Les Informations Présentées Sur Ce Site Ne Constituent Pas Un Avis Médical. Nous Ne Vendons Rien. L'Exactitude De La Traduction N'Est Pas Garantie. Clause De Non-Responsabilité



Furosémide

Résumé

Qu'est-ce que le furosémide?

Le furosémide est un diurétique qui est un dérivé d'acide anthranilique utilisé pour traiter l'œdème associé à insuffisance cardiaque congestive cirrhose du foie et des maladies rénales, y compris le syndrome néphrotique. Le furosémide est particulièrement utile lorsqu'un agent avec un plus grand potentiel diurétique est souhaité. Le furosémide est également indiqué comme une thérapie complémentaire dans l'œdème pulmonaire aigu.

Quels sont les effets secondaires possibles du furosémide?

Le furosémide peut provoquer de graves effets secondaires, notamment:



  • Augmentation de la miction
  • soif
  • crampes musculaires
  • démangeaison
  • éruption cutanée
  • faiblesse
  • vertiges
  • sensation de rotation (vertige)
  • diarrhée
  • douleur à l'estomac et
  • constipation

Dose pour le furosémide

La dose initiale habituelle de furosémide est de 20 à 40 mg donnée comme une seule dose injectée par voie intramusculaire ou par voie intraveineuse.



Furosémide chez les enfants

Des calcifications rénales (à peine visibles sur les rayons X à Staghorn) se sont produites chez certains nourrissons gravement prématurés traités avec du furosémide intraveineux pour l'œdème en raison du canal artériel des brevets et de la maladie de la membrane hyaline. Il a été rapporté que l'utilisation concomitante de chlorothiazide diminuerait l'hypercalcinurie et dissolve certains calculs.

Chez les nourrissons prématurés, le furosémide peut précipiter la néphrocalcinose / Néphrolithiase . La néphrocalcinose / néphrolithiase a également été observée chez les enfants de moins de 4 ans sans antécédents de prématurité qui ont été traités de façon chronique avec du furosémide. Surveiller la fonction rénale et l'échographie rénale doivent être prises en compte chez les patients pédiatriques recevant du furosémide.



Si le furosémide est administré à des nourrissons prématurés au cours des premières semaines de la vie, cela peut augmenter le risque de persistance du canal artériel breveté.

Quelles substances ou suppléments de médicaments interagissent avec le furosémide?

Le furosémide peut interagir avec d'autres médicaments tels que:

  • antibiotiques aminoglycosides
  • acide éthacrynique
  • salicylates
  • cisplatine
  • tubocurarine
  • succinylcholine
  • lithium
  • inhibiteurs de l'enzyme de conversion de l'angiotensine (ACE)
  • bloqueurs des récepteurs de l'angiotensine II (ARB)
  • Médicaments de blocage adrénergique ganglionnaire ou périphérique
  • norépinéphrine
  • sacralfat
  • hydrate de chloral
  • lable
  • méthotrexate
  • cyclosporine
  • hormones thyroïdiennes
  • acide acétylsalicylique et
  • anti-inflammatoires non stéroïdiens (AINS)

Dites à votre médecin tous les médicaments et suppléments que vous utilisez.

Furosémide pendant la grossesse et l'allaitement

Dites à votre médecin si vous êtes enceinte ou prévoyez de devenir enceinte avant d'utiliser du furosémide; Cela peut nuire à un fœtus. Le furosémide passe dans le lait maternel et peut également inhiber la lactation. La prudence doit être exercée lorsque le furosémide est administré à une mère infirmière. Consultez votre médecin avant l'allaitement.

Informations additionnelles

Notre centre de médicaments à effets secondaires Furosemide offre une vue complète des informations sur les médicaments disponibles sur les effets secondaires potentiels lors de la prise de ce médicament.

Ce n'est pas une liste complète des effets secondaires et d'autres peuvent survenir. Appelez votre médecin pour des conseils médicaux sur les effets secondaires. Vous pouvez signaler les effets secondaires à la FDA au 1-800-FDA-1088.

Informations sur les médicaments de la FDA

AVERTISSEMENT

Les comprimés de furosémide sont un diurétique puissant qui, s'il est donné en quantités excessives, peut entraîner une diurèse profonde avec de l'eau et une déplétion électrolytique. Par conséquent, une supervision médicale soigneuse est requise et le calendrier de dose et de dose doit être ajusté aux besoins du patient individuel. (Voir posologie et administration.)

