Les Informations Présentées Sur Ce Site Ne Constituent Pas Un Avis Médical. Nous Ne Vendons Rien. L'Exactitude De La Traduction N'Est Pas Garantie. Clause De Non-Responsabilité



Duoneb

Résumé

Qu'est-ce que Duoneb?

Duoneb (bromure d'ipratropium et sulfate d'albutérol ) est une combinaison de bronchodilators utilisés pour traiter et prévenir les symptômes (respiration sifflante et essoufflement) causés par une maladie pulmonaire en cours ( bronchopneumopathie chronique obstructive - MPOC qui comprend la bronchite et emphysème ).

Quels sont les effets secondaires de Duoneb?

Les effets secondaires courants de Duoneb comprennent:



Dites à votre médecin si vous avez des effets secondaires graves de Duoneb, notamment:



  • urination difficile ou douloureuse ou
  • Crampes musculaires.

Duoneb peut provoquer des effets secondaires graves, notamment:

  • respiration sifflante
  • étouffement
  • Autres problèmes respiratoires après avoir utilisé le médicament
  • douleur thoracique
  • Roigments cardiaques rapides ou marteaux
  • flotter dans votre poitrine
  • tremblements
  • nervosité
  • gonflement ou vos chevilles ou pieds
  • vision floue
  • vision du tunnel
  • douleurs oculaires
  • voir des halos autour des lumières
  • miction douloureuse ou difficulté
  • crampes de jambe
  • constipation
  • battements cardiaques irréguliers
  • accrue soif ou miction
  • engourdissement ou picotement
  • faiblesse musculaire et
  • sentiment molle

Obtenez de l'aide médicale immédiatement si vous présentez l'un des symptômes énumérés ci-dessus.



Cherchez des soins médicaux ou appelez le 911 à la fois si vous avez les effets secondaires graves suivants:

  • Des symptômes oculaires graves tels que la perte de vision soudaine floue du tunnel de vision de la vision de la vision des yeux ou de l'enflure ou de voir des halos autour des lumières;
  • Symptômes cardiaques graves tels que les battements cardiaques rapides ou battants; flotter dans votre poitrine; essoufflement; et des étourdissements soudains, de la légèreté ou de l'évanouissement;
  • Maux de tête sévères Confusion Slurred Speech Bras ou Ligne Proulitude Trouble de la merde Perte de coordination Sentiment des muscles très rigides très rigides Fièvre élevée Propice ou des tremblements.

Ce document ne contient pas tous les effets secondaires possibles et d'autres peuvent survenir. Vérifiez auprès de votre médecin des informations supplémentaires sur les effets secondaires.

Que fait les gouttes oculaires de la prednisolone

Dosage pour Duoneb

La dose recommandée de DuoneB est un flacon de 3 ml administré 4 fois par jour par nébulisation avec jusqu'à 2 doses supplémentaires de 3 ml autorisées par jour si nécessaire.

Quelles substances de médicaments ou suppléments interagissent avec Duoneb?

Duoneb peut interagir avec certains bêta-bloquants tels que le propranolol. Les interactions médicamenteuses peuvent changer le fonctionnement de vos médicaments ou augmenter votre risque d'effets secondaires graves. Dites à votre médecin tous les produits que vous utilisez, y compris les médicaments sur ordonnance / sans ordonnance et produits à base de plantes. Ne commencez pas à arrêter ou à modifier le dosage des médicaments sans l'approbation de votre médecin.

Duoneb pendant la grossesse et l'allaitement

Pendant la grossesse, Duoneb ne doit être utilisé que lorsqu'il est prescrit. On ne sait pas si ce médicament passe dans le lait maternel. Consultez votre médecin avant l'allaitement.

Informations Complémentaires

Notre centre de médicaments à effets secondaires de Duoneb (bromure d'ipratropium et sulfate d'albutérol) offre une vue complète des informations sur les médicaments disponibles sur les effets secondaires potentiels lors de la prise de ce médicament.

Informations sur les médicaments de la FDA

Description de Duoneb

Les composants actifs de la solution d'inhalation DuoneB® (bromure d'ipratropium et sulfate d'albutérol) sont le sulfate d'albutérol et le bromure d'ipratropium.

Le sulfate d'albutérol est un sel d'albutérol racémique et un bronchodilatateur β2-adrénergique relativement sélectif décrit chimiquement comme α1 - [(tert-butylamino) méthyl] -4-hydroxy-mxylène-α α'-diol sulfate (2: 1) (sel). Il a un poids moléculaire de 576,7 et la formule empirique est (c 13 H 21 NON 3 ) 2 • H. 2 DONC 4 . Il s'agit d'une poudre cristalline blanche soluble dans l'eau et légèrement soluble dans l'éthanol. Le nom recommandé de l'Organisation mondiale de la santé pour la base d'albuterol est Salbutamol.

Figure 3 1-1: Structure chimique du sulfate d'albutérol

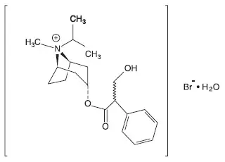
Le bromure d'ipratropium est un bronchodilatateur anticholinergique décrit chimiquement comme 8azoniabyclo [3.2.1] -octane 3- (3-hydroxy-1-oxo-2-phénylpropoxy) -8méthyl-8- (1Methylethyl) - Bromure monohydrate (Endo Syn) - (±) -;; Un composé d'ammonium quaternaire synthétique chimiquement lié à l'atropine. Il a un poids moléculaire de 430,4 et la formule empirique est C 20 H 30 Brno 3 • H. 2 O. Il s'agit d'une substance cristalline blanche librement soluble dans l'eau et des alcools inférieurs et insoluble dans des solvants lipophiles tels que le chloroforme d'éther et les fluorocarbures.

Figure 3. 1-2: Structure chimique du bromure d'ipratropium.

Chaque flacée de 3 ml de duoneb (bromure d'ipratropium et sulfate d'albutérol) contient 3,0 mg (NULL,1%) de sulfate d'albutérol (équivalent à 2,5 mg (NULL,083%) de base d'albutérol) et 0,5 mg (NULL,017%) de la solution de sodile ipratrophie à un ajustement de la sodile ipratropium pour ajuster une solution stérile isotonique stérile aqueuse stérile aqueuse stérile aqueuse stérile aqueuse stérile aqueuse stérile aqueuse stérile aqueuse stérile aqueuse stérile Aqueous Solution stérile are à pH 4 et à édetate Disodium USP (un agent chélatant).

