou à l'administration concomitante avec d'autres antipsychotiques.
Passer des antipsychotiques oraux
Pour les patients qui n'ont jamais pris de la palipéridone orale ou la tolérabilité orale ou injectable de la rispéridone doivent être établies avec de la palipéridone orale ou de la rispéridone orale avant d'obtenir un traitement avec Invega Sustenna®.
Les antipsychotiques oraux antérieurs peuvent être progressivement interrompus au moment de l'initiation du traitement avec Invega Susthenna®. L'initiation recommandée d'Invega Sustrenna® est avec une dose de 234 mg le jour de traitement 1 et 156 mg une semaine plus tard, les deux administrés dans le muscle deltoïde [voir Posologie et administration ]. Patients previously stabilized on different doses of INVEGA® Extended-Release tablets can attain similar paliperidone steady-state exposure during maintenance treatment with Invega Sustrenna® monthly doses as depicted in Table 4.
Tableau 4: Doses d'Invega® et d'Invega Sustrenna® nécessaires pour atteindre une exposition similaire à la paliperidone à l'état d'équilibre pendant le traitement d'entretien
| Formulation | Tablette à libération prolongée Invega® | Invega Sustrenna® Injection |
| Fréquence de dosage | Une fois par jour | Une fois toutes les 4 semaines |
| 12 | 234 | |
| Dose (mg) | 9 | 156 |
| 6 | 117 | |
| 3 | 39-78 |
Passer des antipsychotiques injectables à action prolongée
Pour les patients qui n'ont jamais pris de la palipéridone orale ou la tolérabilité orale ou injectable de la rispéridone doivent être établies avec de la palipéridone orale ou de la rispéridone orale avant d'obtenir un traitement avec Invega Sustenna®.
Lorsque vous changez de patients actuellement à l'état d'équilibre sur un antipsychotique injectable à action prolongée, le thérapie Invegasustenna® à l'action à action prolongée à la place de l'injection programmée suivante. Invegasustenna® doit ensuite être poursuivi à intervalles mensuels. Le régime d'administration d'initiation d'une semaine comme décrit dans la section 2.2 n'est pas requis. Voir le tableau 1 ci-dessus pour le dosage de maintenance mensuel recommandé. Sur la base des antécédents cliniques antérieurs de tolérabilité et / ou d'efficacité, certains patients peuvent bénéficier de doses d'entretien inférieures ou plus élevées dans les forces disponibles (39 mg 78 mg 117 mg 156 mg et 234 mg). La force de 39 mg n'a pas été étudiée dans l'étude sur les troubles schizo-affectifs à long terme. Les doses de maintenance mensuelles peuvent être administrées dans le muscle deltoïde ou fessier [voir Posologie et administration ].
Si Invega Susthenna® est interrompue, ses caractéristiques de libération prolongée doivent être prises en compte. Comme recommandé avec d'autres médicaments antipsychotiques, la nécessité de poursuivre les médicaments existants des symptômes extrapyramidaux (EPS) doit être réévalué périodiquement.
Instructions pour une utilisation
Chaque injection ne doit être administrée que par un professionnel de la santé.
Le kit contient une seringue préfilée et 2 aiguilles de sécurité (une aiguille de calibre 22 de 1 ½ pouce et une aiguille de calibre 23 de 1 pouce) pour l'injection intramusculaire.
|
Invega Sustrenna® is for single use only.
un. Secouez la seringue vigoureusement pendant au moins 10 secondes pour assurer une suspension homogène.
Qu'est-ce que l'oxycodone ou l'hydrocodone plus forte
|
né Sélectionnez l'aiguille appropriée.
Pour l'injection deltoïde:
- Si le patient pèse moins de 90 kg, utilisez l'aiguille de calibre de 1 pouce 23 (aiguille avec moyeu de couleur bleue).
- Si le patient pèse 90 kg ou plus, utilisez l'aiguille de calibre de 1 ½ pouce 22 (aiguille avec moyeu de couleur gris).
Pour l'injection fusée:
Utilisez l'aiguille de calibre de 1 ½ pouce 22 (aiguille avec moyeu de couleur gris) quel que soit le poids du patient.
c. Tout en maintenant la seringue verticale, retirez le capuchon de la pointe en caoutchouc avec un mouvement de torsion dans le sens horaire facile.
|
d. Peler la pochette d'aiguille de sécurité à mi-chemin. Saisissez la gaine à l'aiguille à l'aide de la pochette en plastique. Fixez l'aiguille de sécurité à la connexion Luer de la seringue avec un mouvement de torsion dans le sens horaire facile.
|
e. Éloignez la gaine de l'aiguille de l'aiguille avec une traction droite. Ne tournez pas la gaine car l'aiguille peut être desserrée de la seringue.
|
f. Apportez la seringue avec l'aiguille attachée en position verticale pour désaérer. Désarez la seringue en déplaçant soigneusement la tige de piston.
|
g. Injectez l'ensemble du contenu intramusculaire lentement profondément dans le muscle deltoïde ou fessier sélectionné du patient. N'administrez pas par aucun autre itinéraire.
h. Une fois l'injection complète, utilisez le pouce ou le doigt d'une main (H1 H2) ou une surface plate (H3) pour activer le système de protection de l'aiguille. Le système de protection des aiguilles est entièrement activé lorsqu'un «click» est entendu. Jeter la seringue avec une aiguille de manière appropriée.
H1
|
h2
|
H3
|
Comment fourni
Formes et forces posologiques
Invega Sustrenna® is available as a white to off-white aqueous extended-release injectable suspension for intramuscular injection in dose strengths of 39 mg/0.25 mL 78 mg/0.5 mL 117 mg/0.75 mL 156 mg/mL et 234 mg/1.5 mL palmitate de palipéridone in single-dose prefilled syringes.
Invega Sustrenna ® est disponible sous forme de suspension à libération aqueuse aqueuse stérile blanche à blanc stérile pour l'injection intramusculaire dans des résistances à dose de 39 mg / 0,25 ml 78 mg / 0,5 ml 117 mg / 0,75 ml 156 mg / ml et 234 mg / 1,5 ml de palmitate de paliperidone dans des stégments préfilés à une dose. Le kit à usage unique contient une seringue préfabillée et 2 aiguilles de sécurité (une aiguille de sécurité de 1 ½ pouce 22 et une aiguille de sécurité de 1 pouce 23).
Kit Palmitate de Paliperidone de 39 mg ( NDC 50458-560-01)
Kit de palmitate de paliperidone 78 mg ( NDC 50458-561-01)
Kit Palmitate de 117 mg de Paliperidone ( NDC 50458-562-01)
156 mg palmitate de palipéridone kit ( NDC 50458-563-01)
234 mg palmitate de palipéridone kit ( NDC 50458-564-01)
Stockage et manipulation
Stocker à température ambiante (25 ° C 77 ° F); Des excursions entre 15 ° C et 30 ° C (entre 59 ° F et 86 ° F) sont autorisées. Ne mélangez pas avec aucun autre produit ou diluant.
Fabriqué par: Janssen Pharmaceutica NV Belgium. Fabriqué pour: Janssen Pharmaceuticals Inc. Titusville NJ 08560. Révisé: août 2021
Effets secondaires for Invega Sustenna
Les éléments suivants sont discutés plus en détail dans d'autres sections de l'étiquetage:
- Accrue de la mortalité chez les patients âgés atteints de psychose liée à la démence [voir Avertissement en boîte et AVERTISSEMENTS AND PRÉCAUTIONS ]
- Réactions indésirables cérébrovasculaires, y compris les AVC chez les patients âgés atteints de psychose liée à la démence [voir AVERTISSEMENTS AND PRÉCAUTIONS ]
- Syndrome malin neuroleptique [voir AVERTISSEMENTS AND PRÉCAUTIONS ]
- Prolongation QT [voir AVERTISSEMENTS AND PRÉCAUTIONS ]
- Dyskinésie tardive [voir AVERTISSEMENTS AND PRÉCAUTIONS ]
- Changements métaboliques [voir AVERTISSEMENTS AND PRÉCAUTIONS ]
- Hypotension et syncope orthostatiques [voir AVERTISSEMENTS AND PRÉCAUTIONS ]
- Falls [voir AVERTISSEMENTS AND PRÉCAUTIONS ]
- Leukopénia neutropénie et l'agranulocytose [voir AVERTISSEMENTS AND PRÉCAUTIONS ]
- Hyperprolactinémie [voir AVERTISSEMENTS AND PRÉCAUTIONS ]
- Potentiel de déficience cognitive et motrice [voir AVERTISSEMENTS AND PRÉCAUTIONS ]
- Convulsions [voir AVERTISSEMENTS AND PRÉCAUTIONS ]
- Dysphagie [voir AVERTISSEMENTS AND PRÉCAUTIONS ]
- Priapisme [voir AVERTISSEMENTS AND PRÉCAUTIONS ]
- Perturbation de la régulation de la température corporelle [voir AVERTISSEMENTS AND PRÉCAUTIONS ]
Expérience des essais cliniques
Étant donné que les essais cliniques sont menés dans des conditions de réaction indésirables très variables observées dans les essais cliniques d'un médicament ne peuvent pas être directement comparées aux taux dans les essais cliniques d'un autre médicament et peuvent ne pas refléter les taux observés dans la pratique clinique.
Exposition aux patients
Les données décrites dans cette section sont dérivées d'une base de données d'essais cliniques composée d'un total de 3817 sujets (environ 1705 exposition aux patients-années) à la schizophrénie qui ont reçu au moins une dose d'Invega Sutenna® dans la plage de dose recommandée de 39 mg à 234 mg et un total de 510 sujets atteints de schizophrénia qui ont reçu un lieu de Mg. Parmi les 3817 sujets traités à Invega SUSENNA® 1293 ont reçu Invega SUSENNE® dans quatre essais contrôlés par placebo à double aveugle à dose fixe (un essai de maintenance de 9 semaines et trois semaines) 849 au cours de la phase ouverte initiale de cette étude de cette étude de la phase ouverte de Supplen Phase contrôlée par placebo en double aveugle de cette étude [exposition médiane 171 jours]) et 1675 a reçu Invega Susthenna® dans cinq essais non contrôlés non places (trois essais de comparateur actif sans infériorité un essai croisé à long terme de la pharmacocinétique et de la sécurité). L'une des études de 13 semaines comprenait une dose d'initiation de 234 mg d'Invega Sustenna® suivie d'un traitement avec 39 mg 156 mg ou 234 mg toutes les 4 semaines.
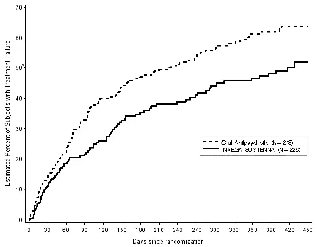
La sécurité d'Invega Sustrenna® a également été évaluée dans une étude à long terme de 15 mois comparant Invega Sustenna® à des thérapies antipsychotiques orales sélectionnées chez des sujets adultes atteints de schizophrénie. Au total, 226 sujets ont reçu Invega Sustrenna® au cours de la période ouverte de 15 mois de cette étude; 218 sujets ont reçu certaines thérapies antipsychotiques orales. La sécurité d'Invega Sustrenna® était similaire à celle observée dans les essais cliniques précédents contrôlés par placebo en double aveugle chez des sujets adultes atteints de schizophrénie.
La sécurité d'Invega Susthenna® a également été évaluée dans une étude à long terme chez des sujets adultes souffrant de troubles schizo-affectifs. Au total, 667 sujets ont reçu Invega Susthenna® au cours de la période ouverte initiale de 25 semaines de cette étude (exposition médiane 147 jours); 164 sujets ont continué à recevoir Invega Susthenna® au cours de la période contrôlée par placebo en double aveugle de 15 mois de cette étude (exposition médiane 446 jours). Les effets indésirables qui se sont produits plus fréquemment dans Invega Sustenna® que dans le groupe placebo (une différence de 2% ou plus entre les groupes) étaient une augmentation de l'hyperprolactinémie et de la pyrexie des maux de tête de la nasopharyngite.
Réactions indésirables dans les essais cliniques contrôlés par placebo en double aveugle
Réactions indésirables couramment observées
Le groupe INVEGA SUSTENNA® le plus courant (au moins 5% dans tout groupe Invega Sustenna®) et probablement lié au médicament (Événements indésirables pour lesquels le taux de médicament est au moins le double du taux de placebo) des réactions indésirables des essais contrôlés par le placebo en double aveugle chez les sujets atteints de schizophrénie et les troubles du site d'injection de la somnolence / sédation. Aucune occurrence d'événements indésirables n'a atteint ce seuil dans l'étude à long terme contrôlée par le placebo en double aveugle chez des sujets atteints de trouble schizo-affectif.
Arrêt du traitement en raison d'événements indésirables
Le pourcentage de sujets qui se sont arrêtés en raison d'événements indésirables dans les quatre essais de schizophrénie à double aveugle à dose à dose fixe étaient similaires pour les sujets traités au placebo et placebo d'Invega Supprenna et placebo.
Le pourcentage de sujets qui se sont arrêtés en raison d'événements indésirables dans la période ouverte de l'étude à long terme chez les sujets atteints de trouble schizo-affectif était de 7,5%. Au cours de la période contrôlée par placebo en double aveugle de cette étude, les pourcentages de sujets qui ont arrêté en raison d'événements indésirables étaient respectivement de 5,5% et 1,8% chez les sujets traités par Invega Sustenna® et placebo.
Réactions indésirables liées à la dose
Sur la base des données regroupées des quatre essais contrôlés par placebo à double aveugle à dose fixe chez les sujets atteints de schizophrénie parmi les effets indésirables qui se sont produits avec ≥ 2% d'incidence chez les sujets traités avec Invega SUSENNE®, seule Akathisie a augmenté avec la dose. L'hyperprolactinémie a également présenté une relation de dose mais n'a pas eu lieu à ≥ 2% d'incidence chez les sujets traités à Invega SUSENNA® des quatre études à dose fixe.
Réactions indésirables se produisant à une incidence de 2% ou plus chez Invega
Patients traités à Sustenna®: le tableau 10 répertorie les effets indésirables rapportés chez 2% ou plus des sujets traités à Invega Susthenna® et à une proportion plus grande que dans le groupe placebo avec la schizophrénie dans les quatre essais contrôlés par placebo à double aveugle à dose fixe.
