Les Informations Présentées Sur Ce Site Ne Constituent Pas Un Avis Médical. Nous Ne Vendons Rien. L'Exactitude De La Traduction N'Est Pas Garantie. Clause De Non-Responsabilité
Anxiolytique, benzodiazépines
Libri
Résumé
Qu'est-ce que le Librium?
Le librium (chlordiazépoxyde) est une benzodiazépine utilisée pour traiter les troubles anxieux ou le sevrage alcoolique. Librium est disponible en générique formulaire.
Quels sont les effets secondaires du librium?
Le librium peut provoquer de graves effets secondaires, notamment:
- somnolence sévère
- changements inhabituels d'humeur ou de comportement
- confusion
- agression
- colère
- sensation ou excitation soudaine
- Problèmes de sommeil aggravés
- Pensées de suicide
- une faiblesse soudaine ou un mauvais sentiment
- fièvre
- frissons
- mal de gorge
- plaies de la bouche
- les gencives rouges ou gonflées
- Problème avalé
- faiblesse musculaire
- paupières tombantes
- Problème avalé
- Douleurs du haut de l'estomac
- urine sombre et
- jaunissement de la peau ou des yeux ( jaunisse )
Obtenez de l'aide médicale immédiatement si vous présentez l'un des symptômes énumérés ci-dessus.
Les effets secondaires courants du librium comprennent:
- somnolence
- fatigue
- vertiges
- nausée
- vomissement
- constipation
- vision floue
- gonflement
- éruption cutanée
- périodes menstruelles irrégulières ou
- mal de tête.
Dites à votre médecin si vous avez des effets secondaires du Librium, notamment:
- confusion
- dépression
- hyperactivité
- hallucinations
- discours
- Problème de marche
- Twitching facial ou musculaire
- troubles du sommeil
- difficulté à uriner
- changements dans la libido ou
- jaunisse (yellowing of the skin or eyes).
Cherchez des soins médicaux ou appelez le 911 à la fois si vous avez les effets secondaires graves suivants:
- Des symptômes oculaires graves tels que la perte de vision soudaine floue du tunnel de vision de la vision de la vision des yeux ou de l'enflure ou de voir des halos autour des lumières;
- Symptômes cardiaques graves tels que les battements cardiaques rapides ou battants; flotter dans votre poitrine; essoufflement; Et des étourdissements soudains étourdissement ou s'évanouir;
- Maux de tête sévères Confusion Slurred Speech Bras ou Ligne Proulitude Trouble de la merde Perte de coordination Sentiment des muscles très rigides très rigides Fièvre élevée Propice ou des tremblements.
Ce document ne contient pas tous les effets secondaires possibles et d'autres peuvent survenir. Vérifiez auprès de votre médecin des informations supplémentaires sur les effets secondaires.
Dosage pour le biblium
La dose de librium varie en fonction de l'état traité. Pour une anxiété légère à modérée de 5 mg ou 10 mg 3 ou 4 fois par jour. Pour une anxiété sévère de 20 mg ou 25 mg 3 ou 4 fois par jour. Consultez votre médecin pour un dosage pédiatrique ou gériatrique.
Comment prendre la L-théanine
Quelles substances ou suppléments de médicaments interagissent avec le Librium?
Le librium peut interagir avec les barbituriques du sang MAO inhibiteurs de la médecine pour traiter les troubles psychiatriques des stupéfiants ou des antidépresseurs. Dites à votre médecin tous les médicaments que vous utilisez.
Librium pendant la grossesse et l'allaitement
Le librium n'est pas recommandé pour une utilisation pendant la grossesse en raison du potentiel de nuire à un fœtus. Sur la base des informations provenant de médicaments connexes, ce médicament peut passer dans le lait maternel et peut avoir des effets indésirables sur un nourrisson infirmier. L'allaitement maternel lors de l'utilisation de ce médicament n'est pas recommandé. Symptômes de sevrage Peut se produire si vous arrêtez soudainement ce médicament.
Informations Complémentaires
Notre centre de médicaments sur les effets secondaires du biblium (chlordiazépoxyde) offre une vue complète des informations sur les médicaments disponibles sur les effets secondaires potentiels lors de la prise de ce médicament.
