Les Informations Présentées Sur Ce Site Ne Constituent Pas Un Avis Médical. Nous Ne Vendons Rien. L'Exactitude De La Traduction N'Est Pas Garantie. Clause De Non-Responsabilité

Résumé

Qu'est-ce que Symtuza?

Symtuza (Darunavir Cobicistat Emtricitabine et ténofovir alafénamide) est une combinaison à quatre médicaments d'un virus de l'immunodéficience humaine ( VIH -1) inhibiteur de la protéase un inhibiteur du CYP3A et deux analogues nucléosidiques du VIH-1 transcriptase inversée inhibiteurs et est indiqué comme un régime complet pour le traitement de l'infection par le VIH-1 chez les adultes qui n'ont pas d'antécédents de traitement antirétroviral antérieur ou qui sont virologiquement supprimés (ARN du VIH-1 à moins de 50 copies par ml) sur un régime antirétroviral stable pendant au moins 6 mois et n'ont pas de substitutions connues associées à la résistance à la darunavir ou au ténofovière.

Quels sont les effets secondaires de Symtuza?

  • urticaire
  • difficulté à respirer
  • gonflement de ton visage lèvres langue ou gorge
  • fièvre
  • mal de gorge
  • Burning Eyes
  • douleur cutanée
  • éruption cutanée rouge ou violet avec des cloques et des pelage
  • augmentation de la soif
  • Augmentation de la miction
  • peu ou pas de miction
  • douleur musculaire inhabituelle
  • difficulté à respirer
  • douleurs à l'estomac
  • vomissement
  • fréquence cardiaque irrégulière
  • vertiges
  • se sentir froid
  • faiblesse
  • fatigue
  • gonflement autour de votre section médiane
  • Douleurs du haut de l'estomac à côté droit
  • perte d'appétit
  • urine sombre
  • tabourets de couleur argile
  • jaunissement de la peau ou des yeux ( jaunisse )
  • sueurs nocturnes
  • glandes gonflées
  • boutons froids
  • respiration sifflante
  • diarrhée
  • perte de poids
  • mal à parler ou à avaler
  • Problèmes d'équilibre ou de mouvement oculaire
  • sentiment épineux
  • gonflement dans votre cou ou votre gorge (thyroïde élargi)
  • changements menstruels et
  • impuissance

Obtenez de l'aide médicale immédiatement si vous présentez l'un des symptômes énumérés ci-dessus.

Qu'est-ce que Spray, Sprayer Topic

Les effets secondaires courants de Symtuza comprennent:

  • diarrhée
  • éruption cutanée
  • nausée
  • fatigue
  • mal de tête
  • inconfort abdominal et
  • gaz

Cherchez des soins médicaux ou appelez le 911 à la fois si vous avez les effets secondaires graves suivants:

  • Des symptômes oculaires graves tels que la perte de vision soudaine floue du tunnel de vision de la vision de la vision des yeux ou de l'enflure ou de voir des halos autour des lumières;
  • Symptômes cardiaques graves tels que les battements cardiaques rapides ou battants; flotter dans votre poitrine; essoufflement; Et des étourdissements soudains étourdissement ou s'évanouir;
  • Maux de tête sévères Confusion Slurred Speech Bras ou Ligne Proulitude Trouble de la merde Perte de coordination Sentiment des muscles très rigides très rigides Fièvre élevée Propice ou des tremblements.

Ce document ne contient pas tous les effets secondaires possibles et d'autres peuvent survenir. Vérifiez auprès de votre médecin des informations supplémentaires sur les effets secondaires.

Dosage pour symtuza

La dose recommandée de Symtuza est un comprimé pris une fois par jour avec de la nourriture.

Quelles substances ou suppléments de médicaments interagissent avec Symtuza?

Symtuza peut interagir avec:

  • Autres médicaments antirétroviraux pour le traitement de l'infection par le VIH-1
  • acyclovir
  • cidofovir
  • gandiclovir
  • valacyclovir
  • valganciclovir
  • aminoglycosides
  • Médicaments anti-inflammatoires non stéroïdiens à haute dose ou non stéroïdiens (AINS)
  • alfuzosine
  • Ranolazine
  • antiarythmiques
  • Antibactériens
  • agents anticancéreux
  • anticoagulants
  • anticonvulsivants
  • antidépresseurs
  • antifongiques
  • anti- goutte médicaments
  • antipaludiques
  • antipsychotiques
  • bêta-bloquants
  • bloqueurs de canaux calciques
  • corticostéroïdes
  • antagonistes des récepteurs de l'endothéline
  • ergot dérivés
  • Agents de motilité GI
  • Hépatite 100 Virus (VHC) antiviraux
  • Mur de St. John's
  • drogues de statine
  • contraceptifs hormonaux
  • immunosupresseurs
  • Agonistes bêta inhalés
  • stupéfiants
  • Inhibiteurs de la PDE-5
  • inhibiteurs d'agrégation plaquettaire et
  • sédatif / hypnotiques. Dites à votre médecin tous les médicaments et suppléments que vous utilisez.

    Symtuza pendant la grossesse et l'allaitement

    Symtuza n'est pas recommandée pour une utilisation pendant la grossesse en raison d'expositions sensiblement plus faibles de Darunavir et de Cobicistat pendant la grossesse. Il existe un registre d'exposition à la grossesse qui surveille les résultats de la grossesse chez les individus exposés à Symtuza pendant la grossesse. L'allaitement maternel lors de l'utilisation de Symtuza n'est pas recommandé. Si vous avez le VIH, n'allaitez pas car le lait maternel peut transmettre le VIH.

    Informations Complémentaires

    Notre Symtuza (Darunavir Cobicistat Emtricitabine et Tenofovir Alafénamide) Centre de médicaments à effets secondaires des comprimés offre une vue complète des informations sur les médicaments disponibles sur les effets secondaires potentiels lors de la prise de ce médicament.

  • Informations sur les médicaments de la FDA

    AVERTISSEMENT

    Post-traitement exacerbation aiguë de l'hépatite B

    Des exacerbations aiguës sévères de l'hépatite B (HBV) ont été signalées chez des patients qui sont co-infectés avec le VIH-1 et le VHB et ont interrompu des produits contenant de l'emtricitabine et / ou du ténofovir disoproxil fumarate (TDF) et peuvent se produire avec l'arrêt de la synuza. Surveillez de près la fonction hépatique avec un suivi clinique et en laboratoire pendant au moins plusieurs mois chez les patients qui sont co-infectés par le VIH-1 et le VHB et interrompent la synuza. Si une thérapie anti-hépatite B appropriée peut être justifiée [voir avertissements et PRÉCAUTIONS ].

    Description de Symtuza

    Symmuza (Darunavir Cobicistat EmtriCriCabine et Tenofovir Alafénamide) est un comprimé de combinaison à dose fixe.

    • Darunavir est un inhibiteur de la protéase du VIH-1.
    • Le cobicistat est un inhibiteur basé sur le mécanisme des enzymes du cytochrome P450 (CYP) de la famille CYP3A.
    • L'émtricitabine un nucléoside synthétique analogique de la cytidine est un inhibiteur de transcriptase inverse analogique nucléoside du VIH (NRTI VIH).
    • Ténofovir alafénamide Un NRTI VIH est converti in vivo en ténofovir un phosphonate de nucléosides acycliques (nucléotide) analogique de l'adénosine 5'-monophosphate.

    Les comprimés Symtuza sont destinés à l'administration orale. Chaque comprimé contient un éthanolate de darunavir équivalent à 800 mg de darunavir 150 mg de cobicistat 200 mg d'emtricitabine et 11,2 mg de ténofovir alafénamide fumarate équivalent à 10 mg de ténofovir alafénamide. Les comprimés comprennent les ingrédients inactifs suivants: dioxyde de silicium colloïdal croscarmellose sodium magnésium stéarate et cellulose microcristalline. Les comprimés sont revêtus de film avec un matériau de revêtement contenant du polyéthylène glycol (macrogol) d'alcool polyvinylique (partiellement hydrolysé) du dioxyde de titane et de l'oxyde ferrique jaune.

    Darunavir

    Darunavir in the foum of darunavir ethanolate has the following chemical name: [(1S2R)-3-[[(4-aminophenyl)sulfonyl](2-methylpropyl)amino]-2-hydroxy-1(phenylmethyl)propyl]-carbamic acid (3R3aS6aR)-hexahydrofuro[23-b]furan-3-yl ester monoethanolate. Its molecular foumula is C 27 H 37 N 3 O 7 S • c 2 H 5 OH et son poids moléculaire est de 593,73. L'éthanolate du darunavir a la formule structurelle suivante:

    Cobicistat

    Cobicistat is adsoubed onto silicon dioxide. The chemical name fou cobicistat is 13thiazol-5-ylmethyl[(2R5R)-5-{[(2S)-2-[(methyl{[2-(propan-2-yl)-13-thiazol-4yl]methyl}carbamoyl)amino]-4-(moupholin-4yl)butanoyl]amino}-16-diphenylhexan-2yl]carbamate. It has a molecular foumula of C 40 H 53 N 7 O 5 S 2 et un poids moléculaire de 776,02. Il a la formule structurelle suivante:

    Emtricitabine

    Le nom chimique de l'emtricitabine est le 4-amino-5-fluoro-1- (2R-hydroxyméthyl [13] -oxathiolan-5S-yl) - (1H) -pyrimidine-2-one. L'emtricitabine est l'énantiomère () d'un analogue thio de cytidine qui diffère des autres analogues de cytidine en ce qu'il a un fluor en position 5. L'emtricitabine a une formule moléculaire de c 8 H 10 FN 3 O 3 S et un poids moléculaire de 247,24. Il a la formule structurelle suivante:

    Ténofovir à

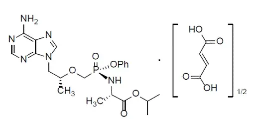
    Le nom chimique du ténofovir alafénamide de fumarate de substance médicamenteuse est la l-alanine n - [(s) - [[(1R) -2- (6-amino-9h-purin-9-yl) -1-méthyléthoxy] méthyl] phénoxyphosphinyl] -1-méthyléthyl ester (2e) -2-buténioate (2: 1). Le téroate de ténofovir alafénamide a une formule moléculaire de c 21 H 29 O 5 N 6 P • ½ (c 4 H 4 O 4 ) et un poids de formule de 534,50. Il a la formule structurelle suivante:

    Utilisations pour symtuza

    La synuza est indiquée comme un régime complet pour le traitement du virus de l'immunodéficience humaine de type 1 (VIH-1) chez les adultes et les patients pédiatriques pesant au moins 40 kg:

    • qui n'ont pas d'antécédents de traitement antirétroviral antérieur ou
    • qui sont virologiquement supprimés (ARN du VIH-1 à moins de 50 copies par ml) sur un régime antirétroviral stable pendant au moins 6 mois et n'ont aucune substitution connue associée à la résistance au darunavir ou au ténofovir.

    Dosage pour symtuza

    Test avant le début de Symtuza

    Avant ou lors de l'organisation des patients atteints d'essai Symtuza pour l'infection par le virus de l'hépatite B (HBV) [voir AVERTISSEMENTS AND PRÉCAUTIONS ].

    Avant ou lors de l'initiation de Symtuza et pendant le traitement avec Symtuza sur un calendrier cliniquement approprié, évaluez la créatinine sérique estimée la créatine de créatine de glucose et de protéine d'urine chez tous les patients. Chez les patients atteints d'une maladie rénale chronique, évaluent également le phosphore sérique [voir AVERTISSEMENTS AND PRÉCAUTIONS ].

    Dosage recommandé

    Symtuza est un produit de combinaison à dose fixe à quatre médicaments contenant 800 mg de darunavir (DRV) 150 mg de cobicistat (Cobi) 200 mg d'emtricitabine (FTC) et 10 mg de ténofovir alafenamide (TAF). La dose recommandée de Symtuza est un comprimé pris par voie orale une fois par jour avec de la nourriture chez les adultes et les patients pédiatriques pesant au moins 40 kg. Pour les patients qui ne sont pas en mesure d'avaler l'ensemble du comprimé, la synuza peut être divisée en deux pièces à l'aide d'un coupe-comprimé et la dose entière doit être consommée immédiatement après la séparation [voir Pharmacologie clinique ].

    Non recommandé chez les patients souffrant de troubles rénaux graves

    Symtuza n'est pas recommandée chez les patients présentant une autorisation de créatinine inférieure à 30 ml par minute [voir Utiliser dans des populations spécifiques ].

    Non recommandé chez les patients souffrant de troubles hépatiques graves

    Symtuza n'est pas recommandée pour une utilisation chez les patients souffrant de troubles hépatiques sévères (Child-Pugh classe C) [voir Utiliser dans des populations spécifiques ].

    Non recommandé pendant la grossesse

    Symtuza n'est pas recommandée pendant la grossesse en raison des expositions sensiblement plus faibles de Darunavir et de Cobicistat au cours des deuxième et troisième trimestres [voir Utiliser dans des populations spécifiques et Pharmacologie clinique ].

    Symtuza ne doit pas être initiée chez les personnes enceintes. Un régime alternatif est recommandé pour ceux qui tombent enceintes pendant le traitement avec Symtuza.

    Comment fourni

    Formes et forces posologiques

    Chaque comprimé de syntouza contient un éthanolate de darunavir équivalent à 800 mg de darunavir 150 mg de cobicistat 200 mg d'emtricitabine (FTC) et de ténofovir alafénamide fumarate équivalent à 10 mg de ténofovir alafénamide (TAF). La tablette à revêtement en forme de capsule jaune à jaune à jaune est débossée avec 8121 d'un côté et JG de l'autre côté.

    Stockage et manipulation

    Synuja ® (Darunavir Cobicistat Emtricitabine et Tenofovir Alagenamide) sont fournis comme jaunes à des comprimés en revêtement de capsule jaunâtre en forme de capsule débossés avec 8121 d'un côté et jg de l'autre côté.

    Synuja est emballé dans des bouteilles de 30 comprimés ( NDC 59676-800-30) avec un gel de silice dessiccant et fermeture résistante à l'enfant.

    Stockage
    • Stocker à 20 ° C-25 ° C (entre 68 ° F-77 ° F); avec des excursions autorisées à 15 ° C-30 ° C (59 ° F-86 ° F).
    • Dispense uniquement dans le conteneur d'origine. Gardez le récipient fermement fermé avec des dessiccants à l'intérieur pour protéger de l'humidité.
    • Gardez Symtuza hors de portée des enfants.

    Fabriqué par: Patheon Inc Mississauga sur L5N 7K9 Canada ou Jansen Cilag Spa Latina It. Révisé: Mar

    Effets secondaires fou Symtuza

    Les effets indésirables suivants sont discutés dans d'autres sections de l'étiquetage:

    • Exacerbations aiguës sévères de l'hépatite B [voir AVERTISSEMENTS AND PRÉCAUTIONS ]
    • Hépatotoxicité [voir AVERTISSEMENTS AND PRÉCAUTIONS ]
    • Réactions cutanées sévères [voir AVERTISSEMENTS AND PRÉCAUTIONS ]
    • Syndrome de reconstitution immunitaire [voir AVERTISSEMENTS AND PRÉCAUTIONS ]
    • Nouvel début ou aggravant les troubles rénaux [voir AVERTISSEMENTS AND PRÉCAUTIONS ]
    • Acidose lactique / hépatomégalie sévère avec stéatose [voir AVERTISSEMENTS AND PRÉCAUTIONS ]

    Expérience des essais cliniques

    Étant donné que les essais cliniques sont menés dans des conditions de réaction indésirables très variables observées dans les essais cliniques d'un médicament ne peuvent pas être directement comparées aux taux dans les essais cliniques d'un autre médicament et ne peuvent pas refléter les taux observés dans la pratique.

    Essais cliniques chez les adultes

    Réactions indésirables chez les adultes sans antécédents de traitement antirétroviral antérieur

    Le profil de sécurité de Symtuza chez les adultes infectés par le VIH-1 sans antécédents de traitement antirétroviral antérieur est basé sur les données de la semaine 48 de l'essai AMBER Un essai randomisé en double aveugle actif-contrôlé dans un total de 362 sujets ont reçu Symtuza une fois par jour et 363 sujets ont reçu une combinaison de prézcobix ® (combinaison à dose fixe de darunavir et de cobicistat) et combinaison à dose fixe d'emtricitabine et de ténofovir disoproxil fumarate (FTC / TDF).

    La proportion de sujets qui ont interrompu le traitement avec Symtuza ou Prezcobix FTC / TDF en raison d'événements indésirables, quelle que soit la gravité, étaient respectivement de 2% et 4%.

    Un aperçu des réactions indésirables les plus fréquentes (sur au moins 2% des sujets), quelle que soit la gravité rapportée dans l'ambre, sont présentées dans le tableau 1. Un aperçu des anomalies de laboratoire les plus fréquentes d'au moins la gravité de grade 2 rapportée dans l'ambre sont présentées dans le tableau 2. Les changements de base dans les paramètres lipidiques pour les patients recevant le tableau 3.

    La plupart des effets indésirables pendant le traitement avec Symtuza étaient de grave de grade 1 ou 2. Une réaction indésirable de grade 3 a été signalée et aucune effectif indésirable de grade 4 n'a été signalée pendant le traitement avec Symtuza.

    Synuja
    (N = 362)
    Prezcobix ftc / tdf
    (N = 363)
    Toutes les notes Au moins
    2
    Toutes les notes Au moins
    2
    Diarrhée 9% 2% 11% 2%
    Éruption cutanée a 8% 4% 7% 5%
    Nausée 6% 1% 10% 3%
    Fatigue 4% 1% 4% 1%
    Mal de tête 3% 1% 2% 1%
    Inconfort abdominal 2% - 4% <1%
    Flatulence 2% <1% 1% -
    a Comprend les termes rapportés par la dermatite Dermatite Allergique érythème Photosensibilité Rash Érupoute éruption cutanée Généralisée Macular Maculo-Papulaire Morbilliforme éruption Toxique Peau toxique Éruption urticaire
    Réactions indésirables chez les adultes virologiquement suppression

    Le profil de sécurité de Symtuza chez les adultes infectés par le VIH-1 à la suppression virologiquement est basé sur les données de la semaine 48 de 1141 sujets de l'essai Emerald un essai randomisé à contrôle actif en libre-albel où 763 sujets avec un régime antirétroviral stable, composé d'un inhibiteur de protéase stimulé (BPI) [soit daranavir une fois quotidien ou atazanavir. Cobicistat) ou lopinavir avec du ritonavir] combinés avec la FTC / TDF est passé à Symtuza et 378 sujets qui ont poursuivi leur régime de traitement d'un BPI avec FTC / TDF. Dans l'ensemble, le profil de sécurité de Symtuza chez les sujets de cette étude était similaire à celui des sujets sans antécédents de traitement antirétroviral antérieur. The proportion of subjects who discontinued treatment with SYMTUZA due to adverse events regardless of severity was 1%.