Tableau 10: Incidences des effets indésirables 2% ou plus des patients traités par Invega Supprenna® (et supérieur au placebo) avec une schizophrénie dans quatre essais contrôlés par placebo à double aveugle à dose fixe
| Classe d'organes système Effets indésirables | Placebo a (N = 510) | Invega Sustrenna® | |||||
| 39 mg (N = 130) | 78 mg (N = 302) | 156 mg (N = 312) | 234/39 mg b (N = 160) | 234/156 mg b (N = 165) | 234/234 mg b (N = 163) | ||
| Pourcentage total de sujets ayant des effets indésirables | 70 | 75 | 68 | 69 | 63 | 60 | 63 |
| Troubles gastro-intestinaux | |||||||
| Inconfort abdominal / douleurs abdominales supérieures | 2 | 2 | 4 | 4 | 1 | 2 | 4 |
| Diarrhée | 2 | 0 | 3 | 2 | 1 | 2 | 2 |
| Bouche sèche | 1 | 3 | 1 | 0 | 1 | 1 | 1 |
| Nausée | 3 | 4 | 4 | 3 | 2 | 2 | 2 |
| Mal aux dents | 1 | 1 | 1 | 3 | 1 | 2 | 3 |
| Vomissement | 4 | 5 | 4 | 2 | 3 | 2 | 2 |
| Troubles généraux et conditions du site d'administration | |||||||
| Asthénie | 0 2 | 1 | <1 | 0 | 1 | 1 | |
| Fatigue | 1 | 1 | 2 | 2 | 1 | 2 | 1 |
| Réactions du site d'injection | 2 | 0 | 4 | 6 | 9 | 7 | 10 |
| Infections et infestations | |||||||
| Nasopharynngite | 2 | 0 | 2 | 2 | 4 | 2 | 2 |
| Infection des voies respiratoires supérieures | 2 | 2 | 2 | 2 | 1 | 2 | 4 |
| Infection des voies urinaires | 1 | 0 | 1 | <1 | 1 | 1 | 2 |
| Enquêtes | |||||||
| Le poids a augmenté | 1 | 4 | 4 | 1 | 1 | 1 | 2 |
| Troubles du tissu musculo-squelettique et conjonctif | |||||||
| Maux de dos | 2 2 | 1 | 3 | 1 | 1 | 1 | |
| Raideur musculo-squelettique | 1 | 1 | <1 | <1 | 1 | 1 | 2 |
| Myalgie | 1 | 2 | 1 | <1 | 1 | 0 | 2 |
| Douleur à l'extrémité | 1 | 0 | 2 | 2 | 2 | 3 | 0 |
| Troubles du système nerveux | |||||||
| Doigt | 3 | 2 | 2 | 3 | 1 | 5 | 6 |
| Vertiges | 1 | 6 | 2 | 4 | 1 | 4 | 2 |
| Trouble extrapyramidal | 1 | 5 | 2 | 3 | 1 | 0 | 0 |
| Mal de tête | 12 | 11 | 11 | 15 | 11 | 7 | 6 |
| Somnolence / sédation | 3 | 5 | 7 | 4 | 1 | 5 | 5 |
| Troubles psychiatriques | |||||||
| Agitation | 7 | 10 | 5 | 9 | 8 | 5 | 4 |
| Anxiété | 7 | 8 | 5 | 3 | 5 | 6 | 6 |
| Cauchemar | <1 | 2 | 0 | 0 | 0 | 0 | 0 |
| Troubles thoraciques et médiastinaux respiratoires | |||||||
| Toux | 1 | 2 | 3 | 1 | 0 | 1 | 1 |
| Troubles vasculaires | |||||||
| Hypertension | 1 | 2 | 1 | 1 | 1 | 1 | 0 |
| Les pourcentages sont arrondis à des nombres entiers. Le tableau comprend des effets indésirables qui ont été signalés dans 2% ou plus des sujets dans l'un des groupes de dose Invega Susthenna® et qui se sont produits à une plus grande incidence que dans le groupe placebo. a Placebo group is pooled from all studies et included either deltoid or gluteal injection depending on study design. b Injection deltoïde initiale de 234 mg suivie de 39 mg 156 mg ou 234 mg toutes les 4 semaines par injection deltoïde ou fuselée. D'autres groupes de dose (39 mg 78 mg et 156 mg) proviennent d'études impliquant uniquement l'injection gluée. [voir Études cliniques ] |
Les effets indésirables pour lesquels l'incidence Invega Sustrenna® était égale ou inférieure au placebo ne sont pas répertoriées dans le tableau mais comprenaient les éléments suivants: Dyspepsie Psychotic Disorder Schizophrénie et tremblement. Les termes suivants ont été combinés: Somnolence / sédation Sendance mammaire / douleur mammaire Inconfort abdominal / Douleurs abdominales inconfort supérieur / gastrique et tachycardie / sinus tachycardie / fréquence cardiaque ont augmenté. Toutes les réactions indésirables liées à la réaction du site d'injection ont été effondrées et regroupées sous réactions du site d'injection.
Autres réactions indésirables observées lors de l'évaluation des essais cliniques d'Invega Sustrenna®
La liste suivante n'inclut pas les réactions: 1) déjà répertoriées dans les tableaux précédents ou ailleurs dans l'étiquetage 2) pour lesquels une cause de médicament était éloignée 3) qui étaient si générales qu'elles sont non informatives ou 4) qui n'étaient pas considérées comme ayant des implications cliniques significatives.
Troubles cardiaques: Bloc autreoventriculaire Premier degré Bradycardie Branche de branche Palpitations Postural Syndrome de tachycardie orthostatique Postural Tachycardie
Troubles de l'oreille et du labyrinthe: vertige
Troubles oculaires: trouble des yeux troubles de la crise oculogyrique des yeux
Troubles gastro-intestinaux: constipation dyspepsie flatulence hyper sécrétion de salivaire
Troubles du système immunitaire: hypersensibilité
Enquêtes: L'alanine aminotransférase a augmenté l'aspartate aminotransférase augmente l'électrocardiogramme anormal
Effets secondaires du tartrate de métoprolol 50 mg
Métabolisme et troubles nutritionnels: diminution de l'hyperinsulinémie à l'appétit a augmenté l'appétit
Troubles du tissu musculo-squelettique et conjonctif: arthralgia raideur de l'articulation des muscles de rigidité musculaire spasmes de la tension musculaire contracture
Troubles du système nerveux: Bradykinésie Accident cérébrovasculaire Convulsion de rigidité du cogwheel étourdisse
Troubles psychiatriques: La libido de l'insomnie a diminué l'agitation
Système de reproduction et troubles mammaires: Aménorrhée Décharge mammaire Élargissement du sein / gonflement du sein sensibilité mammaire / douleur mammaire Éjaculation Dysfonction érectile Galactorrhée gynécomastie menstruelle menstruation menstruation des menstruations retardées dysfonctionnement sexuel irrégulier
Troubles thoraciques et médiastinaux respiratoires: congestion nasale
Troubles de la peau et des tissus sous-cutanés: éruption de drogue prurit prurit généralisée urticaire généralisé
Différences démographiques
Un examen des sous-groupes de population dans les essais contrôlés par placebo en double aveugle n'a révélé aucune preuve de différences de sécurité sur la base du sexe ou de la race à l'âge; Cependant, il y avait peu de sujets âgés de 65 ans et plus.
Symptômes extrapyramidaux (EPS)
Les données regroupées des deux essais à dose fixe de 13 semaines contrôlées par placebo en double aveugle chez des sujets adultes atteints de schizophrénie ont fourni des informations concernant le BPA. Plusieurs méthodes ont été utilisées pour mesurer l'EPS: (1) le score global Simpson-Angus qui évalue largement le parkinsonisme (2) L'échelle de notation de Barnes Akathisia Score clinique mondial qui évalue Akathisie (3) les scores anormaux de l'échelle de mouvement involontaire qui évaluent la dyskinésie et (4) les rapports anticholiners pour traiter les EP (le tableau 11) et les incidences anticolinères pour traiter les EP (tableau 11) et (4) les rapports anticolinères pour traiter les EP (tableau 11) et (4) les rapports anticolinères pour traiter les EP (tableau 11) et (4) Incidence des antécholiliners pour traiter les EP (Table EPS (tableau 12).
Tableau 11: Symptômes extrapyramidaux (EPS) évalués par l'incidence des échelles d'évaluation et l'utilisation de médicaments anticholinergiques - Schizophrénie Studies chez les adultes
| Échelle | Pourcentage de sujets | |||
| Placebo (N = 262) | Invega Sustrenna® | |||
| 39 mg (N = 130) | 78 mg (N = 223) | 156 mg (N = 228) | ||
| Parkinsonisme a | 9 | 12 | 10 | 6 |
| Doigt b | 5 | 5 | 6 | 5 |
| Dyskinésie c | 3 | 4 | 6 | 4 |
| Utilisation de médicaments anticholinergiques d | 12 | 10 | 12 | 11 |
| a Pour le pourcentage de parkinsonisme des sujets avec un score total Simpson-Angus> 0,3 au point final (score total défini comme une somme totale des éléments score divisé par le nombre d'éléments) b Pour Akathisia pourcentage de sujets atteints d'échelle de notation Barnes Akathisia Score global ≥ 2 au point final c Pour la dyskinésie pour cent de sujets avec un score ≥ 3 sur l'un des 7 premiers éléments ou un score ≥ 2 sur deux ou plus l'un des 7 premiers éléments de l'échelle de mouvement involontaire anormale au point de terminaison d Pourcentage de sujets qui ont reçu des médicaments anticholinergiques pour traiter le BPA |
Tableau 12: Événements liés aux symptômes extrapyramidaux (EPS) par MEDDRA Terme préféré - Schizophrénie Studies chez les adultes
| Groupe EPS | Pourcentage de sujets | |||
| Placebo (N = 262) | Invega Sustrenna® | |||
| 39 mg (N = 130) | 78 mg (N = 223) | 156 mg (N = 228) | ||
| Pourcentage global de sujets ayant des événements indésirables liés à l'EPS | 10 | 12 | 11 | 11 |
| Parkinsonisme | 5 | 6 | 6 | 4 |
| Hyperkinésie | 2 | 2 | 2 | 4 |
| Tremblement | 3 | 2 | 2 | 3 |
| Dyskinésie | 1 | 2 | 3 | 1 |
| Dystonie | 0 | 1 | 1 | 2 |
| Parkinsonisme group includes: Trouble extrapyramidal hypertonia musculoskeletal stiffness parkinsonism drooling masked facies muscle tightness hypokinesia Hyperkinésie group includes: Doigt restless legs syndrome agitation Dyskinésie group includes: Dyskinésie choreoathetosis muscle twitching myoclonus tardive dyskinesia Dystonie group includes: Dystonie spasmes musculaires |
Les résultats de toutes les phases de l'essai de maintenance chez les sujets atteints de schizophrénie ont montré des résultats comparables. Dans l'essai contrôlé par placebo à double aveugle à dose fixe de 9 semaines, les proportions de parkinsonisme et d'akathisie évaluées par l'incidence des échelles d'évaluation étaient plus élevées dans le groupe Invega Sustrenna® 156 mg (18% et 11% respectivement) que dans le groupe Invega Sustrenna® 78 mg (9% et 5% respectivement) et le groupe PlaceBO (7% et 4% respectivement).
Dans l'étude de 13 semaines chez des sujets atteints de schizophrénie impliquant 234 mg d'initiation, l'incidence de tout EPS était similaire à celle du groupe placebo (8%) mais présentait un schéma lié à la dose avec 6% 10% et 11% dans les groupes Invega Supprenna® 234/39 Mg 234/156 MG et 234/234 mg de groupes respectivement. L'hyperkinésie était la catégorie la plus fréquente d'événements indésirables liés à l'EPS dans cette étude et a été signalé à un rythme similaire entre le placebo (NULL,9%) et Invega Sustrenna® 234/156 mg (NULL,8%) et 234/234 mg (NULL,5%) mais à un taux inférieur dans le groupe 234/39 mg (NULL,3%).
Dans l'étude à long terme chez les sujets atteints de troubles schizo-affectifs, les EP signalés au cours du traitement à l'ouverture de 25 semaines d'Invega Sustrenna® comprenaient une hyperkinésie (NULL,3%) parkinsonisme (NULL,7%) des tremblements (NULL,4%) de la dyskineie (NULL,5%) et de la dystonie (NULL,1%). Au cours du traitement en double aveugle de 15 mois, l'incidence de tout EPS était similaire à celle du groupe placebo (NULL,5% et 7,1% respectivement). Les événements indésirables liés aux EPS les plus couramment rapportés par le traitement (> 2%) dans tout groupe de traitement dans la phase en double aveugle de l'étude (Invega Sustenna® contre placebo) étaient l'hyperkinésie (NULL,7% contre 2,9%) parkinsonisme (NULL,0% contre 1,8%) et le tremblement (NULL,2% contre 2,4%).
Dystonie
Les symptômes de la dystonie prolongés des contractions anormales des groupes musculaires peuvent survenir chez les individus sensibles au cours des premiers jours de traitement. Les symptômes dystoniques comprennent: les spasmes des muscles du cou progressant parfois vers l'étanchéité de la gorge avaler des difficultés de difficulté à respirer et / ou à la saillie de la langue. Bien que ces symptômes puissent se produire à faibles doses, ils se produisent plus fréquemment et avec une plus grande gravité avec une puissance élevée et à des doses plus élevées de médicaments antipsychotiques de première génération. Un risque élevé de dystonie aiguë est observé chez les hommes et les groupes d'âge plus jeunes.
Évaluation de la douleur et réactions locales sur le site d'injection
Dans les données regroupées des deux essais contrôlés par placebo à double aveugle à dose fixe de 13 semaines chez les sujets atteints de schizophrénie, l'intensité moyenne de la douleur à l'injection rapportée par les sujets utilisant une échelle visuelle analogique (0 = aucune douleur à 100 = insupportablement douloureuse) a diminué dans tous les groupes de traitement de la première à la dernière injection (placebo: 10,9 à 9,8; Mg: 11.1 à 8,8). Les résultats de l'essai contrôlé par placebo à double aveugle à dose fixe de 9 semaines et de la phase en double aveugle de l'essai de maintenance ont montré des résultats comparables.
Dans l'étude de 13 semaines impliquant 234 mg d'administration d'initiation chez des sujets atteints de schizophrénie, des rougeurs ou un gonflement de l'induration, comme évalué par le personnel de l'étude en aveugle étaient peu fréquents de diminution légère au fil du temps et d'incidence similaire entre les groupes Invega Susthenna® et placebo. Les évaluations de l'investigateur de la douleur à l'injection étaient similaires pour les groupes placebo et Invega SUSENNA®. Les évaluations de l'investigateur du site d'injection après la première injection pour l'induration et la douleur gonflants ont été considérées comme absentes pour 69 à 100% des sujets dans les groupes Invega Sustenna® et placebo. Au jour 92, les enquêteurs ont évalué l'absence de rougeur d'induration et de douleur chez 95 à 100% des sujets dans les groupes Invega Sustenna® et placebo.
