Les Informations Présentées Sur Ce Site Ne Constituent Pas Un Avis Médical. Nous Ne Vendons Rien. L'Exactitude De La Traduction N'Est Pas Garantie. Clause De Non-Responsabilité



Prévacide

Résumé

Qu'est-ce que Prévacide?

La prevacide (lansoprazole) est un inhibiteur de la pompe à protons (IPP) utilisée pour traiter et prévenir l'estomac de l'estomac et des ulcères intestinaux érosive (dommage à l'œsophage de l'acide gastrique) et d'autres conditions impliquant un acide gastrique excessif tel que Syndrome de Zollinger-Ellison . Prevacid est disponible en générique formulaire.

Quels sont les effets secondaires de la prevacide?

Prévacide peut provoquer des effets secondaires graves, notamment:



  • douleur à l'estomac sévère
  • Diarrhée contenant du sang
  • crise d'épilepsie (Convulsions
  • difficulté à uriner
  • sang dans votre urine
  • gonflement
  • gain de poids rapide
  • vertiges
  • fréquence cardiaque rapide ou irrégulière
  • tremblement
  • mouvements musculaires saccadés
  • Se sentir nerveux
  • Crampes musculaires ou spasmes dans vos mains ou vos pieds
  • toux
  • avoir l'impression de s'étouffer
  • douleurs articulaires et
  • Éruption cutanée sur vos joues ou bras qui s'aggrave au soleil

Obtenez de l'aide médicale immédiatement si vous présentez l'un des symptômes énumérés ci-dessus.



Les effets secondaires de Pevacid comprennent des maux de tête Nausées Diarrhée Douleurs d'estomac ou constipation. Contactez votre médecin si vous ressentez des effets secondaires graves de la prevacide, notamment:

  • vertiges
  • fréquence cardiaque rapide ou irrégulière
  • Diarrhée aqueuse ou sanglante
  • Crampes musculaires ou faiblesse
  • mouvements musculaires saccadés
  • confusion
  • Se sentir nerveux or
  • crise d'épilepsies.

Cherchez des soins médicaux ou appelez le 911 à la fois si vous avez les effets secondaires graves suivants:



  • Des symptômes oculaires graves tels que la perte de vision soudaine floue du tunnel de vision de la vision de la vision des yeux ou de l'enflure ou de voir des halos autour des lumières;
  • Symptômes cardiaques graves tels que les battements cardiaques rapides ou battants; flotter dans votre poitrine; essoufflement; Et des étourdissements soudains étourdissement ou s'évanouir;
  • Maux de tête sévères Confusion Slurred Speech Bras ou Ligne Proulitude Trouble de la merde Perte de coordination Sentiment des muscles très rigides très rigides Fièvre élevée Propice ou des tremblements.

Ce document ne contient pas tous les effets secondaires possibles et d'autres peuvent survenir. Vérifiez auprès de votre médecin des informations supplémentaires sur les effets secondaires.

Dosage pour Prévacide

La dose de prévacide dépend de la condition traitée. Les capsules de lansoprazole doivent être prises avant les repas pour un effet maximum. Les capsules doivent être avalées entières et ne doivent pas être écrasées divisées ou mâchées.

Quelles substances ou suppléments de médicaments interagissent avec le prevacide?

Le prévacide peut interagir avec le sucralfate ampicilline atazanavir digoxine fer kétoconazole méthotrexate theophylline sanguin ou diurétique (pilules d'eau). Dites à votre médecin tous les médicaments et suppléments que vous utilisez. Dites à votre médecin si vous êtes enceinte ou prévoyez de tomber enceinte pendant le traitement avec prevacide.

Prévacide pendant la grossesse et l'allaitement

Le prévacide ne devrait pas être nocif pour un fœtus. On ne sait pas si la prevacide passe dans le lait maternel ou si elle pourrait nuire à un bébé qui allaitait. Consultez votre médecin avant l'allaitement.

Informations Complémentaires

Notre centre de médicaments sur les effets secondaires Prevacid offre une vue complète des informations sur les médicaments disponibles sur les effets secondaires potentiels lors de la prise de ce médicament.

Informations sur les médicaments de la FDA

Description de la prevacide

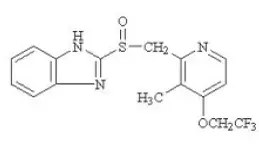
L'ingrédient actif dans les capsules à libération retardée prévcia et les comprimés de désintégration par voie orale du solutab prévacidés est le lansoprazole un benzimidazole 2 - [[3-méthyl-4- (222trifluoroéthoxy) -2-pyridyle] sélecyle] sulfinyle benzimidazole un compound qui inhibe l'acide méthyl] sulfinyle benzimidazole un composé qui inhibte l'acide méthyl] sulfinyle de benzimidazole un compendu qui inhibe l'acide phyllacique. Sa formule empirique est C 16 H 14 F 3 N 3 O 2 S avec un poids moléculaire de 369,37. Le lansoprazole a la structure suivante:

Le lansoprazole est une poudre cristalline inodore blanche à blanc brunâtre qui fond avec une décomposition à environ 166 ° C. Le lansoprazole est librement soluble dans le diméthylformamide; soluble dans le méthanol; Sortie «soluble dans l'éthanol; légèrement soluble dans le dichlorométhane et l'acétonitrile à l'acétate d'éthyle; Très légèrement soluble dans l'éther et pratiquement insoluble dans l'hexane et l'eau.

Le lansoprazole est stable lorsqu'il est exposé à la lumière jusqu'à deux mois. Le taux de dégradation du composé dans une solution aqueuse augmente avec une diminution du pH. La demi-vie de dégradation de la substance médicamenteuse dans une solution aqueuse à 25 ° C est d'environ 0,5 heure à pH 5,0 et environ 18 heures à pH 7,0.

La prevacide est fournie dans des capsules à libération retardée et le solutab prévacide est fourni dans des comprimés de désintégration par voie orale à libération orale (Solutab) pour l'administration orale.

Prévacide est disponible en deux forces posologiques: 15 et 30 mg de lansoprazole par capsule. Chaque capsule à libération retardée contient des granules à revêtement entérique composés de 15 ou 30 mg de lansoprazole (ingrédient actif) et des ingrédients inactifs suivants: sphère de sucre de sucre de sucrosé dioxyde de silicium colloïdal de l'hydroxypropyl-cellulose 1 et FD

Prevacid Solutab est disponible en deux forces posologiques: 15 et 30 mg de lansoprazole par comprimé. Chaque comprimé délégué à libération orale à libération orale contient des microgranules à revêtement entéricés composés de 15 ou 30 mg de lansoprazole (ingrédient actif) et les ingrédients inactifs suivants: Hydroxypropyl-cellulose inactive suivante Lactose monohydrate de lactose Crosplate Criphylose Criphylose Criphylose Criphyle carbonate aspartame 2 glycéryl monostarate hypromellose magnésium stéarate acide citrique titane dioxyde talc artificiel aromoral de fraise artificielle polyéthylène glycol polysorbate 80 et oxyde ferrique.

1 Prévacides 15 mg de capsules uniquement.
2 Phénylketonurics: Prevacid Solutab contient de la phénylalanine 2,5 mg par comprimé de 15 mg et 5,1 mg par comprimé de 30 mg.

Utilisations pour Prévacide

Traitement de l'ulcère duodénal actif

Le solutab prévacide et prévacide est indiqué chez les adultes pour un traitement à court terme (pendant quatre semaines) pour la guérison et le soulagement des symptômes de l'ulcère duodénal actif [voir Études cliniques ].

Éradication de H. pylori Pour réduire le risque de récidive des ulcères duodénaux

Triple thérapie: Solutab précacide ou prévcial / amoxicilline / clarithromycine

Solutab prévacide ou prévacide en combinaison avec l'amoxicilline plus la clarithromycine car un traitement triple est indiqué chez les adultes pour le traitement des patients atteints H. pylori infection et ulcère duodénal (actif ou antécédent d'un ulcère duodénal) pour éradiquer H. pylori . Éradication de H. pylori Il a été démontré qu'il réduit le risque de récidive de l'ulcère duodénal [voir Études cliniques ].

Veuillez vous référer aux informations de prescription complètes de l'amoxicilline et de la clarithromycine.

Double thérapie: Solutab / amoxicilline prévacide ou prévcial

Solutab prévacide ou prévacide en combinaison avec l'amoxicilline comme double thérapie est indiqué chez les adultes pour le traitement des patients atteints H. pylori infection et ulcère duodénal (actif ou un an d'histoire d'un ulcère duodénal) qui sont soit allergiques ou intolérants à la clarithromycine, soit en qui la résistance à la clarithromycine est connue ou suspectée (Voir la section de microbiologie des informations de la clarithromycine de prescription). Éradication de H. pylori Il a été démontré qu'il réduit le risque de récidive de l'ulcère duodénal [voir Études cliniques ].

Veuillez vous référer aux informations de prescription complètes de l'amoxicilline.

Entretien des ulcères duodénaux guéris

Le solutab prévacide et prévcial est indiqué chez les adultes pour maintenir la guérison des ulcères duodénaux. Les études contrôlées ne s'étendent pas au-delà de 12 mois [voir Études cliniques ].

Traitement de l'ulcère gastrique bénin actif

Le solutab prévacide et prévacide est indiqué chez les adultes pour un traitement à court terme (jusqu'à huit semaines) pour la guérison et le soulagement des symptômes de l'ulcère gastrique bénin actif [voir Études cliniques ].

Guérison de l'ulcère gastrique associé aux AINS

Le solutab prévacide et prévcial est indiqué chez les adultes pour le traitement de l'ulcère gastrique associé aux AINS chez les patients qui continuent d'utiliser les AINS. Les études contrôlées ne s'étendent pas au-delà de huit semaines [voir Études cliniques ].

Réduction du risque de l'ulcère gastrique associé aux AINS

Le solutab prévacide et prévaciaire est indiqué chez les adultes pour réduire le risque d'ulcères gastriques associés aux AINS chez les patients ayant des antécédents d'un ulcère gastrique documenté qui nécessitent l'utilisation d'un AINS. Les études contrôlées ne s'étendent pas au-delà de 12 semaines [voir Études cliniques ].

Traitement de la maladie symptomatique du reflux gastro-œsophagien (RGO)

Le solutab prévacide et prévacide est indiqué pour un traitement à court terme chez les adultes et les patients pédiatriques de 12 à 17 ans (jusqu'à huit semaines) et les patients pédiatriques un à 11 ans (jusqu'à 12 semaines) pour le traitement des brûlures d'estomac et d'autres symptômes associés au RGO [voir Études cliniques ].

Traitement de l'œsophagite érosive (EE)

Le solutab prévacide et prévaciaire est indiqué pour un traitement à court terme chez les adultes et les patients pédiatriques de 12 à 17 ans (jusqu'à huit semaines) et les patients pédiatriques un à 11 ans (jusqu'à 12 semaines) pour la guérison et le soulagement des symptômes de tous les grades d'EE.

Pour les adultes qui ne guérissent pas avec du solutab prévacide ou prévcial pendant huit semaines (5 à 10%), il peut être utile de donner huit semaines de traitement supplémentaires. S'il y a une récidive de l'œsophagite érosive, un cours supplémentaire de huit semaines de solutab prévacide ou prévcial peut être envisagé [voir Études cliniques ].

Entretien de la guérison de l'EE

Le solutab prévacide et prévcial est indiqué chez les adultes pour maintenir la guérison de l'EE. Les études contrôlées ne s'étendent pas au-delà de 12 mois [voir Études cliniques ].

