Les Informations Présentées Sur Ce Site Ne Constituent Pas Un Avis Médical. Nous Ne Vendons Rien. L'Exactitude De La Traduction N'Est Pas Garantie. Clause De Non-Responsabilité



Librax

Résumé

Qu'est-ce que Balance?

La bibliothèque (chlordiazépoxyde et bromure de clidinium) est une combinaison d'une benzodiazépine et d'un anticholinergique / spasmolytique utilisé pour traiter les ulcères d'estomac syndrome du côlon irritable et les infections intestinales. Le nom de marque Balance n'est plus disponible aux États-Unis Générique Les versions peuvent être disponibles.

comment puis-je voyager à travers le monde sans argent

Quels sont les effets secondaires de la Balance?

Librax



  • somnolence sévère
  • étourdissement
  • problèmes d'équilibre ou de coordination
  • confusion
  • excitation
  • colère
  • agitation
  • constipation sévère
  • miction douloureuse ou difficulté
  • mouvements musculaires agités dans vos yeux la mâchoire de la langue ou le cou
  • fièvre
  • mal de gorge et
  • jaunissement de la peau ou des yeux ( jaunisse )

Obtenez de l'aide médicale immédiatement si vous présentez l'un des symptômes énumérés ci-dessus.



Les effets secondaires courants de la bibliothèque (chlordiazépoxyde et bromure de clidinium) comprennent:

  • vertiges
  • somnolence
  • fatigue
  • faiblesse
  • vision floue
  • sécher les yeux
  • bouche sèche
  • nausée
  • vomissement
  • constipation
  • ballonnements abdominaux
  • gonflement
  • éruption cutanée et
  • périodes menstruelles irrégulières.

Dites à votre médecin si vous avez des effets secondaires improbables mais graves de la Balance (chlordiazépoxyde et bromure de clidinium), notamment:



  • diminution de la transpiration
  • peau sèche / chaude / rouchée
  • rythme cardiaque rapide ou irrégulier
  • perte de coordination
  • discours
  • évanouissement
  • mouvements musculaires incontrôlables ou inhabituels
  • Changements mentaux / d'humeur (comme l'agitation de confusion dépression excitation inhabituelle ou pensées étranges)
  • difficulté à uriner
  • diminution de la capacité sexuelle ou
  • respiration lente ou peu profonde.

Cherchez des soins médicaux ou appelez le 911 à la fois si vous avez les effets secondaires graves suivants:

  • Des symptômes oculaires graves tels que la perte de vision soudaine floue du tunnel de vision de la vision de la vision des yeux ou de l'enflure ou de voir des halos autour des lumières;
  • Symptômes cardiaques graves tels que les battements cardiaques rapides ou battants; flotter dans votre poitrine; essoufflement; et des étourdissements soudains étourdisseurs ou s'évanouissant;
  • Maux de tête sévères Confusion Slurred Speech Bras ou Ligne Proulitude Trouble de la merde Perte de coordination Sentiment des muscles très rigides très rigides Fièvre élevée Propice ou des tremblements.

Ce document ne contient pas tous les effets secondaires possibles et d'autres peuvent survenir. Vérifiez auprès de votre médecin des informations supplémentaires sur les effets secondaires.

Dosage pour la bibliothèque

La dose de chlordiazépoxyde et de clidinium varie avec le diagnostic et la réponse du patient individuel. La dose de maintenance habituelle est de 1 ou 2 capsules (chlorhydrate de chlorazépoxyde de 5 mg et 2,5 mg de bromure de clidinium) 3 ou 4 fois par jour administré avant les repas et au coucher.

Quelles substances ou suppléments de médicaments interagissent avec Balance?

Le chlordiazépoxyde et le clidinium peuvent interagir avec les barbituriques du sang Mao inhibiteurs des médicaments pour traiter les troubles psychiatriques des stupéfiants ou des antidépresseurs. Dites à votre médecin tous les médicaments que vous utilisez.

Librax pendant la grossesse et l'allaitement

Le chlordiazépoxyde et le clidinium ne sont pas recommandés pour une utilisation pendant la grossesse. Cela peut nuire à un fœtus. Ce médicament passe dans le lait maternel et peut avoir des effets indésirables sur un nourrisson infirmier. L'allaitement maternel lors de l'utilisation de ce médicament n'est pas recommandé. Ce médicament peut être formé par l'habitude. Symptômes de sevrage peut se produire si ce médicament est arrêté brusquement.

Informations Complémentaires

Notre centre de médicaments à effets secondaires de Balance (Chlordiazepoxide HCI Clidinium Bromure) offre une vue complète des informations de médicament disponibles sur les effets secondaires potentiels lors de la prise de ce médicament.

Informations sur les médicaments de la FDA

AVERTISSEMENT

Risques de l'utilisation concomitante avec les opioïdes

L'utilisation concomitante des benzodiazépines et des opioïdes peut entraîner une profondeur de dépression respiratoire de sédation et la mort (voir avertissements et PRÉCAUTIONS ).

  • Réserve la prescription concomitante de ces médicaments pour une utilisation chez les patients pour lesquels des options de traitement alternatives sont inadéquates.
  • Limitez les doses et les durées au minimum requis.
  • Suivez les patients pour des signes et symptômes de dépression respiratoire et de sédation.

Description de Librax

La bibliothèque combine dans une formulation à capsule unique L'action antianxiété de la chlorhydrate de chlorazépoxyde et les effets anticholinergiques / spasmolytiques du bromure de clidinium.

Chaque capsule bibliothèque contient les ingrédients actifs 5 mg de chlorhydrate de chlordiazépoxyde et 2,5 mg de bromure de clidinium. Chaque capsule contient également les ingrédients inactifs d'amidon de maïs monohydrate de maïs

Le chlorhydrate de chlordiazépoxyde est un agent thérapeutique polyvalent d'une valeur éprouvée pour le soulagement de l'anxiété et de la tension. Il est indiqué lorsque la tension ou l'appréhension de l'anxiété sont des composantes importantes du profil clinique. Il est parmi les plus sûrs des composés psychopharmacologiques efficaces.

