Les Informations Présentées Sur Ce Site Ne Constituent Pas Un Avis Médical. Nous Ne Vendons Rien. L'Exactitude De La Traduction N'Est Pas Garantie. Clause De Non-Responsabilité
Cephalosporines, 3e génération
Fortaz
Résumé
Qu'est-ce que Fortaz?
Fortaz (injection de ceftazidime) est une céphalosporine antibiotique Utilisé pour traiter de nombreux types d'infections bactériennes, y compris des formes sévères ou mortelles. Fortaz est disponible en générique formulaire.
Quels sont les effets secondaires de Fortaz?
Fortaz
- urticaire
- difficulté à respirer
- gonflement de ton visage lèvres langue ou gorge
- douleur à l'estomac sévère
- Diarrhée qui est aqueuse ou sanglante
- confusion
- Problèmes de parole ou de mémoire
- convulsions et
- Décoloration de la sensation du froid ou changements de peau dans vos doigts
Obtenez de l'aide médicale immédiatement si vous présentez l'un des symptômes énumérés ci-dessus.
Les effets secondaires courants de Fortaz comprennent:
- Réactions du site d'injection (douleurs ou douleurs à la rougeur gonflable)
- nausée
- vomissement
- diarrhée
- ventre ou douleurs abdominales
- mal de tête
- vertiges
- engourdissement ou sentiment de piqûre
- démangeaisons vaginales ou décharge
- réactions d'hypersensibilité (démangeaisons de la fièvre des éruptions) et
- Chausse orale.
Dites à votre médecin si vous avez des effets secondaires graves de Fortaz, notamment:
- Diarrhée qui est aqueuse ou sanglante
- Décoloration de la sensation du froid ou changements de peau dans vos doigts
- Saisies (noir ouvrants ou convulsions)
- Patches ou plaies blanches dans votre bouche ou sur votre lèvre
- jaunissement des yeux ou de la peau ( jaunisse )ou
- Réaction de peau sévère: fièvre mal de gorge Un gonflement dans votre visage ou votre langue brûle dans vos yeux la douleur cutanée suivie d'une éruption cutanée rouge ou violette qui se propage (en particulier dans le visage ou le haut du corps) et provoque des cloques et des peelings.
Cherchez des soins médicaux ou appelez le 911 à la fois si vous avez les effets secondaires graves suivants:
- Des symptômes oculaires graves tels que la perte de vision soudaine floue du tunnel de vision de la vision de la vision des yeux ou de l'enflure ou de voir des halos autour des lumières;
- Symptômes cardiaques graves tels que les battements cardiaques rapides ou battants; flotter dans votre poitrine; essoufflement; Et des étourdissements soudains étourdissement ou s'évanouir;
- Maux de tête sévères Confusion Slurred Speech Bras ou Ligne Proulitude Trouble de la merde Perte de coordination Sentiment des muscles très rigides très rigides Fièvre élevée Propice ou des tremblements.
Ce document ne contient pas tous les effets secondaires possibles et d'autres peuvent survenir. Vérifiez auprès de votre médecin des informations supplémentaires sur les effets secondaires.
Dosage pour Fortaz
La dose adulte habituelle de Fortaz est administrée de 1 gramme par voie intraveineuse ou intramusculaire toutes les 8 à 12 heures.
Quelles substances ou suppléments de médicaments interagissent avec Fortaz?
Fortaz peut interagir avec chloramphénicol diurétiques (pilules d'eau) ou antibiotiques. Dites à votre médecin tous les médicaments que vous prenez.
Fortaz pendant la grossesse et l'allaitement
Fortaz ne devrait pas être nocif pour un fœtus. Dites à votre médecin si vous êtes enceinte ou prévoyez de devenir enceinte pendant le traitement. Ce médicament peut passer dans le lait maternel et peut nuire à un bébé qui allaitait. N'utilisez pas ce médicament si vous allaitez un bébé.
Informations Complémentaires
Notre centre de médicaments à effets secondaires de Fortaz (injection de ceftazidime) offre une vue complète des informations sur les médicaments disponibles sur les effets secondaires potentiels lors de la prise de ce médicament.
Informations sur les médicaments de la FDA
- Description de la drogue
- Indications
- Dosage
- Effets secondaires
- Avertissements
- Précautions
- Surdosage
- Pharmacologie clinique
- Guide des médicaments
Pour une utilisation intraveineuse ou intramusculaire
Pour réduire le développement de bactéries résistantes aux médicaments et maintenir l'efficacité de Fortaz et d'autres médicaments antibactériens, le Fortaz ne devrait être utilisé que pour traiter ou prévenir les infections qui sont prouvées ou fortement suspectées comme causées par des bactéries.
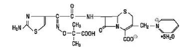
Description de Fortaz
Ceftazidime est un médicament antibactérien bêta-lactame à large spectre semi-spectre pour l'administration parentérale. C'est le pentahydrate de pyridinium 1 - [[7 - [[(2-amino-4-thiazolyl) [(1-carboxy1-méthyléthoxy) imino] acétyl] amino] -2-carboxy-8-oxo-5-thia-1-azabicyclo [4.2.0] oct-2-en-yl] méthyl]-hydroxide sel [6R- [6α7β (Z)]]. Il a la structure suivante:
|
La formule moléculaire est C 22 H 32 N 6 O 12 S 2 représentant un poids moléculaire de 636.6.
Le Fortaz est un mélange stérile à poudre à sec de pentahydrate de ceftazidime et de carbonate de sodium. Le carbonate de sodium à une concentration de 118 mg / g d'activité de ceftazidime a été mélangé pour faciliter la dissolution. La teneur totale en sodium du mélange est d'environ 54 mg (NULL,3 mEq) / g d'activité de ceftazidime.
Fortaz sous forme cristalline stérile est fournie dans des flacons à dose unique équivalents à 500 mg 1 g ou 2 g de ceftazidime anhydre et dans des flacons à dose unique Twistvial ™ équivalents à 1 ou 2 g de ceftazidime anhydre.