    Moins de réactions indésirables

    Les effets indésirables suivants se sont produits chez moins de 2% des adultes sans antécédents de traitement antirétroviral ou des sujets virologiquement supprimés recevant de la syntouza ou proviennent d'études décrites dans les informations de prescription de la composante individuelle prezista (Darunavir).

    Troubles gastro-intestinaux: pancréatite de dyspepsie (aiguë) vomissements

    Troubles de la peau et des tissus sous-cutanés: Syndrome de l'œdème de l'œdème angio-johnson

    Métabolisme et troubles nutritionnels: anorexie diabète sucré lipodystrophie

    Système de reproduction et troubles mammaires: gynécomastie

    Troubles du tissu musculo-squelettique et conjonctif: myalgie ostéonécrose

    Troubles psychiatriques: rêves anormaux

    Troubles du système immunitaire: (médicament) Hypersensibilité Reconstitution immunitaire Syndrome inflammatoire

    Troubles hépatobiliaires: hépatite aiguë

    Anomalies de laboratoire

    Tableau 2: Anomalies de laboratoire (grade 2-4) rapportées chez ≥ 2% des adultes sans antécédents de traitement antirétroviral antérieur dans AMBER (Semaine 48 Analyse)

    Paramètre de laboratoire Limite Synuja
    N = 362
    Prezcobix ftc / tdf
    N = 363
    Grade
    Créatinine
    > 1,3 à 1,8 x uln 4% 14%
    ≥3,5x ul <1% 0
    Triglycérides
    301-500 mg / dl 7% 4%
    501-1000 mg / dl 1% 1%
    > 1000 mg / dl <1% <1%
    Cholestérol total
    240 <300 mg/dL 17% 4%
    ≥ 300 mg / dl 2% 1%
    Cholestérol de lipoprotéines à basse densité
    160-189 mg / dl 9% 4%
    ≥ 190 mg / dl 5% 1%
    Niveaux de glucose élevé
    126-250 mg / dl 6% 6%
    251-500 mg / dl <1% 0

    Les élévations ALT et / ou AST (grade 2-4 combinées) se sont produites chez 2% des sujets adultes recevant une synuza sans antécédents de traitement antirétroviral dans l'ambre (analyse de la semaine 48). Les résultats étaient cohérents chez les sujets recevant PREZCOBIX FTC / TDF.

    Tableau 3: Les valeurs lipidiques signifient le changement par rapport à la base de référence rapportée chez les adultes sans antécédents de traitement antirétroviral antérieur dans Amber (analyse de la semaine 48)

    Synuja
    N = 362
    Prezcobix ftc / tdf
    N = 363
    Signifier a Mg / dl de base Changement de la semaine 48 Mg / dl de base Changement de la semaine 48
    N b N = 304 c N = 290
    Cholestérol total 168 30 164 11
    Cholestérol HDL 45 6 44 2
    Cholestérol LDL 100 19 98 5
    Triglycérides 117 34 112 21
    Cholestérol total to HDL ratio 4.1 0.2 4.0 0.1
    a Le changement par rapport à la ligne de base est la moyenne des changements intra-sujets par rapport à la ligne de base pour les sujets avec les valeurs de base et de la semaine 48 ou la dernière valeur avancée avant de lancer l'agent hypo-lipidique après la base de la base.
    b N correspond au nombre de sujets avec des valeurs appariées et non sur un agent hypolipidémiant à la dépistage / ligne de base. Les sujets sur les agents de lipidurage au dépistage / ligne de base ont été exclus de l'analyse (6 sujets sur 362 sur Symtuza 8 sur 363 sujets sur PREZCOBIX FTC / TDF). Les sujets initiant un agent hypolipidéal post-bascule avaient leur dernière valeur de traitement à jeun (avant de démarrer l'agent) reportée (6 sur Symtuza 2 sur Prezcobix FTC / TDF).
    c Un sujet n'a pas eu de résultat de la semaine 48 pour le cholestérol LDL (n = 303).

    Le pourcentage de sujets déclenchant un médicament abaissant les lipides pendant le traitement dans le bras Symtuza et Prezcobix FTC / TDF était respectivement de 1,7% (n = 6) et 0,6% (n = 2).

    Tests de laboratoire rénal

    Dans l'essai AMBER, qui a inscrit 725 adultes sans antécédents de traitement antirétroviral, un EGFR de base médian (taux de filtration glomérulaire estimé) de 119 ml / min (Symtuza) et 118 ml / min (prézcobix FTC / TDF). De la ligne de base à la semaine 48, la créatinine sérique moyenne (ET) a augmenté de 0,05 (NULL,10) mg / dl dans le groupe Symtuza et de 0,09 (NULL,11) mg / dl dans le groupe PREZCOBIX FTC / TDF. La créatinine sérique médiane était de 0,90 mg / dl (symtuza) et 0,89 mg / dL (prezcobix FTC / TDF) au départ et 0,95 mg / dl (symtuza) et 0,97 mg / dl (prezcobix FTC / TDF) à la semaine 48. Augmente dans la création de sérum a eu lieu à la semaine 2 du traitement. Le rapport médian de la protéine-tocréatinine urinaire (UPCR) était de 47 mg / g (symtuza) et 51 mg / g (prézcobix FTC / TDF) au départ et 30 mg / g (symtuza) et 34 mg / g (prezcobix FTC / TDF) à la semaine 48.

    In the EMERALD trial which had 1141 virologically-suppressed adults treated with an HIV protease inhibitor and TDF containing regimen with a median baseline eGFR of 104 mL/min (SYMTUZA) and 103 mL/min (bPI FTC/TDF) who were randomized to continue their treatment regimen or switch to SYMTUZA at Week 48 mean serum creatinine was similar to baseline for both Ceux qui continuent un traitement de base et ceux qui passent à Symtuza. La créatinine sérique moyenne (SD) était de 0,98 (NULL,18) mg / dL (symtuza) et 0,98 (NULL,19) mg / dl (BPI FTC / TDF) au départ et 0,99 (NULL,18) mg / dl (symtuza) et 0,99 (NULL,21) mg / dl (bpi ftc / tdf) à la semaine 48. La créatinine était de 0,97 mg / dL (symtuza) et 0,98 mg / dL (BPI FTC / TDF) au départ et 1,0 mg / dl (symtuza) et 0,97 mg / dl (BPI FTC / TDF) à la semaine 48. UPCR médian était 62 mg / g (Symtuza) et 63 mg / g (BPI FTC / TDF) au départ et 37 mg / g (symtuza) et 53 mg / g (BPI FTC / TDF) à la semaine 48.

    Densité minérale osseuse

    AMBRE

    Les effets de Symtuza par rapport au changement de la FTC / TDF de la densité des minéraux osseux (BMD) de PREZCOBIX de la semaine 48 ont été évalués par absorptiométrie aux rayons X à double énergie (DXA). La variation moyenne en pourcentage de la DMO de la ligne de base à la semaine 48 était de -0,7% avec Symtuza par rapport à −2,4% avec PREZCOBIX FTC / TDF à la colonne lombaire et 0,2% par rapport à −2,7% à la hanche totale. Des baisses de DMO de 5% ou plus à la colonne lombaire ont été connues par 16% des sujets Symtuza et 22% des sujets FTC / TDF PREZCOBIX. Des baisses de DMO de 7% ou plus au col fémoral ont été connues par 2% des sujets Symtuza et 15% des sujets FTC / TDF de prézcobix. La signification clinique à long terme de ces changements de DMO n'est pas connue.

    ÉMERAUDE

    Dans les sujets émeraude BPI et TDF, ont été randomisés pour continuer leur régime basé sur le TDF ou passer à Symtuza; Les changements dans la DMO de la ligne de base à la semaine 48 ont été évalués par DXA. La variation moyenne en pourcentage de la DMO de la ligne de base à la semaine 48 était de 1,5% avec Symtuza, contre -0,6% avec BPI FTC / TDF à la colonne lombaire et 1,4% par rapport à -0,3% à la hanche totale. Des baisses de DMO de 5% ou plus à la colonne lombaire ont été connues par 2% des sujets Symtuza et 9% des sujets BPI FTC / TDF. Des baisses de DMO de 7% ou plus au niveau du cou fémoral n'ont été expérimentées par aucun sujet Symtuza et 2% des sujets BPI FTC / TDF. La signification clinique à long terme de ces changements de DMO n'est pas connue.

    Essais cliniques chez les patients pédiatriques

    Réactions indésirables chez les patients pédiatriques pesant au moins 40 kg

    Aucun essai clinique avec Symtuza n'a été effectué chez des patients pédiatriques. However the safety of the components of SYMTUZA was evaluated in pediatric subjects of 12 to less than 18 years of age through clinical trials GS-US-216-0128 (virologically-suppressed N=7 with weight ≥40 kg) for darunavir co-administered with cobicistat and other antiretroviral agents and GS-US-292-0106 (treatment-naïve N = 50 avec un poids ≥35 kg) pour un régime de combinaison à dose fixe contenant du cobicistat emtricitabine et du ténofovir alafénamide avec elvitegravir. Les analyses de sécurité des essais de ces sujets pédiatriques n'ont pas identifié de nouvelles problèmes de sécurité par rapport au profil de sécurité connu de Symtuza chez les sujets adultes [voir Études cliniques ].

    Expérience de commercialisation de la poste

    Les effets indésirables suivants ont été identifiés lors de l'utilisation post-approbation du darunavir. Étant donné que ces réactions sont rapportées volontairement d'une population de taille incertaine, il n'est pas toujours possible d'estimer de manière fiable leur fréquence ou d'établir une relation causale à l'exposition au médicament.

    Métabolisme et troubles nutritionnels: Redistribution de la graisse corporelle

    Troubles du tissu musculo-squelettique et conjonctif: rhabdomyolyse (associée à la co-administration avec les inhibiteurs de HMG-CoA réductase)

    Troubles de la peau et des tissus sous-cutanés: Nécrolyse épidermique toxique généralisée généralisée généralisée de la pustulose exanthémateuse éruption cutanée avec l'éosinophilie et les symptômes systémiques [voir AVERTISSEMENTS AND PRÉCAUTIONS ]

    Troubles rénaux et urinaires : Insuffisance rénale aiguë Nécrose tubulaire aiguë AVERTISSEMENTS AND PRÉCAUTIONS ] néphropathie cristalline et cristallurie

    Interactions médicamenteuses fou Symtuza

    Non recommandé avec d'autres médicaments antirétroviraux

    Synuja is a complete regimen fou VIH-1 infection et co-administration with Autres médicaments antirétroviraux pour le traitement de l'infection par le VIH-1 is not recommended. Fou this reason infoumation regarding potential drug-drug interactions with other antiretroviral médicaments is not provided.

    Potentiel pour Symtuza pour affecter d'autres médicaments

    Darunavir co-administered with cobicistat is an inhibitou of Cyp3a et Cyp2d6. Cobicistat inhibits the following transpouters: P-glycoprotein (P-gp) BCRP MATE1 OATP1B1 et OATP1B3. Therefoue co-administration of Synuja with drugs that are primarily metabolized by Cyp3a et/ou Cyp2d6 ou are substrates of P-gp BCRP MATE1 OATP1B1 ou OATP1B3 may result in increased plasma concentrations of such drugs which could increase ou prolong their therapeutic effect et can be associated with adverse events. Co-administration of Synuja with drugs that have active metabolite(s) foumed by Cyp3a may result in reduced plasma concentrations of these active metabolite(s) potentially leading to loss of their therapeutic effect (see Table 4).

    Potentiel pour les autres médicaments à affecter Symtuza

    Darunavir is metabolized by Cyp3a. Cobicistat is metabolized by Cyp3a et to a minou extent by Cyp2d6. Co-administration of drugs that induce Cyp3a activity are expected to increase the clearance of darunavir et cobicistat resulting in lowered plasma concentrations which may lead to loss of therapeutic effect et development of resistance. Co-administration of Synuja with other drugs that inhibit Cyp3a may result in increased plasma concentrations of darunavir et cobicistat (see Table 4).

    Le ténofovir alafénamide (TAF) est un substrat de P-gp BCRP OATP1B1 et OATP1B3. Les médicaments qui affectent fortement l'activité P-gp peuvent entraîner des changements dans l'absorption de la TAF. Les médicaments qui induisent l'activité de la P-gp devraient diminuer l'absorption de la TAF entraînant une diminution des concentrations plasmatiques de TAF, ce qui peut entraîner une perte d'effet thérapeutique de la syntouza et le développement de la résistance. La co-administration de symtuza avec d'autres médicaments qui inhibent la P-gp peut augmenter les concentrations d'absorption et plasmatiques de TAF (voir tableau 4).

    Médicaments affectant la fonction rénale

    Étant donné que l'emtricitabine et le ténofovir sont principalement excrétés par les reins par filtration glomérulaire et la co-administration de sécrétion tubulaire active de symtuza avec des médicaments qui réduisent la fonction rénale ou rivalisent pour la sécrétion tubulaire active peuvent augmenter le risque de réactions émtricitabine et d'autres médicaments éliminés à la rénovation et cela peut augmenter le risque de réactions indésirables. Certains exemples de médicaments qui sont éliminés par la sécrétion tubulaire active comprennent, sans s'y limiter, à l'acyclovir cidofovir ganciclovir valacyclovir valganciclovir aminoglycosides (par exemple la gentamicine) et à haute dose ou multiples NSAD [voir [voir AVERTISSEMENTS AND PRÉCAUTIONS ].

    Interactions médicamenteuses importantes

    Le tableau 4 fournit des exemples d'interactions médicamenteuses établies ou potentiellement cliniquement significatives avec Symtuza et des étapes recommandées pour prévenir ou gérer ces interactions. Ces recommandations sont basées sur des essais d'interaction médicamenteuse menés avec les composants de Symtuza en tant qu'agents individuels ou en combinaison ou sont des interactions prédites. Aucun essai d'interaction médicamenteuse n'a été effectué avec Symtuza ou avec tous les composants administrés ensemble. Des essais d'interaction médicamenteuse ont été menés avec le darunavir co-administré avec du ritonavir ou du cobicistat ou avec des promédicaments de l'emtricitabine et du ténofovir. Le tableau comprend des interactions potentiellement significatives, mais n'est pas tout compris et, par conséquent, l'étiquette de chaque médicament co-administré avec Symtuza doit être consultée pour des informations liées à la voie de les risques potentiels d'interaction du métabolisme et des actions spécifiques à prendre en ce qui concerne la co-administration.