Duoneb (bromure d'ipratropium et sulfate d'albutérol) is a clear colorless solution. It does not require dilution prior to administration by nebulization. For Duoneb (bromure d'ipratropium et sulfate d'albutérol) Inhalation Solution like all other nebulized treatments the amount delivered to the lungs will depend on patient factors the jet nebulizer utilized and compressor performance. Using the Pari-LC-Plus™ nebulizer (with face mask or mouthpiece) connected to a PRONEB™ compressor system under in vitro Conditions La dose moyenne délivrée de la bouche (% dose nominale) était d'environ 46% de l'albutérol et 42% du bromure d'ipratropium à un débit moyen de 3,6 L / min. Le temps de nébulisation moyen était de 15 minutes ou moins. Duoneb (bromure d'ipratropium et sulfate d'albutérol) doit être administré à partir de nébuliseurs à réaction à des débits adéquats via des masques de visage ou des porte-paroles (voir Posologie et administration ).

Utilisations pour Duoneb

Duoneb (bromure d'ipratropium et sulfate d'albutérol) is indicated for the treatment of bronchospasm associated with MPOC in patients requiring more than one bronchodilator.

Dosage pour Duoneb

La dose recommandée de DuoneB (bromure d'ipratropium et sulfate d'albutérol) est un flacon de 3 ml administré 4 fois par jour par nébulisation avec jusqu'à 2 doses supplémentaires de 3 ml autorisées par jour si nécessaire. La sécurité et l'efficacité de doses supplémentaires ou une fréquence accrue d'administration de Duoneb (bromure d'ipratropium et sulfate d'albutérol) au-delà de ces directives n'ont pas été étudiées et la sécurité et l'efficacité des doses supplémentaires de sulfate d'albutérol ou de bromure d'ipratropium en plus des doses recommandées) n'ont pas étudié.

L'utilisation du duoneb (bromure d'ipratropium et sulfate d'albutérol) peut être poursuivie comme indiqué médicalement pour contrôler les épisodes récurrents de bronchospasme. Si un régime auparavant efficace ne parvient pas à fournir les conseils médicaux habituels qui devraient être recherchés immédiatement car il s'agit souvent d'un signe d'aggravation de la MPOC qui nécessiterait une réévaluation de la thérapie.

Un nébuliseur Pari-LC-PLUS ™ (avec masque facial ou emboutte) connecté à un compresseur PRONEB ™ a été utilisé pour livrer Duoneb (bromure d'ipratropium et sulfate d'albutérol) à chaque patient dans une étude clinique américaine. L'innocuité et l'efficacité de Duoneb (bromure d'ipratropium et sulfate d'albutérol) livrées par d'autres nébuliseurs et compresseurs n'ont pas été établies.

Duoneb (bromure d'ipratropium et sulfate d'albutérol) should be administered via jet nebulizer connected to an air compressor with an adequate air flow equipped with a mouthpiece or suitable face mask.

Comment fourni

Duoneb (bromure d'ipratropium et sulfate d'albutérol) est fourni sous forme de solution stérile de 3 ml pour la nébulisation dans des flacons stériles à basse densité en polyéthylène. Stocker dans la poche jusqu'à l'heure d'utilisation. Fourni dans les cartons comme indiqué ci-dessous.

NDC 49502-672-30 30 routes en carton / 5 routes par pochette en papier d'aluminium

NDC 49502-672-60 60 routes en carton / 5 routes par feuille de pochette

Stocker entre 2 ° C et 25 ° C (36 ° F et 77 ° F). Protéger de la lumière.

Dey® Napa CA 94558. 09 février

Effets secondaires for Duoneb

Les informations sur les réactions indésirables concernant DuoneB (bromure d'ipratropium et sulfate d'albutérol) ont été dérivées de l'essai clinique contrôlé de 12 semaines.

Les événements indésirables se produisant dans ≥ 1% de ≥ 1 groupe (s) de traitement (s) et où le traitement combiné a montré le pourcentage le plus élevé

Système corporel Costart Terme Albuterol
n (%)
Ipratropium
n (%)
Duoneb
n (%)
Nombre de patients 761 754 765
N (%) patients atteints d'EE 327 (NULL,0) 329 (NULL,6) 367 (NULL,0)
Corps comme un trou w
8 (1.1) 4 (NULL,5) 10 (1.3)
chest 11 (1.4) 14 (1.9) 20 (2.6)
DIGESTIF
5 (NULL,7) 9 (1.2) 14 (1.8)
7 (NULL,9) 8 (1.1) 10 (1.3)
7 (NULL,9) 6 (NULL,8) 11 (1.4)
Musculo-squelettique
8 (1.1) 6 (NULL,8) 11 (1.4)
RESPIRATOIRE
11 (1.4) 13 (1.7) 13 (1.7)
36 (4.7) 34 (4.5) 49 (6.4)
27 (3.5) 27 (3.6) 34 (4.4)
7 (NULL,9) 8 (1.1) 10 (1.3)
UROGÉNITAL
3 (NULL,4) 9 (1.2) 12 (1.6)

Des réactions indésirables supplémentaires rapportées chez plus de 1% des patients traités par DuoneB (bromure d'ipratropium et sulfate d'albutérol) comprenaient la constipation et les altérations vocales.

Dans l'essai clinique, il y a eu une incidence de 0,3% de réactions possibles de type allergique, notamment les éruptions cutanées et l'urticaire.

Des informations supplémentaires dérivées de la littérature publiée sur l'utilisation du sulfate d'albutérol et du bromure d'ipratropium individuellement ou en combinaison comprennent les précipitations ou l'aggravation de l'angle étroit glaucome douleur oculaire aiguë vision vision paradoxale bronchospasme sifflement exacerbation des symptômes de la MPOC somnolence douloureuse rinçage infection des voies respiratoires supérieures mal de gorge et l'acidose métabolique. Étant donné que ces réactions sont rapportées volontairement d'une population de taille incertaine, il n'est pas toujours possible d'estimer de manière fiable leur fréquence ou d'établir une relation causale à l'exposition au médicament.

Interactions médicamenteuses for Duoneb

Agents anticholinergiques

Bien que le bromure d'ipratropium soit peu absorbé par la circulation systémique, il existe un certain potentiel pour une interaction additive avec des médicaments anticholinergiques utilisés par concomitance. La prudence est donc informée de la co-administration de Duoneb (bromure d'ipratropium et sulfate d'albutérol) avec d'autres médicaments ayant des propriétés anticholinergiques.

agents β-adrénergiques

La prudence est avisée dans la co-administration de DuoneB (bromure d'ipratropium et sulfate d'albutérol) et d'autres agents sympathomimétiques en raison du risque accru d'effets cardiovasculaires indésirables.

