Les Informations Présentées Sur Ce Site Ne Constituent Pas Un Avis Médical. Nous Ne Vendons Rien. L'Exactitude De La Traduction N'Est Pas Garantie. Clause De Non-Responsabilité
Comment fonctionnent les antagonistes des récepteurs des œstrogènes antinéoplasiques?
Fareston
Résumé
Qu'est-ce que Fareston? H4>
Fareston (citrate toremifène) est un œstrogène Agoniste / antagoniste qui empêche les œstrogènes d'atteindre les cellules cancéreuses utilisées pour ralentir la croissance du cancer du sein métastatique (cancer qui s'est propagé à partir de la tumeur d'origine). Contrairement à chimiothérapie Fareston ne détruit pas réellement les cellules cancéreuses.
Quels sont les effets secondaires de Fareston? H4>
Les effets secondaires courants de Fareston comprennent:
- bouffées de chaleur
- transpiration
- nausée
- vomissement
- constipation
- sécher les yeux
- vertiges
- sensation de rotation
- dépression
- gonflement dans vos mains ou vos pieds
- démangeaison
- décoloration ou rougeur de la peau
- éruption cutanée
- peau sec
- perte
- saignement vaginal
- Augmentation des niveaux sanguins de calcium
- douleur osseuse ou
- ganglions lymphatiques gonflés
Cherchez des soins médicaux ou appelez le 911 à la fois si vous avez les effets secondaires graves suivants:
- Des symptômes oculaires graves tels que la perte de vision soudaine floue du tunnel de vision de la vision de la vision des yeux ou de l'enflure ou de voir des halos autour des lumières;
- Symptômes cardiaques graves tels que les battements cardiaques rapides ou battants; flotter dans votre poitrine; essoufflement; et des étourdissements soudains étourdisseurs ou s'évanouissant;
- Maux de tête sévères Confusion Slurred Speech Bras ou Ligne Proulitude Trouble de la merde Perte de coordination Sentiment des muscles très rigides très rigides Fièvre élevée Propice ou des tremblements.
Ce document ne contient pas tous les effets secondaires possibles et d'autres peuvent survenir. Vérifiez auprès de votre médecin des informations supplémentaires sur les effets secondaires.
Dosage pour Fareston H4>
La posologie de Fareston est de 60 mg une fois par jour par jour. Le traitement est généralement poursuivi jusqu'à ce que la progression de la maladie soit observée.
Quelles substances ou suppléments de médicaments interagissent avec Fareston? H4>
Fareston peut interagir avec les anticoagulants diurétiques de thiazide (pilules d'eau) ou des médicaments contre la crise. Dites à votre médecin tous les médicaments et suppléments que vous utilisez.
Fareston pendant la grossesse et l'allaitement H4>
Pendant la grossesse, le Fareston ne doit être utilisé que lorsqu'il est prescrit. Cela peut nuire au fœtus. Si vous tombez enceinte ou que vous pensez être enceinte, informez votre médecin. Les femmes doivent utiliser 2 formes de contraception lors de l'utilisation de ce médicament. Discutez de l'utilisation du contrôle des naissances et des risques et des avantages de ce médicament avec votre médecin. On ne sait pas si ce médicament passe dans le lait maternel. En raison du risque possible pour l'allaitement maternel du nourrisson n'est pas recommandé lors de l'utilisation de ce médicament.
Informations Complémentaires H4>
Notre centre de médicaments à effets secondaires de Fareston (Toremifène Citrate) offre une vue complète des informations sur les médicaments disponibles sur les effets secondaires potentiels lors de la prise de ce médicament.
Informations sur les médicaments de la FDA
- Description de la drogue
- Indications
- Effets secondaires
- Interactions médicamenteuses
- Avertissements
- Surdosage
- Pharmacologie clinique
- Guide des médicaments
Avertissement: prolongation QT
Il a été démontré que Fareston prolonge l'intervalle QTC d'une manière liée à la dose et à la concentration [voir Pharmacologie clinique ]. La prolongation de l'intervalle QT peut entraîner un type de tachycardie ventriculaire appelée torsade de pointes qui peut entraîner une crise de syncope et / ou la mort. Le toremifène ne doit pas être prescrit aux patients atteints d'hypokaliémie non corrigée congénitale / acquise ou d'hypomagnémie non corrigée. Les médicaments connus pour prolonger l'intervalle QT et les forts inhibiteurs du CYP3A4 doivent être évités [voir avertissements et PRÉCAUTIONS ].
Description de Fareston
Les comprimés Fareston (Toremifène Citrate) pour l'administration orale contiennent chacun 88,5 mg de citrate de toremifène, ce qui équivaut à 60 mg de toremifène.
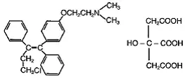
Fareston est un œstrogène Agoniste / antagoniste. Le nom chimique du toremifène est: 2- {p - [(z) -4-chloro-12diphényl-1-butenyl] phénoxy} -nn-diméthylamine citrate (1: 1). La formule structurelle est:
|
et la formule moléculaire est C 26 H 28 Clno • c 6 H 8 O 7 . Le poids moléculaire du citrate de toremifène est de 598,10. Le PKA est 8,0. La solubilité dans l'eau à 37 ° C est de 0,63 mg / ml et dans 0,02 N HCl à 37 ° C est de 0,38 mg / ml.
Fareston est disponible uniquement sous forme de tablettes pour l'administration orale. Ingrédients inactifs: dioxyde de silicium colloïdal stéarate de magnésium de lactose microcristallin de cellulose povidone glycolate et amidon.