Réactions indésirables supplémentaires rapportées dans les essais cliniques avec la palipéridone orale
Ce qui suit est une liste des effets indésirables supplémentaires qui ont été signalés dans les essais cliniques avec de la palipéridone orale:
Troubles cardiaques: Bloc de branche du faisceau arythmie des sinus gauche
Troubles gastro-intestinaux: douleur abdominale petite obstruction intestinale
Troubles généraux et conditions du site d'administration: œdème œdème périphérique
Troubles du système immunitaire: réaction anaphylactique
Infections et infestations: rhinite
Troubles du tissu musculo-squelettique et conjonctif: Douleur musculo-squelettique torticollis trismus
Troubles du système nerveux: Grand Mal Convulsion Parkinsonian Gait Transity Ischemic Attack
Troubles psychiatriques: trouble du sommeil
Système de reproduction et troubles mammaires: engorgement du sein
Troubles thoraciques et médiastinaux respiratoires: aspiration à la douleur pharyngolaryngée
Troubles de la peau et des tissus sous-cutanés: éruption cutanée papuleuse
Troubles vasculaires: Ischémie hypotension
Expérience de commercialisation de la poste
Les effets indésirables suivants ont été identifiés lors de l'utilisation post-approbation de la palipéridone; Parce que ces réactions ont été signalées volontairement à partir d'une population de taille incertaine, il n'est pas toujours possible d'estimer de manière fiable leur fréquence ou d'établir une relation causale à l'exposition aux médicaments: l'œdème de l'Eœud catatonie ileus somnambulisme gonflé la langue gonflante thrombocytopénique à purpura intetinence urinaire et rétention urinaire thrombocytopénique.
Des cas de réaction anaphylactique après injection avec Invega Sustrenna® ont été signalés lors de l'expérience post-marketing chez les patients qui ont déjà toléré la rispéridone orale ou la palipéridone orale.
La palipéridone est la principale métabolite active de la rispéridone. Les effets indésirables rapportés avec la rispéridone orale et l'injection de rispéridone à longue action peuvent être trouvés dans les sections indésirables (6) des inserts de paquet pour ces produits.
Interactions médicamenteuses for Invega Sustenna
Médicaments ayant des interactions cliniquement importantes avec Invega Sustrenna®
Parce que le palmitate de palipéridone est hydrolysé à la palipéridone [voir Pharmacologie clinique ] Les résultats des études avec la palipéridone orale doivent être pris en considération lors de l'évaluation du potentiel d'interaction médicament-médicament.
Tableau 13: Interactions médicamenteuses cliniquement importantes avec Invega Sustrenna®
| Nom de médicament concomitant ou classe de médicaments | Justification clinique | Recommandation clinique |
| Drogues à action centrale et alcool | Étant donné les principaux effets du SNC de la palipéridone, l'utilisation concomitante des médicaments à action centrale et l'alcool peut moduler les effets du SNC d'Invega Sustenna®. | Invega Sustrenna® should be used with caution in combination with other centrally acting drugs et alcohol [see Effets indésirables ]. |
| Médicaments avec un potentiel d'hypotension orthostatique | Parce qu'Invega Susthenna® a le potentiel d'induction de l'hypotension orthostatique, un effet additif peut se produire lorsque Invega Susthenna® est administré avec d'autres agents thérapeutiques qui ont ce potentiel [voir AVERTISSEMENTS AND PRÉCAUTIONS ]. | Surveiller les signes vitaux orthostatiques chez les patients vulnérables à l'hypotension [voir AVERTISSEMENTS AND PRÉCAUTIONS ]. |
| Inducteurs forts du CYP3A4 et du P-GP (par exemple la rifampin de la carbamazépine ou le millepertuis) | L'utilisation concomitante de la palipéridone et de forts inducteurs du CYP3A4 et de la P-gp peut diminuer l'exposition de la palipéridone [voir Pharmacologie clinique ]. | Évitez d'utiliser des inducteurs CYP3A4 et / ou P-GP avec Invega Sustenna® pendant l'intervalle de dosage d'un mois si possible. Si l'administration d'un inducteur fort est nécessaire, envisagez de gérer le patient à l'aide de comprimés à libération prolongée de la palipéridone [voir Posologie et administration ]. |
| Levodopa et autres agonistes de dopamine | La palipéridone peut contrarier l'effet de la lévodopa et d'autres agonistes de dopamine. | Surveillez et gérez le patient comme cliniquement approprié. |
Médicaments n'ayant aucune interaction cliniquement importante avec Invega Sustrenna®
Une interaction pharmacocinétique cliniquement significative entre Invega Susthenna® et Valproate (y compris l'acide valproïque et le divalproex sodium) n'est pas attendue. Sur la base d'études pharmacocinétiques avec de la palipéridone orale, aucun ajustement posologique d'Invega Sustrenna® n'est requis lorsqu'il est administré avec du valproate [voir Pharmacologie clinique ]. Additionally no dosage adjustment is necessary for valproate when co-administered with Invega Sustrenna® [Voir Pharmacologie clinique ].
L'interaction pharmacocinétique entre le lithium et Invega Sustenna® est également peu probable.
La palipéridone ne devrait pas provoquer des interactions pharmacocinétiques cliniquement importantes avec des médicaments métabolisés par les isozymes du cytochrome P450. Des études in vitro indiquent que le CYP2D6 et le CYP3A4 peuvent être impliqués dans le métabolisme de la palipéridone; Cependant, il n'y a aucune preuve in vivo que les inhibiteurs de ces enzymes affectent considérablement le métabolisme de la palipéridone. La palipéridone n'est pas un substrat de CYP1A2 CYP2A6 CYP2C9 et CYP2C19; Il est peu probable qu'une interaction avec des inhibiteurs ou des inducteurs de ces isozymes. [voir Pharmacologie clinique ]
Abus de drogues et dépendance
Substance contrôlée
Invega Sustrenna® (paliperidone) is not a controlled substance.
Abus
La palipéridone n'a pas été systématiquement étudiée chez les animaux ou les humains pour son potentiel d'abus.
Dépendance
La palipéridone n'a pas été systématiquement étudiée chez les animaux ou les humains pour son potentiel de tolérance ou de dépendance physique.
Avertissements pour Invega Sustrenna
Inclus dans le cadre du PRÉCAUTIONS section.
Précaution pour l'investisseur ssistenna
Accrue de la mortalité chez les patients âgés atteints de psychose liée à la démence
Les patients âgés atteints de psychose liée à la démence traitée avec des antipsychotiques sont à un risque accru de décès. Des analyses de 17 essais contrôlés par placebo (durée modale de 10 semaines) en grande partie chez les patients prenant des antipsychotiques atypiques ont révélé un risque de décès chez les patients traités par médicament entre 1,6 et 1,7 fois le risque de décès chez les patients traités par placebo. Au cours d'un essai contrôlé typique de 10 semaines, le taux de décès chez les patients traités par médicament était d'environ 4,5% contre un taux d'environ 2,6% dans le groupe placebo. Bien que les causes de la mort soient variées, la plupart des décès semblent être soit cardiovasculaires (par exemple, insuffisance cardiaque à la mort subite) ou infectieuse (par exemple pneumonie) dans la nature. Des études d'observation suggèrent que, similaire au traitement des antipsychotiques atypiques avec des antipsychotiques conventionnels, peut augmenter la mortalité. La mesure dans laquelle les résultats d'une mortalité accrue dans les études observationnelles peuvent être attribués au médicament antipsychotique par opposition à certaines caractéristiques des patients n'est pas clair. Invega Susthenna® (palmitate de palipéridone) n'est pas approuvée pour le traitement des patients atteints de psychose liée à la démence [voir Avertissement en boîte ].
Réactions indésirables cérébrovasculaires, y compris les AVC chez les patients âgés atteints de psychose liée à la démence
Dans les essais contrôlés par placebo avec de la rispéridone aripiprazole et de l'olanzapine chez des sujets âgés atteints de démence, il y avait une incidence plus élevée d'adversaires cérébrovasculaires (accidents cérébrovasculaires et des attaques ischémiques transitoires), y compris des graisses par rapport aux sujets traités par placebo. La palipéridone orale et Invega Sustrenna® n'ont pas été commercialisées au moment où ces études ont été réalisées et ne sont pas approuvées pour le traitement des patients atteints de psychose liée à la démence [voir Avertissement en boîte et Accrue de la mortalité chez les patients âgés atteints de psychose liée à la démence ].
Syndrome malin neuroleptique
Un complexe de symptômes potentiellement mortel parfois appelé syndrome malin neuroleptique (NMS) a été signalé en association avec des antipsychotiques, notamment Invega Sustenna®.
Les manifestations cliniques des SNM sont la rigidité musculaire de l'hyperpyrexie altérée l'état mental et les preuves d'une instabilité autonome (impulsion irrégulière ou pression artérielle de la tachycardie diaphorèse et de la dysrhythmie cardiaque). Des signes supplémentaires peuvent inclure une élevée de créatine phosphokinase myoglobinurie (rhabdomyolyse) et une insuffisance rénale aiguë.
L'évaluation diagnostique des patients atteints de ce syndrome est compliquée. En arrivant à un diagnostic, il est important d'identifier les cas dans lesquels la présentation clinique comprend à la fois une maladie médicale grave (par exemple, une infection systémique de la pneumonie, etc.) et des signes et symptômes extrapyramidaux non traités ou mal traités. D'autres considérations importantes dans le diagnostic différentiel comprennent la toxicité centrale de la toxicité anticholique et la fièvre médicamenteuse de la chaleur et la pathologie primaire du système nerveux central.
La gestion des SNM devrait comprendre: (1) l'arrêt immédiat des antipsychotiques et d'autres médicaments non essentiels à la thérapie simultanée; (2) traitement symptomatique intensif et surveillance médicale; et (3) le traitement de tout problème médical grave concomitant pour lequel des traitements spécifiques sont disponibles. Il n'y a aucun accord général sur des schémas de traitement pharmacologique spécifiques pour les NM non compliqués.
Si un patient semble nécessiter un traitement médicamenteux antipsychotique après la récupération de la réintroduction du NMS de médicament doit être étroitement surveillé car des récidives de SNM ont été signalées.
Prolongation QT
Paliperidone causes a modest increase in the corrected QT (QTc) interval. The use of paliperidone should be avoided in combination with other drugs that are known to prolong QTc including Class 1A (e.g. quinidine procainamide) or Class III (e.g. amiodarone sotalol) antiarrhythmic medications antipsychotic medications (e.g. chlorpromazine thioridazine) antibiotics (e.g. gatifloxacin moxifloxacin) or any other class of medications known to prolong the QTc interval. Paliperidone should also be avoided in patients with congenital long QT syndrome and in patients with a history of cardiac arrhythmias.
Certaines circonstances peuvent augmenter le risque de survenue de torsades de pointes et / ou de mort subite en association avec l'utilisation de médicaments qui prolongent l'intervalle QTC, y compris (1) la bradycardie; (2) hypokaliémie ou hypomagnésémie; (3) l'utilisation concomitante d'autres médicaments qui prolongent l'intervalle QTC; et (4) la présence d'une prolongation congénitale de l'intervalle QT.
Les effets de la palipéridone orale sur l'intervalle QT ont été évalués dans une étude multicentrique à double dose à commande active en double aveugle (moxifloxacine 400 mg) chez les adultes atteints de schizophrénie et de troubles schizo-affectifs et dans trois essais d'efficacité à dose fixe à 6 semaines à contrôler le placebo et à contrôler.
Dans l'étude QT (n = 141), la dose de 8 mg de palipéridone orale à libération immédiate (n = 50) a montré une augmentation moyenne soustraite du placebo de la ligne de base en QTCLD de 12,3 ms (IC à 90%: 8,9; 15,6) le jour 8 à 1,5 heures après la dose. La concentration plasmatique maximale moyenne à l'état d'équilibre pour cette dose immédiate de 8 mg de libération immédiate de la palipéridone (CMAX SS = 113 ng / ml) a été plus que 2 fois l'exposition observée avec la dose maximale recommandée de 234 mg d'Invega Sustrenna® administré dans le muscle déltoïde (CMAX médian prédit = 50 ng / ml). Dans cette même étude, une dose de 4 mg de la formulation orale à libération immédiate de la palipéridone pour laquelle CMAX SS = 35 ng / ml a montré une QTCLD soutrue par placebo accrue de 6,8 ms (IC à 90%: 3,6; 10.1) le jour 2 à 1,5 heures après la dose.
Dans les trois études d'efficacité à dose fixe de la libération prolongée de la palipéridone orale chez les sujets atteints de mesures d'électrocardiogramme de schizophrénie (ECG) prises à différents moments n'a montré qu'un seul sujet dans le groupe oral de la palipéridone 12 mg avait un changement dépassant 60 msc à un point de temps au jour 6 (augmentation de 62 msec).
Dans les quatre études d'efficacité à dose fixe d'Invega Sustenna® chez les sujets atteints de schizophrénie et dans l'étude à long terme chez des sujets atteints de trouble schizo-affectif, aucun sujet n'a connu un changement de QTCLD supérieur à 60 ms et aucun sujet n'avait une valeur QTCLD de> 500 ms à tout moment. Dans l'étude de maintenance chez des sujets atteints de schizophrénie, aucun sujet n'avait un changement QTCLD> 60 ms et un sujet n'avait une valeur QTCLD de 507 ms (une valeur intervalle corrigée de Bazett [QTCB] de 483 ms); Ce dernier sujet avait également une fréquence cardiaque de 45 battements par minute.
Dyskinésie tardive
Un syndrome de mouvements dyskinétiques involontaires potentiellement irréversibles peut se développer chez les patients traités par des antipsychotiques. Bien que la prévalence du syndrome semble être la plus élevée chez les personnes âgées, en particulier les femmes âgées, il est impossible de prédire quels patients développeront le syndrome. On ne sait pas si les produits anti-médicaments antipsychotiques diffèrent dans leur potentiel à provoquer une dyskinésie tardive.
Le risque de développer une dyskinésie tardive et la probabilité qu'elle devienne irréversible semblent augmenter à mesure que la durée du traitement et la dose cumulative totale de médicaments antipsychotiques administrés au patient augmentent, mais le syndrome peut se développer après des périodes de traitement relativement brèves à des doses faibles, bien que cela soit peu commun.
Il n'y a pas de traitement connu pour la dyskinésie tardive établie, bien que le syndrome puisse se remettre partiellement ou complètement si le traitement antipsychotique est retiré. Le traitement antipsychotique lui-même peut supprimer (ou supprimer partiellement) les signes et symptômes du syndrome et peut ainsi masquer le processus sous-jacent. L'effet de la suppression symptomatique sur l'évolution à long terme du syndrome est inconnu.
