Les Informations Présentées Sur Ce Site Ne Constituent Pas Un Avis Médical. Nous Ne Vendons Rien. L'Exactitude De La Traduction N'Est Pas Garantie. Clause De Non-Responsabilité
Corticostéroïdes, inhalants
Flovant
Résumé
Qu'est-ce que Flovent?
Flovent (propionate de fluticasone) est un stéroïde utilisé pour empêcher asthme attaques. Il ne traitera pas une crise d'asthme qui a déjà commencé.
Quels sont les effets secondaires de Flovent?
Flovant
- urticaire
- difficulté à respirer
- gonflement de ton visage lèvres langue ou gorge
- plaques blanches dans votre bouche ou sur votre langue
- fièvre
- frissons
- toux
- mal de gorge persistant
- problèmes de vision
- accrue soif et miction
- ecchymoses ou saignements faciles
- changements d'humeur
- dépression
- balançoires d'humeur
- agitation
- douleur osseuse
- sifflement sévère et
- étourdissements sévères
Obtenez de l'aide médicale immédiatement si vous présentez l'un des symptômes énumérés ci-dessus.
Les effets secondaires courants de Flovent comprennent:
- enrouement
- mal de gorge
- plaques blanches dans votre bouche / sur votre langue
- Signes d'infection (la fièvre se refroidit la toux persistante douloureux gorge)
- problèmes de vision
- accrue soif ou miction
- ecchymoses ou saignements faciles
- changements mentaux / d'humeur (comme l'agitation des sautes d'humeur de dépression)
- douleur osseuse
- respiration sifflante
- coulant ou nez encombré ou
- mal de tête.
Rarement affronté peut provoquer une respiration sifflante soudaine ou une difficulté soudaine de respirer immédiatement après l'avoir utilisée. Si cela se produit, utilisez votre inhalateur à relief rapide et obtenez une aide médicale immédiatement.
Cherchez des soins médicaux ou appelez le 911 à la fois si vous avez les effets secondaires graves suivants:
- Des symptômes oculaires graves tels que la perte de vision soudaine floue du tunnel de vision de la vision de la vision des yeux ou de l'enflure ou de voir des halos autour des lumières;
- Symptômes cardiaques graves tels que les battements cardiaques rapides ou battants; flotter dans votre poitrine; essoufflement; et des étourdissements soudains étourdisseurs ou s'évanouissant;
- Maux de tête sévères Confusion Slurred Speech Bras ou Ligne Proulitude Trouble de la merde Perte de coordination Sentiment des muscles très rigides très rigides Fièvre élevée Propice ou des tremblements.
Ce document ne contient pas tous les effets secondaires possibles et d'autres peuvent survenir. Vérifiez auprès de votre médecin des informations supplémentaires sur les effets secondaires.
Dosage pour flovent
Flovent ne doit être inhalé par voie orale que chez les patients âgés de 12 ans et plus. La dose de départ recommandée varie de 88 à 880 mcg deux fois par jour. La dose maximale recommandée est de 880 mcg deux fois par jour.
Quelles substances ou suppléments de médicaments interagissent avec Flovent?
Flovent peut interagir avec le conivaptan diclofénac imatinib isoniazide antibiotiques médicaments antifongiques VIH / sida médecine. Dites à votre médecin tous les médicaments que vous prenez.
Flovent pendant la grossesse ou l'allaitement
Pendant la grossesse, Flovent ne doit être utilisé que lorsqu'il est prescrit. On ne sait pas si ce médicament passe dans le lait maternel. Consultez votre médecin avant l'allaitement.
Informations Complémentaires
Notre centre de médicaments Flovent (Fluticasone Propionate) Fondsone fournit une vue complète des informations sur les médicaments disponibles sur les effets secondaires potentiels lors de la prise de ce médicament.
Informations sur les médicaments de la FDA
- Description de la drogue
- Indications
- Effets secondaires
- Interactions médicamenteuses
- Avertissements
- Précautions
- Surdosage
- Pharmacologie clinique
- Guide des médicaments
Description de Flovent
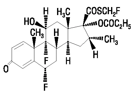
La composante active du flovant (propionate de fluticasone) 44 MCG Aérosol inhalation flovent (propionate de fluticasone) 110 mcg aérosol d'inhalation et aérosol inhalation flovent 220 mcg est le propionate fluticasone un glucocorticoïde ayant le nom chimique S-S-(fluorométhyle) 6 a 9-Difluoro-11 b 17-dihydroxy-16 a -Methyl-3-oxoandrosta-14-diène-17 b -carbothioate 17 propionate et la structure chimique suivante:
Le propionate de fluticasone est une poudre blanche à blanc cassé avec un poids moléculaire de 500,6. Il est pratiquement insoluble dans l'eau librement soluble dans le diméthyl sulfoxyde et le diméthylformamide et légèrement soluble dans le méthanol et l'éthanol à 95%.
Flovent (propionate de fluticasone) 44 MCG Aérosol inhalation Flovent (propionate de fluticasone) 110 mcg aérosol d'inhalation et flovent (propionate de fluticasone) 220 mcg aérosol d'inhalation sont des unités d'aérosol à dose mètre pressurisées prévues uniquement pour l'inhalation orale. Chaque unité contient une suspension microcristalline de propionate de fluticasone (micronisé) dans un mélange de 2 propulseurs de chlorofluorocarbone (trichlorofluorométhane et dichlorodifluorométhane) avec la lécithine de soja. Chaque actionnement de l'inhalateur délivre 50 125 ou 250 mcg de propionate de fluticasone de la valve et 44 110 ou 220 mcg respectivement de propionate de fluticasone de l'actionneur.
Utilisations pour Flovent
L'aérosol d'inhalation flovant (fluticasone propionate) est indiqué pour le traitement d'entretien de l'asthme en tant que traitement prophylactique. Il est également indiqué pour les patients nécessitant une corticothérapie orale pour l'asthme. Beaucoup de ces patients peuvent être en mesure de réduire ou d'éliminer leurs besoins en corticostéroïdes oraux au fil du temps.
L'aérosol d'inhalation flovant (fluticasone propionate) n'est pas indiqué pour le soulagement du bronchospasme aigu.
Dosage pour flovent
L'aérosol d'inhalation flovant (fluticasone propionate) doit être administré par la voie inhalée par voie orale chez les patients âgés de 12 ans et plus. Les patients individuels connaîtront un temps variable pour apparier et le degré de soulagement des symptômes. L'aérosol d'inhalation flovant (propionate de fluticasone) a un début d'action relativement rapide pour un glucocorticoïde inhalé. L'amélioration du contrôle de l'asthme après l'administration inhalée de propionate de fluticasone peut se produire dans les 24 heures suivant le traitement débutant, bien que un avantage maximum ne puisse pas être obtenu pendant 1 à 2 semaines ou plus après le début du traitement.
Une fois que la stabilité de l'asthme a été obtenue (voir le tableau 2), il est toujours souhaitable de titrer la dose efficace la plus faible pour réduire la possibilité d'effets secondaires. Pour les patients qui ne répondent pas de manière adéquate à la dose de départ après 2 semaines de doses de thérapie plus élevées peuvent fournir un contrôle supplémentaire de l'asthme. L'aérosol inhalation de l'innocuité et de l'innocuité flovant (propionate de fluticasone) lorsqu'il a été administré en plus de dosages recommandés n'a pas été établi.