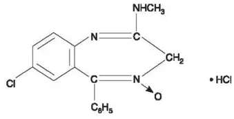
Le chlorhydrate de chlorazépoxyde est le 7-chloro-2-méthylamino-5-phényl-3H-14-benzodiazépine 4-oxyde. Une substance cristalline incolore elle est soluble dans l'eau. Il est instable en solution et la poudre doit être protégée de la lumière. Le poids moléculaire est de 336,22. La formule structurelle de la chlorhydrate de chlordiazépoxyde est la suivante:

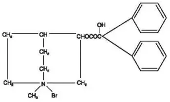
Le bromure de clidinium est un agent anticholinergique synthétique qui a été démontré dans les études expérimentales et cliniques pour avoir un effet antipasmodique et antisecrétoire prononcé sur le tractus gastro-intestinal. Le bromure structurellement du clidinium est:

Utilisations pour Librax

Librax est indiqué pour contrôler les facteurs émotionnels et somatiques dans les troubles gastro-intestinaux. La bibliothèque peut également être utilisée comme traitement d'appoint dans le traitement de l'ulcère gastroduodénal et dans le traitement du syndrome du côlon irritable (colite muqueuse spastique du côlon du côlon irritable) et entérocolite aiguë.

Dosage pour la bibliothèque

Dosage recommandé

En raison des réponses individuelles variées aux tranquillisants et aux anticholinergiques, la dose optimale de la bibliothèque varie avec le diagnostic et la réponse du patient individuel. La posologie doit donc être individualisée pour des effets bénéfiques maximaux. La dose de maintenance habituelle est de 1 ou 2 capsules 3 ou 4 fois par jour administrée avant les repas et au coucher.

Dose gériatrique recommandée

La posologie doit être limitée à la plus petite quantité efficace pour empêcher le développement d'une suresédation ou d'une confusion d'ataxie. La dose initiale ne doit pas dépasser 2 capsules Librax par jour pour augmenter progressivement au besoin et tolérées. Les patients âgés ont un risque accru de réactions indésirables liées à la dose (voir PRÉCAUTIONS ).

Arrêt ou réduction du dosage de la bibliothèque

Pour réduire le risque de réactions de sevrage, utilisez un cône progressif pour interrompre la bibliothèque ou réduire la dose. Si un patient développe des réactions de sevrage, envisagez de faire une pause ou d'augmenter la posologie au niveau de dosage effilé précédent. Diminuer par la suite la dose plus lentement (voir AVERTISSEMENTS et Abus de drogues et dépendance ).

Comment fourni

Librax est disponible dans des capsules opaques vert clair contenant chacune 5 mg de chlorhydrate de chlorazépoxyde et 2,5 mg de bromure de clidinium dans des bouteilles de 100 ( NDC 0187-4100-10) avec Librax® ICN imprimé sur le corps de la capsule.

Stocker à 25 ° C (77 ° F); Excursions autorisées à 15 ° C à 30 ° C (59 ° F à 86 ° F).

Restez hors de portée des enfants.

Dispenser dans un récipient étanche résistant à la lumière telle que définie dans USP / NF.

Distribué par: Bausch Health US LLC Bridgewater NJ 08807 USA. Fabriqué par: Bausch Health Companies Inc. Steinbach MB R5G 1Z7 Canada. Révisé: janvier 2023

Effets secondaires for Librax

Aucun effet secondaire ou manifestation non observé avec l'un ou l'autre composé seul n'a été signalé avec l'administration de Librax. Cependant, puisque la bibliothèque contient du chlorhydrate de chlorazépoxyde et du bromure de clidinium, la possibilité d'effets fâcheux qui peuvent être observés avec l'un ou l'autre de ces deux composés ne peuvent pas être exclus.

Lorsque le chlorhydrate de chlorazépoxyde a été utilisé seul, la nécessité d'arrêter le traitement en raison d'effets indésirables a été rare. L'ataxie et la confusion de somnolence ont été signalées chez certains patients - en particulier les personnes âgées et affaiblies. Bien que ces effets puissent être évités dans presque tous les cas par un ajustement de dosage approprié, ils ont parfois été observés aux gammes de posologie inférieures. Dans quelques cas, une syncope a été signalée.

D'autres réactions indésirables rapportées pendant le traitement avec le chlorhydrate de chlorazépoxyde comprennent des instances isolées d'éruptions cutanées œdème des irrégularités menstruelles mineures nausées et des symptômes extrapyramidaux de constipation ainsi qu'une libido accrue et diminuée. Ces effets secondaires ont été peu fréquents et sont généralement contrôlés avec une réduction de la dose. Des changements dans les modèles EEG (activité rapide à basse tension) ont été observés chez les patients pendant et après le traitement du chlorhydrate de chlordiazépoxyde.

Les dyscrasies sanguins, y compris la jaunisse de l'agranulocytose et le dysfonction hépatique, ont parfois été signalés pendant le traitement avec du chlorhydrate de chlorazépoxyde. Lorsque le chlorhydrate de chlordiazépoxyde est le traitement du chlorhydrome est prolongé et les tests de la fonction hépatique sont recommandés.

Les effets néfastes signalés avec l'utilisation de la bibliothèque sont ceux typiques des agents anticholinergiques, c'est-à-dire la sécheresse du flou de la bouche de l'hésitation et de la constipation urinaires de la vision. La constipation s'est produite le plus souvent lorsque la thérapie en librax a été combinée avec d'autres agents spasmolytiques et / ou un régime faible en résidu.

Pour signaler des réactions indésirables suspectées, contactez Bausch Health US LLC au 1-800-3214576 ou FDA au 1-800-FDA-1088 ou www.fda.gov/medwatch.

Pour quoi utilisez-vous le naproxène

Interactions médicamenteuses for Librax

Opioïdes

L'utilisation concomitante des benzodiazépines, y compris le chlorhydrate de chlorazépoxyde, un composant de la bibliothèque et des opioïdes augmente le risque de dépression respiratoire en raison des actions dans différents sites récepteurs dans le SNC qui contrôlent la respiration. Les benzodiazépines interagissent sur les sites GABAA et les opioïdes interagissent principalement aux récepteurs MU.