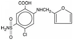
Description du furosémide

Les comprimés de furosémide sont un diurétique qui est un dérivé d'acide anthranilique. Les comprimés de furosémide pour l'administration orale contiennent du furosémide comme ingrédient actif et les ingrédients inactifs suivants: Admidon de maïs Lactose anhydre de magnésium anhydre stérésium prégelatinisé d'amidon prégelatiné le glycolate d'amidon de sodium et de dioxyde de silicone colloïdal. Chimiquement, c'est le 4-chloro-n-furfuryl-5-sulfamoylanthranilic. Les comprimés de furosémide sont disponibles sous forme de comprimés blancs pour l'administration orale dans des forces posologiques de 20 40 et 80 mg. Le furosémide est une poudre cristalline blanche à blanc cassé. Il est pratiquement insoluble dans l'eau avec parcimonie soluble dans l'alcool librement soluble dans des solutions alcalines diluées et insolubles dans les acides dilués.

Le numéro de registre CAS est de 54-31-9.

La formule structurelle est la suivante:

Utilisations pour le furosémide

Œdème

Les comprimés de furosémide sont indiqués chez les adultes et les patients pédiatriques pour le traitement de l'œdème associé à une cirrhose congestive d'insuffisance cardiaque du foie et de la maladie rénale, y compris le syndrome néphrotique. Les comprimés de furosémide sont particulièrement utiles lorsqu'un agent avec un plus grand potentiel diurétique est souhaité.

Hypertension

Les comprimés de furosémide oral peuvent être utilisés chez les adultes pour le traitement de l'hypertension seul ou en combinaison avec d'autres agents antihypertenseurs. Les patients hypertendus qui ne peuvent pas être correctement contrôlés avec des thiazides ne seront probablement pas non plus contrôlés avec des comprimés de furosémide seuls.

Dose pour le furosémide

Œdème

Le traitement doit être individualisé en fonction de la réponse du patient pour gagner une réponse thérapeutique maximale et déterminer la dose minimale nécessaire pour maintenir cette réponse.

Adultes

La dose initiale habituelle de comprimés de furosémide est de 20 à 80 mg donnée en une seule dose. Habituellement, une diurèse rapide s'ensuit. Si nécessaire, la même dose peut être administrée 6 à 8 heures plus tard, sinon la dose peut être augmentée. La dose peut être augmentée de 20 ou 40 mg et étant donné plus tôt 6 à 8 heures après la dose précédente jusqu'à ce que l'effet diurétique souhaité ait été obtenu. La dose unique déterminée individuellement doit ensuite être donnée une ou deux fois par jour (par exemple à 8 h et 14 h). La dose de comprimés de furosémide peut être soigneusement titrée jusqu'à 600 mg / jour chez les patients atteints d'états œdémateux cliniquement graves.

Œdème may be most efficiently et safely mobilized by giving Furosemide tablets on 2 to 4 consecutive days each week.

Lorsque des doses dépassant 80 mg / jour sont données pendant des périodes prolongées, une observation clinique et une surveillance en laboratoire sont particulièrement recommandées. (Voir PRÉCAUTIONS : Tests de laboratoire .)

Patients gériatriques

En général, la sélection de la dose pour le patient âgé doit être prudente qui commence généralement à l'extrémité inférieure de la plage de dosage (voir PRÉCAUTIONS : Utilisation gériatrique ).

Patients pédiatriques

La dose initiale habituelle de comprimés de furosémide oral chez les patients pédiatriques est de 2 mg / kg de poids corporel donné en une seule dose. Si la réponse diurétique n'est pas satisfaisante après la dose initiale, la dose peut être augmentée de 1 ou 2 mg / kg au plus tôt 6 à 8 heures après la dose précédente. Les doses supérieures à 6 mg / kg de poids corporel ne sont pas recommandées. Pour le traitement d'entretien chez les patients pédiatriques, la dose doit être ajustée au niveau efficace minimum.

Hypertension

Le traitement doit être individualisé en fonction de la réponse du patient pour gagner une réponse thérapeutique maximale et pour déterminer la dose minimale nécessaire pour maintenir la réponse thérapeutique.

Adultes

La dose initiale habituelle de comprimés de furosémide pour l'hypertension est de 80 mg généralement divisée en 40 mg deux fois par jour. La posologie doit ensuite être ajustée en fonction de la réponse. Si la réponse n'est pas satisfaisante, ajoutez d'autres agents antihypertenseurs.