Informations sur les médicaments de la FDA
- Description de la drogue
- Indications
- Effets secondaires
- Avertissements
- Précautions
- Surdosage
- Pharmacologie clinique
- Guide des médicaments
Description du Librium
Librium Le chlordiazépoxyde d'origine HCI et le prototype des composés de benzodiazépine ont été synthétisés et développés chez Hoffmann-La Roche Inc. Il s'agit d'un agent thérapeutique polyvalent de valeur prouvée pour le soulagement de l'anxiété. Le biblium (chlordiazépoxyde) est parmi les plus sûrs des composés psychopharmacologiques efficaces disponibles comme démontré par des preuves cliniques approfondies.
Le biblium (chlordiazépoxyde) est disponible sous forme de capsules contenant 5 mg 10 mg ou 25 mg de chlordiazépoxyde HCI. Chaque capsule contient également du lactose d'amidon de maïs et du talc. Les coquilles de capsule de gélatine peuvent contenir du méthyle et des propyl parabènes et du sorbateur de potassium avec les systèmes de colorant suivants: Capsules de 5 mg - FD
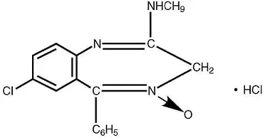
Le chlorhydrate de chlordiazépoxyde est le chlorhydrame 7-phloro-2- (méthylamino) -5-phényl-3H-14-benzodiazépine 4-oxyde. Une substance cristalline blanche à pratiquement blanche est soluble dans l'eau. Il est instable en solution et la poudre doit être protégée de la lumière. Le poids moléculaire est de 336,22. La formule structurelle de la chlorhydrate de chlordiazépoxyde est la suivante:
À quoi sert la térébenthine de gomme
|
Utilisations pour Librium
Le biblium (chlordiazépoxyde) est indiqué pour la gestion des troubles anxieux ou pour le soulagement à court terme des symptômes des symptômes de l'alcoolisme aigu et de l'alcoolisme et de l'anxiété préopératoire. L'anxiété ou la tension associée au stress de la vie quotidienne ne nécessite généralement pas de traitement avec une anxiolytique.
L'efficacité du librium (chlordiazépoxyde) dans une utilisation à long terme qui est plus de 4 mois n'a pas été évaluée par des études cliniques systématiques. Le médecin doit réévaluer périodiquement l'utilité du médicament pour le patient individuel.
Dosage pour le biblium
En raison de la large gamme d'indications cliniques pour le biblium (chlordiazépoxyde), la dose optimale varie avec le diagnostic et la réponse du patient individuel. La posologie doit donc être individualisée pour des effets bénéfiques maximaux.
| Adultes | Dose quotidienne habituelle |
| Soulagement des troubles anxieux légers et modérés et symptômes d'anxiété | 5 mg ou 10 mg 3 ou 4 fois par jour |
| Soulagement des troubles anxieux graves et symptômes d'anxiété | 20 mg ou 25 mg 3 ou 4 fois par jour |
| Patients gériatriques ou en présence d'une maladie débilitante. | 5 mg 2 à 4 fois par jour |
Appréhension et anxiété préopératoires: les jours précédant la chirurgie de 5 à 10 mg par voie orale 3 ou 4 fois par jour. S'il est utilisé comme médicament préopératoire 50 à 100 mg Im * 1 heure avant la chirurgie.
| Patients pédiatriques | Dose quotidienne habituelle |
| En raison de la réponse variée des patients pédiatriques à la thérapie par médicaments à l'action du SNC doit être initiée avec la dose la plus faible et augmentée au besoin. Étant donné que l'expérience clinique chez les patients pédiatriques de moins de 6 ans est limitée, l'utilisation du médicament dans ce groupe d'âge n'est pas recommandée. | 5 mg 2 à 4 fois par jour (may be increased in some pediatric patients to 10 mg 2 to 3 times daily) |
Pour le soulagement des symptômes de sevrage de l'alcoolisme aigu, la forme parentérale * est généralement utilisée initialement. Si le médicament est administré par voie orale, la dose initiale suggérée est de 50 à 100 mg pour être suivie de doses répétées au besoin jusqu'à ce que l'agitation soit contrôlée jusqu'à 300 mg par jour. La posologie doit ensuite être réduite aux niveaux de maintenance.
