Les Informations Présentées Sur Ce Site Ne Constituent Pas Un Avis Médical. Nous Ne Vendons Rien. L'Exactitude De La Traduction N'Est Pas Garantie. Clause De Non-Responsabilité



Lamisil

Résumé

Qu'est-ce que Lamisil?

Lamisil (chlorhydrate de terbinafine) est un antifongique antibiotique utilisé pour traiter les infections causées par champignon qui affectent les ongles ou les ongles (onychomycose). Les granules oraux sont utilisés pour traiter une infection fongique de follicules pileux du cuir chevelu chez les enfants âgés d'au moins 4 ans. Lamisil est disponible en générique formulaire.

Quels sont les effets secondaires de lamisil?

Lamisil peut provoquer des effets secondaires graves, notamment:



  • changements dans votre sens de goût ou odeur
  • humeur déprimée
  • problèmes de sommeil
  • manque d'intérêt pour l'activité quotidienne
  • Se sentir anxieux ou agité
  • peau pâle
  • ecchymoses faciles
  • Saignement inhabituel (bouche de nez vagin ou rectum)
  • taches ponctuelles violettes ou rouges sous votre peau
  • gonflement
  • gain de poids rapide
  • peu ou pas d'uriner
  • sang dans votre urine ou tabourets
  • Perte de poids due aux changements de goût ou à la perte d'appétit
  • nausée
  • Douleurs du haut de l'estomac
  • vomissement
  • fatigue
  • urine sombre
  • tabourets de couleur argile
  • jaunissement de la peau ou des yeux ( jaunisse )
  • des plaies de peau et
  • Éruption cutanée en forme de papillon sur vos joues ou le nez qui s'aggrave au soleil

Obtenez de l'aide médicale immédiatement si vous présentez l'un des symptômes énumérés ci-dessus.



Les effets secondaires courants de lamisil comprennent

  • diarrhée
  • maux d'estomac
  • gaz
  • nausée
  • douleurs à l'estomac
  • diarrhée
  • mal de tête
  • vertiges
  • sensation de rotation
  • éruption cutanée douce
  • démangeaisons ou
  • Test ou perte de goût inhabituel ou désagréable temporaire dans votre bouche.

Dosage pour lamisil

Pour traiter ongle onychomycose La dose de lamisil est d'un comprimé de 250 mg une fois par jour pendant 6 semaines. Pour ongle



Quelles substances ou suppléments de médicaments interagissent avec lamisil?

Lamisil peut interagir avec la cimétidine rifampin d'autres antibiotiques antifongiques diluer sang antidépresseurs Inhibiteurs du MAO (MAOI) ou bêta-bloquants. Dites à votre médecin tous les médicaments que vous utilisez.

Lamisil pendant la grossesse et l'allaitement

Pendant la grossesse, le lamisil ne doit être utilisé que lorsqu'il est prescrit. Le traitement par infection aux ongles fongique peut généralement attendre après avoir eu votre bébé. Ce médicament passe dans le lait maternel et peut avoir des effets indésirables sur un nourrisson infirmier. L'allaitement maternel n'est pas recommandé lors de l'utilisation de ce médicament.

Informations Complémentaires

Notre centre de médicaments à effets secondaires de lamisil (chlorhydrate de terbinafine) offre une vue complète des informations sur les médicaments disponibles sur les effets secondaires potentiels lors de la prise de ce médicament.

Informations sur les médicaments de la FDA

Description de lamisil

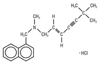
Les comprimés de lamisil contiennent le chlorhydrate de terbinafine composé antifongique synthétique. Le chlorhydrate chimiquement terbinafine est (E) -N- (66-diméthyl-2-hepten-4-ynyl) -n-méthyl-1- naphtalenéméméthanamine. La formule empirique C 21 H 26 CIN avec un poids moléculaire de 327,90 et la formule structurelle suivante:

Le chlorhydrate de terbinafine est une poudre cristalline fine blanche à blanche. Il est librement soluble dans le méthanol et le chlorure de méthylène soluble dans l'éthanol et légèrement soluble dans l'eau.

Chaque tablette contient:

Ingrédients actifs: chlorhydrate de terbinafine (équivalent à 250 mg de base)

Ingrédients inactifs: dioxyde de silicium colloïdal NF Hydroxypropyl méthylcellulose USP Magnésium stéarate NF Microcristallins NF et Glycolate de sodium Glycolate NF.

Utilisations pour lamisil

Les comprimés de lamisil (chlorhydrate de terbinafine) sont indiqués pour le traitement de l'onychomycose de l'ongle ou de la ongle due aux dermatophytes (Tinea unguium).

Avant de lancer un traitement, des échantillons de clous appropriés pour les tests de laboratoire [culture fongique de préparation de l'hydroxyde de potassium (KOH) ou biopsie des ongles] doivent être obtenus pour confirmer le diagnostic de l'onychomycose.

Dosage pour lamisil

Onychomycose de la ongle: Un comprimé de 250 mg une fois par jour pendant 6 semaines.

Onychomycose de l'ongle: Un comprimé de 250 mg une fois par jour pendant 12 semaines.

