Les Informations Présentées Sur Ce Site Ne Constituent Pas Un Avis Médical. Nous Ne Vendons Rien. L'Exactitude De La Traduction N'Est Pas Garantie. Clause De Non-Responsabilité



Aérosphère de Bevespi

Résumé

Qu'est-ce que l'aérosphère Bevespi?

L'aérosol de l'inhalation de l'aérosphère de l'aérosphère (glycopyrrolate et du formotérol) est une combinaison d'un combinaison d'un anticholinergique et un agoniste bêta2-adrénergique à longue durée d'action (LABA) indiqué pour le traitement d'entretien à long terme de l'obstruction du débit d'air chez les patients atteints bronchopneumopathie chronique obstructive ( MPOC ). L'aérosphère Bevespi n'est pas indiquée pour le soulagement du bronchospasme aigu ou pour le traitement de asthme .

Quels sont les effets secondaires de l'aérosphère Bevespi?

Aérosphère de Bevespi



  • urticaire
  • difficulté à respirer
  • gonflement de ton visage lèvres langue ou gorge
  • éruption cutanée
  • démangeaison
  • changements de vision
  • douleurs oculaires
  • Crampes musculaires ou douleur
  • nervosité
  • douleur ou difficulté à uriner
  • Changements dans la quantité d'urine
  • douleur thoracique
  • vertiges
  • battement de cœur rapide ou irrégulier
  • palpitations
  • évanouissement
  • étourdissement
  • mauvais équilibre
  • vertiges
  • bouche sèche
  • peau sec
  • odeur de respiration fruitée
  • nausée
  • douleurs à l'estomac
  • accru d'appétit ou soif
  • Augmentation de la miction et
  • tremblement

Obtenez de l'aide médicale immédiatement si vous présentez l'un des symptômes énumérés ci-dessus.



Les effets secondaires courants de l'aérosphère Bevespi comprennent:

  • infection des voies urinaires et
  • toux

Cherchez des soins médicaux ou appelez le 911 à la fois si vous avez les effets secondaires graves suivants:



  • Des symptômes oculaires graves tels que la perte de vision soudaine floue du tunnel de vision de la vision de la vision des yeux ou de l'enflure ou de voir des halos autour des lumières;
  • Symptômes cardiaques graves tels que les battements cardiaques rapides ou battants; flotter dans votre poitrine; essoufflement; et des étourdissements soudains étourdisseurs ou s'évanouissant;
  • Maux de tête sévères Confusion Slurred Speech Bras ou Ligne Proulitude Trouble de la merde Perte de coordination Sentiment des muscles très rigides très rigides Fièvre élevée Propice ou des tremblements.

Ce document ne contient pas tous les effets secondaires possibles et d'autres peuvent survenir. Vérifiez auprès de votre médecin des informations supplémentaires sur les effets secondaires.

Dosage pour l'aérosphère Bevespi

La posologie de l'aérosphère Bevespi pour le traitement d'entretien de la MPOC est de 2 inhalations deux fois par jour.

Quelles substances ou suppléments de médicaments interagissent avec l'aérosphère Bevespi?

L'aérosphère Bevespi peut interagir avec d'autres médicaments adrénergiques xanthine dérivés stéroïdes diurétiques monoamine oxydase inhibiteurs antidépresseurs tricycliques Autres médicaments qui prolongent les bêta-bloquants intervalles QTC et les anticholinergiques. Dites à votre médecin tous les médicaments et suppléments que vous utilisez.

Aérosphère Bevespi pendant la grossesse ou l'allaitement

Pendant la grossesse, l'aérosphère Bevespi ne doit être utilisée que si elle est prescrite. Dites à votre médecin si vous tombez enceinte en prenant l'aérosphère Bevespi. On ne sait pas si l'aérosphère Bevespi passe dans le lait maternel. L'allaitement maternel lors de la prise de l'aérosphère Bevespi n'est pas recommandé.

Informations Complémentaires

Notre aérosphère Bevespi (Glycopyrrate et Formoterol Fumarate) INHALATION Aérosol Centre de médicaments à effets secondaires fournit une vue complète des informations sur les médicaments disponibles sur les effets secondaires potentiels lors de la prise de ce médicament.

Informations sur les médicaments de la FDA

AVERTISSEMENT

Mort liée à l'asthme

Long-acting beta2-adrenergic agonists (LABAs) increase the risk of asthma-related death. Data from a large placebo-controlled US trial that compared the safety of another LABA (salmeterol) with placebo added to usual asthma therapy showed an increase in asthma-related deaths in subjects receiving salmeterol. This finding with salmeterol is considered a class effect of all LABAs including formoterol fumarate one of the active ingredients in BEVESPI AEROSPHERE.

L'innocuité et l'efficacité de l'aérosphère de Bevespi chez les patients asthmatiques n'ont pas été établies. L'aérosphère Bevespi n'est pas indiquée pour le traitement de l'asthme. [Voir avertissements et PRÉCAUTIONS ]

Description de l'aérosphère Bevespi

L'aérosol de l'inhalation de l'aérosol (glycopyrrolate et formotérol) de Bevespi) est un inhalateur à dose mètre sous pression qui contient une combinaison de glycopyrrolate micronisée un agoniste bêta-adrénergique à longue durée d'action et d'adrénergique à longue durée.

Y a-t-il un générique pour Vesicare

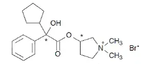
Le glycopyrrolate est un sel d'ammonium quaternaire avec le nom chimique suivant: (RS) - [3- (SR) -hydroxy-11-diméthylpyrrolidinium bromure] α-cyclopentylmanlélé. Le glycopyrrolate est une poudre qui est librement soluble dans l'eau. La formule moléculaire est C 19 H 28 Brno 3 · Et le poids moléculaire est de 398,33 g / mol. La formule structurelle est la suivante:

Le glycopyrrolate contient deux centres chiraux (indiqués par * dans la structure ci-dessus) et est un racémate d'un mélange 1: 1 des diastéréomères RS et SR. Le Glycopyrronium de la fraction active est l'ion chargé positivement du glycopyrrolate.

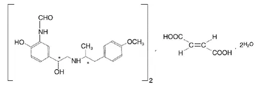
Le fumarate de formotérol a le nom chimique n- [2-hydroxy-5 - [(1R) -1-hydroxy-2 - [[(1R) -2- (4-méthoxyphényl) -1- méthyléthyle] -amino] éthyl] phényl] formamide (e) -2-butinate dihydraate. Le fumarate de formotérol est une poudre légèrement soluble dans l'eau. La formule moléculaire est (c 19 H 24 N 2 O 4 ) 2 .C 4 H 4 O 4 2h 2 O et le poids moléculaire est de 840,91 g / mol. La formule structurelle est la suivante:

Le fumarate de formotérol contient deux centres chiraux (indiqués par * dans la structure ci-dessus) et se compose d'une seule paire énantiomérique (un racémate de RR et SS).

L'aérosphère de Bevespi est formulée comme un inhalateur à dose mètre à dose mètre à dose mètre à dose mètre propulsée par l'hydrofluoroalkane (HFA 134a) contenant 120 inhalations. La cartouche a un indicateur de dose attaché et est fournie avec un corps d'actionneur en plastique blanc et un porte-parole avec un capuchon de poussière orange.

Après l'amorçage de chaque actionne des compteurs d'inhalateur, 10,4 mcg de glycopyrrolate (équivalent à 8,3 mcg de glycopyrronium) et 5,5 mcg de fumarate de formoterol à partir de la valve qui délivre 9 mcg de glycopyrrolate (équivalent à 7,2 mcg de glycopyrronium) et 4,8 mcg de formoterol Fumarate de l'efficacité. La quantité réelle de médicament délivrée au poumon peut dépendre de facteurs de patient tels que la coordination entre l'actionnement de l'appareil et l'inspiration à travers le système de livraison. L'aérosphère Bevespi contient également des particules poreuses qui forment une cosuspension avec les cristaux médicamenteux. Les particules poreuses sont composées du phospholipide 12-disistagnes-sn-glycéro-3-phosphocholine (DSPC) et du chlorure de calcium. Les particules poreuses et le HFA 134A sont des excipients dans la formulation.

L'amorçage de l'aérosphère Bevespi est essentiel pour garantir une contenu médicamenteux approprié dans chaque actionnement. Aérosphère Prime Bevespi avant de l'utiliser pour la première fois. Pour amorcer l'aérosphère de Bevespi Libérez 4 vaporisateurs dans l'air loin du visage secouant bien avant chaque pulvérisation.

Si le produit n'est pas utilisé pendant plus de 7 jours, répétez l'appareil. Pour reproder, la libération de Bevespi Aerosphère 2 pulvérise dans l'air loin du visage secouant bien avant chaque pulvérisation.

Utilisations pour l'aérosphère Bevespi

L'aérosphère Bevespi est une combinaison de glycopyrrolate et de fumarate de formotérol indiqué pour le traitement d'entretien des patients atteints d'une maladie pulmonaire obstructive chronique (MPOC), y compris une bronchite chronique et / ou un emphysème.

Limitation importante de l'utilisation

L'aérosphère Bevespi n'est pas indiquée pour le soulagement du bronchospasme aigu ou pour le traitement de l'asthme [voir AVERTISSEMENTS AND PRÉCAUTIONS ].

Dosage pour l'aérosphère Bevespi

L'aérosphère de Bevespi (glycopyrrolate / fumarate de formoterol 9 mcg / 4,8 mcg) doit être administrée sous forme de deux inhalations prises deux fois par jour le matin et le soir par l'itinéraire inhalé par voie orale uniquement. Ne prenez pas plus de deux inhalations deux fois par jour.

L'aérosphère de Bevespi contient 28 ou 120 inhalations par boîte. La cartouche a un indicateur de dose attaché qui indique le nombre d'inhalations. L'affichage de l'indicateur de dose se déplacera après chaque dixième action d'actionnement. À l'approche de la fin des inhalations utilisables, la couleur derrière le nombre dans la fenêtre d'affichage de l'indicateur de dose passe en rouge. L'aérosphère Bevespi doit être rejetée lorsque la fenêtre d'affichage de l'indicateur de dose affiche zéro.

L'amorçage de l'aérosphère Bevespi est essentiel pour garantir une contenu médicamenteux approprié dans chaque actionnement. Aérosphère Prime Bevespi avant de l'utiliser pour la première fois. Pour amorcer l'aérosphère de Bevespi Libérez 4 vaporisateurs dans l'air loin du visage secouant bien avant chaque pulvérisation. Aérosphère de Bevespi must be re-primed when the inhaler has not been used for more than 7 days. To re-prime Aérosphère de Bevespi release 2 sprays into the air away from the face shaking well before each spray.

Comment fourni

Formes et forces posologiques

Aérosol d'inhalation

L'aérosphère de Bevespi est un inhalateur de dose à compteur sous pression qui offre 9 mcg de glycopyrrolate et 4,8 mcg de fumarate de formotérol par inhalation. Deux inhalations sont égales à une dose. L'aérosphère de Bevespi contient 28 ou 120 inhalations par boîte. La cartouche a un indicateur de dose attaché et est fournie avec un actionneur en plastique blanc avec un bouchon de poussière orange.