Utilisations pour Fareston
Fareston® est un agoniste / antagoniste des œstrogènes indiqués pour le traitement du cancer du sein métastatique dans âgé
forêt tropicale de Bolivie
Dosage pour Fareston
La posologie de Fareston est de 60 mg une fois par jour par jour. Le traitement est généralement poursuivi jusqu'à la progression de la maladie »
Comment fourni
Formes et forces posologiques H4>
Le comprimé est 60 mg de convex rond non scored non enrobée et blanche ou presque blanche identifiée à 60 relief sur â
Stockage et manipulation H4>
Les comprimés de Fareston contenant du citrate de toremifène en montant équivalent à 60 mg de toremifène sont convexes ronds non scoés non enrobés et blancs ou presque blancs.
Fareston Les comprimés sont identifiés avec 60 relief d'un côté.
Fareston Les tablettes sont disponibles en tant que:
NDC 42747-327-30 bouteilles de 30
NDC 42747-327-72 échantillons de 7
Stocker à 25 ° C (77 ° F). Excursions autorisées à 15-30 ° C (59-86 ° F) [voir Température ambiante contrôlée par l'USP .] Protéger de la chaleur et de la lumière.
Distribué par: Kyowa Kirin Inc. Princeton NJ 08540 Produit couvert par des brevets de produit Orion et des numéros de brevets connexes © 2023 Kyowa Kirin Inc. Tous droits réservés. Révisé décembre 2024
Plaquenil pour les effets secondaires de la polyarthrite rhumatoïde
Effets secondaires for Fareston
Étant donné que les essais cliniques sont menés dans des conditions de réaction indésirables très variables observées dans les essais cliniques d'un médicament ne peuvent pas être directement comparées aux taux dans les essais cliniques d'un autre médicament et peuvent ne pas refléter les taux observés dans la pratique clinique.
Expérience des essais cliniques H4>
Les effets indésirables des médicaments sont principalement dus aux actions anti-œstrogéniques de Fareston et se produisent généralement au début du traitement.
Les incidences des huit toxicités cliniques suivantes ont été évaluées prospectivement dans l'étude nord-américaine. L'incidence reflète les toxicités considérées par l'investigateur comme liées au médicament ou éventuellement liées au médicament.
| Étude nord-américaine | ||
| FAR 60 n = 221 | Pour ça 20 n = 215 | |
| Bouffées de chaleur | 35% | 30% |
| Transpiration | 20% | 17% |
| Nausée | 14% | 15% |
| Libération vaginale | 13% | 16% |
| Vertiges | 9% | 7% |
| Œdème | 5% | 5% |
| Vomissement | 4% | 2% |
| Saignement vaginal | 2% | 4% |
Environ 1% des patients recevant Fareston (n = 592) dans les trois études contrôlées ont interrompu le traitement à la suite de réactions indésirables (nausées et vomissements de la fatigue de la fatigue de la fatigue de la léthargie de la léthargie de la léthargie).
Des réactions indésirables graves survenant chez au moins 1% des patients recevant Fareston dans les trois principaux essais sont répertoriés dans le tableau ci-dessous.
Trois études cliniques contrôlées randomisées prospectives (nord-américain de l'Europe et nordique) ont été menées. Les patients ont été randomisés en groupes parallèles recevant Fareston 60 mg (FAR60) ou tamoxifène 20 mg (TAM20) dans l'étude nord-américaine ou le tamoxifène 40 mg (TAM40) dans les études d'Europe orientale et nordique. Les études nord-américaines et d'Europe de l'Est comprenaient également des bras toremifène à haute dose de 200 et 240 mg par jour respectivement [voir Études cliniques ].
| Effets indésirables | Nord-Amérique du Nord | Oriental eropéen | nordique | |||
| n = 221 (%) | n = 215 (%) | n = 157 (%) | Tam40 n = 149 (%) | FAR60 n = 214 (%) | Tam40 n = 201 (%) | |
| Cardiaque | ||||||
| Cardiaque Failure | 2 (1) | 1 ( <1) | - | 1 ( <1) | 2 (1) | 3 (1.5) |
| Infarctus du myocarde | 2 (1) | 3 (1.5) | 1 ( <1) | 2 (1) | - | 1 ( <1) |
| Arythmie | - | - | - | - | 3 (1.5) | 1 ( <1) |
| Coffre d'angine | - | - | 1 ( <1) | - | 1 ( <1) | 2 (1) |
| Oculaire* | ||||||
| Cataracte | 22 (10) | 16 (NULL,5) | - | - | - | 5 (3) |
| Sécher les yeux | 20 (9) | 16 (NULL,5) | - | - | - | - |
| Champs visuels anormaux | 8 (4) | 10 (5) | - | - | - | 1 ( <1) |
| Kératopathie cornéenne | 4 (2) | 2 (1) | - | - | - | - |
| Glaucome | 3 (1.5) | 2 (1) | 1 ( <1) | - | - | 1 ( <1) |
| Vision anormale / diplopie | - | - | - | - | 3 (1.5) | - |
| Thromboembolique | ||||||
| Embolie pulmonaire | 4 (2) | 2 (1) | 1 ( <1) | - | - | 1 ( <1) |
| Thrombophlebitis | - | 2 (1) | 1 ( <1) | 1 ( <1) | 4 (2) | 3 (1.5) |
| Thrombose | - | 1 ( <1) | 1 ( <1) | - | 3 (1.5) | 4 (2) |
| CVA / TIA | 1 ( <1) | - | - | 1 ( <1) | 4 (2) | 4 (2) |
| Tests hépatiques élevés ** | ||||||
| Ast | 11 (5) | 4 (2) | 30 (19) | 22 (15) | 32 (15) | 35 (17) |
| Phosphatase alcaline | 41 (19) | 24 (11) | 16 (10) | 13 (9) | 18 (8) | 31 (15) |
| Bilirubine | 3 (1.5) | 4 (2) | 2 (1) | 1 ( <1) | 2 (1) | 3 (1.5) |
| Hypercalcémie | 6 (3) | 6 (3) | 1 ( <1) | - | - | - |
| * La plupart des anomalies oculaires ont été observées dans l'étude nord-américaine dans laquelle des examens ophtalmiques sur l'étude et biannuels ont été effectués. Aucun cas de rétinopathie n'a été observé dans aucun bras. ** Élévé défini comme suit: Étude nord-américaine: AST> 100 UI / L; Phosphatase alcaline> 200 UI / L; bilirubine> 2 mg / dl. Études d'Europe de l'Est et nordiques: phosphatase alcaline AST et bilirubine - OMS grade 1 (NULL,25 fois la limite supérieure de la normale). |
D'autres effets indésirables comprenaient la leucopénie et la thrombocytopénie décoloration de la peau ou la dermatite de la constipation dyspnée de la dyspnée de la dyspnée vertige vertige prurit anorexie opacité cornéenne réversible (verticulata cornale) asthénie alopécie dépression jaumine et rigueurs.