La dose de départ recommandée et la dose recommandée la plus élevée d'aérosol d'inhalation Flovent (fluticasone propionate) basé sur une thérapie antérieure antiasthme sont répertoriées dans le tableau 2.
| Tableau 2. Dosages recommandés d'aérosol d'inhalation flovant | ||
| Dosage de thérapie précédent | Démarrage recommandé | Dose recommandée la plus élevée |
| Bronchodilatateurs seuls | 88 MCG deux fois par jour | 440 mcg deux fois par jour |
| Corticostéroïdes inhalés | 88-220 MCG deux fois par jour * | 440 mcg deux fois par jour |
| Corticostéroïdes oraux † | 880 mcg deux fois par jour | 880 mcg deux fois par jour |
| * Les doses de démarrage supérieures à 88 mcg deux fois par jour peuvent être envisagées pour les patients atteints de contrôle d'asthme plus faible ou ceux qui ont déjà eu besoin de doses de corticostéroïdes inhalés qui se trouvent dans la plage plus élevée pour cet agent spécifique. | ||
| NOTE: Chez tous les patients, il est souhaitable de titrer la dose efficace la plus faible une fois que la stabilité de l'asthme est obtenue. | ||
| † Pour les patients qui reçoivent actuellement une corticothérapie orale chronique: La prednisone ne doit pas être réduite plus rapidement que 2,5 mg / jour sur une base hebdomadaire commençant après au moins 1 semaine de thérapie avec un aérosol inhalation flovant. Les patients doivent être soigneusement surveillés pour les signes d'instabilité de l'asthme, y compris les mesures d'objectif série du débit d'air et pour les signes d'insuffisance surrénalienne (voir Avertissements ). Une fois la réduction de la prednisone terminée, le dosage du propionate de fluticasone doit être réduit à la dose efficace la plus faible. |
Utilisation gériatrique
Dans des études où les patients gériatriques (65 ans ou plus PRÉCAUTIONS ) ont été traités avec l'efficacité et la sécurité des aérosols inhalation flovant (fluticasone propionate) ne différaient pas de celle des patients plus jeunes. Par conséquent, aucun ajustement posologique n'est recommandé. Directions à utiliser
Les instructions pour une utilisation du patient illustré accompagnent chaque ensemble d'aérosols inhalation flovent (propionate de fluticasone).
Comment fourni
Flovent (propionate de fluticasone) 44 MCG aérosol d'inhalation est fourni dans des cartouches de 7,9 g contenant 60 inhalations de comptes dans des boîtes de pack institutionnelles de 1 (NDC 0173-0497-00) et dans des cartouches de 13 g contenant 120 mètres dans des boîtes de 1 (NDC 0173-0491-00). Chaque cartouche est fournie avec un actionneur oral orange foncé avec une bobine de pêche et les instructions du patient. Chaque actionnement de l'inhalateur offre 44 mcg de propionate de fluticasone de l'actionneur.
Flovent (propionate de fluticasone) 110 mcg aérosol d'inhalation est fourni dans des cartouches de 7,9 g contenant 60 inhalations de comptes dans des boîtes de pack institutionnelles de 1 (NDC 0173-0498-00) et dans des cartouches de 13 g contenant 120 complexes dans des boîtes de 1 (NDC 0173-0494-00). Chaque cartouche est fournie avec un actionneur oral orange foncé avec une bobine de pêche et les instructions du patient. Chaque actionnement de l'inhalateur offre 110 mcg de propionate de fluticasone de l'actionneur.
Un aérosol d'inhalation flovant (propionate de fluticasone) 220 MCG est fourni dans des cartouches de 7,9 g contenant 60 inhalations de comptes dans des boîtes de pack institutionnelles de 1 (NDC 0173-0499-00) et dans des cartouches de 13 g contenant 120 complexes dans des boîtes de 1 (NDC 0173-0495-00). Chaque cartouche est fournie avec un actionneur oral orange foncé avec une bobine de pêche et les instructions du patient. Chaque actionnement de l'inhalateur offre 220 mcg de propionate de fluticasone de l'actionneur.
Les cartouches flovant (fluticasone propionate) sont destinées à être utilisées avec des actionneurs d'aérosols inhalation flovent (fluticasone propionate) uniquement. Les actionneurs ne doivent pas être utilisés avec d'autres médicaments aérosols.
La quantité correcte de médicaments dans chaque inhalation ne peut pas être assurée après 60 inhalations de la cartouche de 7,9 g ou 120 inhalations de la cartouche de 13 g, même si la cartouche n'est pas complètement vide. La cartouche doit être rejetée lorsque le nombre étiqueté d'actionnement a été utilisé.
Stocker entre 2 ° et 30 ° C (36 ° et 86 ° F). Conservez la bidon avec l'embout buccal vers le bas. Protéger des températures de congélation et de la lumière directe du soleil.
Évitez de pulvériser dans les yeux. Contenu sous pression. Ne percez pas et n'incitez pas. Ne stockez pas à des températures supérieures à 120 ° F. Restez hors de portée des enfants. Pour de meilleurs résultats, la cartouche doit être à température ambiante avant utilisation. Secouez bien avant de l'utiliser.
Note
La déclaration en retrait ci-dessous est requise par la Loi sur l'air propre du gouvernement fédéral pour tous les produits contenant ou fabriqués avec des chlorofluorocarbures (CFC).
Avertissement
Contient du trichlorofluorométhane et des substances dichlorodifluorométhane qui nuisent à la santé et à l'environnement publics en détruisant l'ozone dans la haute atmosphère.
Un avis similaire à l'avertissement ci-dessus a été placé dans le dépliant d'information du patient de ce produit conformément aux réglementations de l'EPA.
GlaxoSmithKline Research Triangle Park NC 27709 © 2004 GlaxoSmithKline. Tous droits réservés. Mars 2004 RL-2067
Effets secondaires fou Flovant
L'incidence des événements indésirables communs dans le tableau 1 est basé sur 7 essais cliniques américains contrôlés par placebo au total dans lesquels 1243 patients (509 femmes et 734 adolescents et adultes masculins ont été traités précédemment avec des bronchodilatateurs et / ou des corticostéroïdes inhalés) ont été traités avec des aéros de l'inhalation Flovent (Fluticasone pour le flutical semaines) ou placebo.
| Tableau 1. Événements indésirables globaux avec une incidence> 3% dans les essais cliniques contrôlés aux États-Unis avec un aérosol inhalation flovant chez les patients recevant auparavant des bronchodilators et / ou des corticostéroïdes inhalés | ||||
| Événement indésirable | Placebo (n = 475)% | Flovent 88 MCG deux fois par jour (n = 488)% | Flovent 220 MCG deux fois par jour (n = 95)% | Flovent 440 MCG deux fois par jour (n = 185)% |
| Nez et gorge de l'oreille | ||||
| Pharyngite | 7 | 10 | 14 | 14 |
| Congestion nasale | 8 | 8 | 16 | 10 |
| Sinusite | 4 | 3 | 6 | 5 |
| Décharge nasale | 3 | 5 | 4 | 4 |
| Dysphonie | 1 | 4 | 3 | 8 |
| Rhinite allergique | 4 | 5 | 3 | 3 |
| Candidose orale | 1 | 2 | 3 | 5 |
| Respiratoire | ||||
| Infection respiratoire supérieure | 12 | 15 | 22 | 16 |
| Grippe | 2 | 3 | 8 | 5 |
| Neurologique | ||||
| Mal de tête | 14 | 17 | 22 | 17 |
| Durée moyenne de l'exposition (jours) | 44 | 66 | 64 | 59 |
Le tableau 1 comprend tous les événements (qu'ils soient considérés comme liés au médicament ou non liés à l'enquêteur) qui se sont produits à un taux de plus de 3% dans les groupes traités avec un aérosol inhalation flovant (propionate de fluticasone) et étaient plus fréquents que dans le groupe placebo. En considérant ces données, les différences de durée moyenne de l'exposition doivent être prises en compte.