L'effet clinique optimal est observé quelques mois après la guérison mycologique et la cessation du traitement. Cela est lié à la période requise pour la croissance des ongles sains.

Comment fourni

Formes et forces posologiques

Comprimé 250 mg blanc à blanc circulaire blanc circulaire de comprimés biseautés imprimés avec lamissil sous forme circulaire d'un côté et code 250 de l'autre côté.

Stockage et manipulation

Comprimés de lamisil sont fournies comme des comprimés bi coulants bi-convexes blancs blancs à jaune contenant 250 mg de terbinafine imprimé avec lamissil sous forme circulaire d'un côté et le code 250 de l'autre.

Bouteilles de 100 comprimés NDC 0078-0179-05
Bouteilles de 30 comprimés NDC 0078-0179-15

Stocker les comprimés de lamisil en dessous de 25 ° C (77 ° F); dans un récipient serré. Protéger de la lumière.

Distribué par: Novartis Pharmaceuticals Corporation East Hanover New Jersey 07936. Révisé: février 2015

Effets secondaires for Lamisil

Expérience des essais cliniques

Étant donné que les essais cliniques sont menés dans des conditions de réaction indésirables très variables dans les essais cliniques d'un médicament ne peuvent pas être directement comparés aux taux dans les essais cliniques d'un autre médicament et peuvent ne pas refléter les taux observés dans la pratique.

Les événements indésirables les plus fréquemment signalés observés dans les 3 essais contrôlés par placebo américain / canadien sont répertoriés dans le tableau ci-dessous. Les événements indésirables signalés comprennent des symptômes gastro-intestinaux (y compris la dyspepsie de la diarrhée et les douleurs abdominales) anomalies du foie des éruptions cutanées prurit d'urticaire et perturbations gustatives. Des changements dans la lentille oculaire et la rétine ont été signalés à la suite de l'utilisation de comprimés lamisil dans des essais contrôlés. La signification clinique de ces changements est inconnue. En général, les événements indésirables étaient un léger transitoires et n'ont pas conduit à l'arrêt de la participation de l'étude.

Événement indésirable Arrêt
Comprimés de lamisil (%)
n = 465
Placebo (%)
n = 137
Comprimés de lamisil (%)
n = 465
Placebo (%)
n = 137
Mal de tête 12.9 9.5 0.2 0.0
Symptômes gastro-intestinaux:
Diarrhée 5.6 2.9 0.6 0.0
Dyspepsie 4.3 2.9 0.4 0.0
Douleurs abdominales 2.4 1.5 0.4 0.0
Nausée 2.6 2.9 0.2 0.0
Flatulence 2.2 2.2 0.0 0.0
Symptômes dermatologiques:
Éruption cutanée 5.6 2.2 0.9 0.7
Prurit 2.8 1.5 0.2 0.0
Urticaire 1.1 0.0 0.0 0.0
Anomalies enzymatiques du foie * 3.3 1.4 0.2 0.0
Perturbation du goût 2.8 0.7 0.2 0.0
Perturbation visuelle 1.1 1.5 0.9 0.0
* Anomalies des enzymes hépatiques ≥ 2x La limite supérieure de la plage normale.

Expérience de commercialisation de la poste

Les événements indésirables suivants ont été identifiés lors de l'utilisation post-approbation des comprimés lamisil. Parce que ces événements sont signalés volontairement à partir d'une population de taille incertaine, il n'est pas toujours possible d'estimer de manière fiable leur fréquence ou d'établir une relation causale à l'exposition aux médicaments.

Troubles du système sanguin et lymphatique: Pancytopénie agranulocytose grave neutropénie thrombocytopénie anémie [voir Avertissements et PRÉCAUTIONS ]

Troubles du système immunitaire: Réactions d'hypersensibilité graves, par exemple Les précipitations et l'exacerbation des réactions allergiques (y compris l'anaphylaxie) et l'exacerbation du lupus érythémateux cutané et systémique [voir Avertissements et PRÉCAUTIONS ] réaction de maladie du sérum

Troubles psychiatriques: L'anxiété et les symptômes dépressifs indépendants de la perturbation du goût ont été signalés avec l'utilisation de comprimés lamisil. Dans certains cas, des symptômes dépressifs auraient disparu avec l'arrêt de la thérapie et se réapparaître avec la réinstitution du traitement [voir Avertissements et PRÉCAUTIONS ].

Troubles du système nerveux: Des cas de troubles du goût, y compris la perte de goût, ont été signalés avec l'utilisation de comprimés lamisil. Il peut être suffisamment grave pour entraîner une diminution de l'anxiété de perte de poids des aliments et des symptômes dépressifs. Des cas de perturbation des odeurs, y compris une perte d'odeur, ont été signalés avec l'utilisation de comprimés lamisil [voir Avertissements et PRÉCAUTIONS ]. Cases of paresthesia et hypoesthesia have been reported with the use of Comprimés de lamisil.