Les changements de la pression artérielle doivent être soigneusement surveillés lorsque les comprimés de furosémide sont utilisés avec d'autres médicaments antihypertenseurs, en particulier pendant le traitement initial. Pour éviter une baisse excessive de la pression artérielle, la dose des autres agents doit être réduite d'au moins 50% lorsque des comprimés de furosémide sont ajoutés au régime. Lorsque la pression artérielle tombe sous l'effet potentiel des comprimés de furosémide, une réduction supplémentaire de la dose ou même l'arrêt d'autres médicaments antihypertenseurs peut être nécessaire.

Patients gériatriques

En général, la sélection de la dose et l'ajustement de la dose pour le patient âgé doivent être prudents à partir de l'extrémité inférieure de la plage de dosage (voir PRÉCAUTIONS : Utilisation gériatrique ).

Comment fourni

Comprimés de furosémide 20 mg sont fournis comme blancs à des comprimés compressés à bord plat rond blanc rond-blanc compressé EP dégivrément et 116 d'un côté et simple de l'autre côté dans des bouteilles de 100 ( NDC 69315-116-01) et 1000 ( NDC 69315-116-10).

Tables de furosémide 40 mg sont fournies comme blanches à des comprimés comprimés à bord plat rond blanc rond-blanc, des comprimés comprimés bissectés EP dégivrément au-dessus de la bissecte et 117 en dessous de la bissection d'un côté et 40 de l'autre côté dans des bouteilles de 100 ( NDC 69315-117-01) et 1000 ( NDC 69315-117-10).

Comprimés de furosémide 80 mg sont fournies comme blanches à des comprimés comprimés à bord plat rond blanc rond-blanc, des comprimés compressés bissectés EP dégivrément au-dessus de la bissecte et 118 en dessous de la bissection d'un côté et 80 de l'autre côté dans des bouteilles de 100 ( NDC 69315-118-01) et 500 ( NDC 69315-118-05).

Note: Dispenser dans des conteneurs résistants à la lumière bien fermés. L'exposition à la lumière peut provoquer une légère décoloration. Les comprimés décolorés ne doivent pas être supprimés.

Rencontre le test de dissolution USP 2

Stocker à 20 ° -25 ° C (68 ° -77 ° F) [voir Température ambiante contrôlée par l'USP ].

Fabriqué par: Leading Pharma LLC Fairfield NJ 07004. Révisé: octobre 2018

Effets secondaires for Furosemide

Les effets indésirables sont classés ci-dessous par le système d'organes et répertoriés par une diminution de la gravité.

Réactions du système gastro-intestinal

  1. encéphalopathie hépatique chez les patients souffrant d'insuffisance hépato-cellulaire
  2. pancréatite
  3. ictère (ictère cholestatique intrahépatique)
  4. augmentation des enzymes hépatiques
  5. anorexie
  6. irritation orale et gastrique
  7. crampes
  8. diarrhée
  9. constipation
  10. nausée
  11. vomissement

Réactions d'hypersensibilité systémique

  1. Réactions anaphylactiques ou anaphylactoïdes sévères (par ex. Avec choc)
  2. vascularite systémique
  3. néphrite interstitielle
  4. angiite nécrosante

Réactions du système nerveux central

  1. acouphènes et perte auditive
  2. parestheies
  3. vertige
  4. vertiges
  5. mal de tête
  6. vision floue
  7. xanthopsie

Réactions hématologiques

  1. anémie aplastique
  2. thrombocytopénie
  3. Agranulocytisie
  4. anémie hémolytique
  5. leucopénie
  6. anémie
  7. éosinophilie

Réactions dermatologiques-hypersensibilité

  1. nécrolyse épidermique toxique
  2. Syndrome de Stevens-Johnson
  3. érythème multiforme
  4. Érythode médicamente avec l'éosinophilie et les symptômes systémiques
  5. Pustulose exanthémateuse généralisée aiguë
  6. dermatite exfoliative
  7. pemphigoïde bulleuse
  8. purpura
  9. photosensibilité
  10. éruption cutanée
  11. prurite
  12. urticaire

Réaction cardiovasculaire

  • Une hypotension orthostatique peut se produire et être aggravée par des barbituriques ou des stupéfiants.
  • Augmentation des taux de sérum sur le cholestérol et les triglycérides

Autres réactions

  • hyperglycémie
  • glycosurie
  • hyperuricémie
  • spasme musculaire
  • faiblesse
  • agitation
  • spasme de la vessie urinaire
  • thrombophlebitis
  • fièvre

Chaque fois que les effets indésirables sont des comprimés de furosémide modérés ou sévères, le dosage doit être réduit ou retiré en thérapie.

