Les Informations Présentées Sur Ce Site Ne Constituent Pas Un Avis Médical. Nous Ne Vendons Rien. L'Exactitude De La Traduction N'Est Pas Garantie. Clause De Non-Responsabilité



Haldol décanoate

Résumé

Qu'est-ce que Haldol Decanoate?

Foire Le décanoate (halopéridol decanoate) est un antipsychotique utilisé pour traiter schizophrénie . Haldol Decanoate est disponible en générique formulaire.

Quels sont les effets secondaires de Haldol Decanoate?

Foire Decanoate may cause serious side effects including:



  • urticaire
  • difficulté à respirer
  • gonflement de ton visage lèvres langue ou gorge
  • spasme musculaire ou raideur
  • agitation
  • Expression faciale en forme de masque
  • bave
  • érection du pénis douloureux ou dure plus de 4 heures
  • Twitching du muscle facial
  • langue
  • mouvements de mastication
  • gonflant ou pli de votre mois
  • tremblements incontrôlables
  • fièvre
  • douleur musculaire ou sensibilité
  • faiblesse
  • fatigue sévère
  • confusion sévère
  • transpiration
  • rythme cardiaque rapide ou irrégulier
  • urine sombre
  • Changements dans la quantité d'urine
  • nausées ou vomissements persistants
  • douleurs à l'estomac
  • jaunissement des yeux ou de la peau ( jaunisse )
  • crises
  • persistant mal de gorge
  • rythme cardiaque lent
  • étourdissements sévères
  • douleur thoracique et
  • évanouissement

Obtenez de l'aide médicale immédiatement si vous présentez l'un des symptômes énumérés ci-dessus.



Les effets secondaires courants du décanoate d'aldol comprennent:

  • vertiges
  • somnolence
  • difficulté à uriner
  • Difficulté à dormir
  • mal de tête
  • anxiété et
  • Douleur au site d'injection.

Dites à votre médecin si vous ressentez des effets secondaires graves de Haldol Decanoate, notamment:



  • Spasme / raideur musculaire
  • tremblement (tremblement)
  • agitation
  • Expression faciale en forme de masque ou
  • bave.

Cherchez des soins médicaux ou appelez le 911 à la fois si vous avez les effets secondaires graves suivants:

  • Des symptômes oculaires graves tels que la perte de vision soudaine floue du tunnel de vision de la vision de la vision des yeux ou de l'enflure ou de voir des halos autour des lumières;
  • Symptômes cardiaques graves tels que les battements cardiaques rapides ou battants; flotter dans votre poitrine; essoufflement; Et des étourdissements soudains étourdissement ou s'évanouir;
  • Maux de tête sévères Confusion Slurred Speech Bras ou Ligne Proulitude Trouble de la merde Perte de coordination Sentiment des muscles très rigides très rigides Fièvre élevée Propice ou des tremblements.

Ce document ne contient pas tous les effets secondaires possibles et d'autres peuvent survenir. Vérifiez auprès de votre médecin des informations supplémentaires sur les effets secondaires.

Quelles substances ou suppléments de médicaments interagissent avec le décanoate de haldol?

Dans de rares cas, le décanoate d'Haldol peut augmenter votre niveau d'un certain produit chimique fabriqué par le corps (prolactine). Pour les femmes, cette augmentation de la prolactine peut entraîner des périodes non désirées du lait maternel manquées / arrêtées ou des difficultés à devenir enceintes. Pour les hommes, il peut entraîner une diminution de l'incapacité sexuelle à produire des spermatozoïdes ou des seins élargis. Dites à votre médecin si vous développez l'un de ces symptômes. Pour les hommes dans le cas peu probable, vous avez une érection douloureuse ou prolongée (durée de plus de 4 heures), arrêtez d'utiliser un décanoate de haldol et de consulter des soins médicaux immédiats ou des problèmes permanents.

Dosage pour haldol decanoate

La dose de décanoate d'aldol ne doit pas dépasser 3 ml par injection. Parlez à votre médecin de votre recommandation de dosage individuelle. D'autres médicaments tels que l'amiodarone érythromycine belladone alcaloïdes warfarine lithium levodopa rifampin diphénhydramine codéine risperidone et la trazodone peuvent interagir avec le décanoate d'aldol. Dites à votre médecin tous les médicaments que vous utilisez. N'arrêtez pas de prendre un décanoate Haldol soudainement sans consulter votre médecin. La prudence doit être exercée lors de la prise de décanoate de haldol si vous êtes âgé.

Foire Decanoate During Pregnancy et Breastfeeding

Si vous êtes enceinte, prenez le décanoate de haldol que si le bénéfice l'emporte sur le risque potentiel pour le fœtus. N'utilisez pas de décanoate de haldol si vous allaitez.

Ultram a-t-il Asprin dedans

Informations Complémentaires

Notre Drug Drug Drug Drug Center de Haldol Decanoate (Haloperidol Decanoate) offre une vue complète des informations sur les médicaments disponibles sur les effets secondaires potentiels lors de la prise de ce médicament.