Ces effets indésirables étaient principalement légers à modérés en gravité avec £ 2% des patients interrompent les études en raison d'événements indésirables. Des cas rares de réactions d'hypersensibilité immédiate et retardée, notamment l'urticaire et les éruptions cutanées et d'autres événements rares de l'œdème de l'angio et du bronchospasme, ont été rapportés.
Les effets secondaires systémiques des glucocorticoïdes n'ont pas été signalés lors d'essais cliniques contrôlés avec un aérosol d'inhalation flovant (fluticasone propionate). Si les doses recommandées sont dépassées cependant ou si les individus sont des symptômes particulièrement sensibles de l'hypercorticisme, par ex. Le syndrome de Cushing pourrait se produire.
D'autres événements indésirables qui se sont produits dans ces essais cliniques à l'aide d'un aérosol inhalation flovant (fluticasone propionate) avec une incidence de 1% à 3% et qui s'est produit à une incidence plus élevée qu'avec le placebo était:
Nez d'oreille et gorge: Douleur nasale sinus (ES) Rhinite.
Œil: Irritation des yeux (s).
Gastro-intestinal: Nausées et vomissements de diarrhée dyspepsie et trouble de l'estomac.
Divers: Fièvre.
Bouche et dents: Problème dentaire.
Musculo-squelette: Douleur dans la entorse / tension articulaire morte et douleurs à la douleur dans les membres.
Neurologique: Étourdissements / vertiges.
Respiratoire: Congestion thoracique de bronchite.
Peau: Dermatite Éruption cutanée / peau.
Urogénital: Dysménorrhée.
Dans une étude de 16 semaines chez les patients souffrant d'asthme nécessitant des corticostéroïdes oraux, les effets de l'aérosol inhalation flovant (fluticasone propionate) 660 mcg deux fois par jour (n = 32) et 880 mcg deux fois par jour (n = 32) ont été comparés au placebo. Les événements indésirables (considérés comme liés au médicament ou non liés à l'enquêteur) ont été signalés par plus de 3 patients dans l'un ou l'autre groupe traités avec un aérosol inhalation flovant (propionate de fluticasone) et qui étaient plus fréquents avec des flovent (propionate de fluticasone) que le placebo sont présentés ci-dessous:
Nez d'oreille et gorge: Pharyngite (9% et 25%) nasal congestion (19% et 22%) sinusitis (19% et 22%) nasal discharge (16% et 16%) dysphonia (19% et 9%) pain in nasal sinus(es) (13% et 0%) Cetida-like oual lesions (16% et 9%) ouopharyngeal cetidiasis (25% et 19%).
Respiratoire: Infection respiratoire supérieure (31% et 19%) influenza (0% et 13%). Autre: Mal de tête (28% et 34%) pain in joint (19% et 13%) nausea et vomiting (22% et 16%) muscular douloureuxness (22% et 13%) malaise/fatigue (22% et 28%) insomnia (3% et 13%).
hydrocodone acétaminophène 7,5 325 Dosage liquide
Observé pendant la pratique clinique
En plus des événements indésirables rapportés dans les essais cliniques, les événements suivants ont été identifiés lors de l'utilisation post-approbation du propionate de fluticasone. Parce qu'ils sont signalés volontairement à partir d'une population de tailles inconnues, des estimations de la fréquence ne peuvent pas être faites. Ces événements ont été choisis pour l'inclusion en raison de leur fréquence de gravité de rapport ou de la connexion causale au propionate de fluticasone ou d'une combinaison de ces facteurs.
Nez d'oreille et gorge: Aphonie faciale et oropharyngée de l'œdème de l'œdème de l'œdème de la laryngite et de la douleur et de l'irritation de la gorge.
Endocrinien et métabolique: Cushingoïde Fait la réduction de la vitesse de croissance de l'ostéoporose et de la prise de poids des enfants / adolescents.
Œil: Cataractes.
Spécifique sans site: Réaction anaphylactique très rare.
Psychiatrie: Dépression de l'agression de l'agression et agitation.
Respiratoire: Exacerbation de l'asthme Bronchospasme Terressation de la poitrine touss dyspnea dyspnée immédiate bronchospasme de bronchospasme paradoxal pneumonie et respiration sifflante.
Peau: Contusions des réactions d'hypersensibilité cutanée ecchymoses et prurit. Conditions éosinophiles: Dans de rares cas vascularite Conformément au syndrome de Churg-Strauss, une condition qui est souvent traitée par corticothérapie systémique. Ces événements ont généralement mais pas toujours associé à la réduction et / ou au retrait de la corticothérapie orale après l'introduction du propionate de fluticasone. Des cas de conditions éosinophiles graves ont également été signalées avec d'autres corticostéroïdes inhalés dans ce contexte clinique. Les médecins devraient être vigilants éosinophilie Éruption vasculitique aggravant les symptômes pulmonaires complications cardiaques et / ou neuropathie se présentant chez leurs patients. Une relation causale entre le propionate de fluticasone et ces conditions sous-jacentes n'a pas été établie (voir PRÉCAUTIONS : Conditions éosinophiles).
Interactions médicamenteuses fou Flovant
Le propionate de fluticasone est un substrat du cytochrome P450 3A4. A drug interaction study with fluticasone propionate aqueous nasal spray in healthy subjects has shown that ritonavir (a highly potent cytochrome P450 3A4 inhibitor) can significantly increase plasma fluticasone propionate exposure resulting in significantly reduced serum cortisol concentrations (see Pharmacologie clinique : Interactions médicamenteuses ). Au cours de l'utilisation de la post-commercialisation, des interactions médicamenteuses cliniquement significatives ont été signalées cliniquement chez les patients recevant du propionate de fluticasone et du ritonavir entraînant des effets systémiques corticostéroïdes, notamment le syndrome de Cushing et la suppression surrénale. Par conséquent, la co-administration du propionate de fluticasone et du ritonavir n'est recommandée que si le bénéfice potentiel pour le patient l'emporte sur le risque d'effets secondaires corticostéroïdes systémiques.