Appelez votre médecin pour des conseils médicaux sur les effets secondaires. Vous pouvez signaler des effets secondaires à la FDA au 1-800-FDA-1088 ou en tête de Pharma LLC au 1-844-740-7500.

Interactions médicamenteuses for Furosemide

Les comprimés de furosémide peuvent augmenter le potentiel ototoxique des antibiotiques aminoglycosides, en particulier en présence d'une fonction rénale altérée. Sauf dans les situations mortelles, évitez cette combinaison.

Les comprimés de furosémide ne doivent pas être utilisés en même temps que l'acide éthacrynique en raison de la possibilité d'ototoxicité. Les patients recevant des doses élevées de salicylates concomitamment avec des comprimés de furosémide comme dans la maladie rhumatismale peuvent subir une toxicité de salicylate à des doses plus faibles en raison de sites excréteurs rénaux compétitifs.

Il existe un risque d'effets ototoxiques si les comprimés de cisplatine et de furosémide sont donnés de manière concomitante. De plus, la néphrotoxicité des médicaments néphrotoxiques tels que le cisplatine peut être améliorée si les comprimés de furosémide ne sont pas donnés à des doses plus faibles et avec un équilibre de liquide positif lorsqu'ils sont utilisés pour atteindre la diurèse forcée pendant le traitement au cisplatine.

Les comprimés de furosémide ont tendance à antagoniser l'effet relaxant du muscle squelettique de la tubocurarine et peuvent potentialiser l'action de la succinylcholine.

Le lithium ne doit généralement pas être administré avec les diurétiques car ils réduisent la clairance rénale du lithium et ajoutent un risque élevé de toxicité de lithium.

Les comprimés de furosémide combinés avec des inhibiteurs d'enzyme de conversion de l'angiotensine ou des bloqueurs des récepteurs de l'angiotensine II peuvent entraîner une hypotension et une détérioration sévères dans la fonction rénale, y compris l'insuffisance rénale. Une interruption ou une réduction de la dose de comprimés de furosémide sur les inhibiteurs de l'enzyme de conversion de l'angiotensine ou des bloqueurs de récepteurs de l'angiotensine peut être nécessaire.

La potentialisation se produit avec des médicaments de blocage adrénergiques ganglionnaires ou périphériques.

Les comprimés de furosémide peuvent diminuer la réactivité artérielle à la noradrénaline. Cependant, la norépinéphrine peut encore être utilisée efficacement.

L'administration simultanée de comprimés de sacralfate et de furosémide peut réduire les effets natriurétiques et antihypertenseurs des comprimés de furosémide. Les patients recevant les deux médicaments doivent être observés étroitement pour déterminer si l'effet diurétique et / ou antihypertenseur souhaité des comprimés de furosémide est obtenu. L'apport de comprimés de furosémide et de sucralfate doit être séparé d'au moins deux heures.

Dans les cas isolés, l'administration intraveineuse de comprimés de furosémide dans les 24 heures suivant la prise d'hydrate de chloral peut entraîner le rinçage des attaques d'attaques d'agitation augmentation de la pression artérielle et de la tachycardie. L'utilisation de comprimés de furosémide concomitamment avec l'hydrate de chloral n'est donc pas recommandée.

La phénytoïne interfère directement avec l'action rénale des comprimés de furosémide. Il existe des preuves que le traitement par la phénytoïne entraîne une diminution de l'absorption intestinale des comprimés de furosémide et, par conséquent, des concentrations de furosémides sériques maximales.

Le méthotrexate et d'autres médicaments qui aiment les comprimés de furosémide subissent une sécrétion tubulaire rénale importante peuvent réduire l'effet des comprimés de furosémide. Inversement, les comprimés de furosémide peuvent diminuer l'élimination rénale d'autres médicaments qui subissent une sécrétion tubulaire. Un traitement à forte dose des comprimés de furosémide et de ces autres médicaments peut entraîner des taux sériques élevés de ces médicaments et potentialiser leur toxicité ainsi que la toxicité des comprimés de furosémide.

