Les Informations Présentées Sur Ce Site Ne Constituent Pas Un Avis Médical. Nous Ne Vendons Rien. L'Exactitude De La Traduction N'Est Pas Garantie. Clause De Non-Responsabilité
Médicaments
Suspension orale de nystatine
Résumé
Qu'est-ce que Nystatin?
La nystatine (nystatine oral) est un médicament antifongique utilisé pour traiter les infections à levures de la bouche (grive). Nystatin est disponible en générique formulaire.
Quels sont les effets secondaires de la nystatine?
Les effets secondaires courants de la nystatine comprennent
- irritation de la bouche
- diarrhée
- nausée
- vomissement
- maux d'estomac
- éruption cutanée
- urticaire
- irritation de la peau
- réaction allergique
- ralentissement de la fréquence cardiaque
- bronchospasme
- gonflement du visage et
- douleur musculaire.
Dosage pour la nystatine
La dose de nystatine pour les enfants et les adultes est de 4 à 6 ml quatre fois par jour (une demi-dose de chaque côté de la bouche). La préparation doit être conservée dans la bouche aussi longtemps que possible avant de dégluler. La dose du nourrisson est de 2 ml quatre fois par jour (chez les nourrissons et les jeunes enfants utilisent des compte-gouttes pour placer la moitié de la dose de chaque côté de l'embouchure et éviter de se nourrir pendant 5 à 10 minutes).
Quelles substances ou suppléments de médicaments interagissent avec la nystatine?
La nystatine n'est pas absorbée par le corps, donc les interactions médicamenteuses ne sont pas attendues. Dites à votre médecin tous les médicaments et suppléments en vente libre ou en vente libre que vous utilisez.
Nystatine pendant la grossesse et l'allaitement
La nystatine ne doit être utilisée que lorsqu'elle est prescrite pendant la grossesse. On ne sait pas si ce médicament passe dans le lait maternel. Consultez votre médecin avant l'allaitement.
Informations Complémentaires
Notre centre de médicaments à effets secondaires de la nystatine (nystatin oral) offre une vue complète des informations sur les médicaments disponibles sur les effets secondaires potentiels lors de la prise de ce médicament.
Informations sur les médicaments de la FDA
- Description de la drogue
- Indications
- Effets secondaires
- Avertissements
- Surdosage
- Pharmacologie clinique
- Guide des médicaments
Description de la suspension orale nystatine
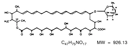
La nystatine est un antibiotique en polyène antimycotique obtenu de Streptomyces noursei. Formule structurelle:
|
La suspension orale de la nystatine est une suspension aromatisée à la mentry pour l'administration orale. Il contient 100 000 unités de nystatine USP par ml. Ingrédients inactifs: alcool (≤ 1% v / v) carboxyméthylcellulose sodium saveur glycérine méthylparaben propylparabène purifié de l'eau saccharine sodium sodium citrate et saccharose (50% p / v). Peut également contenir de l'acide citrique pour un réglage du pH.
Utilisations pour la suspension orale nystatine
La suspension orale de la nystatine est indiquée pour le traitement de la candidose dans la cavité orale.
Dosage pour la nystatine Oral Suspension
Nourrissons: 2 ml (200000 unités) quatre fois par jour (chez les nourrissons et les jeunes enfants utilisent des compte-gouttes pour placer la moitié de la dose de chaque côté de l'embouchure et éviter de se nourrir pendant 5 à 10 minutes). Remarque: Des études cliniques limitées chez les nourrissons prématurés et à faible poids à la naissance indiquent que 1 ml quatre fois par jour est efficace.
Enfants et adultes: 4–6 ml (400000 à 600000 unités) quatre fois par jour (demi de dose de chaque côté de l'embouchure). La préparation doit être conservée dans la bouche aussi longtemps que possible avant de dégluler.
Qu'est-ce que les médicaments Norvasc utilisés pour
Continuer le traitement pendant au moins 48 heures après la disparition des symptômes périoraux et les cultures démontrent l'éradication de Candida albicans .
Comment fourni
Suspension orale de nystatine USP 100000 USP Nystatine Units par ml est disponible sous forme de suspension à l'emploi à l'emploi à l'emploi léger et à la mentry à la mentry dans des bouteilles de 60 ml avec des compte-gouttes calibrés et des bouteilles de 473 ml.