Informations sur les médicaments de la FDA

AVERTISSEMENT

La mortalité accrue chez les patients âgés atteints de psychose liée à la démence: les patients âgés atteints de psychose liée à la démence traités par des antipsychotiques sont à un risque accru de décès. Des analyses de dix-sept essais contrôlés par placebo (durée modale de 10 semaines) en grande partie chez les patients prenant des antipsychotiques atypiques ont révélé un risque de décès chez les patients traités par médicament entre 1,6 et 1,7 fois le risque de décès chez les patients traités par placebo. Au cours d'un essai contrôlé typique de 10 semaines, le taux de décès chez les patients traités par médicament était d'environ 4,5% contre un taux d'environ 2,6% dans le groupe placebo. Bien que les causes de la mort soient variées, la plupart des décès semblent être soit cardiovasculaires (par exemple, insuffisance cardiaque à la mort subite) ou infectieuse (par exemple pneumonie) dans la nature. Des études d'observation suggèrent que, similaire au traitement des antipsychotiques atypiques avec des antipsychotiques conventionnels, peut augmenter la mortalité. La mesure dans laquelle les résultats d'une mortalité accrue dans les études observationnelles peuvent être attribués au médicament antipsychotique par opposition à certaines caractéristiques des patients n'est pas clair. Le décanoate de haldol (halopéridol décanoate) n'est pas approuvé pour le traitement des patients atteints de psychose liée à la démence (voir AVERTISSEMENTS ).

Description de Haldol Decanoate

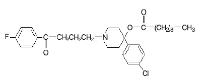
L'halopéridol décanoate est l'ester de décanoate de la butyrophénone haldol (halopéridol). Il a une durée d'effet nettement prolongée. Il est disponible en huile de sésame sous forme stérile pour l'injection intramusculaire (IM). La formule structurelle de l'halopéridol décanoate 4- (4-chlorophényl) -1- [4- (4-fluorophényl) -4-oxobutyl] -4 pipéridinyl décanoate est:

L'halopéridol décanoate est presque insoluble dans l'eau (NULL,01 mg / ml) mais est soluble dans la plupart des solvants organiques.

Chaque ml de décanoate d'aldol (halopéridol decanoate) 50 pour l'injection IM contient 50 mg d'halopéridol (présent sous forme d'halopéridol décanoate 70,52 mg) dans un véhicule à pétrole de sésame avec 1,2% (p / v) d'alcool benzyle comme conservateur.

Chaque ml de décanoate de haldol (halopéridol decanoate) 100 pour l'injection IM contient 100 mg d'halopéridol (présent sous forme d'halopéridol décanoate 141,04 mg) dans un véhicule à pétrole de sésame avec 1,2% (p / v) d'alcool benzyle comme conservateur.

Utilisations pour haldol decanoate

Haldol décanoate (halopéridol decanoate) 50 et haldol décanoate (halopéridol decanoate) 100 sont indiqués pour le traitement des patients schizophrènes qui ont besoin d'une thérapie antipsychotique parentérale prolongée.

Dosage pour haldol decanoate

Haldol décanoate (halopéridol decanoate) 50 et haldol décanoate (halopéridol decanoate) 100 devraient être administrés par injection intramusculaire profonde. Une aiguille de calibre 21 est recommandée. Le volume maximum par site d'injection ne doit pas dépasser 3 ml. N'administrez pas par voie intraveineuse .

Les médicaments parentéraux doivent être inspectés visuellement pour les particules et la décoloration avant l'administration chaque fois que la solution et le permis de conteneur.

Haldol décanoate (halopéridol decanoate) 50 et haldol décanoate (halopéridol decanoate) 100 sont destinés à une utilisation chez les patients schizophrènes qui ont besoin d'une thérapie antipsychotique parentérale prolongée. Ces patients devraient être précédemment stabilisés sur les médicaments antipsychotiques avant de considérer une conversion en décanoate d'alopéridol. En outre, il est recommandé que les patients envisagés pour le traitement par halopéridol décanoate aient été traités avec et tolèrent un haldol bien à action courte (halopéridol) afin de réduire la possibilité d'une sensibilité défavorable inattendue à l'halopéridol. Une supervision clinique étroite est nécessaire pendant la période initiale d'ajustement de la dose afin de minimiser le risque de surdosage ou de réapparition des symptômes psychotiques avant la prochaine injection. Au cours de l'ajustement de la dose ou des épisodes d'exacerbation des symptômes de la schizophrénie halopéridol décanothérapie peuvent être complétés par des formes à action courte d'halopéridol.

La dose de décanoate de haldol (halopéridol decanoate) 50 ou haldol décanoate (halopéridol decanoate) 100 doit être exprimée en termes de contenu de l'halopéridol. La dose de départ de l'halopéridol décanoate doit être basée sur la condition physique des antécédents cliniques de l'âge du patient et la réponse à un traitement antipsychotique précédent. L'approche préférée pour déterminer la dose efficace minimale est de commencer par des doses initiales plus faibles et d'ajuster la dose vers le haut au besoin. Pour les patients précédemment maintenus sur de faibles doses d'antipsychotiques (par exemple jusqu'à l'équivalent de 10 mg / jour d'alopéridol oral), il est recommandé que la dose initiale de décanoate de halopéridol soit 10 à 15 fois la dose quotidienne précédente dans les équivalents oraux d'halopéridol; Une expérience clinique limitée suggère que les doses initiales plus faibles peuvent être adéquates.