Les comprimés de furosémide peuvent augmenter le risque de néphrotoxicité induite par la céphalosporine même dans le cadre d'une insuffisance rénale mineure ou transitoire.

L'utilisation concomitante de comprimés de cyclosporine et de furosémide est associée à un risque accru d'arthrite goutteuse secondaire aux comprimés de furosémide, d'hyperurémie induite par les comprimés et de troubles de la cyclosporine de l'excrétion rénale d'urate. Une étude sur six sujets a démontré que la combinaison de furosémide et d'acide acétylsalicylique réduisait temporairement la clairance de la créatinine chez les patients atteints d'insuffisance rénale chronique. Il y a des rapports de cas de patients qui ont développé une augmentation des taux de créatinine sérique de BUN et du potassium sérique et une prise de poids lorsque le furosémide a été utilisé conjointement avec les AINS.

Les rapports de littérature indiquent que la co-administration de l'indométhacine peut réduire les effets natriurétiques et antihypertenseurs des comprimés de furosémide (fureomide) chez certains patients en inhibant la synthèse de la prostaglandine. L'indométhacine peut également affecter les taux plasmatiques de rénine excrétion de l'aldostérone et l'évaluation du profil rénine. Les patients recevant des comprimés d'indométhacine et de furosémide doivent être observés étroitement pour déterminer si l'effet diurétique et / ou antihypertenseur souhaité des comprimés de furosémide est obtenu.

Avertissements for Furosemide

Chez les patients atteints de cirrhose hépatique et d'ascite, les comprimés de furosémide sont mieux initiés à l'hôpital. Dans le coma hépatique et dans les états de déplétion électrolytique, la thérapie de thérapie ne doit pas être instituée tant que la condition de base n'est pas améliorée. Des altérations soudaines de l'équilibre des liquides et des électrolytes chez les patients atteints de cirrhose peuvent précipiter le coma hépatique; Par conséquent, une observation stricte est nécessaire pendant la période de diurèse. Le chlorure de potassium supplémentaire et, si nécessaire, un antagoniste de l'aldostérone est utile pour prévenir l'hypokaliémie et l'alcalose métabolique.

Si une augmentation de l'azotémie et de l'oligurie survient pendant le traitement des comprimés de furosémides rénaux grave et graves devraient être interrompus.

Des cas d'acouphènes et de troubles auditifs réversibles ou irréversibles ont été signalés. Les rapports indiquent généralement que les comprimés de furosémide ototoxicité sont associés à une insuffisance rénale sévère d'injection rapide L'utilisation de doses plus élevées que les doses recommandées d'hypoprotéinémie ou de traitement concomitant avec des antibiotiques d'aminoglycoside acide ethacrynique ou d'autres médicaments ototoxiques. Si le médecin choisit d'utiliser une perfusion intraveineuse contrôlée par une thérapie parentérale à haute dose est recommandée (pour les adultes, un taux de perfusion ne dépassant pas 4 mg de comprimés de furosémide par minute a été utilisé). (Voir PRÉCAUTIONS : Interactions médicamenteuses )

Effets secondaires du Botox pour les migraines

Précautions for Furosemide

Général

Une diurèse excessive peut provoquer une déshydratation et une réduction du volume sanguin avec l'effondrement circulatoire et éventuellement la thrombose vasculaire et l'embolie, en particulier chez les patients âgés. Comme pour toute épuisement efficace des électrolytes diurétiques peut se produire pendant la thérapie des comprimés de furosémide, en particulier chez les patients recevant des doses plus élevées et une consommation de sel restreinte. L'hypokaliémie peut se développer avec des comprimés de furosémide, en particulier avec une diurèse rapide, l'apport électrolyte buccal inadéquat lorsque la cirrhose est présente ou pendant l'utilisation concomitante de corticostéroïdes de la réglisse en grande quantité ou une utilisation prolongée de laxatifs. La thérapie par numériques peut exagérer les effets métaboliques de l'hypokaliémie, en particulier les effets myocardiques.

Tous les patients recevant une thérapie de comprimés de furosémide doivent être observés pour ces signes ou symptômes de déséquilibre fluide ou électrolyte (hypoprémie hypocochlorémique alcalose hypokaliémie hypomagnésémie ou hypocalcémie): sécheresse de la bouche thife de la léthargie Des perturbations gastro-intestinales telles que les nausées et les vomissements. Des augmentations de la glycémie et des altérations des tests de tolérance au glucose (avec des anomalies du jeûne et du sucre postprandial de 2 heures) ont été observées et une précipitation rarement du diabète sucré a été rapportée.