Agents de blocage des récepteurs β

Ces agents et le sulfate d'albutérol inhibent l'effet les uns des autres. Les agents de blocage des récepteurs β doivent être utilisés avec prudence chez les patients atteints de voies respiratoires hyperreactifs et si elles sont recommandées de sélectifs β1 relativement sélectives.

Diurétiques

L'électrocardiogramme (ECG) change et / ou hypokaliémie qui peut résulter de l'administration de diurétiques d'épargne non potassium (tels que la boucle ou les diurétiques de thiazide) peut être aggravé de manière aiguë par les β-agonistes, en particulier lorsque la dose recommandée du β-agoniste est dépassée. Bien que la signification clinique de ces effets ne soit pas connue de prudence dans la co-administration de médicaments contenant du β-agoniste tels que DuoneB (bromure d'ipratropium et sulfate d'albutérol) avec des diurétiques d'épargne non-potassium.

Inhibiteurs de monoamine oxydase ou antidépresseurs tricycliques

Duoneb (bromure d'ipratropium et sulfate d'albutérol) should be administered with extreme caution to patients being treated with monoamine oxidase inhibitors or tricyclic antidépresseurs ou dans les 2 semaines suivant l'arrêt de ces agents parce que l'action du sulfate d'albutérol sur le système cardiovasculaire peut être potentialisée.

Albuterol Sulfate

Avertissements for Duoneb

Bronchospasme paradoxal

Dans l'étude clinique du bromure DuoneB (bromure d'ipratropium et sulfate d'albutérol)), le bronchospasme paradoxal n'a pas été observé. Cependant, un bronchospasme paradoxal a été observé avec des produits de bromure d'ipratropium et d'albutérol inhalés et peut être mortel. Si cela se produit du duoneb (bromure d'ipratropium et sulfate d'albutérol) doit être abandonné immédiatement et une thérapie alternative instituée.

Ne dépassez pas la dose recommandée

Des décès ont été signalés en association avec une utilisation excessive de produits inhalés contenant des amines sympathomimétiques et avec l'utilisation à domicile de nébulisateurs.

Effet cardiovasculaire

Duoneb (bromure d'ipratropium et sulfate d'albutérol) like other beta adrenergic agonists can produce a clinically significant cardiovascular effect in some patients as measured by pulse rate blood pressure and/or symptoms. Although such effects are uncommon for Duoneb (bromure d'ipratropium et sulfate d'albutérol) at recommended doses if they occur the drug may need to be discontinued. In addition beta agonists have been reported to produce ECG changes such as flattening of the T-wave prolongation of the QTc interval and ST segment depression. The clinical significance of these findings is unknown. Therefore Duoneb (bromure d'ipratropium et sulfate d'albutérol) like other sympathomimetic amines should be used with caution in patients with cardiovascular disorders especially coronary insufficiency cardiac arrhythmias and hypertension.

Réactions d'hypersensibilité immédiates

Des réactions d'hypersensibilité immédiates à l'albutérol et / ou au bromure d'ipratropium peuvent survenir après l'administration de Duoneb (bromure d'ipratropium et sulfate d'albutérol) comme le montrent les rares cas de bronchospasme d'urticaire et d'anaphylaxie.

Précautions for Duoneb

Général

  1. Effets observés avec les médicaments sympathomimétiques: Comme pour tous les produits contenant des amines sympathomimétiques duoneb (bromure d'ipratropium et sulfate d'albutérol) doivent être utilisés avec prudence chez les patients atteints de troubles cardiovasculaires, en particulier d'insuffisance coronarienne, arythmies cardiaques et hypertension; chez les patients souffrant de troubles convulsifs hyperthyroïdie ou diabète sucré ; et chez les patients qui répondent inhabituellement aux amines sympathomimétiques. Il a été signalé que de grandes doses d'albutérol intraveineuses aggravent le diabète sucré préexistant et la cétoacidose. De plus, les β-agonistes peuvent provoquer une diminution du potassium sérique chez certains patients, éventuellement par des shunts intracellulaires. La diminution est généralement transitoire ne nécessitant pas de supplémentation.
  2. Effets observés avec les médicaments anticholinergiques: En raison de la présence de bromure d'ipratropium dans DuoneB (bromure d'ipratropium et sulfate d'albutérol), il doit être utilisé avec prudence chez les patients atteints d'hypertrophie prostatique du glaucome à angle étroit ou d'obstruction à col de vessie.
  3. Utilisation dans les maladies hépatiques ou rénales: Duoneb (bromure d'ipratropium et sulfate d'albutérol) has not been studied in patients with hepatic or renal insufficiency. It should be used with caution in these patient populations.

Informations pour les patients

L'action de Duoneb (bromure d'ipratropium et sulfate d'albutérol) devrait durer jusqu'à 5 heures. Duoneb (bromure d'ipratropium et sulfate d'albutérol) ne doit pas être utilisé plus fréquemment que recommandé. Les patients doivent être invités à ne pas augmenter la dose ou la fréquence du Duoneb (bromure d'ipratropium et sulfate d'albutérol) sans consulter leur fournisseur de soins de santé. Si les symptômes aggravent les patients doivent être invités à consulter une consultation médicale.

Les patients doivent éviter d'exposer leurs yeux à ce produit, car une dilatation papillaire temporaire floue des douleurs oculaires ou des précipitations ou une aggravation d'un glaucome à angle étroit peut se produire et, par conséquent, une technique de nébuliseur appropriée doit être assurée, en particulier si un masque est utilisé.

Si un patient tombe enceinte ou commence les soins infirmiers sur Duoneb (bromure d'ipratropium et sulfate d'albutérol), il devrait contacter son fournisseur de soins de santé sur l'utilisation de Duoneb.

Voir l'illustré Instruction du patient pour une utilisation dans l'insert du package de produit.

Carcinogenèse Mutagenèse A trouble de la fertilité

Albuterol sulfate

Dans une étude de 2 ans chez Sprague-Dawley Rats, le sulfate d'albutérol a provoqué une augmentation significative de la dose de l'incidence des léiomyomes bénins du mésovarium à et au-dessus des doses alimentaires de 2 mg / kg (approximativement égal à la dose d'inhalation quotidienne maximale recommandée pour les adultes sur une base de mg / m²). Dans une autre étude, cet effet a été bloqué par la co-administration du propranolol un antagoniste bêta-adrénergique non sélectif.