Y a-t-il un générique pour la carence

Des conditions hypersécrétoires pathologiques, y compris le syndrome de Zollinger-Ellison (ZES)

Le solutab prévacide et prévacide est indiqué chez les adultes pour le traitement à long terme des conditions hypersécrétoires pathologiques, y compris le syndrome de Zollinger-Ellison [voir Études cliniques ].

Dosage pour Prévacide

Dosage adulte recommandé par indication

Indication Dose recommandée Fréquence
Ulcères duodénaux
Traitement à court terme 15 mg Une fois par jour pendant 4 semaines
Entretien de guéris 15 mg Une fois par jour
Éradication de H. pylori pour réduire le risque de récidive de l'ulcère duodénal *
Triple thérapie:
Solutab prévacide ou prévcial 30 mg Deux fois par jour pendant 10 ou 14 jours
Amoxicilline 1 gramme Deux fois par jour pendant 10 ou 14 jours
Clarithromycine 500 mg Deux fois par jour pendant 10 ou 14 jours
Double thérapie:
Solutab prévacide ou prévcial 30 mg Trois fois par jour pendant 14 jours
Amoxicilline 1 gramme Trois fois par jour pendant 14 jours
Ulcère gastrique bénin
Traitement à court terme 30 mg Une fois par jour for up to 8 weeks
Ulcère gastrique associé aux AINS
Guérison 30 mg Une fois par jour for 8 weeks†
Réduction des risques 15 mg Une fois par jour for up to 12 weeks†
Maladie du reflux gastro-œsophagien (RGO)
Traitement à court terme of RGO symptomatique 15 mg Une fois par jour for up to 8 weeks
Traitement à court terme of Œsophagite érosive 30 mg Une fois par jour for up to 8 weeks‡
Entretien de la guérison de l'œsophagite érosive 15 mg Une fois par jour¶
Des conditions hypersécrétoires pathologiques, y compris le syndrome de Zollinger-Ellison 60 mg Une fois par jour§
* Veuillez vous référer à l'amoxicilline et à la clarithromycine de prescription complète des informations sur les contre-indications et les avertissements et les précautions et pour des informations concernant le dosage chez les patients âgés et renommés.
† Les études contrôlées ne s'étendent pas au-delà de la durée indiquée.
‡ Pour les patients qui ne guérissent pas avec du solutab prévacide ou prévcial pendant huit semaines (5 à 10%), il peut être utile de donner huit semaines de traitement supplémentaires. S'il y a une récidive de l'œsophagite érosive, un cours supplémentaire de huit semaines de solutab prévacide ou prévcial peut être pris en compte.
§ varie avec le patient individuel. La dose de départ adulte recommandée est de 60 mg une fois par jour. Les doses doivent être ajustées aux besoins individuels des patients et doivent se poursuivre aussi longtemps que l'indique cliniquement. Les dosages jusqu'à 90 mg deux fois par jour ont été administrés. La dose quotidienne de plus de 120 mg doit être administrée à des doses divisées. Certains patients atteints du syndrome de Zollinger-Ellison ont été traités en continu avec prevacide depuis plus de quatre ans.
¶ Les études contrôlées ne s'étendent pas au-delà de 12 mois.

Dosage pédiatrique recommandé par indication

Patients pédiatriques de 1 à 11 ans

Dans les études cliniques, le prévacide n'était pas administré au-delà de 12 semaines chez 1 à 11 ans. On ne sait pas si le prevacide est sûr et efficace s'il est utilisé plus longtemps que la durée recommandée. Ne dépassez pas la dose et la durée d'utilisation recommandées chez les patients pédiatriques comme indiqué ci-dessous [voir Utiliser dans des populations spécifiques ].

Indication Dose recommandée Fréquence
Traitement à court terme of RGO symptomatique and Traitement à court terme of Œsophagite érosive
≤ 30 kg 15 mg Une fois par jour for up to 12 weeks
> 30 kg 30 mg Une fois par jour for up to 12 weeks
Patients pédiatriques de 12 à 17 ans
Indication Dose recommandée Fréquence
Traitement à court terme of RGO symptomatique
RGO non érosif 15 mg Une fois par jour for up to 8 weeks
Œsophagite érosive 30 mg Une fois par jour for up to 8 weeks

Trouble hépatique

La posologie recommandée est de 15 mg par voie orale par jour chez les patients souffrant de troubles du foie sévère (Child-Pugh C) [voir Utiliser dans des populations spécifiques ].

Informations d'administration importantes

  • Prenez un solutab Prevacide ou Prévacide avant les repas.
  • N'écrasez pas ou ne mâchez pas la capsule Prévacide ou le solutab prévacide.
  • Prenez le solutab prévacide ou prévacide au moins 30 minutes avant le sucralfate [voir Interactions médicamenteuses ].
  • Les antiacides peuvent être utilisés concomitamment avec le solutab prévacide ou prévcial.
  • Doses manquées: si une dose est manquée, administrez dès que possible. Cependant, si la prochaine dose prévue est due, ne prenez pas la dose manquée et prenez la prochaine dose à temps. Ne prenez pas deux doses à la fois pour compenser une dose manquée.
Capsules prévacides
  • Avaler entier; Ne mâchez pas.
  • Pour les patients qui ont des difficultés à avaler des capsules de capsules prévacides peuvent être ouvertes et administrées par voie orale ou via un tube nasogastrique dans les aliments mous ou les liquides spécifiés ci-dessous.
  • L'administration de prévacide dans les aliments ou les liquides autres que celles discutées ci-dessous n'a pas été étudiée cliniquement et ne sont donc pas recommandées.

Administration dans les aliments mous (compote de pommes assurez-vous que le yaourt au fromage cottage ou les poires tendues)

  1. Capsule ouverte.
  2. Saupoudrer des granules intacts sur une cuillère à soupe de compote de pommes assurer le yogourt au fromage cottage de pudding ou des poires tendues.
  3. Avaler immédiatement.

Administration dans les liquides (jus de pomme jus d'orange ou jus de tomate)

  1. Capsule ouverte.
  2. Saupoudrer des granules intacts dans un petit volume de jus d'orange de jus de pomme ou de jus de tomate (60 ml - environ deux onces).
  3. Mélanger brièvement.
  4. Avaler immédiatement.
  5. Pour assurer la livraison complète de la dose, rincez le verre avec deux ou plusieurs volumes de jus et avalez immédiatement le contenu.

Administration avec du jus de pomme à travers un tube nasogastrique (≥16 français)

  1. Capsule ouverte.
  2. Saupoudrer des granules intacts dans 40 ml de jus de pomme.
  3. Mélanger brièvement.
  4. À l'aide d'une seringue à pointe de cathéter, aspirez le mélange.
  5. Injectez à travers le tube nasogastrique dans l'estomac.
  6. Rinder avec du jus de pomme supplémentaire pour dégager le tube.
Solutab prévacide
  • Ne cassez pas ou ne coupez pas.
  • Placer le comprimé sur la langue, laissez-lui se désintégrer avec ou sans eau jusqu'à ce que les microgranules puissent être avalés. Ne mâchez pas les microgranules.
  • La tablette se désintègre généralement en moins d'une minute.
  • Alternativement pour les enfants ou d'autres patients qui ont du mal à avaler des comprimés de solutab prévacide peuvent être administrés avec de l'eau via une seringue orale ou un tube NG comme suit:

Administration avec de l'eau dans une seringue orale

  1. Placer un comprimé de 15 mg dans une seringue orale et tirer 4 ml d'eau ou placer un comprimé de 30 mg dans une seringue orale et tirer 10 ml d'eau.
  2. Secouez doucement pour permettre une dispersion rapide.
  3. Une fois la tablette dispersée, administrez le contenu dans les 15 minutes suivant le mélange dans la bouche. Ne conservez pas le mélange d'eau et de microgranule pour une utilisation ultérieure.
  4. Remplissez la seringue avec environ 2 ml (5 ml pour le comprimé de 30 mg) de secouer doucement et administrer tout contenu restant.

Administration avec de l'eau via un tube NG (≥8 français)

  1. Placer un comprimé de 15 mg dans une seringue à pointe de cathéter et tirer 4 ml d'eau ou placer une tablette de 30 mg dans une seringue à pointe de cathéter et tirer 10 ml d'eau.
  2. Secouez doucement pour permettre une dispersion rapide.
  3. Une fois la tablette dispersée, secouez doucement la seringue à pointe de cathéter afin d'empêcher les microgranules de s'installer et d'injecter immédiatement le mélange à travers le tube NG dans l'estomac dans les 15 minutes suivant le mélange. Ne conservez pas le mélange d'eau et de microgranule pour une utilisation ultérieure.
  4. Remplissez la seringue à pointe du cathéter avec environ 5 ml d'eau trembler doucement et rincez le tube.

Comment fourni

Dosage Forms And Strengths

Capsules à libération retardée prévacide:

  • 15 mg La force n'est pas actuellement commercialisée par Takeda Pharmaceuticals America Inc.
  • 30 mg strength is an opaque pink and black capsule imprinted with TAP and Prévacide 30.

Solutab prévacide delayed-release orally disintegrating tablets:

  • 15 mg strength is a white to yellowish white uncoated round tablet containing orange to dark brown speckles with 15 debossed on one side.
  • 30 mg strength is a white to yellowish white uncoated round tablet containing orange to dark brown speckles with 30 debossed on one side.

Stockage et manipulation

Prévacide 15 mg La force n'est pas actuellement commercialisée par Takeda Pharmaceuticals America Inc.

Prévacide 30 mg Les capsules à libération retardée sont du rose opaque et du noir avec un robinet et un prévacide 30 imprimés sur les capsules. Ils sont disponibles comme suit:

Numéro NDC Taille
64764-046-13 Bouteilles de capsules de 100: 30 mg

Solutab prévacide Les comprimés de désintégration par voie orale retardés 15 mg sont des comprimés blancs rond blancs à blanc jaunâtre contenant des taches orange à brun foncé avec 15 débosses d'un côté de la tablette. Les 30 mg sont des comprimés blancs blancs à blanc jaunâtre contenant des mouchets orange à brun foncé avec 30 dégradés d'un côté de la tablette. Les tablettes sont disponibles comme suit:

Numéro NDC Taille
64764-543-11 Packages de doses unitaires de comprimés de 100: 15 mg
64764-544-11 Packages de doses unitaires de comprimés de 100: 30 mg

Stocker à 25 ° C (77 ° F); Excursions autorisées à 15 à 30 ° C (59 à 86 ° F) [voir Température ambiante contrôlée par l'USP ].

Distribué par: Takeda Pharmaceuticals America Inc. Lexington MA 02421.

Effets secondaires for Prevacid

Les réactions indésirables graves suivantes sont décrites ci-dessous et ailleurs dans l'étiquetage:

  • Néphrite tubulo-interstitielle [voir Avertissements et précautions ]
  • Clostridium difficile - Diarrhée associée [voir Avertissements et précautions ]
  • Fracture osseuse [voir Avertissements et précautions ]
  • Réactions indésirables cutanées sévères [voir Avertissements et précautions ]
  • Lupus érythémate cutané et systémique [voir Avertissements et précautions ]
  • Carence en cyanocobalamine (vitamine B12) [voir Avertissements et précautions ]
  • Hypomagnésémie et métabolisme minéral [voir Avertissements et précautions ]
  • Polypes de glande fondamentale [voir Avertissements et précautions ]

Expérience des essais cliniques

Étant donné que les essais cliniques sont menés dans des conditions de réaction indésirables très variables observées dans les essais cliniques d'un médicament ne peuvent pas être directement comparées aux taux dans les essais cliniques d'un autre médicament et peuvent ne pas refléter les taux observés dans la pratique clinique.