Troubles oculaires: Défauts de champ visuel réduit l'acuité visuelle

Troubles de l'oreille et du labyrinthe: Trouble auditif vertige des acouphènes

Troubles vasculaires: Vascularite

Troubles gastro-intestinaux: Pancréatite vomissements

Troubles hépatobiliaires: Cas d'insuffisance hépatique, certains conduisant à une transplantation hépatique ou à la mort [voir Avertissements et PRÉCAUTIONS ] lésions hépatiques idiosyncratiques et symptomatiques. Cas de cholestase de l'hépatite et d'augmentation des enzymes hépatiques [voir Avertissements et PRÉCAUTIONS ] ont été vus avec l'utilisation de comprimés lamisil.

Troubles de la peau et des tissus sous-cutanés: Réactions cutanées graves [par exemple Syndrome de Stevens-Johnson Nécrolyse épidermique toxique Érythème multiforme multiforme dermatite dermatite bulleuse et réaction médicamenteuse avec l'éosinophilie et les symptômes systémiques (robe) Syndrome] [voir Avertissements et PRÉCAUTIONS ] Pustulose exanthémateuse généralisée aiguë éruptions ou exacerbation des réactions de photosensibilité du psoriasis Perte de cheveux

Troubles du tissu musculo-squelettique et conjonctif: Rhabdomyolyse arthralgia myalgie

Troubles généraux et conditions du site d'administration: Malaise fatigue de la grippe pyrexie

Investigations: Le temps altéré de la prothrombine (prolongation et réduction) chez les patients traités de manière concomitante avec de la warfarine et une augmentation de la créatine phosphokinase a été signalée

Interactions médicamenteuses for Lamisil

Interactions médicament-médicament

En vain Des études ont montré que la terbinafine est un inhibiteur de l'isozyme CYP450 2D6. Les médicaments principalement métabolisés par l'isozyme CYP450 2D6 incluent les classes de médicaments suivantes: Tricyclique antidépresseurs sérotonine sélective réapprovisionnement inhibitors beta-blockers antiarrhythmics class 1C (e.g. flecainide and propafenone) and monoamine oxidase inhibitors Type B. Coadministration of Lamisil Tablets should be done with careful monitoring and may require a reduction in dose of the 2D6- metabolized drug. In a study to assess the effects of terbinafine on desipramine in healthy volunteers characterized as normal metabolizers the administration of terbinafine resulted in a 2-fold increase in Cmax and a 5-fold increase in area under the curve (AUC). In this study these effects were shown to persist at the last observation at 4 weeks after discontinuation of Lamisil Tablets. In studies in healthy subjects characterized as extensive metabolizers of dextrométhorphane (Substrat de sonde antitusisif et de sonde CYP2D6) La terbinafine augmente le rapport de métabolite de dextrométhorphane / dextrorphane dans l'urine de 16 à 97 fois en moyenne. Ainsi, la terbinafine peut convertir des métaboliseurs CYP2D6 étendus en mauvais statut de métabolisation.

In vitro Des études avec des microsomes hépatiques humains ont montré que la terbinafine n'inhibe pas le métabolisme du tolbutamide éthinylestradiol éthoxycoumarine cyclosporine cisapride et fluvastatine. En vain Des études d'interaction médicamenteuses menées chez des sujets volontaires sains ont montré que la terbinafine n'affecte pas la clairance de l'antipyrine ou de la digoxine. La terbinafine diminue la clairance de la caféine de 19%. La terbinafine augmente la clairance de la cyclosporine de 15%.

L'influence de la terbinafine sur la pharmacocinétique du fluconazole cotrimoxazole (triméthoprime et sulfaméthoxazole) zidovudine ou théophylline n'a pas été considérée comme cliniquement significative.

La co-administration d'une seule dose de fluconazole (100 mg) avec une seule dose de terbinafine a entraîné une augmentation de 52% et 69% de la terbinafine CMAX et AUC respectivement. Le fluconazole est un inhibiteur des enzymes CYP2C9 et CYP3A. Sur la base de cette constatation, il est probable que d'autres inhibiteurs de CYP2C9 et CYP3A4 (par exemple le kétoconazole amiodarone) peuvent également entraîner une augmentation substantielle de l'exposition systémique (CMAX et AUC) de la terbinafine lorsqu'ils sont administrés concomitants.

Il y a eu des rapports spontanés d'augmentation ou de diminution des temps de prothrombine chez les patients prenant de manière concomitante la terbinafine orale et la warfarine, mais une relation causale entre les comprimés de lamisil et ces changements n'ont pas été établies.

La clairance de la terbinafine est augmentée de 100% par l'inducteur de l'enzyme du rifampin A CYP450 et a diminué de 33% par l'inhibiteur de l'enzyme CYP450 de la cimétidine A CYP450. La clairance des terbinafines n'est pas affectée par la cyclosporine. Il n'y a pas d'informations disponibles à partir d'études d'interaction médicament-médicament adéquates avec les classes de médicaments suivantes: Contraceptifs oraux Thérapies de remplacement d'hormones Hypoglycémiques phénytoïnes Thiazide Diurétiques et bloqueurs de canaux calciques.

Interactions alimentaires

Une évaluation de l'effet des aliments sur les comprimés de lamisil a été réalisée. Une augmentation de moins de 20% de l'ASC de terbinafine a été observée lorsque les comprimés de lamisil ont été administrés avec de la nourriture. Les comprimés de lamisil peuvent être pris avec ou sans nourriture.