Dans une étude croisée contrôlée par placebo dans 8 volontaires sains, la co-administration d'une seule dose de propionate de fluticasone inhalé par voie orale (1000 mcg) avec de multiples doses de kétoconazole (200 mg) à l'état d'équilibre a entraîné une augmentation de l'exposition du propion de la fluticasone plasmatique sur une réduction du cortisol plasma et un effet urrinaire sur l'excrétion de Cortisol. La prudence doit être exercée lorsque l'aérosol inhalation flovant (fluticasone propionate) est co-administré avec du kétoconazole et d'autres inhibiteurs connus du cytochrome P450 3A4.
Avertissements fou Flovant
Des soins particuliers sont nécessaires pour les patients transférés des corticostéroïdes systémiquement actifs à l'aérosol d'inhalation flovant (propionate de fluticasone) parce que les décès dus à une insuffisance surrénalienne se sont produits chez les patients asthmatiques pendant et après le transfert de corticostéroïdes systémique à des corticostéroïdes inhalés moins disposés par systématisation. Après le retrait des corticostéroïdes systémiques, un certain nombre de mois sont nécessaires pour la récupération de la fonction HPA.
Les patients qui ont déjà été maintenus sur 20 mg ou plus par jour de prednisone (ou son équivalent) peuvent être les plus sensibles, en particulier lorsque leurs corticostéroïdes systémiques ont été presque complètement retirés. Au cours de cette période de suppression de HPA, les patients peuvent présenter des signes et symptômes d'insuffisance surrénalienne lorsqu'ils sont exposés à une chirurgie ou à une infection des traumatismes (en particulier une gastro-entérite) ou d'autres conditions associées à une perte d'électrolyte sévère. Bien que l'aérosol d'inhalation flovant (fluticasone propionate) puisse fournir un contrôle des symptômes de l'asthme au cours de ces épisodes à des doses recommandées, il fournit de moins que les quantités physiologiques de glucocorticoïdes et ne fournissent pas l'activité minéralocorticoïde qui est nécessaire pour faire face à ces urgences.
Pendant les périodes de stresser ou a severe asthme attack patients who have been withdrawn from systemic couticostéroïdes should be instructed to resume oual couticostéroïdes (in large doses) immediately et to contact their physicians fou further instruction. These patients should also be instructed to carry a warning card indicating that they may need supplementary systemic couticostéroïdes during periods of stresser ou a severe asthme attack.
Une étude d'interaction médicamenteuse chez des sujets sains a montré que le ritonavir (un inhibiteur du cytochrome P450 3A4 très puissant) peut augmenter considérablement l'exposition au propionate de fluticasone plasmatique entraînant une réduction significative des concentrations de cortisol sérique (voir (voir Pharmacologie clinique : Interactions médicamenteuses et PRÉCAUTIONS : Médicament Interactions ). Au cours de l'utilisation de la post-commercialisation, des interactions médicamenteuses cliniquement significatives ont été signalées cliniquement chez les patients recevant du propionate de fluticasone et du ritonavir entraînant des effets systémiques corticostéroïdes, notamment le syndrome de Cushing et la suppression surrénale. Par conséquent, la co-administration du propionate de fluticasone et du ritonavir n'est recommandée que si le bénéfice potentiel pour le patient l'emporte sur le risque d'effets secondaires corticostéroïdes systémiques.
Les patients nécessitant des corticostéroïdes oraux doivent être sevrés lentement de l'utilisation systémique des corticostéroïdes après le transfert vers un aérosol inhalation flovant (fluticasone propionate). Dans un essai de 96 patients, la réduction de la prednisone a été réalisée avec succès en réduisant la dose quotidienne de prednisone de 2,5 mg sur une base hebdomadaire pendant le transfert au propionate de fluticasone inhalé. La réduction successive de la dose de prednisone n'a été autorisée que lorsque les symptômes de la fonction pulmonaire et selon les besoins bêta-agoniste L'utilisation était meilleure que comparable à celle observée avant le début de la réduction de la dose de prednisone. Fonction pulmonaire (FEV 1 ou AM PEF) bêta-agoniste use et asthme symptoms should be carefully monitoued during withdrawal of oual couticostéroïdes. In addition to monitouing asthme signs et symptoms patients should be observed fou signs et symptoms of adrenal insufficiency such as fatigue lassitude weakness nausea et vomiting et hypotension .
Le transfert de patients de la corticothérapie systémique à l'aérosol inhalation flovant (fluticasone propionate) peut démasquer les conditions précédemment supprimées par la corticothérapie systémique, par ex. conjonctivite rhinite eczéma et arthritis.
Les personnes sous médicaments qui suppriment le système immunitaire sont plus sensibles aux infections que les individus en bonne santé. La varicelle et la rougeole par exemple peuvent avoir un cours plus grave ou même mortel chez les enfants ou les adultes sensibles sur des corticostéroïdes. Chez ces enfants ou adultes qui n'ont pas eu ces maladies, des soins particuliers devraient être pris pour éviter l'exposition. La façon dont la voie de dose et la durée de l'administration des corticostéroïdes affectent le risque de développer une infection disséminée n'est pas connue. La contribution de la maladie sous-jacente et / ou le traitement antérieur des corticostéroïdes au risque n'est pas non plus connue. S'il est exposé à la varicelle, la prophylaxie avec varicelle zona immuno-globuline (VZIG) peut être indiquée. S'il est exposé à une prophylaxie de la rougeole avec une immunoglobuline intramusculaire groupée (Ig) peut être indiqué. (Voir les inserts de package respectifs pour les informations complètes de prescription VZIG et IG.) Si la varicelle développe un traitement avec antiviral les agents peuvent être pris en compte.
L'aérosol d'inhalation flovant (fluticasone propionate) ne doit pas être considéré comme un bronchodilatateur et n'est pas indiqué pour un soulagement rapide du bronchospasme.
Comme pour les autres médicaments d'asthme inhalés, le bronchospasme peut se produire avec une augmentation immédiate de la respiration sifflante après le dosage. Si le bronchospasme se produit après le dosage avec l'aérosol d'inhalation flovant (fluticasone propionate), il doit être traité immédiatement avec un bronchodilatateur inhalé à action rapide. Le traitement avec l'aérosol d'inhalation flovant (fluticasone propionate) doit être interrompu et un traitement alternatif institué.
Les patients doivent être invités à contacter leurs médecins immédiatement lorsque des épisodes d'asthme qui ne sont pas sensibles aux bronchodilators se produisent au cours du traitement avec un aérosol inhalation flovant (propionate de fluticasone). Au cours de ces épisodes, les patients peuvent nécessiter un traitement avec des corticostéroïdes oraux.
Précautions fou Flovant
Général
Pendant le retrait des corticostéroïdes oraux, certains patients peuvent ressentir des symptômes de sevrage systématiquement actif des corticostéroïdes, par exemple Lassitude et dépression de la douleur articulaire et / ou musculaire malgré le maintien ou même l'amélioration de la fonction respiratoire.