Dans le monde entier, plus de 10000 patients ont été traités avec Prévacide dans les essais cliniques de phase 2 ou de phase 3 impliquant diverses doses et durées de traitement. En général, le traitement Prévacide a été bien toléré dans les essais à court terme et à long terme.

Les effets indésirables suivants ont été signalés par le médecin traitant comme ayant une relation possible ou probable avec le médicament chez 1% ou plus des patients traités par la prévaciide et se sont produits à un rythme plus élevé chez les patients traités par le Prévacide que les patients traités par placebo dans le tableau 1.

Tableau 1: Incidence des réactions indésirables éventuelles ou probablement liées au traitement dans les études prévacides contrôlées par placebo à court terme

Système corporel
Réaction indésirable
Prévacide
(N = 2768)%
Placebo
(N = 1023)%
Le corps dans son ensemble
Douleurs abdominales 2.1 1.2
Système digestif
Constipation 1.0 0.4
Diarrhée 3.8 2.3
Nausée 1.3 1.2

Les maux de tête ont également été observés à une incidence supérieure à 1% mais étaient plus courants sur le placebo. L'incidence de la diarrhée était similaire entre les patients qui ont reçu un placebo et les patients qui ont reçu 15 et 30 mg de prévacide mais plus élevé chez les patients qui ont reçu 60 mg de prévacide (NULL,9 1,4 4,2 et 7,4% respectivement).

L'événement indésirable lié au traitement le plus souvent signalé ou probablement au cours du traitement était la diarrhée.

Dans l'étude de réduction des risques de la prévacide pour les ulcères gastriques associés aux AINS, l'incidence de la diarrhée pour les patients traités par le misoprostol prévacide et le placebo était respectivement de 5 22 et 3%.

Une autre étude pour la même indication où les patients ont pris un inhibiteur du COX-2 ou du lansoprazole et du naproxène ont démontré que le profil de sécurité était similaire à l'étude antérieure. Des réactions supplémentaires de cette étude non observée auparavant dans d'autres essais cliniques atteints de prévacide ont inclus la contusion de la duodénite malaise épigastrique du trouble œsophagien de la fatigue de la fatigue de la fatigue de la fatigue haineux métaplasie et une insuffisance rénale.

Des expériences indésirables supplémentaires se produisant chez moins de 1% des patients ou des sujets qui ont reçu

Prévacide in domestic trials are shown below:

Le corps dans son ensemble - L'abdomen a agrandi la réaction allergique Asthénie Pain de dos candiase Carcinome Douleur thoracique (non spécifiée autrement) Chills œdème Fièvre Syndrome de la grippe Halitose Infection (non spécifiée autrement) Malaise Pain de cou Rimidité du cou Pain pelvien Douleur pelvienne

Système cardiovasculaire - arythmie d'angine de poitrine accident cérébral / Infarctus cérébral Hypertension / Hypotension Migraine Migraine Palpitations choc (défaillance circulatoire) Vasodilatation de tachycardie syncope

Système digestif - Tabourets anormaux Anorexie Bezoar Cardiospasme cholélithiasis Colite Dry Mouth Dyspepsie Dysphagie Esophagite Déructation Flatulence œsophagienne Nodules gastrites gastro-intestinaux gastro-intestinaux gastro-intestinaux gastro-intestinaux gastro-propres Hémorragie Glossite GUM Hémorragie hématemèse accrue l'appétit Augmentation de la salivation Mélena Ulcération de la bouche nausées et vomissements nausées et vomissements et diarrhée

Système endocrinien - diabète sucré Hypothyroïdie du goitre

Système hémic et lymphatique - lymphadénopathie d'hémolyse anémie

Métabolisme et troubles nutritionnels - Avitaminose goutte Hyperglycémie de déshydratation / hypoglycémie gain / perte de poids de l'œdème périphérique

Système musculo-squelettique - Arthralgie Arthrite Trouble osseux Trouble articulaire Crampes Musculo-squelettique Myalgie myasthénie ptosis Synovite

Système nerveux - rêves anormaux agitation amnésie anxiété apathie Confusion Convulsion Démence Dépersonnalisation Dépression Diplopie étourdie

Système respiratoire - Bronchite d'asthme La toux a augmenté la dyspnée épistaxie hémoptysie HICUCUP Néoplasie laryngée Fibrose PHARYNGITE PHARYNGITE PLONURAL PNUMONIE DÉSORMANCE RESPIRATIF

Peau et appendices - ALOPÉCIE D'ACNÉE Contact Dermatite Skin Dry Éruption FIXE Trouble des cheveux Maculopapular Entry Nail Trouble Prurit Perte Carthinome Cartraphe Skin Tirticaria Urticaire

Sens spéciaux - Vision anormale Amblyopie Blepharite Vision floue cataracte conjonctivite dedoute les yeux secs glaucome Otite moyenne Parosmie Photophobie Dégénérescence rétinienne / trouble Perte de goût Perversion Perversion Tason Field Field Field Field

Système urogénital - Mentes anormales Amélioration du sein Douleur mammaire Tendeur du sein Dysménorrhée Dyurie gynécomastie impuissance calcul rénal Douleur rénale leucorrhée Mérorragie trouble menstruel trouble du pénis Polyurie testisez la douleur urétrale fréquence urinaire rétention des voies urinaires infection urinaire urgence urilation de miction altérée vaginite

Expérience de commercialisation de la poste

Des expériences défavorables supplémentaires ont été signalées depuis le commercialisation de la pré-solutab Prevacid et Prevacid. La majorité de ces cas sont d'origine étrangère et une relation avec le solutab prévaciaire ou prévaciaire n'a pas été établie. Parce que ces réactions ont été signalées volontairement à partir d'une population de taille de taille inconnue, ne peut être effectuée. Ces événements sont répertoriés ci-dessous par Costart Body System.

Le corps dans son ensemble - Réactions anaphylactiques / anaphylactoïdes Lupus érythémateux;

Système digestif - Pancréatite d'hépatotoxicité Vomit;

Système hémic et lymphatique - agranulocytose anémie aplasique anémie hémolytique leukopénie neutropénie pancytopénie thrombocytopénie et purpura thrombocytopénique thrombotique;

Infections et infestations - Clostridium difficile -diarrhée associée;

Métabolisme et troubles nutritionnels - hypomagnésémie hypocalcémie hypokaliémie hyponatrémie;

Système musculo-squelettique - Myosite de fracture osseuse;

Peau et appendices - Les réactions dermatologiques sévères, y compris l'érythème multiforme SJS / dix (certaines mortelles) habillent Agep Cutaneous Lupus érythémate;

Sens spéciaux - trouble de la parole;

Système urogénital - Rétention urinaire de la néphrite interstitielle.

Thérapie combinée avec l'amoxicilline et la clarithromycine

Dans les essais cliniques utilisant une thérapie combinée avec la prevacide plus l'amoxicilline et la clarithromycine et la prevacide plus l'amoxicilline, aucune réaction indésirable particulière à ces combinaisons de médicaments n'a été observée. Les effets indésirables qui se sont produits ont été limités à ceux qui avaient été précédemment signalés avec l'amoxicilline prévacide ou la clarithromycine.

Triple thérapie: Prévacide/amoxicillin/clarithromycin

Les effets indésirables les plus fréquemment signalés pour les patients qui ont reçu un triple traitement pendant 14 jours étaient la diarrhée (7%) (6%) et la perversion du goût (5%). Il n'y avait aucune différence statistiquement significative dans la fréquence des effets indésirables signalés entre les schémas thérapeutiques triples de 10 et 14 jours. Aucune réaction indésirable émergente au traitement n'a été observée à des taux significativement plus élevés avec un traitement triple qu'avec tout schéma thérapeutique double.

Double thérapie: Prévacide/amoxicillin

Les effets indésirables les plus fréquemment signalés pour les patients qui ont reçu un prévacide trois fois par jour plus l'amoxicilline trois fois par jour la double thérapie était la diarrhée (8%) et les maux de tête (7%). Aucune réaction indésirable émergente au traitement n'a été observée à des taux significativement plus élevés avec un prévacide trois fois par jour plus l'amoxicilline trois fois par jour un traitement double par jour qu'avec le prevacide seul.

Pour plus d'informations sur les effets indésirables avec les agents antibactériens (amoxicilline et clarithromycine) indiqués en combinaison avec le solutab prévacide ou prévcial, reportez-vous à la section des réactions indésirables de leurs informations de prescription.

Valeurs de laboratoire

Les changements suivants dans les paramètres de laboratoire chez les patients qui ont reçu un prévacide ont été signalés comme effets indésirables:

Les tests de fonction hépatique anormaux ont augmenté l'augmentation du SGOT (AST) augmenté le SGPT (ALT) augmenté la créatinine a augmenté la phosphatase alcaline a augmenté les globulines augmente le GGTP augmenté / diminué / anormal du WBC Ag anormal urée augmentation de l'urine cristalline présente éosinophilie hémoglobine Une diminution de l'hyperlipémie a augmenté / diminué les électrolytes ont augmenté / diminué le cholestérol augmenté les glucocorticoïdes augmentent le LDH augmenté / diminué / les plaquettes anormales ont augmenté les niveaux de gastrine et le sang fecal positif. Des anomalies d'urine telles que l'albuminurie glycosurie et l'hématurie ont également été signalées. Des anomalies de laboratoire isolées supplémentaires ont été signalées.

Dans les études contrôlées par placebo, lorsque SGOT (AST) et SGPT (ALT) ont été évalués 0,4% (4/978) et 0,4% (11/2677) qui ont reçu le placebo et le prevacide respectivement des élévations enzymes supérieures à trois fois la limite supérieure de la plage normale à la visite finale du traitement. Aucun de ces patients ayant reçu un pré-prevacide n'a signalé jaunisse à tout moment de l'étude.

Dans les essais cliniques utilisant une thérapie combinée avec la prevacide plus l'amoxicilline et la clarithromycine et la prevacide plus l'amoxicilline, aucune anomalie de laboratoire accrue particulière à ces combinaisons de médicaments n'a été observée.

Pour plus d'informations sur les changements de valeur de laboratoire avec les agents antibactériens (amoxicilline et clarithromycine) indiqués en combinaison avec le solutab prévacide ou prévcial, reportez-vous à la section des réactions indésirables de leurs informations de prescription.

Interactions médicamenteuses for Prevacid

Les tableaux 2 et 3 comprennent des médicaments avec des interactions médicamenteuses cliniquement importantes et une interaction avec les diagnostics lorsqu'ils sont administrés en concomitance avec le solutab prévacide ou prévcial et des instructions pour les prévenir ou les gérer.

Consultez l'étiquetage des médicaments utilisés concomitants pour obtenir de plus amples informations sur les interactions avec les IPP.