L'incidence des élévations AST était plus élevée dans les armes de dose de Fareston de 200 et 240 mg que dans les bras de tamoxifène. Des doses plus élevées de Fareston ont également été associées à une augmentation des nausées.
Environ 4% des patients ont été retirés pour la toxicité des bras de traitement Fareston à haute dose. Les raisons du retrait comprenaient des tests de fonction hépatique anormaux de l'hypercalcémie et un cas chacun de la dépression toxique de dépression étourdie incoordination ataxie floue de la vision diffuse de dermatite et une constellation de symptômes constituant de la transpiration et des tremblements de nausées.
Expérience post-commercialisation H4>
Les effets indésirables suivants ont été identifiés lors de l'utilisation post-approbation de Fareston. Étant donné que ces réactions sont rapportées volontairement d'une population de taille incertaine, il n'est pas toujours possible d'estimer de manière fiable leur fréquence ou d'établir une relation causale à l'exposition au médicament.
Les effets indésirables rapportés lors de l'utilisation post-approbation de Fareston ont été conformes à l'expérience des essais cliniques. Les effets indésirables les plus fréquemment signalés liés à l'utilisation de Fareston depuis l'introduction du marché comprennent les nausées de transpiration des flashs et les débits vaginaux.
- Hépatotoxicité [voir Avertissements et précautions ]
- Risque de malignité utérine [voir Avertissements et précautions ]
Hypertriglycéridémie
Interactions médicamenteuses for Fareston
Médicaments qui diminuent l'excrétion du calcium rénal H4>
Médicaments qui diminuent l'excrétion rénale du calcium, par ex. Les diurétiques thiazidiques peuvent augmenter le risque d'hypercalcémie chez les patients recevant Fareston.
Des agents qui prolongent QT H4>
L'administration de Fareston avec des agents qui ont démontré l'allongement du QT comme l'un de leurs effets pharmacodynamiques devraient être évités. Si un traitement avec l'un de ces agents est nécessaire, il est recommandé d'interrompre la thérapie avec Fareston. Si l'interruption du traitement avec Fareston n'est pas possible les patients qui ont besoin d'un traitement avec un médicament qui prolonge la QT doit être étroitement surveillé pour la prolongation de l'intervalle QT. Les agents généralement acceptés pour prolonger l'intervalle de QT comprennent la classe 1A (par exemple, la quinidine procrainamide disopyramide) et la classe III (par exemple les antiarythmiques de l'amiodarone sotalol; certains antipsychotiques (par exemple la thioridazine halopéridol); certains antidépresseurs (par exemple l'amitriptyline de Venlafaxine); Certains antibiotiques (par exemple l'érythromycine clarithromycine lévofloxacine d'ofloxacine); et certains anti-émétiques (par exemple, l'ondansétron granisetron). Chez les patients à risque accru, les électrocardiogrammes (ECG) doivent être obtenus et les patients surveillés comme indiqué cliniquement [voir Avertissement en boîte et Avertissements et précautions ].
Effet de forts inducteurs CYP3A4 sur Toremifène H4>
Des inducteurs d'enzymes CYP3A4 puissants tels que la dexaméthasone phénytoïne carbamazépine rifampin rifabutine phénobarbital de St. John’s abaissent la concentration en régime permanent du toremifène dans le sérum.
Effet de forts inhibiteurs du CYP3A4 sur le toremifène H4>
Dans une étude de 18 sujets sains, 80 mg de toremifène une fois par jour co-administré avec 200 mg de kétoconazole deux fois par jour ont augmenté le toremifène cmax et l'AUC de 1,4 et 2,9 fois respectivement. Le N-déméthyltoremifène CMAX et l'AUC ont été réduits de 56% et 20% respectivement.
L'administration de Fareston avec des agents qui sont de forts inhibiteurs du CYP3A4 (par exemple, kétoconazole itraconazole clarithromycine atazanavir indinavir néfazodone nelfinavir ritonavir saquinavir telithromycine et voriconazole) augmenter la concentration à l'état stable dans le sérum et devraient être évités. Le jus de pamplemousse peut également augmenter les concentrations plasmatiques de toremifène et doit être évitée. Si un traitement avec l'un de ces agents est nécessaire, il est recommandé d'interrompre la thérapie avec Fareston. Si l'interruption du traitement avec Fareston n'est pas possible que les patients qui ont besoin d'un traitement avec un médicament qui inhibent fortement le CYP3A4 devraient être étroitement surveillés pour la prolongation de l'intervalle QT [voir Avertissement en boîte et Avertissements et précautions ].