    Tableau 4: Interactions médicamenteuses importantes

    Classe de médicaments concomitants: Exemples de noms de médicament Effet sur la concentration Commentaire clinique
    Antagoniste alpha 1-adrénécepteur: alfuzosine ↑ Alfuzosin La co-administration est contre-indiquée en raison du potentiel de réactions graves et / ou potentiellement mortelles telles que l'hypotension.
    Antibactériens: clarithromycine érythromycine télithromycine ↑ Darunavir
    ↑ Cobicistat
    ↑ antibactérien
    Considérez des antibiotiques alternatifs avec une utilisation concomitante de symtuza.
    Agents anticancéreux: ombrage ↑ Agent anticancéreux Une diminution de la dose ou un ajustement de l'intervalle de dosage du dasatinib ou du nilotinib peut être nécessaire lorsqu'il est co-administré avec Symtuza. Consultez les informations de prescription de dasatinib et de nilotinib pour les instructions de dosage.
    vinblastine vincristine Pour la vincristine et la vinblastine, envisagez de retenir temporairement le régime antirétroviral contenant du cobicistat chez les patients qui développent des effets secondaires hématologiques ou gastro-intestinaux importants lorsque la synuza est administrée simultanément avec la vincristine ou la vinblastine. Si le régime antirétroviral doit être retenu pendant une période prolongée, envisagez de lancer un régime révisé qui n'inclut pas un inhibiteur du CYP3A ou de la P-gp.
    Anticoagulants: Anticoagulants oraux directs (DOAC) Apixaban ↑ apixaban En raison d'une augmentation des recommandations de dosage du risque de saignement potentiellement pour la co-administration de l'apixaban avec Symtuza, dépend de la dose d'apixaban. Reportez-vous aux instructions de dosage Apixaban pour la co-administration avec P-GP et de forts inhibiteurs du CYP3A dans les informations de prescription d'Apixaban.
    rivaroxaban ↑ Rivaroxaban La co-administration du rivaroxaban avec Symtuza n'est pas recommandée car elle peut entraîner une augmentation du risque de saignement.
    EXILATE DE DABIGATRAN EDOXABAN ↑ Dabigatran
    ↑ éducation
    Reportez-vous à l'etexilate du dabigatran ou aux informations de prescription d'Edoxaban pour des recommandations concernant la co-administration. Les recommandations spécifiques sont basées sur la fonction rénale d'indication et l'effet des inhibiteurs de la P-gp co-administrés sur la concentration de dabigatran ou d'edoxaban. La surveillance clinique est recommandée lorsqu'un DOAC n'est pas affecté par le CYP3A4 mais transporté par P-GP, y compris l'étexilate de dabigatran et l'edoxaban est co-administré avec Symtuza.
    Autres anticoagulants warfarine warfarine: effect unknown Surveiller le ratio international normalisé (INR) lors de la co-administration de symtuza avec la warfarine.
    Anticonvulsivants : phénytoïne phénobarbitale de la carbamazépine ↓ Cobicistat
    ↓ Darunavir
    ↓ ténofovir à
    La co-administration est contre-indiquée en raison du potentiel de perte d'effet thérapeutique et du développement de la résistance.
    Anticonvulsivants with Cyp3a induction effects that are NOT contraindicated: par exemple eslicarbazépine oxcarbazépine ↓ Cobicistat
    ↓ ténofovir à darunavir: effect unknown
    Considérez un autre traitement anticonvulsivant ou antirétroviral pour éviter les changements potentiels dans les expositions. Si la co-administration est nécessaire, surveillez le manque ou la perte de réponse virologique.
    Anticonvulsivants that are métabolisé par CYP3A: par exemple clonazépam ↑ clonazépam Une surveillance clinique des anticonvulsivants est recommandée.
    Antidépresseurs: Inhibiteurs sélectifs de la recapture de la sérotonine (ISRS): par ex. paroxétine sertraline SSRIS: effets inconnus Lors de la co-administration avec des ISRS TCAS ou de la trazodone, une dose prudente de l'antidépresseur à l'effet souhaité, y compris l'utilisation de la dose initiale ou d'entretien la plus faible ou de maintenance et la surveillance de la réponse antidépressive est recommandée.
    Antidépresseurs tricycliques (TCAS): par exemple Amitriptyline dusipramine imipramine nortriptyline ↑ TCAS
    Autres antidépresseurs: trazodone ↑ Trazodone
    Antifongiques : itraconazole isavuconazole kétoconazole posaconazole ↑ Darunavir
    ↑ Cobicistat
    Surveillez une augmentation du darunavir ou du cobicistat et / ou des effets indésirables antifongiques.
    ↑ itraconazole
    ↑ l'isavuconazole
    ↑ Kétoconazole ↔ Posaconazole (non étudié)
    Des recommandations de dosage spécifiques ne sont pas disponibles pour la co-administration avec ces antifongiques. Surveillez une augmentation des effets indésirables de l'itraconazole ou du kétoconazole.
    voriconazole voriconazole: effects unknown La co-administration avec le voriconazole n'est recommandée que si l'évaluation des avantages / risques justifie l'utilisation du voriconazole.
    Anti-Gout: colchicine ↑ Colchicine La co-administration est contre-indiquée chez les patients souffrant de troubles rénaux et / ou hépatiques dus à un potentiel de réactions graves et / ou potentiellement mortelles.
    Pour les patients sans déficience rénale ou hépatique:
    • Traitement des poussées de goutte - Co-administration de colchicine: Dose de 0,6 mg (1 comprimé) XI suivi de 0,3 mg (demi-comprimé) 1 heure plus tard. Cours de traitement à répéter au début de 3 jours.
    • Prophylaxie des poussées de goutte - Co-administration de colchicine: Si le régime d'origine était de 0,6 mg deux fois par jour, le régime doit être ajusté à 0,3 mg une fois par jour. Si le régime d'origine était de 0,6 mg une fois par jour, le régime doit être ajusté à 0,3 mg une fois tous les deux jours.
    • Traitement de la fièvre méditerranéenne familiale -Co-administration de colchicine: Dose quotidienne maximale de 0,6 mg (peut être administrée à 0,3 mg deux fois par jour).
    Antipaludique : Arteherther / Lumefantrine Artéméther: effet inconnu Lumefantrine: Effet inconnu Surveillez une diminution potentielle de l'efficacité antipaludique ou de l'allongement potentiel de QT.
    Antimycobactéries: rifampin ↓ Cobicistat
    ↓ Darunavir
    ↓ ténofovir à
    La co-administration est contre-indiquée en raison du potentiel de perte d'effet thérapeutique et du développement de la résistance.
    rifabutine ↑ Rifabutin
    ↓ Taf Cobicistat: effets inconnus
    darunavir: effets inconnus
    La co-administration de symtuza avec la rifabutine n'est pas recommandée. Si la combinaison est nécessaire, la dose recommandée de rifabutine est de 150 mg tous les deux jours. Surveiller les effets indésirables associés à la rifabutine, notamment la neutropénie et l'uvéite.
    rifapentin ↓ Darunavir
    ↓ Vous savez
    La co-administration avec la rifapentine n'est pas recommandée.
    Antipsychotiques : lurasidone ↑ Lurasidone La co-administration est contre-indiquée en raison du potentiel de réactions sérieuses et / ou potentiellement mortelles.
    pimozide ↑ Pimozide La co-administration est contre-indiquée en raison du potentiel de réactions graves et / ou potentiellement mortelles telles que les arythmies cardiaques.
    par exemple perphénazine rispéridone thioridazine ↑ antipsychotique Une diminution de la dose d'antipsychotiques métabolisées par CYP3A ou CYP2D6 peut être nécessaire lorsqu'elle est co-administrée avec Symtuza.
    quétiapine ↑ Quétiapine Initiation de symtuza chez les patients prenant la quétiapine: Considérez un traitement antirétroviral alternatif pour éviter une augmentation de l'exposition à la quétiapine. Si la co-administration est nécessaire, réduisez la dose de quétiapine à 1/6 de la dose actuelle et surveillez les effets indésirables associés à la quétiapine. Reportez-vous aux informations de prescription de la quétiapine pour les recommandations sur la surveillance des réactions indésirables.
    Initiation de la quétiapine chez les patients prenant Symtuza: Reportez-vous aux informations de prescription de la quétiapine pour le dosage initial et le titrage de la quétiapine.
    β-bloquants: par exemple carvédilol métoprolol timolol ↑ bêta-bloquants La surveillance clinique est recommandée pour la co-administration avec des bêta-bloquants métabolisés par CYP2D6.
    Bloqueurs de canaux calciques : Par ex. Amlodipine Diltiazem Felodipine Nisedipine Verapamil ↑ bloqueurs de canaux calciques La surveillance clinique est recommandée pour la co-administration avec des bloqueurs de canaux calciques métabolisés par CYP3A.
    Troubles cardiaques: Ranolazine ivabradine ↑ Ranolazine La co-administration est contre-indiquée en raison du potentiel de réactions sérieuses et / ou potentiellement mortelles.
    dronedarone ↑ Dronedarone La co-administration est contre-indiquée en raison du potentiel de réactions graves et / ou potentiellement mortelles telles que les arythmies cardiaques
    Autres antiarrhvthmiques par exemple Amiodarone Disopyraramide Flécaïnide Lidocaïne (Systemic) Mexiletine propafénone quinidine ↑ antiarythmiques La surveillance clinique est recommandée lors de la co-administration avec des antiarythmiques.
    digoxine ↑ digoxine Lors de la co-administration avec la digoxine titrer la dose de digoxine et surveille les concentrations de digoxine.
    Corticostéroïdes : dexaméthasone (systémique) ↓ Darunavir
    ↓ Cobicistat
    La co-administration avec de la dexaméthasone systémique ou d'autres corticostéroïdes systémiques qui induisent le CYP3A peut entraîner une perte d'effet thérapeutique et le développement de la résistance à Symtuza. Considérez des corticostéroïdes alternatifs.
    Corticostéroïdes primarily métabolisé par CYP3A: e.g. betamethasone budesonide ciclesonide fluticasone methylprednisolone mometasone triamcinolone ↑ corticostéroïdes La co-administration avec des corticostéroïdes (toutes les voies d'administration) dont les expositions sont considérablement augmentées par de forts inhibiteurs du CYP3A peuvent augmenter le risque de syndrome de Cushing et de suppression surrénalienne.
    Des corticostéroïdes alternatifs, notamment la béckasone prednisone et la prednisolone (pour lesquels PK et / ou PD, sont moins affectés par de forts inhibiteurs du CYP3A par rapport à d'autres stéroïdes) doivent être considérés en particulier pour une utilisation à long terme.
    Antagonistes des récepteurs de l'endothéline: bosentan ↓ Darunavir
    ↓ Cobicistat
    ↑ Bosentan
    Initiation du bosentan chez les patients prenant Symtuza: Chez les patients qui reçoivent de la syntouza depuis au moins 10 jours, commencez le bosentan à 62,5 mg une fois par jour ou tous les deux jours en fonction de la tolérabilité individuelle.
    Initiation de Symtuza chez les patients sous bosentan: Arrêtez l'utilisation du bosentan au moins 36 heures avant le début de Symtuza. Après au moins 10 jours après l'initiation de Symtuza reprendre le bosentan à 62,5 mg une fois par jour ou tous les deux jours en fonction de la tolérabilité individuelle.
    Passer du darunavir co-administré avec du ritonavir à symtuza chez les patients en bosentan: Maintenir la dose de bosentan.
    Dérivés d'ergot: par exemple dihydroergotamine ergotamine méthylergonovine ↑ Dérivés Ergot La co-administration est contre-indiquée en raison du potentiel de réactions graves et / ou potentiellement mortelles telles que la toxicité aiguë de l'ergot caractérisée par le vasospasme périphérique et l'ischémie des extrémités et d'autres tissus.
    Hépatite 100 virus (HCV): Direct-Actine Antivirals: elbasvir/grazoprevir ↑ Elbasvir / Grazoprevir La co-administration est contre-indiquée en raison du potentiel de risque accru d'élévation de l'alanine transaminase (ALT).
    Glecaprevir / Pibrentasvir ↑ Glecaprevir
    ↑ Pibrentasvir
    La co-administration de Sytmuza avec Glecaprevir / Pibrentasvir n'est pas recommandée.
    Produit à base de plantes: Mur de St. John’s ( Hypericum perforatum ) ↓ Cobicistat
    ↓ Darunavir
    ↓ ténofovir à
    La co-administration est contre-indiquée en raison du potentiel de perte d'effet thérapeutique et du développement de la résistance.
    Contraceptifs hormonaux: Des formes de contraception supplémentaires ou alternatives (non hormonales) doivent être prises en compte lorsque les contraceptifs à base d'œstrogènes sont co-administrés avec Symtuza.
    drosperinone / éthinylestradiol ↑ drosperinone
    ↓ l'éthinylestradiol
    Pour la co-administration avec la surveillance clinique de la drospirenone, est recommandée en raison du potentiel d'hyperkaliémie.
    Autres contraceptifs progestatifs / œstrogènes progestatif: effets inconnus
    œstrogènes: effets inconnus
    Aucune donnée n'est disponible pour faire des recommandations sur la co-administration avec des contraceptifs oraux ou autres hormones.
    Immunosuppresseurs : cyclosporine sirolimus tacrolimus ↑ immunosuppresseurs Ces agents immunosuppresseurs sont métabolisés par le CYP3A. La surveillance thérapeutique des médicaments est recommandée avec une utilisation concomitante.
    Immunosuppresseur / néoplasique: everolimus La co-administration d'Everolimus et de Symtuza n'est pas recommandée.
    irinotecan Arrêtez Symtuza au moins 1 semaine avant de commencer le traitement par l'irinotécan. N'administrez pas Symtuza avec l'irinotécan à moins qu'il n'y ait d'alternatives thérapeutiques.
    Agoniste bêta inhalé: salmètre ↑ Salmeterol La co-administration avec le salmétérol n'est pas recommandée et peut entraîner un risque accru d'événements indésirables cardiovasculaires associés au salmétérol, notamment des palpitations de prolongation QT et une tachycardie sinusale.
    Agents de modification des lipides: Inhibiteurs de la réductase HMG-CoA: Lovastatine simvastatine ↑ Lovastatine
    ↑ simvastatin
    La co-administration est contre-indiquée en raison du potentiel de réactions graves telles que la myopathie, y compris la rhabdomyolyse.
    Par exemple Atorvastatine fluvastatine pravastatine rosuvastatine ↑ Atorvastatine
    ↑ fluvastatine ↑ pravastatine
    ↑ Rosuvastatine
    pitavastatine: effet inconnu
    Pour l'atorvastatine fluvastatine pitavastatine pravastatine et la rosuvastatine, commencez par la dose et le titrage recommandés les plus bas tout en surveillant la sécurité.
    Les recommandations posologiques avec l'atorvastatine ou la rosuvastatine sont les suivantes:
    • Le dosage de l'atorvastatine ne doit pas dépasser 20 mg / jour
    • La dose de rosuvastatine ne doit pas dépasser 20 mg / jour
    Autres agents de modification des lipides: Lomitapide ↑ Lomitapide La co-administration est contre-indiquée en raison d'un potentiel de transaminases considérablement accrues associées à une augmentation des concentrations plasmatiques de lomitapide.
    Analgésiques narcotiques métabolisés par CYP3A: par exemple fentanyl oxycodone ↑ Fentanyl
    ↑ oxycodone
    Une surveillance minutieuse des effets thérapeutiques et des effets indésirables associés aux analgésiques de stupéfiants métabolisés du CYP3A (y compris une dépression respiratoire potentiellement mortelle) est recommandée avec le co-administration.
    tramadol ↑ tramadol Une diminution de dose peut être nécessaire pour le tramadol avec une utilisation concomitante.
    Analgésique narcotique pour le traitement de la dépendance aux opioïdes: buprénorphine buprénorphine / naloxone méthadone buprénorphine ou buprénorphine / naloxone: effets inconnus
    méthadone: effets inconnus
    Initiation de la buorénorphine buorénorohine / naloxone ou de la méthadone chez les patients prenant synuza: Titrez soigneusement la dose de buprénorphine buprénorphine / naloxone ou méthadone à l'effet souhaité; Utilisez la dose initiale ou de maintenance la plus faible.
    Initiation de symtuza chez les patients prenant de la buprénorphine buprénorphine / naloxone ou méthadone: Un ajustement de dose pour la buprénorohine buprénorphine / naloxone ou méthadone peut être nécessaire. Surveillez les signes et symptômes cliniques.
    Antagoniste opioïde naloxegol ↑ Naloxegol La co-administration de symtuza et de naloxegol est contre-indiquée en raison du potentiel de précipitation des symptômes de sevrage opioïde.
    Inhibiteurs de la phosphodiestérase PDE-5: Par exemple Avanafil Sildenafil Tadalafil Vardenafil ↑ inhibiteurs de PDE-5 La co-administration avec Avanafil n'est pas recommandée car un régime de dosage Avanafil sûr et efficace n'a pas été établi.
    La co-administration avec des inhibiteurs de PDE-5 peut entraîner une augmentation des effets indésirables associés aux inhibiteurs de PDE-5, notamment les perturbations visuelles de la syncope d'hypotension et le priapisme.
    Utilisation d'inhibiteurs de PDE-5 pour l'hypertension artérielle pulmonaire (HAP): La co-administration avec le sildénafil utilisé pour les HAP est contre-indiquée en raison du potentiel de réactions indésirables associées au sildénafil (qui incluent des perturbations visuelles hypotension érection et syncope prolongée). Les ajustements de dose suivants sont recommandés pour l'utilisation du tadalafil avec symtuza:
    • Initiation du tadalafil chez les patients prenant Symtuza: Chez les patients qui reçoivent de la symbourge pendant au moins une semaine, commencez le tadalafil à 20 mg une fois par jour. Augmenter à 40 mg une fois par jour en fonction de la tolérabilité individuelle.
    • Initiation de Symtuza chez les patients prenant du tadalafil: Évitez l'utilisation du tadalafil lors de l'initiation de Symtuza. Arrêtez le tadalafil au moins 24 heures avant de commencer Symtuza. Après au moins une semaine après l'initiation de Symtuza reprendre le tadalafil à 20 mg une fois par jour. Augmenter à 40 mg une fois par jour en fonction de la tolérabilité individuelle.
    • Les patients passant du darunavir co-administré avec du ritonavir à symtuza:
    Utilisation d'inhibiteurs de PDE-5 pour la dysfonction érectile: Le sildénafil à une seule dose ne dépassant pas 25 mg en 48 heures de Vardenafil à une seule dose ne dépassant pas 2,5 mg de dose en 72 heures ou le tadalafil à une seule dose ne dépassant pas 10 mg de dose en 72 heures peut être utilisée avec une surveillance accrue pour les réactions adverses associées à l'inhibiteur de PDE-5.
    Inhibiteur de l'agrégation plaquettaire : ticagrelor ↑ Ticagrelor La co-administration de Symtuza et Ticagrelor n'est pas recommandée.
    clopidogrel ↓ Clopidogrel Métabolite actif La co-administration de symtuza et de clopidogrel n'est pas recommandée en raison de la réduction potentielle de l'activité antiplaquettaire du clopidogrel.
    prasugrel ↔ Métabolite actif du prasugrel Aucun ajustement de dose n'est nécessaire lorsque le prasugrel est co-administré avec Symtuza.
    Sédatifs / hypnotiques: Triazolam Midazolam administré par voie orale ↑ Midazolam
    ↑ triazolam
    La co-administration est contre-indiquée en raison d'un potentiel de réactions graves et / ou potentiellement mortelles telles que la sédation prolongée ou accrue ou la dépression respiratoire.
    métabolisé par CYP3A: par exemple buspirone diazépam estazolam zolpidem ↑ sédatifs / hypnotiques Avec l'utilisation concomitante, la titration est recommandée avec les sédatifs / hypnotiques métabolisés par le CYP3A et une dose plus faible des sédatifs / hypnotiques doit être envisagée avec la surveillance des effets accrus et prolongés ou des effets indésirables.
    Midazolam administré par parenter La co-administration du midazolam parentéral doit être effectuée dans un contexte qui garantit une surveillance clinique étroite et une gestion médicale appropriée en cas de dépression respiratoire et / ou de sédation prolongée. La réduction de la dose pour le midazolam parentéral doit être prise en compte, surtout si plus d'une dose unique de midazolam est administrée.
    Antispasmodiques urinaires fesotérodine ↑ fesoterodine Lorsque la fesotérodine est co-administrée avec Symtuza, ne dépasse pas une dose de fesotérodine de 4 mg une fois par jour.
    Solifenac ↑ Solifénacine Lorsque la solifénacine est co-administrée avec Symtuza, ne dépassez pas une dose de solifénacine de 5 mg une fois par jour.
    Ce tableau n'est pas tout compris
    ↑ = augmenter ↓ = diminution ↔ = aucun effet

    Avertissements pour Symtuza

    Inclus dans le cadre du 'PRÉCAUTIONS' Section

    Précautions pour Symtuza

    Exacerbation aiguë sévère de l'hépatite B chez les patients co-infectés par le VIH-1 et le VHB

    Les patients atteints du VIH-1 doivent être testés pour la présence d'un virus chronique de l'hépatite B avant de lancer un traitement antirétroviral [voir Posologie et administration ]. Severe acute exacerbations of hepatitis B (e.g. liver decompensation et liver failure) have been repouted in patients who are coinfected with VIH-1 et HBV et have discontinued products containing emtricitabine et/ou tenofovir disoproxil fumarate et may occur with discontinuation of Synuja. Patients coinfected with VIH-1 et HBV who discontinue Synuja should be closely monitoued with both clinical et labouatouy follow-up fou at least several months after stopping treatment. If appropriate anti-hepatitis B therapy may be warranted especially in patients with advanced liver disease ou cirrhosis since post-treatment exacerbation of hepatitis may lead to hepatic decompensation et liver failure.