Tableau 2: Interactions cliniquement pertinentes affectant les médicaments co-administrés avec un solutab prévacide ou prévacide et des interactions avec les diagnostics

Antirétroviral
Impact clinique: L'effet des IPP sur les médicaments antirétroviraux est variable. L'importance clinique et les mécanismes derrière ces interactions ne sont pas toujours connus.
  • Une diminution de l'exposition de certains médicaments antirétroviraux (par exemple la rilpivirine atazanavir et le nefinavir), lorsqu'elle est utilisée concomitante avec le lansoprazole, peut réduire l'effet antiviral et favoriser le développement de la résistance aux médicaments.
  • Une exposition accrue d'autres médicaments antirétroviraux (par exemple le saquinavir) lorsqu'il est utilisé en même temps avec le lansoprazole peut augmenter la toxicité des médicaments antirétroviraux.
  • Il existe d'autres médicaments antirétroviraux qui n'entraînent pas d'interactions cliniquement pertinentes avec le lansoprazole.
Intervention:

Produits contenant du rilpiririne: L'utilisation concomitante avec le solutab prévacide ou prévacide est contre-indiquée [voir Contre-indications ]. Voir les informations de prescription.
Atazanavir: Voir les informations de prescription pour atazanavir pour dosage des informations. Nelfinavir: Évitez une utilisation concomitante avec le solutab prévacide ou prévcial. Voir les informations de prescription pour Nelfinavir.
Saquinavir: Voir les informations de prescription pour Saquinavir et surveiller les toxicités potentielles de Saquinavir.
Autres antirétroviraux: Voir les informations de prescription.

Warfarine
Impact clinique: Augmentation du temps d'INR et de prothrombine chez les patients recevant des IPP et de la warfarine concomitamment. Les augmentations de l'INR et du temps de prothrombine peuvent entraîner des saignements anormaux et même la mort.
Intervention: Surveillez le temps INR et Prothrombine. Un ajustement de dose de la warfarine peut être nécessaire pour maintenir la plage INR cible. Voir les informations de prescription pour la warfarine.
Méthotrexate
Impact clinique: L'utilisation concomitante des IPP avec du méthotrexate (principalement à une dose élevée) peut augmenter et prolonger les concentrations sériques de méthotrexate et / ou de l'hydroxyméthotréxate de métabolite peut-être conduisant à des toxicités de méthotrexate. Aucune étude formelle d'interaction médicamenteuse du méthotrexate à haute dose avec des IPP n'a été menée [voir Avertissements et précautions ].
Intervention: Un retrait temporaire de solutab prévacide ou prévacide peut être pris en compte chez certains patients recevant du méthotrexate à forte dose.
Digoxine
Impact clinique: Potentiel d'une exposition accrue de la digoxine.
Intervention: Surveiller les concentrations de digoxine. Un ajustement de dose de la digoxine peut être nécessaire pour maintenir les concentrations thérapeutiques de médicaments. Voir les informations de prescription pour la digoxine.
Théophylline
Impact clinique: Alimentation accrue de la théophylline [voir Pharmacologie clinique ].
Intervention: Les patients individuels peuvent nécessiter une titrage supplémentaire de leur dose de théophylline lorsque le solutab prévacide ou prévcial est démarré ou arrêté pour assurer des concentrations sanguines cliniquement efficaces.
Médicaments dépendants du pH gastrique pour l'absorption (par exemple les sels de fer erlotinib dasatinib nilotinib mycophénolate mofetil kétoconazole / itraconazole)
Impact clinique: Le lansoprazole peut réduire l'absorption d'autres médicaments en raison de son effet sur la réduction de l'acidité intragastrique.
Intervention: Mycophénolate mofetil (MMF): La co-administration de PPI chez des sujets sains et chez les patients transplantés recevant du MMF a été signalé pour réduire l'exposition à l'acide mycophénolique du métabolite actif (MPa), peut-être en raison d'une diminution de la solubilité du MMF à un pH gastrique accru. La pertinence clinique de l'exposition réduite au MPA sur le rejet d'organe n'a pas été établie chez les patients transplantés recevant du prévacide et du MMF. Utilisez le solutab Prévacide et Prévacide avec prudence chez les patients transplantés recevant du MMF.
Voir les informations de prescription pour d'autres médicaments dépendants du pH gastrique pour l'absorption.
Thérapie combinée avec clarithromycine et amoxicilline
Impact clinique: L'administration concomitante de clarithromycine avec d'autres médicaments peut entraîner de graves effets indésirables, notamment des arythmies potentiellement mortelles et est contre-indiqué. L'amoxicilline a également des interactions médicamenteuses.
Intervention:
  • Voir contre-indications et avertissements et précautions dans la prescription d'informations pour la clarithromycine.
  • Voir les interactions médicamenteuses dans la prescription d'informations pour l'amoxicilline.
Tacrolimus
Impact clinique: Une exposition potentiellement accrue du tacrolimus, en particulier chez les patients transplantés, qui sont des métaboliseurs intermédiaires ou pauvres du CYP2C19.
Intervention: Surveiller les concentrations de creux du sang total du tacrolimus. Un ajustement de dose du tacrolimus peut être nécessaire pour maintenir les concentrations thérapeutiques de médicaments. Voir les informations de prescription pour le tacrolimus.
Interactions avec les recherches sur les tumeurs neuroendocrines
Impact clinique: Les niveaux de CGA augmentent secondaire aux diminutions induites par le PPI de l'acidité gastrique. L'augmentation du niveau de CGA peut provoquer des résultats de faux positifs dans des investigations diagnostiques pour les tumeurs neuroendocrines [voir Avertissements et précautions Pharmacologie clinique ].
Intervention: Arrêtez temporairement le traitement Solutab Prevacide ou prévaciaire au moins 14 jours avant d'évaluer les niveaux de CGA et envisagez de répéter le test si les niveaux de CGA initiaux sont élevés. Si des tests en série sont effectués (par exemple pour la surveillance), le même laboratoire commercial doit être utilisé pour les tests, car les plages de référence entre les tests peuvent varier.
Interaction avec le test de stimulation sécrétine
Impact clinique: L'hyper-réponse dans la sécrétion de gastrine en réponse au test de stimulation sécrétine suggérant faussement un gastrinome.
Intervention: Arrêtez temporairement le traitement Solutab Prevacide ou prévacide au moins 28 jours avant d'évaluer pour permettre aux niveaux de gastrine de revenir à la ligne de base [voir Pharmacologie clinique ].
Tests d'urine faux positifs pour le THC
Impact clinique: Il y a eu des rapports de tests de dépistage d'urine faux positifs pour la tétrahydrocannabinol (THC) chez les patients recevant des IPP.
Intervention: Une autre méthode de confirmation doit être considérée pour vérifier les résultats positifs.

Tableau 3: Interactions cliniquement pertinentes affectant le solutab prévacide ou prévcial lorsqu'il est co-administré avec d'autres médicaments

Inducteurs CYP2C19 ou CYP3A4
Impact clinique: Diminution de l'exposition du lansoprazole lorsqu'elle est utilisée concomitante avec de forts inducteurs [voir Pharmacologie clinique ].
Intervention: St John’s Wort Rifampin: Évitez l'utilisation concomitante avec le solutab prévacide ou prévcial.
Produits contenant du ritonavir: Voir les informations de prescription.
Inhibiteurs du CYP2C19 ou du CYP3A4
Impact clinique: Une exposition accrue de lansoprazole est attendue lorsqu'elle est utilisée en concomitance avec de forts inhibiteurs [voir Pharmacologie clinique ].
Intervention: Voriconazole: Voir les informations de prescription.
Sacralfat
Impact clinique: Absorption diminuée et retardée du lansoprazole [voir Pharmacologie clinique ].
Intervention: Prenez le solutab prévacide ou prévacide au moins 30 minutes avant le sucralfate [voir Posologie et administration ].

Avertissements pour Prévacide

Inclus dans le cadre du PRÉCAUTIONS section.

Précautions pour la pré-preuve

Présence d'une malignité gastrique

Chez les adultes, la réponse symptomatique à la thérapie avec un solutab prévacide ou prévaciaire n'empêche pas la présence d'une tumeur maligne gastrique. Considérez des tests de suivi et de diagnostic supplémentaires chez les patients adultes qui ont une réponse sous-optimale ou une rechute symptomatique précoce après avoir terminé le traitement avec un IPP. Chez les patients âgés, envisagez également une endoscopie.

Néphrite tubulo-interstitielle

Une néphrite tubulointerstique aiguë (TIN) a été observée chez les patients prenant des IPP et peut se produire à tout moment pendant le traitement par PPI. Les patients peuvent présenter des signes et symptômes variables des réactions d'hypersensibilité symptomatiques à des symptômes non spécifiques d'une diminution de la fonction rénale (par exemple, une nausée anorexie). Dans les séries de cas signalées, certains patients ont été diagnostiqués en biopsie et en l'absence de manifestations extra-rénales (par exemple, éruption cutanée ou arthralgie). Arrêter le solutab prévacide ou prévcial et évaluer les patients soupçonnés de l'étain aigu [voir Contre-indications ].

Clostridium difficile - Diarrhée associée

Des études d'observation publiées suggèrent que la thérapie PPI comme le solutab prévacide et prévcial peut être associée à un risque accru de Clostridium difficile - Diarrhée associée (CDAD) en particulier chez les patients hospitalisés. Ce diagnostic doit être pris en compte pour la diarrhée qui n'améliore pas [voir Effets indésirables ].

Les patients doivent utiliser la dose la plus faible et la durée la plus courte du traitement PPI approprié à l'état traité.

La CDAD a été signalée avec l'utilisation de presque tous les agents antibactériens. Pour plus d'informations spécifiques aux agents antibactériens (clarithromycine et amoxicilline) indiqués pour une utilisation en combinaison avec le solutab prévaciaire ou prévacide, reportez-vous aux avertissements et précautions section de leurs informations de prescription.

Fracture osseuse

Plusieurs études d'observation publiées suggèrent que le traitement PPI peut être associé à un risque accru de fractures liées à l'ostéoporose du poignet de la hanche ou de la colonne vertébrale. Le risque de fracture a été augmenté chez les patients qui ont reçu une dose élevée définie comme des doses quotidiennes multiples et un traitement PPI à long terme (un an ou plus). Les patients doivent utiliser la dose la plus faible et la durée la plus courte du traitement PPI approprié à l'état traité. Les patients à risque de fractures liées à l'ostéoporose doivent être gérées en fonction des directives de traitement établies [voir Posologie et administration Effets indésirables ].

Réactions indésirables cutanées sévères

Des réactions indésirables cutanées sévères, notamment le syndrome de Stevens-Johnson (SJS) et la nécrolyse épidermique toxique (dix) réaction médicamenteuse avec l'éosinophilie et les symptômes systémiques (robe) et une pustulose exanthémateuse généralisée aiguë (AGEP) ont été signalées en association avec l'utilisation de IPP [voir Effets indésirables ]. Discontinue Solutab prévacide ou prévcial at the first signs or symptoms of severe cutaneous adverse reactions or other signs of hypersensitivity and consider further evaluation.

Lupus érythémateux cutané et systémique

Le lupus érythémateux (CLE) cutané et le lupus érythémateux systémique (LED) ont été signalés chez des patients prenant des IPP, y compris le lansoprazole. Ces événements se sont produits à la fois comme un nouvel début et une exacerbation des maladies auto-immunes existantes. La majorité des cas de lupus érythémateux induits par le PPI étaient CLE.

La forme la plus courante de CLE signalée chez les patients traitées par des IPP était CEE subaiguë (SCLE) et s'est produite dans des semaines à des années après un traitement médicamenteux continu chez des patients allant des nourrissons aux personnes âgées. Les résultats généralement histologiques ont été observés sans atteinte aux organes.

Quelle classe de drogue est Buspirone

Le lupus érythémateux systémique (LED) est moins couramment rapporté que CLE chez les patients recevant des IPP. Le LED associé au PPI est généralement plus doux que le LED induit induit. Le début du LED s'est généralement produit dans des jours aux années après avoir initié un traitement principalement chez des patients allant des jeunes adultes aux personnes âgées. La majorité des patients ont présenté une éruption cutanée; Cependant, l'arthralgie et la cytopénie ont également été signalées.