Avertissements pour lamisil

Inclus dans le cadre du PRÉCAUTIONS section.

Précautions pour lamisil

Hépatotoxicité

Des cas d'insuffisance hépatique conduisant à une transplantation hépatique ou à une mort ont eu lieu avec l'utilisation de comprimés de lamisil chez les personnes atteintes de maladie hépatique et sans maladie hépatique préexistante.

Dans la majorité des cas hépatiques signalés en association avec l'utilisation de comprimés de lamisil, les patients avaient de graves conditions systémiques sous-jacentes. La gravité des événements hépatiques et / ou de leur résultat peut être pire chez les patients atteints d'une maladie hépatique active ou chronique. Le traitement avec les comprimés lamisil doit être interrompu biochimique ou des preuves cliniques de lésions hépatiques se développent.

Comprimés de lamisil are not recommended for patients with chronic or active liver disease. Before prescribing Comprimés de lamisil liver function tests should be performed since hepatotoxicity may occur in patients with et without pre-existing liver disease. Periodic monitoring of liver function tests is recommended. Lamisil should be immediately discontinued in case of elevation of liver function tests. Patients prescribed Comprimés de lamisil should be warned to report immediately to their physician any symptoms of persistent nausée anorexia fatigue vomissement right upper abdominal pain or jaunisse urine sombre or pale stools. Patients with these symptoms should discontinue taking oral terbinafine et the patient’s liver function should be immediately evaluated.

Perturbation du goût Including Loss of Taste

Des troubles du goût, y compris la perte de goût, ont été signalés avec l'utilisation de comprimés lamisil. Il peut être suffisamment grave pour entraîner une diminution de l'anxiété de perte de poids des aliments et des symptômes dépressifs. La perturbation du goût peut se résoudre dans les deux semaines après l'arrêt du traitement mais peut être prolongée (supérieure à 1 an) ou peut être permanente. Si les symptômes d'une perturbation du goût se produisent des comprimés de lamisil doivent être interrompus.

La perturbation de l'odeur, y compris la perte d'odeur

La perturbation de l'odeur, y compris la perte d'odeur, a été signalée avec l'utilisation de comprimés lamisil. La perturbation de l'odeur peut se résoudre après l'arrêt du traitement mais peut être prolongée (supérieure à 1 an) ou peut être permanente. Si les symptômes d'une perturbation de l'odeur se produisent des comprimés de lamisil doivent être interrompus.

Symptômes dépressifs

Des symptômes dépressifs se sont produits lors de l'utilisation postale des comprimés de lamisil. Les prescripteurs doivent être attentifs au développement de symptômes dépressifs et les patients doivent être invités à signaler les symptômes dépressifs à leur médecin.

Effets hématologiques

Des diminutions transitoires du nombre de lymphocytes absolues (ALC) ont été observées dans des essais cliniques contrôlés. Dans les essais contrôlés par placebo 8/465 sujets recevant des comprimés de lamisil (NULL,7%) et 3/137 sujets recevant un placebo (NULL,2%) avaient une diminution de l'ALC à moins de 1000 / mm³ à 2 reprises ou plus. Chez les patients atteints d'immunodéficience connue ou suspectée, les médecins devraient envisager de surveiller les numéros sanguins complets si le traitement se poursuit pendant plus de 6 semaines. Cas de sévère neutropénie ont été signalés. Ceux-ci étaient réversibles lors de l'arrêt des comprimés lamisil avec ou sans traitement de soutien. Si des signes et symptômes cliniques suggérant une infection secondaire se produisent, une numération sanguine complète doit être obtenue. Si le nombre de neutrophiles est ≤ 1000 cellules / mm³ Les comprimés lamisil doivent être interrompus et la gestion de soutien a commencé.

Réactions de peau / hypersensibilité graves

Il y a eu des rapports post-commercialisation de graves réactions cutanées / hypersensibilité [par ex. Syndrome de Stevens-Johnson éosinophilie et les symptômes systémiques (robe) syndrome]. Les manifestations du syndrome vestimentaire peuvent inclure une réaction cutanée (comme une éruption cutanée ou une dermatite exfoliative) l'éosinophilie et une ou plusieurs complications organiques telles que l'hépatite pneumonite néphrite myocardite et péricardite. Si une éruption cutanée progressive ou des signes / symptômes des réactions médicamenteuses ci-dessus se produisent avec le traitement avec les comprimés de lamisil doit être interrompue.

Loup érythémateux

Pendant l'expérience du marché postal, précipitations et exacerbation de cutanée et systémique lupus Des érythèmes ont été signalés chez des patients prenant des comprimés de lamisil. Les comprimés de lamisil doivent être interrompus chez les patients présentant des signes et symptômes cliniques suggérant le lupus érythémateux.

Surveillance en laboratoire

La mesure des transaminases sériques (ALT et AST) est conseillée pour tous les patients avant de prendre des comprimés lamisil.