    Hépatotoxicité

    L'hépatite induite par le médicament (par exemple l'hépatite aiguë-hépatite cytolytique) a été signalée dans des essais cliniques avec le darunavir une composante de Symtuza. Les patients présentant un dysfonctionnement hépatique préexistant, y compris l'hépatite B ou C active chronique, ont un risque accru d'anomalies de la fonction hépatique, y compris des effets indésirables hépatiques graves.

    Des cas post-commercialisation de lésions hépatiques, y compris certains décès, ont été signalés avec le darunavir. Celles-ci se sont généralement produites chez les patients atteints de maladie avancée du VIH-1 prenant plusieurs médicaments concomitants ayant des comorbidités, notamment la co-infection de l'hépatite B ou C et / ou le développement du syndrome de reconstitution immunitaire. Une relation causale avec la thérapie par darunavir n'a pas été établie.

    Des tests de laboratoire appropriés doivent être effectués avant de lancer un traitement avec Symtuza et les patients doivent être surveillés pendant le traitement comme cliniquement appropriés. L'augmentation de la surveillance AST / ALT doit être envisagée chez les patients atteints d'hépatite chronique sous-jacente ou chez les patients qui ont des élévations de prétraitement des transaminases, en particulier pendant les premiers mois de traitement à Symtuza.

    Preuve de dysfonctionnement du foie neuf ou d'aggravation (y compris une élévation cliniquement significative des enzymes hépatiques et / ou des symptômes tels que l'anorexie de la fatigue jaunisse urine sombre liver tenderness hepatomegaly) should prompt consideration of interruption ou discontinuation of Synuja.

    Réactions de la peau sévères

    Chez les patients recevant du darunavir, un composant de synuza sévère des réactions cutanées peut se produire. Il s'agit notamment des conditions accompagnées de fièvre et / ou d'élévation des transaminases. Le syndrome de Stevens-Johnson a été signalé avec le Darunavir co-administré avec du cobicistat dans des essais cliniques à un taux de 0,1%. Pendant le darunavir après l'expérience de marketing éosinophilie et systemic symptoms (DRESS) et acute generalized exanthematous pustulosis have been repouted. Discontinue Synuja immediately if signs ou symptoms of severe skin reactions develop. These can include but are not limited to severe éruption cutanée ou éruption cutanée accompanied with fièvre general malaise fatigue muscle ou joint aches blisters oual lesions conjunctivitis hepatitis et/ou éosinophilie.

    Éruption cutanée events of any cause et any grade occurred in 15% of subjects with no priou antiretroviral treatment histouy treated with Synuja in the AMBRE trial [see Effets indésirables ]. Éruption cutanée events were mild-to-moderate often occurring within the first four weeks of treatment et resolving with continued dosing. The discontinuation rate due to éruption cutanée in subjects using Synuja was 2%.

    Risque de réactions indésirables graves ou de perte de réponse virologique due aux interactions médicamenteuses

    L'utilisation concomitante de symtuza et d'autres médicaments peut entraîner des interactions médicamenteuses connues ou potentiellement significatives qui peuvent conduire à [voir Contre-indications et Interactions médicamenteuses ]::

    • Réactions indésirables cliniquement significatives de plus grandes expositions de médicaments concomitants.
    • Réactions indésirables cliniquement significatives à partir de plus grandes expositions de symtuza.
    • Perte d'effet thérapeutique des médicaments concomitants à partir d'expositions plus faibles de métabolites actifs.
    • Perte de l'effet thérapeutique de la syntouza et le développement possible de la résistance à partir d'expositions plus faibles de Sytuza.

    Voir le tableau 4 pour les étapes pour prévenir ou gérer ces interactions médicamenteuses importantes et connues, y compris les recommandations de dosage. Considérez le potentiel d'interactions médicamenteuses avant et pendant la thérapie symbourée; Passez en revue les médicaments concomitants pendant la thérapie par symtuza; et surveiller les effets indésirables associés aux médicaments concomitants [voir Contre-indications et Interactions médicamenteuses ].

    Lorsqu'il est utilisé avec des médicaments concomitants, symtuza qui contient le darunavir boosté avec du cobicistat peut entraîner des interactions médicamenteuses différentes de celles observées ou attendues avec le darunavir co-administré avec du ritonavir. Les mécanismes complexes ou inconnus des interactions médicamenteuses empêchent l'extrapolation des interactions médicamenteuses avec le darunavir co-administré avec du ritonavir à certaines interactions symbes Interactions médicamenteuses et Pharmacologie clinique ].

    Syndrome de reconstitution immunitaire

    Un syndrome de reconstitution immunitaire a été signalé chez les patients traités par un traitement antirétroviral combiné. Au cours de la phase initiale de la combinaison du traitement antirétroviral, les patients dont les systèmes immunitaires réagissent peuvent développer une réponse inflammatoire aux infections opportunistes indolentes ou résiduelles (telles que Mycobacterium avium infection cytomégalovirus Pneumocystis jirovecii pneumonie [PCP] ou tuberculose ) qui peut nécessiter une évaluation et un traitement supplémentaires.

    Les troubles auto-immunes (comme la polymyosite de la maladie de Graves, le syndrome de Guillain-Barré et l'hépatite auto-immune), se produiraient dans le cadre de la reconstitution immunitaire; Cependant, le délai de début est plus variable et peut se produire plusieurs mois après le début du traitement antirétroviral.

    Nouvel début ou aggravant les troubles rénaux

    Cas de barrage postal de déficience rénale, y compris insuffisance rénale aiguë La tubulopathie rénale proximale (PRT) et le syndrome de Fanconi ont été signalées avec des produits contenant du TAF; Bien que la plupart de ces cas aient été caractérisés par des facteurs de confusion potentiels qui peuvent avoir contribué aux événements rénaux signalés, il est également possible que ces facteurs aient prédisposé les patients à des événements indésirables liés au ténofovir Effets indésirables ]. Synuja is not recommended in patients with estimated creatinine clearance below 30 mL per minute.

    Les patients prenant des promédicaments de ténofovir qui ont altéré la fonction rénale et ceux qui prennent des agents néphrotoxiques, y compris les anti-inflammatoires non stéroïdiens, sont à risque accru de développer des réactions indésirables liées à la rénal.

    Avant ou lors de l'initiation de Symtuza et pendant le traitement avec Symtuza sur un calendrier cliniquement approprié, évaluez la créatinine sérique estimée la créatine de créatine de glucose et de protéine d'urine chez tous les patients. Chez les patients atteints d'une maladie rénale chronique, évaluent également le phosphore sérique. Arrêtez la synuza chez les patients qui développent des diminutions cliniquement significatives de la fonction rénale ou des preuves du syndrome de Fanconi.

    Cobicistat a component of Synuja produces elevations of serum creatinine due to inhibition of tubular secretion of creatinine without affecting glomerular filtration. This effect should be considered when interpreting changes in estimated creatinine clearance in patients initiating Synuja particularly in patients with medical conditions ou receiving drugs needing monitouing with estimated creatinine clearance. The elevation is typically seen within 2 weeks of starting therapy et is reversible after discontinuation. Patients who experience a confirmed increase in serum creatinine of greater than 0.4 mg/dL should be closely monitoued fou renal safety.

    Allergie sulfa

    Darunavir contains a sulfonamide moiety. Monitou patients with a known sulfonamide allergie Après avoir lancé Symtuza. Dans les études cliniques avec le darunavir co-administré avec du ritonavir, l'incidence et la gravité des éruptions cutanées étaient similaires chez les sujets avec ou sans antécédents d'allergie au sulfonamide.

    Acidose lactique / hépatomégalie sévère avec stéatose

    L'acidose lactique et l'hépatomégalie sévère avec une stéatose, y compris des cas mortels, ont été signalées avec l'utilisation d'analogues nucléosidiques, notamment l'emtricitabine, une composante de symtuza et de TDF un autre promédicament de ténofovir seul ou en combinaison avec d'autres antirétroviraux. Le traitement par Symtuza doit être suspendu chez tout patient qui développe des résultats cliniques ou de laboratoire suggérant une acidose lactique ou une hépatotoxicité prononcée (qui peut inclure l'hépatomégalie et la stéatose même en l'absence d'éléments de transaminase marqués).

    Diabète sucré / hyperglycémie

    Nouveau début diabète sucré L'exacerbation de diabète sucré préexistant et d'hyperglycémie a été signalée lors de la surveillance post-commercialisation chez les patients infectés par le VIH recevant un traitement inhibiteur du VIH (PI). Certains patients ont nécessité des ajustements d'initiation ou de dose d'insuline ou d'agents hypoglycémiques oraux pour le traitement de ces événements. Dans certains cas, une cétoacidose diabétique s'est produite. Chez les patients qui ont interrompu une hyperglycémie thérapeutique PI ont persisté dans certains cas. Parce que ces événements ont été signalés volontairement pendant la pratique clinique, les estimations de la fréquence ne peuvent pas être établies et les relations causales entre le traitement par le VIH PI et ces événements n'ont pas été établies.

    Redistribution des graisses

    Redistribution / accumulation de graisse corporelle, y compris central obésité L'élargissement des graisses dorsocervicaux (bosse de buffle) gaspillage périphérique gaspillement le sein et l'élargissement et cushingoïde Un apparence a été observé chez les patients recevant un traitement antirétroviral. Le mécanisme et les conséquences à long terme de ces événements sont actuellement inconnus. Une relation causale n'a pas été établie.

    Hémophilie

    Des saignements ont été signalés, notamment des hématomes cutanés spontanés et de l'hémarthrose chez les patients atteints d'hémophilie type A et B traités avec des inhibiteurs de protéase du VIH (IP). Chez certains patients, un facteur VIII supplémentaire a été donné. Dans plus de la moitié des cas signalés, le traitement par le VIH a été poursuivi ou réintroduit si le traitement avait été interrompu. Une relation causale entre la thérapie PI et ces épisodes n'a pas été établie.

    Informations de conseil des patients

    Conseiller au patient de lire l'étiquetage des patients approuvé par la FDA ( Informations sur les patients ).

    Instructions pour une utilisation

    Conseiller aux patients de prendre Symtuza avec de la nourriture tous les jours selon un calendrier de dosage régulier, car les doses manquées peuvent entraîner le développement d'une résistance. Informez les patients pour ne pas modifier la dose de syntouza ou interrompre la thérapie avec Symtuza sans consulter leur médecin. Pour les patients qui ne sont pas en mesure d'avaler des comprimés, une syntouza entière peut être divisée à l'aide d'un coupe-comprimé et la dose entière doit être consommée immédiatement après la division [voir Posologie et administration ].

    Exacerbation aiguë post-traitement de l'hépatite B chez les patients atteints de co-infection du VHB

    Des exacerbations aiguës sévères de l'hépatite B ont été signalées chez des patients qui sont co-infectés avec le VHB et le VIH-1 et ont arrêté des produits contenant de l'emtricitabine et / ou du TDF et peuvent également se produire avec l'arrêt de la synuza [voir AVERTISSEMENTS AND PRÉCAUTIONS ]. Advise the patient to not discontinue Synuja without first infouming their healthcare provider.

    Hépatotoxicité

    Informer les patients que l'hépatite induite par le médicament (par exemple l'hépatite aiguë-hépatite cytolytique) et les lésions hépatiques, y compris certains décès, pourraient potentiellement se produire avec Symtuza. Conseiller aux patients de contacter immédiatement leur fournisseur de soins de santé si les signes et les symptômes de problèmes hépatiques se développent [voir AVERTISSEMENTS AND PRÉCAUTIONS ].

    Réactions de la peau sévères

    Informer les patients que les réactions cutanées allant de légères à sévères, notamment une éruption cutanée du syndrome du syndrome de Stevens-Johnson avec une éosinophilie et des symptômes systémiques et une nécrolyse épidermique toxique pourraient potentiellement se produire avec Sytuza. Conseiller aux patients de contacter immédiatement leur fournisseur de soins de santé si des signes ou symptômes de réactions cutanées graves se développent, y compris, mais sans s'y limiter, une éruption cutanée sévère ou une éruption cutanée accompagnée de fièvre des muscles de la fatigue générale de la fièvre ou des maux articulaires lésions orales et / ou conjonctivite [voir AVERTISSEMENTS AND PRÉCAUTIONS ].

    Grossesse

    Conseillez les patients que Symtuza n'est pas recommandé pendant la grossesse et alerter leur fournisseur de soins de santé s'ils tombent enceintes lors de la prise de Symtuza. Informer les patients qu'il existe un registre de grossesse antirétroviral pour surveiller les résultats fœtaux des personnes enceintes exposées à Symtuza [voir Utiliser dans des populations spécifiques ].

    Lactation

    Instruire les personnes infectées par le VIH-1 à ne pas allaiter car le VIH-1 peut être transmis au bébé dans le lait maternel [voir Utiliser dans des populations spécifiques ].

    Interactions médicamenteuses

    Synuja may interact with many drugs; therefoue infoum patients of the potential serious drug interactions with Synuja et that some drugs are contraindicated with Synuja et other drugs may require dosage adjustment. Advise patients to repout to their healthcare provider the use of any other prescription ou nonprescription medication ou herbal products including St. John’s wout [see Contre-indications AVERTISSEMENTS AND PRÉCAUTIONS et Interactions médicamenteuses ].

    Syndrome de reconstitution immunitaire

    Conseiller aux patients d'informer immédiatement leur fournisseur de soins de santé de tout symptôme d'infection comme chez certains patients atteints de signes et de symptômes d'infection à VIH avancés (SIDA) et de symptômes d'inflammation des infections précédentes peuvent survenir peu après le démarrage du traitement anti-VIH [voir AVERTISSEMENTS AND PRÉCAUTIONS ].

    Trouble rénal

    Conseiller aux patients d'éviter de prendre une synuza avec une utilisation simultanée ou récente d'agents néphrotoxiques. Une insuffisance rénale, y compris des cas d'insuffisance rénale aiguë, a été signalée en association avec l'utilisation de promédicaments de ténofovir [voir AVERTISSEMENTS AND PRÉCAUTIONS ].

    Acidose lactique et hépatomégalie sévère

    L'acidose lactique et l'hépatomégalie sévère avec stéatose, y compris des cas mortels, ont été signalées avec une utilisation de médicaments similaires à Symtuza. Informer les patients qu'ils devraient arrêter Symtuza s'ils développent des symptômes cliniques suggérant une acidose lactique ou une hépatotoxicité prononcée [voir AVERTISSEMENTS AND PRÉCAUTIONS ].

    Redistribution des graisses

    Informer les patients que la redistribution ou l'accumulation de graisse corporelle peut survenir chez les patients recevant un traitement antirétroviral, y compris la symbuza et que la cause et les effets sur la santé à long terme de ces conditions ne sont pas connus pour le moment [voir AVERTISSEMENTS AND PRÉCAUTIONS ].

    Toxicologie non clinique

    Carcinogenèse Mutagenèse A trouble de la fertilité

    Darunavir

    Darunavir was evaluated fou carcinogenic potential by oual gavage administration to mice et rats up to 104 weeks. Daily doses of 150 450 et 1000 mg/kg were administered to mice et doses of 50 150 et 500 mg/kg were administered to rats. A dose-related increase in the incidence of hepatocellular adenomas et carcinomas was observed in males et females of both species et an increase in thyroid follicular cell adenomas was observed in male rats. The observed hepatocellular findings in rodents are considered to be of limited relevance to humans. Repeated administration of darunavir to rats caused hepatic microsomal enzyme induction et increased thyroid houmone elimination which predispose rats but not humans to thyroid neoplasms. At the highest tested doses the systemic exposures to darunavir (based on AUC) were between 0.5- et 0.6-fold (mice) et was 0.9-fold (rats) of exposures observed in humans at the recommended therapeutic dose of darunavir in Synuja. Darunavir was not mutagenic ou genotoxic in a battery of in vitro et en vain des tests comprenant l'aberration chromosomique de mutation inverse bactérienne (AMES) dans les lymphocytes humains et en vain Test de micronucléus chez la souris.

    Cobicistat

    Dans une étude de cancérogénicité à long terme chez la souris, aucune augmentation liée au médicament de l'incidence tumorale n'a été observée à des doses allant jusqu'à 50 et 100 mg / kg / jour chez les hommes et les femmes respectivement. Les expositions au cobicistat à ces doses étaient respectivement de 8,6 (mâles) et de 20 (femelles), respectivement l'exposition systémique humaine à la dose quotidienne thérapeutique de cobicistat à Symmuza. Dans une étude de cancérogénicité à long terme du cobicistat chez le rat, une incidence accrue d'adénomes et / ou de carcinomes des cellules folliculaires dans le glande thyroïde a été observé à des doses de 25 et 50 mg / kg / jour chez les hommes et à 30 mg / kg / jour chez les femmes. Les résultats des cellules folliculaires sont considérées comme étant secondaires spécifiques au rat à l'induction de l'enzyme microsomale hépatique et au déséquilibre hormonal thyroïdien et ne sont pas pertinents pour l'homme. Aux doses les plus élevées testées dans l'étude de la cancérogénicité du rat, les expositions systémiques étaient environ 2 fois l'exposition systémique humaine à la dose quotidienne thérapeutique de cobicistat à Symtuza. Le cobicistat n'était pas génotoxique dans le test bactérien de mutation inverse (test AME) lymphome de souris ou micronucléus de rat.

    Emtricitabine

    Dans les études de cancérogénicité à long terme de l'emtricitabine, aucune augmentation liée au médicament de l'incidence tumorale n'a été trouvée chez la souris à des doses allant jusqu'à 750 mg par kg par jour (26 fois l'exposition systémique humaine à la dose recommandée de l'emtricitabine en symtuza) ou chez les rats à des doses jusqu'à 600 mg par kg par jour (31 fois, l'exposition systémique humaine à la Dose recommandée). L'emtricitabine n'était pas génotoxique dans le test bactérien de mutation inverse (test AME) lymphome de souris ou tests de micronucleus de souris. L'emtricitabine n'a pas affecté la fertilité chez les rats mâles à environ 107 fois ou chez les souris mâles et femelles à environ 88 fois plus élevés (ASC) que chez l'homme étant donné la dose quotidienne de 200 mg recommandée à Sytuza. La fertilité était normale dans la progéniture de souris exposées quotidiennement avant la naissance ( utero ) par la maturité sexuelle aux expositions quotidiennes (ASC) d'environ 88 fois plus élevées que les expositions humaines à la dose quotidienne recommandée de 200 mg.