Effet du toremifène sur les substrats du CYP3A4 H4>
Dans une étude de 20 sujets sains, 2 mg de midazolam une fois par jour (jours 6 et 18) co-administrés avec du toremifène en tant que dose de chargement de 480 mg suivi de 80 mg une fois par jour pendant 16 jours. Après la co-administration aux jours 6 et 18 augmentations pertinentes du midazolam et de l'α-hydroxymidazolam cmax et de l'AUC n'a pas été observée. Après la co-administration le jour 18, le midazolam et le α-hydroxymidazolam CMAX et l'AUC ont été réduits de moins de 20%.
Les changements d'exposition cliniquement pertinents dans les substrats sensibles dus à l'inhibition ou à l'induction du CYP3A4 par le toremifène semblent peu probables.
gel de peroxyde
Effet du toremifène sur les substrats CYP2C9 H4>
Dans une étude de 20 sujets sains, 500 mg de tolbutamide une fois par jour (jours 7 et 19) co-administrés avec du toremifène en tant que dose de chargement de 480 mg suivi de 80 mg une fois par jour pendant 16 jours. Après la co-administration aux jours 7 et 19, le tolbutamide plasmatique CMAX et l'ASC ont augmenté de moins de 30%. Une réduction de l'ampleur similaire a été observée pour l'hydroxytolbutamide et le carboxytolbutamide cmax et l'AUC.
Le toremifène est un faible inhibiteur du CYP2C9. L'utilisation concomitante de substrats CYP2C9 avec un indice thérapeutique étroit tel que la warfarine ou la phénytoïne avec Fareston doit être effectuée avec prudence et nécessite une surveillance minutieuse (par exemple, les concentrations de substrat (si possible) les marqueurs de laboratoire appropriés et les signes et symptômes d'une exposition accrue).
Avertissements pour Fareston
Inclus dans le cadre du PRÉCAUTIONS section.
Précautions pour Fareston
Prolongation de l'intervalle QT H4>
Il a été démontré que le toremifène prolonge l'intervalle QTC d'une manière liée à la dose et à la concentration [voir Clinique ]. Prolongation of the QT interval can result in a type of ventricular tachycardia called Torsade  de pointes which may result in syncope seizure et/or death.
Le toremifène doit être évité chez les patients atteints du syndrome de QT long. La prudence doit être exercée chez les patients atteints Interactions médicamenteuses et Pharmacologie clinique ].
Hépatotoxicité H4>
Hépatotoxicité both increases in the serum concentration for grade 3 et 4 transaminitis et hyperbilirubinemia including jaunisse hepatitis et non-alcoholic fatty liver disease have also been reported in clinical trials et postmarketing with Fareston. Liver function tests should be performed periodically. [see Effets indésirables Expérience post-commercialisation ] UN
Hypercalcémie And Tumor Flare H4>
Comme pour d'autres œstrogènes, l'hypercalcémie et la touche tumorale ont été signalées chez certains patientes atteintes d'un cancer du sein avec âdi
Risque de malignité utérine H4>
Cancer de l'endomètre Hyperplasie de l'hypertrophie endométriale et des polypes utérins ont été signalés chez certains patients traités par Fareston. Une hyperplasie endométriale de l'utérus a été observée chez les animaux traités avec du toremifène [voir Toxicologie non clinique ]. Long-term use of Fareston has not been established in patients with pre-existing endometrial hyperplasia. All patients should have baseline et annual gynecological examinations. In particular patients at high risk of endometrial cancer should be closely monitored.
Général H4>
Les patients ayant des antécédents de maladies thromboemboliques ne doivent généralement pas être traités avec Fareston. Les patients atteints de métastases osseux doivent être surveillés étroitement pour l'hypercalcémie au cours des premières semaines de traitement [voir Avertissements et précautions ].
La leucopénie et la thrombocytopénie ont été rapportées rarement; Les dénombrements de leucocytes et de plaquettes doivent être surveillés
Tests de laboratoire H4>
Les niveaux de calcium complète périodiques et les tests de la fonction hépatique doivent être obtenus.
Utiliser pendant la grossesse H4>
Sur la base de son mécanisme d'action chez l'homme et des résultats d'une perte de grossesse accrue et d'une malformation fœtale dans les études animales Fareston peut causer des dommages fœtaux lorsqu'ils sont administrés à une femme enceinte. Le toremifène a provoqué des toxicités embryon-fœtales à des doses maternelles inférieures à la dose humaine recommandée par jour 60 mg sur une base de mg / m². Il n'y a pas d'études adéquates et bien contrôlées chez les femmes enceintes utilisant Fareston. Si ce médicament est utilisé pendant la grossesse ou si le patient tombe enceinte tout en prenant ce médicament, le patient doit être informé du risque potentiel pour le fœtus [voir Utiliser dans des populations spécifiques ].
Femmes de potentiel de procréation H4>
Fareston is indicated only in postmenopausal women. However premenopausal women prescribed Fareston should use effective non-hormonal contraception et should be apprised of the potential hazard to the fetus should pregnancy occur.