Le propionate de fluticasone permettra souvent le contrôle des symptômes de l'asthme avec moins de suppression de la fonction HPA que les doses orales thérapeutiquement équivalentes de prednisone. Étant donné que le propionate de fluticasone est absorbé par la circulation et peut être systématiquement actif à des doses plus élevées, les effets bénéfiques de l'aérosol inhalation flovant (propionate de fluticasone) dans la minimisation du dysfonction HPA ne peuvent être attendus que lorsque les dosages recommandés ne sont pas dépassés et que les patients individuels sont titrés à la dose efficace la plus faible. Une relation entre les taux plasmatiques de propionate de fluticasone et les effets inhibitrices sur la production de cortisol stimulé a été démontré après 4 semaines de traitement avec un aérosol inhalation flovant (propionate de fluticasone). Étant donné que la sensibilité individuelle aux effets sur la production de cortisol existe des médecins devraient considérer ces informations lors de la prescription d'aérosol inhalation flovant (propionate de fluticasone).
En raison de la possibilité d'absorption systémique des patients atteints de corticostéroïdes inhalés traités avec ces médicaments, il faut observer soigneusement pour toute preuve d'effets systémiques des corticostéroïdes. Des soins particuliers devraient être pris dans l'observation des patients postopératoires ou pendant les périodes de stress pour des preuves de réponse surrénalienne inadéquate.
Il est possible que des effets systémiques corticostéroïdes tels que l'hypercorticisme et la suppression surrénalienne (y compris la crise surrénalienne) puissent apparaître chez un petit nombre de patients, en particulier lorsque l'aérosol d'inhalation flovant (propionate de fluticasone) est administré à des périodes de temps plus élevées que les doses recommandées sur prolongé. Si de tels effets se produisent par l'inhalation de propionate de fluticasone, l'aérosol doit être réduit lentement avec les procédures acceptées pour réduire les corticostéroïdes systémiques et pour la gestion des symptômes de l'asthme.
Une réduction de la vitesse de croissance chez les enfants ou les adolescents peut survenir en raison d'un contrôle inadéquat des maladies chroniques telles que l'asthme ou de l'utilisation de corticostéroïdes pour le traitement. Les médecins devraient suivre de près la croissance des adolescents prenant des corticostéroïdes par n'importe quelle voie et peser les avantages de la corticothérapie et du contrôle de l'asthme par rapport à la possibilité de suppression de la croissance si une croissance des adolescents semble ralentie.
Les effets à long terme du propionate de fluticasone chez les sujets humains ne sont pas entièrement connus. En particulier, les effets résultant de l'utilisation chronique du propionate de fluticasone sur les processus de développement ou immunologiques dans la trachée et les poumons du pharynx bouche sont inconnus. Certains patients ont reçu un aérosol d'inhalation de propionate de fluticasone sur une base continue pendant des périodes de 3 ans ou plus. Dans les études cliniques avec des patients traités pendant près de 2 ans avec du propionate de fluticasone inhalé, aucune différence apparente dans le type ou la gravité des effets indésirables n'a été observée après un traitement à court terme à court terme.
Rares instances de glaucome Une augmentation de la pression intraoculaire et des cataractes ont été signalées après l'administration inhalée de corticostéroïdes, y compris le propionate de fluticasone.
Dans les études cliniques avec du fluticasone inhalé propionate le développement d'infections localisées du pharynx avec Candida albicans s'est produit. Lorsqu'une telle infection se développe, elle doit être traitée avec un traitement local ou systémique approprié (c'est-à-dire antifongique oral) tout en restant sur un traitement avec un aérosol d'inhalation flovant (fluticasone propionate), mais parfois le traitement par le thérapie flovant (propionate de fluticasone), l'aérosol peut avoir besoin d'être interrompu.
Corticostéroïdes inhalés should be used with caution if at all in patients with active ou quiescent tuberculose infection des voies respiratoires; Infections virales bactériennes ou parasites fongiques systémiques non traitées; ou herpès simplex oculaire.
Conditions éosinophiles
Dans de rares cas vascularite Conformément au syndrome de Churg-Strauss, une condition qui est souvent traitée par corticothérapie systémique. Ces événements ont généralement mais pas toujours associé à la réduction et / ou au retrait de la corticothérapie orale après l'introduction du propionate de fluticasone. Des cas de conditions éosinophiles graves ont également été signalées avec d'autres corticostéroïdes inhalés dans ce contexte clinique. Les médecins devraient être vigilants éosinophilie Éruption vasculitique aggravant les symptômes pulmonaires complications cardiaques et / ou neuropathie se présentant chez leurs patients. Une relation causale entre le propionate de fluticasone et ces conditions sous-jacentes n'a pas été établie (voir Effets indésirables ).
Informations pour les patients
Les patients traités avec un aérosol inhalation flovant (fluticasone propionate) devraient recevoir les informations et instructions suivantes. Ces informations sont destinées à les aider dans l'utilisation sûre et efficace de ce médicament. Ce n'est pas une divulgation de tous les effets négatifs ou prévus possibles.
Les patients doivent utiliser un aérosol d'inhalation flovant (fluticasone propionate) à intervalles réguliers comme indiqué. Les résultats des essais cliniques ont indiqué une amélioration significative peuvent survenir dans le premier jour ou deux de traitement; Cependant, le plein avantage ne peut pas être réalisé tant que le traitement n'a pas été administré pendant 1 à 2 semaines ou plus. Le patient ne doit pas augmenter le dosage prescrit mais doit contacter le médecin si les symptômes ne s'améliorent pas ou si la condition s'aggrave.
Après l'inhalation, rincez la bouche avec de l'eau sans avaler.
Les patients doivent être avertis d'éviter l'exposition à la varicelle ou à la rougeole et s'ils sont exposés pour consulter le médecin sans délai.
Pour l'utilisation appropriée de l'aérosol d'inhalation flovant (fluticasone propionate) et pour atteindre une amélioration maximale, le patient doit lire et suivre attentivement les instructions du patient pour une utilisation accompagnant le produit.
Carcinogenèse Mutagenèse A trouble de la fertilité
Le propionate de fluticasone n'a démontré aucun potentiel tumorigène dans des études de doses orales jusqu'à 1000 mcg / kg (environ 2 fois la dose maximale de l'inhalation quotidienne humaine basée sur MCG / m 2 ) pendant 78 semaines chez la souris ou inhalation allant jusqu'à 57 mcg / kg (environ 1/4 de la dose d'inhalation quotidienne humaine maximale basée sur MCG / m 2 ) pendant 104 semaines chez le rat.
Le propionate de fluticasone n'a pas induit de mutation génétique dans les cellules procaryotes ou eucaryotes in vitro . Aucun effet clastogène significatif n'a été observé dans les lymphocytes périphériques humains cultivés in vitro ou dans le test de micronucléus de souris lorsqu'il est administré à des doses élevées par les voies orales ou sous-cutanées. De plus, le composé n'a pas retardé la division des érythroblastes dans la moelle osseuse.
Aucune preuve d'altération de la fertilité n'a été observée dans des études de reproduction menées chez un rat dosé par voie sous-cutanée avec des doses allant jusqu'à 50 mcg / kg (environ 1/4 de la dose d'inhalation quotidienne humaine maximale basée sur MCG / M 2 ) chez les hommes et les femmes. Cependant, le poids de la prostate a été significativement réduit chez le rat.