Dans une étude de 18 mois chez les souris CD-1, le sulfate d'albutérol n'a montré aucune preuve de tumorigénicité à des doses alimentaires allant jusqu'à 500 mg / kg (environ 140 fois la dose d'inhalation quotidienne maximale recommandée pour les adultes sur une base de mg / m²). Dans une étude de 22 mois dans les hamsters dorés, le sulfate d'albutérol n'a montré aucune preuve de tumorigénicité à des doses alimentaires allant jusqu'à 50 mg / kg (environ 20 fois la dose d'inhalation quotidienne maximale recommandée pour les adultes sur une base de mg / m²).

Albuterol sulfate was not mutagenic in the Ames test or a mutation test in yeast. Albuterol sulfate was not clastogenic in a human peripheral lymphocyte assay or in an AH1 strain mouse micronucleous assay.

Des études de reproduction chez le rat n'ont démontré aucune preuve de fertilité altérée à des doses orales de sulfate d'albutérol jusqu'à 50 mg / kg (environ 25 fois la dose d'inhalation quotidienne maximale recommandée pour les adultes sur une base de mg / m²).

Ipratropium bromide

Dans des études sur 2 ans chez Sprague-Dawley Rats et le bromure d'ipratropium CD-1, il n'a montré aucun signe de tumorigénicité à des doses orales jusqu'à 6 mg / kg (environ 15 fois et 8 fois la dose d'inhalation quotidienne maximale recommandée pour les adultes chez le rat et les souris respectivement sur une base de mg / m²).

Ipratropium bromide was not mutagenic in the Ames test and mouse dominant test mortel. Le bromure d'ipratropium n'était pas clastogène dans un test micronucleux de souris.

Une étude de reproduction chez le rat a démontré une diminution de la conception et une augmentation des résorption lorsque le bromure d'ipratropium a été administré par voie orale à une dose de 90 mg / kg (environ 240 fois la dose d'inhalation quotidienne maximale recommandée pour les adultes sur une base Mg / m²). Ces effets n'ont pas été observés avec une dose de 50 mg / kg (environ 140 fois la dose d'inhalation quotidienne maximale recommandée pour les adultes sur une base de mg / m²).

Grossesse

Effets tératogènes: catégorie de grossesse C
Albuterol sulfate

Grossesse Category C . Il a été démontré que le sulfate d'albutérol est tératogène chez la souris. Une étude sur des souris CD-1 recevues de sulfate d'albutérol par voie sous-cutanée a montré une formation de fente palatine chez 5 des 111 (NULL,5%) de fœtus à 0,25 mg / kg (moins que la dose d'inhalation quotidienne maximale recommandée pour les adultes sur une base Mg / m²) et dans 108 (NULL,3%) FEtus à 2,5 mg / kg (approximativement à l'inhalation MAXI adultes sur une base de mg / m²). Le médicament n'a pas induit une formation de fente palatine lorsqu'il est administré par voie sous-cutanée à une dose de 0,025 mg / kg (moins que la dose d'inhalation quotidienne maximale recommandée pour les adultes sur une base de mg / m²). La formation de la fente palatine s'est également produite dans 22 des 72 (NULL,5%) de fœtus des femmes traitées par voie sous-cutanée avec 2,5 mg / kg d'isoprotérénol (contrôle positif).

Une étude de reproduction chez les lapins de foulée a révélé une cranioschisis dans 7 des 19 (37%) fœtus lorsque l'albutérol a été administré par voie orale à une dose de 50 mg / kg (environ 55 fois la dose d'inhalation quotidienne maximale recommandée pour les adultes sur une base de mg / m²).

Une étude dans laquelle les rats enceintes ont été dosés avec du sulfate d'albutérol radiomarqué ont démontré que le matériel lié au médicament est transféré de la circulation maternelle au fœtus.

Au cours de la commercialisation mondiale, de diverses anomalies congénitales, notamment des défauts de la fente palatine et des membres, ont été signalés dans la progéniture des patients traités avec de l'albutérol. Certaines mères prenaient plusieurs médicaments pendant leurs grossesses. Parce qu'aucun modèle cohérent de défauts ne peut être discerné une relation entre l'utilisation de l'albutérol et les anomalies congénitales n'a pas été établie.

Ipratropium bromide

Grossesse Category B. Reproduction studies in CD-1 mice Sprague-Dawley rats and New Zealand rabbits demonstrated no evidence of teratogenicity at oral doses up to 10 100 and 125 mg/kg respectively (approximately 15 270 and 680 times the maximum recommended daily inhalation dose for adults on a mg/m² basis). Reproduction studies in rats and rabbits demonstrated no evidence of teratogenicity at inhalation doses up to 1.5 and 1.8 mg/kg respectively (approximately 4 and 10 times the maximum recommended daily inhalation dose for adults on a mg/m² basis). There are no adequate and well-controlled studies of the use of Duoneb (bromure d'ipratropium et sulfate d'albutérol) sulfate d'albutérol or ipratropium bromide in pregnant women. Duoneb (bromure d'ipratropium et sulfate d'albutérol) should be used during pregnancy only if the potential benefit justifies the potential risk to the fetus.

Travail et accouchement

Il a été démontré que le sulfate d'albutérol oral retarde le travail prématuré dans certains rapports. En raison du potentiel de l'albutérol à interférer avec l'utilisation de la contractilité utérine de Duoneb (bromure d'ipratropium et sulfate d'albutérol) pendant la main-d'œuvre doit être limitée aux patients chez lesquels les avantages l'emportent clairement sur les risques.

Mères qui allaitent

On ne sait pas si les composants de Duoneb (bromure d'ipratropium et sulfate d'albutérol) sont excrétés dans le lait maternel. Bien que les bases quaternaires insolubles lipidiques passent dans le lait maternel, il est peu probable que le bromure d'ipratropium atteigne le nourrisson dans une mesure importante, en particulier lorsqu'il est pris comme une solution nébulisée. En raison du potentiel de tumorigénicité montré pour le sulfate d'albutérol chez certains animaux, une décision devrait être prise de cessation de soins infirmiers ou de retirer du duoneb (bromure d'ipratropium et sulfate d'albutérol) en tenant compte de l'importance du médicament pour la mère.

Usage pédiatrique

La sécurité et l'efficacité de DuoneB (bromure d'ipratropium et sulfate d'albutérol) chez les patients de moins de 18 ans n'ont pas été établies.