Lorsque des benzodiazépines et des opioïdes sont combinés, il existe un potentiel de benzodiazépines pour aggraver considérablement la dépression respiratoire liée aux opioïdes. Limiter le dosage et la durée de l'utilisation concomitante de la bibliothèque et des opioïdes et suivez les patients étroitement pour la dépression respiratoire et la sédation.

Anticoagulants oraux

Bien que les études cliniques n'aient pas établi une relation de cause à effet, les médecins devraient être conscients que des effets variables sur la coagulation sanguine ont été rapportés très rarement chez les patients recevant des anticoagulants oraux et du chlorhydrate de chlorazépoxyde une composante de la librax.

Abus de drogues et dépendance

Substance contrôlée

Librax contains chlordiazepoxide hydrochloride a Schedule IV controlled substance et clidinium bromide which is not a controlled substance. Librax is exempted from Schedule IV et is not controlled under the Substance contrôlées Act.

Abus

Chlorhydrate de chlordiazépoxyde Un composant de la Balance est un dépresseur du SNC avec un potentiel d'abus et de dépendance. L'abus est l'utilisation intentionnelle non thérapeutique d'un médicament même une fois pour ses effets psychologiques ou physiologiques souhaitables. L'utilisation abusive est l'utilisation intentionnelle à des fins thérapeutiques d'un médicament par un individu d'une manière autre que prescrite par un fournisseur de soins de santé ou pour qui il n'a pas été prescrit. La toxicomanie est un groupe de phénomènes cognitifs et physiologiques comportementaux qui peuvent inclure un fort désir de prendre les difficultés médicamenteuses dans le contrôle de la consommation de drogues (par exemple, la consommation de drogues malgré les conséquences nocives donnant une priorité plus élevée à la consommation de médicaments que les autres activités et obligations) et une tolérance possible ou une dépendance physique. Même prendre des benzodiazépines comme prescrit peut mettre les patients à risque d'abus et d'utilisation abusive de leurs médicaments. L'abus et l'abus des benzodiazépines peuvent conduire à une dépendance.

Abus et misuse of benzodiazepines often (but not always) involve the use of doses greater than the maximum recommended dosage et commonly involve concomitant use of other medications alcohol et/or illicit substances which is associated with an increased frequency of serious adverse outcomes including respiratory depression overdose or death. Benzodiazepines are often sought by individuals who abuse drugs et other substances et by individuals with addictive disorders (see AVERTISSEMENTS ).

Les effets indésirables suivants se sont produits avec l'abus de benzodiazépine et / ou une mauvaise utilisation: douleurs abdominales Amnésie Anorexie Angression Antaxie Blurred Vision Confusion Dépression Disinhibition Désorimentation Dizziness Euphorie Concentration altérée et indigestion de la mémoire Irritabilité de la douleur musculaire Tremors et vertigo de la douleur musculaire.

Les effets indésirables sévères suivants se sont produits avec l'abus de benzodiazépine et / ou une mauvaise utilisation: le délire de paranoïa paranoïa et les crises de comportement de la difficulté et la mort. La mort est plus souvent associée à l'utilisation de la polysubstance (en particulier les benzodiazépines avec d'autres dépresseurs du SNC tels que les opioïdes et l'alcool).

Dépendance

Dépendance physique

Librax may produce physical dependence from continued therapy. Physical dependence is a state that develops as a result of physiological adaptation in response to repeated drug use manifested by withdrawal signs et symptoms after abrupt discontinuation or a significant dose reduction of a drug. Abrupt discontinuation or rapid dosage reduction of benzodiazepines or administration of flumazenil a benzodiazepine antagonist may precipitate acute withdrawal reactions including seizures which can be life-threatening. Patients at an increased risk of withdrawal adverse reactions after benzodiazepine discontinuation or rapid dosage reduction include those who take higher dosages (i.e. higher et/or more frequent doses) et those who have had longer durations of use (see AVERTISSEMENTS ).

Pour réduire le risque de réactions de sevrage, utilisez un cône progressif pour interrompre la bibliothèque ou réduire la posologie (voir AVERTISSEMENTS et Posologie et administration ).

Signes et symptômes de sevrage aigu

Les signes et symptômes de sevrage aigu associés aux benzodiazépines ont inclus des mouvements involontaires anormaux anxiété vision floue dépersonnalisation dépression déraalimentation étourdie la fatigue gastro-intestinale réactions indésirables (par exemple Tachycardie et tremblements d'agitation. Des signes et symptômes de sevrage aigu plus graves, y compris des réactions potentiellement mortelles, ont inclus des convulsions de catatonie Delirium tremens dépression hallucinations Mania psychose convulsions et suicidalité.

Syndrome de sevrage prolongé

Le syndrome de sevrage prolongé associé aux benzodiazépines est caractérisé par des troubles cognitifs de l'anxiété de la dépression de la dépression des symptômes moteurs de la formification (par exemple, des contractions musculaires de tremblement) paresthésie et acin-étain qui persistent au-delà de 4 à 6 semaines après le sevrage initial de la benzodiazépine. Les symptômes de sevrage prolongés peuvent durer des semaines à plus de 12 mois. En conséquence, il peut être difficile de différencier les symptômes de sevrage de la réémergence potentielle ou de la poursuite des symptômes pour lesquels la benzodiazépine était utilisée.

Tolérance

Tolérance to Librax may develop from continued therapy. Tolérance is a physiological state characterized by a reduced response to a drug after repeated administration (i.e. a higher dose of a drug is required to produce the same effect that was once obtained at a lower dose). Tolérance to the therapeutic effects of Librax may develop; however little tolerance develops to the amnestic reactions et other cognitive impairments caused by benzodiazepines.

Effets secondaires de trop de lévothyroxine

Avertissements for Librax

Risques de l'utilisation concomitante avec les opioïdes

L'utilisation concomitante de benzodiazépines, y compris la bibliothèque et les opioïdes, peut entraîner une profondeur de dépression respiratoire de sédation et la mort. En raison de ces risques, se réservent la prescription concomitante de ces médicaments pour les patients pour lesquels des options de traitement alternatives sont inadéquates.