Les solutions de Fortaz ont la couleur du jaune clair à l'ambre en fonction du diluant et du volume utilisés. Le pH des solutions fraîchement constituées varie généralement de 5 à 8.
Le Fortaz est disponible en tant que solution non pyrogénique stérile iso-osmotique congelée avec 1 ou 2 g de ceftazidime comme ceftazidime sodium prémélangée avec environ 2,2 ou 1,6 g respectivement de Dextrose Hydrous USP. Dextrose a été ajouté pour ajuster l'osmolalité. L'hydroxyde de sodium est utilisé pour ajuster le pH et neutraliser l'acide sans pentahydrate de la ceftazidime au sel de sodium. Le pH peut avoir été ajusté avec de l'acide chlorhydrique. Les solutions de Fortaz prémélangées se comportent en couleur du jaune clair à l'ambre. La solution est destinée à l'utilisation intraveineuse (IV) après la décongélation à température ambiante.
L'osmolalité de la solution est d'environ 300 mosmol / kg et le pH des solutions décongelées varie de 5 à 7,5.
Le récipient en plastique pour la solution congelée est fabriqué à partir d'un plastique multicouche spécialement conçu PL 2040. Les solutions sont en contact avec la couche de polyéthylène de ce récipient et peuvent lixiviation de certains composants chimiques du plastique en très petites quantités dans la période d'expiration. L'adéquation du plastique a été confirmée dans les tests chez les animaux en fonction des tests biologiques USP pour les récipients en plastique ainsi que par des études de toxicité de la culture tissulaire.
Utilisations pour Fortaz
Le Fortaz est indiqué pour le traitement des patients atteints d'infections causés par des souches sensibles des organismes désignés dans les maladies suivantes:
- Infections des voies respiratoires plus faibles y compris la pneumonie causée par Pseudomonas aeruginosa et d'autres Pseudomonas spp.; Haemophilus influenzae y compris les souches résistantes à l'ampicilline; Klebsiella spp.; Enterobacter spp.; Proteus merveilleux ; Ils ont fait preuve de froid ; Serratia spp.; Citrobacter spp.; Streptococcus pneumoniae ; et Staphylococcus aureus (souches sensibles à la méthicilline).
- Infections de la peau et de la peau-structure causé par Pseudomonas aeruginosa ; Klebsiella spp.; Ils ont fait preuve de froid ; Protéus spp. y compris Proteus merveilleux et indole positif Protéus ; Enterobacter spp.; Serratia spp.; Staphylococcus aureus (souches sensibles à la méthicilline); et Streptococcus pyogenes (Groupe A Streptocoque bêta-hémolytique).
- Infections des voies urinaires à la fois compliqué et simple causé par Pseudomonas aeruginosa ; Enterobacter spp.; Protéus spp. y compris Proteus merveilleux et indole positif Protéus ; Klebsiella spp.; et Ils ont fait preuve de froid.
- Septicémie bactérienne causé par Pseudomonas aeruginosa Klebsiella spp. Haemophilus influenzae Ils ont fait preuve de froid Serratia spp. Streptococcus pneumoniae et Staphylococcus aureus (souches sensibles à la méthicilline).
- Infections osseuses et articulaires causé par Pseudomonas aeruginosa Klebsiella spp. Enterobacter spp. et Staphylococcus aureus (souches sensibles à la méthicilline).
- Infections gynécologiques y compris l'endométrite pelvienne cellulite et autres infections des voies génitales féminines causées par Ils ont fait preuve de froid .
- Infections intra-abdominales y compris la péritonite causée par Ils ont fait preuve de froid Klebsiella spp. et Staphylococcus aureus (souches sensibles à la méthicilline) et infections polymicrobiennes causées par des organismes aérobies et anaérobies et Bacteroides spp. (many strains of Bacteroides fragilis sont résistants).
- Infections du système nerveux central y compris la méningite causée par Haemophilus influenzae et Neisseria Meningitidis . Ceftazidime a également été utilisé avec succès dans un nombre limité de cas de méningite due à Pseudomonas aeruginosa et Streptococcus pneumoniae.
Fortaz peut être utilisé seul en cas de septicémie confirmée ou suspectée. Le ceftazidime a été utilisé avec succès dans les essais cliniques comme traitement empirique dans les cas où diverses thérapies concomitantes avec d'autres médicaments antibactériens ont été utilisées.
Le Fortaz peut également être utilisé concomitamment avec d'autres médicaments antibactériens tels que les aminoglycosides vancomycine et la clindamycine; dans les infections sévères et potentiellement mortelles; et chez le patient immunodéprimé. Lorsque un tel traitement concomitant est approprié, des informations de prescription dans le marquage des autres médicaments antibactériens doivent être suivies.
meilleur blog de voyage
La dose dépend de la gravité de l'infection et de l'état du patient.
Pour réduire le développement de bactéries résistantes aux médicaments et maintenir l'efficacité de Fortaz et d'autres médicaments antibactériens, le Fortaz ne devrait être utilisé que pour traiter les infections qui sont prouvées ou fortement suspectées comme causées par des bactéries sensibles. Lorsque des informations sur la culture et la sensibilité sont disponibles, elles doivent être prises en compte dans la sélection ou la modification de la thérapie antibactérienne. En l'absence de telles données, les modèles d'épidémiologie et de sensibilité locaux peuvent contribuer à la sélection empirique de la thérapie.
Dosage pour Fortaz
Dosage
Le dosage adulte habituel est administré par 1 gramme par voie intraveineuse ou intramusculaire toutes les 8 à 12 heures. La posologie et l'itinéraire doivent être déterminées par la sensibilité des organismes causaux la gravité de l'infection et la condition et la fonction rénale du patient.
Les lignes directrices pour le dosage de Fortaz sont répertoriées dans le tableau 3. Le calendrier de dosage suivant est recommandé.