Évitez l'administration de PPI plus longtemps que médicalement indiqués. Si des signes ou des symptômes compatibles avec CLE ou LED sont notés chez les patients recevant des solutabs prévacides ou prévacides, interrompez le médicament et référez le patient au spécialiste approprié pour l'évaluation. La plupart des patients s'améliorent avec l'arrêt de l'IPP seul en quatre à 12 semaines. Les tests sérologiques (par exemple ANA) peuvent être positifs et les résultats élevés des tests sérologiques peuvent prendre plus de temps à résoudre que les manifestations cliniques.

Carence en cyanocobalamine (vitamine B12)

Le traitement quotidien avec des médicaments de suppression d'acide sur une longue période (par exemple plus de trois ans) peut entraîner une malabsorption de la cyanocobalamine (vitamine B12) causée par l'hypo ou l'achlorhydrie. Des rapports rares de carence en cyanocobalamine se produisant avec une thérapie de suppression d'acide ont été signalés dans la littérature. Ce diagnostic doit être pris en compte si des symptômes cliniques compatibles avec la carence en cyanocobalamine sont observés chez les patients traités par un solutab prévacide ou prévcial.

Hypomagnésémie et métabolisme minéral

L'hypomagnésémie symptomatique et asymptomatique a été signalée rarement chez les patients traités par IPP pendant au moins trois mois dans la plupart des cas après un an de traitement. Les événements indésirables graves comprennent les arythmies et les convulsions tétanes. L'hypomagnésémie peut entraîner une hypocalcémie et / ou une hypokaliémie et peut exacerber l'hypocalcémie sous-jacente chez les patients à risque. Chez la plupart des patients, le traitement de l'hypomagnésémie a nécessité un remplacement en magnésium et une interruption de l'IPP.

Pour les patients qui devraient être sous traitement prolongé ou qui prennent des IPP avec des médicaments tels que la digoxine ou des médicaments qui peuvent provoquer une hypomagnésémie (par exemple les diurétiques), les professionnels de la santé peuvent envisager de surveiller les niveaux de magnésium avant le début du traitement PPI et périodiquement [voir Effets indésirables ].

Envisagez de surveiller les niveaux de magnésium et de calcium avant le début du solutab prévacide ou prévcial et périodiquement lors du traitement chez les patients présentant un risque préexistant d'hypocalcémie (par exemple l'hypoparathyroïdie). Supplément avec du magnésium et / ou du calcium si nécessaire. Si l'hypocalcémie est réfractaire pour le traitement, envisagez d'arrêter l'IPP.

Interactions avec les enquêtes pour les tumeurs neuroendocrines

Les taux sériques de la chromogranine A (CGA) augmentent secondaire aux diminutions induites par le médicament de l'acidité gastrique. L'augmentation du niveau de CGA peut provoquer des résultats de faux positifs dans des investigations diagnostiques pour les tumeurs neuroendocrines. Les prestataires de soins de santé doivent arrêter temporairement le traitement au lansoprazole au moins 14 jours avant d'évaluer les niveaux de CGA et envisager de répéter le test si les niveaux de CGA initiaux sont élevés. Si des tests en série sont effectués (par exemple pour la surveillance), le même laboratoire commercial doit être utilisé pour les tests, car les plages de référence entre les tests peuvent varier [voir Interactions médicamenteuses Pharmacologie clinique ].

Interaction avec le méthotrexate

La littérature suggère que l'utilisation concomitante des IPP avec du méthotrexate (principalement à une dose élevée) peut augmenter et prolonger les taux sériques de méthotrexate et / ou son métabolite conduisant peut-être à des toxicités de méthotrexate. Dans l'administration de méthotrexate à haute dose, un retrait temporaire de l'IPP peut être pris en compte chez certains patients [voir Interactions médicamenteuses Pharmacologie clinique ].

Patients atteints de phénylcétonurie

La phénylalanine peut être nocive pour les patients atteints de phénylcétonurie (PKU). Prévacide Solutab contient la phénylalanine un composant de l'aspartame. Chaque comprimé de 15 mg contient 2,5 mg et chaque comprimé de 30 mg contient 5,1 mg de phénylalanine. Avant de prescrire un solutab Prevacid à ​​un patient atteint de PKU, considérez la quantité quotidienne combinée de phénylalanine de toutes les sources, y compris le solutab Prevacid.

Glande funtique polps

L'utilisation de l'IPP est associée à un risque accru de polypes de glande funtique qui augmentent avec l'utilisation à long terme, en particulier au-delà d'un an. La plupart des utilisateurs de l'IPP qui ont développé des polypes de glande funcale étaient des polypes de glande asymptomatique et fundicaux ont été identifiés par ailleurs sur l'endoscopie. Utilisez la durée la plus courte de la thérapie PPI appropriée à l'état traité.

Risque d'épaississement de la valve cardiaque chez les patients pédiatriques de moins d'un an

Prévacide and Solutab prévacide are not approved in pediatric patients less than one year of age. Nonclinical studies in juvenile rats with lansoprazole have demonstrated an adverse effect of heart valve thickening. The risk of heart valve injury does not appear to be relevant to patients one year of age and older [see Utiliser dans des populations spécifiques ].

Informations de conseil des patients

Conseiller au patient de lire l'étiquetage des patients approuvé par la FDA ( Guide des médicaments and Instructions for Use ).

Conseiller les patients à:

Néphrite tubulo-interstitielle

Appeler leur fournisseur de soins de santé s'ils présentent des signes et / ou des symptômes associés à une néphrite tubulo-interstitielle aiguë [voir Avertissements et précautions ].

Diarrhée associée au dilicite de Clostridium

Pour appeler immédiatement leur fournisseur de soins de santé s'ils souffrent de diarrhée qui n'améliore pas [voir Avertissements et précautions ].

Fracture osseuse

Pour signaler toute fracture en particulier le poignet de la hanche ou la colonne vertébrale à leur fournisseur de soins de santé [voir Avertissements et précautions ].

Réactions indésirables cutanées sévères

Pour interrompre le Solutab Prevacide ou Prevacid et appelez immédiatement leur fournisseur de soins de santé pour une évaluation plus approfondie [voir Avertissements et précautions ].

Lupus érythémateux cutané et systémique

Pour appeler immédiatement leur fournisseur de soins de santé pour toute nouvelle ou aggravation des symptômes associés au lupus érythémateux cutané ou systémique [voir Avertissements et précautions ].

Carence en cyanocobalamine (vitamine B12)

Pour signaler tout symptôme clinique qui peut être associé à une carence en cyanocobalamine à leur fournisseur de soins de santé s'ils reçoivent un solutab prévacide ou prévcial depuis plus de trois ans [voir Avertissements et précautions ].

Hypomagnésémie et métabolisme minéral

Pour signaler tout symptôme clinique qui peut être associé à l'hypomagnésémie hypocalcémie et / ou hypokaliémie à leur fournisseur de soins de santé s'ils ont reçu un solutab prévacide ou prévacide depuis au moins trois mois [voir [voir Avertissements et précautions ].

Interactions médicamenteuses

Conseiller aux patients de faire rapport à leur fournisseur de soins de santé s'ils prennent des produits contenant du rilpiririne [voir Contre-indications ] ou méthotrexate à haute dose [voir Avertissements et précautions ].

Grossesse

Conseiller une femme enceinte du risque potentiel pour un fœtus. Conseiller les femmes de potentiel de reproduction pour informer leur fournisseur de soins de santé d'une grossesse connue ou suspectée [voir Utiliser dans des populations spécifiques ].

Administration
  • Doses manquées: si une dose est manquée, administrez dès que possible. Cependant, si la prochaine dose prévue est due, ne prenez pas la dose manquée et prenez la prochaine dose à temps. Ne prenez pas deux doses à la fois pour compenser une dose manquée.
    • Solutab prévacide ou prévcial should be taken before eating.
    • N'écrasez pas ou ne mâchez pas la capsule Prévacide ou le solutab prévacide.
  • Prenez le solutab prévacide ou prévacide au moins 30 minutes avant le sucralfate.
  • Phénylketonurics: contient de la phénylalanine 2,5 mg par comprimé de solutab prévacide de 15 mg et 5,1 mg par comprimé de solutab prévacide de 30 mg.
Capsules prévacides
  • Avaler entier; Ne mâchez pas.
  • Pour les patients qui ont du mal à avaler des capsules:
    • Prévacide capsules can be opened and sprinkled on applesauce ENSURE pudding cottage cheese yogurt or strained pears
    • Prévacide capsules may also be emptied into a small volume of either apple juice orange juice or tomato juice
    • Alternativement, les capsules Prévacides peuvent être administrées avec du jus de pomme via un tube nasogastrique
    • Voir les instructions pour une utilisation pour une description de toutes les instructions de préparation et d'administration
Solutab prévacide
  • Ne cassez pas ou ne coupez pas.
  • Placer la tablette sur la langue; Laissez-le se désintégrer avec ou sans eau jusqu'à ce que les particules puissent être avalées. Ne mâchez pas les particules.
  • La tablette se désintègre généralement en moins d'une minute.
  • Alternativement pour les enfants ou d'autres patients qui ont du mal à avaler des comprimés de solutab, le solutab prévacide peut être administré avec de l'eau via une seringue orale ou un tube NG comme décrit dans les instructions d'utilisation.

Toxicologie non clinique

Carcinogenèse Mutagenèse A trouble de la fertilité

En deux études de cancérogénicité de 24 mois, les rats Sprague-Dawley ont été traités avec des doses de lansoprazole orales de 5 à 150 mg / kg / jour environ une à 40 fois l'exposition sur une surface corporelle (mg / m²) d'une personne de 50 kg de hauteur moyenne [1,46 m² de surface corporelle (BSA)] étant donné la dose humaine recommandée de 30 mg / jour. Le lansoprazole a produit une hyperplasie à cellules gastriques liés à la dose (ECL) et des carcinoïdes à cellules ECL chez les rats mâles et femelles. Il a également augmenté l'incidence de la métaplasie intestinale de l'épithélium gastrique chez les deux sexes. Chez les rats mâles, le lansoprazole a produit une augmentation liée à la dose des adénomes des cellules interstitiels testiculaires. L'incidence de ces adénomes chez le rat recevant des doses de 15 à 150 mg / kg / jour (quatre à 40 fois la dose humaine recommandée basée sur BSA) a dépassé l'incidence de fond faible (plage = 1,4 à 10%) pour cette souche de rat.

Dans une étude de cancérogénicité de 24 mois, les souris CD-1 ont été traitées avec des doses de lansoprazole orales de 15 à 600 mg / kg / jour deux à 80 fois la dose humaine recommandée sur la base de la BSA. Le lansoprazole a produit une incidence accrue liée à la dose d'hyperplasie gastrique des cellules ECL. Il a également produit une incidence accrue de tumeurs hépatiques (adénome hépatocellulaire plus carcinome). Les incidences tumorales chez les souris mâles traitées avec 300 et 600 mg / kg / jour (40 à 80 fois la dose humaine recommandée basée sur la BSA) et les souris femelles traitées avec 150 à 600 mg / kg / jour (20 à 80 fois la dose humaine recommandée à base de BSA) ont dépassé les gammes d'incidents de fond dans les contrôles historiques de cette souche de souris. Le traitement au lansoprazole a produit un adénome de rete testis chez des souris mâles recevant 75 à 600 mg / kg / jour (10 à 80 fois la dose humaine recommandée basée sur la BSA).

Une étude de la cancérogénicité transgénique de 26 semaines de p53 (/ -) de la cancérogénicité de souris n'était pas positive.