Informations de conseil des patients

Voir Étiquetage des patients approuvé par la FDA ( Informations sur les patients )

Les patients prenant des comprimés lamisil doivent recevoir les informations et instructions suivantes:

  • Conseiller aux patients de se présenter immédiatement à leur médecin ou d'obtenir une aide d'urgence s'ils ressentent l'un des symptômes suivants: les esclaves à l'urgence boursouflées et le pelage de l'enflure de la peau des lèvres du visage Longue ou la gorge difficulté à avaler ou à respirer. Le traitement des comprimés de lamisil doit être interrompu.
  • Conseiller aux patients de signaler immédiatement à leur médecin les symptômes de nausées persistantes anorexie en vomissements vomissements à droite douleurs abdominales supérieures urines foncées ou tabourets pâles. Le traitement des comprimés de lamisil doit être interrompu.
  • Conseiller aux patients de signaler à leur médecin tout signe de perturbation de perturbation du goût perturbation et / ou de symptômes dépressifs fièvre éruption cutanée éruption lymphatique élargissement de l'érythème élargissant la perte de pigment et de photosensibilité inhabituelle qui peut entraîner une éruption cutanée. Le traitement des comprimés de lamisil doit être interrompu.
  • Conseiller aux patients de minimiser l'exposition au soleil naturel et artificiel (lits de bronzage ou traitement UVA / B) tout en utilisant des comprimés lamisil.
  • Conseillez les patients que s'ils oublient de prendre des comprimés lamisil pour prendre leurs comprimés dès qu'ils se souviennent, à moins qu'il ne soit moins de 4 heures avant le dose de la prochaine dose. Conseiller aux patients d'appeler leur médecin s'ils prennent trop de comprimés lamisil.

Toxicologie non clinique

Carcinogenèse Mutagenèse A trouble de la fertilité

Dans une étude de cancérogénicité orale de 28 mois chez le rat, une augmentation de l'incidence des tumeurs hépatiques a été observée chez les hommes à la dose la plus élevée testée 69 mg / kg / jour (2x le MRHD sur la base des comparaisons AUC de la terbinafine parent); Cependant, même si la toxicité limitant la dose n'a pas été obtenue à la dose de dose la plus élevée, les doses plus élevées n'ont pas été testées.

Les résultats d'une variété de in vitro (Mutations dans E. coli et S. typhimurium Réparation de l'ADN dans la mutagénicité des hépatocytes de rat dans l'aberration chromosomique des fibroblastes de hamster chinois et les échanges chromatides sœurs dans les cellules pulmonaires chinoises du hamster) et en vain (Aberration chromosomique chez les hamsters chinois Test de micronucléus chez la souris) Les tests de génotoxicité n'ont donné aucune preuve d'un potentiel mutagène ou clastogène.

Les études de reproduction orale chez le rat à des doses allant jusqu'à 300 mg / kg / jour (environ 12 fois la MRHD basée sur les comparaisons BSA) n'ont révélé aucun effet spécifique sur la fertilité ou d'autres paramètres de reproduction. L'application intravaginale de chlorhydrate de terbinafine à 150 mg / jour chez les lapins enceintes n'a pas augmenté l'incidence des avortements ou des livraisons prématurées ni affecté les paramètres fœtaux.

Utiliser dans des populations spécifiques

Grossesse

Grossesse Category B

Il n'y a pas d'études adéquates et bien contrôlées chez les femmes enceintes. Étant donné que les études de reproduction animale ne sont pas toujours prédictives de la réponse humaine et parce que le traitement de l'onychomycose peut être reporté avant la fin de la grossesse, il est recommandé de ne pas être initié pendant la grossesse.

Des études de reproduction orale ont été réalisées chez le lapin et les rats à des doses allant jusqu'à 300 mg / kg / jour [12x à 23x la dose humaine maximale recommandée (MRHD) chez le lapin et les rats respectivement sur la base de la surface corporelle (BSA) des comparaisons due à la terbina nul.

Mères qui allaitent

Après l'administration orale, la terbinafine est présente dans le lait maternel des mères infirmières. Le rapport de la terbinafine dans le lait au plasma est de 7: 1. Le traitement avec des comprimés lamisil n'est pas recommandé chez les femmes qui infirment.

Usage pédiatrique

L'innocuité et l'efficacité des comprimés de lamisil n'ont pas été établies chez les patients pédiatriques atteints d'onychomycose.

Utilisation gériatrique

Les études cliniques sur les comprimés de lamisil ne comprenaient pas un nombre suffisant de sujets âgés de 65 ans et plus pour déterminer s'ils réagissent différemment des sujets plus jeunes. D'autres expériences cliniques signalées n'ont pas identifié de différences dans les réponses entre les patients âgés et les patients plus jeunes. En général, la sélection de la dose pour un patient âgé doit être prudente qui commence généralement à l'extrémité inférieure de la plage de dosage reflétant la plus grande fréquence de diminution de la fonction rénale ou cardiaque hépatique et de maladie concomitante ou autre médicament.

Trouble rénal

Chez les patients atteints de troubles rénaux (autorisation de créatinine inférieure ou égale à 50 ml / min), l'utilisation de comprimés de lamisil n'a pas été suffisamment étudiée.