Tableau 3. Horaire de dosage recommandé
| Dose | Fréquence | |
| Adulte | ||
| Dosage recommandé habituel | 1 gramme intraveineux ou intramusculaire | toutes les 8 à 12 heures |
| Infection des voies urinaires non compliqué | 250 mg intraveineux ou intramusculaire | toutes les 12 heures |
| Infections osseuses et articulaires | 2 grammes intraveineux | toutes les 12 heures |
| Infections compliquées des voies urinaires | 500 mg intraveineux ou intramusculaire | toutes les 8 à 12 heures |
| Pneumonie simple; Infections douces de la peau et de la peau-structure | 500 mg à 1 gramme intraveineux ou intramusculaire | toutes les 8 heures |
| Infections gynécologiques et intra-abdominales graves | 2 grammes intraveineux | toutes les 8 heures |
| Méningite | 2 grammes intraveineux | toutes les 8 heures |
| Infections mortelles très sévères, en particulier chez les patients immunodéprimés | 2 grammes intraveineux | toutes les 8 heures |
| Infections pulmonaires causées par Pseudomonas spp. in patients with cystic fibrosis with normal renal function * | 30 à 50 mg / kg intraveineux à un maximum de 6 grammes par jour | toutes les 8 heures |
| Nouveau-né (0-4 semaines) | 30 mg / kg intraveineux | toutes les 12 heures |
| Nourrissons et enfants (1 mois - 12 ans) | 30 à 50 mg / kg intraveineux à un maximum de 6 grammes par jour † | toutes les 8 heures |
| * Bien que l'amélioration clinique ait été montrée que des remèdes bactériologiques ne peuvent pas être attendus chez les patients atteints de maladie respiratoire chronique et de fibrose kystique. † La dose plus élevée doit être réservée aux patients pédiatriques immunodéprimés ou aux patients pédiatriques atteints de fibrose kystique ou de méningite. |
Fonction hépatique altérée
Aucun ajustement de dose n'est requis pour les patients atteints de dysfonction hépatique.
Fonction rénale altérée
Ceftazidime est excrété par les reins presque exclusivement par filtration glomérulaire. Par conséquent, chez les patients atteints de fonction rénale altérée (taux de filtration glomérulaire [GFR] <50 mL/min) it is recommended that the dosage of ceftazidime be reduced to compensate for its slower excretion. In patients with suspected renal insufficiency an initial loading dose of 1 gramme of Fortaz may be given. An estimate of GFR should be made to determine the appropriate maintenance dosage. The recommended dosage is presented in Table 4.
Tableau 4. Dosages de maintenance recommandée de Fortaz en insuffisance rénale
| Remarque: Si la dose recommandée dans le tableau 3 ci-dessus est inférieure à celle recommandée pour les patients présentant une insuffisance rénale, comme indiqué dans le tableau 4, la dose inférieure doit être utilisée. | ||
| Déclaration de créatinine (ml / min) | Dose unitaire recommandée de Fortaz | Fréquence of Dosing |
| 50-31 | 1 gramme | toutes les 12 heures |
| 30-16 | 1 gramme | toutes les 24 heures |
| 15-6 | 500 mg | toutes les 24 heures |
| Moins de 5 | 500 mg | toutes les 48 heures |
Lorsque seule la créatinine sérique est disponible, la formule suivante (l'équation de Cockcroft) peut être utilisée pour estimer la clairance de la créatinine. La créatinine sérique doit représenter un état d'équilibre de la fonction rénale:
| Mâles: | (poids en kg) x (140 - âge) (72) x créatinine sérique (mg / 100 ml) |
| Femmes: | (NULL,85) x (valeur supérieure) |
Chez les patients atteints d'infections graves qui recevraient normalement 6 grammes de Fortaz quotidiennement sans l'insuffisance rénale, la dose unitaire donnée dans le tableau ci-dessus peut être augmentée de 50% ou la fréquence de dosage peut être augmentée de manière appropriée. Dost dose doit être déterminée par la gravité de la surveillance thérapeutique de l'infection et la sensibilité de l'organisme causal.
Chez les patients pédiatriques comme pour les adultes, la clairance de la créatinine doit être ajustée pour la surface corporelle ou la masse du corps maigre et la fréquence de dosage doit être réduite en cas d'insuffisance rénale.
Chez les patients subissant une hémodialyse, une dose de chargement de 1 gramme est recommandée suivie de 1 gramme après chaque période d'hémodialyse.
Le Fortaz peut également être utilisé chez les patients subissant une dialyse intrapéritonéale et une dialyse péritonéale ambulatoire continue. Chez ces patients, une dose de chargement de 1 gramme de Fortaz peut être administrée suivie de 500 mg toutes les 24 heures. En plus de l'utilisation IV, le Fortaz peut être incorporé dans le liquide de dialyse à une concentration de 250 mg pour 2 L de liquide de dialyse.
Note
Généralement, le Fortaz doit être poursuivi pendant 2 jours après que les signes et symptômes d'infection ont disparu, mais dans des infections compliquées, une thérapie plus longue peut être nécessaire.
Administration
Fortaz peut être donné par voie intraveineuse ou par injection profonde dans une grande masse musculaire telle que le quadrant extérieur supérieur du gluteus maximus ou la partie latérale de la cuisse. L'administration intra-artérielle doit être évitée (voir PRÉCAUTIONS ).
Administration intramusculaire
Pour l'administration IM, Fortaz doit être constitué avec l'un des diluants suivants: eau stérile pour l'injection d'eau bactériostatique pour l'injection ou 0,5% ou 1% d'injection de chlorhydrate de lidocaïne. Reportez-vous au tableau 5.
Administration intraveineuse
La voie IV est préférable pour les patients atteints de péritonite bactérienne bactérienne bactérienne ou d'autres infections sévères ou potentiellement mortelles ou pour les patients qui peuvent être de mauvais risques en raison d'une résistance abaissée résultant de conditions débilitantes telles que la chirurgie traumatisante de la malnutrition diabète d'insuffisance cardiaque ou maligne en particulier si vous choc est présent ou en attente.