Compte tenu de ces considérations, Invega Sustrenna® devrait être prescrite d'une manière la plus susceptible de minimiser la survenue d'une dyskinésie tardive. Le traitement antipsychotique chronique doit généralement être réservé aux patients souffrant d'une maladie chronique connue pour répondre aux antipsychotiques. Chez les patients qui nécessitent un traitement chronique, la plus petite dose et la plus courte durée du traitement produisant une réponse clinique satisfaisante doivent être recherchées. La nécessité d'un traitement continu devrait être réévaluée périodiquement.
Si des signes et des symptômes de dyskinésie tardive apparaissent chez un patient traité avec un arrêt du médicament Invega Susthenna® doit être pris en compte. Cependant, certains patients peuvent avoir besoin d'un traitement avec Invega Susthenna® malgré la présence du syndrome.
Changements métaboliques
Atypical antipsychotic drugs have been associated with metabolic changes that may increase cardiovascular/cerebrovascular risk. These metabolic changes include hyperglycemia dyslipidemia and body weight gain. While all of the drugs in the class have been shown to produce some metabolic changes each drug has its own specific risk profile.
Hyperglycémie et diabète sucré
L'hyperglycémie et le diabète sucré dans certains cas extrêmes et associés à la cétoacidose ou au coma hyperosmolaire ou à la mort ont été signalés chez des patients traités avec tous les antipsychotiques atypiques. Ces cas étaient pour la plupart observés dans l'utilisation clinique post-marketing et les études épidémiologiques et non dans les essais cliniques et il y a eu peu de rapports d'hyperglycémie ou de diabète chez les sujets d'essai traités avec Invega Sustrenna®. L'évaluation de la relation entre l'utilisation des antipsychotiques atypiques et les anomalies du glucose est compliquée par la possibilité d'une augmentation du risque de fond de diabète sucré chez les patients atteints de schizophrénie et de l'incidence croissante du diabète sucré dans la population générale. Compte tenu de ces facteurs de confusion, la relation entre l'utilisation des antipsychotiques atypiques et les effets indésirables liés à l'hyperglycémie n'est pas complètement comprise. Cependant, les études épidémiologiques suggèrent un risque accru de réactions indésirables liées à l'hyperglycémie chez les patients traités avec les antipsychotiques atypiques. Parce qu'Invega Susthenna® n'a pas été commercialisée au moment où ces études ont été réalisées, il n'est pas connu si Invega Susthenna® est associée à ce risque.
Les patients avec un diagnostic établi de diabète sucré qui sont lancé sur des antipsychotiques atypiques doivent être surveillés régulièrement pour l'aggravation du contrôle du glucose. Les patients présentant des facteurs de risque de diabète sucré (par exemple, les antécédents familiaux de l'obésité de diabète) qui commencent le traitement avec des antipsychotiques atypiques doivent subir des tests de glycémie à jeun au début du traitement et périodiquement pendant le traitement. Tout patient traité avec des antipsychotiques atypiques doit être surveillé pour les symptômes de l'hyperglycémie, y compris la polydipsie polyurie polyphagie et la faiblesse. Les patients qui développent des symptômes d'hyperglycémie pendant le traitement avec des antipsychotiques atypiques doivent subir des tests de glycémie à jeun. Dans certains cas, l'hyperglycémie s'est résolue lorsque l'antipsychotique atypique a été interrompu; Cependant, certains patients ont nécessité une poursuite du traitement antidiabétique malgré l'arrêt du médicament suspect.
Les données regroupées des quatre études à dose fixe contrôlées par placebo (une et trois semaines) chez des sujets atteints de schizophrénie sont présentées dans le tableau 5.
Tableau 5: Changement du glucose à jeun à partir de quatre études à dose fixe contrôlées par placebo chez les sujets atteints de schizophrénie
| Placebo | Invega Sustrenna® | ||||||
| 39 mg | 78 mg | 156 mg | 234/39 mg a | 234/156 mg a | 234/234 mg a | ||
| Changement moyen par rapport à la ligne de base (mg / dL) | |||||||
| n = 367 | n = 86 | n = 244 | n = 238 | n = 110 | n = 126 | n = 115 | |
| Changement de glucose sérique par rapport à la ligne de base | -1.3 | 1.3 | 3.5 | 0.1 | 3.4 | 1.8 | -0.2 |
| Proportion de patients avec des quarts | |||||||
| Glucose sérique normal à | 4,6% | 6,3% | 6,4% | 3,9% | 2,5% | 7,0% | 6,6% |
| Haut ( <100 mg/dL to ≥ 126 mg/dL) | (11/241) | (4/64) | (11/173) | (6/154) | (2/79) | (6/86) | (5/76) |
| a Injection deltoïde initiale de 234 mg suivie de 39 mg 156 mg ou 234 mg toutes les 4 semaines par injection deltoïde ou fuselée. D'autres groupes de dose (39 mg 78 mg et 156 mg) proviennent d'études impliquant uniquement l'injection gluée. [Voir Études cliniques ]. |
Dans une étude pharmacocinétique et de sécurité à long terme à long terme chez des sujets atteints de schizophrénie dans lesquels la dose la plus élevée disponible (234 mg) a été évaluée Invega Supprenna® a été associée à un changement moyen du glucose de -0,4 mg / dl à la semaine 29 (n = 109) et 6,8 mg / dL à la semaine 53 (n = 100).
Au cours de la période ouverte initiale de 25 semaines d'une étude à long terme chez des sujets atteints de trouble schizo-affectif, Invega Susthenna® a été associée à un changement moyen du glucose de 5,3 mg / dL (n = 518). Au point d'évaluation de la période en double aveugle de 15 mois suivante de l'étude, Invega Susthenna® a été associée à un changement moyen du glucose de 0,3 mg / dL (n = 131) par rapport à un changement moyen de 4,0 mg / dL dans le groupe placebo (n = 120).
Dyslipidémie
Des altérations indésirables des lipides ont été observées chez les patients traités avec des antipsychotiques atypiques.
Les données regroupées des quatre études à dose fixe contrôlées par placebo (une et trois semaines) chez des sujets atteints de schizophrénie sont présentées dans le tableau 6.
Tableau 6: Changement des lipides à jeun à partir de quatre études à dose fixe à 9 à 13 semaines contrôlées par placebo chez des sujets atteints de schizophrénie
| Placebo | Invega Sustrenna® | ||||||
| 39 mg | 78 mg | 156 mg | 234/39 mg a | 234/156 mg a | 234/234 mg a | ||
| Changement moyen par rapport à la ligne de base (mg / dL) | |||||||
| Cholestérol | n = 366 | n = 89 | n = 244 | n = 232 | n = 105 | n = 119 | n = 120 |
| Change from baseline | -6.6 | -6.4 | -5.8 | -7.1 | -0.9 | -4.2 | 9.4 |
| LDL | n = 275 | n = 80 | n = 164 | n = 141 | n = 104 | n = 117 | n = 108 |
| Change from baseline | -6.0 | -4.8 | -5.6 | -4.8 | 0.9 | -2.4 | 5.2 |
| HDL | n = 286 | n = 89 | n = 165 | n = 150 | n = 105 | n = 118 | n = 115 |
| Change from baseline | 0.7 | 2.1 | 0.6 | 0.3 | 1.5 | 1.1 | 0.0 |
| Triglycérides | n = 366 | n = 89 | n = 244 | n = 232 | n = 105 | n = 119 | n = 120 |
| Change from baseline | -16.7 | 7.6 | -9.0 | -11.5 | -14.1 | -20.0 | 11.9 |
| Proportion de patients avec des quarts | |||||||
| Cholestérol Normal à élevé ( <200 mg/dL to ≥ 240 mg/dL) | 3,2% (7/222) | 2,0% (1/51) | 2,0% (3/147) | 2,1% (3/141) | 0% (0/69) | 3,1% (2/65) | 7,1% (6/84) |
| LDL | |||||||
| Normal à élevé ( <100 mg/dL to ≥ 160 mg/dL) | 1,1% (1/95) | 0% (0/29) | 0% (0/67) | 0% (0/46) | 0% (0/41) | 0% (0/37) | 0% (0/44) |
| HDL | |||||||
| Normal à faible (≥ 40 mg / dl à <40 mg/dL) | 13,8% (28/203) | 14,8% (9/61) | 9,6% (11/115) | 14,2% (15/106) | 12,7% (9/71) | 10,5% (8/76) | 16,0% (13/81) |
| Triglycérides | |||||||
| Normal à élevé ( <150 mg/dL to ≥ 200 mg/dL) | 3,6% (8/221) | 6,1% (3/49) | 9,2% (14/153) | 7,2% (10/139) | 1,3% (1/79) | 3,7% (3/82) | 10,7% (9/84) |
| a Injection deltoïde initiale de 234 mg suivie de 39 mg 156 mg ou 234 mg toutes les 4 semaines par injection deltoïde ou fuselée. D'autres groupes de dose (39 mg 78 mg et 156 mg) proviennent d'études impliquant uniquement l'injection gluée. [Voir Études cliniques ]. |
Dans une étude pharmacocinétique et de sécurité à long terme à l'ouverture à long terme chez des sujets atteints de schizophrénie dans lesquels la dose la plus élevée disponible (234 mg) a été évaluée les changements moyens de la ligne de base dans les valeurs lipidiques sont présentés dans le tableau 7.
Tableau 7: Changement des lipides à jeun à long terme de l'étude pharmacocinétique et de sécurité à long terme chez les sujets atteints de schizophrénie
| Invega Sustrenna® 234 mg | ||
| Semaine 29 | Semaine 53 | |
| Changement moyen par rapport à la ligne de base (mg / dL) | ||
| Cholestérol | n = 112 | n = 100 |
| Change from baseline | -1.2 | 0.1 |
| LDL | n = 107 | n = 89 |
| Change from baseline | -2.7 | -2.3 |
| HDL | n = 112 | n = 98 |
| Change from baseline | -0.8 | -2.6 |
| Triglycérides | n = 112 | n = 100 |
| Change from baseline | 16.2 | 37.4 |
Les changements moyens par rapport à la base des valeurs lipidiques au cours de la période ouverte initiale de 25 semaines et au point final de la période en double aveugle de 15 mois suivante dans une étude à long terme chez des sujets atteints de trouble schizo-affectif sont présentés dans le tableau 8.
Tableau 8: Changement des lipides à jeun à partir d'une étude ouverte et en double aveugle d'une étude à long terme chez des sujets atteints de trouble schizo-affectif
| Open-BABS et SUSTEN® | Période à doubleblind | ||
| Placebo | Invega Sustrenna® | ||
| Changement moyen par rapport à la ligne de base (mg / dL) | |||
| Cholestérol | n = 198 | n = 119 | n = 132 |
| Change from baseline | -3.9 | -4.2 | 2.3 |
| LDL | n = 198 | n = 117 | n = 130 |
| Change from baseline | -2.7 | -2.8 | 5.9 |
| HDL | n = 198 | n = 119 | n = 131 |
| Change from baseline | -2.7 | -0.9 | -0.7 |
| Triglycérides | n = 198 | n = 119 | n = 132 |
| Change from baseline | 7.0 | 2.5 | -12.3 |
Prise de poids
Une prise de poids a été observée avec une utilisation antipsychotique atypique. Une surveillance clinique du poids est recommandée.
Les données sur les changements moyens du poids corporel et la proportion de sujets répondant à un critère de prise de poids ≥ 7% du poids corporel des quatre études à dose fixe contrôlées par les quatre placebo (une semaine et trois semaines) chez des sujets atteints de schizophrénie sont présentées dans le tableau 9.
Tableau 9: Changement moyen du poids corporel (kg) et la proportion de sujets avec un gain ≥ 7% de poids corporel de quatre études à dose fixe contrôlées par placebo chez des sujets atteints de schizophrénie
| Placebo | Invega Sustrenna® | ||||||
| 39 mg | 78 mg | 156 mg | 234/39 mg a | 234/156 mg a | 234/234 mg a | ||
| Poids (kg) | n = 451 | n = 116 | n = 280 | n = 267 | n = 137 | n = 144 | n = 145 |
| Changement par rapport à la prise de poids de base | -0.4 | 0.4 | 0.8 | 1.4 | 0.4 | 0.7 | 1.4 |
| ≥ 7% Augmentation par rapport | 3,3% | 6,0% | 8,9% | 9,0% | 5,8% | 8,3% | 13,1% |
| a Injection deltoïde initiale de 234 mg suivie de 39 mg 156 mg ou 234 mg toutes les 4 semaines par injection deltoïde ou fuselée. D'autres groupes de dose (39 mg 78 mg et 156 mg) proviennent d'études impliquant uniquement l'injection gluée. [Voir Études cliniques ]. |
Dans une étude pharmacocinétique et de sécurité à long terme à long terme, dans laquelle la dose la plus élevée disponible (234 mg) a été évaluée Invega Sustenna® a été associée à un changement moyen de poids de 2,4 kg à la semaine 29 (n = 134) et 4,3 kg à la semaine 53 (n = 113).
Au cours de la période ouverte initiale de 25 semaines d'une étude à long terme chez les sujets atteints de trouble schizo-affectif, Invega Susthenna® a été associée à un changement moyen de poids de 2,2 kg et 18,4% des sujets avaient une augmentation du poids corporel ≥ 7% (n = 653). Au point final de la période en double aveugle de 15 mois suivante de l'étude, Invega Sustrenna® a été associée à un changement moyen de poids de -0,2 kg et 13,0% des sujets avaient une augmentation du poids corporel ≥ 7% (n = 161); Le groupe placebo a connu un changement moyen de poids de -0,8 kg et 6,0% des sujets avaient une augmentation du poids corporel ≥ 7% (n = 168).
Hypotension et syncope orthostatiques
La palipéridone peut induire une hypotension et une syncope orthostatiques chez certains patients en raison de son activité alpha-bloquant. Une syncope a été signalée dans <1% (4/1293) of subjects treated with Invega Sustrenna® in the recommended dose range of 39 mg to 234 mg in the four fixed-dose double-blind placebo-controlled trials compared with 0% (0/510) of subjects treated with placebo. In the four fixed-dose efficacy studies in subjects with schizophrenia orthostatic hypotension was reported as an adverse event by < 1% (2/1293) of Invega Sustrenna®-treated subjects compared to 0% (0/510) with placebo. Incidences of orthostatic hypotension et syncope in the long-term studies in subjects with schizophrenia et schizoaffective disorder were similar to those observed in the short-term studies.
Invega Sustrenna® should be used with caution in patients with known cardiovascular disease (e.g. heart failure history of myocardial infarction or ischemia conduction abnormalities) cerebrovascular disease or conditions that predispose the patient to hypotension (e.g. dehydration hypovolemia et treatment with antihypertensive medications). Monitoring of orthostatic vital signs should be considered in patients who are vulnerable to hypotension.