Le lansoprazole était positif dans le test Ames et le test d'aberration chromosomique des lymphocytes humains in vitro. Le lansoprazole n'était pas génotoxique dans le test de synthèse d'ADN (UDS) de l'hépatocyte de rat ex vivo le test de micronucléus de souris in vivo ou le test d'aberration chromosomique des cellules de la moelle osseuse du rat.

Le lansoprazole à des doses orales allant jusqu'à 150 mg / kg / jour (40 fois la dose humaine recommandée basée sur la BSA) s'est avérée avoir aucun effet sur la fertilité et les performances de reproduction des rats mâles et femelles.

Utiliser dans des populations spécifiques

Grossesse

Résumé des risques

Les données disponibles des études d'observation publiées dans l'ensemble n'indiquent pas une association de résultats défavorables de grossesse avec le traitement au lansoprazole (voir Données ).

Dans les études de reproduction animale, l'administration orale de lansoprazole à des rats pendant l'organogenèse par lactation à 6,4 fois la dose humaine maximale recommandée a produit des réductions de la progéniture dans le poids du fémur Longueur de la couronne et épaisseur de plaque de croissance (mâles unique Données ). These effects were associated with reduction in body weight gain. Advise pregnant women of the potential risk to the fetus.

Le risque de fond estimé des principaux malformations congénitales et une fausse couche pour les populations indiquées ne sont pas connues. Toutes les grossesses présentent un risque de fond de perte de maltraitance natale ou d'autres résultats indésirables. Dans la population générale américaine, le risque de fond estimé de malformations congénitales majeures et de fausse couche dans les grossesses cliniquement reconnues est respectivement de 2 à 4% et 15 à 20%.

Si le solutab prévaciaire ou prévacide est administré avec de la clarithromycine, les informations de grossesse pour la clarithromycine s'appliquent également au schéma de combinaison. Reportez-vous aux informations de prescription de clarithromycine pour plus d'informations sur l'utilisation pendant la grossesse.

Données

Données humaines

Les données disponibles des études d'observation publiées n'ont pas démontré une association de résultats liés à la grossesse défavorable et l'utilisation du lansoprazole. Les limites méthodologiques de ces études d'observation ne peuvent certainement pas établir ou exclure un risque associé au médicament pendant la grossesse. Dans une étude prospective du réseau européen des résultats des services d'information sur la tératologie d'un groupe de 62 femmes enceintes administrées par les doses quotidiennes médianes de 30 mg de lansoprazole ont été comparées à un groupe témoin de 868 femmes enceintes qui n'ont pris aucun IPP. Il n'y avait aucune différence dans le taux de malformations majeures entre les femmes exposées aux IPP et au groupe témoin correspondant à un risque relatif (RR) = 1,04 [intervalle de confiance à 95% (IC) 0,25-4,21]. Dans une étude de cohorte rétrospective basée sur la population couvrant toutes les naissances vivantes au Danemark de 1996 à 2008, il n'y a pas eu d'augmentation significative des principaux malformations congénitales lors de l'analyse de l'exposition au premier trimestre au lansoprazole dans 794 naissances vivantes. Une méta-analyse qui a comparé 1530 femmes enceintes exposées aux IPP au moins au premier trimestre avec 133410 femmes enceintes non exposées n'a montré aucune augmentation significative du risque de malformations congénitales ou de l'avortement spontanée avec exposition à des IPP (pour les malformations majeures de cotes (OR) = 1,12 [95% IC [95 à 1,45] et pour les abortions spontanées OR = 1,95%] et pour les abortions spontané 0,84â1,97]).

Données sur les animaux

No adverse effects on embryo-fetal development occurred in studies performed in pregnant rats at oral lansoprazole doses up to 150 mg/kg/day (40 times the recommended human dose [30 mg/day] based on body surface area) administered during organogenesis and pregnant rabbits at oral lansoprazole doses up to 30 mg/kg/day (16 times the recommended human dose based on body surface area) administered during organogenèse.

Une étude de toxicité de développement pré-et postnatale chez le rat avec des critères d'évaluation supplémentaires pour évaluer le développement osseux a été réalisée avec du lansoprazole à des doses orales de 10 à 100 mg / kg / jour (NULL,7 à 6,4 fois la dose maximale de lansoprazole humain recommandée de 30 mg basée sur l'AUC [zone sous la concentration de concentration en plasma]) a administré pendant l'organogenèse par l'organisation par l'organogenèse par Lactation. Les effets maternels observés à 100 mg / kg / jour (NULL,4 fois la dose maximale de lansoprazole humaine recommandée de 30 mg sur la base de l'ASC) comprenaient une augmentation de la période de gestation a diminué le gain de poids corporel pendant la gestation et une diminution de la consommation alimentaire. Le nombre de mortinaissances a été augmenté à cette dose qui peut avoir été secondaire à la toxicité maternelle. Le poids corporel des chiots a été réduit à 100 mg / kg / jour à partir du jour postnatal 11. Poids fémur La longueur du fémur et la longueur de la couronne de la couronne ont été réduites à 100 mg / kg / jour le jour postnatal 21. L'épaisseur de la plaque de croissance a été diminuée chez les 100 mg / kg / jour les mâles le jour postnatal 21 et a augmenté chez les 30 et 100 mg / kg / jour des hommes à l'âge de 17 à 18 semaines. Les effets sur les paramètres osseux ont été associés à une réduction du gain de poids corporel.

Lactation

Résumé des risques

Il n'y a aucune information concernant la présence de lansoprazole dans le lait maternel les effets sur le nourrisson allaité ou les effets sur la production de lait. Cependant, le lansoprazole et ses métabolites sont présents dans le lait de rat. Les avantages du développement et de la santé de l'allaitement doivent être pris en compte avec le besoin clinique de la mère pour le solutab prévacide ou prévcial et tout effet indésirable potentiel sur l'enfant allaité du solutab prévacide ou prévacide ou de la condition maternelle sous-jacente.

Usage pédiatrique

La sécurité et l'efficacité du solutab prévacide et prévaciaire ont été établies chez des patients pédiatriques un an à 17 ans pour un traitement à court terme du RGO symptomatique et de l'œsophagite érosive.

Dans les études cliniques sur le RGO symptomatique et l'œsophagite érosive, le prévacide n'a pas été administré au-delà de 12 semaines chez les patients un an à 11 ans. On ne sait pas si la prevacide et le solutab prévacide sont sûrs et efficaces s'ils sont utilisés plus longtemps que la durée recommandée. Ne dépassez pas la dose et la durée d'utilisation recommandées chez les patients pédiatriques (voir Données sur la toxicité des animaux juvéniles ).

Prévacide was not effective in pediatric patients with symptomatic Orgue one month to less than one year of age in a multicenter double-blind placebo -controlled study. Therefore safety and effectiveness have not been established in patients less than one year of age. Nonclinical studies in juvenile rats have demonstrated an adverse effect of heart valve thickening and bone changes at lansoprazole doses higher than the maximum recommended equivalent human dose.

Nouveau-né à moins d'un an

La pharmacocinétique du lansoprazole a été étudiée chez des patients pédiatriques atteints de RGO âgés de moins de 28 jours et un à 11 mois. Comparé aux adultes en bonne santé recevant 30 mg de nouveau-nés avait une exposition plus élevée (valeurs AUC normalisées basées sur le poids moyen 2,04 et 1,88 fois plus élevées à des doses de 0,5 et 1 mg / kg / jour respectivement). Les nourrissons âgés de ≤ 10 semaines avaient des valeurs de dédouanement et d'exposition similaires aux nouveau-nés. Les nourrissons âgés de plus de 10 semaines qui ont reçu 1 mg / kg / jour avaient des valeurs moyennes AUC similaires aux adultes qui ont reçu une dose de 30 mg.

Le lansoprazole n'a pas été efficace dans une étude parallèle à groupe parallèle contrôlé par placebo à double aveugle aux États-Unis et en vertu de 162 patients entre un mois et moins de 12 mois avec un RGO symptomatique en fonction des antécédents médicaux de la gestion des germes (c'est-à-dire l'intervention non pharmacologique) qui n'avait pas répondu à sept jours. Les patients ont reçu du lansoprazole comme suspension quotidiennement (NULL,2 à 0,3 mg / kg / jour chez les nourrissons ≤ 10 semaines ou 1,0 à 1,5 mg / kg / jour chez les nourrissons supérieurs à 10 semaines ou un placebo) pendant jusqu'à quatre semaines de traitement en double aveugle.

Le critère d'évaluation de l'efficacité primaire a été évalué par une réduction supérieure à 50% par rapport à la ligne de base dans le pourcentage de tétées avec un épisode de pleurs / agitation / irritabilité ou de la durée (minutes) d'un épisode de pleurs / agitation / irritabilité dans l'heure après l'alimentation.

Il n'y avait aucune différence dans le pourcentage de répondants entre le groupe de suspension pédiatrique de lansoprazole et le groupe placebo (54% dans les deux groupes).

Aucun événement indésirable n'a été signalé dans les études cliniques pédiatriques (un mois à moins de 12 mois) qui n'ont pas été observées auparavant chez les adultes.

Sur la base des résultats de l'étude de la phase 3, le lansoprazole ne s'est pas révélé efficace. Par conséquent, ces résultats ne soutiennent pas l'utilisation du lansoprazole dans le traitement du RGO symptomatique chez les nourrissons.

Un an à 11 ans

Dans une étude multicentrique américaine américaine ouverte non contrôlée, 66 patients pédiatriques (un an à 11 ans) avec RGO ont été attribués sur la base du poids corporel pour recevoir une dose initiale de prévacide 15 mg par jour si ≤ 30 kg ou prévacide 30 mg par jour si plus de 30 kg administrés pendant huit à 12 semaines. La dose prévacide a été augmentée (jusqu'à 30 mg deux fois par jour) chez 24 des 66 patients pédiatriques après deux semaines ou plus de traitement s'ils restaient symptomatiques. Au départ, 85% des patients présentaient des symptômes globaux globaux légers à modérés (évalué par entretien de l'investigateur), 58% avaient un RGO non érosif et 42% avaient une œsophagite érosive (évaluée par l'endoscopie).

Après huit à 12 semaines de traitement prévcial, l'analyse en intention de traiter a démontré une réduction approximative de 50% de la fréquence et de la gravité des symptômes du RGO.

Vingt et un des 27 patients atteints d'œsophagite érosif ont été guéris à huit semaines et 100% des patients ont été guéris à 12 semaines par endoscopie (tableau 4).

Tableau 4: Amélioration des symptômes du RGO et taux de guérison de l'œsophagite érosive chez les patients pédiatriques âgés de 1 an à 11 ans

Orgue Visite finale *% (n / n)
RGO symptomatique
Amélioration des symptômes globaux du RGO † 76% (47/62 *)
Œsophagite érosive
Amélioration des symptômes globaux du RGO † 81% (22/27)
Guérison Rate 100% (27/27)
* À la semaine 8 ou la semaine 12
† Symptômes évalués par le journal des patients conservé par le soignant.
‡ Aucune donnée n'était disponible pour quatre patients pédiatriques.

Dans une étude de 66 patients pédiatriques dans le groupe d'âge d'un an à 11 ans après le traitement avec un prévacide donné par voie orale à des doses de 15 mg par jour à 30 mg deux fois par jour, les augmentations de gastrine sériques étaient similaires à celles observées dans les études adultes. Les taux de gastrine sériques à jeun médian ont augmenté de 89% de 51 pg / ml au départ à 97 pg / ml [plage interquartile (25e à 75e centile) de 71 à 130 pg / ml] lors de la visite finale.