Utilisation gériatrique

Sur le nombre total de sujets dans les études cliniques de DuoneB (bromure d'ipratropium et sulfate d'albutérol) 62% étaient de 65 et plus tandis que 19% étaient de 75 ans et plus. Aucune différence globale de sécurité ou d'efficacité n'a été observée entre ces sujets et les sujets plus jeunes et d'autres expériences cliniques signalées n'a pas identifié de différences dans les réponses entre les patients âgés et les patients plus jeunes, mais une plus grande sensibilité de certaines personnes âgées ne peut pas être exclue.

Informations sur la surdose pour Duoneb

Les effets de la surdosage avec le duoneB (bromure d'ipratropium et sulfate d'albutérol) devraient être principalement liés au sulfate d'albutérol car le bromure d'ipratropium n'est pas bien absorbé systématiquement après l'administration orale ou d'aérosol. Les symptômes attendus avec un surdosage sont ceux d'une stimulation et / ou d'une occurrence bêta-adrénergiques excessives ou d'une exagération de symptômes tels que des crises d'hypertension d'angine de poitrine ou d'hypotension tachycardie avec des taux allant jusqu'à 200 battements par minute d'arythmie nervosité les maux de tête Tremor Broud Back Palpitation Palpitation Naushenea Réactions de malaise inverse et exagération des effets pharmacologiques listés. Une hypokaliémie peut également se produire. Comme pour tous les médicaments d'aérosol sympathomimétique, l'arrêt cardiaque et même la mort peuvent être associés à l'abus de Duoneb (bromure d'ipratropium et sulfate d'albutérol). Le traitement consiste en l'arrêt de DuoneB (bromure d'ipratropium et sulfate d'albutérol) ainsi qu'une thérapie symptomatique appropriée. L'utilisation judicieuse d'un bloqueur de récepteurs bêta cardiosélective peut être considérée comme en gardant à l'esprit que de tels médicaments peuvent produire du bronchospasme. Il n'y a pas suffisamment de preuves pour déterminer si la dialyse est bénéfique pour le surdosage du Duoneeb (bromure d'ipratropium et sulfate d'albutérol).

La dose létale médiane orale de sulfate d'albutérol chez la souris est supérieure à 2000 mg / kg (environ 540 fois la dose d'inhalation quotidienne maximale recommandée de Duoneb (bromure d'ipratropium et sulfate d'albutérol) sur une base mg / m²). La dose létale médiane sous-cutanée de sulfate d'albutérol chez les rats matures et les petits rats jeunes est respectivement d'environ 450 et 2000 mg / kg (environ 240 et 1100 fois la dose d'inhalation quotidienne maximale recommandée de Duoneb (respectivement le bromure d'albutérol) sur une base de mg / m² respectivement). La dose mortelle médiane de l'inhalation n'a pas été déterminée chez les animaux. La dose létale médiane orale de bromure d'ipratropium chez les rats et les chiens de souris est supérieure à 1000 mg / kg d'environ 1700 mg / kg et environ 400 mg / kg respectivement (environ 1400 4600 et 3600 fois la dose d'inhalation quotidienne maximale recommandée chez les adultes sur une base de mg / m² respectivement).

Contre-indications pour Duoneb

Duoneb (bromure d'ipratropium et sulfate d'albutérol) is contraindicated in patients with a history of hypersensitivity to any of its components or to atropine and its derivatives.

Pharmacologie clinique for Duoneb

Duoneb (bromure d'ipratropium et sulfate d'albutérol) Inhalation Solution is a combination of the β2-adrenergic bronchodilator sulfate d'albutérol and the anticholinergic bronchodilator ipratropium bromide.

Albuterol Sulfate

Mécanisme d'action

L'action principale des médicaments β-adrénergiques est de stimuler l'adényl cyclase L'enzyme qui catalyse la formation d'adénosine monophosphate (CAMP) cyclique-3'5'-adénosine (CAMP) de l'adénosine triphosphate (ATP). Le camp ainsi formé intervient les réponses cellulaires. Des études in vitro et des études pharmacologiques in vivo ont démontré que l'albutérol a un effet préférentiel sur les récepteurs β2-adrénergiques par rapport à l'isoprotérénol. Bien qu'il soit reconnu que les récepteurs β2-adrénergiques sont les récepteurs prédominants des données récentes du muscle lisse bronchique indiquaient que 10% à 50% des βrecepteurs du cœur humain peuvent être des récepteurs β2. La fonction précise de ces récepteurs n'est cependant pas encore établie. L'albuterol a été démontré dans la plupart des essais cliniques contrôlés comme ayant plus d'effet sur les voies respiratoires sous forme de relaxation musculaire lisse bronchique que l'isoprotérénol à des doses comparables tout en produisant moins d'effets cardiovasculaires. Des études cliniques contrôlées et une autre expérience clinique ont montré que l'albutérol inhalé comme d'autres médicaments agonistes β-adrénergiques peut produire un effet cardiovasculaire important chez certains patients.

Pharmacocinétique

Albuterol sulfate is longer acting than isoproterenol in most patients by any route of administration because it is not a substrate for the cellular uptake processes for catécholamine ni pour le métabolisme de la catéchol-o-méthyl transférase. Au lieu de cela, le médicament est conjugatifment métabolisé à l'albutérol 4'-o-sulfate.

Pharmacologie / toxicologie des animaux

Des études intraveineuses chez le rat atteint de sulfate d'albutérol ont démontré que l'albutérol traverse la barrière hémato-encéphalique et atteint des concentrations cérébrales pour un montant d'environ 5% des concentrations plasmatiques. Dans les structures en dehors de la barrière hémato-encéphalique (glandes pinéales et hypophysaires), les concentrations d'albutérol se sont révélées 100 fois celles que l'on trouve dans le cerveau entier.

Des études chez les animaux de laboratoire (minipigs rongeurs et chiens) ont démontré la survenue d'arrinthécarie cardiaque et de mort subite (avec des preuves histologiques de nécrose myocardique) lorsque les bêta-agonistes et les méthyl-xanthines sont administrés simultanément. La signification clinique de ces résultats est inconnue.

Ipratropium Bromide

Mécanisme d'action

Ipratropium bromide is an anticholinergic (parasympatholytic) agent which blocks the muscarinic receptors of acetylcholine and based on animal studies appears to inhibit vagally mediated reflexes by antagonizing the action of acetylcholine the transmitter agent released from the vagus nerve . Anticholinergics prevent the increases in intracellular concentration of cyclic guanosine monophosphate (cGMP) resulting from the interaction of acetylcholine with the muscarinic receptors of bronchial smooth muscle.