Chute
Somnolence Hypotension Postural Motor et l'instabilité sensorielle ont été signalées avec l'utilisation d'antipsychotiques, notamment Invega Susthenna®, ce qui peut entraîner des chutes et par conséquent des fractures ou d'autres blessures liées aux chutes. Pour les patients, en particulier les personnes âgées ayant des conditions de maladies ou des médicaments qui pourraient exacerber ces effets, évaluez le risque de chutes lors du lancement d'un traitement antipsychotique et de manière récurrente pour les patients sous traitement antipsychotique à long terme.
Leukopénia neutropénie et l'agranulocytose
Dans les essais cliniques et / ou l'expérience post-commercialisation des événements de leucopénie / neutropénie, ont été signalés temporellement liés aux agents antipsychotiques, notamment Invega® une forme orale de palipéridone. Une agranulocytose a également été signalée.
Les facteurs de risque possibles de leucopénie / neutropénie comprennent le faible nombre de globules blancs préexistants (WBC) et les antécédents de leucopénie / neutropénie induite par le médicament. Les patients ayant des antécédents d'une faible WBC cliniquement significative ou d'une leucopénie / neutropénie induite par le médicament devraient avoir leur compteur sanguin complet (CBC) fréquemment sur les premiers mois de thérapie et d'arrêt du WBC d'Invega Supprenna®.
Les patients présentant une neutropénie cliniquement significative doivent être soigneusement surveillés pour la fièvre ou d'autres symptômes ou signes d'infection et traités rapidement si de tels symptômes ou signes se produisent. Patients atteints de neutropénie sévère (nombre absolu neutrophile <1000/mm³) should discontinue Invega Sustrenna® et have their WBC followed until recovery.
Hyperprolactinémie
Comme d'autres médicaments qui antagonisent les récepteurs de la dopamine D2, la palipéridone élève les niveaux de prolactine et l'élévation persiste pendant l'administration chronique. La palipéridone a un effet d'élévation de la prolactine similaire à celui observé avec la rispéridone un médicament associé à des niveaux plus élevés de prolactine que les autres antipsychotiques.
Hyperprolactinémie regardless of etiology may suppress hypothalamic GnRH resulting in reduced pituitary gonadotrophin secretion. This in turn may inhibit reproductive function by impairing gonadal steroidogenesis in both female et male patients. Galactorrhea amenorrhea gynecomastia et impotence have been reported in patients receiving prolactin-elevating compounds. Long-steting hyperprolactinemia when associated with hypogonadism may lead to decreased bone density in both female et male subjects.
Des expériences de culture tissulaire indiquent qu'environ un tiers des cancers du sein humain sont dépendants de la prolactine in vitro Un facteur d'importance potentielle si la prescription de ces médicaments est considérée chez un patient atteint d'un cancer du sein précédemment détecté. Une augmentation de l'incidence de la glande mammaire de la glande hypophysaire et de la néoplasie cellulaire pancréatique (adénome pancréatique mammaire) a été observée dans les études de carcinogénicité de la rispéridone menées chez la souris et les rats [voir des rats [voir des rats [voir des rats [voir des rats [voir des rats [ Toxicologie non clinique ]. Neither clinical studies nor epidemiologic studies conducted to date have shown an association between chronic administration of this class of drugs et tumorigenesis in humans but the available evidence is too limited to be conclusive.
Potentiel de déficience cognitive et motrice
La sédation de somnolence et les étourdissements ont été signalés comme des réactions indésirables chez les sujets traités avec Invega Sustrenna® [voir Effets indésirables ]. Antipsychotics including Invega Sustrenna® have the potential to impair judgment thinking or motor skills. Patients should be cautioned about performing activities requiring mental alertness such as operating hazardous machinery or operating a motor vehicle until they are reasonably certain that paliperidone therapy does not adversely affect them.
Crises
Dans les quatre études contrôlées par placebo à double aveugle à dose fixe chez des sujets atteints de schizophrénie <1% (1/1293) of subjects treated with Invega Sustrenna® in the recommended dose range of 39 mg to 234 mg experienced an adverse event of convulsion compared with < 1% (1/510) of placebo-treated subjects who experienced an adverse event of gret mal convulsion.
Comme les autres médicaments antipsychotiques Invega Susthenna® doivent être utilisés avec prudence chez les patients ayant des antécédents de crises ou d'autres conditions qui potentiellement abaisser le seuil de crise. Les conditions qui réduisent le seuil de crise peuvent être plus répandues chez les patients de 65 ans ou plus.
Dysphagie
La dysmotilité et l'aspiration œsophagiennes ont été associées à la consommation de médicaments antipsychotiques. La pneumonie d'aspiration est une cause fréquente de morbidité et de mortalité chez les patients atteints de démence avancée d'Alzheimer. Invega Sustrenna® et d'autres antipsychotiques devraient être utilisés avec prudence chez les patients à risque de pneumonie d'aspiration.
Priapisme
Il a été rapporté que des médicaments avec des effets de blocage alpha-adrénergiques induisent le priapisme. Bien qu'aucun cas de priapisme n'ait été signalé dans des essais cliniques avec le priapisme d'Invega Sustenna® a été signalé avec une palipéridone orale lors de la surveillance post-commercialisation. Le priapisme sévère peut nécessiter une intervention chirurgicale.
Perturbation de la régulation de la température corporelle
La perturbation de la capacité du corps à réduire la température corporelle centrale a été attribuée aux agents antipsychotiques. Des soins appropriés sont avisés lors de la prescription d'Invega SUSENNA® aux patients qui éprouveront des conditions qui peuvent contribuer à une élévation de la température corporelle centrale, par ex. exercer une exposition vigoureuse à une chaleur extrême recevant des médicaments concomitants avec une activité anticholinergique ou étant soumis à une déshydratation.
Informations de conseil des patients
Voir Étiquetage des patients approuvé par la FDA ( Informations sur les patients )
Il est conseillé aux médecins de discuter des problèmes suivants avec les patients pour lesquels ils prescrivent Invega Sustenna®.
Hypotension orthostatique
Il faut informer les patients qu'il existe un risque d'hypotension orthostatique, en particulier au moment de l'initiation du traitement, réinitier le traitement ou augmenter la dose [voir AVERTISSEMENTS AND PRÉCAUTIONS ].
Interférence avec les performances cognitives et moteurs
Les patients doivent être mis en garde contre les machines dangereuses de fonctionnement, y compris les automobiles, jusqu'à ce qu'ils soient raisonnablement certains que la thérapie Invega Susthenna® ne les affecte pas négativement car Invega Susthenna® a le potentiel de nuire à la réflexion du jugement ou à la motricité [voir [voir AVERTISSEMENTS AND PRÉCAUTIONS ].
Grossesse
Il faut conseiller aux patients d'en informer leur médecin s'ils tombent encein Utiliser dans des populations spécifiques ].
Allaitement
Informer les patients et les soignants qu'Invega Susthenna® est présent dans le lait maternel humain; Il existe un potentiel de réactions indésirables graves chez les nourrissons en soins infirmiers. Informer les patients que la décision de cesser les soins infirmiers ou de cesser le médicament doit prendre en compte l'importance du médicament pour le patient [voir Utiliser dans des populations spécifiques ].
Médicaments concomitants
Il faut conseiller aux patients d'informer leurs médecins s'ils prennent ou prévoient de prendre des médicaments sur ordonnance ou en vente libre car il existe un potentiel d'interactions [voir Interactions médicamenteuses ].
Exposition à la chaleur et déshydratation
Les patients doivent être informés des soins appropriés pour éviter la surchauffe et la déshydratation [voir AVERTISSEMENTS AND PRÉCAUTIONS ].
Toxicologie non clinique
Carcinogenèse Mutagenèse A trouble de la fertilité
Cancérogenèse
Le potentiel cancérigène du palmitate de palipéridone injecté intramusculaire a été évalué chez le rat. Il y a eu une augmentation des adénocarcinomes de la glande mammaire chez les rats femelles à 16 47 et 94 mg / kg / mois, soit 0,6 2 et 4 fois respectivement la dose maximale de 234 mg humaine recommandée d'Invega Sutenna® sur une base de surface corporelle mg / m². Une dose sans effet n'a pas été établie. Les rats mâles ont montré une augmentation des adénomes de la glande mammaire et des carcinomes à 47 mg et 94 mg / kg / mois. Une étude de cancérogénicité chez la souris n'a pas été menée avec le palmitate de palipéridone.
Des études de cancérogénicité de la rispéridone qui sont largement converties en palipéridone chez des souris rats et des humains ont été menées chez des souris albinos suisses et des rats Wistar. La rispéridone a été administrée dans le régime alimentaire à des doses quotidiennes de 0,63 2,5 et 10 mg / kg pendant 18 mois aux souris et pendant 25 mois aux rats. Une dose maximale tolérée n'a pas été obtenue chez les souris mâles. Il y a eu des augmentations statistiquement significatives des adénomes de la glande hypophysaire et des adénomes du pancréas endocrinien et des adénocarcinomes de la glande mammaire. La dose de non-effet pour ces tumeurs était inférieure ou égale à la dose humaine maximale recommandée de rispéridone sur une base de surface corporelle Mg / m² (voir l'insert du package Risperdal®). Une augmentation des néoplasmes de pancréas hypophysaires et endocriniens mammaires a été trouvée chez les rongeurs après l'administration chronique d'autres médicaments antipsychotiques et est considérée comme médiée par un antagonisme prolongé de la dopamine D2-récepteur et une hyperprolactinémie. La pertinence de ces résultats tumoraux chez les rongeurs en termes de risque humain est inconnu [voir AVERTISSEMENTS AND PRÉCAUTIONS ].
Mutagenèse
Le palmitate de palipéridone n'a montré aucun potentiel génotoxique dans le test de mutation inverse d'Ames ou le test de lymphome de souris. Aucune preuve de potentiel génotoxique de la palipéridone n'a été trouvée dans le test de mutation inverse AMES Le test de lymphome de souris ou le en vain Test de micronucléus de rat.
Altération de la fertilité
Les études de fertilité du palmitate de palipéridone n'ont pas été réalisées.
Dans une étude de la fertilité menée avec de la palipéridone administrée par voie orale, le pourcentage de rats femelles traités qui est tombée enceinte n'a pas été affecté à des doses de palipéridone allant jusqu'à 2,5 mg / kg / jour. Cependant, la perte pré-et post-implantation a été augmentée et le nombre d'embryons vivants a été légèrement diminué à 2,5 mg / kg par dose qui a également provoqué une légère toxicité maternelle. Ces paramètres n'ont pas été affectés à une dose de 0,63 mg / kg, soit la moitié de la dose humaine maximale recommandée (12 mg / jour) de la palipéridone administrée par voie orale (Invega®) sur une base de surface corporelle Mg / m².
La fertilité des rats mâles n'a pas été affectée à des doses orales de palipéridone allant jusqu'à 2,5 mg / kg / jour, bien que le nombre de spermatozoïdes et les études de viabilité des spermatozoïdes n'étaient pas effectués avec la palipéridone. Dans une étude sous-chronique chez les chiens beagle atteints de rispéridone qui est largement converti en palipéridone chez les chiens et les humains, toutes les doses testées (NULL,31 mg / kg -5,0 mg / kg) ont entraîné une diminution de la testostérone sérique et de la motilité et de la concentration des spermatozoïdes. Les paramètres sériques de testostérone et de sperme partiellement récupérés mais sont restés diminués après la dernière observation (deux mois après l'arrêt du traitement).
Utiliser dans des populations spécifiques
Grossesse
Grossesse Category C.
Résumé des risques
Des études adéquates et bien contrôlées avec Invega Susthenna® n'ont pas été menées chez les femmes enceintes. Les nouveau-nés exposés aux antipsychotiques au cours du troisième trimestre de la grossesse sont à risque de symptômes extrapyramidaux et / ou de sevrage après l'accouchement. Invega Sustrenna® ne doit être utilisée pendant la grossesse que si le bénéfice potentiel justifie le risque potentiel pour le fœtus.
Considérations cliniques
Réactions indésirables fœtales / néonatales
Surveiller les nouveau-nés présentant des symptômes extrapyramidaux ou de sevrage. Certains nouveau-nés se rétablissent en quelques heures ou sans traitement spécifique; D'autres peuvent nécessiter une hospitalisation prolongée.
Données
Données humaines
Il y a eu des rapports d'agitation hypertonia hypotonia tremor somnolence détresse respiratoire et trouble d'alimentation chez les nouveau-nés après une exposition inutérale aux antipsychotiques au troisième trimestre. Ces complications ont varié en gravité; Alors que dans certains cas, les symptômes ont été auto-limités dans d'autres cas, les nouveau-nés ont nécessité un soutien à unité de soins intensifs et une hospitalisation prolongée.
Données sur les animaux
Il n'y a eu aucun effet lié au traitement sur la progéniture lorsque des rats enceintes ont été injectés par voie intramusculaire avec du palmitate de palipéridone pendant la période d'organogenèse à des doses allant jusqu'à 250 mg / kg, ce qui est 10 fois la dose humaine maximale recommandée de 234 mg d'Invega Supprenna® sur une surface corporelle Mg / M².
Dans des études chez des rats et lapins enceintes dans lesquels la palipéridone a été donnée par voie orale pendant la période d'organogenèse, il n'y a pas eu d'augmentation des anomalies fœtales jusqu'à les doses les plus élevées testées (10 mg / kg / jour chez les rats et 5 mg / kg / jour chez les rabuffes qui sont chacune 8 fois la dose humaine maximale [de 12 mg de jour de l'administration orale Mg / m² de surface corporelle Basée).
Dans les études de reproduction de rats avec de la rispéridone qui est largement convertie en palipéridone chez le rat et l'homme, une augmentation de la mort de PUP a été observée à des doses orales qui sont inférieures à la dose humaine maximale recommandée de rispéridone sur une base de surface corporelle Mg / m² (voir Risperdal® Insert).
Comment gérer les nausées de topamax
Travail et accouchement
L'effet d'Invega Sustenna® sur le travail et l'accouchement chez l'homme est inconnu.
Allaitement Mothers
Dans les études animales avec la palipéridone et dans les études humaines avec de la rispéridone, la palipéridone a été excrétée dans le lait. En raison du potentiel de réactions indésirables graves chez les nourrissons en soins infirmiers, une décision doit être prise de cesser les soins infirmiers ou d'arrêter le médicament en tenant compte de l'importance du médicament pour la mère.
Usage pédiatrique
Innocuité et efficacité d'Invega Sustrenna® chez les patients <18 years of age have not been established.
Dans une étude dans laquelle les rats juvéniles ont été traités avec de la palipéridone orale des jours 24 à 73 ans, une altération réversible de la performance dans un test d'apprentissage et de mémoire n'a été observée chez les femmes qu'avec une dose sans effective de 0,63 mg / kg / jour qui a produit des niveaux de plasma (Auc) de palipéridone similaires à ceux de l'adolescente. Aucun autre effet cohérent sur le développement neurobehavioral ou reproductif n'a été observé jusqu'à la dose la plus élevée testée (NULL,5 mg / kg / jour) qui a produit des taux plasmatiques de palipéridone 2-3 fois ceux des adolescents.