Pour l'administration IV intermittente directe Constituer Fortaz comme indiqué dans le tableau 5 avec de l'eau stérile pour l'injection. Injectez-vous lentement directement dans la veine sur une période de 3 à 5 minutes ou donnez le tube d'un ensemble d'administration pendant que le patient reçoit également l'un des fluides IV compatibles (voir Compatibilité et stabilité ).
Pour la perfusion IV constituent le flacon 1-gramme ou 2 grammes de 500 mg et ajouter une quantité appropriée de la solution résultante à un conteneur IV avec l'un des fluides IV compatibles répertoriés sous la section de compatibilité et de stabilité.
Perfusion IV intermittente avec un ensemble d'administration de type Y peut être accompli avec des solutions compatibles. Cependant, lors de la perfusion d'une solution contenant du ceftazidime, il est souhaitable d'interrompre l'autre solution.
Tableau 5. Préparation des solutions de Fortaz
| Taille | Quantité de diluant à ajouter (ml) | Volume disponible (ML) approximatif | Concentration approximative de ceftazidime (mg / ml) |
| Intramusculaire | |||
| 1.5 | 1.8 | 280 | |
| 3 | 3.6 | 280 | |
| Intraveineux | |||
| 5.3 | 5.7 * | 100 | |
| 10 | 10.8 † | 100 | |
| 10 | 11.5 ‡ | 170 | |
| * Pour obtenir une dose de 500 mg, retirez 5 ml du flacon suivant la reconstitution. † Pour obtenir une dose de 1 g, retirez 10 ml du flacon suivant la reconstitution. ‡ Pour obtenir une dose de 2 g, retirez 11,5 ml du flacon suivant la reconstitution. |
Tous les flacons de Fortaz tels que fournis sont sous pression réduite. Lorsque Fortaz est dissous le dioxyde de carbone est libéré et qu'une pression positive se développe. Pour plus de facilité d'utilisation, veuillez suivre les techniques de constitution recommandées décrites sur la section Instructions détachables pour la constitution de cet insert.
Des solutions de Fortaz comme celles de la plupart des médicaments antibactériens bêta-lactame ne doivent pas être ajoutées aux solutions de médicaments antibactériens aminoglycosides en raison d'une interaction potentielle.
Cependant, si une thérapie concomitante avec le Fortaz et un aminoglycoside est indiquée que chacun de ces médicaments antibactériens peut être administré séparément au même patient.
Compatibilité et stabilité
Intramusculaire
Fortaz, lorsqu'il est constitué comme indiqué avec de l'eau stérile pour l'injection, l'eau bactériostatique pour l'injection ou 0,5% ou 1% d'injection de chlorhydrate de lidocaïne maintient une puissance satisfaisante pendant 12 heures à température ambiante ou pendant 3 jours sous réfrigération. Les solutions dans l'eau stérile pour l'injection qui sont congelées immédiatement après la constitution dans le conteneur d'origine sont stables pendant 3 mois lorsqu'elles sont stockées à -20 ° C. Une fois que les solutions décongelées ne devraient pas être raffinées. Les solutions décongelées peuvent être stockées jusqu'à 3 heures à température ambiante ou pendant 3 jours dans un réfrigérateur.
Intraveineux
Fortaz, lorsqu'il est constitué comme indiqué avec de l'eau stérile pour l'injection, maintient une puissance satisfaisante pendant 12 heures à température ambiante ou pendant 3 jours en réfrigération.
Fortaz est compatible avec les fluides de perfusion IV les plus couramment utilisés. Des solutions à des concentrations entre 1 et 40 mg / ml dans une injection de chlorure de sodium à 0,9%; Injection de lactate de sodium 1/6 m; 5% d'injection de dextrose; 5% de dextrose et 0,225% d'injection de chlorure de sodium; 5% de dextrose et 0,45% d'injection de chlorure de sodium; 5% de dextrose et 0,9% d'injection de chlorure de sodium; 10% d'injection de dextrose; Injection de Ringer USP; Injection de Ringer lactadiée USP; 10% inversé du sucre dans l'eau pour l'injection; et le normosol ® -M dans une injection de dextrose à 5% peut être stocké jusqu'à 12 heures à température ambiante ou pendant 3 jours en cas de réfrigération.
Le Fortaz est moins stable dans l'injection de bicarbonate de sodium que dans d'autres fluides IV. Il n'est pas recommandé comme diluant. Les solutions de Fortaz dans une injection de dextrose à 5% et une injection de chlorure de sodium à 0,9% sont stables pendant au moins 6 heures à température ambiante dans des chambres d'égouttement de tubes en plastique et des dispositifs de contrôle du volume des ensembles de perfusion IV courants.
Le ceftazidime à une concentration de 4 mg / ml a été trouvé compatible pendant 12 heures à température ambiante ou pendant 3 jours en réfrigération dans une injection de chlorure de sodium à 0,9% ou à 5% d'injection de dextrose lorsqu'il est admis avec: cefuroxime sodium (zinaceff ® ) 3 mg / ml d'héparine 10 ou 50 U / ml ou chlorure de potassium 10 ou 40 mEq / L.
La solution de vancomycine présente une incompatibilité physique lorsqu'elle est mélangée avec un certain nombre de médicaments, y compris la ceftazidime. La probabilité de précipitation avec le ceftazidime dépend des concentrations de vancomycine et de ceftazidime présentes. Il est donc recommandé lorsque les deux médicaments doivent être administrés par perfusion IV intermittente qu'ils soient administrés séparément les lignées IV (avec 1 des fluides IV compatibles) entre l'administration de ces 2 agents.
Note
Les médicaments parentéraux doivent être inspectés visuellement pour les particules avant l'administration chaque fois que la solution et le permis de conteneur.
Comme pour les autres céphalosporines en poudre Fortaz ainsi que les solutions ont tendance à s'assombrir en fonction des conditions de stockage; Dans les recommandations déclarées, la puissance du produit n'est pas affectée négativement.