Grossesse
Effets tératogènes: Grossesse Categouy C. Subcutaneous studies in the mouse et rat at 45 et 100 mcg/kg respectively (approximately 1/10 et 1/2 the maximum human daily inhalation dose based on mcg/m 2 respectivement) ont révélé une toxicité fœtale caractéristique des composés de glucocorticoïdes puissants, notamment la fente palatine de la croissance de la croissance embryonnaire et l'ossification crânienne retardée.
Dans le lapin, la réduction du poids fœtal et la fente palatine ont été observées après des doses sous-cutanées de 4 mcg / kg (environ 1/25 la dose d'inhalation quotidienne humaine maximale basée sur MCG / m 2 ). However following oual administration of up to 300 mcg/kg (approximately 3 times the maximum human daily inhalation dose based on mcg/m 2 ) du propionate de fluticasone au lapin, il n'y avait aucun effet maternel ni augmenté l'incidence des défauts fœtaux viscéraux ou squelettiques externes. Aucun propionate de fluticasone n'a été détecté dans le plasma dans cette étude conforme à la faible biodisponibilité établie après l'administration orale (voir Pharmacologie clinique ).
Moins de 0,008% de la dose administrée a traversé le placenta après l'administration orale de 100 mcg / kg à des rats ou 300 mcg / kg aux lapins (environ 1/2 et 3 fois la dose maximale d'inhalation quotidienne humaine basée sur MCG / M 2 respectivement).
Il n'y a pas d'études adéquates et bien contrôlées chez les femmes enceintes. Un aérosol inhalation flovant (fluticasone propionate) ne doit être utilisé pendant la grossesse que si le bénéfice potentiel justifie le risque potentiel pour le fœtus.
Expérience avec les glucocorticoïdes oraux depuis leur introduction en pharmacologique par opposition aux doses physiologiques suggère que les rongeurs sont plus sujets aux effets tératogènes des glucocorticoïdes que les humains. De plus, car il y a une augmentation naturelle de la production de glucocorticoïdes pendant la grossesse, la plupart des femmes nécessiteront une dose de glucocorticoïdes exogènes plus faible et beaucoup n'auront pas besoin de traitement des glucocorticoïdes pendant la grossesse.
Mères qui allaitent
On ne sait pas si le propionate de fluticasone est excrété dans le lait maternel humain. Administration sous-cutanée de 10 mcg / kg de médicament tridité à des rats allaitants (environ 1/20 la dose d'inhalation quotidienne humaine maximale basée sur MCG / M 2 ) a entraîné une radioactivité mesurable dans le plasma et le lait. Parce que les glucocorticoïdes sont excrétés dans la prudence du lait maternel doivent être exercés lorsque l'inhalation de propionate de fluticasone a été administrée à une femme allaitée.
Usage pédiatrique
Cent trente-sept (137) patients âgés de 12 à 16 ans ont été traités avec un aérosol d'inhalation flovant (propionate de fluticasone) dans les essais cliniques pivots américains. L'aérosol d'inhalation Flovant (fluticasone propionate) chez les enfants de moins de 12 ans n'a pas été établi. Il a été démontré que les corticostéroïdes oraux provoquent une réduction de la vitesse de croissance chez les enfants et les adolescents avec une utilisation prolongée. Si un enfant ou un adolescent sur un corticostéroïde semble avoir une suppression de la croissance, la possibilité qu'il soit particulièrement sensible à cet effet des corticostéroïdes doit être pris en compte (voir PRÉCAUTIONS ).
Utilisation gériatrique
Cinq cent soixante-quatorze (574) patients de 65 ans ou plus ont été traités avec des aérosols inhalation flovent (propionate de fluticasone) aux essais cliniques américains et non américains. Il n'y avait aucune différence dans les effets indésirables par rapport à ceux rapportés par les patients plus jeunes.
Informations sur la surdose pour Flovent
Un surdosage chronique peut entraîner des signes / symptômes de l'hypercorticisme (voir PRÉCAUTIONS ). L'inhalation par des volontaires sains d'une seule dose de 1760 ou 3520 mcg d'aérosol d'inhalation de propionate de fluticasone a été bien toléré. Le propionate de fluticasone donné par l'aérosol d'inhalation à des doses de 1320 mcg deux fois par jour pendant 7 à 15 jours à des volontaires humains en bonne santé a également été bien toléré. Répétez les doses orales jusqu'à 80 mg par jour pendant 10 jours chez des volontaires sains et répétez les doses orales jusqu'à 20 mg par jour pendant 42 jours chez les patients ont été bien tolérés. Les effets indésirables étaient de gravité légère ou modérée et les incidences étaient similaires dans les groupes de traitement actifs et placebo. Les doses mortelles médianes orales et sous-cutanées chez le rat et les souris étaient> 1000 mg / kg (> 2000 fois la dose maximale de l'inhalation quotidienne humaine à base de mg / m 2 ).
Contre-indications pour flovent
L'aérosol d'inhalation flovant (fluticasone propionate) est contre-indiqué dans le traitement primaire du statut asthmatique ou d'autres épisodes aigus d'asthme où des mesures intensives sont nécessaires.
L'hypersensibilité à l'un des ingrédients de ces préparations contre-indique leur utilisation (voir DESCRIPTION ).
Pharmacologie clinique fou Flovant
Le propionate de fluticasone est un glucocorticoïde trifluoriné synthétique avec une puissante activité anti-inflammatoire. Des tests in vitro utilisant des préparations de cytosol pulmonaire humain ont établi le propionate de fluticasone comme agoniste des récepteurs des glucocorticoïdes humains avec une affinité 18 fois supérieure à la dexaméthasone presque le double de celle de la bernométhasone-17-monopropionate (BMP) le métabolite actif du Beclomethasone Dipropionate et plus de 3 fois de la boudonide. Les données du test de vasoconstricteur McKenzie chez l'homme sont cohérentes avec ces résultats.
Les mécanismes précis de l'action des glucocorticoïdes dans l'asthme sont inconnus. L'inflammation est reconnue comme un composant important dans la pathogenèse de l'asthme. Il a été démontré que les glucocorticoïdes inhibent plusieurs types de cellules (par exemple, les mâts de mastocytes éosinophiles macrophiles lymphocytes et les neutrophiles) et la production ou la sécrétion de médiateur (par exemple les éicosanoïdes de l'histamine leukotriènes et les cytokines) impliqués dans la réponse asthmatique. Ces actions anti-inflammatoires des glucocorticoïdes peuvent contribuer à leur efficacité dans l'asthme.
Bien que très efficace pour le traitement des glucocorticoïdes de l'asthme n'affecte pas immédiatement les symptômes de l'asthme. Cependant, l'amélioration après l'administration inhalée de propionate de fluticasone peut se produire dans les 24 heures suivant le traitement débutant, bien que un avantage maximal ne puisse pas être obtenu pendant 1 à 2 semaines ou plus après le début du traitement. Lorsque les glucocorticoïdes sont interrompus l'asthme, la stabilité peut persister pendant plusieurs jours ou plus.