Stockage et manipulation

Aérosol d'inhalation de l'aérosphère de Bevespi est fourni comme une cartouche en aluminium sous pression avec un indicateur de dose attaché un actionneur et un porte-parole en plastique blanc et un bouchon de poussière orange. Chaque cartouche de 120 inhalation a un poids de remplissage net de 10,7 grammes ( NDC 0310-4600-12) et chaque cartouche d'inhalation (pack institutionnel) a un poids de remplissage net de 5,9 grammes ( NDC 0310-4600-39). Chaque cartouche est emballée dans une pochette en aluminium avec du sachet dessicant et est placée dans un carton. Chaque carton contient une cartouche et une brochure d'information du patient.

La cartouche de l'aérosphère Bevespi ne doit être utilisée qu'avec l'actionneur de l'aérosphère Bevespi et l'actionneur de l'aérosphère Bevespi ne doit être utilisé avec aucun autre produit médicamenteux d'inhalation.

La quantité correcte de médicaments dans chaque inhalation ne peut pas être assurée après que le nombre d'étiquettes d'inhalations de la cartouche a été utilisé lorsque la fenêtre d'affichage de l'indicateur de dose affiche zéro même si la cartouche peut ne pas être complètement vide. L'aérosphère de Bevespi doit être jetée lorsque la fenêtre d'affichage de l'indicateur de dose affiche zéro ou 3 mois après le retrait de la pochette de papier d'aluminium (3 semaines pour la cartouche de 28 inhalation) selon la première éventualité. Ne plongez jamais la cartouche dans l'eau pour déterminer la quantité restante dans la cartouche (test de flotteur).

Stocker à température ambiante contrôlée de 20 ° à 25 ° C (68 ° à 77 ° F); Excursions autorisées à 15 ° à 30 ° C (59 ° à 86 ° F) [voir USP ].

Pour de meilleurs résultats, la cartouche doit être à température ambiante avant utilisation. Secouez bien avant de l'utiliser. Restez hors de portée des enfants.

Contenu sous pression

Ne percez pas. N'utilisez pas ou ne stockez pas près de la chaleur ou de la flamme ouverte. L'exposition à des températures supérieures à 49 ° C (120 ° F) peut provoquer l'éclatement. Ne jetez jamais de cartouche dans le feu ou l'incinérateur. Évitez de pulvériser dans les yeux.

Distribué par: AstraZeneca Pharmaceuticals LP Wilmington de 19850. Révisé: mai 2019

Effets secondaires for Bevespi Aerosphere

Les Labas tels que le fumarate de formotérol l'un des ingrédients actifs de l'aérosphère Bevespi comme monothérapie (sans corticostéroïde inhalé) pour l'asthme augmentent le risque d'événements liés à l'asthme. L'aérosphère Bevespi n'est pas indiquée pour le traitement de l'asthme [voir AVERTISSEMENTS AND PRÉCAUTIONS ].

Les effets indésirables suivants sont décrits plus en détail ailleurs dans l'étiquetage:

  • Bronchospasme paradoxal [voir AVERTISSEMENTS AND PRÉCAUTIONS ]
  • Réactions d'hypersensibilité [voir Contre-indications AVERTISSEMENTS AND PRÉCAUTIONS ]
  • Effets cardiovasculaires [voir AVERTISSEMENTS AND PRÉCAUTIONS ]
  • Aggraver le glaucome à angle étroit [voir AVERTISSEMENTS AND PRÉCAUTIONS ]
  • Aggraver la rétention urinaire [voir AVERTISSEMENTS AND PRÉCAUTIONS ]

Expérience des essais cliniques

Étant donné que les essais cliniques sont menés dans des conditions de réaction indésirables très variables observées dans les essais cliniques d'un médicament ne peuvent pas être directement comparées aux taux dans les essais cliniques d'un autre médicament et ne peuvent pas refléter les taux observés dans la pratique.

Le programme clinique de l'aérosphère Bevespi comprenait 4911 sujets atteints de MPOC dans deux essais de fonctions pulmonaires de 24 semaines une étude d'extension de sécurité à long terme de 28 semaines et 10 autres essais de plus courte durée. Au total, 1302 sujets ont reçu au moins 1 dose de l'aérosphère Bevespi. Les données de sécurité décrites ci-dessous sont basées sur les deux essais de 24 semaines et l'essai d'extension de sécurité à long terme de 28 semaines. Les effets indésirables observés dans les autres essais étaient similaires à ceux observés dans ces essais de confirmation.

Essais de 24 semaines

L'incidence des effets indésirables avec l'aérosphère de Bevespi dans le tableau 1 est basée sur des rapports dans deux essais contrôlés par placebo de 24 semaines (essais 1 et 2; n = 2100 et n = 1610 respectivement). Sur les 3710 sujets, 56% étaient des hommes et 91% étaient du Caucasien. Ils avaient un âge moyen de 63 ans et des antécédents de tabagisme moyens de 51 années de pack avec 54% comme des fumeurs actuels. Lors du dépistage de la moyenne post-bronchodilatrice pour cent prédit le volume expiratoire forcé en 1 seconde (FEV 1 ) était de 51% (fourchette: 19% à 82%) et la réversibilité en pourcentage moyenne était de 20% (fourchette: -32% à 135%).

Les sujets ont reçu l'un des traitements suivants: Bevespi Aérosphère glycopyrrote 18 mcg Formoterol Fumarate 9,6 mcg ou placebo deux fois par jour ou un contrôle actif.

Tableau 1: Réactions indésirables avec l'aérosphère de Bevespi ≥ 2% d'incidence et plus courante qu'avec un placebo chez les sujets atteints de maladie pulmonaire obstructive chronique

Réaction indésirable Aérosphère de Bevespi
(n = 1036)%
Glycopyrrote 18 mcg offre
(n = 890)%
Formoterol Fumarate 9,6 MCG BID
(n = 890)%
Placebo
(n = 443)%
Troubles thoraciques et médiastinaux respiratoires
Toux 4.0 3.0 2.7 2.7
Infections et infestation
Infection des voies urinaires 2.6 1.8 1.5 2.3

D'autres réactions indésirables définies comme des événements avec une incidence> 1% mais moins de 2% avec l'aérosphère de Bevespi mais plus courante qu'avec le placebo incluent les éléments suivants: Arthralgia Douleur thoracique Abcès musculaire Muscle Spasmes Madle maux de tête Influence de la douleur des maux de tête de la masse oropharyngée dans la pertinence et les contusions.

Extension de sécurité à long terme

Essai dans un essai d'extension de sécurité à long terme de 28 semaines 893 sujets qui ont réussi l'essai 1 ou l'essai 2 ont été traités jusqu'à 28 semaines supplémentaires pour une période de traitement totale allant jusqu'à 52 semaines avec l'aérosphère de Bevespi a administré un glycopyrrate de 18 mcg de formoterol 9,6 mcg a administré deux fois par jour ou un contrôle actif. Étant donné que les sujets ont continué de l'essai 1 ou de l'essai 2 dans l'essai d'extension de sécurité, les caractéristiques démographiques et de base de l'essai d'extension de sécurité à long terme étaient similaires à celles des essais d'efficacité contrôlés par placebo décrits ci-dessus. Les effets indésirables rapportés dans l'essai de sécurité à long terme étaient conformes à ceux observés dans les essais contrôlés par un placebo de 24 semaines.

Réactions indésirables supplémentaires

D'autres réactions indésirables qui ont été associées au composant du fumarate de formotérol comprennent: les réactions d'hypersensibilité Hyperglycemie Disconstruction du sommeil Agitation Agitation Tremor Nausée nausée tachycardie Arythmies cardiaques (fibrillation auriculaire tachycardie supraventriculaire et extrasystoles).

Expérience de commercialisation de la poste

Les effets indésirables suivants ont été identifiés lors de l'utilisation post-approbation de l'aérosphère Bevespi. Étant donné que ces réactions sont rapportées volontairement d'une population de taille incertaine, il n'est pas toujours possible d'estimer de manière fiable leur fréquence ou d'établir une relation causale à l'exposition au médicament.

Dans l'expérience de la post-commercialisation avec l'hypersensibilité de l'aérosphère de Bevespi et la rétention urinaire ont été rapportées.

Interactions médicamenteuses for Bevespi Aerosphere

Aucune étude formelle d'interaction médicamenteuse n'a été réalisée avec l'aérosphère Bevespi.

Drogues adrénergiques

Si des médicaments adrénergiques supplémentaires doivent être administrés par n'importe quelle voie, ils doivent être utilisés avec prudence car les effets sympathiques du formotérol une composante de l'aérosphère Bevespi peuvent être potentialisés [voir AVERTISSEMENTS AND PRÉCAUTIONS ].

Dérivés xanthine stéroïdes ou diurétiques

Le traitement concomitant avec les dérivés xanthine stéroïdes ou diurétiques peut potentialiser tout effet hypokaliémique de la bêta 2 Agonistes adrénergiques tels que Formoterol A composant de l'aérosphère Bevespi.

Diurétiques épargnants sans potassium

Les changements ECG et / ou l'hypokaliémie qui peuvent résulter de l'administration de diurétiques non épargnants non potassiques (tels que la boucle ou les diurétiques de thiazide) peuvent être aggravés de manière aiguë par bêta 2 -Gonistes surtout lorsque la dose recommandée de la version bêta 2 -Goniste est dépassé. Environ 17% des sujets prenaient des diurétiques à épaisseur non-potassium au cours des deux essais contrôlés par placebo de 24 semaines chez des sujets atteints de MPOC. L'incidence des événements indésirables chez les sujets prenant des diurétiques non épargnants sans potassium était similaire entre les groupes de traitement de Bevespi et du placebo. De plus, il n'y avait aucune preuve d'un effet de traitement sur le potassium sérique avec l'aérosphère Bevespi par rapport au placebo chez les sujets prenant des diurétiques épargnants non-potassium au cours des deux essais de 24 semaines. Cependant, la prudence est avisée dans la co-administration de l'aérosphère Bevespi avec des diurétiques non-Potassiumspariging.

Inhibiteurs de la monoamine oxydase

Aérosphère de Bevespi as with other beta 2 -Les agriculteurs doivent être administrés avec une extrême prudence aux patients traités avec des inhibiteurs de monoamine oxydase ou des antidépresseurs tricycliques ou d'autres médicaments connus pour prolonger l'intervalle QTC car l'action des agonistes adrénergiques du système cardiovasculaire peut être potentiel par ces agents. Les médicaments connus pour prolonger l'intervalle QTC peuvent être associés à un risque accru d'arythmies ventriculaires.

Bêta-bloquants

Les antagonistes des récepteurs bêta-adrénergiques (bêta-bloquants) et l'aérosphère Bevespi peuvent interférer avec l'effet les uns des autres lorsqu'ils sont administrés simultanément. Les bêta-bloquants bloquent non seulement les effets thérapeutiques de la version bêta 2 -Gestes mais peuvent produire un bronchospasme sévère chez les patients atteints de MPOC. Par conséquent, les patients atteints de MPOC ne doivent normalement pas être traités avec des bêta-bloquants. Cependant, dans certaines circonstances, par exemple Comme prophylaxie après infarctus du myocarde, il ne peut y avoir d'alternatives acceptables à l'utilisation de bêta-bloquants chez les patients atteints de MPOC. Dans ce réglage, les bêta-bloquants cardiosélectifs pourraient être pris en compte, bien qu'ils soient administrés avec prudence.

Anticholinergiques

Il existe un potentiel pour une interaction additive avec des médicaments anticholinergiques concomitants. Évitez donc la co-administration de l'aérosphère de Bevespi avec d'autres médicaments contenant des anticholinergiques car cela peut entraîner une augmentation des effets indésirables anticholinergiques [voir AVERTISSEMENTS AND PRÉCAUTIONS et Effets indésirables ].