Chez les patients présentant des symptômes sévères de rétention urinaire (en raison des troubles de la vidange de la vessie, l'hyperplasie prostatique est un rétrécissement urétral), l'administration de furosémide peut provoquer une rétention urinaire aiguë liée à une production accrue et à la rétention de l'urine. Ainsi, ces patients nécessitent une surveillance minutieuse, en particulier pendant les étapes initiales du traitement.

Chez les patients à haut risque de néphropathie radiocontraste, les comprimés de furosémide peuvent entraîner une incidence plus élevée de détérioration de la fonction rénale après avoir reçu un radiocontrasse par rapport aux patients à haut risque qui n'ont reçu que l'hydratation intraveineuse avant de recevoir une radioconsie.

Chez les patients atteints d'hypoprotéinémie (par exemple associé au syndrome néphrotique), l'effet des comprimés de furosémide peut être affaibli et son ototoxicité potentialisée.

Une hyperuricémie asymptomatique peut se produire et la goutte peut rarement être précipitée.

Les patients allergiques aux sulfonamides peuvent également être allergiques aux comprimés de furosémide. La possibilité existe de l'exacerbation ou de l'activation du lupus érythémateux systémique.

Comme pour de nombreux autres médicaments, les patients doivent être observés régulièrement pour la possibilité d'éventuels dyscrasies sanguins du foie ou des lésions rénales ou d'autres réactions idiosyncratiques.

Tests de laboratoire

Electrolytes sériques (en particulier le potassium) CO 2 La créatinine et le chignon doivent être déterminés fréquemment au cours des premiers mois de thérapie par comprimés de furosémide et périodiquement par la suite. Les déterminations des électrolytes sériques et urinaires sont particulièrement importantes lorsque le patient vomit abondamment ou reçoit des fluides parentéraux. Les anomalies doivent être corrigées ou le médicament temporairement retiré. D'autres médicaments peuvent également influencer les électrolytes sériques.

Des élévations réversibles de BUN peuvent survenir et sont associées à une déshydratation qui doit être évitée en particulier chez les patients souffrant d'insuffisance rénale.

L'urine et la glycémie doivent être vérifiées périodiquement chez les diabétiques recevant des comprimés de furosémide même chez ceux soupçonnés de diabète latent.

Les comprimés de furosémide peuvent réduire les taux sériques de calcium (rarement des cas de tétany ont été signalés) et du magnésium. En conséquence, les taux sériques de ces électrolytes doivent être déterminés périodiquement.

Chez les nourrissons prématurés, les comprimés de furosémide peuvent précipiter la néphrocalcinose / néphrolithiase, donc la fonction rénale doit être surveillée et l'échographie rénale effectuée. (voir PRÉCAUTIONS : Usage pédiatrique )

Toxicologie non clinique

Carcinogenèse Mutagenèse A trouble de la fertilité

Le furosémide a été testé pour la cancérogénicité par administration orale dans une souche de souris et une souche de rats. Une petite incidence, mais significativement augmentée, des carcinomes des glandes mammaires s'est produite chez des souris femelles à une dose de 17,5 fois la dose humaine maximale de 600 mg. Il y avait des augmentations marginales des tumeurs rares chez les rats mâles à une dose de 15 mg / kg (légèrement supérieure à la dose humaine maximale) mais pas à 30 mg / kg.

Le furosémide était dépourvu d'activité mutagène dans diverses souches de Salmonella typhimurium Lorsqu'il est testé en présence ou en l'absence d'un système d'activation métabolique in vitro et posement positif pour la mutation génétique dans les cellules de lymphome de souris en présence de foie de rat S9 à la dose la plus élevée testée. Le furosémide n'a pas induit un échange chromatide sœur dans les cellules humaines in vitro, mais d'autres études sur les aberrations chromosomiques dans les cellules humaines in vitro ont donné des résultats contradictoires. Dans les cellules de hamster chinois, cela a induit des dommages chromosomiques mais était douteusement positif pour l'échange chromatide sœur. Les études sur l'induction par le furosémide des aberrations chromosomiques chez la souris n'étaient pas concluantes. L'urine de rats traités avec ce médicament n'a pas induit de conversion de gènes en Saccharomyces cerevisiae .