Thérapie initiale

La conversion de l'halopéridol oral en décanoate d'alopéridol peut être obtenue en utilisant une dose initiale de décanoate d'alopéridol qui est de 10 à 20 fois la dose quotidienne précédente dans les équivalents oraux de l'halopéridol.

Chez les patients âgés débilisés ou stables sur de faibles doses d'halopéridol oral (par exemple, jusqu'à l'équivalent de 10 mg / halopéridol oral de jour), une gamme de 10 à 15 fois la dose quotidienne précédente dans les équivalents oraux de l'halopéridol est approprié pour la conversion initiale.

Effets secondaires de l'humalog 75 25

Chez les patients, précédemment maintenus sur des doses plus élevées d'antipsychotiques pour lesquelles une approche à faible dose risque la récidive de la décompensation psychiatrique et chez les patients dont l'utilisation à long terme de l'halopéridol a entraîné une tolérance au médicament 20 fois la dose quotidienne précédente dans les équivalents par halopéridol orale doit être considéré pour une conversion initiale avec le titrage à la baisse sur les indictions successives.

La dose initiale de décanoate d'alopéridol ne doit pas dépasser 100 mg, quelles que soient les exigences antérieures sur la dose d'antipsychotiques. Si, par conséquent, la conversion nécessite plus de 100 mg de décanoate d'alopéridol comme dose initiale, la dose doit être administrée en deux injections, c'est-à-dire un maximum de 100 mg initialement suivi de l'équilibre en 3 à 7 jours.

Thérapie d'entretien

La dose de maintenance du décanoate d'alopéridol doit être individualisée avec le titrage vers le haut ou vers le bas en fonction de la réponse thérapeutique. La plage de maintenance habituelle est de 10 à 15 fois la dose quotidienne précédente dans les équivalents oraux de l'halopéridol en fonction de la réponse clinique du patient.

Haldol Decanoate (halopéridol decanoate) recommandations de dosage

Patients Mensuel
1er mois
Entretien
Stabilisé sur les doses orales quotidiennes faibles
(jusqu'à 10 mg / jour)
Les personnes âgées ou affaiblies
10-15 x dose orale quotidienne 10-15 x dose orale quotidienne précédente
Dose élevée
Risque de rechute
Tolérant à l'halopéridol oral
20 x dose orale quotidienne 10-15 x dose orale quotidienne précédente

Une supervision clinique étroite est nécessaire lors de l'initiation et de la stabilisation du traitement par halopéridol décanoate. L'halopéridol decanoate est généralement administré mensuellement ou toutes les 4 semaines. Cependant, la variation de la réponse du patient peut dicter un besoin d'ajustement de l'intervalle de dosage ainsi que de la dose (voir Pharmacologie clinique ).

L'expérience clinique avec le décanoate d'halopéridol à des doses supérieures à 450 mg par mois a été limitée.

Comment fourni

Haldol® (halopéridol) décanoate 50 pour l'injection de messagerie instantanée 50 mg d'halopéridol comme 70,52 mg par ml de décanoate d'halopéridol— NDC 0045-0253 10 x 1 ml d'ampuls et 3 x 1 ml d'ampuls.

Haldol® (halopéridol) décanoate 100 pour injection IM 100 mg halopéridol comme 141,04 mg par ml de décanoate d'halopéridol— NDC 0045-0254 5 x 1 ml d'ampuls.

Conserver à température ambiante contrôlée (15 ° -30 ° C 59 ° -86 ° F). Ne réfrigérez ni ne congelez.

Protéger de la lumière.

Fabriqué par: Jansen Pharmaceutica N.V. Belgique bière. Distribué par: Orthodox Pharmaceutical Inc. Raritan NJ 08869. FDA Rev Date: 14/08/2

Effets secondaires for Foire Decanoate

Réactions indésirables Après l'administration de décanoate d'aldol (halopéridol décanoate) 50 ou decanoate d'aldol (halopéridol decanoate) 100 sont celles de l'haldol (halopéridol). Étant donné que la vaste expérience s'est accumulée avec Haldol, les effets indésirables sont signalés pour ce composé ainsi que pour le décanoate d'alopéridol. Comme pour tous les médicaments injectables, des réactions tissulaires locales ont été signalées avec l'halopéridol décanoate.

Effets cardiovasculaires

Une hypotension et une hypertension de tachycardie ont été signalées. La prolongation de QT et / ou les arythmies ventriculaires ont également été rapportées en plus des changements de motifs ECG compatibles avec la configuration polymorphe de Torsade de pointes et peuvent se produire plus fréquemment avec des doses élevées et chez les patients prédisposés (voir AVERTISSEMENTS et PRÉCAUTIONS ).

Des cas de décès soudains et inattendus ont été signalés en association avec l'administration de Haldol. La nature des preuves rend impossible de déterminer définitivement quel rôle si un haldol jouait dans l'issue des cas signalés. La possibilité que Haldol ait causé la mort ne peut bien sûr pas être exclue, mais il faut garder à l'esprit qu'une mort soudaine et inattendue peut se produire chez les patients psychotiques lorsqu'ils ne sont pas traités ou lorsqu'ils sont traités avec d'autres antipsychotiques.