Avertissements pour l'aérosphère Bevespi

Inclus dans le cadre du PRÉCAUTIONS section.

Précautions pour l'aérosphère Bevespi

Événements graves liés à l'asthme - Hospitalisations intubations mort

  • L'innocuité et l'efficacité de l'aérosphère de Bevespi chez les patients asthmatiques n'ont pas été établies. L'aérosphère Bevespi n'est pas indiquée pour le traitement de l'asthme [voir Contre-indications ].
  • Use of LABA as monotherapy [without inhaled corticosteroids (ICS)] for asthma is associated with an increased risk of asthma-related death. Available data from controlled clinical trials also suggest that use of LABA as monotherapy increases the risk of asthma-related hospitalization in pediatric and adolescent patients. These findings are considered a class effect of LABA monotherapy. When LABA are used in fixed-dose combination with ICS data from large clinical trials do not show a significant increase in the risk of serious asthma-related events (hospitalizations intubations death) compared with ICS alone.
  • A 28-week placebo-controlled US trial comparing the safety of another LABA (salmeterol) with placebo each added to usual asthma therapy showed an increase in asthma-related deaths in subjects receiving salmeterol (13/13176 in subjects treated with salmeterol vs. 3/13179 in subjects treated with placebo; RR 4.37 95% CI: 1.25 15.34). The increased risk of asthma-related death is considered a class effect of LABAs including formoterol fumarate one of the active ingredients in BEVESPI AEROSPHERE.
  • Aucun essai adéquat pour déterminer si le taux de décès liés à l'asthme est augmenté chez les patients traités avec l'aérosphère de Bevespi a été effectué.
  • Les données disponibles ne suggèrent pas un risque accru de décès avec l'utilisation de LABA chez les patients atteints de MPOC.

Détérioration des maladies et des épisodes aigus

Aérosphère de Bevespi should not be initiated in patients with acutely deteriorating MPOC which may be a life-threatening condition. Aérosphère de Bevespi has not been studied in patients with acutely deteriorating MPOC. The use of Aérosphère de Bevespi in this setting is inappropriate.

Aérosphère de Bevespi should not be used for the relief of acute symptoms i.e. as rescue therapy for the treatment of acute episodes of bronchospasm. Aérosphère de Bevespi has not been studied in the relief of acute symptoms et extra doses should not be used for that purpose. Acute symptoms should be treated with an inhaled short-acting beta 2 -Goniste.

Au début des patients atteints de l'aérosphère de Bevespi qui ont pris une version bêta à action courte inhalée 2 -Les agriculteurs régulièrement (par exemple quatre fois par jour) doivent être invités à interrompre l'utilisation régulière de ces médicaments et à les utiliser uniquement pour un soulagement symptomatique des symptômes respiratoires aigus. Lors de la prescription de l'aérosphère Bevespi, le fournisseur de soins de santé devrait également prescrire une bêta à action courte inhalée 2 -Goniste et demandez au patient comment il doit être utilisé. Augmentation de la version bêta inhalée 2 -Les ongonistes L'utilisation est un signal de détérioration de la maladie pour laquelle des soins médicaux proches sont indiqués.

MPOC may deteriorate acutely over a period of hours or chronically over several days or longer. If Aérosphère de Bevespi no longer controls the symptoms of bronchoconstriction or the patient’s inhaled short-acting beta 2 -Lesigistes devient moins efficace ou le patient a besoin de plus d'inhalations de bêta à action courte 2 -Goniste que d'habitude, ceux-ci peuvent être des marqueurs de détérioration de la maladie. Dans ce contexte, une réévaluation du patient et du régime de traitement de la MPOC doivent être entrepris immédiatement. L'augmentation de la dose quotidienne de l'aérosphère Bevespi au-delà de la dose recommandée n'est pas appropriée dans cette situation.

Utilisation excessive de Bevespi et utilisation avec une autre version bêta à longue durée 2 -Conistes

Comme avec d'autres médicaments inhalés contenant la version bêta 2 -Les agriculteurs de Bevespi ne doivent pas être utilisés plus souvent que recommandés à des doses plus élevées que recommandées ou en conjonction avec d'autres médicaments contenant des LABA en tant que surdose peut en résulter. Des effets cardiovasculaires cliniquement significatifs et des décès ont été signalés en association avec une utilisation excessive de médicaments sympathomimétiques inhalés. Les patients utilisant l'aérosphère Bevespi ne doivent pas utiliser un autre médicament contenant une LABA pour quelque raison que ce soit [voir Interactions médicamenteuses ].

Bronchospasme paradoxal

Comme pour les autres médicaments inhalés, l'aérosphère Betspi peut produire un bronchospasme paradoxal qui peut être mortel. Si le bronchospasme paradoxal se produit après la dosage avec l'aérosphère de Bevespi, il doit être traité immédiatement avec un bronchodilatateur à courte action inhalé, l'aérosphère Bevespi doit être arrêté immédiatement et une thérapie alternative doit être instituée.

Réactions d'hypersensibilité immédiates

Des réactions d'hypersensibilité immédiates ont été rapportées après l'administration de glycopyrrolate ou de fumarate de formotérol les composants de l'aérosphère Bevespi. Si des signes suggérant des réactions allergiques se produisent en particulier l'œdème de l'Eœud angio-germère (y compris les difficultés à respirer ou à avaler un gonflement des lèvres de la langue et du visage) l'urticaire ou une éruption cutanée Bevespi Aérosphère doit être arrêtée immédiatement et que un traitement alternatif doit être envisagé.

Effets cardiovasculaires

Fumarate de formothéir comme autre bêta 2 -Les agriculteurs peuvent produire un effet cardiovasculaire cliniquement significatif chez certains patients mesurés par l'augmentation de la pression artérielle systolique ou diastolique ou des symptômes diastoliques [voir Pharmacologie clinique ]. If such effects occur Aérosphère de Bevespi may need to be discontinued. In addition beta-agonists have been reported to produce electrocardiographic changes such as flattening of the T wave prolongation of the QTc interval et ST segment depression although the clinical significance of these findings is unknown.

Par conséquent, l'aérosphère de Bevespi doit être utilisée avec prudence chez les patients atteints de troubles cardiovasculaires, en particulier d'insuffisance coronarienne arythmies cardiaques et hypertension.

Conditions coexistantes

Aérosphère de Bevespi like all medications containing sympathomimetic amines should be used with caution in patients with convulsive disorders or thyrotoxicosis et in those who are unusually responsive to sympathomimetic amines. Doses of the related beta 2 -Longoniste albuterol, lorsqu'il a été administré par voie intraveineuse, il a été aggravé le diabète sucré préexistant et la cétoacidose.

Hypokaliémie et hyperglycémie

Bêta 2 -Les médicaments agricoles peuvent produire une hypokaliémie significative chez certains patients, éventuellement, par un shunt intracellulaire qui a le potentiel de produire des effets cardiovasculaires indésirables [voir Pharmacologie clinique ]. The decrease in serum potassium is usually transient not requiring supplementation. Bêta 2 -Les médicaments agricoles peuvent produire une hyperglycémie transitoire chez certains patients. Dans deux essais cliniques de 24 semaines et une étude d'extension de sécurité de 28 semaines évaluant l'aérosphère Bevespi chez les sujets atteints de MPOC, il n'y avait aucune preuve d'un effet de traitement sur le glucose sérique ou le potassium.

Aggravation du glaucome à angle étroit

Aérosphère de Bevespi should be used with caution in patients with narrow-angle glaucoma. Prescribers et patients should be alert for signs et symptoms of acute narrow-angle glaucoma (e.g. douleurs oculaires or discomfort vision floue visual halos or colored images in association with yeux rouges from conjunctival congestion et corneal edema). Demandez aux patients de consulter immédiatement un médecin si l'un de ces signes ou symptômes se développent.

Aggravation de la rétention urinaire

Aérosphère de Bevespi should be used with caution in patients with rétention urinaire. Prescribers et patients should be alert for signs et symptoms of urinary retention (e.g. difficulty passing urine miction douloureuse) especially in patients with prostatic hyperplasia or bladder-neck obstruction. Demandez aux patients de consulter immédiatement un médecin si l'un de ces signes ou symptômes se développent.

Informations de conseil des patients

Conseiller au patient de lire l'étiquetage des patients approuvé par la FDA ( Informations et instructions pour les patients pour une utilisation )

Événements sérieux liés à l'asthme

Informez les patients que les Labas tels que le fumarate de formotérol l'un des ingrédients actifs de l'aérosphère Bevespi lorsqu'ils sont utilisés seuls (sans corticostéroïde inhalé) augmentent le risque d'événements graves liés à l'asthme, y compris la mort liée à l'asthme. L'aérosphère Bevespi n'est pas indiquée pour le traitement de l'asthme.

Pas pour les symptômes aigus

Informer les patients qui, l'aérosphère Bevespi n'est pas censé soulager les symptômes aigus de la MPOC et les doses supplémentaires ne doivent pas être utilisées à cette fin. Conseillez-leur de traiter les symptômes aigus avec un inhalateur de sauvetage tel que l'albutérol. Fournir aux patients un tel médicament et les instruire sur la façon dont il doit être utilisé.

Demandez aux patients de consulter immédiatement un médecin s'ils vivent l'un des éléments suivants:

  • Les symptômes s'aggravent
  • Besoin de plus d'inhalations que d'habitude de leur inhalateur de sauvetage

Les patients ne doivent pas arrêter la thérapie avec l'aérosphère de Bevespi sans guidage médecin / fournisseur, car les symptômes peuvent se reproduire après l'arrêt.

N'utilisez pas de version bêta à longue durée 2 -Conistes

Demandez aux patients de ne pas utiliser d'autres médicaments contenant un LABA. Les patients ne doivent pas utiliser plus que la dose recommandée de l'aérosphère Bevespi.

Instruire les patients qui ont pris une version bêta à action courte inhalée 2 -Lesigistes sur une base régulière pour interrompre l'utilisation régulière de ces produits et les utiliser uniquement pour le soulagement symptomatique des symptômes aigus.

Bronchospasme paradoxal

Comme pour les autres médicaments inhalés, l'aérosphère Betspi peut provoquer un bronchospasme paradoxal. Si le bronchospasme paradoxal se produit, demandez aux patients d'interrompre l'aérosphère Bevespi.

Risques associés à la version bêta 2 -Pure thérapie

Informer les patients des effets indésirables associés à la version bêta 2 -Lesigistes tels que les palpitations douleur thoracique à rate cardiaque rapide tremblement ou nervosité.

Demandez aux patients de consulter immédiatement un médecin si l'un de ces signes ou symptômes se développent.

Aggravation du glaucome à angle étroit

Demandez aux patients d'être alertes pour les signes et symptômes d'un glaucome aigu à angle étroit (par exemple, la douleur oculaire ou l'inconfort des halos visuels visuels floues ou des images colorées en association avec les yeux rouges à partir de la congestion conjonctivale et de l'œdème cornéen). Demandez aux patients de consulter immédiatement un médecin si l'un de ces signes ou symptômes se développent.

Aggravation de la rétention urinaire

Demandez aux patients d'être alertes des signes et symptômes de rétention urinaire (par exemple, difficulté à passer une miction douloureuse urinaire). Demandez aux patients de consulter immédiatement un médecin si l'un de ces signes ou symptômes se développent.