Les comprimés de furosémide (furosémide) n'ont produit aucune altération de la fertilité chez les rats mâles ou femelles à 100 mg / kg / jour (la dose diurétique efficace maximale chez le rat et 8 fois la dose humaine maximale de 600 mg / jour).

Grossesse

Grossesse Category C

Il a été démontré que le furosémide provoque des décès maternels et des avortements inexpliqués chez le lapin à 2 4 et 8 fois la dose humaine maximale recommandée. Il n'y a pas d'études adéquates et bien contrôlées chez les femmes enceintes. Les comprimés de furosémide ne doivent être utilisés pendant la grossesse que si le bénéfice potentiel justifie le risque potentiel pour le fœtus.

Le traitement pendant la grossesse nécessite une surveillance de la croissance fœtale en raison du potentiel de poids de naissance plus élevés.

Les effets du furosémide sur le développement embryonnaire et fœtal et sur les barrages enceintes ont été étudiés chez des rats de souris et des lapins.

Le furosémide a provoqué des décès maternels et des avortements inexpliqués chez le lapin à la dose la plus basse de 25 mg / kg (2 fois la dose humaine maximale recommandée de 600 mg / jour). Dans une autre étude, une dose de 50 mg / kg (4 fois la dose humaine maximale recommandée de 600 mg / jour) a également provoqué la mort maternelle et les avortements lorsqu'ils sont administrés aux lapins entre les jours 12 et 17 de gestation. Dans une troisième étude, aucun des lapins enceintes n'a survécu à une dose de 100 mg / kg. Les données des études ci-dessus indiquent une létalité fœtale qui peut précéder les décès maternels.

Les résultats de l'étude de la souris et de l'une des trois études de lapin ont également montré une incidence et une gravité accrues de l'hydronéphrose (distension du bassin rénal et dans certains cas des uretères) dans les fœtus dérivés des barrages traités par rapport à l'incidence des fœtus du groupe témoin.

Utiliser dans des populations spécifiques

Mères qui allaitent

Parce qu'il apparaît dans la prudence du lait maternel doit être exercé lorsque le furosémide est administré à une mère infirmière.

Le furosémide peut inhiber la lactation.

Usage pédiatrique

Chez les nourrissons prématurés, les comprimés de furosémide peuvent précipiter la néphrocalcinose / Néphrolithiase .

La néphrocalcinose / néphrolithiase a également été observée chez les enfants de moins de 4 ans sans antécédents de prématurité qui ont été traités de façon chronique avec des comprimés de furosémide. Surveiller la fonction rénale et l'échographie rénale doivent être prises en compte chez les patients pédiatriques recevant des comprimés de furosémide.

Si des comprimés de furosémide sont administrés à des nourrissons prématurés au cours des premières semaines de la vie, cela peut augmenter le risque de persistance du canal artériel des brevets.

Utilisation gériatrique

Les études cliniques contrôlées sur les comprimés de furosémide n'ont pas inclus un nombre suffisant de sujets âgés de 65 ans et plus pour déterminer s'ils répondent différemment des sujets plus jeunes. D'autres expériences cliniques signalées n'ont pas identifié de différences dans les réponses entre les patients âgés et les patients plus jeunes. En général, la sélection de la dose pour le patient âgé devrait être prudente qui commence généralement à l'extrémité inférieure de la plage de dosage reflétant la plus grande fréquence de diminution de la fonction rénale ou cardiaque hépatique et de maladie concomitante ou autre médicament.

Ce médicament est connu pour être considérablement excrété par le rein et le risque de réactions toxiques à ce médicament peut être plus élevé chez les patients présentant une fonction rénale altérée. Parce que les patients âgés sont plus susceptibles d'avoir une diminution des soins de la fonction rénale devraient être pris dans la sélection de la dose et il peut être utile de surveiller la fonction rénale. (Voir PRÉCAUTIONS : Général et Posologie et administration .)

Informations sur la surdose pour le furosémide

Les principaux signes et symptômes de surdose avec le furosémide sont la déshydratation de la réduction du volume sanguin hypotension hypokaliémie et alcalose hypochlorémique et sont des extensions de son action diurétique.

La toxicité aiguë du furosémide a été déterminée chez les rats et les chiens de souris. Dans les trois, le LD oral 50 dépassé 1000 mg / kg de poids corporel tandis que le LD intraveineux 50 varié de 300 à 680 mg / kg. La toxicité intragastrique aiguë chez les rats néonatals est de 7 à 10 fois celle des rats adultes.