Informations sur la surdose pour lamisil

L'expérience clinique concernant la surdose avec la terbinafine orale est limitée. Des doses allant jusqu'à 5 grammes (20 fois la dose quotidienne thérapeutique) ont été prises sans induire de graves effets indésirables. Les symptômes de la surdose comprenaient des nausées vomissements abdominaux étourdissements éruption cutanée et maux de tête fréquents.

Contre-indications pour lamisil

Comprimés de lamisil are contraindicated in individuals with a history of allergic reaction to oral terbinafine because of the risk of anaphylaxis.

Pharmacologie clinique for Lamisil

Mécanisme d'action

La terbinafine est une allylamine antifongique [voir Microbiologie ].

Pharmacodynamique

La pharmacodynamique des comprimés de lamisil est inconnue.

Pharmacocinétique

Après l'administration orale, la terbinafine est bien absorbée (> 70%) et la biodisponibilité des comprimés de lamisil en raison du métabolisme de premier passage est d'environ 40%. Les concentrations plasmatiques maximales de 1 μg / ml apparaissent dans les 2 heures après une seule dose de 250 mg; L'AUC est d'environ 4,56 μg

Dans le plasma, la terbinafine est liée> 99% aux protéines plasmatiques et il n'y a pas de sites de liaison spécifiques. À l'état d'équilibre par rapport à une dose unique, la concentration maximale de terbinafine est 25% plus élevée et l'ASC plasmatique augmente d'un facteur de 2,5; L'augmentation de l'ASC plasmatique est cohérente avec une demi-vie efficace d'environ 36 heures. La terbinafine est distribuée au sébum et à la peau. Une demi-vie terminale de 200 à 400 heures peut représenter la lente élimination de la terbinafine des tissus tels que la peau et l'adipeuse. Avant l'excrétion, la terbinafine est largement métabolisée par au moins 7 isoenzymes CYP avec des contributions majeures de CYP2C9 CYP1A2 CYP3A4 CYP2C8 et CYP2C19. Aucun métabolite n'a été identifié qui a une activité antifongique similaire à la terbinafine. Environ 70% de la dose administrée est éliminée dans l'urine.

Chez les patients souffrant de troubles rénaux (clairance de la créatinine ≤ 50 ml / min) ou de cirrhose hépatique, la clairance de la terbinafine est diminuée d'environ 50% par rapport aux volontaires normaux. Aucun effet du sexe sur les taux sanguins de la terbinafine n'a été détecté dans les essais cliniques. Aucun changement en fonction de l'âge cliniquement pertinent dans les concentrations plasmatiques à l'état d'équilibre de terbinafine n'a été signalée.

Microbiologie

Terbinafine Une allylamine antifongique inhibe la biosynthèse de l'ergostérol une composante essentielle de la membrane cellulaire fongique via l'inhibition de l'enzyme de squalène époxydase. Il en résulte une mort cellulaire fongique principalement en raison de l'augmentation de la perméabilité de la membrane médiée par l'accumulation de concentrations élevées de squalène mais pas en raison d'une carence en ergostérol. Selon la concentration du médicament et le test des espèces fongiques in vitro Le chlorhydrate de terbinafine peut être fongicide. Cependant, la signification clinique de in vitro Les données sont inconnues.

La terbinafine s'est avérée active contre la plupart des souches des micro-organismes suivants in vitro et in clinical infections:

Trichophyton mentagrophytes
Rubrum de Trichophyton

Ce qui suit in vitro Les données sont disponibles mais leur signification clinique est inconnue. In vitro La terbinafine présente des micro satisfaisants contre la plupart des souches des micro-organismes suivants; Cependant, l'innocuité et l'efficacité de la terbinafine dans le traitement des infections cliniques en raison de ces micro-organismes n'ont pas été établies dans des essais cliniques adéquats et bien contrôlés:

Candida albicans
Epidermophyton Floccosum

Le but des Brevicaoulis

Toxicologie et / ou pharmacologie animale

Une large gamme de en vain Études chez les chiens et singes de souris et in vitro Des études utilisant le singe de rat et les hépatocytes humains suggèrent que la prolifération du peroxysome dans le foie est une découverte spécifique au rat. Cependant, d'autres effets, notamment l'augmentation du poids du foie et l'APTT, se sont produits chez les chiens et les singes à des doses donnant des niveaux de css à csS de la terbinafine parent 2-3x ceux observés chez l'homme au MRHD. Des doses plus élevées n'ont pas été testées.

Études cliniques

L'efficacité des comprimés de lamisil dans le traitement de l'onychomycose est illustrée par la réponse des sujets présentant des infections à l'ongle et / ou aux ongles qui ont participé à 3 essais cliniques contrôlés par un placebo américain / canadien.

Les résultats du premier essai d'ongle tel qu'évalué à la semaine 48 (12 semaines de traitement avec un suivi de 36 semaines après la fin de la thérapie) ont démontré une guérison mycologique définie comme une occurrence simultanée de la culture négative de KOH plus négative chez 70% des sujets. Cinquante-neuf pour cent (59%) des sujets ont subi un traitement efficace (remède mycologique plus 0% d'atteinte des ongles ou> 5 mm de nouvelle croissance des ongles non affectés); 38% des sujets ont démontré une guérison mycologique plus la guérison clinique (0% d'implication des ongles).