Instructions pour administrer l'aérosphère Bevespi

Il est important que les patients comprennent comment administrer correctement l'aérosphère Bevespi [voir Instructions pour une utilisation ].

Informer les patients pour utiliser 2 inhalations de l'aérosphère Bevespi oralement deux fois par jour (2 inhalations le matin et 2 inhalations le soir).

Demandez aux patients d'amorcer l'aérosphère Bevespi avant de l'utiliser pour la première fois. Demandez aux patients d'amorcer l'aérosphère Bevespi en libérant 4 sprays dans l'air loin de leur visage qui secoue bien avant chaque pulvérisation. Informer les patients qui a l'aérosphère de Bevespi doit être rérimé lorsque l'inhalateur n'a pas été utilisé depuis plus de 7 jours. Demandez aux patients de réprimer l'aérosphère Bevespi en libérant 2 sprays dans l'air loin de leur visage en train de secouer bien avant chaque pulvérisation.

Informer les patients qu'il est très important de nettoyer Bevespi Aerosphère 1 fois par semaine afin que la médecine ne s'accumule pas et ne bloque pas le spray à travers l'embout buccal [voir Instructions pour une utilisation ]. Instruct patients to clean Aérosphère de Bevespi by taking the canister out of the actuator running warm water through the actuator et allowing the actuator to air-dry overnight. Instruct patients to insert the canister back into the actuator after it is dry et to re-prime Aérosphère de Bevespi. Instruct patients to re-prime Aérosphère de Bevespi by releasing 2 sprays into the air away from their face shaking well before each spray.

Informez les patients que s'ils manquent une dose d'aérosphère de Bevespi, ils devraient prendre leur prochaine dose à l'heure habituelle. Demandez aux patients de ne pas utiliser l'aérosphère de Bevespi plus souvent ou plus que plus souvent ou plus que ce à quoi ils n'ont été prescrits.

Demandez aux patients de ne pas pulvériser l'aérosphère Bevespi dans leurs yeux. Informez les patients que s'ils obtiennent accidentellement l'aérosphère de Bevespi dans leurs yeux pour rincer les yeux avec de l'eau et si des rougeurs ou une irritation persistent à consulter leur fournisseur de soins de santé.

Toxicologie non clinique

Carcinogenèse Mutagenèse A trouble de la fertilité

Aérosphère de Bevespi

Des études à long terme chez les animaux n'ont pas été réalisées pour évaluer le potentiel cancérigène de l'aérosphère Bevespi qui contient du glycopyrrolate et du fumarate de formotérol. Les données décrites ci-dessous pour les composants individuels s'appliquent à l'aérosphère Bevespi.

hydrocodone APAP 10-325
Glycopyrrate

Des études à long terme chez les animaux n'ont pas été réalisées pour évaluer le potentiel cancérigène du glycopyrrolate inhalé ou toute autre formulation de glycopyrrolate.

Glycopyrrate was not mutagenic in the bacterial reverse mutation assay the in vitro mammalian cell micronucleus assay in TK6 cells or the in vivo micronucleus assay in rats.

Dans les études de reproduction chez l'administration alimentaire des rats de glycopyrrolate, a entraîné une diminution des taux de conception d'une manière liée à la dose. D'autres études chez les chiens suggèrent que cela peut être dû à une diminution de la sécrétion séminale qui est évidente à des doses élevées de glycopyrrolate.

Fumarate de formotérol

Des études à long terme ont été menées chez des souris en utilisant l'administration orale et des rats en utilisant l'administration d'inhalation pour évaluer le potentiel cancérigène du fumarate de formotérol.

Dans une étude de cancérogénicité de 24 mois dans des souris CD-1, le fumarate de formoterol à des doses orales de 0,1 mg / kg et plus [environ 25 fois la dose d'inhalation quotidienne humaine maximale recommandée (MRHDID) sur une base de mg / m²] a provoqué une augmentation liée à la dose dans l'incidence des leiomyomas ultrahénières.

Dans une étude de cancérogénicité de 24 mois chez les rats Sprague-Dawley, une incidence accrue de léiomyome mésovarien et de léiomyosarcome utérine a été observée à la dose inhalée de 130 mcg / kg (environ 65 fois le MRHDID sur une base MCG / m²). Aucune tumeure n'a été observée à 22 mcg / kg (environ 10 fois le MRHDID sur une base MCG / m²).

D'autres médicaments bêta-agonistes ont également démontré une augmentation des léiomyomes du tractus génital chez les rongeurs femelles. La pertinence de ces résultats à l'usage humain est inconnue.

Le fumarate de formotérol n'était pas mutagène ou clastogène dans le test d'aberration du chromosome de la souris Salmonella / Microsome Test de la plaque de souris dans les lymphocytes humains et le test de micronucleus de rat.

Une réduction de la fertilité et / ou des performances de reproduction a été identifiée chez les rats mâles traités avec du formotérol à une dose orale de 15 mg / kg (environ 7600 fois le MRHDID sur une base mg / m²). Dans une étude distincte avec des rats mâles traités avec une dose orale de 15 mg / kg (environ 7600 fois le MRHDID sur une base de mg / m²), il y avait des résultats d'atrophie tubulaire testiculaire et de débris spermatiques dans les testicules et l'oligospermie dans les épididymides. Aucun effet de ce type n'a été observé à 3 mg / kg (environ 1500 fois le MRHDID sur une base de mg / m²). Aucun effet sur la fertilité n'a été détecté chez des rats femelles à des doses allant jusqu'à 15 mg / kg (environ 7600 fois le MRHDID sur une base de mg / m²).

Utiliser dans des populations spécifiques

Grossesse

Effets tératogènes

Grossesse Category C

Il n'y a pas d'essais adéquats et bien contrôlés sur l'aérosphère de Bevespi ou ses composants individuels glycopyrrate et fumarate de formotérol chez les femmes enceintes. Étant donné que les études de reproduction animale ne sont pas toujours prédictives de la réponse humaine, une aérosphère Bevespi ne doit être utilisée pendant la grossesse que si le bénéfice potentiel justifie le risque potentiel pour le fœtus. Il faut conseiller aux femmes de contacter leurs médecins si elles tombent enceintes tout en prenant l'aérosphère Bevespi.

Glycopyrrate

Il n'y avait aucune preuve d'effets tératogènes chez les rats et les lapins à environ 18000 et 270 fois respectivement la dose maximale de l'inhalation quotidienne humaine (MRHDID) chez les adultes (sur une base de mg / m² à une dose orale maternelle de 65 mg / kg / jour chez les rats et à un rabbot maternel.

Des études à dose unique chez l'homme ont révélé que de très petites quantités de glycopyrrolate passaient la barrière placentaire.

Fumarate de formotérol

Il a été démontré que le fumarate de formotérol est embryocide tératogène pour augmenter la perte de chiot à la naissance et pendant la lactation et diminuer les poids des chiots chez le rat et tératogène chez le lapin. Ces effets ont été observés à environ 1500 (rats) et 61000 (lapins) fois le MRHDID (sur une base de mg / m² à des doses orales maternelles de 3 mg / kg / jour et plus chez le rat et 60 mg / kg / jour chez les lapins). Une hernie ombilicale a été observée dans les fœtus de rat à environ 1500 fois le MRHDID (sur une base de mg / m² à des doses orales maternelles de 3 mg / kg / jour et plus). Une grossesse prolongée et une brachygnatie fœtale ont été observées chez le rat à environ 7600 fois le MRHDID (sur une base de mg / m² à une dose maternelle orale de 15 mg / kg / jour chez le rat). Dans une autre étude chez le rat, aucun effet tératogène n'a été observé à environ 600 fois le MRHDID (sur une base de mg / m² à des doses d'inhalation maternelle jusqu'à 1,2 mg / kg / jour chez les rats).

Des kystes sous-capsulaires sur le foie ont été observés dans les fœtus de lapin à une dose orale environ 61000 fois le MRHDID (sur une base de mg / m² à une dose orale maternelle de 60 mg / kg / jour chez les lapins). Aucun effet tératogène n'a été observé à environ 3600 fois le MRHDID (sur une base de mg / m² à des doses orales maternelles jusqu'à 3,5 mg / kg / jour).

Travail et accouchement

Il n'y a pas d'essais humains bien contrôlés qui ont étudié les effets de l'aérosphère de Bevespi sur le travail prématuré ou le travail à terme. Parce que Beta 2 -Lesigistes peuvent potentiellement interférer avec la contractilité utérine, une aérosphère Bevespi ne devrait être utilisée pendant la main-d'œuvre que si le bénéfice potentiel justifie le risque potentiel.

Mères qui allaitent

On ne sait pas si l'aérosphère Bevespi est excrétée dans le lait maternel. Étant donné que de nombreux médicaments sont excrétés dans le lait maternel et parce que le fumarate de formotérol, l'un des ingrédients actifs de l'aérosphère de Bevespi a été détecté dans le lait de la prudence des rats allaitants doit être exercé lorsque l'aérosphère de Bevespi est administrée à une femme qui allaitait. Étant donné qu'il n'y a pas de données provenant d'essais contrôlés sur l'utilisation de l'aérosphère Bevespi par les mères en soins infirmiers, une décision devrait être prise de cesser les soins infirmiers ou de cesser l'aérosphère Bevespi en tenant compte de l'importance de l'aérosphère de Bevespi à la mère.

Usage pédiatrique

Aérosphère de Bevespi is not indicated for use in children. The safety et effectiveness of Aérosphère de Bevespi in the pediatric population have not been established.

Utilisation gériatrique

Sur la base des données disponibles, aucun ajustement de la dose de l'aérosphère de Bevespi chez les patients gériatriques n'est nécessaire, mais une plus grande sensibilité chez certaines personnes âgées ne peut pas être exclue.

Les essais de confirmation de l'aérosphère de Bevespi pour la MPOC comprenaient 1680 sujets âgés de 65 ans et plus et de ces 290 sujets étaient âgés de 75 ans et plus. Aucune différence globale de sécurité ou d'efficacité n'a été observée entre ces sujets et les sujets plus jeunes.

Trouble hépatique

Les études pharmacocinétiques formelles utilisant l'aérosphère de Bevespi n'ont pas été menées chez des patients souffrant de troubles hépatiques. Cependant, puisque le fumarate de formotérol est principalement éliminé par l'altération du métabolisme hépatique de la fonction hépatique peut entraîner une accumulation de fumarate de formotérol dans le plasma. Par conséquent, les patients atteints de maladie hépatique doivent être étroitement surveillés.

Trouble rénal

Des études pharmacocinétiques formelles utilisant l'aérosphère Bevespi n'ont pas été menées chez des patients atteints de troubles rénaux. Chez les patients atteints d'une insuffisance rénale sévère (autorisation de créatinine de ≤ 30 ml / min / 1,73 m²) ou d'une maladie rénale terminale nécessitant une aérosphère de dialyse Beyvespi doit être utilisée si le bénéfice attendu l'emporte sur le risque potentiel [voir Pharmacologie clinique ].

Informations sur la surdose pour l'aérosphère Bevespi

Aucun cas de surdose n'a été signalé avec l'aérosphère Bevespi. L'aérosphère Bevespi contient à la fois du glycopyrrolate et du fumarate de formotérol; Par conséquent, les risques associés à un surdosage pour les composants individuels décrits ci-dessous s'appliquent à l'aérosphère Bevespi. Le traitement du surdosage consiste en l'arrêt de l'aérosphère de Bevespi ainsi que des établissements de thérapie symptomatique et / ou de soutien appropriée. L'utilisation judicieuse d'un bloqueur de récepteurs bêta cardiosélective peut être considérée comme en gardant à l'esprit que de tels médicaments peuvent produire du bronchospasme. La surveillance cardiaque est recommandée en cas de surdosage.