Les chiens juvéniles ont été traités pendant 40 semaines avec de la rispéridone orale qui est largement métabolisée à la palipéridone chez les animaux et les humains à des doses de 0,31 1,25 ou 5 mg / kg / jour. Une diminution de la longueur et de la densité des os ont été observées avec une dose sans effet de 0,31 mg / kg / jour qui produisait des taux plasmatiques (AUC) de rispéridone plus palipéridone qui étaient similaires à ceux des enfants et des adolescents recevant la dose humaine maximale recommandée de rispéridone. De plus, un retard dans la maturation sexuelle a été observé à toutes les doses chez les hommes et les femmes. Les effets ci-dessus ont montré peu ou pas de réversibilité chez les femmes après une période de récupération sans médicament de 12 semaines.
Les effets à long terme de la palipéridone sur la croissance et la maturation sexuelle n'ont pas été entièrement évalués chez les enfants et les adolescents.
Utilisation gériatrique
Les études cliniques d'Invega Sustrenna® n'ont pas inclus un nombre suffisant de sujets âgés de 65 ans et plus pour déterminer s'ils réagissent différemment des sujets plus jeunes. D'autres expériences cliniques signalées n'ont pas identifié de différences dans les réponses entre les patients âgés et les patients plus jeunes.
Ce médicament est connu pour être considérablement excrété par le rein et la clairance est diminuée chez les patients atteints de troubles rénaux [voir Pharmacologie clinique ] qui devrait recevoir des doses réduites. Parce que les patients âgés sont plus susceptibles d'avoir une diminution de la fonction rénale, ajustez la dose en fonction de la fonction rénale [voir Posologie et administration ].
Trouble rénal
L'utilisation d'Invega Sustrenna® n'est pas recommandée chez les patients présentant une insuffisance rénale modérée ou sévère (autorisation de créatinine <50 mL/min). Dose reduction is recommended for patients with mild renal impairment (creatinine clearance ≥ 50 mL/min to < 80 mL/min) [see Posologie et administration et Pharmacologie clinique ].
Trouble hépatique
Invega Sustrenna® has not been studied in patients with hepatic impairment. Based on a study with oral paliperidone no dose adjustment is required in patients with mild or moderate hepatic impairment. Paliperidone has not been studied in patients with severe hepatic impairment.
Patients atteints de la maladie de Parkinson ou de démence de corps de Lewy
Les patients atteints de la maladie ou de la démence de Parkinson avec des corps de Lewy peuvent ressentir une sensibilité accrue à Invega Susthenna®. Les manifestations peuvent inclure l'instabilité posturale d'obtudation de confusion avec des symptômes extrapyramidaux fréquents et des caractéristiques cliniques compatibles avec le syndrome malin neuroleptique.
Informations sur la surdose pour Invega Sustrenna
Expérience humaine
Aucun cas de surdose n'a été signalé dans des études préalables à la mise à la commercialisation avec Invega Sustrenna®. Parce qu'Invega Susthenna® doit être administrée par les professionnels de la santé, le potentiel de sur-dose par les patients est faible.
Alors que l'expérience de la surdose de palipéridone est limitée parmi les quelques cas de surdose signalés dans les essais préalables à la palipéridone orale, l'ingestion le plus estimée était de 405 mg.
Les signes et symptômes observés comprenaient des symptômes extrapyramidaux et une instabilité de la marche. D'autres signes et symptômes potentiels comprennent ceux résultant d'une exagération des effets pharmacologiques connus de la palipéridone, c'est-à-dire de la somnolence et de la tachycardie et de l'hypotension et de l'allongement du QT. Les torsades de pointes et la fibrillation ventriculaire ont été signalées chez un patient dans le cadre d'une surdose avec de la palipéridone orale.
La palipéridone est la principale métabolite active de la rispéridone. L'expérience de surdose signalée avec la rispéridone peut être trouvée dans la section de surdosage de l'insert du package Rispéridone.
Gestion de la surdosage
Contactez un centre de contrôle du poison certifié pour les informations les plus récentes sur la gestion d'Invega Sustenna® sur le dosage (1-800-222-1222 ou www.poison.org). Fournir des soins de soutien, y compris une supervision médicale étroite et une surveillance. Le traitement doit être constitué de mesures générales utilisées dans la gestion de la dose d'un médicament. Considérez la possibilité d'un médicament multiple sur le dosage. Assurer une oxygénation et une ventilation adéquates des voies respiratoires. Surveillez le rythme cardiaque et les signes vitaux. Utilisez des mesures de soutien et symptomatiques. Il n'y a pas d'antidote spécifique à la palipéridone.
Considérez les caractéristiques prolongées à libération d'Invega Sustrenna® et la longue demi-vie apparente de la palipéridone lors de l'évaluation des besoins du traitement et de la récupération.
Contrainydications pour Invega Sustrenna
Invega Sustrenna® is contraindicated in patients with a known hypersensibilité to either paliperidone or risperidone or to any of the excipients in the Invega Sustrenna® formulation. Hypersensitivity reactions including réaction anaphylactiques et angioedema have been reported in patients treated with risperidone et in patients treated with paliperidone. Paliperidone palmitate is converted to paliperidone which is a metabolite of risperidone.
Pharmacologie clinique for Invega Sustenna
Mécanisme d'action
Le palmitate de palipéridone est hydrolysé à la palipéridone [voir Pharmacologie clinique ]. Paliperidone is the major active metabolite of risperidone. The mechanism of action of paliperidone is unclear. However the drug's therapeutic effect in schizophrenia could be mediated through a combination of central dopamine Type 2 (D2) et serotonin Type 2 (5HT2A) receptor antagonism.
Pharmacodynamique
La palipéridone in vitro agit comme un antagoniste aux récepteurs centraux de la dopamine de type 2 (D2) et de la sérotonine de type 2 (5HT2A) avec des affinités de liaison (valeurs Ki) de 1,6 à 2,8 nm pour les récepteurs D2 et 0,8 à 1,2 nm pour les récepteurs 5HT2A. La palipéridone est également active comme antagoniste aux récepteurs adrénergiques α1 et α2 et les récepteurs histaminergiques H1 qui peuvent expliquer certains des autres effets du médicament. La palipéridone n'a aucune affinité pour les récepteurs cholinergiques muscariniques ou β1 et β2-adrénergiques. L'activité pharmacologique des énantiomères () - et (-) - de la palipéridone est qualitativement et quantitativement similaire in vitro.
Pharmacocinétique
Absorption et distribution
En raison de sa solubilité dans l'eau extrêmement faible, la formulation d'un mois de palmitate de palipéridone se dissout lentement après injection intramusculaire avant d'être hydrolysée à la palipéridone et absorbée dans la circulation systémique. Après une seule dose intramusculaire, les concentrations plasmatiques de palipéridone augmentent progressivement pour atteindre des concentrations plasmatiques maximales à un Tmax médian de 13 jours. La libération du médicament commence dès le premier jour et dure jusqu'à 126 jours.
Après une injection intramusculaire de doses uniques (39 mg - 234 mg) dans le muscle deltoïde en moyenne, un CMAX de 28% plus élevé a été observé par rapport à l'injection dans le muscle gluéal. Les deux injections intramusculaires deltoïdes initiales de 234 mg au jour 1 et 156 mg le jour 8 aident à atteindre rapidement les concentrations thérapeutiques. Le profil de libération et le régime de dosage d'Invega Susthenna® entraînent des concentrations thérapeutiques soutenues. L'AUC de la palipéridone suivant l'administration d'Invega SUSENNA® était proportionnelle à la dose de 39 mg-234 mg et moins que la dose proportionnelle pour CMAX pour des doses dépassant 78 mg. Le rapport de pic en régime permanent moyen pour une dose d'Invega SUSENNA® de 156 mg était de 1,8 après l'administration gluée et 2,2 après l'administration deltoïde.
Après l'administration de palmitate de palipéridone, les énantiomères () et (-) de l'interconvert de palipéridone atteignant un rapport AUC () à (-) d'environ 1,6 €.
Sur la base d'une analyse de la population, le volume apparent de distribution de la palipéridone est de 391 L. La liaison à la protéine plasmatique de la palipéridone racémique est de 74%.
Métabolisme et élimination
Dans une étude avec la 14C-Palipéridone à libération immédiate orale une semaine après l'administration d'une dose orale unique de 1 mg de la 14C-Salipéridone à libération immédiate, 59% de la dose a été excrétée inchangée dans l'urine indiquant que la salipéridone n'est pas largement métabolisée dans le foie. Environ 80% de la radioactivité administrée a été récupérée dans l'urine et 11% dans les excréments. Quatre voies métaboliques ont été identifiées in vivo dont aucune dont plus de 10% de la dose: déshydrogénation de l'hydroxylation de la dose et la scission de benzisoxazole. Bien que des études in vitro aient suggéré un rôle pour CYP2D6 et CYP3A4 dans le métabolisme de la palipéridone, il n'y a aucune preuve en vivo que ces isozymes jouent un rôle important dans le métabolisme de la palipéridone. Les analyses de pharmacocinétique de la population n'ont indiqué aucune différence perceptible sur la clairance apparente de la palipéridone après l'administration de palipéridone orale entre des métaboliseurs étendus et des métaboliseurs pauvres des substrats du CYP2D6.
La demi-vie médiane apparente de la palipéridone suivant l'administration d'une seule dose INVEGA SUSENNA® sur la plage de dose de 39 mg - 234 mg variait de 25 jours à 49 jours.
Injection de palmitate de palipéridone à longue durée
Invega Sustrenna® is designed to deliver paliperidone over a monthly period while extendedrelease oral paliperidone is administered on a daily basis. The initiation regimen for Invega Sustrenna® (234 mg/156 mg in the deltoid muscle on Jour 1/Jour 8) was designed to rapidly attain steady-state paliperidone concentrations when initiating therapy without the use of oral supplementation.
En général, les taux plasmatiques globaux d'initiation avec Invega Sustrenna® se trouvaient dans la plage d'exposition observée avec 6 à 12 mg de palipéridone orale à libération étendue. L'utilisation du schéma d'initiation Invega Sustrenna® a permis aux patients de rester dans cette fenêtre d'exposition de 6 à 12 mg de palipéridone orale à libération prolongée même les jours pré-dose (jour 8 et jour 36). La variabilité intersubjecte pour la pharmacocinétique de la palipéridone après la livraison d'Invega Susthenna® était plus faible par rapport à la variabilité déterminée à partir de comprimés oraux à la palipéridone à libération prolongée. En raison de la différence dans les profils pharmacocinétiques médians entre les deux produits, la prudence doit être exercée lors de la comparaison directe de leurs propriétés pharmacocinétiques.
Études d'interaction médicamenteuse
Aucune étude spécifique d'interaction médicamenteuse n'a été réalisée avec Invega Susthenna®. Les informations ci-dessous sont obtenues à partir d'études avec de la palipéridone orale.
Les effets d'autres médicaments sur les expositions de la palipéridone sont résumés sur la figure 1. Après l'administration orale de 20 mg / jour de paroxétine (un puissant inhibiteur du CYP2D6), une augmentation des valeurs moyennes de CMAX et AUC à l'état d'équilibre a été observée (voir figure 1). Des doses plus élevées de paroxétine n'ont pas été étudiées. La pertinence clinique est inconnue. Après l'administration orale, une diminution des valeurs moyennes CMAX et AUC à l'état d'équilibre est attendue lorsque les patients sont traités avec de la carbamazépine un fort inducteur du CYP3A4 et de la P-gp [voir Interactions médicamenteuses ]. This decrease is caused to a substantial degree by a 35% increase in renal clearance of paliperidone.
Figure 1: Les effets des autres médicaments sur la pharmacocinétique de la palipéridone
|
Une interaction pharmacocinétique cliniquement significative entre Invega Susthenna® et Valproate (y compris l'acide valproïque et le divalproex sodium) n'est pas attendue. L'administration orale de comprimés à libération de sodium DivalProex sodium (deux comprimés de 500 mg une fois par jour à l'état d'équilibre) avec des comprimés de palipéridone orale prolongés a entraîné une augmentation d'environ 50% dans le CMAX et l'AUC de la palipéridone.
Après l'administration orale de palipéridone, le CMAX à l'état d'équilibre et l'ASC des comprimés de divalproex sodium à libération prolongée n'ont pas été affectés chez 13 patients stabilisés sur des comprimés de release étendue de divalproex sodium. Dans une étude clinique, des sujets sur des doses stables de comprimés à libération de sodium divalproex sodique avaient des concentrations plasmatiques moyennes de valproate comparables lorsque des comprimés de palipéridone orale prolongés de 3 à 15 mg / jour ont été ajoutés à leur traitement existant de divalproex sodium à libération étendue [ Interactions médicamenteuses ].
Des études in vitro indiquent que le CYP2D6 et le CYP3A4 peuvent être impliqués dans le métabolisme de la palipéridone, mais il n'y a aucune preuve in vivo que les inhibiteurs de ces enzymes affectent considérablement le métabolisme de la palipéridone; Ils contribuent à une petite fraction de la clairance corporelle totale. Des études in vitro ont démontré que la palipéridone est un substrat de la glycoprotéine P (P-gp) [voir Interactions médicamenteuses ].
Des études in vitro dans les microsomes hépatiques humains ont démontré que la palipéridone n'inhibe pas substantiellement le métabolisme des médicaments métabolisés par les isozymes du cytochrome P450, y compris le CYP1A2 CYP2A6 CYP2C8 / 9/10 CYP2D6 CYP2E1 CYP3A4 et CYP3A5. Par conséquent, la palipéridone ne devrait pas inhiber la clairance des médicaments métabolisés par ces voies métaboliques d'une manière cliniquement pertinente. La palipéridone ne devrait pas non plus avoir des propriétés induisant des enzymes. La palipéridone est un faible inhibiteur de la P-gp à des concentrations élevées. Aucune donnée in vivo n'est disponible et la pertinence clinique est inconnue.
Études sur des populations spécifiques
Aucune étude pharmacocinétique spécifique n'a été réalisée avec Invega Sustenna® dans des populations spécifiques. Toutes les informations sont obtenues à partir d'études avec de la palipéridone orale ou sont basées sur la modélisation pharmacocinétique de la population de la palipéridone orale et d'Invega Susthenna®. Les expositions de la palipéridone dans des populations spécifiques (troubles rénaux altération hépatique et personnes âgées) sont résumés dans la figure 2 [voir Posologie et administration et Utiliser dans des populations spécifiques ].