Pharmacocinétique

La bronchodilatation après l'inhalation de l'ipratropium est principalement un effet local spécifique au site et non systémique. Une grande partie d'une dose inhalée est avalée comme le montrent les études d'excrétion fécale. Après la nébulisation d'une dose de 1 mg à des volontaires sains, une moyenne de 4% de la dose a été excrétée inchangée dans l'urine.

Ipratropium bromide is minimally (0% to 9% in vitro ) lié à l'albumine plasmatique et aux glycoprotéines α1acides. Il est partiellement métabolisé aux produits d'hydrolyse d'ester inactifs. Après l'administration intraveineuse, environ la moitié est excrétée inchangée dans l'urine. La demi-vie d'élimination est d'environ 1,6 heures après l'administration intraveineuse. Le bromure d'ipratropium qui atteint la circulation systémique serait rapidement éliminé par les reins à un taux qui dépasse le taux de filtration glomérulaire. La pharmacocinétique de la solution d'inhalation du DuoneB (bromure d'ipratropium et sulfate d'albutérol) ou bromure d'ipratropium n'a pas été étudiée chez les personnes âgées et chez les patients souffrant d'insuffisance hépatique ou rénale (voir (voir PRÉCAUTIONS ).

Pharmacologie / toxicologie des animaux

Des études autoradiographiques chez le rat ont montré que l'ipratropium ne pénètre pas la barrière hémato-encéphalique.

Duoneb® (bromure d'ipratropium et sulfate d'albutérol)

Mécanisme d'action

Duoneb (bromure d'ipratropium et sulfate d'albutérol) is expected to maximize the response to treatment in patients with bronchopneumopathie chronique obstructive (MPOC) by reducing bronchospasm through two distinctly different mechanisms: sympathomimetic (sulfate d'albutérol) and anticholinergic/parasympatholytic (ipratropium bromide). Simultaneous administration of both an anticholinergic and a β2-sympathomimetic is designed to produce greater bronchodilation effects than when either drug is utilized alone at its recommended dosage.

Pharmacologie / toxicologie des animaux

Dans des études de 30 jours à Sprague-Dawley Rats et des doses sous-cutanées de chiens de beagle allant jusqu'à 205,5 mcg / kg d'ipratropium administrées avec jusqu'à 1000 mcg / kg d'albutérol chez les rats et 3,16 mcg / kg ipratropium et 15 mcg / kg albutérol chez les chiens (moins que le maximum recommandé par une mort ou potentialisation de la cardiotoxicité induite par l'albutérol administré seul.

Pharmacocinétique

Dans une étude croisée à double période à double période, 15 sujets masculins et féminins ont été administrés à des doses uniques de DuoneB (bromure d'ipratropium et sulfate d'albutérol) ou une solution d'inhalation de sulfate d'albutérol à deux fois les doses uniques recommandées à mesure que deux inhalations séparées par 15 minutes. La dose totale nébulisée de sulfate d'albutérol des deux traitements était de 6,0 mg et la dose totale de bromure d'ipratropium de Duoneb (bromure d'ipratropium et sulfate d'albutérol) était de 1,0 mg. Des concentrations plasmatiques maximales de l'albutérol se sont produites à 0,8 heures après le dosage pour les deux traitements. La concentration moyenne de pic d'albuterol après l'administration de sulfate d'albutérol seul était de 4,86 ​​(± 2,65) mg / ml et il était de 4,65 (± 2,92) mg / ml pour le duoneB (bromure d'ipratropium et sulfate d'albutérol). Les valeurs moyennes de l'ASC pour les deux traitements étaient de 26,6 (± 15,2) ng · hr / ml (sulfate d'albutérol seul) contre 24,2 (± 14,5) ng · hr / ml (duoneb (bromure d'ipratropium et sulfate d'albutérol)). Les valeurs moyennes T½ étaient de 7,2 (± 1,3) heures (sulfate d'albutérol seul) et 6,7 (± 1,7) heures (DuoneB (bromure d'ipratropium et sulfate d'albutérol)). Une moyenne de 8,4 (± 8,9)% de la dose d'albutérol a été excrétée inchangée dans l'urine après l'administration de deux flacons de Duoneb (bromure d'ipratropium et sulfate d'albutérol) qui est similaire à 8,8 (± 7,3)% qui a été obtenue à partir de la solution d'inhalation au sulfate d'albuterol. Il n'y avait aucune différence statistiquement significative dans la pharmacocinétique de l'albutérol entre les deux traitements. Pour l'ipratropium, une moyenne de 3,9 (± 5,1)% de la dose de bromure d'ipratropium a été excrétée inchangée dans l'urine après deux flacons de la solution d'inhalation DuoneB (bromure d'ipratropium et sulfate d'albutérol) qui est comparable avec les données précédemment rapportées.

Essais cliniques

Dans une étude croisée de contrôle positif en double aveugle de 12 semaines sur le bromure d'ipratropium au sulfate d'albutérol et le Duoneb (le bromure d'ipratropium et le sulfate d'albutérol) 863 Les patients atteints de MPOC ont été évalués pour l'efficacité du bronchodilatateur comparant le Duoneb (bromure d'albuterol et ipratropium seul) avec l'albutérol sulfate.

Duoneb (bromure d'ipratropium et sulfate d'albutérol) demonstrated significantly better changes in FEV 1 comme mesuré de la ligne de base à la réponse maximale par rapport au sulfate d'albutérol ou au bromure d'ipratropium. Duoneb (bromure d'ipratropium et sulfate d'albutérol) s'est également avéré avoir le début rapide associé au sulfate d'albutérol avec un temps moyen pour culminer le FEV 1 de 1,5 heures et la durée prolongée associée au bromure d'ipratropium avec une durée de 15% de réponse dans le FEV 1 de 4,3 heures.

Figure 3: 1-3: Changement moyen du FEV 1 - mesuré le jour 14

Mean Change in FEV 1 - Measured on Day 14 - Illustration

Cette étude a démontré que chaque composante du DuoneB (bromure d'ipratropium et sulfate d'albutérol) a contribué à l'amélioration de la fonction pulmonaire, en particulier pendant les 4 à 5 premières heures après le dosage et que le DuoneB (bromure d'ipratropium et bromure d'albutérol) était significativement plus efficace que le sulfate d'albutérol ou le bromure d'ipratropium seul.