Comment fourni
Fortaz ® À l'état sec doit être stocké entre 15 ° C et 30 ° C (59 ° F et 86 ° F) et protégé de la lumière. Fortaz ® est une poudre blanche sèche à blanc cassé fournie dans des flacons comme suit:
- NDC 52565-105-10 500 mg * flacon à dose (carton de 10)
- NDC 52565-106-10 1-G * Vial à dose (carton de 10)
- NDC 52565-107-10 2-G * flacon à dose unique (carton de 10)
* Équivalent à la ceftazidime anhydre.
Quand Generic Nuvigil sera-t-il disponible
Références
1. COCKCROFT DW GAULT MH. Prédiction de la clairance de la créatinine de la créatinine sérique. Néphron. 1976; 16: 31-41.
Fabriqué par: Astral Steritech Pvt. Ltd. Inde. Révisé: février 2020
Effets secondaires pour Fortaz
Ceftazidime est généralement bien toléré. L'incidence des effets indésirables associés à l'administration de ceftazidime était faible dans les essais cliniques. Les plus courantes étaient les réactions locales après l'injection IV et les réactions allergiques et gastro-intestinales. D'autres effets indésirables ont été rarement rencontrés. Aucune réaction de type disulfiram n'a été signalée.
Les effets néfastes suivants des essais cliniques ont été considérés comme liés à la thérapie par ceftazidime ou étaient d'une étiologie incertaine:
Effets locaux Signalé chez moins de 2% des patients étaient des phébittis et une inflammation sur le site d'injection (1 patient sur 69).
Réactions d'hypersensibilité Signalé chez 2% des patients étaient une éruption cutanée et de la fièvre. Des réactions immédiates se manifestent généralement par une éruption cutanée et / ou un prurit se sont produites chez 1 patient sur 285. Nécrolyse épidermique toxique Le syndrome de Stevens-Johnson et l'érythème multiforme ont également été signalés avec des médicaments antibactériens de céphalosporine, notamment la ceftazidime. L'edème de l'angio et l'anaphylaxie (bronchospasme et / ou hypotension) ont été signalés très rarement.
Symptômes gastro-intestinaux Signalé chez moins de 2% des patients étaient des nausées de diarrhée (1 sur 78) (1 sur 156) vomissements (1 sur 500) et des douleurs abdominales (1 sur 416). Le début des symptômes de colite pseudomembranous peut se produire pendant ou après le traitement (voir Avertissements ).
Réactions du système nerveux central (moins de 1%) comprenaient des étourdissements de maux de tête et de la paresthésie. Des crises ont été signalées avec plusieurs céphalosporines, dont la ceftazidime. De plus, encéphalopathie Coma Astérixis L'excitabilité et la myoclonie neuromusculaires ont été signalées chez les patients atteints de troubles rénales traités par des schémas posologiques non ajustés de ceftazidime (voir PRÉCAUTIONS : Général ).
Événements indésirables moins fréquents (moins de 1%) étaient la candidose (y compris le muguet buccal) et la vaginite.
Hématologique
Des cas de rares cas d'anémie hémolytique ont été signalés.
Changements de test de laboratoire Notté lors des essais cliniques avec Fortaz a été transitoire et inclus: un test de coombes positifs de l'éosinophilie (1 sur 13) sans hémolyse (1 sur 23) thrombocytose (1 sur 45) et de légères élévations dans une ou plusieurs des enzymes hépatiques Aspartate Aminotransforase (AST SGOT) (1 dans 16) Alanine aminotransfère (1 sur 18) GGT (1 sur 19) et phosphatase alcaline (1 sur 23). Comme pour certaines autres cephalosporines, des élévations transitoires de l'urée sanguine dans l'urée sanguine azote et / ou de la créatinine sérique ont été observées de temps en temps. Leucopénia transitoire neutropénie agranulocytose thrombocytopénie et lymphocytose ont été très rarement observées.
Expérience de commercialisation avec les produits Fortaz
En plus des événements indésirables signalés lors des essais cliniques, les événements suivants ont été observés lors de la pratique clinique chez les patients traités par Fortaz et ont été signalés spontanément. Pour certaines de ces événements, les données sont insuffisantes pour permettre une estimation de l'incidence ou pour établir un causalité.
Général
Anaphylaxie; Les réactions allergiques qui ont été sévères (par exemple, arrêt cardio-pulmonaire); urticaire; Douleur au site d'injection.
Effets secondaires de la prise de poids Cymbalta
Tractus hépatobiliaire
Ictère d'hyperbilirubinémie.
Rénal et génito-urinaire
Affaire rénale.
Réactions indésirables de la classe de céphalosporine
In addition to the adverse reactions listed above that have been observed in patients treated with ceftazidime the following adverse reactions and altered laboratory tests have been reported for cephalosporin-class antibacterial drugs:
Effets indésirables
Dysfonction hépatique de néphropathie toxique de la colite, y compris l'hémorragie de l'anémie aplasique de la cholestase.
Tests de laboratoire modifiés
Test de fausses prothrombine prolongé Test faux positif pour la pancytopénie du glucose urinaire.
Pour signaler Réactions indésirables suspectées Contactez Teligent Pharma Inc. au 1-856697-1441 ou FDA au 1-800-FDA-1088 ou www.fda.gov/medwatch.
Interactions médicamenteuses pour Fortaz
Une néphrotoxicité a été signalée après l'administration concomitante de céphalosporines avec des médicaments antibactériens aminoglycosides ou de puissants diurétiques tels que le furosémide. La fonction rénale doit être soigneusement surveillée, en particulier si des doses plus élevées des aminoglycosides doivent être administrées ou si le traitement est prolongé en raison de la néphrotoxicité et de l'ototoxicité potentielles des médicaments antibactériens aminoglycosides. La néphrotoxicité et l'ototoxicité n'ont pas été notées lorsque la ceftazidime a été donnée seule dans les essais cliniques.
Il a été démontré que le chloramphénicol est antagoniste aux médicaments antibactériens bêta-lactam in vitro Études et courbes de tuer le temps avec des bacilles à gramme entérique. En raison de la possibilité d'antagonisme en vain En particulier lorsque l'activité bactéricide est souhaitée, cette combinaison de médicaments doit être évitée.