Pharmacocinétique
Absorption: L'activité de l'aérosol d'inhalation flovant (fluticasone propionate) est due au propionate de fluticasone du médicament parent. Des études utilisant le dosage oral de médicament marqué et non marqué ont démontré que la biodisponibilité systémique orale du propionate de fluticasone est négligeable ( <1%) primarily due to incomplete absouption et presystemic metabolism in the gut et liver. In contrast the majouity of the fluticasone propionate delivered to the lung is systemically absoubed. The systemic bioavailability of fluticasone propionate inhalation aerosol in healthy volunteers averaged about 30% of the dose delivered from the actuatou.
Les concentrations plasmatiques maximales après une dose inhalée de 880 mCG variaient de 0,1 à 1,0 ng / ml. Distribution: Après l'administration intraveineuse, la phase de disposition initiale pour le propionate de fluticasone a été rapide et cohérente avec sa solubilité lipidique élevée et sa liaison tissulaire. Le volume de distribution était en moyenne de 4,2 l / kg. Le pourcentage de propionate de fluticasone lié aux protéines plasmatiques humaines était en moyenne de 91%. Le propionate de fluticasone est faiblement et réversible aux érythrocytes. Le propionate de fluticasone n'est pas significativement lié à la transcortine humaine.
Métabolisme: La clairance totale du propionate de fluticasone est élevée (moyenne de 1093 ml / min) avec un dégagement rénal représentant moins de 0,02% du total. Le seul métabolite circulant détecté chez l'homme est le 17 b -Carboxylique acide dérivé du propionate de fluticasone qui est formé par la voie du cytochrome P450 3A4. Ce métabolite avait environ 2000 fois moins d'affinité que le médicament parent pour le récepteur glucocorticoïde du cytosol pulmonaire humain in vitro et une activité pharmacologique négligeable dans les études animales. D'autres métabolites détectés in vitro à l'aide de cellules d'hépatome humain cultivées n'ont pas été détectés chez l'homme.
Excrétion: Après le dosage intraveineux du fluticasone, le propionate a montré une cinétique polyexponentielle et avait une demi-vie d'élimination terminale d'environ 7,8 heures. Moins de 5% d'une dose orale radiomarquée a été excrétée dans l'urine en tant que métabolites avec le reste excrété dans les excréments en tant que médicament parent et métabolites.
Populations spéciales: Les études pharmacocinétiques formelles utilisant du propionate de fluticasone n'ont été effectuées dans aucune population spéciale. Dans une étude clinique utilisant du fluticasone, des concentrations plasmatiques de plasma de propionate de la poudre de fluticasone du fluticasone ont été collectées chez 76 hommes et 74 femmes après une administration inhalée de 100 et 500 mcg deux fois par jour. Des profils pharmacocinétiques complets ont été obtenus auprès de 7 patientes et 13 patients masculins à ces doses et aucune différence globale de comportement pharmacocinétique n'a été trouvée.
Interactions médicamenteuses
Le propionate de fluticasone est un substrat du cytochrome P450 3A4.
La co-administration du propionate de fluticasone et le ritavir inhibiteur du cytochrome P450 3A4 très puissant n'est pas recommandée sur la base d'une étude d'interaction médicamenteuse à croisement à dose multiples chez 18 sujets sains. Le spray nasal aqueux propionate de fluticasone (200 mcg une fois par jour) a été co-administré pendant 7 jours avec du ritonavir (100 mg deux fois par jour). Les concentrations de propionate de fluticasone plasmatique après un spray nasal aqueuse propionate de fluticasone seul étaient indétectables ( <10 pg/mL) in most subjects et when concentrations were detectable peak levels (C max En moyenne 11,9 pg / ml [plage de 10,8 à 14,1 pg / ml] et AUC (0-T) En moyenne 8,43 p. · hr / ml [plage 4,2 à 18,8 pg · hr / ml]). Fluticasone propionate c max et AUC (0-T) augmenté à 318 pg / ml (plage de 110 à 648 pg / ml) et 3102,6 pg · hr / ml (plage 1207.1 à 5662.0 pg · HR / ml) respectivement après la co-administration de ritonavir avec du spray nasal aqueux propionate de fluticasone. Cette augmentation significative de l'exposition au propionate de fluticasone plasmatique a entraîné une diminution significative (86%) de la zone du cortisol plasmatique sous la concentration plasmatique par rapport à la courbe temporelle (ASC).
La prudence doit être exercée lorsque d'autres inhibiteurs puissants du cytochrome P450 3A4 sont co-administrés avec du propionate de fluticasone. Dans une étude d'interaction médicamenteuse, la co-administration du propionate de fluticasone inhalé par voie orale (1000 mcg) et du kétoconazole (200 mg une fois par jour) a entraîné une augmentation de l'exposition au propionate de fluticasone plasmatique et de la réduction de l'ASUC du cortisol plasmatique mais n'a eu aucun effet sur l'excrétion urinaire du cortisol.
Dans une autre étude d'interaction médicamenteuse à dose multiple du propionate de fluticasone inhalé par voie orale (500 mcg deux fois par jour) et l'érythromycine (333 mg 3 fois par jour) n'a pas affecté la pharmacocinétique du propionate de fluticasone.
Pharmacodynamique
Pour confirmer que l'absorption systémique ne joue pas de rôle dans la réponse clinique au propionate de fluticasone inhalé, une étude clinique en double aveugle comparant le propionate de fluticasone inhalé et oral a été menée. Des doses de 100 et 500 mcg deux fois par jour de la poudre d'inhalation de propionate de fluticasone ont été comparées au propionate de fluticasone oral 20000 mcg donné une fois par jour et un placebo pendant 6 semaines. Les taux plasmatiques de propionate de fluticasone étaient détectables dans les 3 groupes actifs, mais les valeurs moyennes étaient les plus élevées dans le groupe oral. Les deux doses de propionate de fluticasone inhalée ont été efficaces pour maintenir la stabilité de l'asthme et améliorer la fonction pulmonaire tandis que le propionate de fluticasone oral et le placebo étaient inefficaces. Cela démontre que l'efficacité clinique du propionate de fluticasone inhalé est due à son effet local direct et non à un effet indirect par absorption systémique.
Les effets systémiques potentiels du propionate de fluticasone inhalé sur l'axe hypothalamique-hypophyso-surrénalien (HPA) ont également été étudiés chez les patients asthmatiques.
Le propionate de fluticasone donné par l'aérosol d'inhalation à des doses de 220 440 660 ou 880 mcg deux fois par jour a été comparé au placebo ou à la prednisone orale 10 mg donnée une fois par jour pendant 4 semaines. Pour la plupart des patients, la capacité d'augmenter la production de cortisol en réponse au stress évaluée par la stimulation de la cosyntropine de 6 heures est restée intacte avec le traitement du propionate de fluticasone inhalé. Aucun patient n'a eu une réponse anormale (pic de moins de 18 mcg / dL) après dosage avec un placebo ou 220 mcg deux fois par jour. Dix pour cent (10%) à 16% des patients traités par du fluticasone propionate à des doses de 440 mcg ou plus deux fois par jour ont eu une réponse anormale par rapport à 29% des patients traités par de la prednisone.