Glycopyrrate

Des doses élevées de glycopyrrolate Un composant de l'aérosphère de Bevespi peut entraîner des signes et des symptômes anticholinergiques tels que les nausées vomissant les étourdissements, la vision floue a augmenté la pression intraoculaire (provoquant des troubles de la vision de la douleur ou le rougeur de l'œil) ou les difficultés de violation. Cependant, il n'y avait pas d'effets indésirables anticholinergiques systémiques après des doses inhalées uniques jusqu'à 144 mcg chez les sujets atteints de MPOC.

Fumarate de formotérol

Une surdose de fumarate de formoterol entraînerait probablement une exagération des effets typiques de la version bêta 2 -GONISTES: CONSEURS HYPORENCE HYPOTENTISENCE TACHYCARDIE TACHYCARDIE ET ​​TACHYARRICALE VENTRICULAIRE Nervauté Maux de tête Palpitations Muscle Crampes Nausea Drizziness Sleep Dismurlations Metabolic Acidose Hyperglycémie Hypokaliémie. Comme pour tous les médicaments sympathomimétiques, l'arrêt cardiaque et même la mort peuvent être associés à l'abus de fumarate de formotérol.

Contre-indications pour l'aérosphère Bevespi

Utilisation d'une version bêta à longue durée 2 - Agoniste adrénergique (LABA), y compris le fumarate de formotérol L'un des ingrédients actifs de l'aérosphère Bevespi sans corticostéroïde inhalé est contre-indiqué chez les patients souffrant d'asthme [voir AVERTISSEMENTS AND PRÉCAUTIONS ]. Aérosphère de Bevespi is not indicated for the treatment of asthme.

Aérosphère de Bevespi is contraindicated in patients with hypersensitivity to glycopyrrolate formoterol fumarate or to any component of the product [see AVERTISSEMENTS AND PRÉCAUTIONS ].

Pharmacologie clinique for Bevespi Aerosphere

Mécanisme d'action

Aérosphère de Bevespi

Aérosphère de Bevespi contains both glycopyrrolate et formoterol fumarate. The mechanism of action described below for the individual components apply to Aérosphère de Bevespi. These drugs represent two different classes of medications (a long-acting muscarinic antagonist et a long-acting selective beta 2 -Agoniste adréncepteur) qui ont des effets différents sur les indices cliniques et physiologiques.

Glycopyrrate

Glycopyrrate is a long-acting antimuscarinic agent which is often referred to as an anticholinergique. It has similar affinity to the subtypes of muscarinic receptors M1 to M5. In the airways it exhibits pharmacological effects through inhibition of the M3 receptor at the smooth muscle leading to bronchodilation. The competitive et reversible nature of antagonism was shown with human et animal origin receptors et isolated organ preparations. In preclinical in vitro as well as in vivo studies prevention of methylcholine et acetylcholine-induced bronchoconstrictive effects was dose-dependent et lasted more than 12 hours. The clinical relevance of these findings is unknown. The bronchodilation following inhalation of glycopyrrolate is predominantly a site-specific effect.

Fumarate de formotérol

Le fumarate de formotérol est une version bêta sélective à action prolongée 2 -Goniste adrénergique (bêta 2 -Goniste) avec un début d'action rapide. Le fumarate de formotérol inhalé agit localement dans le poumon comme bronchodilatateur. Des études in vitro ont montré que le formotérol a plus de 200 fois plus de 200 activités agonistes à la bêta 2 -recepteurs que chez les récepteurs beta1. La sélectivité de liaison in vitro à la bêta 2 -Les bêta-récepteurs des bêta-récepteurs sont plus élevés pour le formotérol que pour l'albutérol (5 fois) tandis que le salméterol a une bêta plus élevée (3 fois) 2 - Ratio de sélectivité que le formotérol.

Bien que bêta 2 -Les récepteurs sont les récepteurs adrénergiques prédominants du muscle lisse bronchique et les récepteurs bêta1 sont les récepteurs prédominants dans le cœur il y a aussi 2 Les récepteurs du cœur humain représentant 10% à 50% du total des récepteurs bêta-adrénergiques.

La fonction précise de ces récepteurs n'a pas été établie mais ils soulèvent la possibilité que même la version bêta hautement sélective 2 -Les agriculteurs peuvent avoir des effets cardiaques.

Les effets pharmacologiques de la version bêta 2 -Les médicaments agonistes adrénergateurs, y compris le fumarate de formotérol, sont au moins en partie attribuables à la stimulation de l'adényl cyclase intracellulaire L'enzyme qui catalyse la conversion de l'adénosine triphosphate (ATP) en cyclique-3 '5'adénosine monophosphate (AMP cyclique). Une augmentation des niveaux d'AMP cyclique provoque la relaxation du muscle lisse bronchique et l'inhibition de la libération de médiateurs de l'hypersensibilité immédiate des cellules, en particulier des mastocytes.

Les tests in vitro montrent que le fumarate de formotérol est un inhibiteur de la libération de médiateurs de mastocytes tels que l'histamine et les leucotriènes du poumon humain. Le fumarate de formotérol inhibe également l'extravasation de l'albumine plasmatique induite par l'histamine chez les cobayes anesthésiés et inhibe l'afflux d'éosinophile induit par des allergènes chez les chiens atteints d'hyper-réponse des voies respiratoires. La pertinence de ces résultats in vitro et animaux pour l'homme est inconnu.

Pharmacodynamique

Effets cardiovasculaires: Healthy Subjects

Le potentiel de prolongation de l'intervalle QTC a été évalué dans un essai croisé à dose unique en double aveugle et à contrôlée positive chez 69 sujets sains. Les différences moyennes de confiance supérieure (à 90% supérieures) par rapport au placebo dans le QTCI corrigé de base pour 2 inhalations de l'aérosphère de Bevespi et de glycopyrrate / fumarate de formoterol 72 / 19,2 mcg étaient de 3,1 (NULL,7) ms et 7,6 (NULL,2) MS respectivement et excluaient le seuil cliniquement pertinent de 10 ms.

Une augmentation dose-dépendante de la fréquence cardiaque a également été observée. Les différences moyennes (à 90% de confiance supérieure) du placebo dans la fréquence cardiaque corrigée de base étaient de 3,3 (NULL,9) battements / min et 7,6 (NULL,5) battements / min observés dans les 10 minutes suivant le dosage avec 2 inhalations de BEVESPI AEROSPHERE ET GLYCOPYRROLATE / FORTOTEROL FUMARATE 72 / 19.2 MCG respectivement.

Bronchopneumopathie chronique obstructive

L'effet du fumarate de glycopyrrolate / formotérol sur le rythme cardiaque chez les sujets atteints de MPOC a été évalué en utilisant une surveillance de Holter 24 heures dans les essais de 2 semaines et 24 semaines. Tous les traitements ont été administrés sous forme de deux inhalations deux fois par jour. Dans l'essai de 2 semaines, la population de surveillance de Holter comprenait 58 sujets sur le glycopyrrolate / fumarate de formoterol 18 / 4,8 MCG 58 sujets sur le glycopyrrote 18 mcg et 60 sujets sur le fumarate de formotérol 4,8 mcg. Dans l'essai de 24 semaines, la population de surveillance de Holter comprenait 171 sujets sur les sujets de Bevespi Aerosphère 160 sur le glycopyrrote 9 mcg 174 sujets sur le fumarate de formotérol 4,8 mcg et 80 sujets sur le placebo. Aucun effet cliniquement significatif sur le rythme cardiaque n'a été observé.

Pharmacocinétique

La pharmacocinétique linéaire a été observée pour le glycopyrrolate (plage de dose: 18 à 144 mcg) et le fumarate de formotérol (plage de dose: 2,4 à 19,2 mcg) après inhalation orale.

Absorption

Glycopyrrate

Après l'administration inhalée de l'aérosphère de Bevespi chez les sujets atteints de CMAX, s'est produit à 5 minutes. L'état d'équilibre devrait être atteint dans les 2 à 3 jours suivant le dosage répété de l'aérosphère Bevespi et l'étendue de l'exposition est environ 2,3 fois plus élevée qu'après la première dose.

Fumarate de formotérol

Après l'administration inhalée de l'aérosphère de Bevespi chez les sujets atteints de CMAX de la MPOC s'est produit dans les 20 à 60 minutes. L'état d'équilibre devrait être atteint dans les 2-3 jours suivant l'administration répétée avec l'aérosphère Bevespi et l'étendue de l'exposition est environ 1,5 fois plus élevée qu'après la première dose.

Distribution

Glycopyrrate

L'analyse pharmacocinétique de la population a montré que le VC / F estimé (volume du compartiment central) et V2 / F (volume du compartiment périphérique) sont respectivement de 951 L et 2019 L.

Fumarate de formotérol

L'analyse pharmacocinétique de la population a montré que le VC / F estimé (volume du compartiment central) et V2 / F (volume du compartiment périphérique) sont respectivement de 948 L et 434 L. Au-dessus de la plage de concentration de 10 à 500 nmol / L, la liaison aux protéines plasmatiques de la formotérol variait de 46% à 58%.

Métabolisme

Glycopyrrate

Sur la base des informations du métabolisme de la littérature publiée joue un rôle mineur dans l'élimination globale du glycopyrrolate.

Fumarate de formotérol

Le métabolisme primaire du formotérol est par glucuronidation directe et par déméthylation, suivie d'une conjugaison aux métabolites inactifs. Les voies métaboliques secondaires comprennent la déformylation et la conjugaison du sulfate. Le CYP2D6 et le CYP2C ont été identifiés comme étant principalement responsables de la déméthylation.

Élimination

Glycopyrrate

Après l'administration IV d'un glycopyrlate radiomarqué de 0,2 mg, 85% de la dose récupérée a été récupérée dans l'urine 48 heures après la dose et une partie de la radioactivité a également été récupérée dans la bile. La demi-vie d'élimination terminale dérivée via l'analyse de la pharmacocinétique de la population était de 11,8 heures.

Fumarate de formotérol

L'excrétion du formothérol a été étudiée chez quatre sujets sains après l'administration simultanée de formotationol radiomarqué via les voies orales et IV. Dans cette étude, 62% du formotérol radiomarqué a été excrété dans l'urine tandis que 24% ont été éliminés dans les excréments. La demi-vie d'élimination terminale dérivée via l'analyse de la pharmacocinétique de la population était de 11,8 heures.

Populations spéciales

Effet de la race sexuelle / ethnique ou du poids corporel

L'analyse pharmacocinétique de la population n'a montré aucune preuve d'un effet cliniquement significatif de la race sexuelle / ethnique ou du poids corporel sur l'âge sur la pharmacocinétique du glycopyrrolate et du formotérol.

Trouble hépatique

Des études dédiées évaluant l'effet de la déficience hépatique sur la pharmacocinétique du glycopyrrolate et du formotérol n'ont pas été menées.