Toxicologie non clinique H4> Mutagenèse de la carcinogenèse et altération de la fertilité H4>
Les études de cancérogenèse conventionnelles chez le rat à des doses de 0,12 à 12 mg / kg / jour (environ 1/50 à 2 fois la dose humaine maximale quotidienne recommandée de 60 mg sur une base de mg / m²) pendant jusqu'à 2 ans n'ont pas montré de preuves de cancérigénicité. Des études sur des souris à des doses de 1,0 à 30,0 mg / kg / jour (environ 1/15 à 2 fois la dose humaine maximale quotidienne recommandée de 60 mg sur une base de mg / m²) pendant jusqu'à 2 ans ont révélé une incidence accrue des tumeurs ovariennes et testiculaires et une incidence accrue d'ostéome et d'ostéosarcome. L'importance des résultats de la souris est incertaine en raison du rôle différent des œstrogènes chez la souris et de l'effet œstrogénique du toremifène chez la souris. Une incidence accrue de tumeurs ovariennes et testiculaires chez la souris a également été observée avec d'autres agonistes / antagonistes des œstrogènes humains qui ont principalement une activité œstrogénique chez la souris. Une hyperplasie endométriale de l'utérus a été observée chez les singes après 52 semaines de traitement à ≥ 1 mg / kg et chez les chiens après 16 semaines de traitement à ≥3 mg / kg avec le toremifène (environ 1/3 et 1,4 fois respectivement la dose humaine maximale quotidienne de 60 mg sur une base de mg / m²).
Le toremifène ne s'est pas révélé être mutagène dans les tests in vitro (tests bactériens Ames et E. coli). Le toremifène est clastogène in vitro (aberrations chromosomiques et formation de micronuclées dans les cellules MCL-5 lymphoblastoïdes lymphoblastoïdes humaines) et in vivo (aberrations chromosomiques dans les hépatocytes de rat).
Le toremifène a produit une altération de la fertilité et de la conception chez les rats mâles et femelles à des doses ≥25,0 et 0,14 mg / kg / jour respectivement (environ 4 fois et 1/50 la dose humaine maximale quotidienne recommandée de 60 mg sur une base de mg / m²). À ces doses, le nombre de spermatozoïdes de la fertilité et le taux de conception ont été réduits chez les mâles atteints d'atrophie des vésicules séminales et de la prostate. Chez les femelles, la fertilité et les indices de reproduction ont été nettement réduits avec une perte accrue avant et post-implantation. De plus, la progéniture des rats traités présentait des indices reproducteurs déprimés. Le toremifène a produit une atrophie ovarienne chez les chiens a administré des doses ≥3 mg / kg / jour (environ 1,5 fois la dose humaine maximale quotidienne recommandée de 60 mg sur une base de mg / m²) pendant 16 semaines. Des ovaires kystiques et une réduction de la cellularité stromale endométriale ont été observés chez les singes à des doses ≥ 1 mg / kg / jour (environ 1/3 de la dose humaine maximale quotidienne recommandée de 60 mg sur une base de mg / m²) pendant 52 semaines.
Utiliser dans des populations spécifiques H4> Grossesse H4>
Grossesse Category D [see Avertissements et précautions ]
Sur la base de son mécanisme d'action chez l'homme et des résultats d'une perte de grossesse accrue et d'une malformation fœtale dans les études animales Fareston peut causer des dommages fœtaux lorsqu'ils sont administrés à une femme enceinte. Le toremifène a provoqué des toxicités embryon-fœtales à des doses maternelles inférieures à la dose humaine recommandée par jour 60 mg sur une base de mg / m². Il n'y a pas d'études adéquates et bien contrôlées chez les femmes enceintes utilisant Fareston. Si ce médicament est utilisé pendant la grossesse ou si le patient tombe enceinte en prenant ce médicament, le patient doit être informé du danger potentiel du fœtus.
Dans les études animales, le toremifène a traversé le placenta et s'est accumulé dans le fœtus des rongeurs. L'administration de toremifène à des rats enceintes pendant l'organogenèse à des doses d'environ 6% la dose humaine maximale quotidienne recommandée de 60 mg (sur une base de mg / m²) a entraîné une réduction des signes de toxicité maternelle et une augmentation de la perte de préimplantation a augmenté le poids fœtal réduit et les anomalies fœtales. Les anomalies fœtales incluent la malformation des membres d'ossification incomplète les os de dérivation affaiblies / anomalies de la colonne vertébrale hydrourateter hydronéphrose déplacement testiculaire et œdème sous-cutané. La toxicité maternelle peut avoir contribué à ces effets embryon-foetaux défavorables. Des toxicités embryon-fœtales similaires se sont produites chez les lapins qui ont reçu le toremifène à des doses d'environ 40% la dose humaine quotidienne recommandée de 60 mg (sur une base de mg / m²). Les résultats chez les lapins comprenaient une augmentation de la perte de préimplantation augmente les résorption et les anomalies fœtales, notamment l'ossification incomplète et l'anencéphalie.
Les doses animales entraînant des toxicités embryo-fœtales étaient ≥ 1,0 mg / kg / jour chez le rat et ≥ 1,25 mg / kg / jour chez le lapin.
In rodent models of fetal reproductive tract development toremifene produced inhibition of uterine development in female pups similar to effects seen with diethylstilbestrol (DES) and tamoxifen. The clinical relevance of these changes is not known. Neonatal rodent studies have not been conducted to assess the potential for toremifene to cause other DES-like effects in offspring (i.e. vaginal adenosis). Vaginal adenosis in animals occurred following treatment with other drugs of this class and has been observed in women exposed to diethylstilbestrol inutero.
Mères qui allaitent H4>
On ne sait pas si le toremifène est excrété dans le lait maternel. Le toremifène est excrété dans le lait de rats allaitants. Étant donné que de nombreux médicaments sont excrétés dans le lait maternel et en raison du potentiel de réactions indésirables graves chez les nourrissons en soins infirmiers de Fareston, une décision doit être prise pour interrompre les soins infirmiers ou interrompre le médicament en tenant compte de l'importance du médicament pour la mère.