Des études observationnelles ont démontré que l'utilisation concomitante d'analgésiques opioïdes et de benzodiazépines augmente le risque de mortalité liée au médicament par rapport à l'utilisation d'opioïdes seuls. Si une décision est prise de prescrire Librax concomitamment avec les opioïdes prescrit les doses efficaces les plus faibles et les durées minimales d'utilisation concomitante et suivent étroitement les patients pour les signes et symptômes de dépression respiratoire et de sédation. Conseiller les patients et les soignants sur les risques de dépression respiratoire et de sédation lorsque la bibliothèque est utilisée avec des opioïdes (voir PRÉCAUTIONS ).

Abus Misuse And Addiction

L'utilisation de benzodiazépines, y compris le chlorhydrate de chlorazépoxyde, un composant de la Librax expose les utilisateurs aux risques de maltraitance abusif et de dépendance qui peuvent entraîner une surdose ou une mort. Abuse and misuse of benzodiazepines often (but not always) involve the use of doses greater than the maximum recommended dosage and commonly involve concomitant use of other medications alcohol and/or illicit substances which is associated with an increased frequency of serious adverse outcomes including respiratory depression overdose or death (see Abus de drogues et dépendance ).

Avant de prescrire la bibliothèque et tout au long du traitement, évaluez le risque de l'abus et la dépendance de chaque patient (par exemple, à l'aide d'un outil de dépistage standardisé). L'utilisation de la bibliothèque en particulier chez les patients à risque élevé nécessite des conseils sur les risques et une utilisation appropriée de la Librax ainsi que la surveillance des signes et symptômes de l'abus de maltraitance et de la dépendance. Prescrire la dose efficace la plus faible; éviter ou minimiser l'utilisation concomitante des dépresseurs du SNC et d'autres substances associées à une abus abusée et à la dépendance (par exemple, stimulants analgésiques opioïdes); et conseiller les patients sur l'élimination appropriée du médicament inutilisé. Si un trouble de la consommation de substances est suspecté d'évaluer le patient et d'instituer (ou de les référer pour) un traitement précoce, le cas échéant.

Dépendance And Réactions de sevrage

Pour réduire le risque de réactions de sevrage, utilisez un cône progressif pour interrompre la bibliothèque ou réduire la posologie (un plan spécifique au patient doit être utilisé pour réduire le dosage) (voir Posologie et administration ). Patients at an increased risk of withdrawal adverse reactions after benzodiazepine discontinuation or rapid dosage reduction include those who take higher dosages et those who have had longer durations of use.

Réactions de sevrage aigu

L'utilisation continue des benzodiazépines, y compris la bibliothèque, peut conduire à une dépendance physique cliniquement significative. Arrêt brutal ou réduction rapide de la dose de la bibliothèque après une utilisation ou l'administration continue de flumazénil (un antagoniste de la benzodiazépine) peut précipiter les réactions de sevrage aiguës qui peuvent être mortelles (par exemple, les crises) (voir Abus de drogues et dépendance ).

Syndrome de sevrage prolongé

Dans certains cas, les utilisateurs de benzodiazépine ont développé un syndrome de sevrage prolongé avec des symptômes de sevrage durables à plus de 12 mois (voir Abus de drogues et dépendance ).

Effets sur la possibilité de conduire ou d'exploiter des machines

Comme dans le cas d'autres préparations contenant des médicaments à action d'action du SNC, les patients recevant Librax doivent être avertis par les effets combinés possibles avec l'alcool d'opioïdes et d'autres dépresseurs du SNC. Pour la même raison, ils devraient être mis en garde contre les professions dangereuses nécessitant une vigilance mentale complète telle que les machines d'exploitation ou la conduite d'un véhicule à moteur.

Sédation néonatale et syndrome de sevrage

L'utilisation de benzodiazépines à la fin de la grossesse peut entraîner des symptômes de sédation (dépression respiratoire de léthargie) et / ou de symptômes de sevrage (hyperréflexie irritabilité des tremblements d'agitation incompatibles et des difficultés d'alimentation) dans le néonate (voir PRÉCAUTIONS Grossesse ). Monitor neonates exposed to Librax which contains a benzodiazepine (chlordiazepoxide hydrochloride) during pregnancy et labor for signs of sedation et monitor neonates exposed to Librax during pregnancy for signs of withdrawal; manage these neonates accordingly.

Précautions for Librax

Réactions indésirables du SNC

Chez les patients gériatriques ou affaiblis, il est recommandé que la posologie soit limitée au plus petit montant efficace pour empêcher le développement de l'ataxie ou de la confusion (pas plus de 2 capsules de bibliothèque par jour initialement augmentées progressivement au besoin et tolérées). En général, l'administration concomitante de Balance et d'autres agents psychotropes n'est pas recommandée. Si une telle thérapie combinée semble indiquée de considérer attentivement à utiliser la pharmacologie des agents - en particulier lorsque les composés de potentialisation connus tels que les inhibiteurs et les phénothiazines du MAO doivent être utilisés. Les précautions habituelles dans le traitement des patients atteints de fonction rénale ou hépatique altérée doivent être observées.

Réactions paradoxales à la chlorhydrate de chlorazépoxyde, par ex. Une stimulation d'excitation et une rage aiguë ont été rapportées chez les patients psychiatriques et doivent être surveillés pendant la thérapie Librax. Les précautions habituelles sont indiquées lorsque le chlorhydrate de chlordiazépoxyde est utilisé dans le traitement des états d'anxiété où il existe des preuves de dépression imminente; Il convient de garder à l'esprit que des tendances suicidaires peuvent être présentes et des mesures de protection peuvent être nécessaires.

Informations pour les patients

Abus Misuse And Addiction

Informer les patients que l'utilisation de la bibliothèque, même aux doses recommandées, expose les utilisateurs à des risques d'abus abusés et à la dépendance qui peuvent entraîner une surdose et la mort, en particulier lorsqu'ils sont utilisés en combinaison avec d'autres médicaments (par exemple analgésiques opioïdes) de l'alcool et / ou des substances illicites. Informer les patients des signes et symptômes de l'abus de l'abus de benzodiazépine et de la dépendance; pour demander de l'aide médicale s'ils développent ces signes et / ou symptômes; et sur la bonne élimination du médicament inutilisé (voir AVERTISSEMENTS ).