Après l'administration orale de palipéridone chez les patients présentant une déficience hépatique modérée, les concentrations plasmatiques de palipéridone libre étaient similaires à celles de sujets sains, bien que l'exposition totale à la palipéridone ait diminué en raison d'une diminution de la liaison aux protéines. La palipéridone n'a pas été étudiée chez des patients souffrant de troubles hépatiques graves [voir Utiliser dans des populations spécifiques ].
Après l'administration orale de palipéridone chez les sujets âgés, le CMAX et l'ASC ont augmenté de 1,2 fois par rapport aux jeunes sujets. Cependant, il peut y avoir une diminution liée à l'âge de la clairance de la créatinine [voir Posologie et administration et Utiliser dans des populations spécifiques ].
Figure 2: Effets des facteurs intrinsèques sur la pharmacocinétique de la palipéridone
|
Sur la base d'études in vitro utilisant des enzymes hépatiques humaines, la palipéridone n'est pas un substrat pour le CYP1A2; Le tabagisme ne devrait donc pas avoir d'effet sur la pharmacocinétique de la palipéridone.
Une absorption plus lente a été observée chez les femmes dans une analyse pharmacocinétique de la population. À l'état d'équilibre apparente avec Invega Sustrenna®, les concentrations de creux étaient similaires entre les hommes et les femmes.
Un CMAX inférieur a été observé chez les sujets en surpoids et obèses. À l'état d'équilibre apparente avec Invega Sustrenna®, les concentrations de creux étaient similaires chez les sujets en surpoids et obèses normaux.
Toxicologie et / ou pharmacologie animale
La toxicité du site d'injection a été évaluée dans des minipigs injectés par voie intramusculaire avec la suspension injectable à libération de palipéridone à 3 mois à 3 mois à des doses allant jusqu'à 819 mg, ce qui est égal au MRHD. Les réactions inflammatoires du site d'injection étaient plus grandes et plus avancées que les réactions à la suspension injectable à libération étendue de la palipéridone à 1 mois. La réversibilité de ces résultats n'a pas été examinée.
Études cliniques
Schizophrénie
Monothérapie à court terme (études 1 2 3 4)
L'efficacité d'Invega Sustrenna® dans le traitement aigu de la schizophrénie a été évaluée dans quatre études à court terme à court terme (une et trois semaines de 13 semaines) en double aveugle qui répondaient aux critères DSM-IV à la schizophrénie en rechute aiguë. Les doses fixes d'Invega Sustrenna® dans ces études ont été données les jours 1 8 et 36 dans l'étude de 9 semaines et en outre le jour 64 des études de 13 semaines, c'est-à-dire à un intervalle hebdomadaire pour les deux doses initiales, puis toutes les 4 semaines pour l'entretien.
L'efficacité a été évaluée en utilisant le score total sur l'échelle du syndrome positif et négatif (PANSS). Le PANSS est une échelle de 30 éléments qui mesure les symptômes positifs de la schizophrénie (7 éléments) des symptômes négatifs de la schizophrénie (7 éléments) et de la psychopathologie générale (16 éléments) chacun évalué sur une échelle de 1 (absente) à 7 (Extreme); Les scores PANSS totaux varient de 30 à 210.
Dans l'étude 1 (PSY-3007), une étude de 13 semaines (n = 636) comparant trois doses fixes d'Invega Sutenna® (injection de deltoïde initiale de 234 mg suivie de 3 doses gluteals ou deltoïdes de 39 mg / 4 semaines 156 mg / 4 semaines ou 234 mg / 4 semaines) à l'amélioration des trois doses d'Invega score.
Dans l'étude 2 (PSY-3003), une autre étude de 13 semaines (n = 349) comparant trois doses fixes d'Invega Sutenna® (78 mg / 4 semaines 156 mg / 4 semaines et 234 mg / 4 semaines) à un placebo seulement 156 mg / 4 semaines d'Invega Supprenna® était supérieur au placebo pour améliorer le score total des pansS.
Dans l'étude 3 (PSY-3004), une troisième étude de 13 semaines (n = 513) comparant trois doses fixes d'Invega Supprenna® (39 mg / 4 semaines 78 mg / 4 semaines et 156 mg / 4 semaines) à un placebo, les trois doses d'Invega Supprenna® étaient supérieures au placebo dans l'amélioration du score total des PANS.
Dans l'étude 4 (SCH-2010), l'étude de 9 semaines (n = 197) comparant deux doses fixes d'Invega Supprenna® (78 mg / 4 semaines et 156 mg / 4 semaines) au placebo, les deux doses d'Invega Sutenna® étaient supérieures au placebo dans l'amélioration du score total de PANSS.
Un résumé des scores de PANSS de base moyens ainsi que les changements moyens par rapport à la référence dans les quatre études de schizophrénie aiguë à court terme sont fournis dans le tableau 14.
Tableau 14: Études de schizophrénie à court terme
| Numéro d'étude | Groupe de traitement | Mesure d'efficacité primaire: score total PANSS | ||
| Score de base moyen (SD) | LS MANGE CHANGE de la ligne de base (SE) | Placebo-subtracted Différencea (95% là-bas) | ||
| Étude 1 | Invega Sustrenna® (39 mg / 4 semaines) * | 86.9 (11.99) | -11.2 (1.69) | -5.1 (-9.01 -1.10) |
| Invega Sustrenna® (156 mg / 4 semaines) * | 86.2 (10.77) | -14.8 (1.68) | -8.7 (-12.62 -4.78) | |
| Invega Sustrenna® (234 mg / 4 semaines) * | 88.4 (11.70) | -15.9 (1.70) | -9.8 (-13.71 -5.85) | |
| Placebo | 86.8 (10.31) | -6.1 (1.69) | - | |
| Étude 2 b | Invega Sustrenna® (78 mg / 4 semaines) | 89.9 (10.78) | -6.9 (NULL,50) | -3.5 (-8,73 1.77) |
| Invega Sustrenna® (156 mg / 4 semaines) * | 90.1 (11.66) | -10.4 (2.47) | -6.9 (-12.12 -1,68) | |
| Placebo | 92.4 (12.55) | -3.5 (2.15) | - | |
| Étude 3 | Invega Sustrenna® (39 mg / 4 semaines) * | 90.7 (12.25) | -19.8 (2.19) | -6.6 (-11.40 -1,73) |
| Invega Sustrenna® (78 mg / 4 semaines)* | 91.2 (12.02) | -19.2 (2.19) | -5.9 (-10.76 -1.07) | |
| Invega Sustrenna® (156 mg / 4 semaines) * | 90.8 (11.70) | -22.5 (2.18) | -9.2 (-14.07 -4.43) | |
| Placebo | 90.7 (12.22) | -13.3 (2.21) | - | |
| Étude 4 | Invega Sustrenna® (78 mg / 4 semaines)* | 88.0 (12.39) | -4.6 (2.43) | -11.2 (-16.85 -5.57) |
| Invega Sustrenna® (156 mg / 4 semaines) * | 85.2 (11.09) | -7.4 (2.45) | -14.0 (-19.51 -8,58) | |
| Placebo | 87.8 (13.90) | 6.6 (2.45) | - | |
| SD: écart-type; SE: erreur standard; LS signifie: les moindres carrés moyens; IC: Intervalle de confiance non ajusté. a Différence (médicament moins placebo) dans les moindres carrés changent le changement par rapport à la ligne de base. b Étant donné qu'un nombre insuffisant de sujets ont reçu les résultats de dose de 234 mg / 4 semaines de ce groupe ne sont pas inclus. * P <0.05 (Doses statistiquement significativement supérieures au placebo). |
Traitement de monothérapie d'entretien (étude 5: PSY-3001)
L'efficacité d'Invega Sustrenna® dans le maintien du contrôle symptomatique dans la schizophrénie a été établie dans une étude à plus long terme à dose flexible contrôlée par placebo impliquant des sujets adultes qui répondaient aux critères DSM-IV de la schizophrénie. Cette étude comprenait une phase de stabilisation à dose fixe minimale de 12 semaines et une phase randomisée contrôlée par placebo à observer pour la rechute. Au cours de la phase en double aveugle, les patients ont été randomisés à la même dose d'Invega Sustrenna® qu'ils ont reçu pendant la phase de stabilisation, soit 39 mg 78 mg ou 156 mg administrés toutes les 4 semaines ou dans le placebo. Au total, 410 patients stabilisés ont été randomisés pour INVEGA SUSTENNA® ou pour un placebo jusqu'à ce qu'ils présentent une rechute de symptômes de schizophrénie. La rechute a été prédéfinie comme temps pour la première émergence d'un ou plusieurs des éléments suivants: une augmentation de l'hospitalisation psychiatrique ≥ 25% (si le score de référence était> 40) ou une augmentation de 10 points (si le score de référence était ≤ 40) du score PANSS total sur deux évaluations consécutives 6 (si le score de base maximal était de 4) sur deux évaluations consécutives des éléments PANSS spécifiques. La principale variable d'efficacité était le temps de rechuter. Une analyse intermédiaire pré-planifiée a montré un temps statistiquement significativement plus long pour rechuter chez les patients traités par Invega Sustrenna® par rapport au placebo et l'étude a été arrêtée tôt car le maintien de l'efficacité a été démontré. Trente-quatre pour cent (34%) des sujets du groupe placebo et 10% des sujets du groupe Invega Susthenna® ont connu un événement de rechute. Il y avait une différence statistiquement significative entre les groupes de traitement en faveur d'Invega Sustrenna®. Un tracé de Kaplan-Meier du temps de rechute par groupe de traitement est illustré à la figure 3. Le temps de rechute pour les sujets du groupe placebo était statistiquement significativement plus court que pour le groupe Invega Susthenna®. Un examen des sous-groupes de population n'a révélé aucune différence cliniquement significative de réactivité sur la base de l'âge ou de la race de genre.
Figure 3: Graphique de Kaplan-Meier de la proportion cumulative de sujets avec rechute au fil du temps (Schizophrénie Study 5)
|
Traitement comparatif à long terme de la monothérapie par rapport à la thérapie antipsychotique orale (étude 6: SCH-3006)
L'efficacité d'Invega Sustrenna® dans le retard du temps à l'échec du traitement par rapport à des médicaments antipsychotiques oraux sélectionnés a été établie dans une étude randomisée à longue durée à long terme chez des sujets atteints de schizophrénie et des antécédents d'incarcération. Les sujets ont été dépistés jusqu'à 14 jours, suivis d'une phase de traitement de 15 mois au cours de laquelle ils ont été observés pour l'échec du traitement.
Le critère d'évaluation principal était le temps de l'échec du premier traitement. L'échec du traitement a été défini comme l'un des éléments suivants: Arrestation et / ou incarcération; hospitalisation psychiatrique; Arrêt du traitement antipsychotique en raison de l'innocuité ou de la tolérabilité; Supplémentation de traitement par un autre antipsychotique en raison d'une efficacité inadéquate; besoin d'augmenter le niveau de services psychiatriques pour empêcher une hospitalisation psychiatrique imminente; Arrêt du traitement antipsychotique en raison d'une efficacité inadéquate; ou suicide. L'échec du traitement a été déterminé par une carte de surveillance des événements (EMB) qui a été aveuglée à l'attribution du traitement. Au total, 444 sujets ont été assignés au hasard à Invega Sustenna® (n = 226; dose médiane de 156 mg) ou à l'un des sept médicaments buccaux oraux couramment prescrits pré-spécifiés (n = 218; halopéridol de paliperizine aripiprazole). La sélection du médicament antipsychotique oral a été jugée appropriée pour le patient par l'investigateur. Un délai statistiquement significativement plus long pour le premier échec du traitement a été observé pour Invega Sustrenna® par rapport aux médicaments antipsychotiques oraux. Le délai médian de l'échec du traitement était de 416 jours et 226 jours pour les médicaments Invega Sustrenna® et les antipsychotiques respectivement. Un tracé de Kaplan-Meier du temps à la première défaillance du traitement est illustré à la figure 4. Les fréquences des premiers événements de défaillance du traitement par type sont présentées dans le tableau 15. Le temps d'arrêter et / ou d'incarcération ou d'hospitalisation psychiatrique était également statistiquement significativement plus long pour le groupe Invega Supprenna® par rapport au groupe antipsychotique oral.
Figure 4: Glotte de Kaplan-Meier du temps à l'échec du traitement au premier traitement dans une étude de dose flexible randomisée à long terme chez des sujets atteints de schizophrénie et des antécédents d'incarcération (Schizophrénie Study 6)
|
* Délai médian pour le premier échec du traitement: 416 jours avec Invega Sustenna®; 226 jours avec des antipsychotiques oraux
Tableau 15: Composantes du critère d'évaluation composite dans une étude à dose flexible randomisée à long terme chez des sujets atteints de schizophrénie et des antécédents d'incarcération (Schizophrénie Study 6)
| Type d'événement | Invega Sustrenna® N = 226 fréquences (%) | Antipsychotiques oraux N = 218 Fréquence (%) | Rapport de risque a [CI à 95%] |
| Premiers échecs de traitement | 90 (NULL,8%) | 117 (NULL,7%) | 0.70 [0,53 0,92] |
| Événements de composante d'échec du premier traitement | |||
| Arrestation et / ou incarcération | 48 (NULL,2%) | 64 (NULL,4%) | |
| Hospitalisation psychiatrique | 18 (NULL,0%) | 26 (NULL,9%) | |
| Arrêt du traitement antipsychotique en raison de l'innocuité ou de la tolérabilité | 15 (NULL,6%) | 8 (NULL,7%) | |
| Supplémentation de traitement par un autre antipsychotique en raison d'une efficacité inadéquate | 5 (NULL,2%) | 6 (NULL,8%) | |
| Besoin d'augmentation du niveau de services psychiatriques pour empêcher une hospitalisation psychiatrique imminente | 3 (NULL,3%) | 4 (NULL,8%) | |
| Arrêt du traitement antipsychotique en raison d'une efficacité inadéquate | 1 (NULL,4%) | 9 (NULL,1%) | |
| Suicide | 0 | 0 | |
| Arrestation et / ou incarcération ou événements d'hospitalisation psychiatrique, qu'ils soient des premiers événements b | 76 (NULL,6%) | 98 (NULL,0%) | 0,70 [0,52 0,94] |
| a Ratio de risque d'antipsychotiques Invega Sustrenna® à la base du modèle de régression de Cox pour l'analyse du temps à événement. Notez que le rapport de risque n'apparaissait pas constant tout au long de l'essai. b Les résultats de l'analyse qui incorporaient les événements pertinents collectés après l'arrêt pour ceux qui ont interrompu étaient cohérents avec les résultats de l'analyse pré-spécifiée de ce critère d'évaluation secondaire. |
Trouble schizo-affectif
Traitement d'entretien - monothérapie et comme complément de stabilisateur d'humeur ou d'antidépresseur (SAFF Study 1: SCA-3004)
L'efficacité d'Invega Sustrenna® dans le maintien du contrôle des symptômes dans le trouble schizo-affectif a été établie dans une étude randomisée à dose flexible à long terme contrôlée en double aveugle conçu pour retarder la rechute chez les sujets adultes qui répondaient aux critères DSM-IV pour les troubles schizo-affectifs. La population comprenait des sujets atteints de types bipolaires schizo-affectifs et dépressifs. Les sujets ont reçu Invega Sustrenna® soit en monothérapie, soit comme complément à des doses stables d'antidépresseur ou de stabilisateurs d'humeur.