Dans un deuxième essai de l'ongle d'onychomycose dermatophytique dans laquelle les non-dermatophytes ont également cultivé une efficacité similaire contre les dermatophytes ont été démontrés. Le rôle pathogène des non-dermatophytes cultivés en présence d'une onychomycose dermatophytique n'a pas été établi. La signification clinique de cette association est inconnue.

Les résultats de l'essai de ongle évalué à la semaine 24 (6 semaines de traitement avec un suivi de 18 semaines après la fin de la thérapie) ont démontré une guérison mycologique chez 79% des sujets effectivement un traitement chez 75% des sujets et un remède mycologique plus la guérison clinique chez 59% des sujets.

Le délai moyen vers le succès global était d'environ 10 mois pour le premier essai d'ongle et 4 mois pour l'essai de ongle. Dans le premier essai d'ongle pour les sujets, évalué au moins 6 mois après avoir atteint un remède clinique et au moins 1 an après avoir terminé le traitement avec les comprimés de lamisil, le taux de rechute clinique était d'environ 15%.

Informations sur les patients pour lamisil

Lamisil
(Lam-i-Sil)
(comprimés de chlorhydrate terbinafine)

Que sont les comprimés lamisil?

Comprimés de lamisil is a prescription antifungal medicine used to treat fungal infections of the ongles et ongles (onychomycosis).

Votre médecin doit faire des tests pour vous consulter une infection fongique de vos ongles avant de commencer les comprimés de lamisil.

On ne sait pas si les comprimés de lamisil sont sûrs et efficaces chez les enfants pour le traitement de l'onychomycose.

Qui ne devrait pas prendre de comprimés lamisil?

Ne prenez pas les comprimés de lamisil si vous êtes allergique à un chlorhydrate de terbinafine lorsque vous êtes pris par la bouche.

Que dois-je dire à mon médecin avant de prendre des comprimés lamisil?

Avant de prendre des comprimés lamisil, dites à votre médecin si vous:

  • avoir ou avoir des problèmes de foie
  • ont un système immunitaire affaibli (immunodéprimé)
  • avoir du lupus (une maladie auto-immune)
  • avoir d'autres conditions médicales
  • sont enceintes ou prévoient de devenir enceintes. On ne sait pas si les comprimés de lamisil nuiront à votre bébé à naître. Vous ne devez pas commencer à prendre des comprimés lamisil pendant la grossesse sans parler avec votre médecin.
  • allaitent ou prévoient d'allaiter. Lamisil peut passer dans votre lait maternel et peut nuire à votre bébé. Parlez à votre médecin de la meilleure façon de nourrir votre bébé si vous prenez des comprimés lamisil.

Parlez à votre médecin de tous les médicaments que vous prenez y compris les médicaments sur ordonnance et en vente libre des vitamines et des suppléments à base de plantes.

Comprimés de lamisil may affect the way other medicines work et other medicines may affect how Comprimés de lamisil work. Especially tell your doctor if you take:

  • Un médicament pour la dépression
  • Un médicament pour l'hypertension artérielle
  • Un médicament pour les problèmes cardiaques
  • Desipramine (norpram)
  • caféine
  • cyclosporine (Gengraf Neoral Sandimmune)
  • fluconazole (diflucan)
  • SATER (rimadin rimactane lasé du rifateer)
  • cimétidine (tagamet)

Si vous ne savez pas si votre médicament est répertorié ci-dessus, demandez à votre médecin ou à votre pharmacien.

Connaissez les médicaments que vous prenez. Gardez une liste d'entre eux pour montrer votre médecin et votre pharmacien lorsque vous obtenez un nouveau médicament.

Comment dois-je prendre des comprimés lamisil?

  • Prenez des comprimés lamisil exactement comme votre médecin vous dit de le prendre.
  • Lamisil comes as a tablet that you take by mouth.
  • Comprimés de lamisil are usually taken:
    • 1 temps chaque jour pendant 6 semaines pour traiter les infections fongiques de votre ongle ou
    • 1 fois chaque jour pendant 12 semaines pour traiter les infections fongiques de votre ongle
  • Comprimés de lamisil can be taken with or without food.
  • Si vous manquez une dose de comprimés lamisil, prenez-le dès que vous vous en souvenez. S'il est moins de 4 heures avant votre prochaine dose, sautez la dose manquée. Prenez simplement la prochaine dose à votre heure régulière.

Si vous prenez trop de comprimés lamisil, appelez votre médecin. Vous pouvez avoir les symptômes suivants:

Effets secondaires à long terme de la neulasta
  • nausée
  • vomissement
  • Pain d'estomac (abdomen)
  • vertiges
  • éruption cutanée
  • miction fréquente
  • mal de tête

Que dois-je éviter en prenant des comprimés lamisil?

  • Évitez la lumière du soleil. Les comprimés de lamisil peuvent rendre votre peau sensible au soleil et à la lumière des lampes solaires et des lits de bronzage. Vous pouvez obtenir un grave coup de soleil. Utilisez un écran solaire et portez un chapeau et des vêtements qui couvrent votre peau si vous devez être au soleil. Parlez à votre médecin si vous obtenez des coups de soleil.