Effets du SNC

Symptômes extrapyramidaux (EPS)

L'EPS lors de l'administration de haldol (halopéridol) a été signalé souvent souvent au cours des premiers jours de traitement. L'EPS peut être classé généralement comme des symptômes de type Parkinson Akathisie ou Dystonie (y compris l'opisthotonos et la crise oculogyrique). Bien que tout puisse se produire à des doses relativement faibles, ils se produisent plus fréquemment et avec une plus grande gravité à des doses plus élevées. Les symptômes peuvent être contrôlés avec des réductions de dose ou l'administration de médicaments antiparkinson tels que le mésylate de benztropine USP ou le chlorhydrate de trihexyphénidyl USP. Il convient de noter que le BPA persistant a été signalé; Le médicament peut devoir être interrompu dans de tels cas.

Dystonie

Effet de classe: Les symptômes de la dystonie prolongés des contractions anormales des groupes musculaires peuvent survenir chez les individus sensibles au cours des premiers jours de traitement. Les symptômes dystoniques comprennent: les spasmes des muscles du cou progressant parfois vers l'étanchéité de la gorge avaler des difficultés de difficulté à respirer et / ou à la saillie de la langue. Bien que ces symptômes puissent se produire à faibles doses, ils se produisent plus fréquemment et avec une plus grande gravité avec une puissance élevée et à des doses plus élevées de médicaments antipsychotiques de première génération. Un risque élevé de dystonie aiguë est observé chez les hommes et les groupes d'âge plus jeunes.

Signes neurologiques émergents du retrait

Généralement, les patients recevant un traitement à court terme ne connaissent aucun problème avec l'arrêt abrupte des antipsychotiques. Cependant, certains patients sous traitement d'entretien connaissent des signes dyskinétiques transitoires après un retrait brutal. Dans certains cas de ces cas, les mouvements dyskinétiques sont indiscernables du syndrome décrit ci-dessous sous «dyskinésie tardive», à l'exception de la durée. Bien que les propriétés à long terme du décanoate d'alopéridol fournissent un retrait progressif, on ne sait pas si le retrait progressif des antipsychotiques réduira le taux d'occurrence des signes neurologiques émergents du retrait.

Dyskinésie tardive

Comme pour tous les agents antipsychotiques, Haldol a été associé à des dyskinésies persistantes. Dyskinésie tardive Un syndrome composé de mouvements dyskinétiques involontaires potentiellement irréversibles peut apparaître chez certains patients sous traitement à long terme avec un décanoate d'alopéridol ou peut se produire après l'arrêt de la pharmacothérapie. Le risque semble être plus élevé chez les patients âgés sous traitement à haute dose, en particulier les femmes. Les symptômes sont persistants et chez certains patients semblent irréversibles. Le syndrome se caractérise par des mouvements involontaires rythmiques de la bouche ou de la mâchoire du visage de la langue (par exemple, la saillie de la langue souffle des joues plissantes de bouche de mâches). Parfois, ceux-ci peuvent être accompagnés de mouvements involontaires des extrémités et du tronc.

Il n'y a pas de traitement efficace connu pour la dyskinésie tardive; Les agents antiparkinson n'atténuent généralement pas les symptômes de ce syndrome. Il est suggéré que tous les agents antipsychotiques soient interrompus si ces symptômes apparaissent. Si il faut réinstituter le traitement ou augmenter la dose de l'agent ou passer à un agent antipsychotique différent, ce syndrome peut être masqué.

Effet secondaire du baclofène 10 mg

Il a été signalé que le mouvement vermiculaire fin de la langue peut être un signe précoce de dyskinésie tardive et si le médicament est arrêté à ce moment-là, le syndrome complet peut ne pas se développer.

Dystonie tardive

La dystonie tardive non associée au syndrome ci-dessus a également été signalée. La dystonie tardive est caractérisée par un début retardé des mouvements choréques ou dystoniques est souvent persistant et a le potentiel de devenir irréversible.

Autres effets du SNC

Insomnie Anxiété d'agitation Euphorie Agitation Durpeté Dépression Léthargie Maux de tête Confusion Vertigo Grand Mal Currences Exacerbation des symptômes psychotiques, notamment les hallucinations et les états comportementaux de type catatonique qui peuvent être sensibles au sevrage des médicaments et / ou à un traitement avec des médicaments anticholinergiques.

Le corps dans son ensemble

Hyperpyrexie et accident vasculaire cérébral du syndrome malin neuroleptique (NMS) ont été signalés avec Haldol. (Voir AVERTISSEMENTS Pour plus d'informations sur les NMS. )

Effets hématologiques

Des rapports sont apparus citant la survenue d'une leucopénie légère et généralement transitoire et de la leucocytose diminution minimale de l'anémie du nombre de globules rouges ou d'une tendance à la lymphomonocytose. Agranulocytisie Il a rarement été rapporté que cela s'est produit avec l'utilisation de Haldol, puis uniquement en association avec d'autres médicaments.

Effets du foie

Altération de la fonction hépatique et / ou jaunisse ont été signalés.