Réactions de sevrage

Informer les patients que l'utilisation continue de la bibliothèque peut entraîner une dépendance physique cliniquement significative et que l'arrêt abrupte ou la réduction rapide de la dose de la bibliothèque peut précipiter des réactions de sevrage aigu qui peuvent être mortelles. Informez les patients que, dans certains cas, les patients prenant des benzodiazépines ont développé un syndrome de sevrage prolongé avec des symptômes de sevrage durables à des semaines à plus de 12 mois. Instruire les patients que l'arrêt ou la réduction de la dose de la Balance peut nécessiter un cône lent (voir AVERTISSEMENTS et Abus de drogues et dépendance ).

Utilisation concomitante avec les opioïdes et autres dépresseurs du SNC

Informer les patients et les soignants que des effets additifs potentiellement mortels peuvent se produire si la bibliothèque est utilisée avec des opioïdes ou d'autres dépresseurs du SNC, y compris l'alcool et de ne pas les utiliser, sauf si c'est supervisé par un fournisseur de soins de santé (voir (voir AVERTISSEMENTS AND PRÉCAUTIONS Interactions médicamenteuses ).

Grossesse

Conseiller les femmes enceintes que l'utilisation de la bibliothèque à la fin de la grossesse peut entraîner des symptômes de sédation (dépression respiratoire de la léthargie) et / ou de symptômes de sevrage (hyperréflexie irritabilité des tremblements d'agitation des pleurs et des difficultés d'alimentation) chez les nouveau-nés (voir AVERTISSEMENTS Sédation néonatale et syndrome de sevrage et PRÉCAUTIONS Grossesse ). Instruct patients to inform their healthcare provider if they are pregnant.

Allaitement

Demandez aux patients de notifier leur fournisseur de soins de santé s'ils allaitent ou ont l'intention d'allaiter (voir PRÉCAUTIONS Allaitement Mothers ).

Utiliser dans des populations spécifiques

Grossesse

Résumé des risques

Chlorhydrate de chlorazépoxide

Des nouveau-nés nés de mères utilisant des benzodiazépines au cours des derniers stades de la grossesse auraient ressenti des symptômes de sédation et / ou de sevrage néonatal (voir AVERTISSEMENTS Sédation néonatale et syndrome de sevrage et PRÉCAUTIONS : Considérations cliniques ). Available data from published observational studies of pregnant women exposed to benzodiazepines do not report a clear association with benzodiazepines et major délai de congédiements (see Données ).

Bromure de clidinium

Au cours des décennies d'utilisation, il y a une absence de données publiées sur le bromure de clidinium administré par voie orale chez les femmes enceintes, y compris l'absence de tout rapport de risque associé aux médicaments de malformations congénitales majeures ou autres résultats défavorables maternels ou fœtaux.

Le risque de fond de malformations congénitales majeures et de fausse couche pour la population indiquée est inconnue. Toutes les grossesses ont un risque de fond de délai de congédiement perte ou d'autres résultats négatifs. Dans la population générale américaine, le risque estimé de malformations congénitales et de fausse couche dans les grossesses cliniquement reconnues est respectivement de 2% à 4% et 15% à 20%.

Considérations cliniques

Réactions indésirables fœtales / néonatales

Les benzodiazépines traversent le placenta et peuvent produire une hypotonie et une sédation de dépression respiratoire chez les nouveau-nés. Surveiller les nouveau-nés exposés à la bibliothèque qui contient un benzodiazépine (chlorhydrate de chlordiazépoxyde) pendant la grossesse ou le travail pour les signes d'hypotonie de dépression respiratoire de sédation et les problèmes d'alimentation. Surveiller les nouveau-nés exposés à la Balance pendant la grossesse pour des signes de sevrage. Gérer ces nouveau-nés en conséquence (voir AVERTISSEMENTS Sédation néonatale et syndrome de sevrage ).

Données

Données humaines

Les données publiées des études d'observation sur l'utilisation des benzodiazépines pendant la grossesse ne signalent pas une association claire avec les benzodiazépines et les principales malformations congénitales. Bien que les premières études aient signalé un risque accru de malformations congénitales avec le diazépam et le chlordiazépoxyde, aucun schéma cohérent n'a été noté. De plus, la majorité des études cas-témoins et de cohorte plus récentes sur l'utilisation de la benzodiazépine pendant la grossesse qui ont été ajustées pour confondre les expositions à l'alcool. Le tabac et d'autres médicaments n'ont pas confirmé ces résultats.

Données sur les animaux

citrate de potassium 10 meq à mg

Les doses quotidiennes orales de 2,5 mg / kg de chlorhydrate de chlordiazépoxide avec du chlorure de clidinium 1,25 mg ou du chlorhydrate de chlordiazépoxyde de 25 mg / kg avec un bromure de clidinium de 12,5 mg / kg (NULL,6 et 6,1 fois, le maximum de dose clinique pour les deux médicaments basés sur les médicaments basés sur les médicaments) étaient conformes à une zone de surface corporelle pour les deux médicaments pour les deux médicaments sur la surface corporelle) ont été administrés pour des rats dans une zone maximale pour les deux médicaments basés sur les médicaments basés sur des rat Étude de reproduction à travers deux accouplements successifs. Dans le premier accouplement, aucune différence significative n'a été notée entre le contrôle ou les groupes traités à l'exception d'une légère diminution du nombre d'animaux survivant pendant la lactation parmi ceux qui reçoivent la dose la plus élevée. Dans le deuxième accouplement, des résultats similaires ont été obtenus, à l'exception d'une légère diminution du nombre de femmes enceintes et dans le pourcentage de progéniture survivant jusqu'au sevrage. Aucune anomalie congénitale n'a été observée dans les deux accouplements dans les groupes témoins ou traités.