Quels sont les effets secondaires possibles des comprimés lamisil?

Comprimés de lamisil may cause serious side effects including:

  • Problèmes hépatiques qui peuvent entraîner la nécessité d'une plante trans du foie ou d'une mort. Dites immédiatement votre médecin si vous obtenez l'un de ces symptômes d'un problème de foie:
    • nausée
    • Douleur de la région de l'estomac en haut à droite (abdomen)
    • mauvais appétit
    • jaunissement de votre peau ou de vos yeux (jaunisse)
    • fatigue
    • urine foncée (couleur thé)
    • vomissement
    • tabourets de couleur pâle ou claire

Votre médecin doit faire un test sanguin pour vous consulter des problèmes de foie avant de prendre des comprimés lamisil.

  • Changement de goût ou de goût Peut se produire avec les comprimés lamisil et peut être grave. Cela peut s'améliorer dans plusieurs semaines après avoir cessé de prendre des comprimés lamisil, mais peut durer longtemps ou peut devenir permanent. Dites à votre médecin si vous avez:
    • Changement de goût ou de perte de goût
    • mauvais appétit
    • perte de poids indésirable
    • anxiété
    • Changement d'humeur ou de symptômes dépressifs
  • Changement d'odeur ou de perte d'odeur peut se produire avec les comprimés lamisil. Cela peut s'améliorer après avoir cessé de prendre des comprimés lamisil, mais peut durer longtemps ou peut devenir permanent.
  • symptômes dépressifs. Dites immédiatement votre médecin si vous avez l'un de ces signes ou symptômes:
    • se sentir triste ou sans valeur
    • Changement du modèle de sommeil
    • Perte d'énergie ou d'intérêt pour les activités quotidiennes
    • agitation
    • changements d'humeur
  • Nombre de globules blancs faible. Les personnes prenant des comprimés de lamisil peuvent avoir une diminution des globules blancs, en particulier les neutrophiles. Vous pouvez avoir un risque plus élevé d'obtenir une infection lorsque votre Nombre de globules blancs est bas.
  • Reactions de peau grave ou allergique. Dites immédiatement votre médecin ou obtenez une aide d'urgence si vous obtenez l'un de ces symptômes:
    • Les poussées éruptions cutanées dans votre bouche ou vos cloques et vos pelures
    • gonflement of your face eyes lips tongue or throat trouble swallowing or breathing
    • Réaction médicamenteuse avec l'éosinophilie et les symptômes systémiques (robe) Syndrome - Éruptions cutanées Fièvre des glandes lymphatiques gonflées Implication des organes internes
  • Nouveau ou aggravation du lupus (une maladie auto-immune). Arrêtez de prendre des comprimés lamisil et dites à votre médecin si vous obtenez l'un des éléments suivants:
    • L'éruption cutanée progressive qui est un rouge écaillette montre des cicatrices ou une perte de pigment
    • Sensibilité inhabituelle au soleil qui peut conduire à une éruption cutanée

Les effets secondaires les plus courants des comprimés lamisil comprennent:

  • mal de tête
  • diarrhée
  • éruption cutanée
  • estomac renversé
  • Tests de fonction hépatique anormaux
  • démangeaison
  • changement de goût
  • nausée
  • douleur à l'estomac (abdomen)
  • gaz

Dites à votre médecin si vous avez un effet secondaire qui vous dérange ou qui ne disparaît pas.

Ce ne sont pas tous les effets secondaires possibles des comprimés lamisil. Pour plus d'informations, demandez à votre médecin ou à votre pharmacien.

Appelez votre médecin pour des conseils médicaux sur les effets secondaires. Vous pouvez signaler les effets secondaires à la FDA au 1-800-FDA-1088.

Comment dois-je stocker des tablettes lamisil?

  • Stocker les comprimés de lamisil en dessous de 77 ° F (25 ° C)
  • Gardez les comprimés lamisil dans un récipient étroitement fermé et gardez à l'écart de la lumière.

Gardez les comprimés de lamisil et tous les médicaments hors de portée des enfants.

Informations générales sur l'utilisation sûre et efficace des comprimés lamisil.

Les médicaments sont parfois prescrits à des fins autres que celles énumérées dans les informations sur les patients. N'utilisez pas de comprimés lamisil pour une condition pour laquelle il n'a pas été prescrit. Ne donnez pas de comprimés lamisil à d'autres personnes même s'ils présentent les mêmes symptômes que vous. Cela peut leur faire du mal.

Vous pouvez demander à votre pharmacien ou médecin d'informations sur les comprimés de lamisil écrits pour les professionnels de la santé.

Quels sont les ingrédients des comprimés de lamisil?

Ingrédient actif: chlorhydrate de terbinafine

Ingrédients inactifs: dioxyde de silicium colloïdal Hydroxypropyl méthylcellulose magnésium stéarate microcristallin de cellulose de sodium Glycolate

Ces informations sur les patients ont été approuvées par la Food and Drug Administration des États-Unis.