Trouble rénal

Des études dédiées évaluant l'effet de la déficience rénale sur la pharmacocinétique du glycopyrrolate et du formotérol n'ont pas été menées. Lorsque le glycopyrrolate a été administré IV chez les patients urémiques subissant une transplantation rénale, l'élimination moyenne que la demi-vie était significativement plus longue (NULL,8 minutes) que chez les patients en bonne santé (NULL,6 minutes). L'AUC moyen (NULL,6 h-μg / L) le dégagement du plasma moyen (NULL,43 L / h / kg) et l'excrétion d'urine moyenne de 3 heures (NULL,7%) pour le glycopyrrolate étaient également significativement différents de ceux des témoins (NULL,73 h μg / L 1,14 L / h / kg et 50% respectivement). Une analyse pharmacocinétique de la population utilisant l'aérosphère de Bevespi a montré que l'exposition systémique du formotorol (AUC0-12) chez les sujets atteints de MPOC avec une insuffisance rénale modérée (45 ml / min de créatinine) devrait être environ 45% plus élevée par rapport aux sujets avec la BPCO avec une fonction rénale normale (94 ml / min Créatine Créatine).

Interactions médicamenteuses

Aucune interaction pharmacocinétique n'est attendue lorsque le glycopyrrolate et le fumarate de formotérol sont administrés en combinaison par l'itinéraire inhalé. Des études spécifiques d'interaction médicament-médicament n'ont pas été réalisées avec du glycopyrrate ou du fumarate de formotérol.

Études cliniques

L'innocuité et l'efficacité de l'aérosphère de Bevespi ont été évaluées dans un programme de développement clinique qui comprenait 8 essais de régime dose et deux essais de fonctions pulmonaires contrôlés par placebo d'une durée de 24 semaines qui comprenait une étude d'extension de 28 semaines pour évaluer la sécurité sur un an. L'efficacité de l'aérosphère de Bevespi est basée sur les essais de variation de dose chez 822 sujets atteints de MPOC et les 2 essais de confirmation contrôlés par placebo chez 3705 sujets atteints de MPOC.

Essais à dose

La sélection de la dose pour l'aérosphère Bevespi pour la MPOC était principalement basée sur les données des composants individuels du glycopyrrolate et du fumarate de formotérol chez les patients atteints de MPOC. Sur la base des résultats de ces études, le fumarate de glycopyrrolate / formotérol 18/9,6 MCG administré deux fois par jour a été évalué dans les essais de MPOC confirmatoires.

Glycopyrrate

La sélection de la dose pour le glycopyrrolate a été soutenue par un essai croisé incomplet en double aveugle randomisé à 14 jours contrôlé par placebo évaluant 6 doses de glycopyrrolate (GP MDI 18 à 0,6 mcg) administré deux fois par jour et un contrôle actif ouvert sur 140 sujets atteints de BPP. Un ordre de dose a été observé avec le glycopyrrote 18 mcg démontrant des améliorations plus importantes de la FEV 1 Plus de 12 heures par rapport au glycopyrroge 9 4,6 2,4 1,2 et 0,6 mcg (figure 1).

Figure 1: Changement moyen par rapport à la ligne de base en FEV 1 Au fil du temps le jour 14 (population de mitaux)

 Mean Change from Baseline in FEV <sub> 1 </sub>  Au fil du temps le jour 14 - Illustration

La différence par rapport au placebo dans le changement par rapport à la ligne de base dans le creux FEV 1 Après 14 jours pour le 18 9 4,6 2,4 1,2 et 0,6 mcg Les doses étaient de 97 ml (IC à 95%: 45 149) 88 ml (IC à 95%: 37 139) 75 ml (95% IC: 24 125) 84 ml (95% IC: 33 135) 76 ml (95%) respectivement. Deux essais supplémentaires de dose (essais à dose unique et à 7 jours) chez les sujets atteints de MPOC ont démontré un avantage supplémentaire minimal à des doses supérieures à 18 mcg de glycopyrrolate. Les résultats ont soutenu la sélection de 18 mcg de glycopyrrolate deux fois par jour dans les essais de MPOC confirmatoires.

Des évaluations de l'intervalle de dosage approprié pour le glycopyrrolate ont été effectuées en comparant à l'aérosol inhalation de bromure d'ipratropium ouvert à l'ouverture quatre fois par jour. Les résultats ont soutenu la sélection d'un intervalle de dosage deux fois par jour pour une évaluation plus approfondie dans les essais de MPOI confirmatoires.

Fumarate de formotérol

La sélection de la dose pour le fumarate de formotérol a été soutenue par un essai croisé à double aveugle randomisé à dose à dose unique évaluant 3 doses de fumarate de formoterol (FF MDI 9,6 4,8 et 2,4 mcg) un contrôle actif ouvert et un placebo chez 34 sujets atteints de CDPD. Une commande de dose a été observée avec la dose de fumarate de formoterol 9,6 mcg démontrant des améliorations plus importantes de la FEV 1 Plus de 12 heures par rapport aux doses inférieures de 4,8 et 2,4 mcg (figure 2).

Figure 2: Changement moyen par rapport à la ligne de base en FEV 1 Au fil du temps le jour 1

Mean Change from Baseline in FEV <sub> 1 </sub>  Au fil du temps le jour 1 - illustration

Les différences de changement moyen par rapport à la base de base dans le FEV normalisé 1 AUC0-12 pour le fumarate de formotérol 9,6 4,8 et 2,4 mcg par rapport au placebo était de 176 ml (IC à 95%: 138 214) 103 (IC à 95%: 66 140) et 81 (IC à 95%: 45 118). Ces résultats ont fourni un support pour la sélection de 9,6 mcg de fumarate de formoterol deux fois par jour dans les essais de MPOI confirmatoires.

Essais de confirmation

Le programme de développement clinique de l'aérosphère de Bevespi comprenait deux essais parallèles à groupe parallèle contrôlé par placebo (essai 1 et essai 2) chez des sujets avec une MPOC modérée à très sévère conçue pour évaluer l'efficacité de l'aérosphère Bevespi sur la fonction pulmonaire. Les essais de 24 semaines comprenaient 3699 sujets qui avaient un diagnostic clinique de MPOC étaient comprises entre 40 et 80 ans, des antécédents de tabagisme plus élevés ou égaux à 10 ans avaient un FEV post-albutérol 1 moins de 80% des valeurs normales prévues et avaient un rapport de FEV 1 / FVC inférieur à 0,7. La majorité des patients étaient des hommes (56%) et du caucasien (91%) avec un âge moyen de 63 ans et des antécédents de tabagisme moyens de 51 ans-années (54% des fumeurs actuels). Pendant le dépistage, le pourcentage post-bronchodilatateur prédit la FEV prédite 1 était de 51% (extrêmes: 19% à 82%) et la réversibilité en pourcentage moyenne était de 20% (fourchette: -32% à 135%).

L'essai 1 et l'essai 2 ont évalué l'aérosphère Bevespi (fumarate de glycopyrrolate / formotérol) 18 mcg / 9,6 mcg glycopyrrate 18 mcg Formoterol Fumarate 9,6 mcg et placebo administré deux fois par jour (BID). L'essai 1 comprenait également un contrôle actif ouvert.

Le critère d'évaluation principal était le changement par rapport à la référence dans le FEV du creux 1 à la semaine 24 par rapport au glycopypyrroge placebo 18 MCG BID ET FORTOTEROL FUMARATE 9.6 MCG BID. La comparaison de l'aérosphère Bevespi avec le glycopyrrote 18 mcg et le fumarate de formoterol 9,6 mcg a été évaluée pour évaluer la contribution des composants individuels à l'aérosphère d'âge. Dans les deux essais, l'aérosphère Bevespi a démontré une augmentation plus importante du changement moyen par rapport à la ligne de base dans la FEV auge 1 à la semaine 24 par rapport au glycopypyrroge placebo 18 mcg et fumarate de formoterol 9,6 mcg (tableau 2).

Tableau 2: Changement moyen des moindres carrés (LS) par rapport à la ligne de base dans le maréchal-file du matin FEV 1 (ML) à la semaine 24 dans l'essai 1 et l'essai 2 (population en intention de traiter)

Traitement N Fev auge 1 (ML) à la semaine 24
Différer par rapport à
Placebo* LS Mean (95% CI) Glycopyrrote 18 mcg offre* LS Mean (95% CI) Formoterol Fumarate 9,6 MCG BID* LS Mean (95% CI)
Procès 1
Aérosphère de Bevespi 429 N = 161 N = 344 N = 367
150 ml (114 186) 59 ml (31 88) 64 ml (36 92)
Procès 2
Aérosphère de Bevespi 433 N = 170 N = 367 N = 350
103 ml (67 140) 54 ml (25 83) 56 ml (27 85)
N = nombre dans l'intention de traiter la population
* Les comparateurs de fumarate de glycopyrrolate et de formotérol placebo ont utilisé le même inhalateur et les mêmes excipients que l'aérosphère Bevespi.

Avec les données limitées disponibles, il y avait des améliorations cohérentes de la FEV de creux 1 En ce qui concerne le degré sexuel d'âge de la limitation du flux d'air, le statut de tabagisme en or ou l'utilisation de corticostéroïdes inhalés.

Dans les essais 1 et 2, des évaluations en spirométrie en série ont été effectuées tout au long de l'intervalle de dosage de 12 heures dans un sous-ensemble de sujets (n = 718 et n = 585 respectivement) au jour 1 et semaine 12. 1 L'AUC0-12H était similaire à ceux observés dans l'essai 1.

Figure 3: Changement moyen par rapport à la ligne de base en FEV 1 Au fil du temps aux jours 1 et semaine 12 (essai 1)

Mean Change from Baseline in FEV <sub> 1 </sub>  Au fil du temps aux jours 1 et semaine 12 - illustration

Dans les deux essais, pic FEV 1 a été défini comme le FEV maximum 1 Enregistré dans les 2 heures suivant la dose des médicaments d'essai. Le pic moyen FEV 1 L'amélioration par rapport à la ligne de base avec l'aérosphère de Bevespi par rapport au placebo à la semaine 24 était de 291 ml (IC à 95%: 252 331) et 267 ml (IC à 95%: 226 308) dans les essais 1 et l'essai 2 respectivement. L'aérosphère de Bevespi a démontré un début de l'effet de traitement bronchodilatoire à 5 minutes après la première dose sur la base d'une augmentation moyenne du FEV 1 Comparé au placebo de 187 ml (IC à 95%: 168 205) et 186 ml (IC à 95%: 164 207) dans les essais 1 et l'essai 2 respectivement. Dans les deux sujets 1 et 2 traités avec l'aérosphère Bevespi, a utilisé moins d'albutérol de sauvetage quotidien par rapport aux sujets traités avec un placebo.

Le questionnaire respiratoire de St. George (SGRQ) a été évalué dans les essais 1 et 2. Dans l'essai 1, le taux de répondeur SGRQ (défini comme une amélioration du score de 4 ou plus en tant que seuil) était de 37% 30% 35% et 28% pour les cotes de l'aérosphère de Bevespi, le glycopyrrote (IC à 95%: 0,9 1,5) et 1,5 (IC à 95%: 1,1 2,1) pour l'aérosphère de Bevespi vs Glycopyrrotel Aérosphère Bevespi vs Formoterol Fumarate et BEVEVESPI AEROSPhere vs placebo respectivement. Dans l'essai 2, les tendances étaient similaires avec des rapports de cotes de 1,2 (IC à 95%: 0,9 1,6) 1,3 (IC à 95%: 1,0 1,7) et 1,3 (IC à 95%: 0,9 1,8) pour l'aérosphe de Bevespi vs Glycopyrratel BeveSpi Aerosphère vs Formotherol Fumarate et Bevevespi Aerosphère Vs.