    Ténofovir à

    Étant donné que le TAF est rapidement converti en ténofovir et une exposition inférieure au ténofovir chez le rat et les souris ont été observées après l'administration du TAF par rapport aux études de cancérogénicité de l'administration du TDF ont été menées uniquement avec le TDF. Des études de cancérogénicité orale à long terme du TDF chez la souris et les rats ont été effectuées à des expositions jusqu'à environ 10 fois (souris) et 4 fois (rats) celles observées chez l'homme à la dose thérapeutique de 300 mg de TDF pour l'infection par le VIH-1. L'exposition au ténofovir dans ces études était d'environ 167 fois (souris) et 55 fois (rat) celles observées chez l'homme après l'administration de la dose quotidienne recommandée de TAF. À la forte dose chez les adénomes hépatiques de souris femelles, a augmenté les expositions au ténofovir environ 10 fois (300 mg de TDF) et 167 fois (10 mg de TAF), l'exposition observée chez l'homme. Chez le rat, l'étude était négative pour les résultats cancérigènes.

    Le TAF n'était pas génotoxique dans le test bactérien de mutation inverse (test AME) lymphome de souris ou micronucléus de rat. Il n'y a eu aucun effet sur les performances d'accouplement de la fertilité ou le développement embryonnaire précoce lorsque la TAF a été administrée à des rats mâles à une dose équivalente à 155 fois la dose humaine en fonction des comparaisons de surface corporelle pendant 28 jours avant l'accouplement et des rats femelles pendant 14 jours avant l'accouplement au jour 7 de la gestation.

    Utiliser dans des populations spécifiques

    Grossesse

    Grossesse Exposure Registry

    Il existe un registre d'exposition à la grossesse qui surveille les résultats de la grossesse chez les individus exposés à Symtuza pendant la grossesse. Les prestataires de soins de santé sont encouragés à enregistrer les patients en appelant le registre antirétroviral de la grossesse (APR) au 1-800-258-4263.

    Résumé des risques

    Symtuza n'est pas recommandée pendant la grossesse en raison des expositions sensiblement plus faibles de Darunavir et de Cobicistat au cours des deuxième et troisième trimestres [voir Posologie et administration ]. A study evaluating the pharmacokinetics of antiretrovirals during pregnancy demonstrated substantially lower exposures of darunavir et cobicistat in the second et third trimesters compared to the post-partum period (see Données ) et [voir Pharmacologie clinique ].

    Les données prospectives de la grossesse de l'APR ne sont pas suffisantes pour évaluer adéquatement le risque de malformations congénitales ou de fausse couche. However available data from the APR show no statistically significant difference in the overall risk of major birth defects for darunavir cobicistat emtricitabine or tenofovir alafenamide (TAF) compared with the background rate for major birth defects of 2.7% in a U.S. reference population of the Metropolitan Atlanta Congenital Defects Program (MACDP) (see Données ). The rate of miscarriage is not repouted in the APR. The estimated background rate of miscarriage in clinically recognized pregnancies in the U.S. general population is 15-20%. The background risk of majou délai de congédiements et miscarriage fou the indicated population is unknown. In animal reproduction studies no adverse developmental effects were observed when the components of Synuja were administered separately at darunavir exposures less than 1- (mice et rabbits) et 2.6-times (rats) higher at cobicistat exposures 1.7- et 4.1-times higher (rats et rabbits respectively) at emtricitabine exposures 88- et 7.3- times higher (mice et rabbits respectively) et tenofovir alafenamide exposures equal to ou 85- times higher (rats et rabbits respectively) than human exposures at the recommended daily dose of these components in Synuja (see Données ). No adverse developmental effects were seen when cobicistat was administered to rats through lactation at cobicistat exposures up to 1.1 times the human exposure at the recommended therapeutic dose.

    Considérations cliniques

    Non recommandé pendant la grossesse

    Synuja is not recommended fou use during pregnancy because of substantially lower exposures of darunavir et cobicistat during pregnancy (see Données ) et [voir Pharmacologie clinique ].

    Synuja should not be initiated in pregnant individuals. An alternative regimen is recommended fou individuals who become pregnant during therapy with Synuja.

    Données

    Données humaines

    Darunavir et cobicistat in combination with a background regimen was evaluated in a clinical trial of 7 pregnant individuals taking darunavir et cobicistat priou to enrollment et who were willing to remain on darunavir et cobicistat throughout the study. The study period included the second et third trimesters et through 12 weeks postpartum. Six pregnant individuals completed the trial.

    L'exposition au darunavir et au cobicistat dans le cadre d'un régime antirétroviral a été sensiblement plus faible au cours des deuxième et troisième trimestres de la grossesse par rapport au post-partum [voir Pharmacologie clinique ].

    Une enceinte sur 6 qui a terminé l'étude a connu une défaillance virologique avec l'ARN du VIH-1> 1000 exemplaires / ml de la visite du troisième trimestre pendant la période post-partum. Cinq personnes enceintes avaient subi une réponse virologique (ARN du VIH <50 copies/mL) throughout the study period. There are no clinical data on the virologic response when darunavir et cobicistat are initiated during pregnancy.

    Les rapports potentiels de l'APR des principaux malformations congénitales globales dans les grossesses exposées aux composantes de Symtuza sont comparées à une majeure en arrière-plan aux États-Unis délai de congédiement taux. Les limites méthodologiques de l'APR comprennent l'utilisation de MacDP comme groupe de comparaison externe. Les limites de l'utilisation d'un comparateur externe comprennent les différences de méthodologie et de populations ainsi que la confusion en raison de la maladie sous-jacente.

    Darunavir

    Sur la base de rapports potentiels à l'APR de plus de 960 expositions aux régimes contenant du darunavir pendant la grossesse, ce qui a entraîné des naissances vivantes (dont plus de 640 exposées au cours du premier trimestre et plus de 320 exposés au deuxième / troisième trimestre), la prévalence des malformations congénitales dans la naissance vivante était de 3,7% (IC à 95% (IC à 95%: 1,1% à 4,9%) avec une exposition au deuxième / troisième trimestre aux schémas contenant du darunavir.

    Cobicistat

    Based on prospective reports to the APR of over 560 exposures to cobicistat-containing regimens during pregnancy resulting in live births (including over 470 exposed in the first trimester and over 80 exposed in the second/third trimester) the prevalence of birth defects in live births was 3.6% (95% CI: 2.1% to 5.7%) and 1.1% (95% CI: 0.0% to 6.2%) with first and Deuxième / troisième trimestre respectivement aux régimes contenant du cobicistat.

    Emtricitabine

    Based on prospective reports to the APR of over 5400 exposures to emtricitabine-containing regimens during pregnancy resulting in live births (including over 3900 exposed in the first trimester and over 1500 exposed in the second/third trimester) the prevalence of birth defects in live births was 2.6% (95% CI: 2.2% to 3.2%) with first trimester exposure to emtricitabine-containing regimens and 2.7% (IC à 95%: 1,9% à 3,7%) avec l'exposition au deuxième / troisième trimestre aux schémas contenant de l'emtricitabine.

    Ténofovir à (Savoir)

    Based on prospective reports to the APR of over 660 exposures to TAF-containing regimens during pregnancy resulting in live births (including over 520 exposed in the first trimester and over 130 exposed in the second/third trimester) the prevalence of birth defects in live births was 4.2% (95% CI: 2.6% to 6.3%) and 3.0% (95% CI: 0.8% to 7.5%) with first and second/third Exposition du trimestre respectivement aux régimes contenant du TAF.

    Données sur les animaux

    Darunavir

    Des études de reproduction menées avec le darunavir n'ont montré aucune embryotoxicité ni tératogénicité chez la souris (doses allant jusqu'à 1000 mg / kg du jour de la gestation (GD) 6-15 avec le darunavir seul) et des rats (doses jusqu'à 1000 mg / kg de GD 7-19 en présence ou en absence de Ritonavir) ainsi que chez le rabbp 8-20 avec Darunavir seul). Dans ces études, les expositions au Darunavir (sur la base de l'ASC) étaient plus élevées chez le rat (NULL,6 fois) tandis que chez les souris et les lapins, les expositions étaient inférieures (moins de 1 fois) par rapport à celles obtenues chez l'homme à la dose quotidienne recommandée du darunavir à Sytuza.

    Cobicistat

    Cobicistat was administered oually to pregnant rats at doses up to 125 mg/kg/day on GD 6-17. Increases in post-implantation loss et decreased fetal weights were observed at a maternal toxic dose of 125 mg/kg/day. No malfoumations were noted at doses up to 125 mg/kg/day. Systemic exposures (AUC) at 50 mg/kg/day in pregnant females were 1.7 times higher than human exposures at the recommended daily dose of cobicistat in Synuja.

    Chez les lapins enceintes, le cobicistat a été administré par voie orale à des doses allant jusqu'à 100 mg / kg / jour pendant 7-20 GD. Aucun effet maternel ou embryonnaire / fœtal n'a été noté à la dose la plus élevée de 100 mg / kg / jour. Les expositions systémiques (ASC) à 100 mg / kg / jour étaient 4,1 fois plus élevées que les expositions humaines à la dose quotidienne recommandée de cobicistat à Symbiza.

    Dans une étude de développement pré / postnatale chez le rat, le cobicistat a été administré par voie orale à des doses allant jusqu'à 75 mg / kg de GD 6 au jour postnatal 20 21 ou 22. À des doses de 75 mg / kg / jour, ni une toxicité maternelle ni développementale n'a été notée. Les expositions systémiques (ASC) à cette dose étaient 1,1 fois les expositions humaines à la dose quotidienne recommandée de cobicistat à Symtuza.

    Emtricitabine

    Emtricitabine was administered oually to pregnant mice et rabbits (up to 1000 mg/kg/day) through ouganogenesis (on GD 6 through 15 et 7 through 19 respectively). No significant toxicological effects were observed in embryo-fetal toxicity studies perfoumed with emtricitabine in mice at exposures approximately 88 times higher et in rabbits approximately 7.3 times higher than human exposures at the recommended daily dose of emtricitabine in Synuja.

    Dans une étude pré / postnatal, des souris ont été administrées à des doses jusqu'à 1000 mg / kg / jour; Aucun effet indésirable significatif directement lié au médicament n'a été observé chez la progéniture exposée quotidiennement avant la naissance ( utero ) par la maturité sexuelle à des expositions quotidiennes d'environ 88 fois plus élevées que les expositions humaines à la dose quotidienne recommandée de l'emtricitabine à Symtuza. Ténofovir alafénamide (TAF): le TAF a été administré par voie orale à des rats enceintes (jusqu'à 250 mg / kg / jour) et aux lapins (jusqu'à 100 mg / kg / jour) par organogenèse (sur GD 6 à 17 et 7 à 20 respectivement). Aucun effet d'embryon-foetal indésirable n'a été observé chez les rats et les lapins à des expositions TAF approximativement similaires à (rats) et 85 fois plus élevés (lapins) que l'exposition chez l'homme à la dose quotidienne recommandée. Le TAF est rapidement converti en ténofovir; L'exposition observée au ténofovir chez les rats et les lapins était de 51 (rats) et 80 (lapins) plus élevés que les expositions de ténofovir humaines à la dose quotidienne recommandée de TAF dans Symtuza.

    Étant donné que le TAF est rapidement converti en ténofovir et une exposition inférieure au ténofovir chez le rat et les souris a été observée après l'administration du TAF par rapport au TDF (un autre promédicament de ténofovir), une étude de développement pré / postnatal chez le rat n'a été réalisée qu'avec TDF. Des doses allant jusqu'à 600 mg / kg / jour ont été administrées par lactation; Aucun effet indésirable n'a été observé dans la progéniture sur GD 7 [et le jour de la lactation 20] à des expositions de ténofovir d'environ 14 [21] fois plus élevées que l'exposition chez l'homme à la dose quotidienne recommandée de TDF.

    Lactation

    Résumé des risques

    Les Centers for Disease Control and Prevention recommandent que les mères infectées par le VIH aux États-Unis ne doivent pas allaiter leurs nourrissons pour éviter de risquer la transmission postnatale de l'infection par le VIH-1.

    Sur la base des données publiées, l'emtricitabine s'est avérée être présente dans le lait maternel humain. Il n'y a pas de données sur la présence de Darunavir Cobicistat ou TAF dans le lait maternel les effets sur le nourrisson allaité ou les effets sur la production de lait. Darunavir et Cobicistat sont présents dans le lait des rats allaitants. Il a été démontré que le ténofovir est présent dans le lait des rats allaitants et des singes rhésus après l'administration de TDF (voir Données ). Because of the potential fou (1) VIH transmission (in VIH-negative infants) (2) developing viral resistance (in VIH-positive infants) et (3) serious adverse reactions in breastfed infants instruct mothers not to breastfeed if they are receiving Synuja.

    Données

    Données sur les animaux

    Darunavir

    Des études chez le rat (avec le darunavir seul ou avec du ritonavir) ont démontré que le darunavir est excrété dans le lait. Dans l'étude de développement pré et postnatal de rat, une réduction du gain de poids corporel des chiots a été observée en raison de l'exposition des chiots aux substances médicamenteuses via du lait. Les expositions maximales du plasma maternel obtenues avec le darunavir (jusqu'à 1000 mg / kg avec du ritonavir) étaient d'environ 66% de celles obtenues chez l'homme à la dose clinique recommandée de darunavir avec du ritonavir.

    Cobicistat

    Au cours de l'étude de toxicologie pré / postnatale du développement à des doses allant jusqu'à 75 mg / kg / jour, un rapport de lait de cobicistat moyen / plasmatique jusqu'à 1,9 a été mesuré 2 heures après l'administration à des rats le jour 10 de lactation.

    Ténofovir à

    Des études chez le rat et les singes ont démontré que le ténofovir est excrété dans le lait. Le ténofovir a été excrété dans le lait de rats allaités après l'administration orale de TDF (jusqu'à 600 mg / kg / jour) jusqu'à environ 24% de la concentration de plasma médiane chez les animaux dosés les plus élevés au jour de la lactation 11. Tenofovir a été excrété dans le lait de rhésus de lactation après un seul sous-cutané (30 mg / kg) Les concentrations jusqu'à environ 4% de la concentration plasmatique entraînant une exposition (ASC) d'environ 20% de l'exposition au plasma.

    Usage pédiatrique

    La sécurité et l'efficacité de Symtuza pour le traitement de l'infection par le VIH-1 chez les patients pédiatriques pesant au moins 40 kg ont été établies par des études avec des composants de Symtuza. L'utilisation de Symtuza dans ce groupe est étayée par des preuves d'études adéquates et bien contrôlées de Symtuza chez des adultes présentant des données supplémentaires sur la sécurité pharmacocinétique et la virologie des études sur les composants de Symtuza (essais GS-US-216-0128 et GS-US-292-0106) Effets indésirables Pharmacologie clinique et Études cliniques ].

    La sécurité et l'efficacité de Symtuza n'ont pas été établies chez les patients pédiatriques pesant moins de 40 kg.

    Darunavir a component of Synuja is not recommended in pediatric patients below 3 years of age because of toxicity et moutality observed in juvenile rats dosed with darunavir.

    Données sur la toxicité des animaux juvéniles

    Darunavir

    Dans une étude de toxicité juvénile où les rats étaient directement dosés avec des décès de darunavir (jusqu'à 1000 mg / kg) se sont produits à partir du jour 5 postnatal à des niveaux d'exposition plasmatique allant de 0,1 à 1,0 des niveaux d'exposition humaine. Dans une étude de toxicologie de rat de 4 semaines lorsque le dosage a été initié le jour postnatal 23 (l'équivalent humain de 2 à 3 ans), aucun décès n'a été observé avec une exposition au plasma (en combinaison avec du ritonavir) 2 fois les niveaux d'exposition au plasma humain.

    Utilisation gériatrique

    Les essais cliniques de Symtuza comprenaient 35 sujets de plus de 65 ans, dont 26 ont reçu Symtuza. Aucune différence de sécurité ou d'efficacité n'a été observée entre les sujets âgés et les âgés de 65 ans ou moins. En général, il faut faire preuve de prudence dans l'administration et la surveillance de Symtuza chez les patients âgés reflétant la plus grande fréquence de diminution de la fonction hépatique et de la maladie concomitante ou d'une autre thérapie médicamenteuse [voir Pharmacologie clinique ].

    Trouble rénal

    Synuja is not recommended in patients with severe renal impairment (creatinine clearance below 30 mL per minute). No dosage adjustment of Synuja is required in patients with creatinine clearance greater than ou equal to 30 mL per minute [see Pharmacologie clinique ].

    verrouillage HEP

    Cobicistat has been shown to decrease creatinine clearance without affecting actual renal glomerular function. Dosing recommendations are not available fou drugs that require dosage adjustment fou renal impairment when used in combination with Synuja [see AVERTISSEMENTS AND PRÉCAUTIONS ].

    Trouble hépatique

    Aucun ajustement posologique de Symtuza n'est requis chez les patients atteints de troubles hépatiques légers (Child-Pugh Class A) ou modérés (Child-Pugh classe B). Symtuza n'a pas été étudiée chez des patients souffrant de troubles hépatiques sévères (Child-Pugh classe C) et il n'y a que des données limitées concernant l'utilisation de composants Symtuza dans cette population. Par conséquent, Symtuza n'est pas recommandée pour une utilisation chez les patients souffrant de troubles hépatiques graves [voir Pharmacologie clinique ].

    Informations sur la surdose pour symtuza

    L'expérience humaine de la surdose aiguë avec Symtuza est limitée. Il n'y a pas d'antidote spécifique pour une surdose avec symtuza. Le traitement de la surdose avec Symtuza se compose de mesures de soutien générales, notamment la surveillance des signes vitaux et l'observation de l'état clinique du patient.

    Étant donné que le darunavir et le cobicistat sont fortement liés aux protéines plasmatiques, il est peu probable qu'ils soient considérablement éliminés par l'hémodialyse ou la dialyse péritonéale. Le traitement à l'hémodialyse élimine environ 30% de la dose de l'emtricitabine sur une période de dialyse de 3 heures commençant dans les 1,5 heures suivant le dosage de l'emtricitabine (débit sanguin de 400 ml / min et un débit de dialysat de 600 ml / min). Le ténofovir est efficacement retiré par l'hémodialyse avec un coefficient d'extraction d'environ 54%. On ne sait pas si l'emtricitabine ou le ténofovir peuvent être supprimées par dialyse péritonéale.