* Voir l'insert du package pour le biblium injectable (chlordiazépoxyde HCI).
Comment fourni
Des capsules de librium (chlordiazépoxide hCI) sont disponibles dans les présentations suivantes:
5 mg Capsules de gélatine dure dans des bouteilles de 100 (NDC-0187-3750-10) avec Librium (chlordiazépoxyde) 5 imprimé sur le capuchon vert opaque et ICN imprimé sur le corps jaune opaque.
10 mg Capsules de gélatine dure dans des bouteilles de 100 (NDC-0187-3751-10) avec Librium (chlordiazépoxyde) 10 imprimé sur le capuchon noir opaque et ICN imprimé sur le corps vert opaque.
25 mg Capsules de gélatine dure dans des bouteilles de 100 (NDC-0187-3758-10) avec Librium (chlordiazépoxyde) 25 imprimé sur le capuchon vert opaque et ICN imprimé sur le corps blanc opaque.
Stocker à 25 ° C (77 ° F); Excursions autorisées à 15 ° C - 30 ° C (59 ° F - 86 ° F).
Vaiant Pharmaceuticals International Costa Mesa CA 92626. Rev. juillet 2005. FDA Rev Date: 9/6/2002
Effets secondaires du biblium
La nécessité d'arrêter la thérapie en raison d'effets indésirables a été rare. L'ataxie et la confusion de somnolence ont été signalées chez certains patients, en particulier les personnes âgées et affaiblies. Bien que ces effets puissent être évités dans presque tous les cas par un ajustement de dosage approprié, ils ont parfois été observés aux gammes de posologie inférieures. Dans quelques cas, une syncope a été signalée.
Les autres effets indésirables rapportés au cours du traitement comprennent des cas isolés d'éruptions cutanées œdème des irrégularités menstruelles mineures nausées et des symptômes extrapyramidaux de constipation ainsi qu'une libido accrue et diminuée. Ces effets secondaires ont été peu fréquents et sont généralement contrôlés avec une réduction de la dose. Des changements dans les modèles EEG (activité rapide à basse tension) ont été observés chez les patients pendant et après le traitement du biblium (chlordiazépoxyde).
Omeprazole DR 20 mg effets secondaires
Dyscrasies sanguines (y compris Agranulocytisie ) jaunisse et le dysfonctionnement hépatique a parfois été signalé pendant le traitement. Lorsque le biblium (chlordiazépoxyde) est un traitement périodique provisoire et des tests de fonction hépatique sont recommandés.
Abus de drogues et dépendance : Les capsules de chlorhydrate de chlordiazépoxyde sont classées par les Administration de l'application des médicaments en tant que substance contrôlée de l'annexe IV.
Symptômes de sevrage similar in character to those noted with barbiturates and alcohol (convulsions tremor abdominal and muscle cramps vomissement and sweating) have occurred following abrupt discontinuance of chlordiazepoxide. The more severe withdrawal symptoms have usually been limited to those patients who had received excessive doses over an extended period of time. Generally milder withdrawal symptoms (eg dysphoria and insomnia) have been reported following abrupt discontinuance of benzodiazepines taken continuously at therapeutic levels for several months. Consequently after extended therapy abrupt discontinuation should generally be avoided and a gradual dosage tapering schedule followed. Addiction-prone individuals (such as drug addicts or alcoholics) should be under careful surveillance when receiving chlordiazepoxide or other psychotropic agents because of the predisposition of such patients to habituation and dependence.
losartan potassium hctz 50 12,5 mg
Interactions médicamenteuses pour le biblium
Aucune information fournie.
Avertissements for Librium
Le chlordiazépoxyde HCI peut altérer les capacités mentales et / ou physiques nécessaires pour l'exécution de tâches potentiellement dangereuses telles que la conduite d'un véhicule ou de machines de fonctionnement. De même, il peut nuire à la vigilance mentale chez les enfants. L'utilisation concomitante d'alcool ou d'autres dépresseurs du système nerveux central peut avoir un effet additif. Les patients doivent être avertis en conséquence .