Informations sur les patients pour l'aérosphère Bevespi

Aérosphère de Bevespi™
(L'atmosphère Be-es-Pee Air-OH)
(Glycopyrrate et Formotérol Fumarate) Aérosol d'inhalation pour une utilisation inhalation orale

Qu'est-ce que l'aérosphère Bevespi?

Aérosphère de Bevespi combines an anticholinergique glycopyrrolate et a long-acting beta 2 -Agoniste adrénergique (LABA) Formoterol Fumarate.

  • Les médicaments anticholinergiques et LABA aident les muscles autour des voies respiratoires de vos poumons à rester détendus pour prévenir les symptômes tels que la respiration sifflante de la poitrine de la toux et l'essoufflement. Ces symptômes peuvent se produire lorsque les muscles autour des voies respiratoires se resserrent. Cela rend difficile le respirer.
  • Aérosphère de Bevespi is a prescription medicine used to treat MPOC. MPOC is a chronic lung disease that includes chronic bronchitis emphysema or both.
  • Aérosphère de Bevespi is used long term as 2 inhalations 2 times each day in the morning et in the evening to improve symptoms of MPOC for better breathing.
  • Aérosphère de Bevespi is not for use to treat sudden symptoms of MPOC. Ayez toujours un inhalateur de sauvetage (un bronchodilatateur à courte durée d'action inhalé) avec vous pour traiter les symptômes soudains. Si vous n'avez pas d'inhalateur de sauvetage, contactez votre fournisseur de soins de santé pour en avoir un prescrit pour vous.
  • Aérosphère de Bevespi is not for the treatment of asthme. On ne sait pas si l'aérosphère Bevespi est sûre et efficace chez les personnes asthmatiques.
  • Aérosphère de Bevespi should not be used in children. It is not known if Aérosphère de Bevespi is safe et effective in children.

N'utilisez pas l'aérosphère Bevespi si vous:

  • sont allergiques au fumarate de formotérol glycopyrrote ou à l'un des ingrédients de l'aérosphère Bevespi. Voir la fin de ce dépliant d'information du patient pour une liste complète des ingrédients.
  • avoir de l'asthme.

Avant d'utiliser l'aérosphère Bevespi, informez votre fournisseur de soins de santé de toutes vos conditions médicales, y compris si vous:

  • avoir des problèmes cardiaques
  • avoir une pression artérielle élevée
  • avoir des crises
  • avoir des problèmes de thyroïde
  • avoir le diabète
  • avoir des problèmes de foie
  • avoir des problèmes oculaires tels que le glaucome. L'aérosphère Bevespi peut aggraver votre glaucome.
  • avoir des problèmes de prostate ou de la vessie ou des problèmes de passage de l'urine. L'aérosphère Bevespi peut aggraver ces problèmes.
  • sont allergiques à tout autre médicament ou produits alimentaires
  • avoir d'autres conditions médicales
  • sont enceintes ou prévoient de devenir enceintes. On ne sait pas si l'aérosphère Bevespi peut nuire à votre bébé à naître.
  • allaitent ou prévoient d'allaiter. On ne sait pas si les médicaments glycopyrrolate et le fumarate de formoterol dans l'aérosphère de Bevespi passent dans votre lait maternel et s'il peut nuire à votre bébé.

Parlez à votre fournisseur de soins de santé de tous les médicaments que vous prenez y compris les médicaments sur ordonnance et en vente libre des vitamines et des suppléments à base de plantes. L'aérosphère Bevespi et certains autres médicaments peuvent interagir les uns avec les autres. Cela peut provoquer de graves effets secondaires. Parlez surtout de votre fournisseur de soins de santé si vous prenez:

  • anticholinergiques (including tiotropium ipratropium aclidinium et umeclidinium)
  • Autres Labas (y compris le salméterol arformmotérol vilanterol olodaterol and indacaterol)
  • atropine

Connaissez les médicaments que vous prenez. Gardez une liste d'entre eux pour montrer votre fournisseur de soins de santé et votre pharmacien chaque fois que vous obtenez un nouveau médicament.

Comment utiliser l'aérosphère Bevespi?

Lisez les instructions étape par étape pour utiliser l'aérosphère Bevespi à la fin de ces informations du patient.

  • Ne pas Utilisez l'aérosphère Bevespi à moins que votre fournisseur de soins de santé ne vous ait appris à utiliser l'inhalateur et que vous comprenez comment l'utiliser correctement.
  • Utilisez l'aérosphère Bevespi exactement comme prescrit. N'utilisez pas plus souvent l'aérosphère Bevespi que prescrite.
  • Utilisez 2 inhalations de l'aérosphère de Bevespi 2 fois par jour (le matin et le soir).
  • Si vous manquez une dose d'aérosphère Bevespi, prenez votre prochaine dose en même temps que vous le faites normalement. Ne prenez pas plus que votre dose prescrite de l'aérosphère Bevespi.
  • Si vous prenez trop d'aérosphère Bevespi appelez votre fournisseur de soins de santé ou allez immédiatement aux urgences de l'hôpital le plus proche si vous avez des symptômes inhabituels tels que l'aggravation de la douleur de la poitrine de l'espainage augmentant la fréquence cardiaque ou la tremblement.
  • Ne pas Vaporisez l'aérosphère Bevespi dans vos yeux. Si Bevespi Aerosphère entre dans vos yeux, rincez-les bien avec de l'eau. Si les rougeurs continuent, appelez votre fournisseur de soins de santé.
  • Ne pas Arrêtez d'utiliser l'aérosphère Bevespi, sauf si votre fournisseur de soins de santé peut le faire car vos symptômes pourraient revenir. Votre fournisseur de soins de santé changera vos médicaments au besoin.
  • Ne pas use other medicines that contain a LABA or an anticholinergique for any reason. Demandez à votre fournisseur de soins de santé ou à votre pharmacien si l'un de vos autres médicaments est la LABA ou les médicaments contenant de l'anticholinergique.
  • Aérosphère de Bevespi does not relieve sudden symptoms of MPOC. Ayez toujours un inhalateur de sauvetage avec vous pour traiter les symptômes soudains. Si vous n'avez pas d'inhalateur de sauvetage, appelez votre fournisseur de soins de santé pour en avoir un prescrit pour vous.
  • Appelez votre fournisseur de soins de santé ou obtenez des soins médicaux immédiatement Vos problèmes de respiration empirent; Vous devez utiliser votre inhalateur de sauvetage plus souvent que d'habitude ou votre inhalateur de sauvetage ne fonctionne pas aussi bien pour soulager vos symptômes.

Quels sont les effets secondaires possibles avec l'aérosphère Bevespi?

Aérosphère de Bevespi can cause serious side effects including:

  • Les personnes souffrant d'asthme qui prennent des médicaments LABA tels que le fumarate de formotérol (l'un des médicaments de l'aérosphère Bevespi) sans également utiliser de médicament appelé corticostéroïde inhalé ont un chariot croisé de problèmes graves de l'asthme, y compris d'être hospitalisé, nécessitant un tube placé dans leurs voies respiratoires pour les aider à respirer ou à la mort.
  • Appelez votre fournisseur de soins de santé si les problèmes de respiration aggravent avec le temps lors de l'utilisation de l'aérosphère Bevespi. Vous pouvez avoir besoin d'un traitement différent.
  • Obtenez des soins médicaux d'urgence si:
    • Vos problèmes de respiration aggravent rapidement
    • Vous utilisez votre médicament contre l'inhalateur de sauvetage mais il ne soulage pas vos problèmes respiratoires
  • L'utilisation trop d'un médicament LABA peut provoquer:
    • douleur thoracique
    • rythme cardiaque rapide et irrégulier
    • tremblement
    • augmentation de la tension artérielle
    • mal de tête
    • nervosité
  • MPOC symptoms can get worse over time. Si vos symptômes de MPOC aggravent avec le temps, n'augmentez pas votre dose de l'aérosphère Bevespi, appelez votre fournisseur de soins de santé.
  • Problèmes de respiration soudaine Immédiatement après avoir inhalé votre médicament. Si vous avez des problèmes de respiration soudains immédiatement après l'inhalation de votre médicament, arrêtez d'utiliser l'aérosphère Bevespi et appelez votre fournisseur de soins de santé immédiatement.
  • Réactions allergiques graves. Appelez votre fournisseur de soins de santé ou obtenez des soins médicaux d'urgence si vous obtenez l'un des symptômes suivants d'une réaction allergique grave:
    • éruption cutanée
    • urticaire
    • gonflement du visage bouche et langue
    • problèmes de respiration
  • Effets sur votre cœur:
    • Augmenter la pression artérielle
    • un rythme cardiaque rapide ou irrégulier
    • douleur thoracique
  • Effets sur votre système nerveux:
    • tremblement
    • nervosité
  • Changements dans les niveaux sanguins de laboratoire y compris des niveaux élevés de glycémie (hyperglycémie) et de faibles niveaux de potassium (hypokaliémie) qui peuvent provoquer des symptômes de faiblesse musculaire du spasme musculaire ou de rythme cardiaque anormal.
  • Des problèmes oculaires nouveaux ou aggravés, y compris le glaucome à angle étroit aigu. Le glaucome aigu à angle étroit peut provoquer une perte de vision permanente si elle n'est pas traitée. Les symptômes du glaucome aigu à angle étroit peuvent inclure:
    • douleurs oculaires or discomfort
    • nausée or vomiting
    • vision floue
    • voir des halos ou des couleurs vives autour des lumières
    • yeux rouges

Si vous avez ces symptômes, appelez votre prestataire de soins de santé immédiatement avant de prendre une autre dose.

  • rétention urinaire. Les personnes qui prennent l'aérosphère Bevespi peuvent développer une rétention urinaire nouvelle ou pire. Les symptômes de rétention urinaire peuvent inclure:
    • difficulté à uriner
    • miction douloureuse
    • Uriner fréquemment
    • Urination dans un flux faible ou des gouttes

Si vous avez ces symptômes de rétention urinaire, arrêtez de prendre l'aérosphère Bevespi et appelez immédiatement votre fournisseur de soins de santé avant de prendre une autre dose.

Les effets secondaires courants de l'aérosphère Bevespi comprennent: l'infection des voies urinaires et la toux.

Parlez à votre fournisseur de soins de santé de tout effet secondaire qui vous dérange ou qui ne disparaît pas.

Ce ne sont pas tous les effets secondaires possibles de l'aérosphère Bevespi. Pour plus d'informations, demandez à votre fournisseur de soins de santé ou à votre pharmacien.

Appelez votre médecin pour des conseils médicaux sur les effets secondaires. Vous pouvez signaler les effets secondaires à la FDA au 1-800-FDA-1088.

Vous pouvez également signaler les effets secondaires à AstraZeneca au 1-800-236-9933.

Comment stocker l'aérosphère Bevespi?

  • Stockez l'aérosphère Bevespi à température ambiante entre 68 ° F à 77 ° F (20 ° C à 25 ° C).
  • Ne pas Mettez un trou dans la cartouche de l'aérosphère Bevespi.
  • Ne pas Utiliser ou stocker l'aérosphère Bevespi près de la chaleur ou une flamme. Les températures supérieures à 120 ° F (49 ° C) peuvent provoquer l'éclatement de la cartouche.
  • Ne pas Jetez la cartouche de l'aérosphère Bevespi dans un feu ou un incinérateur.
  • Jetez l'aérosphère de Bevespi 3 mois après avoir ouvert la pochette en papier d'aluminium (3 semaines pour la cartouche de 28 inhalation) ou lorsque l'indicateur de dose atteint zéro 0 selon la première éventualité.
  • Gardez l'aérosphère Bevespi et tous les médicaments hors de portée des enfants.