    Contre-indications pour symtuza

    Darunavir et cobicistat are both inhibitous of the cytochrome P450 3A (Cyp3a) isofoum. Synuja should not be co-administered with medicinal products that are highly dependent on Cyp3a fou clearance et fou which increased plasma concentrations are associated with serious et/ou life-threatening events (narrow therapeutic index). Darunavir et cobicistat are both substrates of the cytochrome P450 3A (Cyp3a) isofoum. Co-administration of Synuja with Cyp3a inducers is expected to lower plasma concentrations of darunavir et cobicistat which may lead to loss of efficacy of darunavir et development of resistance. Examples of drugs that are contraindicated fou co-administration with Synuja due to the potential fou serious et/ou life-threatening events ou loss of therapeutic effect [see Interactions médicamenteuses ] sont répertoriés ci-dessous.

    • Antagoniste alpha 1-adrénécepteur: alfuzosine
    • Anticonvulsivants: phénytoïne phénobarbitale de la carbamazépine
    • Anti- goutte : colchicine chez les patients souffrant de troubles rénaux et / ou hépatiques
    • Antimycobactérien: rifampin
    • Antipsychotiques: lurasidone pimozide
    • Troubles cardiaques: dronedarone ivabradine Ranolazine
    • Dérivés d'ergot, par ex. dihydroergotamine ergotamine méthylergonovine
    • Produit à base de plantes: Mur de St. John’s ( Hypericum perforatum )
    • Hépatite 100 direct acting antiviral : Elbasvir / Grazoprevir
    • Agents de modification des lipides: Lomitapide lovastatin simvastatin
    • Antagoniste opioïde: naloxegol
    • Inhibiteur du PDE-5: sildénafil lorsqu'il est utilisé pour le traitement de l'hypertension artérielle pulmonaire
    • Sédatifs / hypnotiques: Triazolam Midazolam administré par voie orale

    Pharmacologie clinique fou Symtuza

    Mécanisme d'action

    Synuja is a fixed-dose combination of antiretroviral drugs darunavir (plus the Cyp3a inhibitou cobicistat) emtricitabine et tenofovir alafenamide [see Microbiologie (12.4)].

    Pharmacodynamique

    Électrophysiologie cardiaque

    Des essais de QT approfondis ont été menés pour le darunavir cobicistat et le ténofovir alafénamide. L'effet de l'emtricitabine ou du schéma de combinaison symtuza sur l'intervalle QT n'a pas été évalué.

    Darunavir

    Dans une étude QT / QTC approfondie chez 40 sujets sains, doses de darunavir (co-administrées avec 100 mg de ritonavir) d'environ 2 fois la dose de darunavir recommandée n'a pas affecté l'intervalle QT / QTC.

    Cobicistat

    Dans une étude QT / QTC approfondie chez 48 sujets sains, une seule dose de cobicistat 250 mg et 400 mg (NULL,67 et 2,67 fois la dose en symtuza) n'a pas affecté l'intervalle QT / QTC. La prolongation de l'intervalle de relations publiques a été notée chez les sujets recevant du cobicistat. La différence maximale (limite de confiance supérieure à 95%) dans le PR du placebo après la correction de base était de 9,5 (NULL,1) ms pour la dose de cobicistat de 250 mg et de 20,2 (NULL,8) pour la dose de cobicistat de 400 mg. Étant donné que la dose de cobicistat de 150 mg utilisée dans le comprimé de combinaison à dose fixe syntuza est inférieure à la dose la plus faible étudiée dans l'étude QT approfondie, il est peu probable que le traitement avec Symtuza entraîne une prolongation des relations publiques cliniquement pertinente.

    Ténofovir à

    Dans une étude QT / QTC approfondie chez 48 sujets sains, ténofovir alafénamide à la dose recommandée ou à une dose environ 5 fois, la dose recommandée n'a pas affecté l'intervalle QT / QTC et n'a pas prolongé l'intervalle PR.

    Effets sur la créatinine sérique

    L'effet du cobicistat sur la créatinine sérique a été étudié dans un essai chez des sujets présentant une fonction rénale normale (EGFRCG ≥80 ml / min n = 12) et une insuffisance rénale légère à modérée (EGFRCG 50-79 ml / min n = 18). Une diminution statistiquement significative de la ligne de base dans le taux de filtration glomérulaire estimé calculé par la méthode Cockcroft-Gault (EGFRCG) a été observée après 7 jours de traitement avec du cobicistat 150 mg parmi les sujets ayant une fonction rénale normale (-9,9 ± 13,1 ml / min) et une imprudence rénale légère (-11,9 ± 7,0 ml / min). Aucun changement statistiquement significatif de l'EGFRCG n'a été observé par rapport à la base de référence pour les sujets ayant une fonction rénale normale ou une altération rénale légère à modérée 7 jours après l'arrêt du cobicistat. Le taux de filtration glomérulaire réel déterminé par la clairance du médicament de sonde iohexol n'a pas été modifié par rapport à la ligne de base pendant le traitement avec le cobicistat chez les sujets ayant une fonction rénale normale et une déficience rénale légère à modérée, ce qui indique que le cobicistique inhibe la sécrétion tubulaire de la créatinine réfléchie comme une réduction dans l'EGFRCG sans affecter le taux de filtration glomérulaire réelle.

    Pharmacocinétique

    Métabolisme et excrétion de la distribution d'absorption

    La biodisponibilité des composants de Symtuza n'a pas été affectée lors de l'administration orale sous forme de comprimé divisé par rapport à l'administration en tant que comprimé avalé entier.

    Les propriétés pharmacocinétiques (PK) et les paramètres PK des composants de Symtuza sont fournis dans le tableau 5 et 6 respectivement.

    Tableau 5: Propriétés pharmacocinétiques des composants de Symtuza

    Darunavir Cobicistat Emtricitabine Savoir
    Absorption
    3.0 3.0 1.5 0.5
    a (par rapport au jeûne)
    1.52
    (1.32-1.76)
    1.41
    (1.02-1.96)
    1.00
    (NULL,96-1.04)
    1.12
    (1.01-1.23)
    1.82
    (1.55-2.14)
    1.30
    (NULL,94-1,80)
    0.79
    (NULL,71-0,89)
    0.55
    (NULL,42-0,71)
    Distribution
    95 b 97-98 <4 ~ 80
    In vitro In vitro In vitro Ex vivant
    0.64 0.5 0.6 1.0
    Métabolisme
    Cyp3a Cyp3a
    (majeur)
    Cyp2d6

    (mineure)
    Pas de manière significative métabolisée Cathepsine a c
    (PBMCS)
    CES1

    (hépatocytes)
    Cyp3a

    (minimal)
    Élimination
    1/2 (h) 9.4 3.2 7.5 0.5 d
    Métabolisme Métabolisme Filtration glomérulaire et sécrétion tubulaire active Métabolisme

    (> 80% de la dose orale)
    e 79.5 f 86.2 13.7 31.7
    e 13.9 f 8.2 70 <1
    PBMCS = cellules mononucléaires du sang périphérique; CES-1 = carboxylesterase-1
    a Environ 928 kcal; 504 kcal de la graisse
    (56 g) 260 kcal de glucides et 164 kcal de la protéine.
    b Principalement glycoprotéine alpha-1-acide
    c En vain Savoir is hydrolyzed within cells to foum tenofovir
    (métabolite majeur) qui est phosphorylé au métabolite actif diphosphate de métabolite. In vitro Des études ont montré que le TAF est métabolisé au ténofovir par la cathepsine A dans les PBMC et les macrophages; et par CES1 dans les hépatocytes. Lors de la co-administration avec la sonde d'inducteur CYP3A modérée, l'exposition à l'efavirenz TAF n'a pas été affectée.
    d Notez que le diphosphate de métabolite pharmacologiquement actif a une demi-vie de 150-180 heures dans les PBMC. Le ténofovir dans le plasma a une demi-vie médiane d'élimination d'environ 44 heures.
    e Dosing dans les études de bilan masse: darunavir
    (Administration de dose unique de [ 14 C] Darunavir co-administré avec un ritonavir à dose multiple 100 mg); cobicistat
    (Administration de dose unique de [ 14 C] cobicistat après un dosage multiple de cobicistat pendant six jours); Emtricitabine
    (Administration de dose unique de [ 14 C] l'emtricitabine après un dosage multiple d'emtricitabine pendant dix jours); Taf
    (Administration de dose unique de [ 14 C] taf).
    f Le Darunavir inchangé représentait environ 41,2% et 7,7% de la dose administrée dans les excréments et l'urine respectivement.

    Tableau 6: Paramètres pharmacocinétiques à l'état d'équilibre de Darunavir Cobicistat Emtricitabine Tenofovir alafénamide (TAF) et son métabolite Tenofovir après l'administration orale de symtuza avec de la nourriture chez les adultes infectés par le VIH

    Moyenne du paramètre (SD) Darunavir Cobicistat a Emtricitabine a Savoir Ténofovir a
    Cmax ng / ml 8826 (NULL,3) a 1129 (NULL,3) 2056 (NULL,3) 163
    (51.9) a
    18.8 (NULL,6)
    AUC24H NG.H / ML 87909 (20232) b 85972 (22413) c 8745 (NULL,9) 11918.0 (35.9) 132 (41) b 339 (37.1)
    C0H ng / ml 1899 (759) b 1813 (859) c 31 (135) 93.1 (NULL,3) N / A 11.7 (39.3)
    a De la phase 2 pk substudie (n = 21)
    b D'après l'analyse de la population PK dans Symtuza Phase 3 Étude TMC114FD2HTX3001 chez les sujets naïfs ARV (n = 355)
    c D'après l'analyse PK de la population dans l'étude de phase 3 de Symtuza TMC114IFD3013 chez les sujets expérimentés ARV (n = 750)

    Populations spécifiques

    Patients gériatriques

    Darunavir

    L'analyse pharmacocinétique chez les sujets infectés par le VIH prenant le darunavir co-administré avec du cobicistat emtricitabine et du ténofovir alafenamide n'a montré aucune différence considérable dans la pharmacocinétique de Darunavir pour les âges inférieurs ou égaux à 65 ans par rapport aux âges supérieurs à 65 ans (n ​​= 25).

    Cobicistat et Emtricitabine

    La pharmacocinétique de cobicistat et d'emtricitabine n'a pas été entièrement évaluée chez les personnes âgées (65 ans et plus).

    Ténofovir à Population pharmacokinetics analysis of VIH-infected subjects in Phase 2 et Phase 3 trials of Savoir combined with emtricitabine elvitegravir et cobicistat showed that age did not have a clinically relevant effect on exposures of Savoir up to 75 years of age.

    Patients pédiatriques pesant au moins 40 kg

    Les données pharmacocinétiques disponibles pour les différentes composantes de Symtuza indiquent qu'il n'y avait pas de différences cliniquement pertinentes dans l'exposition entre les adultes et les sujets pédiatriques pesant au moins 40 kg.

    Darunavir et Cobicistat

    Chez les sujets pédiatriques âgés de 12 ans à moins de 18 ans, pesant au moins 40 kg qui ont reçu du darunavir 800 mg co-administré avec du cobicistat 150 mg (n = 7) les valeurs géométriques du darunavir cmax étaient similaires entre les adultes et les sujets pédiatriques. Les valeurs géométriques moyennes du Darunavir AUC24H et C24H étaient 15% et 32% plus faibles avec des rapports moyens géométriques de 0,85 (IC à 90%: 0,64 1,13) et 0,68 (IC à 90%: 0,30 1,55) chez les sujets pédiatriques par rapport aux adultes respectivement. Ces différences n'ont pas été considérées comme cliniquement significatives. Les valeurs géométriques du cobicistat moyen AUC24H CMAX et C24H étaient comparables chez les sujets pédiatriques et les adultes (tableau 7).

    Tableau 7: Paramètres PK à dose multiple de Darunavir et Cobicistat suite à l'administration de Darunavir avec du cobicistat chez le VIH 1 adultes infectés et des sujets pédiatriques pesant au moins 40 kg a

    Paramètre Moyenne géométrique (CV%) Darunavir Cobicistat
    Sujets pédiatriques a N = 7 N = 7
    AUC24H (MCG.HR/ML) 77.22 (NULL,5) 8.33 (NULL,9)
    CMAX (MCG / ML) 7.32 (NULL,7) 1.10 (20.0)
    C24H (MCG / ML) 0,68 (NULL,6) 0,02 (NULL,9) b
    Adultes c N = 21 N = 21
    AUC24H (MCG.HR/ML) 90,56 (NULL,3) 7.69 (43.9)
    CMAX (MCG / ML) 8.34 (33.3) 1.04 (NULL,3)
    C24H (MCG / ML) 1,00 (108.0) 0,02 (NULL,1) d
    CV = coefficient de variation; MCG = microgramme
    a D'après l'analyse PK intensive de l'essai GS-US-216-0128, où les sujets infectés par le VIH ont été administrés au darunavir 800 mg et cobicistat 150 mg une fois par jour avec 2 nrtis
    b N = 5; Les données de deux sujets qui avaient des concentrations de cobicistat C24H indétectables ont été exclues des statistiques sommaires
    c De l'analyse PK intensive de l'essai GS-US-299-0102 où les sujets infectés par le VIH ont été administrés par jour Symtuza une fois par jour
    d N = 18

    Emtricitabine et Ténofovir à

    Chez 24 sujets pédiatriques âgés de 12 ans à moins de 18 ans qui ont reçu l'emtricitabine TAF avec les valeurs d'Elvitegravir cobicistat géométrique EmtriCtabine CMAX et C24H étaient comparables aux adultes avec des rapports moyens géométriques de 1,10 (IC à 90%: 0,98 1,23) et 1,07 (IC 90%: 0,88 1,29) Respoir (Table 8). L'emtricitabine moyenne géométrique AUC24H était 21% plus élevée avec un rapport moyen géométrique de 1,21 (IC à 90%: 1,09 1,34) chez les sujets pédiatriques par rapport aux adultes. Les valeurs géométriques moyennes du ténofovir alafénamide CMAX et auclast étaient 29% et 23% plus faibles chez les sujets pédiatriques par rapport aux adultes avec des rapports moyens géométriques de 0,71 (IC à 90%: 0,50 1,00) et 0,77 (IC à 90%: 0,59 1,02) (tableau 8). Les différences observées n'ont pas été considérées comme cliniquement significatives.

    Tableau 8: Paramètres PK à dose multiple de l'emtricitabine et du ténofovir alafénamide après l'administration orale avec de la nourriture dans le VIH 1 adultes infectés et des sujets pédiatriques

    Paramètre Moyenne géométrique (CV%) Emtricitabine Ténofovir à
    Sujets pédiatriques a N = 24 N = 24
    AUC24H (MCG.HR/ML) b 14.0 (23.9) 0,16 (NULL,8)
    CMAX (MCG / ML) 2.2 (NULL,5) 0,14 (NULL,4)
    C24H (MCG / ML) 0,10 (NULL,9) c N / A
    Adultes d N = 19 N = 19
    AUC24H (MCG.HR/ML) b 11.6 (16.6) 0,21 (NULL,3)
    CMAX (MCG / ML) 2.0 (20.2) 0,19 (NULL,6)
    C24H (MCG / ML) 0,09 (NULL,7) N / A
    CV = coefficient de variation; MCG = microgramme; N / A = not applicable
    a D'après l'analyse PK intensive dans l'essai GS-US-292-0106 chez des sujets pédiatriques naïfs de traitement atteints d'infection par le VIH-1
    b Auclast pour le ténofovir alafénamide
    c N = 23
    d D'après une analyse de PK intensive dans l'essai GS-US-292-0102 chez des adultes infectés par le VIH traités avec de l'emtricitabine ténofovir alafénamide et elvitegravir cobicistatat
    Genre et race

    Il n'y avait pas de différences cliniquement pertinentes dans la pharmacocinétique de Darunavir Cobicistat Emtricitabine ou Tenofovir alafénamide basée sur le sexe ou la race.

    Patients souffrant de troubles rénaux

    Darunavir

    La pharmacocinétique du darunavir n'a pas été modifiée chez les sujets infectés par le VIH-1 avec une déficience rénale modérée prenant le darunavir co-administré avec du ritonavir (clairance de la créatinine entre 30 et 60 ml / min estimée par la méthode Cockcroft-Gault n = 20). Il n'y a pas de données pharmacocinétiques disponibles chez les patients infectés par le VIH-1 souffrant d'insuffisance rénale sévère ou d'une maladie rénale terminale prenant le darunavir co-administré avec du cobicistat [voir Utiliser dans des populations spécifiques ].

    Cobicistat

    Il n'y avait aucune différence cliniquement pertinente dans la pharmacocinétique de cobicistat observée entre les sujets souffrant d'une sévère trouble rénal (autorisation de créatinine inférieure à 30 ml / min estimée par la méthode Cockcroft-Gault) et des sujets sains [voir Utiliser dans des populations spécifiques ]. Emtricitabine: Signifier systemic emtricitabine exposure was higher in patients with severe renal impairment (creatinine clearance less than 30 mL/min estimated by Cockcroft-Gault method) than in subjects with noumal renal function [see Utiliser dans des populations spécifiques ].

    Ténofovir à

    Dans les études de TAF, aucune différence cliniquement pertinente dans la pharmacocinétique de la TAF ou de son métabolite ténofovir a été observée entre des sujets ayant une insuffisance rénale sévère (autorisation de créatinine de 15 à 30 ml / min estimée par la méthode de Cockcroft-Gault) et des sujets sains [voir Utiliser dans des populations spécifiques ].

    Patients souffrant de déficience hépatique

    Darunavir

    Il n'y avait pas de différences cliniquement pertinentes dans la pharmacocinétique du darunavir (600 mg avec du ritonavir 100 mg deux fois par jour) chez des sujets ayant une déficience hépatique légère (Child-Pugh classe A n = 8) et une déficience hépatique modérée (Child-Pugh classe B n = 8) par rapport aux sujets ayant une fonction hépatique normale (n = 16). L'effet d'une déficience hépatique sévère sur la pharmacocinétique du darunavir n'a pas été évalué [voir Utiliser dans des populations spécifiques ].

    Cobicistat

    Il n'y avait pas de différences cliniquement pertinentes dans la pharmacocinétique cobicistat entre des sujets ayant une déficience hépatique modérée (Child-Pugh classe B) et des sujets sains. L'effet d'une déficience hépatique sévère sur la pharmacocinétique du cobicistat n'a pas été évalué [voir Utiliser dans des populations spécifiques ].