La sécurité pédiatrique des capsules prévacides a été évaluée chez 66 patients pédiatriques âgés d'un à 11 ans. Sur les 66 patients atteints de RGO, 85% (56/66) ont pris le prévacide pendant huit semaines et 15% (10/66) l'ont pris pendant 12 semaines.

Les effets indésirables liés au traitement les plus fréquemment rapportés (deux patients ou plus) chez les patients d'un à 11 ans (n ​​= 66) ont été la constipation (5%) et les maux de tête (3%).

Douze ans à 17 ans

Dans une étude multicentrique américaine en ouverture non contrôlée, 87 adolescents (12 ans à 17 ans) avec un RGO symptomatique ont été traités avec prévacide pendant huit à 12 semaines. Les endoscopies supérieures de base ont classé ces patients en deux groupes: 64 (74%) RGO non érosive et 23 (26%) œsophagite érosive (EE). Les patients atteints de RGO non érosive ont reçu un prévacide 15 mg par jour pendant huit semaines et les patients EE ont reçu un prévacide 30 mg par jour pendant huit à 12 semaines. Au départ, 89% de ces patients présentaient des symptômes globaux de RGO légers à modérés (évalués par les entretiens avec les enquêts). Au cours de huit semaines de traitement prévcial, les adolescents ont connu une réduction de 63% de la fréquence et une réduction de 69% de la gravité des symptômes du RGO en fonction des résultats du journal.

Vingt et un des 22 (NULL,5%) les patients atteints d'œsophagite érosive des adolescents ont été guéris après huit semaines de traitement prévcial. Un patient n'est pas resté non caché après 12 semaines de traitement (tableau 5).

Tableau 5: Amélioration des symptômes du RGO et taux de guérison de l'œsophagite érosive chez les patients pédiatriques âgés de 12 ans à 17 ans

Orgue Visite finale% (N / N)
RGO symptomatique (All Patients)
Amélioration des symptômes globaux du RGO * 73,2% (60/82) †
RGO non érosif Amélioration des symptômes globaux du RGO * 71,2% (42/59) †
Œsophagite érosive
Amélioration des symptômes globaux du RGO * 78,3% (18/23)
Guérison Rate‡ 95,5% (21/22) ‡
* Symptômes évalués par le journal du patient (parents / soignants si nécessaire).
† Aucune donnée disponible pour cinq patients.
‡ Les données d'un patient guéris ont été exclues de cette analyse en raison du calendrier de l'endoscopie finale.

Chez ces 87 adolescents, l'augmentation des taux sériques de gastrine était similaire à celles observées dans les études adultes à jeun à jeun à jeun, les taux de gastrine sériques ont augmenté de 42% de 45 pg / ml au départ à 64 pg / ml [plage interquartile (25e à 75e centile) de 44 à 88 pg / ml] lors de la visite finale. (Les taux de gastrine sériques normaux sont de 25 à 111 pg / ml.)

La sécurité des capsules prévacides a été évaluée chez ces 87 adolescents. Sur les 87 adolescents atteints de RGO 6% (5/87) ont pris le prévacide pendant moins de six semaines 93% (81/87) pendant six à 10 semaines et 1% (1/87) pendant plus de 10 semaines.

Les réactions indésirables liées au traitement les plus fréquemment rapportées (au moins 3%) chez ces patients étaient des maux de tête (7%) de la douleur abdominale (5%) (3%) et des étourdissements (3%). Des étourdissements liés au traitement rapportés dans cette information prescrivants comme se produisant chez moins de 1% des patients adultes ont été signalés dans cette étude par trois adolescents atteints de RGO non érosif qui avaient des étourdissements simultanément avec d'autres réactions (telles que la dyspnée de la migraine et les vomissements).

Données sur la toxicité des animaux juvéniles

Épaississement de la valve cardiaque

Dans deux études de toxicité orale, un épaississement de la valve cardiaque mitrale s'est produit chez des rats juvéniles traités avec du lansoprazole. Un épaississement de la valve cardiaque a été observé principalement avec une dosage orale initiée le jour postnatal 7 (âgée équivalente aux humains néonatals) et le jour postnatal 14 (âge humain équivalent d'environ un an) à des doses de 250 mg / kg / jour et plus (à un jour postnatal 7 et après le jour post-natal 14 respectivement 6,2 fois et 4.2 fois la pédiat quotidienne Des années pesant 30 kg ou moins sur la base de l'ASC). Les durées de traitement associées à l'épaississement de la valve cardiaque variaient de 5 jours à 8 semaines. Les résultats ont inversé ou tendance à la réversibilité après une période de récupération sans médicament de 4 semaines. L'incidence de l'épaississement de la valve cardiaque après le début de l'administration le jour postnatal 21 (équivalent à l'âge humain d'environ deux ans) a été limité à un seul rat (1/24) en groupes à 500 mg / kg / jour pendant 4 ou 8 semaines (environ 5,2 fois la dose pédiatrique quotidienne de 15 mg dans les patients pédiatriques de l'âge d'un à 11 ans pesant 30 kg ou moins basé sur l'AUC). Sur la base des marges d'exposition, le risque de lésion de la valve cardiaque ne semble pas être pertinent pour les patients d'un an et plus.

Changements osseux

Dans une étude de toxicité orale de huit semaines chez des rats juvéniles avec un dosage initié sur les doses postnatales du jour 7 égales ou supérieures à 100 mg / kg / jour (NULL,5 fois la dose pédiatrique quotidienne de 15 mg chez les enfants d'âge un à 11 ans pesant 30 kg ou moins basé sur l'AUC) a produit une croissance retardée avec une insuffisance à la prise de poids) dès le jour postnatal 10 (agent d'âge pour le née). À la fin du traitement, les signes de croissance altérée à 100 mg / kg / jour et plus ont inclus des réductions de poids corporel (14 à 44% par rapport aux témoins) le poids absolu de plusieurs organes du fémur du fémur Longueur du fémur et longueur de rompre de la couronne. L'épaisseur de la plaque de croissance fémorale n'a été réduite que chez les hommes et uniquement à la dose de 500 mg / kg / jour. Les effets liés à la croissance retardée ont persisté jusqu'à la fin de la période de récupération de quatre semaines. Les données à plus long terme n'ont pas été collectées.

Utilisation gériatrique

Sur le nombre total de patients (n = 21486) dans les études cliniques de prévacide, 16% des patients étaient âgés de 65 ans et plus tandis que 4% étaient de 75 ans et plus. Aucune différence globale de sécurité ou d'efficacité n'a été observée entre ces patients et les patients plus jeunes et d'autres expériences cliniques signalées n'ont pas identifié de différences significatives dans les réponses entre les patients gériatriques et les jeunes, mais une plus grande sensibilité de certains personnes âgées ne peut être exclue [voir Pharmacologie clinique ].

Trouble hépatique

Chez les patients atteints de divers degrés de troubles hépatiques chroniques, l'exposition au lansoprazole a augmenté par rapport aux sujets sains avec une fonction hépatique normale [voir Pharmacologie clinique ]. No dosage adjustment for Solutab prévacide ou prévcial is necessary for patients with mild (Child-Pugh Class A) or moderate (Child-Pugh Class B) hepatic impairment. The recommended dosage is 15 mg orally daily in patients with severe hepatic impairment (Child-Pugh Class C) [see Posologie et administration ].

Informations sur la surdose pour Prévacide

Le lansoprazole n'est pas retiré de la circulation par l'hémodialyse. Dans un surdosage signalé, un patient a consommé 600 mg de prévacide sans réaction indésirable. Des doses de lansoprazole orales allant jusqu'à 5000 mg / kg chez le rat [environ 1300 fois la dose humaine de 30 mg basée sur la surface corporelle (BSA)] et chez la souris (environ 675,7 fois la dose humaine de 30 mg basée sur la BSA) n'ont pas produit de décès ou de signes cliniques.

En cas de surexposition, le traitement devrait être symptomatique et favorable.

Si une surexposition se produit, appelez votre centre de contrôle du poison au 1-800-222-1222 pour les informations actuelles sur la gestion de l'empoisonnement ou de la surexposition.

Contre-indications pour le prevacide

  • Prévacide and Solutab prévacide are contraindicated in patients with known hypersensitivity to any component of the formulation. Hypersensitivity reactions may include anaphylaxis anaphylactic choc angioedema bronchospasm acute tubulointerstitial nephritis and urticaria [see Avertissements et précautions Effets indésirables ].
  • Les inhibiteurs de la pompe à protons (IPP), y compris le solutab prévacide et prévcial, sont contre-indiqués avec des produits contenant du rilpivirine [voir Interactions médicamenteuses ].
  • Pour plus d'informations sur les contre-indications des agents antibactériens (clarithromycine et amoxicilline) indiqués en combinaison avec le solutab prévacide ou prévcial, reportez-vous à la section des contre-indications de leurs informations de prescription.

Pharmacologie clinique for Prevacid

Mécanisme d'action

Lansoprazole belongs to a class of antisecretory compounds the substituted benzimidazoles that suppress gastric acid secretion by specific inhibition of the (H+ K+)-ATPase enzyme system at the secretory surface of the gastric parietal cell. Because this enzyme system is regarded as the acid (proton) pump within the parietal cell lansoprazole has been characterized as a gastric acid-pump inhibitor in that it blocks the final step of acid production. This effect is dose-related and leads to inhibition of both basal and stimulated gastric acid secretion irrespective of the stimulus. Lansoprazole does not exhibit anticholinergic or histamine type-2 antagonist activity.

Pharmacodynamique

Activité antisecrétorale

Après l'administration orale, le lansoprazole s'est avéré diminuer significativement le débit d'acide basal et augmenter considérablement le pH gastrique moyen et le pourcentage de temps, le pH gastrique était supérieur à trois et supérieurs à quatre. Le lansoprazole a également considérablement réduit le débit d'acide gastrique stimulé de repas et le volume de sécrétion ainsi que la production d'acide stimulée par la pentagastrine. Chez les patients atteints d'hypersécrétion d'acide, le lansoprazole a réduit de manière significative la sécrétion basale et de la pentagastrine. Le lansoprazole a inhibé les augmentations normales de l'acidité du volume de sécrétion et de la production acide induite par l'insuline.

Les résultats du pH intragastrique d'une étude de croisement pharmacodynamique de cinq jours de 15 et 30 mg de lansoprazole une fois par jour sont présentés dans le tableau 6:

Tableau 6: Effets antisecrétoriels moyens après un dosage prévacide quotidien unique et multiple

Paramètre Valeur de base Prévacide
15 mg 30 mg
Jour 1 Jour 5 Jour 1 Jour 5
Moyenne 24 heures de pH 2.1 2.7 * 4.0 * 3.6 † 4.9 †
PH de nuit moyen 1.9 2.4 3.0 * 2.6 3,8 †
% Time PHETRIC PH> 3 18 33 * 59 * 51 † 72 †
% Time PHETRIC PH> 4 12 22 * 49 * 41 † 66 †
Remarque: Un pH intragastrique supérieur à quatre reflète une réduction de l'acide gastrique de 99%.
* (p <0.05) vs baseline only.
† (P <0.05) vs baseline and lansoprazole 15 mg.

Après la dose initiale de cette étude, une augmentation du pH gastrique a été observée dans une à deux heures avec 30 mg de lansoprazole et deux à trois heures avec 15 mg de lansoprazole. Après une dose quotidienne multiple, une augmentation du pH gastrique a été observée dans la première heure après la dose avec 30 mg de lansoprazole et dans une à deux heures après la dose avec 15 mg de lansoprazole.