Usage pédiatrique H4>
Il n'y a aucune indication d'utilisation de Fareston chez les patients pédiatriques.
Utilisation gériatrique H4>
La pharmacocinétique du toremifène a été étudiée chez 10 jeunes hommes en bonne santé et 10 femmes âgées après une seule dose de 120 mg dans des conditions à jeun. Des augmentations de la demi-vie d'élimination (NULL,2 contre 7,2 jours) et du volume de distribution (457 contre 627 L) de toremifène ont été observées chez les femmes âgées sans aucun changement de clairance ou AUC.
L'âge médian dans les trois études contrôlées variait de 60 à 66 ans. Aucune différence significative liée à l'âge dans l'efficacité ou la sécurité de Fareston n'a été notée.
Trouble rénal H4>
La pharmacocinétique du toremifène et du N-déméthyltoremifène était similaire chez les normales et chez les patients présentant une fonction rénale altérée.
Trouble hépatique H4>
La demi-vie moyenne de l'élimination du toremifène a été augmentée de moins de deux patients atteints d'une déficience hépatique (cirrhose ou fibrose) par rapport aux sujets ayant une fonction hépatique normale. La pharmacocinétique du nâdéthyltoremifène n'a pas été changé chez ces patients. Dix patients sous anticonvulsivants (phénobarbital clonazépam phénytoïne et carbamazépine) ont montré une double augmentation de la clairance et une diminution de la demi-vie d'élimination du toremifène.
Course H4>
La pharmacocinétique du toremifène chez les patients de différentes races n'a pas été étudiée.
Quatorze pour cent des patients de l'étude nord-américaine n'étaient pas caucasiens. Aucune différence significative liée à la race dans l'efficacité ou la sécurité de Fareston n'a été notée.
Informations sur la surdose pour Fareston
Une létalité a été observée chez le rat après des doses orales uniques qui étaient ≥ 1000 mg / kg (environ 150 fois la dose humaine recommandée sur un mg / m 2 base) et était associée à l'atonie gastrique / dilatation conduisant à une interférence avec la digestion et l'élargissement surrénalien.
Des maux de tête vertiges et des étourdissements ont été observés dans des études de bénévolat saines à une dose quotidienne de 680 mg pendant 5 jours. Les symptômes se sont produits chez deux des cinq sujets au cours du troisième jour du traitement et ont disparu dans les 2 jours suivant l'arrêt du médicament. Aucun changement concomitant immédiat dans aucun paramètre de chimie clinique mesuré n'a été trouvé. Dans une étude des patientes atteintes de cancer du sein postménopausique toremifène 400 mg / m 2 / La journée a provoqué des vomissements de nausées et des étourdissements limitant la dose ainsi que des hallucinations et une ataxie réversibles chez un seul patient.
Que fait simvastatin pour vous
La surdose théoriquement peut se manifester comme une augmentation des effets anti-œstrogéniques tels que les bouffées de chaleur; effets œstrogéniques tels que les saignements vaginaux; ou des troubles du système nerveux tels que l'ataxie des vertiges vertiges et les nausées. Il n'y a pas d'antidote spécifique et le traitement est symptomatique.
Contre-indications pour Fareston
Hypersensibilité au médicament H4>
Fareston is contraindicated in patients with known hypersensitivity to the drug.
QT Hypokaliémie Hypomagnésémie H4>
Le toremifène ne doit pas être prescrit aux patients atteints d'allongement de QT congénital / acquis (syndrome de QT long) hypokaliémie non corrigée ou hypomagnésémie non corrigée.
Pharmacologie clinique for Fareston
Mécanisme d'action H4>
Le toremifène est un dérivé du triphényléthylène non stéroïdal. Le toremifène se lie aux récepteurs des œstrogènes et peut exercer des activités œstrogéniques ou les deux activités en fonction de la durée du traitement des espèces animales de genre Organe cible ou critère d'évaluation. En général, cependant, les dérivés de triphényléthylène non stéroïdiens sont principalement anti-œstrogéniques chez les rats et les humains et œstrogéniques chez la souris. Chez le rat, le toremifène provoque une régression des tumeurs mammaires induites par le diméthylbenzanthracène (DMBA) établies. On pense que l'effet antitumoral du toremifène dans le cancer du sein est principalement dû à ses effets anti-œstrogéniques, c'est-à-dire sa capacité à rivaliser avec les œstrogènes pour les sites de liaison dans le cancer bloquant les effets stimulants de la croissance des œstrogènes dans la tumeur.
Pharmacodynamique H4>
Le toremifène provoque une diminution de l'indice de cornification vaginal induit par l'estradiol chez certaines femmes ménopausées indiquant son activité anti-œstrogénique. Le toremifène a également une activité œstrogénique comme le montrent les diminutions des concentrations sériques de gonadotrophine (FSH et LH).
Effets sur l'électrophysiologie cardiaque
L'effet de 20 mg 80 mg et 300 mg de toremifène sur l'intervalle QT a été évalué dans une étude randomisée en double aveugle chez des sujets masculins en bonne santé âgés de 18 à 45 ans. L'intervalle QT a été mesuré à l'état d'équilibre de Toremifène (jour 5 de dosage), y compris le temps de la concentration de plasma maximale (TMAX) à 13 moments (4 ECG / point temporel) sur 24 heures après la dose dans une analyse appariée dans le temps. La dose de toremifène de 300 mg (environ cinq fois la dose recommandée la plus élevée 60 mg) a été choisie car cette dose produit une exposition à Toremifène qui couvrira les expositions attendues qui peuvent résulter d'interactions médicamenteuses potentielles et de troubles hépatiques [voir Interactions médicamenteuses ].