Stockage
Conserver à 20 ° -25 ° C (68 ° -77 ° F) avec des excursions autorisées entre 15 ° -30 ° C (59 ° -86 ° F) [voir Température ambiante contrôlée par l'USP ]] Évitez le gel.
Fabriqué pour: Qualitest Pharmaceuticals Huntsville AL 35811. Révisé: avril 2015
Effets secondaires pour la suspension orale de la nystatine
La nystatine est bien tolérée même avec une thérapie prolongée. Une irritation orale et une sensibilisation ont été signalées (voir PRÉCAUTIONS : Général ).
Gastro-intestinal
Diarrhée (y compris un cas de diarrhée sanglante) nausées vomissements gastro-intestinaux / perturbations.
Dermatologique
L'éruption, y compris l'urticaire, a été signalée rarement. Le syndrome de Stevens-Johnson a été signalé très rarement.
Autre
Tachycardie bronchospasme, gonflement facial et myalgie non spécifique ont également été signalés.
Interactions médicamenteuses pour la suspension buccale de la nystatine
Aucune information fournie.
Avertissements pour la suspension orale de la nystatine
Aucune information fournie.
Précautions pour la suspension buccale de la nystatine
Général
Ce médicament ne doit pas être utilisé pour le traitement des mycoses systémiques.
Arrêtez le traitement si une sensibilisation ou une irritation est signalée pendant l'utilisation.
Carcinogenèse Mutagenèse A trouble de la fertilité
Aucune étude animale à long terme n'a été réalisée pour évaluer le potentiel cancérigène. Il n'y a également eu aucune étude pour déterminer la mutagénicité ou si ce médicament affecte la fertilité chez les hommes ou les femmes.
Grossesse
Effets tératogènes - catégorie C
Des études de reproduction animale n'ont pas été menées avec la suspension orale de la nystatine. On ne sait pas non plus si la suspension orale de la nystatine peut causer un préjudice fœtal lorsqu'il est administré à une femme enceinte ou peut affecter la capacité de reproduction. La suspension orale de la nystatine ne doit être donnée à une femme enceinte uniquement si elle est clairement nécessaire.
Mères qui allaitent
On ne sait pas si la nystatine est excrétée dans le lait maternel. Parce que de nombreux médicaments sont excrétés dans la prudence du lait maternel doivent être exercés lorsque la nystatine est administrée à une femme allaitée.
Usage pédiatrique
Voir Posologie et administration .
Informations sur la surdose pour la suspension orale de la nystatine
Les doses orales de nystatine plus de cinq millions d'unités par jour ont causé des nausées et des bouleversements gastro-intestinaux.
Il n'y a eu aucun rapport d'effets ou de surinfections toxiques graves (voir Pharmacologie clinique : Pharmacocinétique ).
Contre-indications pour la suspension orale de nystatine
La préparation est contre-indiquée chez les patients ayant des antécédents d'hypersensibilité à l'un de ses composants.
Pharmacologie clinique for Nystatin Oral Suspension
Pharmacocinétique
Gastro-intestinal absorption of nystatin is insignificant. Most orally administered nystatin is passed unchanged in the stool. In patients with renal insufficiency receiving oral therapy with conventional dosage forms significant plasma concentrations of nystatin may occasionally occur.
Microbiologie
La nystatine est à la fois fongistatique et fongicide in vitro Contre une grande variété de levures et de champignons en forme de levure. Candida albicans ne montre aucune résistance significative à la nystatine in vitro sur une sous-culture répétée dans des niveaux croissants de nystatine; autre Candidose Les espèces deviennent assez résistantes. Généralement la résistance ne se développe pas en vain . La nystatine agit en se liant à des stérols dans la membrane cellulaire de sensible Candidose Espèces ayant un changement de perméabilité de la membrane qui en résulte permettant une fuite de composants intracellulaires. La nystatine ne présente aucune activité appréciable contre les protozoaires de bactéries ou les virus.
Informations sur les patients pour la suspension orale de la nystatine
Aucune information fournie. Please refer to the PRÉCAUTIONS section.