Utilisation de la grossesse: Un risque accru de malformations congénitales associés à l'utilisation de tranquillisants mineurs (chlordiazépoxide diazépam et méprobamate) au cours du premier trimestre de la grossesse a été suggéré dans plusieurs études. Parce que l'utilisation de ces médicaments est rarement une question d'urgence que leur utilisation pendant cette période devrait presque toujours être évitée. La possibilité qu'une femme en potentiel de procréation puisse être enceinte au moment de l'institution de thérapie. Les patients doivent être informés que s'ils tombent enceintes pendant le traitement ou ont l'intention de devenir enceintes, ils devraient communiquer avec leurs médecins au sujet de l'opportunité d'arrêter le médicament.
Symptômes de sevrage of the barbiturate type have occurred after the discontinuation of benzodiazepines. (See Abus de drogues et dépendance section.)
Précautions for Librium
Chez les patients âgés et affaiblis, il est recommandé que la posologie soit limitée au plus petit montant efficace pour empêcher le développement de l'ataxie ou de la sureséfication (10 mg ou moins par jour initialement pour être augmentée progressivement au besoin et toléré). En général, l'administration concomitante de biblium (chlordiazépoxyde) et d'autres agents psychotropes n'est pas recommandée. Si une telle thérapie combinée semble indiquée de considérer une attention particulière à être utilisée à la pharmacologie des agents à utiliser, en particulier lorsque les composés potentialisés connus tels que les inhibiteurs de MAO et les phénothiazines doivent être utilisés. Les précautions habituelles dans le traitement des patients atteints de fonction rénale ou hépatique altérée doivent être observées.
Des réactions paradoxales, par exemple, la stimulation de l'excitation et la rage aiguë ont été rapportées chez les patients psychiatriques et chez les patients pédiatriques agressifs hyperactifs et doivent être surveillés pendant le traitement du biblium (chlordiazépoxyde). Les précautions habituelles sont indiquées lorsque le biblium (chlordiazépoxyde) est utilisé dans le traitement des états d'anxiété lorsqu'il existe des preuves de dépression imminente; Il convient de garder à l'esprit que des tendances suicidaires peuvent être présentes et des mesures de protection peuvent être nécessaires. Bien que les études cliniques n'aient pas établi de cause à l'effet des relations, les médecins devraient être conscients que des effets variables sur la coagulation sanguine ont été rapportés très rarement chez les patients recevant des anticoagulants oraux et du biblium. Compte tenu des rapports isolés associant le chlordiazépoxyde à l'exacerbation de la prudence de la porphyrie devraient être exercés pour prescrire du chlordiazépoxyde aux patients souffrant de cette maladie.
Usage pédiatrique : En raison de la réponse variée des patients pédiatriques à la thérapie par médicaments à l'action du SNC doit être initiée avec la dose la plus faible et augmentée au besoin (voir Posologie et administration ). Étant donné que l'expérience clinique avec le biblium (chlordiazépoxyde) chez les patients pédiatriques de moins de 6 ans est limitée dans ce groupe d'âge n'est pas recommandée. Les patients pédiatriques agressifs hyperactifs doivent être surveillés pour des réactions paradoxales au biblium (chlordiazépoxyde) (voir PRÉCAUTIONS ).
Informations sur la surdose pour le biblium
Les manifestations du surdosage du biblium (chlordiazépoxyde) comprennent la confusion de somnolence coma et les réflexes diminués. Le pouls de respiration et la pression artérielle doivent être surveillés comme dans tous les cas de surdosage médicamenteux, bien que, en général, ces effets aient été minimes après le surdosage du biblium (chlordiazépoxyde). Des mesures générales de soutien doivent être utilisées ainsi qu'un lavage gastrique immédiat. Les liquides intraveineux doivent être administrés et une voie aérienne adéquate. Hypotension Peut être combattu par l'utilisation de légumes * (norépinéphrine) ou d'aramine (métaraminol). La dialyse est d'une valeur limitée. Il y a eu des rapports occasionnels d'excitation chez les patients après un surdosage du chlordiazépoxyde HCI; Si cela se produit, les barbituriques ne doivent pas être utilisés. Comme pour la gestion d'un surdosage intentionnel avec tout médicament, il convient de garder à l'esprit que plusieurs agents peuvent avoir été ingérés.