Cette étude comprenait une période de dose flexible ouverte de 13 semaines (Invega SUSENNA® 78 mg 117 mg 156 mg ou 234 mg), qui a inscrit un total de 667 sujets qui avaient 1) une exacerbation aiguë de symptômes psychotiques; 2) Score ≥4 sur ≥3 PANSS Éléments de délires désorganisation conceptuelle Comportement hallucinatoire Excitation Sousité / Persécution Hostilité Tension non coopérative et mauvais contrôle des impulsions; et 3) des symptômes d'humeur proéminents ≥16 sur l'échelle de notation des jeunes Mania (YMR) et / ou l'échelle de notation de Hamilton pour la version de la dépression 21 éléments (HAM-D-21). Les sujets avaient 19 à 66 ans (moyenne de 39,5 ans) et 53,5% étaient des hommes. Les scores moyens à l'inscription ouverte du total de PANSS étaient de 85,8 (plage de 42 à 128) HAM-D-21 était de 20,4 (plage de 3 à 43), les YMR étaient de 18,6 (plage de 0 à 50) et CGI-SCA était de 4,4 (plage 2 à 6).
Après la dose ouverte de 13 semaines à dose ouverte, le traitement Invega SUSENNA® 432 sujets répondait aux critères de stabilisation (score total PANSS ≤ 70 YMR ≤12 et HAM-D-21 ≤12) et s'est poursuivi dans la période de stabilisation à dose fixe ouverte de 12 semaines.
Au total, 334 sujets qui répondaient aux critères de stabilisation pendant 12 semaines consécutives ont été randomisés (1: 1) pour poursuivre la même dose d'Invega Sustenna® ou au placebo dans la période d'entretien en double aveugle de 15 mois. Pour les 164 sujets qui ont été randomisés pour la distribution de la dose d'Invega Sustrenna® était de 78 mg (NULL,9%) 117 mg (NULL,8%) 156 mg (NULL,0%) et 234 mg (NULL,4%). La principale variable d'efficacité était le temps de rechuter. La rechute a été définie comme la première occurrence d'une ou plusieurs des suivantes: 1) hospitalisation psychiatrique; 2) intervention employée pour éviter l'hospitalisation; 3) Identique suicidaire ou homicide cliniquement significative ou comportement violent; 4) un score ≥6 (si le score était ≤4 à la randomisation) de l'un des éléments de PANSS individuels: illusions désorganisation conceptuelle Désactivité hallucinatoire excitation Sousité / persécution hostilité non coopérative ou mauvais contrôle d'impulsion; 5) sur deux évaluations consécutives dans les 7 jours: augmentation ≥25% (si le score en randomisation était> 45) ou une augmentation ≥10 points (si le score à la randomisation était ≤45) dans le score PANSS total; Un score ≥5 (si le score était ≤3 à la randomisation) de l'un des éléments de PANSS individuels: illusions désorganisation conceptuelle Désorganisation Hallucination Excitation Soupiosité / Persécution Hostilité non coopérative ou mauvais contrôle d'impulsion; Une augmentation de ≥ 2 points (si le score était de 1 [pas malade] à 3 [légèrement malade] à la randomisation) ou une augmentation de ≥1 point (si le score était ≥4 [modérément malade ou pire] à la randomisation) dans le score global CGI-SCA.
Il y avait une différence statistiquement significative dans le temps de rechute entre les groupes de traitement en faveur d'Invega Susthenna®. Une tracé de Kaplan-Meier du temps pour rechuter par groupe de traitement est illustrée à la figure 5.
Figure 5: Diagramme de Kaplan-Meier de la proportion cumulative de sujets atteints de rechute au fil du temps (étude SAFF 1)
|
Le tableau 16 résume le nombre de sujets atteints de rechute dans la population globale par sous-groupe (monothérapie vs thérapie complémentaire) et par type de symptôme à la première occurrence de rechute.
Tableau 16: Résumé des taux de rechute (étude SAFF 1)
| Nombre (pour cent) des sujets qui ont rechuté | ||
| Placebo N = 170 | Invega Sustrenna® N = 164 | |
| Tous les sujets | 57 (NULL,5%) | 25 (NULL,2%) |
| Sous-ensemble de monothérapie | N = 73 | N = 78 |
| 24 (NULL,9%) | 9 (NULL,5%) | |
| Complément aux antidépresseurs ou | N = 97 | N = 86 |
| Sous-ensemble de stabilisateur d'humeur | 33 (NULL,0%) | 16 (NULL,6%) |
| Symptômes psychotiques a | 53 (NULL,2%) | 21 (NULL,8%) |
| Symptômes d'humeur b | ||
| Tout symptôme d'humeur | 48 (NULL,2%) | 18 (NULL,0%) |
| Maniaque | 16 (NULL,4%) | 5 (NULL,0%) |
| Dépressif | 23 (NULL,5%) | 8 (NULL,9%) |
| Mixte | 9 (NULL,3%) | 5 (NULL,0%) |
| a 8 sujets ont connu une rechute sans symptômes psychotiques. b 16 sujets ont connu une rechute sans aucun symptôme d'humeur. |
Informations sur les patients pour Invega Sustrenna
Invega Sustrenna®
(In-Vay-Guh Suss-Ten-Uh)
(Paliperidone Palmitate) Suspension injectable à libération prolongée
Quelles sont les informations les plus importantes que je devrais connaître sur Invega Susthenna®?
Invega Sustrenna® can cause serious side effects including:
- Un risque accru de décès chez les personnes âgées confondues a une perte de mémoire et a perdu le contact avec la réalité (psychose liée à la démence). Invega Sustrenna® is not for treating psychose liée à la démence.
Qu'est-ce qu'Invega Sustenna®?
Invega Sustrenna® is a prescription medicine given by injection by a healthcare professional et used to treat:
- schizophrénie chez les adultes
- Trouble schizo-affectif chez les adultes seuls ou avec d'autres médicaments tels que les stabilisateurs d'humeur ou les antidépresseurs
On ne sait pas si Invega Sustrenna® est sûre et efficace chez les enfants de moins de 18 ans.
Qui ne devrait pas recevoir Invega Sustrenna®?
Ne recevez pas Invega Sustenna® si vous:
Quel est le sildénafil 100 mg utilisé pour
- sont allergiques à la palipéridone palipéridone palmitate risperidone ou à l'un des ingrédients d'Invega Susthenna®. Voir la fin de ce dépliant d'information du patient pour une liste complète des ingrédients d'Invega Sustrenna®.
Que dois-je dire à mon fournisseur de soins de santé avant de recevoir Invega Sustenna®?
Avant de recevoir Invega Sustenna®, informez votre fournisseur de soins de santé de toutes vos conditions médicales, y compris si vous:
- ont subi un syndrome malin neuroleptique (NMS)
- ont ou ont eu des problèmes cardiaques, y compris un crise cardiaque insuffisance cardiaque rythme cardiaque anormal ou syndrome de QT long
- ont ou ont eu de faibles niveaux de potassium ou de magnésium dans votre sang
- ont ou ont eu des mouvements incontrôlés de la bouche ou de la mâchoire de votre langue (dyskinésie tardive)
- ont ou ont eu des problèmes de rein ou de foie
- avoir le diabète ou avoir des antécédents familiaux de diabète
- ont eu un faible nombre de globules blancs
- ont eu des problèmes de vertiges ou évanouissement ou sont traités pour une pression artérielle élevée
- ont ou ont eu des convulsions ou de l'épilepsie
- avoir d'autres conditions médicales
- sont enceintes ou prévoient de devenir enceintes. On ne sait pas si Invega Sustrenna® nuira à votre bébé à naître.
- Si vous tombez enceinte en prenant Invega Sustrenna®, parlez-en à votre fournisseur de soins de santé de l'inscription auprès du National Pregnancy Registry pour les antipsychotiques atypiques. Vous pouvez vous inscrire en appelant le 1-866-961-2388 ou visiter https://womensmentalhealth.org/clinical-andsearch- programmes / grossenceRegistry /.
- Les nourrissons nés de femmes traités avec Invega Sustenna® peuvent éprouver des symptômes tels que les tremblements irritabilité de la somnolence excessive contractent des spasmes musculaires diminués de la difficulté à respirer ou un mouvement anormal des bras et des jambes. Faites savoir à votre fournisseur de soins de santé si ces symptômes se produisent.
- allaitent ou prévoient d'allaiter. Invega Sustenna® peut passer dans votre lait maternel. Parlez à votre fournisseur de soins de santé de la meilleure façon de nourrir votre bébé si vous recevez Invega Sustenna®.
Parlez à votre fournisseur de soins de santé de tous les médicaments que vous prenez, y compris les vitamines et les suppléments à base de plantes sur ordonnance et sur-les pour comptoirs.
Connaissez les médicaments que vous prenez. Gardez une liste d'entre eux à montrer à votre fournisseur de soins de santé ou à votre pharmacien lorsque vous obtenez un nouveau médicament.
Comment vais-je recevoir Invega Sustrenna®?
- Suivez votre calendrier de traitement Invega SUSENNA® exactement comme votre fournisseur de soins de santé vous le dit.
- Votre fournisseur de soins de santé vous dira quelle quantité d'Invega Sustrenna® vous recevrez et lorsque vous le recevrez.
- Invega Sustrenna® is given as an injection by your healthcare provider into the muscle (intramuscularly) of your arm or your buttocks.
- Lorsque vous recevez votre première dose d'Invega Susthenna®, vous devrez obtenir une deuxième dose 1 semaine plus tard. Après cela, vous n'aurez qu'à obtenir une dose 1 fois par mois.
Que dois-je éviter en recevant Invega SUSTENNA®?
- Invega Sustrenna® may affect your ability to make decisions think clearly or react quickly. Do not drive operate heavy machinery or do other dangerous activities until you know how Invega Sustrenna® affects you.
- Évitez de se faire surchauffer ou de déshydrater.
Quels sont les effets secondaires possibles d'Invega Sustrenna®?
Invega Sustrenna® may cause serious side effects including:
- Voir Quelles sont les informations les plus importantes que je devrais connaître sur Invega Susthenna®
- Un AVC chez les personnes âgées (problèmes cérébrovasculaires) qui peuvent entraîner la mort
- Syndrome malin neuroleptique (NMS). Le NMS est un problème rare mais très grave qui peut se produire chez les personnes qui reçoivent Invega Sustrenna®. Les NM peuvent provoquer la mort et doivent être traités dans un hôpital. Appelez votre professionnel de la santé immédiatement si vous devenez gravement malade et que vous avez l'un de ces symptômes:
- haut fièvre
- raideur musculaire sévère
- confusion
- perte de conscience
- Changements dans votre rythme cardiaque respiratoire et votre tension artérielle
- problèmes avec votre rythme cardiaque. Ces problèmes cardiaques peuvent entraîner la mort. Appelez votre fournisseur de soins de santé immédiatement si vous présentez l'un de ces symptômes:
- s'évanouir ou avoir l'impression de s'évanouir
- vertiges
- se sentir comme si votre cœur batte ou manque des battements
- Mouvements incontrôlés de la bouche ou de la mâchoire de votre langue (dyskinésie tardive)
- changements métaboliques. Les changements métaboliques peuvent inclure haut blood sugar (hyperglycémie) diabète sucré et changes in the fat levels in your blood (dyslipidemia) et prise de poids.
- Basse pression artérielle et évanouissement
- changements dans votre nombre de cellules sanguines
- haut level of prolactin in your blood (hyperprolactinemia). Invega Sustrenna® may cause a rise in the blood levels of a hormone called prolactin (hyperprolactinemia) that may cause side effects including missed menstrual periods leakage of milk from the breasts development of breasts in men or problems with erection.
- problèmes de réflexion clairement et de déplacer votre corps
- crises
- difficulté à avaler that can cause food or liquid to get into your lungs
- Une érection prolongée ou douloureuse dure plus de 4 heures. Appelez votre fournisseur de soins de santé ou allez immédiatement aux urgences les plus proches si vous avez une érection qui dure plus de 4 heures.
- Problèmes de contrôle de la température corporelle, en particulier lorsque vous exercez beaucoup ou passez du temps à faire des choses qui vous réchauffent. Il est important pour vous de boire de l'eau pour éviter la déshydratation.
Les effets secondaires les plus courants d'Invega Sustrenna® comprennent: Le site d'injection réagit la somnolence ou la somnolence vertigineuse en ressentant l'agitation ou à avoir besoin de déplacer constamment des mouvements musculaires anormaux, notamment des tremblements (tremblants) mélangeant des mouvements involontaires incontrôlés et des mouvements anormaux de vos yeux.
Dites à votre fournisseur de soins de santé si vous avez un effet secondaire qui vous dérange ou ne disparaît pas.
Ce ne sont pas tous les effets secondaires possibles d'Invega Susthenna®. Pour plus d'informations, demandez à votre fournisseur de soins de santé ou à votre pharmacien.
Appelez votre médecin pour des conseils médicaux sur les effets secondaires. Vous pouvez signaler les effets secondaires à la FDA au 1-800-FDA-1088.
Informations générales sur l'utilisation sûre et efficace d'Invega Susthenna®.
Les médicaments sont parfois prescrits à des fins autres que celles énumérées dans une brochure d'information du patient. N'utilisez pas Invega Sustenna® pour une condition pour laquelle il n'a pas été prescrit. Ne donnez pas d'Invega Sustrenna® à d'autres personnes même s'ils présentent les mêmes symptômes que vous. Cela peut leur faire du mal. Vous pouvez demander à votre pharmacien ou fournisseur de soins de santé pour des informations sur Invega Sustenna® qui sont écrites pour les professionnels de la santé.
Ce dépliant d'information du patient résume les informations les plus importantes sur Invega Sustenna®. Si vous souhaitez plus d'informations, parlez avec votre fournisseur de soins de santé.
Vous pouvez demander à votre fournisseur de soins de santé ou à votre pharmacien pour plus d'informations écrites pour les professionnels de la santé. Pour plus d'informations, rendez-vous sur www.invegasustenna.com ou appelez le 1-800-526-7736.
Quels sont les ingrédients d'Invega Sustrenna®?
Ingrédient actif: palmitate de palipéridone
Ingrédients inactifs: polysorbate 20 polyéthylène glycol 4000 monohydrate d'acide citrique monohydrate de sodium dihydrogène phosphate monohydrate hydroxyde de sodium et eau pour injection