Avertissements for Fortaz
Avant que le traitement avec Fortaz ne soit institué en une enquête minutieuse, il faut faire pour déterminer si le patient a eu des réactions d'hypersensibilité antérieures aux céphalosporines ceftazidims pénicillines ou à d'autres médicaments. Si ce produit doit être donné aux patients sensibles à la pénicilline, la prudence doit être exercée car une hypersensibilité croisée parmi les médicaments antibactériens bêta-lactame a été clairement documentée et peut se produire chez jusqu'à 10% des patients souffrant d'allergie à la pénicilline. Si une réaction allergique à Fortaz se produit arrête le médicament. Des réactions d'hypersensibilité aiguës graves peuvent nécessiter un traitement avec l'épinéphrine et d'autres mesures d'urgence, notamment les fluides d'oxygène IV IV antihistaminiques corticostéroïdes, les amines de presseur et la gestion des voies respiratoires comme indiqué cliniquement.
Clostridium difficile La diarrhée associée (CDAD) a été signalée avec l'utilisation de presque tous les agents antibactériens, y compris le Fortaz et peut aller en gravité de la diarrhée légère à la colite mortelle. Le traitement avec des agents antibactériens modifie la flore normale du côlon conduisant à la prolifération de C. difficile .
C. difficile produit des toxines A et B qui contribuent au développement de la CDAD. Hypertoxine produisant des souches de C. difficile provoquer une morbidité et une mortalité accrues car ces infections peuvent être réfractaires en thérapie antimicrobienne et peuvent nécessiter une colectomie. La CDAD doit être prise en compte chez tous les patients qui présentent une diarrhée après une utilisation antibactérienne. Des antécédents médicaux attentifs sont nécessaires car la CDAD se produirait sur deux mois après l'administration d'agents antibactériens.
Si la CDAD est suspectée ou confirmée la consommation de médicaments antibactériens en cours non dirigés contre C. difficile peut avoir besoin d'être interrompu. Supplémentation des protéines de fluide et d'électrolyte appropriée Traitement médicament antibactérien de C. difficile et surgical evaluation should be instituted as clinically indicated.
Des niveaux élevés de ceftazidime chez les patients atteints d'insuffisance rénale peuvent entraîner des crises de statut non convulsif Epilepticus (NCSE) Encéphalopathie Coma Astérixis Excitabilité neuromusculaire et myoclonie (voir (voir PRÉCAUTIONS ).
Précautions for Fortaz
Général
Des concentrations sériques sériques élevées et prolongées peuvent survenir à partir de doses habituelles chez les patients présentant une réduction transitoire ou persistante du débit urinaire en raison de l'insuffisance rénale. La dose quotidienne totale doit être réduite lorsque le ceftazidime est administré aux patients atteints d'insuffisance rénale (voir Posologie et administration ). Elevated levels of ceftazidime in these patients can lead to seizures nonconvulsive status epilepticus encephalopathy coma asterixis neuromuscular excitability et myoclonia. Continued dosage should be determined by degree of renal impairment severity of infection et susceptibility of the causative organisms.
Comme pour les autres médicaments antibactériens, l'utilisation prolongée de Fortaz peut entraîner une prolifération des organismes non sensibles. Une évaluation répétée de l'état du patient est essentielle. Si une surinfection se produit pendant la thérapie, des mesures appropriées doivent être prises.
Une résistance inductible de type I Beta-lactamase a été notée avec certains organismes (par exemple Enterobacter spp. Pseudomonas spp. et Serratia spp.). As with other extended-spectrum betalactam antibacterial drugs resistance can develop during therapy leading to clinical failure in some cases. When treating infections causé par these organisms periodic susceptibility testing should be performed when clinically appropriate. If patients fail to respond to monotherapy an aminoglycoside or similar agent should be considered.
Les céphalosporines peuvent être associées à une chute de l'activité de la prothrombine. Les personnes à risque comprennent des patients atteints de troubles rénaux et hépatiques ou un mauvais état nutritionnel ainsi que des patients recevant un cure prolongé de traitement antimicrobien.
Le temps de prothrombine doit être surveillé chez les patients à risque et la vitamine K exogène administrée comme indiqué.
Fortaz should be prescribed with caution in individuals with a history of gastrointestinal disease particularly colitis.
Une nécrose distale peut se produire après l'administration intra-artérielle intra-artérielle de ceftazidime.
La prescription de Fortaz en l'absence d'une infection bactérienne prouvée ou fortement suspectée ou d'une indication prophylactique ne devrait pas bénéficier au patient et augmente le risque de développement de bactéries résistantes au médicament.
Interactions de test de médicament / de laboratoire
L'administration de ceftazidime peut entraîner une réaction faussement positive pour le glucose dans l'urine lors de l'utilisation de Clinitest ® Tablets Solution de Benedict ou solution de Fehling.
Il est recommandé aux tests de glucose basés sur des réactions enzymatiques de glucose oxydase (comme le clinistix ® ) être utilisé.
Carcinogenèse Mutagenèse A trouble de la fertilité
Des études à long terme chez les animaux n'ont pas été réalisées pour évaluer le potentiel cancérigène. Cependant, un test de micronucléus de souris et un test d'Ames étaient tous deux négatifs pour les effets mutagènes.
Grossesse
Effets tératogènes
Grossesse Category B
Des études de reproduction ont été réalisées chez des souris et des rats à des doses allant jusqu'à 40 fois la dose humaine et n'ont révélé aucune preuve de fertilité altérée ou de mal au fœtus due à Fortaz. Il n'y a cependant pas d'études adéquates et bien contrôlées chez les femmes enceintes. Étant donné que les études de reproduction animale ne sont pas toujours prédictives de la réponse humaine, ce médicament ne doit être utilisé pendant la grossesse que s'il est clairement nécessaire.
Mères qui allaitent
Ceftazidime est excrété dans le lait maternel à de faibles concentrations. La prudence doit être exercée lorsque Fortaz est administré à une femme allaitée.
Usage pédiatrique
voir Posologie et administration .