Réactions dermatologiques

Réactions cutanées maculopapulaires et acneiformes et cas isolés de photosensibilité et de perte de cheveux.

Troubles endocriniens

Lactation Mastalgie des sein d'irrégularités menstruelles gynécomastie impuissance augmentation de l'hyperglycémie de la libido hypoglycémie et hyponatremia.

Effets gastro-intestinaux

Anorexie Constipation Diarrhée Hypersalivation Dyspepsie Nausée et vomissements.

Réactions autonomes

La bouche sèche floue la diaphorèse de rétention urinaire et le priapisme.

Effets respiratoires

Bronchospasme du laryngospasme et profondeur accrue de la respiration.

Sens spéciaux

Cataracte rétinopathie et perturbations visuelles.

Événements de commercialisation de la poste

Une hyperammonémie a été signalée chez un enfant de 5 1/2 ans atteint de citrullinémie, un trouble héréditaire de l'excrétion d'ammoniac après un traitement par haldol.

Interactions médicamenteuses for Foire Decanoate

Un syndrome encéphalopathique (caractérisé par une faiblesse Fièvre léthargie Tremous et confusion symptômes extrapyramidaux leucocytose enzymes sériques élevées Bun et FBS) suivi par des lésions cérébrales irréversibles s'est produite chez quelques patients traités avec du lithium plus un haldol. Une relation causale entre ces événements et l'administration concomitante de lithium et d'haldol n'a pas été établie; Cependant, les patients recevant une telle thérapie combinée doivent être surveillés de près pour les premières preuves de toxicité neurologique et de traitement interrompue rapidement si ces signes apparaissent.

Comme pour les autres agents antipsychotiques, il convient de noter que Haldol peut être capable de potentialiser les dépresseurs du SNC tels que les opiacés anesthésiques et l'alcool.

Dans une étude de 12 patients schizophrènes, les taux de halopéridol oral co-administré et de rifampine halopéridol ont été diminués d'une moyenne de 70% et des scores moyens sur la brève échelle de notation psychiatrique ont augmenté de la ligne de base. Chez 5 autres patients schizophrènes traités par l'halopéridol oral et l'arrêt de la rifampine de la rifampine a produit une augmentation moyenne de 3,3 fois des concentrations d'halopéridol. Ainsi, une surveillance minutieuse de l'état clinique est justifiée lorsque la rifampine est administrée ou interrompue chez les patients traités à l'halopéridol.

Avertissements for Foire Decanoate

Accrue de la mortalité chez les patients âgés atteints de psychose liée à la démence

Les patients âgés atteints de psychose liée à la démence traitée avec des antipsychotiques sont à un risque accru de décès. Le décanoate de haldol (halopéridol décanoate) n'est pas approuvé pour le traitement des patients atteints de psychose liée à la démence (voir Avertissement en boîte ).

Effets cardiovasculaires

Des cas de projection de la QT de mort subite et de torsades de pointes ont été signalés chez des patients recevant de l'halopéridol. Des doses plus élevées que recommandées de toute formulation et de l'administration intraveineuse d'halopéridol semblent être associées à un risque plus élevé de pré-prolongation QT et de torsades de pointes. Bien que des cas aient été signalés même en l'absence de facteurs prédisposants, une prudence particulière est avisée dans le traitement des patients atteints d'autres conditions de prévision du QT (y compris les médicaments par électrolyte [en particulier l'hypokaliémie et l'hypomagnésémie] connues pour prolonger la QT sous-jacente des anomalies cardiaques hypothyroïdie et un Syndrome de QT familial). Haldol decanoate (halopéridol decanoate) ne doit pas être administré par voie intraveineuse .

Dyskinésie tardive

Un syndrome composé de mouvements dyskinétiques involontaires potentiellement irréversibles peut se développer chez les patients traités par des antipsychotiques. Bien que la prévalence du syndrome semble être la plus élevée chez les personnes âgées, en particulier les femmes âgées, il est impossible de s'appuyer sur les estimations de prévalence pour prédire au début du traitement antipsychotique que les patients sont susceptibles de développer le syndrome. On ne sait pas si les produits anti-médicaments antipsychotiques diffèrent dans leur potentiel à provoquer une dyskinésie tardive.

Le risque de développer une dyskinésie tardive et la probabilité qu'elle devienne irréversible augmente à mesure que la durée du traitement et la dose cumulative totale de médicaments antipsychotiques administrés à l'augmentation du patient. Cependant, le syndrome peut se développer bien que beaucoup moins couramment après des périodes de traitement relativement brèves à faible doses.

Il n'y a pas de traitement connu pour les cas établis de dyskinésie tardive, bien que le syndrome puisse se remettre partiellement ou complètement si le traitement antipsychotique est retiré. Le traitement antipsychotique lui-même peut cependant supprimer (ou supprimer partiellement) les signes et symptômes du syndrome et peut donc éventuellement masquer le processus sous-jacent. L'effet que la suppression symptomatique a sur l'évolution à long terme du syndrome est inconnu.