    Emtricitabine

    La pharmacocinétique de l'emtricitabine n'a pas été étudiée chez des sujets souffrant de troubles hépatiques; Cependant, l'emtricitabine n'est pas significativement métabolisée par les enzymes hépatiques, donc l'impact de la déficience hépatique devrait être limité [voir Utiliser dans des populations spécifiques ]. Ténofovir à: Clinically relevant changes in the pharmacokinetics of tenofovir alafenamide ou its metabolite tenofovir were not observed in patients with mild moderate (Child-Pugh Class A et B) ou severe hepatic impairment (Child-Pugh Class C); [see Utiliser dans des populations spécifiques ].

    Patients atteints d'hépatite B et / ou de co-infection du virus de l'hépatite C

    Darunavir

    Chez les sujets infectés par le VIH prenant le darunavir co-administré avec du ritonavir, l'analyse de 48 semaines des données des essais cliniques a indiqué que le statut de co-infection par l'hépatite B et / ou l'hépatite C n'avait aucun effet apparent sur l'exposition du darunavir.

    Cobicistat

    Il y avait des données pharmacocinétiques insuffisantes dans les essais cliniques pour déterminer l'effet de l'infection par le virus de l'hépatite B et / ou du C sur la pharmacocinétique du cobicistat.

    Emtricitabine et Ténofovir à

    La pharmacocinétique de l'emtricitabine et du ténofovir alafénamide n'a pas été entièrement évaluée chez les sujets co-infectés par l'hépatite B et / ou le virus C.

    Grossesse And Post-partum

    L'exposition au darunavir total et non lié a augmenté avec du cobicistat après la consommation de darunavir / cobicistat dans le cadre d'un régime antirétroviral a été considérablement plus faible au cours des deuxième et troisième trimestres de grossesse par rapport à 6 à 12 semaines post-partum (voir tableau 9 et figure 1).

    Tableau 9: Résultats pharmacocinétiques du darunavir total après l'administration de darunavir / cobicistat une fois par jour dans le cadre d'un régime antirétroviral au cours du 2e trimestre de la grossesse le 3ème trimestre de la grossesse et du post-partum

    Pharmacocinétique of total darunavir
    (moyenne ± SD)
    2ème trimestre de grossesse
    N = 7
    3ème trimestre de grossesse
    N = 6
    Post-partum
    (6-12 semaines)
    N = 6
    Cmax ng / ml 4340 ± 1616 4910 ± 970 7918 ± 2199
    AUC24H NG.H / ML 47293 ± 19058 47991 ± 9879 99613 ± 34862
    Cmin ng / ml 168 ± 149 184 ± 99 1538 ± 1344

    Figure 1: Résultats pharmacocinétiques (comparaison intra-sujet) du darunavir total et non lié et du cobicistat total après l'administration de darunavir / cobicistat à 800/150 mg une fois par jour dans le cadre d'un régime antirétroviral au cours du 2e et 3e trimestre de la grossesse par rapport à la post-partum

    Interactions médicamenteuses

    Darunavir is metabolized by Cyp3a. Cobicistat is metabolized by Cyp3a et to a minou extent by Cyp2d6. Darunavir co-administered with cobicistat is an inhibitou of Cyp3a et Cyp2d6. Cobicistat inhibits the following transpouters: P-gp BCRP MATE1 OATP1B1 et OATP1B3. Based on in vitro Le cobicistat de données ne devrait pas induire le CYP1A2 ou le CYP2B6 et basé sur en vain Le cobicistat de données ne devrait pas induire MDR1 ou en général CYP3A dans une mesure cliniquement. L'effet d'induction du cobicistat sur CYP2C9 CYP2C19 ou UGT1A1 est inconnu mais devrait être faible en fonction de CYP3A in vitro données d'induction.

    Emtricitabine is not an inhibitou of human CYP450 enzymes. In vitro et clinical drug interaction studies have shown that the potential fou CYP-mediated interactions involving emtricitabine with other medicinal products is low. Ténofovir à is not an inhibitou of CYP1A2 CYP2B6 CYP2C8 CYP2C9 CYP2C19 Cyp2d6 ou UGT1A. It is not an inhibitou ou inducer of Cyp3a en vain .

    Une étude d'interaction médicament-médicament entre le darunavir / cobicistat et l'étexilat du dabigatran a été menée chez des participants en bonne santé. Les effets du darunavir sur la co-administration avec l'étexilat du dabigatran sont résumés dans le tableau 10.

    Tableau 10: Interactions médicamenteuses: paramètres pharmacocinétiques pour Drogues co-administrées En présence de Darunavir / Cobicistat

    Drogue co-administrée Dose / calendrier N PK LS Ratio moyen (90% IC) de drogue co-administrée Paramètres pharmacocinétiques avec / sans darunavir
    Aucun effet = 1,00
    Drogue co-administrée Darunavir/ cobicistat Cmax AUC Cmin
    Étexilat du dabigatran 150 mg 800/100 mg à une seule dose 14 2.64
    (2.29-3.05)
    2.64
    (2.32-3.00)
    -
    800/100 mg Q.D. a 14 1.99
    (1.72-2.30)
    1.88
    (1.65-2.13)
    -
    N = nombre de sujets avec des données
    Q.D. = une fois par jour
    a 800/100 mg Q.D. fou 14 days befoue co-administered with dabigatran etexilate.

    Microbiologie

    Mécanisme d'action

    Darunavir

    Darunavir est un inhibiteur de la protéase du VIH-1. It selectively inhibits the cleavage of VIH-1 encoded Gag-Pol polyproteins in infected cells thereby preventing the foumation of mature virus particles.

    Cobicistat

    Cobicistat is a selective mechanism-based inhibitou of CYPP450 of the Cyp3a subfamily. Inhibition of Cyp3a-mediated metabolism by cobicistat enhances the systemic exposure of Cyp3a substrates.

    Emtricitabine

    médicaments thrombolytiques

    Emtricitabine a synthetic nucleoside analog of cytidine is phosphouylated by cellular enzymes to foum emtricitabine 5'-triphosphate. Emtricitabine 5'-triphosphate inhibits the activity of the VIH-1 transcriptase inversée (RT) by competing with the natural substrate deoxycytidine 5'-triphosphate et by being incoupouated into nascent viral DN / A which results in chain termination. Emtricitabine 5’-triphosphate is a weak inhibitou of mammalian DN / A polymerases α β ε et mitochondrial DN / A polymerase γ.

    Ténofovir à

    Savoir is a phosphonamidate prodrug of tenofovir (2’-deoxyadenosine monophosphate analog). Plasma exposure to Savoir allows fou permeation into cells et then Savoir is intracellularly converted to tenofovir through hydrolysis by cathepsin A. Ténofovir is subsequently phosphouylated by cellular kinases to the active metabolite tenofovir diphosphate. Ténofovir diphosphate inhibits VIH-1 replication through incoupouation into viral DN / A by the VIH RT which results in DN / A chain-termination. Ténofovir diphosphate is a weak inhibitou of mammalian DN / A polymerases that include mitochondrial DN / A polymerase γ et there is no evidence of toxicity to mitochondria in cell culture.

    Activité antivirale

    Darunavir

    Darunavir exhibits activity against labouatouy strains et clinical isolates of VIH-1 et labouatouy strains of VIH-2 in acutely infected T-cell lines human PBMCs et human monocytes/macrophages with median EC 50 des valeurs allant de 1,2 à 8,5 nm (NULL,7 à 5,0 ng / ml). Darunavir démontre l'activité antivirale dans la culture cellulaire contre un large panel de groupe VIH-1 M (A B C D E F G) et le groupe O isolats primaires avec EC 50 des valeurs allant de moins de 0,1 à 4,3 nm. La CE 50 La valeur du darunavir augmente d'un facteur médian de 5,4 en présence de sérum humain.

    Cobicistat

    Cobicistat has no detectable antiviral activity in cell culture against VIH-1. Emtricitabine: The antiviral activity of emtricitabine against labouatouy et clinical isolates of VIH-1 was assessed in T lymphoblastoid cell lines the MAGI-CCR5 cell line et primary PBMCs. The EC 50 Les valeurs de l'emtricitabine étaient de l'ordre de 1,3 à 640 nm. L'emtricitabine a montré une activité antivirale dans la culture cellulaire contre les clades du VIH-1 a b c d e f et g (Ec 50 Les valeurs variaient de 7 à 75 nm) et ont montré une activité spécifique à la souche contre le VIH-2 (EC 50 Les valeurs variaient de 7 à 1500 nm).

    Ténofovir à

    L'activité antivirale du TAF contre les isolats de laboratoire et clinique du sous-type B du VIH-1 a été évalué dans les lignées cellulaires lymphoblastoïdes PBMCS monocytes / macrophages primaires et les lymphocytes T CD4. La CE 50 Les valeurs pour TAF variaient de 2,0 à 14,7 nm. Le TAF a affiché une activité antivirale dans la culture cellulaire contre tous les groupes VIH-1 (m n o), y compris les sous-types a b c d e f et g (ec 50 Les valeurs variaient de 0,10 à 12,0 nm) et de l'activité spécifique à la souche contre le VIH-2 (EC 50 Les valeurs variaient de 0,91 à 2,63 nm).

    La combinaison de l'emtricitabine de darunavir et du ténofovir alafénamide n'était pas antagoniste dans les tests d'activité antivirale combinés par la culture cellulaire. De plus, la darunavir émtricitabine et le ténofovir alafénamide n'étaient pas antagonistes avec un panel d'agents représentatifs des grandes classes d'antiviraux du VIH approuvés (PIS NRTIS nntis et instis). L'activité antivirale des antivirales du VIH approuvées n'a pas été antagonisée par le cobicistat.

    Résistance

    Culture cellulaire

    Darunavir

    Dans la culture cellulaire, les isolats du VIH-1 avec une diminution de la sensibilité au darunavir ont été sélectionnés et obtenus à partir de sujets traités avec du darunavir co-administré avec du ritonavir. Le virus résistant au darunavir dérivé dans la culture cellulaire du VIH-1 de type sauvage avait 21 à 88 fois une diminution de la sensibilité au darunavir et développé 2 à 4 des substitutions d'acides aminés suivantes S37D R41E / T K55Q H69Q K70E T74S V77i ou i85V dans le protof. Sélection dans la culture cellulaire du VIH-1 résistant au darunavir à partir de neuf souches du VIH-1 hébergeant plusieurs substitutions associées à la résistance PI a entraîné l'émergence globale de 22 mutations dans le gène protéase codant pour les substitutions acides amino l10f V11i I13V I15V G16E L23i V32i l33f S37N M46i i47v i50v f53l L63P A71V G73S L76V V82I I84V T91A / S et Q92R dont L10F V32I L33F S37N M46I I47V I50V L63P A71V et I84V étaient les plus prévalents. Ces virus résistants au darunavir avaient au moins huit substitutions de protéase et présentaient des diminutions de 50 à 641 fois dans la sensibilité au darunavir avec la CE finale 50 des valeurs allant de 125 nm à 3461 nm.

    Emtricitabine

    VIH-1 isolates with reduced susceptibility to emtricitabine were selected in cell culture et in subjects treated with emtricitabine. Reduced susceptibility to emtricitabine was associated with M184V ou I substitutions in VIH-1 RT.

    Ténofovir à

    VIH-1 isolates with reduced susceptibility to Savoir were selected in cell culture. VIH-1 isolates selected by Savoir expressed a K65R substitution in VIH-1 RT sometimes in the presence of S68N ou L429I substitutions. In addition a K70E substitution in VIH-1 RT was observed.

    Essais cliniques

    Darunavir resistance-associated substitutions (V11I V32I L33F I47V I50V I54L ou M T74P L76V I84V et L89V) in VIH-1 protease were derived from clinical trial data of antiretroviral therapy experienced patients which were all protease inhibitou-experienced patients. Baseline International AIDS Society-USA (IAS-USA)-defined PI resistance substitutions confer reduced virologic response to darunavir.

    Dans l'essai clinique de l'ambre des sujets sans antécédents de traitement antirétroviral antérieur, il y avait 7 sujets avec une défaillance virologique définie par le protocole et avec l'ARN du VIH-1 ≥400 copies / ml à l'échec ou des points horaires ultérieurs qui avaient des données de résistance post-base dans le bras Symtuza. Aucun des sujets n'avait des substitutions associées à la résistance émergents de la darunavir ou d'autres substitutions associées à la résistance des inhibiteurs de protéase primaire et un seul sujet avait émergent M184M / I / V qui confère une résistance à l'emtricitabine et à la lamivudine. Dans le bras de fumarate de fumarate de disoproxil de l'emtricitabine / ténofovine comparatif, il y avait 2 défaillances virologiques définies par le protocole avec des données de résistance post-base et aucune émergence de résistance détectable.

    Dans l'essai clinique émeraude des sujets virologiquement soutenus qui sont passés au sujet Symtuza 1 qui a rebondi et 2 sujets qui ont arrêté tôt de l'étude avaient des génotypes de résistance post-base. Aucun des sujets n'avait un inhibiteur de protéase primaire du darunavir émtricitabine ou des substitutions associées à la résistance au ténofovir. Dans le bras témoin, il y avait 3 sujets qui ont rebondi avec des génotypes post-basline et aucune substitution associée à la résistance n'a été observée.

    Résistance croisée

    Darunavir

    La résistance croisée entre les IP a été observée. Le darunavir a une sensibilité inférieure à 10 fois à la culture cellulaire contre 90% des isolats cliniques 3309 résistants à l'ampprenavir atazanavir indinavir lopinavir nelfinavir ritonavir saquinavir et / ou tipranavir montrant que les virus résistants à ces IP restent sensibles à Darunavir. Une diminution inférieure de 10 fois une sensibilité a été observée pour l'autre IP dans 26% à 96% de ces isolats cliniques résistants au PI [Nelfinavir (26%) du ritonavir (34%) lopinavir (46%) indinavir (57%) atazanavir (59%) saquinavir (64%) amprenavir (70%) et 96%).

    La résistance croisée entre le darunavir et les inhibiteurs de transcriptase inverse nucléoside / nucléotidique inhibiteurs de la transcriptase inverse non nucléoside inhibiteurs de la fusion GP41 Les antagonistes des co-récepteurs CCR5 ou les inhibiteurs de transfert de brin d'intégrase sont peu probables car les cibles virales sont différentes.

    Emtricitabine

    Emtricitabine-resistant viruses with the M184V ou I substitution were cross-resistant to lamivudine but retained sensitivity to didanosine stavudine tenofovir et zidovudine.

    Ténofovir à

    Ténofovir resistance-associated substitutions K65R et K70E result in reduced susceptibility to abacavir didanosine emtricitabine lamivudine et tenofovir. VIH-1 with multiple thymidine analog substitutions (M41L D67N K70R L210W T215F/Y K219Q/E/N/R) ou multinucleoside resistant VIH-1 with a T69S double insertion mutation ou with a Q151M substitution complex including K65R showed reduced susceptibility to Savoir in cell culture.

    Toxicologie et / ou pharmacologie animale

    Une infiltration minimale à légère des cellules mononucléaires dans les UVEA postérieures a été observée chez les chiens avec une gravité similaire après une administration de 3 et 9 mois de ténofovir alafénamide; La réversibilité a été observée après une période de récupération de 3 mois. Aucune toxicité oculaire n'a été observée chez le chien à des expositions systémiques de 3,5 (TAF) et 0,62 (ténofovir) fois l'exposition observée chez l'homme avec la dose quotidienne recommandée de TAF dans Symmuza.

    Études cliniques

    Les essais cliniques entraînent des sujets infectés par le VIH-1 sans antécédents de traitement antirétroviral

    The efficacy of SYMTUZA in HIV-1 subjects with no prior antiretroviral treatment history was evaluated in the Phase 3 trial TMC114FD2HTX3001 [NCT02431247 (AMBER)] in which subjects were randomized in a 1:1 ratio to receive either SYMTUZA (N=362) or a combination of PREZCOBIX and FTC/TDF (N=363) once tous les jours. L'âge médian était de 34,0 ans (extrêmes 18-71) 88,3% étaient des hommes à 83% blancs à 11% noirs et 2% asiatiques. L'ARN du VIH-1 plasmatique de base moyen était de 4,5 copies log10 / ml (plage de 1,3-6,7) et 18% avaient une charge virale de base ≥ 100000 copies / ml. Le nombre médian de cellules CD4 de base était de 453 cellules / mm 3 (plage de 38 à 1456 cellules / mm 3 ).

    Les résultats virologiques à 48 semaines de traitement sont présentés dans le tableau 11.

    Tableau 11: Résultats virologiques dans Amber à la semaine 48 chez les sujets du VIH-1 sans antécédents de traitement antirétroviral

    Synuja
    N = 362
    Prezcobix
    +
    FTC / TDF
    N = 363
    Réponse virologique
    VIH-1 RN / A <50 copies/mL 91% 88%
    a 2,7 (IC à 95%: -1,6; 7.1)
    Échec virologique b 4% 3%
    Pas de données virologiques à la fenêtre de la semaine 48 c 4% 8%
    2% 4%
    d 1% 3%
    1% 1%
    a Sur la base du test MH ajusté de la strate où les facteurs de stratification sont le niveau d'ARN du VIH-1 (≤ 100000 ou> 100000 copies / ml) et le nombre de cellules CD4 ( <200 ou ≥200 cells/μL).
    b Les sujets inclus qui avaient ≥50 exemplaires / ml dans la fenêtre de la semaine 48; les sujets qui se sont arrêtés tôt en raison du manque ou de la perte d'efficacité; Les sujets qui ont cessé pour des raisons autres qu'un événement indésirable (AE) décès ou manque ou perte d'efficacité et au moment de l'arrêt avaient une valeur virale ≥ 50 exemplaires / ml.
    c Jour 295 - Jour 378
    d D'autres incluent des raisons telles que la perte de consentement de consentement au suivi et à la non-conformité.

    L'augmentation moyenne par rapport à la référence dans le nombre de cellules CD4 à la semaine 48 était de 189 et 174 cellules / mm 3 Dans les groupes Symtuza et PrezCobix FTC / TDF respectivement.