Utilisation gériatrique
Sur les 2221 sujets qui ont reçu du ceftazidime dans 11 études cliniques 824 (37%) étaient de 65 ans et plus tandis que 391 (18%) étaient de 75 ans et plus. Aucune différence globale de sécurité ou d'efficacité n'a été observée entre ces sujets et les sujets plus jeunes et d'autres expériences cliniques signalées n'a pas identifié de différences dans les réponses entre les patients âgés et les patients plus jeunes, mais une plus grande sensibilité de certains personnes âgées aux effets des médicaments ne peut être exclue. Ce médicament est connu pour être considérablement excrété par le rein et le risque de réactions toxiques à ce médicament peut être plus élevé chez les patients présentant une fonction rénale altérée. Parce que les patients âgés sont plus susceptibles d'avoir une diminution des soins de la fonction rénale devraient être pris dans la sélection de la dose et il peut être utile de surveiller la fonction rénale (voir Posologie et administration ).
Informations sur la surdose pour Fortaz
Un surdosage de ceftazidime s'est produit chez les patients atteints d'insuffisance rénale. Les réactions ont inclus l'activité des crises encéphalopathie Astérixis Excitabilité et coma. Les patients qui reçoivent un surdosage aigu doivent être soigneusement observés et recevoir un traitement de soutien. En présence d'une insuffisance rénale, l'hémodialyse ou la dialyse péritonéale peut aider à l'élimination du ceftazidime du corps.
Contre-indications pour Fortaz
Fortaz is contraindicated in patients who have shown hypersensitivity to ceftazidime or the cephalosporin group of antibacterial drugs.
Pharmacologie clinique for Fortaz
Après l'administration IV de doses de 500 mg et 1-G de ceftazidime, plus de 5 minutes aux volontaires masculins adultes normaux, des concentrations de sérum maximales de 45 et 90 mcg / ml ont été obtenues respectivement. Après une perfusion IV de 500 mg 1-G et 2-G de doses de ceftazidime de plus de 20 à 30 minutes aux volontaires masculins adultes normaux, des concentrations de sérum maximales de 42 69 et 170 mcg / ml ont été obtenues respectivement. Les concentrations sériques moyennes après une perfusion IV de 500 mg 1-G et 2-G doses par rapport à ces volontaires sur un intervalle de 8 heures sont données dans le tableau 1.
Tableau 1. Concentrations sériques moyennes de ceftazidime
| Ceftazidime IV dose | Concentrations sériques (MCG / ml) | ||||
| 0,5 h | 1 heure | 2 heures | 4 HR | 8 heures | |
| 500 mg | 42 | 25 | 12 | 6 | 2 |
| 1 g | 60 | 39 | 23 | 11 | 3 |
| 2 g | 129 | 75 | 42 | 13 | 5 |
L'absorption et l'élimination du ceftazidime étaient directement proportionnelles à la taille de la dose. La demi-vie suivant l'administration IV était d'environ 1,9 heures. Moins de 10% de la ceftazidime était lié aux protéines. Le degré de liaison des protéines était indépendant de la concentration. Il n'y avait aucune preuve d'accumulation de ceftazidime dans le sérum chez les personnes ayant une fonction rénale normale après plusieurs doses IV de 1 et 2 g toutes les 8 heures pendant 10 jours.
Après l'administration intramusculaire (IM) de doses de 500 mg et 1 g de ceftazidime aux volontaires adultes normaux, les concentrations de sérum maximales moyennes étaient respectivement de 17 et 39 mcg / ml à environ 1 heure. Les concentrations sériques sont restées supérieures à 4 mcg / ml pendant 6 et 8 heures après l'administration IM de doses de 500 mg et 1 g respectivement. La demi-vie de ceftazidime chez ces volontaires était d'environ 2 heures.
NUVA RING Contrôle des effets secondaires
La présence de dysfonction hépatique n'a eu aucun effet sur la pharmacocinétique de la ceftazidime chez les individus administrés 2 g par voie intraveineuse toutes les 8 heures pendant 5 jours. Par conséquent, un ajustement posologique à partir de la dose normale recommandée n'est pas nécessaire pour les patients atteints de dysfonction hépatique à condition que la fonction rénale ne soit pas altérée.
Environ 80% à 90% d'une dose IM ou IV de ceftazidime est excrétée inchangée par les reins sur une période de 24 heures. Après l'administration IV de doses de 500 mg ou 1 g, environ 50% de la dose est apparue dans l'urine au cours des 2 premières heures. 20% supplémentaires ont été excrétés entre 2 et 4 heures après le dosage et environ 12% supplémentaires de la dose sont apparus dans l'urine entre 4 et 8 heures plus tard. L'élimination de la ceftazidime par les reins a entraîné des concentrations thérapeutiques élevées dans l'urine.
La clairance rénale moyenne de la ceftazidime était d'environ 100 ml / min. La clairance du plasma calculée d'environ 115 ml / min indiquait l'élimination presque complète de la ceftazidime par la route rénale. L'administration de probénécide avant le dosage n'a eu aucun effet sur la cinétique d'élimination de la ceftazidime. Cela suggère que la ceftazidime est éliminée par filtration glomérulaire et n'est pas activement sécrétée par les mécanismes tubulaires rénaux.
Étant donné que la ceftazidime est éliminée presque uniquement par les reins, sa demi-vie sérique est significativement prolongée chez les patients présentant une fonction rénale altérée. Par conséquent ajustement de la posologie chez les patients tels que décrits dans le Posologie et administration la section est suggérée.
Des concentrations thérapeutiques de ceftazidime sont obtenues dans les tissus et les fluides corporels suivants.