Compte tenu de ces considérations, les antipsychotiques doivent être prescrits d'une manière la plus susceptible de minimiser la survenue d'une dyskinésie tardive. Le traitement antipsychotique chronique doit généralement être réservé aux patients qui souffrent d'une maladie chronique qui 1) est connu pour répondre aux antipsychotiques et 2) pour qui des traitements alternatifs tout aussi efficaces mais potentiellement moins nocifs sont pas disponible ou approprié. Chez les patients qui nécessitent un traitement chronique, la plus petite dose et la plus courte durée du traitement produisant une réponse clinique satisfaisante doivent être recherchées. La nécessité d'un traitement continu devrait être réévaluée périodiquement.

Si des signes et symptômes de dyskinésie tardive apparaissent chez un patient sur l'arrêt des antipsychotiques devraient être pris en compte. Cependant, certains patients peuvent nécessiter un traitement malgré la présence du syndrome. (Pour plus d'informations sur la description de la dyskinésie tardive et de sa détection clinique, veuillez vous référer à Effets indésirables . )

Syndrome malin neuroleptique (NMS)

Un complexe de symptômes potentiellement mortel parfois appelé syndrome malin neuroleptique (NMS) a été signalé en association avec des antipsychotiques. Les manifestations cliniques des SNM sont la rigidité musculaire de l'hyperpyrexie l'état mental altéré (y compris les signes catatoniques) et les preuves d'une instabilité autonome (impulsion irrégulière ou pression artérielle de la diaphorèse et des dysrhythmies cardiaques). Des signes supplémentaires peuvent inclure la créatine phosphokinase myoglobinurie élevée (rhabdomyolyse) et insuffisance rénale aiguë .

L'évaluation diagnostique des patients atteints de ce syndrome est compliquée. En arrivant à un diagnostic, il est important d'identifier les cas où la présentation clinique comprend à la fois une maladie médicale grave (par exemple, une infection systémique de la pneumonie, etc.) et des signes et symptômes extrapyramidaux non traités ou mal traités. D'autres considérations importantes dans le diagnostic différentiel comprennent la toxicité centrale de la toxicité anticholique et la pathologie du système nerveux central primaire (SNC).

La prise en charge des SNM doit comprendre 1) l'arrêt immédiat des antipsychotiques et d'autres médicaments non essentiels à la thérapie concomitante 2) un traitement symptomatique intensif et une surveillance médicale et 3) le traitement de tout problème médical grave concomitant pour lequel des traitements spécifiques sont disponibles. Il n'y a aucun accord général sur des schémas de traitement pharmacologique spécifiques pour les NM non compliqués.

Si un patient a besoin d'un traitement médicamenteux antipsychotique après la récupération du SNM, la réintroduction potentielle du médicament doit être soigneusement prise en compte. Le patient doit être soigneusement surveillé car les récidives de SNM ont été signalées.

L'hyperpyrexie et les AVC de chaleur non associés au complexe de symptômes ci-dessus ont également été signalés avec Haldol.

Général

Un certain nombre de cas de bronchopneumonie certains mortels ont suivi l'utilisation de médicaments antipsychotiques, y compris l'haldol (halopéridol). Il a été postulé que la léthargie et la diminution de la sensation de soif en raison de l'inhibition centrale peuvent entraîner une hémoconcentration de déshydratation et une ventilation pulmonaire réduite. Par conséquent, si les signes et symptômes ci-dessus apparaissent, surtout chez les personnes âgées, le médecin devrait instituer une thérapie corrective rapidement.

Bien que non signalé avec un haldol, une diminution du cholestérol sérique et / ou des changements cutanés et oculaires ont été signalés chez les patients recevant des médicaments liés à une liée chimiquement.

Qu'est-ce que le patch Butrans utilisé pour

Précautions for Foire Decanoate

Haldol décanoate (halopéridol décanoate) 50 et haldol décanoate (halopéridol decanoate) 100 devraient être administrés avec prudence aux patients:

- avec des troubles cardiovasculaires graves en raison de la possibilité d'hypotension transitoire et / ou de précipitation de la douleur angine. Si une hypotension se produit et un vasopresseur doit être nécessaire de l'épinéphrine ne doit pas être utilisé car l'haldol (halopéridol) peut bloquer son activité vasopresseuse et une baisse paradoxale de la pression artérielle peut se produire. Au lieu de cela, la métaraminol phényléphrine ou la noradéphrine doit être utilisée.

- recevoir des médicaments anticonvulsivants avec des antécédents de crises ou avec des anomalies EEG car l'haldol peut réduire le seuil convulsif. Si un traitement anticonvulsivant adéquat indiqué doit être maintenu de manière concomitante.

-avec des allergies connues ou avec des antécédents de réactions allergiques aux médicaments.

-Cerceir les anticoagulants car une instance isolée d'interférence s'est produite avec les effets d'un anticoagulant (Phenindione).

Si un médicament antiparkinson concomitant est nécessaire, il peut être nécessaire de poursuivre après le décanoate de haldol (halopéridol decanoate) 50 ou haldol decanoate (halopéridol decanoate) 100 est interrompu en raison de l'action prolongée de l'halopéridol décanoate. Si les deux médicaments sont interrompus simultanément des symptômes extrapyramidaux peuvent survenir. Le médecin doit garder à l'esprit l'augmentation possible de la pression intraoculaire lorsque les médicaments anticholinergiques, y compris les agents antiparkinson, sont administrés en concomitance avec l'halopéridol décanoate.