Informations sur les patients pour Duoneb

Duoneb®
(bromure d'ipratropium 0,5 mg / sulfate d'albutérol 3,0 mg *) Solution d'inhalation

* Équivalent à 2,5 mg de base d'albutérol

Instructions du patient pour une utilisation

Lisez complètement ces informations sur les patients chaque fois que votre ordonnance est remplie car les informations peuvent avoir changé. Gardez ces instructions avec vos médicaments car vous voudrez peut-être les relire.

Duoneb (bromure d'ipratropium et sulfate d'albutérol) should only be used under the direction of a physician. Your physician and pharmacist have more information about Duoneb (bromure d'ipratropium et sulfate d'albutérol) and the condition for which it has been prescribed. Contact them if you have additional questions.

Stocker votre médicament

Stocker duoneb (bromure d'ipratropium et sulfate d'albutérol) entre 2 ° C et 25 ° C (36 ° F et 77 ° F). Les flacons doivent être protégés de la lumière avant utilisation, donc conservez les flacons inutilisés dans la pochette ou le carton en papier d'aluminium. N'utilisez pas après la date d'expiration (EXP) imprimée sur le carton.

Dose

Duoneb (bromure d'ipratropium et sulfate d'albutérol) is supplied as a single-dose ready-to-use vial containing 3 mL of solution. No mixing or dilution is needed. Use one new vial for each nebulizer treatment.

Suivez ces instructions pour l'utilisation de votre nébuliseur / compresseur ou des instructions données par votre fournisseur de soins de santé. Un exemple typique est illustré ci-dessous.

Instructions pour une utilisation

1. Retirez un flacon de la pochette en papier d'aluminium. Placez les flacons restants dans la pochette pour le stockage.

2. Tournez complètement le capuchon du flacon et serrez le contenu dans le réservoir de nébuliseur (figure 1).

Figure 1

Twist the cap completely off the vial and squeeze the contents into the nebulizer reservoir - Illustration

3. Connectez le nébuliseur au porte-parole ou au masque facial (figure 2).

Figure 2

Connect the nebulizer to the mouthpiece - Illustration

4. Connectez le nébuliseur au compresseur.

5. Asseyez-vous dans une position verticale confortable; Placer l'embout buccal dans votre bouche (figure 3) ou mettre sur le masque facial (figure 4); et allumer le compresseur.

buprénorphine d'autres médicaments dans la même classe

Figure 3

Place the mouthpiece in your mouth - Illustration

Figure 4

Put on the face mask - Illustration

6. Respirez aussi calmement et uniformément que possible par la bouche jusqu'à ce qu'aucune brume ne se forme dans la chambre de nébuliseur (environ 5 à 15 minutes). À ce stade, le traitement est terminé.

7. Nettoyez le nébuliseur (voir Instructions du fabricant ).

Duoneb®
(Doo-o-neb) (bromure d'ipratropium 0,5 mg / sulfate d'albutérol 3,0 mg *) Solution d'inhalation

* Équivalent à 2,5 mg de base d'albutérol

Lisez les informations des patients fournies avec Duoneb® (bromure d'ipratropium et sulfate d'albutérol) avant de commencer à l'utiliser et à chaque fois que vous obtenez une recharge. Il peut y avoir de nouvelles informations. Cette brochure ne prend pas la place de parler avec votre médecin de votre état de santé ou de votre traitement.

Qu'est-ce que Duoneb® (bromure d'ipratropium et sulfate d'albutérol)?

Duoneb® (bromure d'ipratropium et sulfate d'albutérol) is a combination of two medicines called bronchodilators. Duoneb® (bromure d'ipratropium et sulfate d'albutérol) contains sulfate d'albutérol which is a beta-adrenergic agonist and ipratropium bromide which is an anticholinergic. These two medicines work together to help open the airways in your lungs. Duoneb® (bromure d'ipratropium et sulfate d'albutérol) is used to help treat airway narrowing (bronchospasm) that happens with bronchopneumopathie chronique obstructive (MPOC) in adult patients who need to use more than one bronchodilator medicine.

Qui ne devrait pas utiliser Duoneb® (bromure d'ipratropium et sulfate d'albutérol)?

N'utilisez pas Duoneb® (bromure d'ipratropium et sulfate d'albutérol) si vous: êtes allergique à l'un des ingrédients de Duoneb (bromure d'ipratropium et sulfate d'albutérol) ou à l'atropine. Les ingrédients actifs sont le sulfate d'albutérol et le bromure d'ipratropium. Voir la fin de cette brochure pour une liste complète des ingrédients dans Duoneb® (bromure d'ipratropium et sulfate d'albutérol).

Duoneb® (bromure d'ipratropium et sulfate d'albutérol) has not been studied in patients younger than 18 years of age.

Que dois-je dire à mon médecin avant de commencer à utiliser Duoneb® (bromure d'ipratropium et sulfate d'albutérol)?

Parlez à votre médecin de toutes vos conditions, y compris si vous:

  • Avoir des problèmes cardiaques. Cela comprend les problèmes de maladie coronarienne et le rythme cardiaque.
  • Avoir une pression artérielle élevée
  • Avoir le diabète
  • Avoir ou avoir des crises
  • Avoir un problème thyroïdien appelé hyperthyroïdie
  • Avoir un problème oculaire appelé glaucome à angle étroit
  • Avoir des problèmes de foie ou de rein
  • Avoir des problèmes à uriner en raison d'un blocage à col de vessie ou d'une prostate élargie (hommes)
  • Sont enceintes ou envisagent de devenir enceintes. On ne sait pas si Duoneb® (bromure d'ipratropium et sulfate d'albutérol) peut nuire à votre bébé à naître. Vous et votre médecin devrez décider si Duoneb® (bromure d'ipratropium et sulfate d'albutérol) vous convient pendant une grossesse.
  • Allaitent. On ne sait pas si Duoneb® (bromure d'ipratropium et sulfate d'albutérol) passe dans votre lait ou si cela peut nuire à votre bébé. Vous et votre médecin devriez décider si vous devriez prendre Duoneb® (bromure d'ipratropium et sulfate d'albutérol) ou allaiter mais pas les deux.