Tableau 2. Concentrations de ceftazidime dans les tissus et les fluides corporels
| Tissu ou liquide | Dose/Route | Nombre de patients | Temps d'exemple de dose après | Tissu moyen ou fluide (MCG / ml ou MCG / G) |
| Urine | 500 mg IM | 6 | 0-2 h | 2100.0 |
| 2 g IV | 6 | 0-2 h | 12000.0 | |
| Même | 2 g IV | 3 | 90 min | 36.4 |
| Liquide synovial | 2 g IV | 13 | 2 heures | 25.6 |
| Fluide péritonéal | 2 g IV | 8 | 2 heures | 48.6 |
| Expectorations | 1 g IV | 8 | 1 heure | 9.0 |
| Liquide céphalorachidien | 2 g q8hr IV | 5 | 120 min | 9.8 |
| (Méninges enflammées) | 2 g q8hr IV | 6 | 180 min | 9.4 |
| Humour aqueux | 2 g IV | 13 | 1 à 3 heures | 11.0 |
| Fluide | 1 g IV | 7 | 2-3 h | 19.7 |
| Liquide lymphatique | 1 g IV | 7 | 2-3 h | 23.4 |
| Os | 2 g IV | 8 | 0,67 h | 31.1 |
| Muscle cardiaque | 2 g IV | 35 | 30-280 min | 12.7 |
| Peau | 2 g IV | 22 | 30-180 min | 6.6 |
| Muscle squelettique | 2 g IV | 35 | 30-280 min | 9.4 |
| Myomètre | 2 g IV | 31 | 1-2 h | 18.7 |
Microbiologie
Mécanisme d'action
Ceftazidime est un agent bactéricide qui agit par inhibition de la synthèse de la paroi cellulaire bactérienne. Le ceftazidime a une activité en présence de certaines bêta-lactamases à la fois des pénicillinases et des céphalosporinases de bactéries Gram négatives et gram-positives.
Mécanisme de résistance
La résistance à la ceftazidime se fait principalement par hydrolyse par altération de la bêta-lactamase des protéines de liaison à la pénicilline (PBPS) et une diminution de la perméabilité.
Interaction avec d'autres antimicrobiens
Dans un in vitro Des effets antagonistes d'étude ont été observés avec la combinaison de chloramphénicol et de ceftazidime.
Ceftazidime s'est avéré actif contre la plupart des isolats des bactéries suivantes in vitro et in clinical infections as described in the Indications et utilisation section:
Bactéries à Gram négatif
- Citrobacter espèces
- Enterobacter espèces
- Ils ont fait preuve de froid
- Klebsiella espèces
- Haemophilus influenzae
- Neisseria Meningitidis
- Proteus merveilleux
- Protéus vulgaris
- Pseudomonas aeruginosa
- Serratia espèces
Bactéries à Gram positif
- Staphylococcus aureus
- Streptococcus pneumoniae
- Streptococcus pyogenes
- Streptococcus agalactiae
Bactéries anaérobies
- Bacteroides espèces (Note: many isolates of Bacteroides espèces are resistant)
Ce qui suit in vitro Les données sont disponibles mais leur signification clinique est inconnue. Au moins 90% des micro-organismes suivants présentent un in vitro Concentration minimale inhibitrice (MIC) inférieure ou égale au point de rupture sensible pour le ceftazidime. Cependant, l'efficacité du ceftazidime dans le traitement des infections cliniques en raison de ces micro-organismes n'a pas été établie dans des essais cliniques adéquats et bien contrôlés.
Bactéries à Gram négatif
- Acinetobacter espèces
- Citrobacter diversus
- Citrobacter freundii
- Providence espèces (including Providence rettgeri )
- Salmonelle espèces
- Shigella espèces
- Haemophilus parainfluenzae
- Morganella Morganies
- Neisseria gonorrhoeae
- Yersinia Enterocolitica
Bactéries à Gram positif
- Staphylococcus epidermidis
Bactéries anaérobies
- Clostridium espèces (Not including Clostridium difficile )
- Peptostreptococcus espèces
Test de sensibilité
Pour des informations spécifiques concernant les critères d'interprétation des tests de sensibilité et les méthodes de test associées et les normes de contrôle de la qualité reconnues par la FDA pour ce médicament, veuillez consulter: https://www.fda.gov/stic.
Informations sur les patients pour Fortaz
Fortaz ®
(ceftazidime pour l'injection)
Les patients doivent être informés que les médicaments antibactériens, y compris le Fortaz, ne doivent être utilisés que pour traiter les infections bactériennes. Ils ne traitent pas les infections virales (par exemple le rhume). Lorsque Fortaz est prescrit pour traiter une infection bactérienne, les patients doivent être informés que, bien qu'il soit courant de se sentir mieux au début du traitement, le médicament doit être pris exactement comme indiqué. Sauter les doses ou ne pas terminer le cours complet du traitement peut: (1) diminuer l'efficacité du traitement immédiat et (2) augmenter la probabilité que les bactéries développent une résistance et ne seront pas traitables par Fortaz ou d'autres médicaments antibactériens à l'avenir.
La diarrhée est un problème courant causé par des médicaments antibactériens qui se terminent généralement lorsque le médicament antibactérien est interrompu. Parfois, après avoir commencé le traitement avec des médicaments antibactériens, les patients peuvent développer des selles aqueuses et sanglantes (avec ou sans crampes d'estomac et fièvre) même jusqu'à 2 mois ou plus après avoir pris la dernière dose du médicament antibactérien. Si cela se produit, les patients doivent contacter leur médecin dès que possible.
Instructions pour la constitution
Flacons: 500 mg IM / IV 1 g IM / IV 2 g IV
- Insérez l'aiguille de seringue à travers la fermeture du flacon et injectez le volume de diluant recommandé. Le vide peut aider l'entrée du diluant. Retirez l'aiguille de seringue.
- Secouer pour se dissoudre; Une solution claire sera obtenue en 1 à 2 minutes.
- Inverser le flacon. S'assurer que le piston de seringue est entièrement déprimé insérer l'aiguille à travers la fermeture du flacon et retirer le volume total de solution dans la seringue (la pression dans le flacon peut aider à le retrait). Assurez-vous que l'aiguille reste dans la solution et n'entre pas dans l'espace de tête. La solution retirée peut contenir quelques bulles de dioxyde de carbone.
Note: Comme pour l'administration de tous les produits parentéraux, les gaz accumulés doivent être exprimés de la seringue immédiatement avant l'injection de Fortaz.