Allaitement Mothers

Chlorhydrate de chlorazépoxide

Il n'y a pas de données sur la présence de chlordiazépoxyde dans le lait humain ou animal les effets sur le nourrisson allaité ou les effets sur la production de lait. Cependant, il y a des rapports de sédation médiocre et un mauvais gain de poids chez les nourrissons exposés à d'autres benzodiazépines par le lait maternel.

Des études de reproduction chez le rat nourrie de chlorhydrate de chlordiazépoxyde 10 20 et 80 mg / kg par jour (NULL,4 4,8 et 19,4 fois respectivement, la dose clinique maximale recommandée de 40 mg / jour basée sur la surface du corps) et a élevé à travers un ou deux arrêts d'arrimage n'a montré aucun effet indésirable sur la lactation des barrages.

Bromure de clidinium

Il n'y a pas de données sur la présence de clidinium dans le lait humain ou animal les effets sur le nourrisson allaité ou les effets sur la production de lait. Comme pour les autres médicaments anticholinergiques, le clidinium peut provoquer une suppression de la lactation.

Les avantages du développement et de la santé de l'allaitement devraient être pris en compte avec le besoin clinique de la mère de Balance et tout effet indésirable potentiel sur le nourrisson allaité de Librax. Les nourrissons exposés à la bibliothèque par lait maternel doivent être surveillés pour une mauvaise alimentation et un mauvais gain de poids.

Usage pédiatrique

La sécurité et l'efficacité des patients pédiatriques n'ont pas été établies.

Utilisation gériatrique

Les sujets gériatriques peuvent être particulièrement susceptibles de ressentir une ataxie et une confusion de somnolence tout en recevant Librax. Ces effets peuvent généralement être évités avec un ajustement de dosage approprié, bien qu'ils aient parfois été observés même aux gammes de posologie inférieures. Le dosage dans les sujets gériatriques doit être initié avec prudence (pas plus de 2 capsules par jour) et augmenter progressivement si nécessaire et toléré (voir Posologie et administration ). Librax is contraindicated in the presence of glaucome Hypertrophie prostatique et obstruction du cou de la vessie bénigne (voir Contre-indications ).

Informations sur la surdose pour Balance

Le surdosage de la bibliothèque qui contient un benzodiazépine (chlorhydrate de chlordiazépoxyde) et un anticholinergique (bromure de clidinium) peuvent manifester des signes et symptômes liés à l'un ou l'autre de ses composants, bien que certains effets tels que les niveaux de conscience modifiés puissent être synergistiques.

Le surdosage des benzodiazépines tels que le chlorhydrate de chlorazépoxyde est caractérisé par une dépression du système nerveux central allant de la somnolence vers le coma. Dans les cas légers à modérés, les symptômes peuvent inclure la somnolence confusion dysarthrie, l'état hypnotique de la dysartrie a diminué l'ataxie et l'hypotonie des réflexes. Des réactions rarement paradoxales ou désinhibitrices (y compris l'irritabilité de l'agitation impulsivité du comportement violent confusion excitation de l'agitation et le bavardage) peuvent se produire. Dans les cas de surdosage graves, les patients peuvent développer une dépression respiratoire et un coma.

Les signes et symptômes de surdosage anticholinergique sont liés à une activité anticholinégique anti-muscarinique excessive. Les signes et symptômes périphériques peuvent inclure des muqueuses sèches et une rinçage cutanée tachycardie hypertension rétention urinaire iléus et mydriase. La parole brouillée est souvent pathognomonique. Les signes et symptômes centraux peuvent inclure des crises d'agitation et de délire et une hyperthermie. Les benzodiazépines sont considérées comme un traitement de première ligne de la toxicité anticholinergique agissant pour traiter l'agitation légère à modérée et prévenir les convulsions.

La surdosage des benzodiazépines en combinaison avec d'autres dépresseurs du SNC (y compris l'alcool et les opioïdes) peut être mortel (voir AVERTISSEMENTS Dépendance et Réactions de sevrage ). Markedly abnormal (lowered or elevated) blood pressure heart rate or respiratory rate raise the concern that additional drugs et/or alcohol are involved in the overdosage. Anticholinergic drugs usually increase heart rate et blood pressure. In managing benzodiazepine overdosage employ general supportive measures including intravenous fluids et airway management.

Flumazenil Un antagoniste spécifique des récepteurs benzodiazépines est indiqué pour l'inversion complète ou partielle des effets sédatifs des benzodiazépines dans la gestion du surdosage des benzodiazépines. L'utilisation de flouzenil peut augmenter le risque de crises de surdosage mixte avec des médicaments qui peuvent précipiter les crises, y compris les médicaments anticholinergiques. Les benzodiazépines sont utilisées pour traiter le délire agité de la toxicité anticholinergique. Par conséquent, l'administration du flulazenil peut aggraver le délire anticholinergique et doit généralement être évité.

Les inhibiteurs de l'anticholinestérase peuvent inverser le délire agité sévère qui n'est pas contrôlé par les benzodiazépines. Ils peuvent également améliorer les voies respiratoires et la respiration chez les patients déprimés du SNC. La prudence est justifiée en particulier dans les surdoses de médicaments mixtes.

Envisagez de contacter un centre de poison (1-800-222-1222) ou un toxicologue médical pour les recommandations de gestion des sur-dostage.

Contre-indications pour Librax

Librax is contraindicated in the presence of glaucome (since the anticholinergique component may produce some degree of mydriasis) et in patients with prostatic hypertrophy et benign bladder neck obstruction. It is contraindicated in patients with known hypersensitivity to chlordiazepoxide hydrochloride et/or clidinium bromide.

Pharmacologie clinique for Librax

Pharmacologie animale et / ou toxicologie animale

Effets sur la reproduction

Des études de reproduction chez le rat nourrie de chlorhydrate de chlorazépoxyde 10 20 et 80 mg / kg par jour (NULL,4 4,8 et 19,4 fois respectivement la dose clinique maximale recommandée de 40 mg / jour basée sur la surface du corps) et ont été élevés à travers un ou deux accidents ne montraient pas d'anomalies congénitales non plus. Cependant, dans une autre étude à 100 mg / kg par jour, il a été noté une diminution significative du taux de fertilisation et une diminution marquée de la viabilité et du poids corporel de la progéniture qui peuvent être attribuables à l'activité sédative, ce qui entraîne un manque d'intérêt pour l'accouplement et l'allaitement maternel réduit et les soins des jeunes. Un nouveau-né dans chacune des première et deuxième avis de l'étude de reproduction du rat à la dose de 100 mg / kg (NULL,2 fois la dose humaine maximale recommandée de 40 mg / jour basée sur la surface corporelle) a présenté des défauts squelettiques majeurs.