Les augmentations de dose et de concentration dans l'intervalle QTC et les changements d'onde T ont été observées (voir tableau 1). On pense que ces effets sont causés par le toremifène et le n-déméthyltoremifène. Toremifène n'a eu aucun effet sur la durée d'intervalle PR et QRS de fréquence cardiaque [voir Avertissement en boîte et Avertissements et précautions ].
Tableau 1: Prolongement du QTC chez des volontaires masculins en bonne santé
| Bras de traitement | Moyenne (IC à 90%) DDQTC MS | Δqtc> 60 ms (n%) | QTC> 500 ms (n%) |
| Offrir 20 mg (n = 47) | 7 (NULL,9 13,6) | 0 | 0 |
| Offrir 80 mg (n = 47) | 26 (21.1 31.2) | 2 (NULL,3%) | 0 |
| Offrir 300 mg (n = 48) | 65 (NULL,1 69.2) | 43 (NULL,6%) | 5 (NULL,4%) |
Pharmacocinétique H4> Absorption
Le toremifène est bien absorbé après l'administration orale et l'absorption n'est pas influencée par la nourriture. Les concentrations de plasma maximales sont obtenues dans les 3 heures. Toremifène affiche la pharmacocinétique linéaire après des doses orales uniques de 10 à 680 mg. Après la dose de dose multiple, une proportionnalité a été observée pour des doses de 10 à 400 mg. Les concentrations à l'état d'équilibre ont été atteintes en environ 4 à 6 semaines.
Distribution
Toremifène a un volume apparent de distribution de 580 L et se lie de manière approfondie (> 99,5%) aux protéines sériques principalement de l'albumine.
Métabolisme
Le toremifène est largement métabolisé principalement par le CYP3A4 à N-déméthyltoremifène qui est également anti-œstrogène mais avec une puissance antitumorale faible in vivo. Les concentrations sériques de N-déméthyltoremifène sont 2 à 4 fois plus élevées que le toremifène à l'état d'équilibre.
Après un dosage multiple avec du toremifène dans 20 volontaires sains, l'exposition au toremifène était plus faible le jour 17 par rapport au jour 5 d'environ 14%. L'exposition à la N-déméthyltoremifène était plus élevée le jour 17 par rapport au jour 5 d'environ 80%. Sur la base de ces données et d'une étude d'induction in vitro dans les hépatocytes humains, l'auto-induction du CYP3A4 par Toremifène est probable. L'effet de l'auto-induction sur l'efficacité a probablement été capturé après un dosage prolongé dans les études cliniques.
Élimination
Le profil de temps de concentration plasmatique du toremifène diminue biexponentiale après absorption avec une demi-vie de distribution moyenne d'environ 4 heures et une demi-vie d'élimination d'environ 5 jours. Les demi-vies d'élimination des métabolites majeurs n-déméthyltoremifène et (deaminohydroxy) du toremifène étaient respectivement de 6 et 4 jours. La clairance totale moyenne du toremifène était d'environ 5 l / h. Le toremifène est éliminé sous forme de métabolites principalement dans les excréments avec environ 10% excrétés dans l'urine pendant une période de 1 semaine. L'élimination du toremifène est lente en partie en raison de la circulation entérohépatique.
Insuffisance rénale
La pharmacocinétique du toremifène et du N-déméthyltoremifène était similaire chez les normales et les patients présentant une fonction rénale altérée.
Insuffisance hépatique
La demi-vie moyenne de l'élimination du toremifène a été augmentée de moins de deux patients atteints d'une déficience hépatique (cirrhose ou fibrose) par rapport aux sujets ayant une fonction hépatique normale. La pharmacocinétique du N-déméthyltoremifène n'a pas été changé chez ces patients. Dix patients sous anticonvulsivants (phénobarbital clonazépam phénytoïne et carbamazépine) ont montré une double augmentation de la clairance et une diminution de la demi-vie d'élimination du toremifène.
Patients gériatriques
La pharmacocinétique du toremifène a été étudiée chez 10 jeunes hommes en bonne santé et 10 femmes âgées après une seule dose de 120 mg dans des conditions à jeun. Des augmentations de la demi-vie d'élimination (NULL,2 contre 7,2 jours) et du volume de distribution (457 contre 627 L) de toremifène ont été observées chez les femmes âgées sans aucun changement de clairance ou AUC. L'âge médian dans les trois études contrôlées variait de 60 à 66 ans. Aucune différence significative liée à l'âge dans l'efficacité ou la sécurité de Fareston n'a été notée.
Nourriture
Le taux et l'étendue de l'absorption de Fareston ne sont pas influencés par la nourriture; Auréston peut être pris avec ou sans nourriture.
Course
La pharmacocinétique du toremifène chez les patients de différentes races n'a pas été étudiée. Quatorze pour cent des patients de l'étude nord-américaine n'étaient pas caucasiens. Aucune différence significative liée à la race dans l'efficacité ou la sécurité de Fareston n'a été notée.