Parlez à votre médecin de tous les médicaments que vous prenez, y compris des vitamines et des suppléments à base de plantes sur ordonnance et sans ordonnance. Duoneb® (bromure d'ipratropium et sulfate d'albutérol) et d'autres médicaments peuvent interagir. Cela peut provoquer de graves effets secondaires. Parlez surtout de votre médecin si vous prenez:

  • D'autres médicaments contenant des anticholinergiques tels que le bromure d'ipratropium. Cela comprend également des médicaments utilisés pour la maladie de Parkinson.
  • D'autres médicaments contenant des bêta-agonistes tels que le sulfate d'albutérol. Ceux-ci sont généralement utilisés pour traiter le rétrécissement des voies respiratoires (bronchospasme).
  • Médicaments appelés bêta-bloquants. Ceux-ci sont généralement utilisés pour l'hypertension artérielle ou les problèmes cardiaques.
  • Médicaments appelés pilules d'eau (diurétiques)
  • Les médicaments pour la dépression appelés inhibiteurs de la monoamine oxydase (MAOI) ou antidépresseurs tricycliques.

Demandez à votre médecin ou à votre pharmacien si vous ne savez pas si vous prenez l'un de ces types de médicaments. Connaissez les médicaments que vous prenez. Gardez une liste d'entre eux et montrez-le à votre médecin et à vos pharmaciens lorsque vous obtenez un nouveau médicament.

Comment utiliser Duoneb® (bromure d'ipratropium et sulfate d'albutérol)?

  • Lisez les instructions du patient pour une utilisation que vous obtenez avec votre ordonnance. Parlez à votre médecin ou à votre pharmacien si vous avez des questions.
  • Prenez Duoneb® (bromure d'ipratropium et sulfate d'albutérol) exactement comme prescrit par votre médecin. Ne modifiez pas votre dose ou à quelle fréquence vous utilisez Duoneb® (bromure d'ipratropium et sulfate d'albutérol) sans parler à votre médecin. Inspirez Duoneb® (bromure d'ipratropium et sulfate d'albutérol) par la bouche et dans vos poumons à l'aide d'une machine appelée nébuliseur.
  • Duoneb® (bromure d'ipratropium et sulfate d'albutérol) may help to open your airways for up to 5 hours after taking this medicine. If Duoneb® (bromure d'ipratropium et sulfate d'albutérol) does not help your airway narrowing (bronchospasm) or your bronchospasm gets worse call your doctor right away or get emergency help if needed.

Que dois-je éviter en utilisant Duoneb® (bromure d'ipratropium et sulfate d'albutérol)?

N'obtenez pas duoneb® (bromure d'ipratropium et sulfate d'albutérol) dans vos yeux. Faites attention de ne pas pulvériser Duoneb® (bromure d'ipratropium et sulfate d'albutérol) dans vos yeux pendant que vous utilisez votre nébuliseur. Duoneb® (bromure d'ipratropium et sulfate d'albutérol) peut provoquer les problèmes oculaires suivants à court terme:

  • Pupilles élargies
  • Vision trouble
  • Douleurs oculaires

Duoneb® (bromure d'ipratropium et sulfate d'albutérol) can cause a serious eye problem called narrow-angle glaucome or worsen the narrow-angle glaucome you already have.

Quels sont les effets secondaires possibles avec Duoneb® (bromure d'ipratropium et sulfate d'albutérol)?

Duoneb® (bromure d'ipratropium et sulfate d'albutérol) may cause the following serious side effects:

  • Aggraver le rétrécissement dans vos voies respiratoires (bronchospasme). Cet effet secondaire peut être mortel et s'est produit avec les deux médicaments dans Duoneb® (bromure d'ipratropium et sulfate d'albutérol). Arrêtez Duoneb® (bromure d'ipratropium et sulfate d'albutérol) et appelez votre médecin immédiatement ou obtenez une aide d'urgence si vos problèmes de respiration empirent pendant ou après l'utilisation de Duoneb® (bromure d'ipratropium et sulfate d'albutérol).
  • Réactions allergiques graves et potentiellement mortelles. Les symptômes d'une réaction allergique grave comprennent:
    • Ruches téméraires
    • Gonflement de votre visage paupides lèvres langue ou gorge et difficulté à avaler
    • L'aggravation de vos problèmes respiratoires tels que la respiration de la poitrine sifflante ou l'essoufflement
    • Choc (perte de tension artérielle et de conscience)

Les effets secondaires les plus courants avec Duoneb® (bromure d'ipratropium et sulfate d'albutérol) comprennent la maladie de la gorge maux de gorge Douleur thoracique constipation diarrhée bronchite des voies urinaires infection des crampes de jambe nausées nausées vocaux m'empestance changent et douleurs.

Ce ne sont pas tous les effets secondaires avec Duoneb® (bromure d'ipratropium et sulfate d'albutérol). Pour une liste complète, demandez à votre médecin ou à votre pharmacien.

Comment stocker Duoneb® (bromure d'ipratropium et sulfate d'albutérol)?

  • Stockez Duoneb® (bromure d'ipratropium et sulfate d'albutérol) entre 36 ° et 77 ° F (2 ° et 25 ° C). Protéger de la lumière. Gardez les flacons inutilisés dans la pochette ou le carton en papier d'aluminium.
  • Jeter Duoneb® en toute sécurité (bromure d'ipratropium et sulfate d'albutérol) qui est obsolète ou qui n'est plus nécessaire.
  • Gardez Duoneb® (bromure d'ipratropium et sulfate d'albutérol) et tous les médicaments hors de portée des enfants.

Général advice about Duoneb® (bromure d'ipratropium et sulfate d'albutérol)

Les médicaments sont parfois prescrits pour les conditions qui ne sont pas mentionnées dans les dépliants d'information du patient. N'utilisez pas Duoneb® (bromure d'ipratropium et sulfate d'albutérol) pour une condition pour laquelle il n'a pas été prescrit. Ne donnez pas duoneb® (bromure d'ipratropium et sulfate d'albutérol) à d'autres personnes même s'ils présentent les mêmes symptômes que vous. Cela peut leur faire du mal.

Cette brochure résume les informations les plus importantes sur Duoneb® (bromure d'ipratropium et sulfate d'albutérol). Si vous souhaitez plus d'informations, parlez avec votre médecin. Vous pouvez demander à votre médecin ou pharmacien d'informations sur Duoneb® (bromure d'ipratropium et sulfate d'albutérol) qui est écrite pour les professionnels de la santé. Vous pouvez également appeler l'entreprise qui fait sans frais Duoneb® (bromure d'ipratropium et sulfate d'albutérol) au 1-800-755-5560 ou visitez leur site Web à www.dey.com.

Quels sont les ingrédients de Duoneb®?

Ingrédients actifs: bromure d'ipratropium et sulfate d'albutérol

Ingrédients inactifs: Chlorure de sodium acide chlorhydrique et édétate de sodium USP.