Deux séries d'expériences de reproduction avec du bromure de clidinium ont été réalisées chez un rat utilisant des doses de 2,5 et 10 mg / kg par jour (NULL,2 et 4,9 fois respectivement la dose clinique maximale recommandée de 20 mg / jour à base de surface corporelle) dans chaque expérience. Dans la première expérience, le bromure de Clidinium a été administré pour un intervalle de 9 semaines avant l'accouplement; Aucun effet fâcheux sur la fertilisation ou la gestation n'a été noté. La progéniture a été prise par la césarienne et n'a pas montré d'incidence significative d'anomalies congénitales par rapport aux animaux témoins. Dans la deuxième expérience, des animaux adultes ont reçu du bromure de clidinium pendant 10 jours avant et à travers deux cycles d'accouplement. Aucun effet significatif n'a été observé sur la viabilité de la gestation de la fertilité de la progéniture ou de la lactation par rapport aux animaux témoins, et il n'y a pas eu d'incidence significative d'anomalies congénitales chez la progéniture dérivée de ces expériences.

Une étude de reproduction a été réalisée chez un rat par deux accouplements successifs avec l'administration de doses quotidiennes orales de 2,5 mg / kg de chlorhydrate de chlordiazépoxyde et de 1,25 mg / kg de bromure de clidinium (NULL,6 fois la dose clinique maximale recommandée pour les deux médicaments en surface corporelle) ou 25 mg / kg chlordiazepoxy bromure de clidinium (NULL,1 fois la dose clinique maximale recommandée pour les deux médicaments en fonction de la surface corporelle). Dans le premier accouplement, aucune différence significative n'a été notée entre les groupes témoins ou les groupes traités, à l'exception d'une légère diminution du nombre d'animaux survivant pendant la lactation parmi ceux qui reçoivent la dose élevée. Dans le deuxième accouplement, des résultats similaires ont été obtenus, à l'exception d'une légère diminution du nombre de femmes enceintes et dans le pourcentage de progéniture survivant jusqu'au sevrage. Aucune anomalie congénitale n'a été observée dans les deux accouplements dans les groupes témoins ou traités.

effets secondaires colloïdaux de pulvérisation de nez argenté

Informations sur les patients pour Librax

Librax®
(Lee Braks)
(Bromure de chlorhydrate de chlorazépoxide et de bromure de clidinium) Pour usage oral

Quelles sont les informations les plus importantes que je devrais connaître sur Balance?

  • Librax contains a benzodiazepine medicine. Taking Librax with opioid medicines alcohol or other central nervous system (CNS) depressants (including street drugs) can cause somnolence sévère breathing problems (respiratory depression) coma et death.

Obtenez une aide d'urgence immédiatement si l'un des éléments suivants se produit:

    • respiration peu profonde ou ralenti
    • Des arrêts respiratoires (ce qui peut conduire à l'arrêt du cœur)
    • somnolence excessive (sédation)

Ne conduisez pas ou ne fonctionnent pas de machines lourdes tant que vous ne savez pas comment la prise de Balance avec des opioïdes vous affecte.

  • Risque d'abus abus et dépendance. Il existe un risque d'abus abusant et de dépendance avec les benzodiazépines, y compris la bibliothèque qui peut entraîner une surdose ou la mort.
    • Des effets secondaires graves, notamment le coma et la mort, se sont produits chez des personnes qui ont havé ou abusé des benzodiazépines, dont Librax. Ces effets secondaires graves peuvent également inclure des pensées ou des actions suicidaires de paranoïa du délire de délire et des difficultés à respirer. Appelez votre fournisseur de soins de santé ou allez immédiatement aux urgences de l'hôpital le plus proche si vous obtenez l'un de ces effets secondaires graves.
    • Vous pouvez développer une dépendance même si vous prenez Librax tel que prescrit par votre fournisseur de soins de santé.
    • Prenez Librax exactement comme votre fournisseur de soins de santé prescrit.
    • Ne partagez pas votre Librax avec d'autres personnes.
    • Gardez Librax dans un endroit sûr et loin des enfants.
  • Dépendance physique et réactions de sevrage. Librax can cause physical dependence et withdrawal reactions.
    • N'arrêtez pas soudainement d'utiliser Balance. L'arrêt de la Librax peut soudainement provoquer des effets secondaires graves et potentiellement mortels, y compris des mouvements inhabituels, des réponses ou des expressions des crises soudaines et sévères du système mental ou nerveux modifient la dépression en voyant ou en entendant des choses que les autres ne voient pas ou n'entendent pas une augmentation extrême de l'activité ou de la perte de contact avec la réalité et des pensées ou des actions suicidaires. Appelez votre fournisseur de soins de santé ou allez immédiatement aux urgences de l'hôpital le plus proche si vous obtenez l'un de ces symptômes.
    • Certaines personnes qui arrêtent soudainement les benzodiazépines présentent des symptômes qui peuvent durer plusieurs semaines à plus de 12 mois y compris l'anxiété du mal à se souvenir d'apprendre ou de concentrer les problèmes de dépression du sommeil comme des insectes qui rampent sous votre peau faiblesse en tremblant les contractions musculaires brûlant ou picotements dans vos mains les jambes de bras ou les pieds et la sonne dans vos oreilles.
    • La dépendance physique n'est pas la même chose que la toxicomanie. Votre professionnel de la santé peut vous en dire plus sur les différences entre la dépendance physique et la toxicomanie.
    • Ne prenez pas plus de librax que prescrit ou prenez Librax plus longtemps que prescrit.

Qu'est-ce que Balance?