Essais cliniques
Des essais cliniques américains contrôlés par le placebo parallèle en double aveugle ont été effectués chez les adolescents et adultes de 1818 pour évaluer l'efficacité et / ou l'innocuité de l'aérosol d'inhalation Flovent (fluticasone propionate) dans le traitement de l'asthme. Des doses fixes allant de 22 à 880 mcg deux fois par jour ont été comparées au placebo pour fournir des informations sur le dosage approprié pour couvrir une gamme de gravité de l'asthme. Les patients souffrant d'asthme inclus dans ces études étaient ceux qui n'étaient pas correctement contrôlés avec des bêta-agonistes seuls ceux qui sont déjà maintenus sur des corticostéroïdes inhalés quotidiens et ceux nécessitant une corticothérapie orale. Dans tous les essais d'efficacité à toutes les doses, mesures de la fonction pulmonaire (volume expiratoire forcé en 1 seconde [FEV 1 ] et le flux expiratoire maximal du matin [AM PEF]) ont été statistiquement significativement améliorés par rapport au placebo.
Dans 2 essais cliniques de 660 patients souffrant d'asthme contrôlé par inadéquation sur des bronchodilators seuls, l'aérosol inhalation flovant (propionate de fluticasone) a été évalué à des doses de 44 et 88 mcg deux fois par jour. Les deux doses d'aérosol inhalation flovant (fluticasone propionate) ont amélioré le contrôle de l'asthme significativement par rapport au placebo.
La figure 1 présente les résultats des tests de fonction pulmonaire pour la dose de départ recommandée de l'aérosol d'inhalation flovant (propionate de fluticasone) (88 mcg deux fois par jour) et un placebo d'un essai de 12 semaines chez les patients souffrant d'asthme mal contrôlé sur des bronchodilateurs seuls. Parce que cet essai a utilisé des critères prédéterminés par manque d'efficacité, ce qui a fait en sorte que davantage de patients du groupe placebo soient retirés des résultats de la fonction pulmonaire au point de terminaison qui est le dernier FEV évaluable 1 Résultat et comprend la plupart des données de fonction pulmonaire des patients sont également fournies. La fonction pulmonaire s'est améliorée de manière significative avec l'aérosol d'inhalation flovant (fluticasone propionate) par rapport au placebo d'ici la deuxième semaine de traitement et cette amélioration a été maintenue au cours de la durée de l'essai.
Figure 1. Un essai clinique de 12 semaines chez les patients contrôlés insuffisamment sur les bronchodilatateurs seuls: pourcentage moyen de changement par rapport à la ligne de base en FEV 1 Avant la dose
Dans les essais cliniques de 924 patients asthmatiques recevant déjà une corticothérapie inhalée quotidienne (doses d'au moins 336 mcg / jour de berlométhasone dipropionate) En plus de l'albutérol tel que nécessaire et de la théophylline (46% de tous les patients) 22 à 440 mcg de doses à deux fois de flocation (aérien de fluasone. Toutes les doses d'aérosol d'inhalation flovant (fluticasone propionate) étaient efficaces par rapport au placebo sur les principaux critères d'évaluation, y compris la fonction pulmonaire et les scores des symptômes. Les patients traités par un aérosol d'inhalation flovant (fluticasone propionate) étaient également moins susceptibles d'arrêter la participation de l'étude en raison de la détérioration de l'asthme (tel que défini par les critères prédéterminés par manque d'efficacité, y compris la fonction pulmonaire et les variables enregistrées par les patients telles que l'AM PEF Albutérol et les éveils nocturnes dus à l'asthma).
La figure 2 présente les résultats de la fonction pulmonaire d'un essai clinique de 12 semaines chez les patients souffrant d'asthme recevant déjà une corticothérapie inhalée quotidienne (le dipropionate de beclométhasone 336 à 672 mcg / jour). Le pourcentage moyen de variation par rapport aux résultats de la fonction pulmonaire pour les dosages d'aérosols inhalation flovent (fluticasone propionate) de 88 220 et 440 mcg deux fois par jour et placebo est indiqué au cours de l'essai de 12 semaines. Étant donné que cet essai a également utilisé des critères prédéterminés par manque d'efficacité qui ont fait en sorte que davantage de patients du groupe placebo soient retirés des résultats de la fonction pulmonaire au point de terminaison. La fonction pulmonaire s'est améliorée de manière significative avec l'aérosol d'inhalation flovant (fluticasone propionate) par rapport au placebo d'ici la première semaine de traitement et l'amélioration a été maintenue au cours de la durée de l'essai. L'analyse des résultats des paramètres ajustés pour les taux de retrait différentiels a indiqué que la fonction pulmonaire s'est considérablement améliorée avec l'aérosol inhalation flovent (fluticasone propionate) par rapport au traitement placebo. Des améliorations similaires de la fonction pulmonaire ont été observées dans les 2 autres essais chez les patients traités par des corticostéroïdes inhalés au départ.
Figure 2. Un essai clinique de 12 semaines avec des patients recevant déjà des corticostéroïdes inhalés: pourcentage moyen de changement par rapport à la ligne de base en FEV 1 Avant la dose
Dans un essai clinique de 96 patients atteints d'asthme sévère nécessitant un traitement par la prednisone oral chronique (dose de prednisone quotidienne moyenne moyenne était de 10 mg) des doses deux fois par jour de 660 et 880 mcg d'aérosol d'inhalation flovent (propionate de fluticasone). Les deux doses ont permis à un pourcentage statistiquement significativement plus élevé de patients de sevrer avec succès de la prednisone orale par rapport au placebo (69% des patients sur 660 mcg deux fois par jour et 88% des patients sur 880 mcg deux fois par jour par rapport à 3% des patients sur placebo). L'accompagnement de la réduction de la consommation de corticostéroïdes oraux à utiliser des patients traités par un aérosol d'inhalation flovant (fluticasone propionate) avait significativement amélioré la fonction pulmonaire et moins de symptômes d'asthme par rapport au groupe placebo.
Figure 3. Un essai clinique de 16 semaines chez les patients nécessitant une thérapie chronique de la prednisone orale: changement de dose de prednisone d'entretien
Informations sur les patients pour Flovent
Les patients traités avec un aérosol inhalation flovant (fluticasone propionate) devraient recevoir les informations et instructions suivantes. Ces informations sont destinées à les aider dans l'utilisation sûre et efficace de ce médicament. Ce n'est pas une divulgation de tous les effets négatifs ou prévus possibles.
Les patients doivent utiliser un aérosol d'inhalation flovant (fluticasone propionate) à intervalles réguliers comme indiqué. Les résultats des essais cliniques ont indiqué une amélioration significative peuvent survenir dans le premier jour ou deux de traitement; Cependant, le plein avantage ne peut pas être réalisé tant que le traitement n'a pas été administré pendant 1 à 2 semaines ou plus. Le patient ne doit pas augmenter le dosage prescrit mais doit contacter le médecin si les symptômes ne s'améliorent pas ou si la condition s'aggrave.
Après l'inhalation, rincez la bouche avec de l'eau sans avaler.
Les patients doivent être avertis d'éviter l'exposition à la varicelle ou à la rougeole et s'ils sont exposés pour consulter le médecin sans délai.
Pour l'utilisation appropriée de l'aérosol d'inhalation flovant (fluticasone propionate) et pour atteindre une amélioration maximale, le patient doit lire et suivre attentivement les instructions du patient pour une utilisation accompagnant le produit.