Flumazénil Un antagoniste spécifique de benzodiazépine-récepteur est indiqué pour l'inversion complète ou partielle des effets sédatifs des benzodiazépines et peut être utilisé dans des situations lorsqu'une surdose avec une benzodiazépine est connue ou suspectée. Avant l'administration de flumazenil, les mesures nécessaires doivent être instituées pour sécuriser la ventilation des voies respiratoires et l'accès par voie intraveineuse. Le flulazenil est conçu comme un complément à ne pas substituer à une bonne gestion de la surdose de benzodiazépine. Les patients traités par du flumazénil doivent être surveillés pour la résidation de la dépression respiratoire et d'autres effets résiduels de benzodiazépine pendant une période appropriée après le traitement. Le prescripteur doit être conscient d'un risque de crise en association avec le traitement du flounil, en particulier chez les utilisateurs de benzodiazépine à long terme et dans une surdose antidépresseurs cyclique. L'insertion complète du package Flumazenil, y compris les contre-indications, les avertissements et les précautions doivent être consultés avant l'utilisation.
Contre-indications pour le biblium
Le biblium (chlordiazépoxyde) est contre-indiqué chez les patients présentant une hypersensibilité connue au médicament.
Pharmacologie clinique for Librium
Le biblium (chlordiazépoxyde HCI) a des actions analgésiques stimulantes et faibles sédatifs antianxiété et faibles. Le mécanisme d'action précis n'est pas connu. La drogue bloque l'excitation EEG de la stimulation de la formation réticulaire du tronc cérébral. Il faut plusieurs heures pour que les taux sanguins de pointe soient atteints et la demi-vie du médicament est comprise entre 24 et 48 heures. Une fois le médicament, les taux plasmatiques interrompus diminuent lentement sur une période de plusieurs jours. Le chlordiazépoxyde est excrété dans l'urine avec 1% à 2% inchangé et 3% à 6% comme conjugué.
Pharmacologie animale: le médicament a été largement étudié chez de nombreuses espèces d'animaux et ces études suggèrent une action sur le système limbique du cerveau qui, selon les preuves récentes, est impliquée dans les réponses émotionnelles.
Des singes hostiles ont été rendus apprivoisés par des doses de médicament orales qui n'ont pas provoqué de sédation. Le chlordiazépoxyde HCI a révélé une action de «dommage» avec l'élimination de la peur et de l'agression. L'effet d'approvisionnement du chlordiazépoxyde HCI a été démontré chez le rat rendu vicieux par des lésions dans la zone septale du cerveau. La posologie du médicament qui a effectivement bloqué la réaction vicieuse était bien inférieure à la dose qui a provoqué la sédation chez ces animaux.
Qu'est-ce que le cypionate de testostérone est utilisé pour
Le LDM du chlordiazépoxyde HCI administré par parenteler a été déterminé chez les souris (72 heures) et les rats (5 jours) et calculés selon la méthode de Miller et Tainter avec les résultats suivants: souris IV 123 12mg / kg; souris IM 366 ± 7 mg / kg; rats IV 120 ± 7 mg / kg; rats IM> 160 mg / kg.
Effets sur la reproduction: des études de reproduction chez des rats nourris 10 et 80 mg / kg par jour et élevés par un ou deux accouplements n'ont montré aucune anomalie congénitale et il n'y avait pas d'effets négatifs sur la lactation des barrages ou la croissance du nouveau-né. Cependant, dans une autre étude à 100 mg / kg par jour, il a été noté une diminution significative du taux de fertilisation et une diminution marquée de la viabilité et du poids corporel de la congé
infirmières maternelles et soins des jeunes. Un nouveau-né dans chacune des première et deuxième avis de l'étude de reproduction du rat à la dose de 100 mg / kg a montré des défauts squelettiques majeurs. D'autres études sont en cours pour déterminer la signification de ces résultats.
Informations sur les patients pour le biblium
Pour assurer l'utilisation sûre et efficace des benzodiazépines, il faut informer que, comme les benzodiazépines peuvent produire une dépendance psychologique et physique, il est conseillé de consulter leur médecin avant d'augmenter la dose ou d'arrêter brusquement ce médicament.