Informations générales sur l'utilisation sûre et efficace de l'aérosphère Bevespi

Les médicaments sont parfois prescrits à des fins autres que celles énumérées dans une brochure d'information du patient. N'utilisez pas l'aérosphère Bevespi pour une condition pour laquelle il n'a pas été prescrit. Ne donnez pas votre aérosphère Bevespi à d'autres personnes même si vous avez les mêmes symptômes que vous. Cela peut leur faire du mal.

Vous pouvez demander à votre fournisseur de soins de santé ou à votre pharmacien pour obtenir des informations sur Bevespi Aerosphère qui est écrit pour les professionnels de la santé.

Ingrédients actifs: glycopyrrate micronisée et fumarate de formotérol micronisé

Ingrédients inactifs: Hydrofluoroalkane (HFA 134A) et particules poreuses (composées de DSPC [12-dis-carré-snglycero-3-phosphocholine] et de chlorure de calcium)

Instructions pour une utilisation

Aérosphère de Bevespi™
(L'atmosphère Be-es-Pee Air-OH)
(Glycopyrrate et Formotérol Fumarate) Aérosol d'inhalation pour une utilisation inhalation orale

Lisez ces instructions à utiliser avant de commencer à utiliser l'aérosphère Bevespi et chaque fois que vous obtenez une recharge. Il peut y avoir de nouvelles informations. Ces informations ne prennent pas la place de parler à votre fournisseur de soins de santé de votre état de santé ou de votre traitement.

Informations importantes:

  • Pour l'inhalation orale utilise uniquement.
  • Utilisez l'aérosphère Bevespi exactement comme votre fournisseur de soins de santé vous le dit.
  • Si vous avez des questions sur l'utilisation de votre inhalateur, demandez à votre fournisseur de soins de santé ou à votre pharmacien.

Parties de votre inhalateur de l'aérosphère Bevespi (voir figure 1):

  • Aérosphère de Bevespi comes as a canister that fits into an actuator with a dose indicator.
    • Ne pas Utilisez l'actionneur de l'aérosphère Bevespi avec une cartouche de médecine de tout autre inhalateur.
    • Ne pas Utilisez la cartouche de l'aérosphère Bevespi avec un actionneur de tout autre inhalateur.

Figure 1

BEVESPI AEROSPHERE comes with a dose indicator located on the top of the canister - Illustration
  • Aérosphère de Bevespi comes with a dose indicator located on the top of the canister (See Figure 1). The dose indicator display window will show you how many puffs of medicine you have left. A puff of medicine is released each time you press the center of the dose indicator.

Avant d'utiliser l'aérosphère Bevespi pour la première fois Assurez-vous que le pointeur sur l'indicateur de dose pointe vers la droite de la marque d'inhalation 120 dans la fenêtre d'affichage de l'indicateur de dose (voir figure 1). (Notez que le pointeur pointera vers le droit de la marque de 30 inhalation si vous avez une cartouche d'inhalation de 7 jours dans l'inhalateur 28.)

  • Le pointeur pointera vers 120 après que 10 bouffées soient livrées à partir de l'aérosphère Bevespi. Cela signifie qu'il reste 120 bouffées de médecine dans la cartouche (voir figure 2A).
  • Le pointeur pointera entre 100 et 120 après avoir pris 10 bouffées supplémentaires. Cela signifie qu'il reste 110 bouffées de médecine dans la cartouche (voir figure 2b).
  • Le pointeur pointera vers 100 après avoir pris 10 bouffées supplémentaires. Cela signifie qu'il reste 100 bouffées de médecine dans la cartouche (voir figure 2C).

Figure 2A Figure 2B et figure 2C

BEVESPI AEROSPHERE comes with a dose pointer - Illustration
  • La fenêtre d'affichage de l'indicateur de dose continuera de se déplacer après toutes les 10 bouffées. Le numéro dans la fenêtre d'affichage de l'indicateur de dose continuera de changer après les 20 bouffées.

Figure 2D

The dose indicator display window - Illustration
  • La couleur de la fenêtre d'affichage de l'indicateur de dose changera en rouge comme indiqué dans la zone ombragée lorsqu'il ne reste que 20 bouffées de médicament dans votre inhalateur (voir figure 2D).
  • L'indicateur de dose pour l'inhalateur de 7 jours 28 La cartouche inhalation se déplace après toutes les 10 bouffées; avec marques pour 30 15 et 0 bouffées. La couleur de l'inhalateur de 7 jours 28 inhalation de la fenêtre d'affichage de l'indicateur de dose de cartouche changera en rouge lorsqu'il ne reste que 10 bouffées de médicament dans votre inhalateur.

Préparation de votre inhalateur de l'aérosphère Bevespi pour une utilisation:

  • Aérosphère de Bevespi should be at room temperature before you use it.
  • Votre inhalateur de l'aérosphère Bevespi est livré dans une pochette en feuille qui contient un paquet de séchage (dessiccant).
    • Sortez l'inhalateur de Bevespi aerropshere hors de la pochette de papier d'aluminium.
    • Jetez la pochette et le paquet de séchage. Ne mangez pas et ne respirez pas dans le contenu du paquet de séchage.

Figure 3

Preparing your BEVESPI AEROSPHERE inhaler for use - Illustration

Amoraison de votre inhalateur de l'aérosphère Bevespi:

Avant d'utiliser l'aérosphère Bevespi pour la première fois you must prime the inhaler.

  • Retirez le capuchon de l'embout buccal (voir figure 3). Vérifiez à l'intérieur de l'embout buccal pour les objets avant utilisation.
  • Tenez l'inhalateur en position verticale loin de votre visage et secouez bien l'inhalateur (voir figure 4).

Figure 4

Hold the inhaler in the upright position away from your face and shake the inhaler well - Illustration
  • Appuyez fermement sur le centre de l'indicateur de dose jusqu'à ce que la cartouche cesse de se déplacer dans l'actionneur pour libérer une bouffée de médecine à partir de l'embout buccal (voir figure 5). Vous pouvez entendre un clic doux dans l'indicateur de dose car il compte pendant l'utilisation.

Figure 5

Press down firmly on the center of the dose indicator until the canister stops moving in the actuator to release a puff of medicine from the mouthpiece - Illustration
  • Répétez les étapes d'amorçage 3 fois de plus (voir figure 4 et figure 5). Secouez l'inhalateur bien avant chaque bouffée d'amorçage.
  • Après l'amorçage 4 fois, l'indicateur de dose devrait pointer vers la droite de 120 et votre inhalateur est maintenant prêt à l'emploi.

Utilisation de votre inhalateur de l'aérosphère Bevespi:

Étape 1: Retirez le capuchon de l'embout buccal (voir figure 6).

Figure 6

Remove the cap from the mouthpiece - Illustration

Étape 2: Secouez l'inhalateur bien avant chaque utilisation (voir figure 7).

Figure 7

Shake the inhaler well before each use - Illustration

Étape 3: Tenez l'inhalateur avec l'embout buccal pointant vers vous et expirez aussi pleinement que vous le pouvez confortablement à travers votre bouche (voir figure 8).

Losartan est-il un bêta-bloquant?

Figure 8

Hold the inhaler with the mouthpiece pointing towards you and breathe out as fully as you comfortably can through your mouth - Illustration

Étape 4: Fermez vos lèvres autour de l'embout buccal et inclinez votre tête en arrière en gardant votre langue sous l'embout buccal (voir figure 9).

Figure 9

Close your lips around the mouthpiece and tilt your head back keeping your tongue below the mouthpiece - Illustration

Étape 5: Tout en respirant profondément et lentement, appuyez sur le centre de l'indicateur de dose jusqu'à ce que la cartouche cesse de se déplacer dans l'actionneur et qu'une bouffée de médecine a été libérée (voir figure 10). Arrêtez ensuite d'appuyer sur l'indicateur de dose.

Figure 10

While breathing in deeply and slowly press down on the center of the dose indicator until the canister stops moving in the actuator and a puff of medicine has been released - Illustration

Étape 6: Lorsque vous avez fini de respirer, retirez l'embout buccal de votre bouche. Tenez votre souffle tant que vous pouvez confortablement jusqu'à 10 secondes (voir figure 11).

Figure 11

When you have finished breathing in remove the mouthpiece from your mouth - Illustration

Étape 7: Expirez doucement (voir figure 12). Répétez les étapes 2 à 7 pour prendre votre deuxième bouffée de l'aérosphère Bevespi.

Figure 12

Breathe out gently - Illustration

Étape 8: Remplacez le capuchon sur l'embout buccal immédiatement après utilisation (voir figure 13).

Figure 13

Replace the cap over the mouthpiece right away after use - Illustration

Comment nettoyer votre inhalateur Aérosphère Bevespi:

Nettoyez l'inhalateur 1 fois par semaine. Il est très important de garder votre inhalateur propre afin que la médecine ne s'accumule pas et ne bloque pas le spray par l'embout buccal (voir figure 14).

Figure 14

Clean the inhaler 1 time each week - Illustration

Étape 1: Sortez la cartouche de l'actionneur (voir figure 15). Ne nettoyez pas la cartouche et ne le laissez pas mouiller.

Figure 15

Take the canister out of the actuator - Illustration

Étape 2: Enlevez le capuchon de l'embout buccal.

Étape 3: Tenez l'actionneur sous le robinet et passez de l'eau chaude à travers environ 30 secondes. Tournez l'actionneur à l'envers et rincez à nouveau l'actionneur à travers l'embout buccal pendant environ 30 secondes (voir figure 16).

Figure 16

Hold the actuator under the faucet and run warm water through it for about 30 seconds - Illustration

Étape 4: Secouez autant d'eau de l'actionneur que possible.

Étape 5: Regardez dans l'actionneur et l'embout buccal pour vous assurer que toute accumulation de médicaments a été complètement emportée. S'il y a des étapes de répétition de construction 3 à 5 dans la section, comment nettoyer votre inhalateur de l'aérosphère Bevespi.

Étape 6: Laissez l'actionneur sécher à l'air pendant la nuit (voir figure 17). Ne remettez pas la cartouche dans l'actionneur si elle est encore mouillée.

Figure 17

Let the actuator air-dry overnight - Illustration

Étape 7: Lorsque l'actionneur est sec, appuyez doucement sur la cartouche dans l'actionneur (voir figure 18). N'appuyez pas trop fort sur la cartouche. Cela pourrait entraîner la libération d'une bouffée de médecine.

Figure 18

When the actuator is dry gently press the canister down in the actuator - Illustration

Étape 8: REPRIRER VOTRE Aérosphère de Bevespi inhalateur après chaque nettoyage. Pour reproder, l'inhalateur secoue bien l'inhalateur et appuyez sur le centre de l'indicateur de dose 2 fois pour libérer un total de 2 bouffées dans l'air loin de votre visage. Votre inhalateur est maintenant prêt à l'emploi.

Si vous n'utilisez pas votre aérosphère Bevespi pendant plus de 7 jours, vous devrez l'apparesser avant utilisation.

Pour reproder, l'inhalateur secoue bien l'inhalateur et appuyez sur le centre de l'indicateur de dose 2 fois pour libérer un total de 2 bouffées dans l'air loin de votre visage. Votre inhalateur est maintenant prêt à l'emploi.

Ces instructions pour une utilisation ont été approuvées par la Food and Drug Administration des États-Unis.