Chez les patients atteints de thyrotoxicose qui reçoivent également des médicaments antipsychotiques, notamment une neurotoxicité sévère de l'halopéridol de décanoate (incapacité à rigidité à marcher ou à parler).

Lorsque Haldol est utilisé pour contrôler la manie dans les troubles bipolaires, il peut y avoir une balançoire d'humeur rapide à la dépression.

Mutagenèse de la carcinogenèse et altération de la fertilité

Aucun potentiel mutagène de l'halopéridol décanoate n'a été trouvé dans le test d'activation microsomale d'Ames Salmonella. Des résultats positifs négatifs ou incohérents ont été obtenus en in vitro et en vain Études des effets de l'halopéridol à action à court terme sur la structure et le nombre des chromosomes. Les preuves cytogénétiques disponibles sont considérées comme trop incohérentes pour être concluantes pour le moment.

Des études de cancérogénicité utilisant l'halopéridol oral ont été menées chez des rats Wistar (dosés jusqu'à 5 mg / kg par jour pendant 24 mois) et chez des souris suisses albinos (dosées jusqu'à 5 mg / kg par jour pendant 18 mois). Dans l'étude de rat, la survie était loin d'être optimale dans tous les groupes de dose, réduisant le nombre de rats à risque de développer des tumeurs. Cependant, bien qu'un nombre relativement plus élevé de rats aient survécu à la fin de l'étude dans les groupes mâles et femelles à forte dose, ces animaux n'avaient pas une plus grande incidence de tumeurs que les animaux témoins. Par conséquent, bien qu'il ne soit pas optimal, cette étude suggère l'absence d'une augmentation liée à l'halopéridol de l'incidence de la néoplasie chez le rat à des doses jusqu'à 20 fois la dose humaine quotidienne habituelle pour les patients chroniques ou résistants.

Chez les souris femelles à 5 et 20 fois la dose quotidienne initiale la plus élevée pour les patients chroniques ou résistants, il y a eu une augmentation statistiquement significative de la néoplasie de la glande mammaire et de l'incidence totale des tumeurs; À 20 fois la même dose quotidienne, il y a eu une augmentation statistiquement significative de la néoplasie de l'hypophyse. Chez les souris mâles, aucune différence statistiquement significative dans les incidences de tumeurs totales ou de types de tumeurs spécifiques n'a été notée.

Les médicaments antipsychotiques augmentent les niveaux de prolactine; L'élévation persiste pendant l'administration chronique. Des expériences de culture tissulaire indiquent qu'environ un tiers des cancers du sein humain sont dépendants de la prolactine in vitro Un facteur d'importance potentielle si la prescription de ces médicaments est envisagée chez un patient atteint d'un cancer du sein précédemment détecté. Bien que des perturbations telles que la galactorrhée amenorrhée gynécomastie et l'impuissance aient été rapportées, la signification clinique des taux élevés de prolactine sérique est inconnu pour la plupart des patients.

Une augmentation des néoplasmes mammaires a été trouvée chez les rongeurs après l'administration chronique de médicaments antipsychotiques. Ni les études cliniques ni les études épidémiologiques menées à ce jour n'ont montré une association entre l'administration chronique de ces médicaments et la tumorigenèse mammaire; Les preuves disponibles sont considérées comme trop limitées pour être concluantes pour le moment.

Utilisation pendant la grossesse

Catégorie de grossesse C. Les rongeurs accordés jusqu'à 3 fois la dose humaine maximale habituelle de décanoate d'halopéridol ont montré une augmentation de l'incidence de la mortalité fœtale de résorption et de la mortalité des chiots. Aucune anomalie fœtale n'a été observée. La fente palatine a été observée chez la souris donnée par l'halopéridol oral à 15 fois la dose humaine maximale habituelle.

La fente palatine chez la souris semble être une réponse non spécifique au stress ou au déséquilibre nutritionnel ainsi qu'à une variété de médicaments et il n'y a aucune preuve pour relier ce phénomène au risque humain prévisible pour la plupart de ces agents.

Il n'y a pas d'études adéquates et bien contrôlées chez les femmes enceintes. Il y a cependant des rapports de cas de malformations des membres observés après l'utilisation maternelle de l'haldol ainsi que d'autres médicaments qui ont suspecté le potentiel tératogène au cours du premier trimestre de la grossesse. Les relations causales n'ont pas été établies avec ces cas. Étant donné que cette expérience n'exclut pas la possibilité de dommages fœtaux dus à l'haldol halopéridol decanoate doit être utilisé pendant la grossesse ou chez les femmes susceptibles de devenir enceintes uniquement si le bénéfice justifie clairement un risque potentiel pour le fœtus.

décharge jaune après avoir utilisé monistat 7

Mères qui allaitent

Étant donné que l'halopéridol est excrété chez le lait maternel humain, les nourrissons ne doivent pas être soignés pendant le traitement médicamenteux avec un décanoate d'alopéridol.

Usage pédiatrique

La sécurité et l'efficacité de l'halopéridol décanoate chez les enfants n'ont pas été établies.