Études cliniques H4>
Trois études cliniques contrôlées randomisées prospectives (nord-américaine d'Europe et nordique) ont été menées pour évaluer l'efficacité de Fareston pour le traitement du cancer du sein chez les femmes ménopausées. Les patients ont été randomisés en groupes parallèles recevant Fareston 60 mg (FAR60) ou tamoxifène 20 mg (TAM20) dans l'étude nord-américaine ou le tamoxifène 40 mg (TAM40) dans les études d'Europe orientale et nordique. Les études nord-américaines et d'Europe de l'Est comprenaient également des bras toremifène à haute dose de 200 et 240 mg par jour respectivement. Les études ont inclus des patients ménopausées atteints d'un récepteur d'œstrogènes (ER) positif ou récepteur d'œstrogènes (ER) cancer du sein métastatique inconnu. Les patients avaient au moins une lésion mesurable ou évaluable. Les principales variables d'efficacité étaient le taux de réponse (RR) et le temps de progression (TTP). La survie a également été déterminée. Les intervalles de confiance de quatre-vingt-quinze pour cent (IC à 95%) ont été calculés pour la différence de RR entre les groupes FAR60 et TAM et le rapport de risque (risque relatif pour un événement défavorable tel que la progression de la maladie ou la mort) entre TAM et FAR60 pour TTP et S.
Deux des 3 études ont montré des résultats similaires pour tous les critères d'évaluation de l'efficacité. Cependant, l'étude nordique a montré un temps de progression plus long pour le tamoxifène (voir tableau).
Études cliniques
| Étude | Nord-Amérique du Nord | Aras européen | Noidic | |||
| Groupe de traitement | FAR60 | Tam20 | FAR60 | Tam40 | FAR60 | Tam40 |
| Non. Patients | 221 | 215 | 157 | 149 | 214 | 201 |
| Réponses | ||||||
| Croisement 1 RP 2 | 14 33 | 11 30 | 7 25 | 3 28 | 19 48 | 19 56 |
| Rr 3 (CR PR)% | 21.3 | 19.1 | 20.4 | 20.8 | 31.3 | 37.3 |
| Différence de RR | 2.2 | -0.4 | -6.0 | |||
| 95% là-bas 4 pour la différence de RR | -5,8 à 10.2 | -9.5 à 8.6 | -15.1 à 3.1 | |||
| Temps de progression (TTP) | ||||||
| TTP médian (mo.) | 5.6 | 5.8 | 4.9 | 5.0 | 7.3 | 10.2 |
| Ratio de risque (TAM / FAR) | 1.01 | 1.02 | 0.80 | |||
| 95% là-bas 4 pour le ratio de risque (%) | 0,81 à 1,26 | 0,79 à 1,31 | 0,64 à 1,00 | |||
| Survie (s) | ||||||
| Médian (mo.) | 33.6 | 34.0 | 25.4 | 23.4 | 33.0 | 38.7 |
| Ratio de risque (TAM / FAR) | 0.94 | 0.96 | 0.94 | |||
| 95% là-bas 4 pour le ratio de risque (%) | 0,74 à 1,24 | 0,72 à 1,28 | 0,73 à 1,22 | |||
| 1 Croisement = complete response; 2 Pr = réponse partielle; 3 Rr = response rate; 4 CI = intervalle de confiance Les groupes à forte dose toremifène 200 mg par jour dans l'étude nord-américaine et 240 mg par jour dans l'étude d'Europe de l'Est n'étaient pas supérieurs aux groupes de dose de toremifène inférieurs avec des taux de réponse de 22,6% et 28,7% des temps médians à une progression de 5,6 et 6,1 mois et des survivances médianes respectivement de 30,1 et 23,8 mois. La durée médiane du traitement dans les trois études pivots était de 5 mois (intervalle de 4,2 à 6,3 mois). |
Informations sur les patients pour Fareston
Des saignements vaginaux ont été signalés chez les patients utilisant Fareston. Les patients doivent être informés à ce sujet et chargés de contacter leur médecin si de tels saignements ou d'autres symptômes gynécologiques (changements dans la douleur ou la pression pelvienne à décharge vaginale) se produisent. Les patients doivent avoir un examen gynécologique avant le début du traitement et à intervalles réguliers pendant le traitement.
Troubles du foie, y compris les transaminits de grade 3 et 4 hyperbilirubinémie avec jaunisse ont été signalés chez les patients utilisant Fareston. Les patients doivent subir des tests de fonction hépatique effectués périodiquement pendant le traitement.
Fareston may harm the fetus et increase the risk for pregnancy loss [see Avertissements et précautions et Utiliser dans des populations spécifiques ].
Les femmes préménopausées utilisant Fareston devraient utiliser une contraception non hormonale pendant le traitement et devraient être informés du danger potentiel du fœtus en cas de grossesse [voir Avertissements et précautions ].
Les patients atteints de métastases osseux doivent être informés des signes et symptômes typiques de l'hypercalcémie et chargés de contacter leur médecin pour une évaluation plus approfondie si de tels signes ou symptômes se produisent.
Qu'est-ce que Suboxone a dedans
Les patients qui doivent prendre des médicaments connus pour prolonger l'intervalle QT ou de puissants inhibiteurs du CYP3A4 doivent être informés de l'effet du toremifène sur l'intervalle QT. Il a été démontré que le toremifène prolonge l'intervalle QTC d'une manière liée à la dose [voir Avertissement en boîte Avertissements et précautions et Pharmacologie clinique ].
Des interactions spécifiques avec les aliments qui inhibent le CYP3A4, y compris le jus de pamplemousse, n'ont pas été étudiées mais peuvent augmenter les concentrations de toremifène. Les patients doivent éviter les produits de pamplemousse et d'autres aliments connus pour inhiber le CYP3A4 pendant le traitement Fareston.
Certains autres médicaments, y compris les médicaments en vente libre ou les suppléments à base de plantes (comme le moût de Saint-Jean) et le toremifène peuvent réduire les concentrations de médicaments co-administrés [voir Interactions médicamenteuses ].