La concentration de comprimés de furosémide dans les fluides biologiques associés à la toxicité ou à la mort n'est pas connue.

Le traitement du surdosage est favorable et consiste à remplacer des pertes excessives de liquide et d'électrolyte. Electrolytes sériques Le taux de dioxyde de carbone et la pression artérielle doivent être déterminés fréquemment. Un drainage adéquat doit être assuré chez les patients présentant une obstruction de sortie de la vessie urinaire (comme l'hypertrophie prostatique).

L'hémodialyse n'accélère pas l'élimination du furosémide.

Contre-indications pour le furosémide

Les comprimés de furosémide sont contre-indiqués chez les patients atteints d'anurie et chez les patients ayant des antécédents d'hypersensibilité au furosémide.

Pharmacologie clinique for Furosemide

Les investigations sur le mode d'action des comprimés de furosémide ont utilisé des études de micropuncture chez le rat, des expériences de flux d'arrêt chez les chiens et diverses études de clairance chez l'homme et les animaux expérimentaux. Il a été démontré que les comprimés de furosémide inhibent principalement l'absorption du sodium et du chlorure non seulement dans les tubules proximaux et distaux mais aussi dans la boucle de Henle. Le degré élevé d'efficacité est largement dû au site d'action unique. L'action sur le tubule distal est indépendante de tout effet inhibiteur sur l'anhydrase carbonique et l'aldostérone.

Des preuves récentes suggèrent que le glucuronide du furosémide est le seul ou du moins le principal produit de biotransformation du furosémide chez l'homme. Le furosémide est largement lié aux protéines plasmatiques principalement à l'albumine. Les concentrations plasmatiques allant de 1 à 400 μg / ml sont de 91 à 99% liées à des individus en bonne santé. La fraction non liée est en moyenne de 2,3 à 4,1% à des concentrations thérapeutiques.

Le début de la diurèse après l'administration orale se situe dans une heure. L'effet de pointe se produit dans la première ou la deuxième heure. La durée de l'effet diurétique est de 6 à 8 heures.

Chez les hommes normaux à jeun, la biodisponibilité moyenne du furosémide à partir de comprimés de furosémide et de solution orale de furosémide est respectivement de 64% et 60% de celle d'une injection intraveineuse du médicament. Bien que le furosémide soit absorbé plus rapidement par rapport à la solution orale (50 minutes) que dans les taux plasmatiques de pic de comprimé (87 minutes) et la surface sous les courbes de concentration plasmatique ne diffèrent pas significativement. Les concentrations plasmatiques maximales augmentent avec l'augmentation de la dose, mais les temps à pic ne diffèrent pas entre les doses. La demi-vie terminale de furosémide est d'environ 2 heures.

De plus en plus de furosémide est excrété dans l'urine après l'injection IV qu'après le comprimé ou la solution orale. Il n'y a aucune différence significative entre les deux formulations orales en quantité de médicament inchangé excrété dans l'urine.

Population gériatrique

La liaison de furosémide à l'albumine peut être réduite chez les patients âgés. Le furosémide est principalement excrété inchangé dans l'urine. La clairance rénale du furosémide après administration intraveineuse chez des sujets masculins en bonne santé plus âgés (60-70 ans) est statistiquement significativement plus petit que chez les sujets masculins en bonne santé plus jeunes (20-35 ans). L'effet diurétique initial du furosémide chez les sujets plus âgés est diminué par rapport aux sujets plus jeunes. (Voir PRÉCAUTIONS : Utilisation gériatrique .)

Informations sur les patients pour le furosémide

Les patients recevant des comprimés de furosémide doivent être informés qu'ils peuvent ressentir des symptômes de pertes de liquide et / ou d'électrolyte excessives. Le hypotension posturale Cela se produit parfois peut généralement être géré en se levant lentement. Des suppléments de potassium et / ou des mesures alimentaires peuvent être nécessaires pour contrôler ou éviter l'hypokaliémie.

Patients avec diabète sucré Il faut dire que le furosémide peut augmenter les taux de glycémie et affecter ainsi les tests de glucose urinaire. La peau de certains patients peut être plus sensible aux effets de la lumière du soleil lors de la prise de furosémide.

Les patients hypertendus doivent éviter les médicaments qui peuvent augmenter la pression artérielle, y compris les produits en vente libre pour la suppression de l'appétit et les symptômes du rhume.