    Les résultats des essais cliniques dans des sujets soutenus virologiquement atteints d'infection par le VIH-1 qui sont passés à Symtuza

    L'essai de phase 3 TMC114IFD3013 [NCT02269917 (émeraude)] a évalué l'efficacité de Symtuza chez les sujets virologiquement supprimés (ARN du VIH-1 à moins de 50 copies / ml) présentant une infection par le VIH-1. Les sujets ont été virologiquement supprimés pendant au moins 2 mois et pas plus d'une fois une élévation de la charge virale supérieure à 50 copies d'ARN du VIH-1 / ml au cours de l'année précédant l'inscription. Les sujets étaient sur un régime antirétroviral stable (pendant au moins 6 mois) composé d'un BPI [soit du darunavir une fois par jour ou de l'atazanavir (tous deux stimulés avec du ritonavir ou du cobicistat) ou du lopinavir avec du ritonavir] combinés avec de l'emtrictritabine et du TDF. Les sujets n'avaient aucun antécédent d'échec sur le traitement du darunavir et aucune substitutions associées à la résistance au Darunavir connues ou suspectées. Les substitutions associées à la résistance à l'emtricitabine ou au ténofovir n'ont pas été spécifiquement exclues par le protocole. Ils sont passés à Symtuza (n = 763) ou ont poursuivi leur régime de traitement (n = 378) (randomisé 2: 1). Les sujets avaient un âge médian de 46 ans (extrêmes de 19 à 78) 82% étaient des hommes à 75% blancs 21% noirs et 2% asiatiques. Le nombre médian de cellules CD4 de base était de 628 cellules / mm 3 (plage 111-1921 cellules / mm 3 ). Overall 15% (N=169) of subjects had priou virologic failure. Five subjects had archived tenofovir resistance-associated substitutions et 53 subjects had archived emtricitabine resistance-associated substitutions mainly at RT position M184. All of these subjects with emtricitabine resistance-associated substitutions had VIH-1 RN / A <50 copies/mL at Week 48 (N=50) ou at the last on-treatment viral load (N=3). Virologic outcomes are presented in Table 12. Priou virologic failure did not impact treatment outcomes.

    Tableau 12: Résultats virologiques en émeraude à la semaine 48 dans le VIH-1 des sujets soutenus virologiquement qui sont passés à Symtuza

    Synuja
    N = 763
    BPI FTC / TDF
    N = 378
    Échec virologique a 1% 1%
    b 0,3 (IC à 95%: -0,7; 1,2)
    VIH-1 RN / A <50 copies/mL 95% 94%
    Pas de données virologiques à la fenêtre de la semaine 48 c 4% 6%
    1% 1%
    d 3% 4%
    <1% 1%
    a Les sujets inclus qui avaient ≥50 exemplaires / ml dans la fenêtre de la semaine 48; les sujets qui se sont arrêtés tôt en raison du manque ou de la perte d'efficacité; Les sujets qui ont abandonné pour des raisons autres qu'un événement indésirable (AE) décès ou manque ou perte d'efficacité et au moment de l'arrêt avaient une valeur virale ≥ 50 copies / ml.
    b Basé sur le réglage du test MH pour BPI au dépistage (VTT avec RTV ou COBI DRV avec RTV ou COBI LPV avec RTV).
    c Jour 295 - Jour 378
    d D'autres incluent des raisons telles que la perte de consentement à la perte de consentement au suivi et à la non-conformité

    L'augmentation moyenne par rapport à la référence dans le nombre de cellules CD4 à la semaine 48 était de 20 cellules / mm 3 chez les sujets qui sont passés à Symtuza et 8 cellules / mm 3 chez les sujets qui sont restés sur leur FTC / TDF de base.

    Résultats des essais cliniques chez des sujets pédiatriques atteints d'infection par le VIH-1

    La sécurité du profil pharmacocinétique et l'activité antivirale des composants de Symtuza ont été évaluées dans des essais cliniques en plein essor chez des sujets pédiatriques atteints d'infection par le VIH-1 âgés de 12 à moins de 18 ans: GS-US-216-0128 (n = 7) et GS-US-292-0106 (n = 50).

    Dans la phase 2/3, l'essai GS-US-216-0128 Darunavir 800 mg et cobicistat 150 mg une fois par jour avec 2 NRTI ont été évalués dans 7 sujets pédiatriques supprimés virologiquement âgés de 12 à moins de 18 ans et pesant au moins 40 kg. Les sujets avaient un âge médian (fourchette) de 14 ans (12-16) et un poids médian (plage) de 57 (45-78) kg. À la base de l'ARN du VIH-1 du VIH-1 <50 copies/mL in all subjects et the median (range) CD4+ cell count was 1117 (658-2416) cells/mm 3 . À la semaine 48, la proportion de sujets qui ont maintenu l'ARN du VIH-1 <50 copies/mL was 86% et the median change in CD4+ cell count from baseline was -342 cells/mm 3 (plage -1389 à 210 cellules / mm 3 ). All 6 subjects with available data had CD4+ cell counts above 800 cells/mm 3 à la semaine 48.

    Dans la phase 2/3, l'essai GS-US-292-0106 Cobicistat 150 mg EmtriCriCabine 200 mg et le ténofovir alafénamide 10 mg dans le cadre d'un régime de combinaison à dose fixe avec elvitegravir 150 mg a été évalué dans 50 pèse-naïque de traitement à des sujets pédiatriques avec le VIH-1 12 à moins de 18 ans et de la bourse de 35 kg. Les sujets avaient un âge médian (intervalle) de 15 ans (12-17). À la base de l'ARN médian médian (plage) VIH-1, était de 4,7 (NULL,3-6,5) copies log10 / ml de la numération des cellules CD4 médiane (plage) était de 456 (95-1110) cellules / mm / mm 3 et 22% avaient un ARN du VIH-1 plasmatique de base> 100000 exemplaires / ml). À la semaine 48, la proportion de sujets qui avaient un ARN du VIH-1 <50 copies/mL was 92% et the median increase in CD4+ cell count from baseline was 220 cells/mm 3 .

    L'utilisation de Symtuza chez les patients pédiatriques pesant moins de 40 kg n'a pas été établi [voir Utiliser dans des populations spécifiques ].

    Informations sur les patients pour symtuza

    Synuja ®
    (Sim Zah Tone)
    (Darunavir Cobicistat Emtricitabine et Tenofovir Alagenamide)

    Quelles sont les informations les plus importantes que je devrais connaître sur Symtuza?

    Synuja can cause serious side effects including:

    • L'aggravation de l'infection par le virus de l'hépatite B (HBV). Votre fournisseur de soins de santé vous testera pour le VHB avant de commencer le traitement avec Symtuza. Si vous avez une infection par le VHB et prenez Symtuza, votre VHB peut empirer (poussée) si vous cessez de prendre Symtuza. Une évasion est lorsque votre infection par le VHB revient soudainement de manière pire qu'auparavant.
      • N'arrêtez pas de prendre Symtuza sans d'abord parler à votre fournisseur de soins de santé.
      • Ne manquez pas de Symtuza. Remplissez votre ordonnance ou parlez à votre fournisseur de soins de santé avant que votre symbole ne soit partie.
      • Si vous cessez de prendre Symtuza, votre fournisseur de soins de santé devra vérifier souvent votre santé et faire régulièrement des tests sanguins pendant plusieurs mois pour vérifier votre infection par le VHB ou vous donner un médicament pour traiter votre infection par le VHB. Parlez à votre fournisseur de soins de santé des symptômes nouveaux ou inhabituels que vous pourriez avoir après avoir cessé de prendre Symtuza.
    • Changement dans les enzymes hépatiques. Les personnes ayant des antécédents d'infection par le virus de l'hépatite B ou du C ou qui ont certains changements enzymatiques hépatiques peuvent avoir un risque accru de développer des problèmes hépatiques nouveaux ou aggravés pendant le traitement avec Symtuza. Des problèmes hépatiques peuvent également se produire pendant le traitement avec Symtuza chez les personnes sans antécédents de maladie du foie. Votre professionnel de la santé peut avoir besoin de tests pour vérifier vos enzymes hépatiques avant et pendant le traitement avec Symtuza.
    • Problèmes hépatiques graves. Dans de rares cas, de graves problèmes hépatiques peuvent se produire, ce qui peut entraîner la mort. Dites immédiatement à votre fournisseur de soins de santé si vous obtenez ces symptômes: la peau ou la partie blanche de vos yeux devient jaune tabouret d'urine de couleur de thé foncé de la perte d'appétit de couleur de couleur de couleur sombre pendant plusieurs jours ou plus de nausées de nausées ou de douleur à l'estomac.

    Synuja may cause severe ou life-threatening skin reactions ou éruption cutanée. Parfois, ces réactions cutanées et éruptions cutanées peuvent devenir graves et nécessiter un traitement dans un hôpital. Appelez immédiatement votre fournisseur de soins de santé si vous développez une éruption cutanée. Arrête de prendre Symtuza et call your healthcare provider right away if you develop any skin changes with symptoms below:

    • fièvre
    • fatigue
    • Douleurs musculaires ou articulaires
    • Des cloques ou des lésions cutanées
    • plaies ou ulcères buccaux
    • Les yeux rouges ou enflammés comme l'œil rose (conjonctivite)

    Voyez quels sont les effets secondaires possibles de Symtuza? Pour plus d'informations sur les effets secondaires.

    Qu'est-ce que Symtuza?

    Synuja is a prescription medicine that is used without other antiretroviral medicines to treat Human Immunodeficiency Virus-1 (VIH-1) infection in adults et in children who weigh at least 88 pounds (40 kg) who:

    • n'ont pas reçu de médicaments anti-HIV-1 dans le passé ou
    • Lorsque leur fournisseur de soins de santé détermine qu'ils répondent à certaines exigences.

    VIH-1 is the virus that causes Acquired Immune Deficiency Syndrome (AIDS).

    Synuja contains the prescription medicines Darunavir Cobicistat Emtricitabine et Tenofovir Arénamide.

    On ne sait pas si Symtuza est sûr et efficace chez les enfants pesant moins de 88 livres (40 kg).

    Qui ne devrait pas prendre Symtuza?

    Ne prenez pas Symtuza avec aucun des médicaments suivants:

    • alfuzosine
    • carbamazépine
    • colchicine if you have liver ou kidney problems
    • dronedarone
    • Elbasvir et Grazoprevir
    • ergot-containing medicines such as:
      • dihydroergotamine
      • ergotamine tartrate
      • méthylergonovine
    • ivabradine
    • Lomitapide
    • lovastatine ou un produit contenant de la lovastatine
    • lurasidone
    • Midazolam lorsqu'il est pris par la bouche
    • naloxegol
    • phénobarbital
    • lable
    • pimozide
    • Ranolazine
    • rifampin
    • Sildénafil lorsqu'il est utilisé pour le traitement de l'hypertension artérielle pulmonaire (HAP)
    • simvastatine ou un produit contenant de la simvastatine
    • Mur de St. John’s ( Hypericum perforatum ) ou un produit qui contient du millepertuis
    • Triazolam

    Des problèmes graves peuvent survenir si vous prenez l'un de ces médicaments avec Symtuza. Ce n'est pas une liste complète des médicaments. Par conséquent, parlez à votre fournisseur de soins de santé de tous les médicaments que vous prenez.

    Avant de prendre Symtuza, dites à votre fournisseur de soins de santé de toutes vos conditions médicales, y compris si vous:

    • avoir des problèmes de foie, notamment l'hépatite B ou l'hépatite C
    • avoir des problèmes rénaux
    • sont allergiques au sulfa (sulfonamide)
    • avoir le diabète
    • avoir une hémophilie
    • sont enceintes ou prévoient de devenir enceintes.

      Grossesse Registry: Il existe un registre de grossesse pour ceux qui prennent des médicaments antirétroviraux pendant la grossesse. Le but du registre est de collecter des informations sur la santé de vous et de votre bébé. Parlez à votre fournisseur de soins de santé de la façon dont vous pouvez participer à ce registre.

      • On ne sait pas si Symtuza nuira à votre bébé à naître.
      • Synuja should not be used during pregnancy because you may not have enough Synuja in your body during pregnancy.
      • Dites à votre fournisseur de soins de santé si vous tombez enceinte en prenant Symtuza. Votre fournisseur de soins de santé prescrira différents médicaments si vous tombez enceinte en prenant Symtuza.
    • allaitent ou prévoient d'allaiter. N'allaitez pas si vous prenez Symtuza.
      • Vous ne devez pas allaiter si vous avez le VIH-1 en raison du risque de passer le VIH à votre bébé.
      • L'un des médicaments de Symtuza appelée l'emtricitabine peut passer dans votre lait maternel. On ne sait pas si les autres médicaments à Symtuza peuvent passer dans votre lait maternel.
      • Parlez à votre fournisseur de soins de santé de la meilleure façon de nourrir votre bébé.

    Parlez à votre fournisseur de soins de santé de tous les médicaments que vous prenez y compris les médicaments sur ordonnance et sur-thecounter crèmes topiques vitamines et suppléments à base de plantes. Certains médicaments interagissent avec Symtuza. Gardez une liste de vos médicaments pour montrer votre fournisseur de soins de santé et votre pharmacien.

    • Vous pouvez demander à votre fournisseur de soins de santé ou à votre pharmacien une liste de médicaments qui interagissent avec Symtuza.
    • Ne commencez pas à prendre un nouveau médicament sans le dire à votre fournisseur de soins de santé. Votre professionnel de la santé peut vous dire s'il est sûr de prendre Symtuza avec d'autres médicaments.

    Comment dois-je prendre Symtuza?

    • Prenez Symtuza exactement comme votre prestataire de soins de santé vous le dit.
    • Ne changez pas votre dose et n'arrêtez pas de prendre Symtuza sans parler à votre fournisseur de soins de santé.
    • Prenez Symtuza 1 fois par jour avec de la nourriture.
    • Si vous avez du mal à avaler, le comprimé peut être divisé à l'aide d'un coupet de comprimé. Après avoir divisé la tablette, la dose entière (les deux moitiés) doit ensuite être prise immédiatement.
    • Ne manquez pas une dose de Symtuza.
    • Lorsque votre approvisionnement Symtuza commence à fonctionner à faible, obtenez-en plus de votre fournisseur de soins de santé ou de votre pharmacie. Ceci est très important car la quantité de virus dans votre sang peut augmenter si le médicament est arrêté pendant une courte période. Le virus peut développer une résistance à Sytuza et devenir plus difficile à traiter.
    • Si vous prenez trop Symtuza, appelez votre fournisseur de soins de santé ou allez immédiatement aux urgences de l'hôpital le plus proche.

    Quels sont les effets secondaires possibles de Symtuza?

    Synuja may cause serious side effects including:

    • Voir Quelles sont les informations les plus importantes que je devrais connaître sur Symtuza?
    • Modifications dans votre système immunitaire (syndrome de reconstitution immunitaire) Peut se produire lorsque vous commencez à prendre des médicaments contre le VIH-1. Votre système immunitaire peut devenir plus fort et commencer à lutter contre les infections qui sont cachées dans votre corps depuis longtemps. Dites immédiatement votre professionnel de la santé si vous commencez à avoir de nouveaux symptômes après avoir commencé votre médicament contre le VIH-1.
    • Des problèmes rénaux nouveaux ou pires, y compris l'insuffisance rénale. Votre professionnel de la santé doit faire des tests de sang et d'urine pour vérifier vos reins avant de commencer et pendant que vous prenez Symtuza. Votre professionnel de la santé peut vous dire d'arrêter de prendre Symtuza si vous développez des problèmes rénaux nouveaux ou pires.
    • Trop d'acide lactique dans votre sang (acidose lactique). Trop d'acide lactique est une urgence médicale grave mais rare qui peut entraîner la mort. Dites immédiatement votre professionnel de la santé si vous obtenez ces symptômes: faiblesse ou being moue tired than usual douleur musculaire inhabituelle being shout of breath ou fast breathing douleurs à l'estomac with nausée et vomissement cold ou blue hets et feet feel dizzy ou lightheaded ou a fast ou abnoumal heartbeat.
    • Diabète et glycémie élevée (hyperglycémie). Certaines personnes qui prennent des inhibiteurs de protéase, dont Symtuza, peuvent obtenir glycémie Développer le diabète ou votre diabète peut empirer. Dites à votre fournisseur de soins de santé si vous remarquez une augmentation de la soif ou si vous commencez à uriner plus souvent tout en prenant Symtuza.
    • Changements dans la graisse corporelle peut se produire chez les personnes qui prennent des médicaments contre le VIH-1. Les changements peuvent inclure une quantité accrue de graisse dans le haut du dos et le cou (bosse de buffle) et autour du milieu de votre corps (tronc). La perte de graisse des bras et le visage peuvent également se produire. La cause exacte et les effets sur la santé à long terme de ces conditions ne sont pas connus.
    • Augmentation des saignements pour les hémophiles. Certaines personnes atteintes d'hémophilie ont augmenté les saignements avec des inhibiteurs de protéase.

    Les effets secondaires les plus courants de Symtuza comprennent:

    • diarrhée
    • éruption cutanée
    • nausée
    • fatigue
    • mal de tête
    • problèmes d'estomac
    • gaz

    Ce ne sont pas tous les effets secondaires possibles de Symtuza.

    Appelez votre médecin pour des conseils médicaux sur les effets secondaires. Vous pouvez signaler les effets secondaires à la FDA au 1-800-FDA-1088.

    Comment dois-je stocker Symtuza?

    • Stockez les comprimés de symbole à température ambiante entre 68 ° F à 77 ° F (20 ° C à 25 ° C).
    • La bouteille Symtuza contient un dessicant et a un capuchon résistant aux enfants.
    • Gardez le récipient Symtuza étroitement fermé avec le dessicant à l'intérieur pour protéger Symtuza contre l'humidité.

    Gardez Symtuza hors de portée des enfants.

    Informations générales sur l'utilisation sûre et efficace de Symtuza.

    Les médicaments sont parfois prescrits à des fins autres que celles énumérées dans une brochure d'information du patient. N'utilisez pas Symtuza pour une condition pour laquelle il n'a pas été prescrit. Ne donnez pas de symbolisme à d'autres personnes même s'ils présentent les mêmes symptômes que vous. Cela peut leur faire du mal.

    Vous pouvez demander à votre fournisseur de soins de santé ou à votre pharmacien pour obtenir des informations sur Symtuza qui est rédigé pour les professionnels de la santé.

    Quels sont les ingrédients de Symtuza?

    Ingrédient actif: Darunavir Cobicistat Emtricitabine et Tenofovir Arénamide

    Ingrédients inactifs: dioxyde de silicium colloïdal croscarmellose sodium magnésium stéarate et cellulose microcristalline. Les comprimés sont revêtus de film avec un matériau de revêtement contenant du polyéthylène glycol (macrogol) d'alcool polyvinylique (partiellement hydrolysé) du dioxyde de titane et de l'oxyde ferrique jaune.

    Ces informations sur les patients ont été approuvées par la Food and Drug Administration des États-Unis.