Utilisation gériatrique

Les études cliniques de l'halopéridol n'ont pas inclus un nombre suffisant de sujets âgés de 65 ans et plus pour déterminer s'ils réagissent différemment des sujets plus jeunes. D'autres expériences cliniques signalées n'ont pas systématiquement identifié de différences dans les réponses entre les patients âgés et les jeunes. Cependant, la prévalence de la dyskinésie tardive semble être la plus élevée chez les personnes âgées, en particulier les femmes âgées (voir AVERTISSEMENTS Tardive dyskinesia ). Also the pharmacokinetics of haloperidol in geriatric patients generally warrants the use of lower doses (see Posologie et administration ).

Informations sur la surdose pour Haldol Decanoate

Tandis que le surdosage est moins susceptible de se produire avec un parentéral qu'avec une information sur les médicaments oraux relative à l'haldol (halopéridol) est présenté uniquement pour refléter la durée prolongée d'action de l'halopéridol décanoate.

Manifestations

En général, les symptômes de la surdosage seraient une exagération des effets pharmacologiques connus et des effets indésirables dont les plus importants seraient: 1) des réactions extrapyramidales sévères 2) une hypotension ou 3) la sédation. Le patient semblerait comateux avec la dépression respiratoire et l'hypotension qui pourraient être suffisamment graves pour produire un choc - État comme. Les réactions extrapyramidales se manifesteraient par une faiblesse musculaire ou une rigidité et un tremblement généralisé ou localisé comme le démontre respectivement les types akinétiques ou agitans. Avec un surdosage accidentel, l'hypertension plutôt que l'hypotension s'est produite chez un enfant de deux ans. Le risque de changements d'ECG associés à Torsade De pointes doit être pris en compte.

(Pour plus d'informations sur Torsade de Poites, veuillez vous référer à Effets indésirables . )

Traitement

Puisqu'il n'y a pas de traitement antidote spécifique est principalement favorable. Une voie aérienne brevetée doit être établie par l'utilisation d'un tube des voies respiratoires oropharyngées ou en endotrachéal ou dans des cas prolongés de coma par trachéotomie. La dépression respiratoire peut être contrecarrée par la respiration artificielle et les respirateurs mécaniques. L'hypotension et l'effondrement circulatoire peuvent être contrecarrés par l'utilisation de fluides intraveineux plasma ou d'albumine concentrée et d'agents vasopresseurs tels que la métaraminol phényléphrine et la norépinéphrine. L'épinéphrine ne doit pas être utilisée. En cas de réactions extrapyramidales graves, les médicaments antiparkinson doivent être administrés et doivent être poursuivis pendant plusieurs semaines, puis retirés progressivement car des symptômes extrapyramidaux peuvent émerger. L'ECG et les signes vitaux doivent être surveillés en particulier pour les signes de prolongation Q-T ou de dysrhythmies et la surveillance doit se poursuivre jusqu'à ce que l'ECG soit normal. Des arythmies sévères doivent être traitées avec des mesures anti-arythmiques appropriées.

Contre-indications pour le décanoate de haldol

Étant donné que les actions pharmacologiques et cliniques de Haldol Decanoate (halopéridol decanoate) 50 et haldol decanoate (halopéridol decanoate) sont attribuées à Haldol (halopéridol), car les contre-indications de médicaments actifs et les informations supplémentaires sont celles de Haldol modifiée uniquement pour refléter l'action promentée.

Haldol est contre-indiqué dans une dépression sévère du système nerveux central toxique ou des états comateux de toute cause et chez les individus hypersensibles à ce médicament ou qui ont la maladie de Parkinson.

Pharmacologie clinique for Foire Decanoate

Haldol décanoate (halopéridol decanoate) 50 et haldol decanoate (halopéridol decanoate) 100 sont les formes à longue durée d'action haldol (halopéridol). Les effets de base de l'halopéridol décanoate ne sont pas différents de ceux de l'haldol à l'exception de la durée d'action. L'halopéridol bloque les effets de dopamine et increases its turnover rate; however the precise mechanism of action is unknown.

L'administration de décanoate d'halopéridol dans l'huile de sésame entraîne une libération lente et soutenue de l'halopéridol. Les concentrations plasmatiques d'alopéridol augmentent progressivement, atteignant un pic environ 6 jours après l'injection et tombant par la suite avec une demi-vie apparente d'environ 3 semaines. Des concentrations plasmatiques à l'état d'équilibre sont obtenues après la troisième ou la quatrième dose. La relation entre la dose de décanoate d'halopéridol et la concentration plasmatique d'halopéridol est à peu près linéaire pour des doses inférieures à 450 mg. Il convient cependant de noter que la pharmacocinétique de l'halopéridol décanoate après des injections intramusculaires peut être assez variable entre les sujets.

Informations sur les patients pour haldol decanoate

L'halopéridol decanoate peut altérer les capacités mentales et / ou physiques nécessaires pour l'exécution de tâches dangereuses telles que les machines à opération ou la conduite d'un véhicule à moteur. Le patient ambulatoire doit être averti en conséquence.

L'utilisation d'alcool avec ce médicament doit être évitée en raison des effets additifs possibles et de l'hypotension.