  • Librax is a prescription medicine that is used with other therapies for the treatment of:
    • ulcères de l'estomac (peptique)
    • syndrome du côlon irritable (IBS)
    • inflammation du côlon appelé entérocolite aiguë
  • Librax contains the medicines chlorhydrate de chlorazépoxide et bromure de clidinium.
  • Librax contains chlordiazepoxide hydrochloride that can be abused or lead to dependence. Gardez Librax dans un endroit sûr pour éviter une mauvaise utilisation et des abus. Vendre ou donner la Balance peut nuire aux autres. Dites à votre fournisseur de soins de santé si vous avez abusé ou dépendant des médicaments sur ordonnance d'alcool ou des médicaments de rue.
  • On ne sait pas si Balance est sûr et efficace chez les enfants.

Ne prenez pas Librax si vous:

  • avoir du glaucome
  • avoir une hypertrophie de la prostate
  • avoir un blocage de votre vessie qui cause des problèmes de miction
  • sont allergiques au chlorhydrate de chlorazépoxyde ou au bromure de clidinium

Avant de prendre Librax, dites à votre fournisseur de soins de santé de toutes vos conditions médicales, y compris si vous:

  • avoir des problèmes oculaires
  • avoir des problèmes à uriner ou à vider votre vessie
  • avoir des problèmes de coordination
  • avoir des problèmes de rein ou de foie
  • avoir des antécédents de dépression maladie mentale ou de pensées suicidaires
  • avoir des antécédents d'abus de drogue ou d'alcool ou de dépendance
  • avoir des problèmes de saignement
  • sont enceintes ou prévoient de devenir enceintes. Librax peut nuire à votre bébé à naître.
    • La prise de la Librax à la fin de la grossesse peut faire en sorte que votre bébé présente des symptômes de sédation (problèmes respiratoires de faible tonalité musculaire) et / ou des symptômes de sevrage (irritabilité d'irritabilité tremblante agitant des problèmes d'alimentation excessive).
    • Dites immédiatement votre professionnel de la santé si vous devenez enceinte ou si vous pensez que vous êtes enceinte pendant le traitement avec Balance.
  • allaitent ou prévoient d'allaiter. Librax peut traverser votre lait maternel et peut provoquer une mauvaise alimentation ou un mauvais gain de poids dans votre bébé. Parlez à votre fournisseur de soins de santé de la meilleure façon de nourrir votre bébé si vous prenez Librax. Librax peut diminuer la quantité de lait maternel que votre corps fait.

Parlez à votre fournisseur de soins de santé de tous les médicaments que vous prenez y compris les médicaments sur ordonnance et les médicaments sur-thecounter et les suppléments à base de plantes. La prise de Librax avec certains autres médicaments peut provoquer des effets secondaires ou affecter le fonctionnement de la Balance ou les autres médicaments. Ne commencez pas ou n'arrêtez pas d'autres médicaments sans parler à votre fournisseur de soins de santé.

Parlez surtout de votre fournisseur de soins de santé si vous:

  • Prenez un médicament inhibiteur de la monoamine oxydase (MAOI) ou un médicament antipsychotique appelé phénothiazine.

Comment dois-je prendre Librax?

  • Prenez Librax exactement comme votre fournisseur de soins de santé vous dit de le prendre.
  • Votre fournisseur de soins de santé peut modifier votre dose de Balance si nécessaire. Ne changez pas votre dose de Librax ou arrêtez soudainement de prendre Balance sans parler avec votre fournisseur de soins de santé.
  • Si vous prenez trop Balance, appelez votre fournisseur de soins de santé ou allez immédiatement aux urgences de l'hôpital le plus proche.

Quels sont les effets secondaires possibles de la Librax?

Librax may cause serious side effects including: See Quelles sont les informations les plus importantes que je devrais connaître sur Balance?

  • Librax can make you sleepy or dizzy et can slow your thinking et motor skills.
    • Ne conduisez pas les machines lourdes ou ne faites pas d'autres activités dangereuses tant que vous ne savez pas comment Balance vous affecte.
    • Ne buvez pas d'alcool et ne prenez pas d'autres drogues qui peuvent vous endormir ou étourdir tout en prenant Librax sans d'abord parler à votre fournisseur de soins de santé. Lorsqu'il est pris avec de l'alcool ou des drogues qui provoquent une somnolence ou des étourdissements, la Balance peut aggraver votre somnolence ou vos étourdissements.

Les effets secondaires les plus courants de la Librax comprennent:

  • bouche sèche
  • nausée
  • problèmes de peau
  • vision floue
  • constipation
  • gonflement
  • cycles menstruels irréguliers (périodes)
  • augmenter et diminuer le désir de sexe (libido)
  • problèmes qui commencent à uriner
  • somnolence coordination problems et confusion may happen especially in people who are elderly or weak

Ce ne sont pas tous les effets secondaires possibles de la Librax.

Appelez votre médecin pour des conseils médicaux sur les effets secondaires. Vous pouvez signaler les effets secondaires à la FDA au 1-800FDA-1088.

Comment puis-je stocker Balance?

  • Stockez la bibliothèque à température ambiante 77 ° F (25 ° C).
  • Gardez la bibliothèque et tous les médicaments hors de portée des enfants.

Informations générales sur l'utilisation sûre et efficace de la Librax.

Les médicaments sont parfois prescrits à des fins autres que celles énumérées dans un guide de médicaments. Ne prenez pas Librax pour une condition pour laquelle il n'a pas été prescrit. Ne donnez pas Librax à d'autres personnes même si vous présentez les mêmes symptômes que vous. Cela peut leur faire du mal. Vous pouvez demander à votre pharmacien ou fournisseur de soins de santé pour des informations sur Balance qui sont écrits pour les professionnels de la santé.

Quels sont les ingrédients de Balance?

Ingrédients actifs: chlorhydrate de chlorazépoxide et bromure de clidinium

Ingrédients inactifs: Corn Stound Lactose monohydraté et talc. Les coquilles de capsule de gélatine peuvent contenir du méthylparaben propylparaben et du sorbate de potassium avec les systèmes de colorant suivants: D

Ce guide de médicaments a été approuvé par la Food and Drug Administration des États-Unis.