La suppression de l'acide peut améliorer l'effet des antimicrobiens dans l'éradication Helicobacter pylori ( H. pylori ). The percentage of time gastric pH was elevated above five and six was evaluated in a crossover study of Prévacide given daily twice daily and three times daily (Table 7).

Tableau 7: Effets antisecrétoriques moyens après cinq jours de deux fois par jour et trois fois par jour

Paramètre Prévacide
30 mg daily 15 mg twice daily 30 mg twice daily 30 mg three times daily
% Time PH gastrique> 5 43 47 59 * 77 †
% Time PHETRIC PH> 6 20 23 28 45 †
* (p <0.05) vs Prévacide 30 mg daily
† (P <0.05) vs Prévacide 30 mg daily 15 and 30 mg twice daily.

L'inhibition de la sécrétion d'acide gastrique mesurée par le pH intragastrique est progressivement revenue à la normale sur deux à quatre jours après plusieurs doses. Il n'y avait aucune indication de l'acidité gastrique rebond.

Entérochromaffin (ECL)

Les effets cellulaires au cours de l'exposition à vie de rats avec jusqu'à 150 mg / kg / jour de lansoprazole dosé sept jours par semaine par une hypergastrinémie marquée ont été observés suivis d'une prolifération des cellules ECL et d'une formation de tumeurs carcinoïdes, en particulier chez les rats femelles. Les échantillons de biopsie gastrique du corps de l'estomac à partir d'environ 150 patients traités en continu avec du lansoprazole pendant au moins un an n'ont pas montré de preuves d'effets des cellules ECL similaires à celles observées dans les études de rats. Des données à plus long terme sont nécessaires pour exclure la possibilité d'un risque accru de développement de tumeurs gastriques chez les patients recevant un traitement à long terme avec le lansoprazole [voir Toxicologie non clinique ].

Autres effets gastriques chez l'homme

Le lansoprazole n'a pas affecté de manière significative la circulation sanguine muqueuse dans le fond de l'estomac. En raison de l'effet physiologique normal causé par l'inhibition de la sécrétion d'acide gastrique, une diminution d'environ 17% du flux sanguin dans l'antrum pylore et la bulbe duodénal a été observée. Le lansoprazole a considérablement ralenti la vidange gastrique des solides digestibles. Le lansoprazole a augmenté les taux sériques de pepsinogène et a diminué l'activité de la pepsine dans des conditions basales et en réponse à la stimulation des repas ou à l'injection d'insuline. Comme pour les autres agents qui augmentent les pH intragastriques du pH gastrique ont été associés à une augmentation des bactéries réduisant les nitrates et à une élévation de la concentration en nitrite dans le jus gastrique chez les patients atteints d'ulcère gastrique. Aucune augmentation significative des concentrations de nitrosamines n'a été observée.

Effets de la gastrine sérique

Chez plus de 2100 patients, les taux de gastrine sériques à jeun médiane ont augmenté de 50 à 100% par rapport à la ligne de base, mais sont restés dans la plage normale après traitement avec 15 à 60 mg de lansoprazole oral. Ces élévations ont atteint un plateau dans les deux mois suivant le traitement et sont retournés à des niveaux de prétraitement dans les quatre semaines après l'arrêt du traitement.

L'augmentation de la gastrine provoque une hyperplasie cellulaire de type entérochromaffine et une augmentation des taux de CGA sériques. L'augmentation des niveaux de CGA peut provoquer des résultats de faux positifs dans des investigations diagnostiques pour les tumeurs neuroendocrines [voir Avertissements et précautions ].

Effets endocriniens

Des études humaines jusqu'à un an n'ont détecté aucun effet cliniquement significatif sur le système endocrinien. Les hormones étudiées comprennent la testostérone de la testostérone hormone de l'hormone de la lutéinisation (LH) hormone de stimulation des follicules (FSH) Hormone de liaison à la globuline (SHBG) déshydroepiandrosterone sulfate (DHEA-S) prolactine cortisol estradiol insuline aldosterone parathormone glucagon stimulant hormon (TSH) Triiodothyronine (T3) thyroïde thyroïdien (TSH) Triodothyronine (T3) thyroïde thyroïdienne (TSH) Triodothyronine (T3) thyroïde thyroïdienne (TSH) (T4) et l'hormone somatotrope (STH). Le lansoprazole à des doses orales de 15 à 60 mg pendant jusqu'à un an n'a eu aucun effet cliniquement significatif sur la fonction sexuelle. De plus, le lansoprazole à des doses orales de 15 à 60 mg pendant deux à huit semaines n'a eu aucun effet cliniquement significatif sur la fonction thyroïdienne. Dans les études de cancérogénicité de 24 mois chez les rats Sprague-Dawley avec des doses quotidiennes de lansoprazole jusqu'à 150 mg / kg, les changements prolifératifs dans les cellules Leydig des testicules, y compris le néoplasme bénin, ont augmenté par rapport aux rats témoins.

Autres effets

Aucun effet systémique du lansoprazole sur le système nerveux central des systèmes lymphoïdes hématopoïétiques hépatiques cardiovasculaires ou respiratoires n'a été trouvé chez l'homme. Parmi 56 patients qui ont eu une vaste évaluation des yeux de base, aucune toxicité visuelle n'a été observée après un traitement au lansoprazole (jusqu'à 180 mg / jour) pendant jusqu'à 58 mois. Après l'exposition à la vie du lansoprazole chez le rat, l'atrophie pancréatique focale l'hyperplasie lymphoïde diffuse dans le thymus et l'atrophie rétinienne spontanée ont été observées.

Pharmacocinétique

Absorption

Prévacide and Solutab prévacide contain an enteric-coated granule formulation of lansoprazole (because lansoprazole is acid-labile) so that absorption of lansoprazole begins only after the granules leave the stomach. The mean peak plasma levels of lansoprazole occur at approximately 1.7 hours. After a single-dose administration of 15 to 60 mg of oral lansoprazole the peak plasma concentrations (Cmax) of lansoprazole and the area under the plasma concentration curves (AUCs) of lansoprazole were approximately proportional to the administered dose. Lansoprazole does not accumulate and its pharmacokinetics are unaltered by multiple dosing. The absolute bioavailability is over 80%. In healthy subjects the mean (±SD) plasma half-life was 1.5 (±1.0) hours. Both the Cmax and AUC are diminished by about 50 to 70% if lansoprazole is given 30 minutes after food compared to the fasting condition. There is no significant food effect if lansoprazole is given before meals.

Distribution

Le lansoprazole est lié à 97% aux protéines plasmatiques. La liaison aux protéines plasmatiques est constante sur la plage de concentration de 0,05 à 5 mcg / ml.

Élimination

Métabolisme

Le lansoprazole est largement métabolisé dans le foie. Deux métabolites ont été identifiés en quantités mesurables dans le plasma (les dérivés hydroxylés sulfinyle et sulfone du lansoprazole). Ces métabolites ont très peu ou pas d'activité antisecrétorale. On pense que le lansoprazole est transformé en deux espèces actives qui inhibent la sécrétion d'acide en bloquant le système enzymatique de la pompe à protons [(H K) -ATPase] à la surface sécrétoire de la cellule pariétale gastrique. Les deux espèces actives ne sont pas présentes dans la circulation systémique. La demi-vie de l'élimination du plasma du lansoprazole est inférieure à deux heures tandis que l'effet inhibiteur de l'acide dure plus de 24 heures. Par conséquent, la demi-vie d'élimination du plasma du lansoprazole ne reflète pas sa durée de suppression de la sécrétion d'acide gastrique.

Excrétion

Après l'administration orale à dose unique de prévacide pratiquement, aucun lansoprazole inchangé n'a été excrété dans l'urine. Dans une étude après une seule dose orale de 14 Le câlansoprazole environ un tiers du rayonnement administré a été excrété dans l'urine et les deux tiers ont été récupérés dans les excréments. Cela implique une excrétion biliaire importante des métabolites de lansoprazole.

Populations spécifiques

Patients pédiatriques

Un à 17 ans

La pharmacocinétique du lansoprazole a été étudiée chez des patients pédiatriques atteints de RGO âgés d'un à 11 ans et de 12 à 17 ans dans deux études cliniques distinctes. Chez les enfants âgés d'un à 11 ans, le lansoprazole était dosé de 15 mg par jour pour les sujets pesant ≤ 30 kg et 30 mg par jour pour les sujets pesant plus de 30 kg. Les valeurs moyennes de CMAX et AUC observées le jour 5 du dosage étaient similaires entre les deux groupes de dose et n'ont pas été affectées par le poids ou l'âge dans chaque groupe de dose ajusté en poids utilisé dans l'étude. Chez les sujets adolescents âgés de 12 à 17 ans, les sujets ont été randomisés pour recevoir du lansoprazole à 15 ou 30 mg par jour. Les valeurs moyennes de CMAX et AUC du lansoprazole n'ont pas été affectées par le poids corporel ou l'âge; et une augmentation de dose proportionnelle des valeurs moyennes de CMAX et AUC ont été observées entre les deux groupes de dose dans l'étude. La pharmacocinétique globale du lansoprazole chez les patients pédiatriques âgés d'un à 17 ans était similaire à ceux observés chez des sujets adultes en bonne santé.

Patients gériatriques

La clairance du lansoprazole est diminuée chez les personnes âgées avec une demi-vie d'élimination augmentée d'environ 50 à 100%. Parce que la demi-vie moyenne chez les personnes âgées reste entre 1,9 et 2,9 heures répétée une fois que le dosage quotidien n'entraîne pas une accumulation de lansoprazole. Les taux plasmatiques maximaux n'ont pas augmenté chez les personnes âgées [voir Utiliser dans des populations spécifiques ].

Patients masculins et féminins

Dans une étude comparant 12 sujets humains masculins et six femmes qui ont reçu du lansoprazole, aucune différence liée au sexe n'a été trouvée dans la pharmacocinétique et les résultats du pH intragastrique.

pouvez-vous vous rendre sur pyridium
Groupes raciaux ou ethniques

The pooled mean pharmacokinetic parameters of PREVACID from twelve US studies (N=513) were compared to the mean pharmacokinetic parameters from two Asian studies (N=20). Les AUC moyens de prévacide chez les sujets asiatiques étaient environ le double de ceux observés dans les données américaines regroupées; Cependant, la variabilité inter-individuelle était élevée. Les valeurs CMAX étaient comparables.

Patients souffrant de troubles rénaux

Chez les patients atteints de la liaison aux protéines plasmatiques rénales sévères, a diminué de 1 à 1,5% après l'administration de 60 mg de lansoprazole. Les patients souffrant de troubles rénaux avaient une demi-vie d'élimination raccourci et une diminution de l'ASC totale (libre et lié). L'AUC pour le lansoprazole libre dans le plasma n'était cependant pas liée au degré de déficience rénale; et le CMAX et le Tmax (temps pour atteindre la concentration maximale) n'étaient pas différents de la CMAX et du Tmax des sujets avec une fonction rénale normale. Par conséquent, la pharmacocinétique du lansoprazole n'était pas cliniquement différente chez les patients atteints d'une déficience rénale modérée ou grave légère par rapport aux sujets sains ayant une fonction rénale normale.

Patients souffrant de déficience hépatique

Chez les patients atteints de déficience hépatique légère (enfant-PUGh Child-Pugh) ou modérée (enfant de la classe B), il y a eu une augmentation environ 3 fois de l'ASC moyenne par rapport aux sujets sains avec une fonction hépatique normale après plusieurs doses orales de 30 mg de prévacide pendant sept jours. La demi-vie du plasma moyenne correspondante du lansoprazole a été prolongée de 1,5 à quatre heures (enfant-PUGH A) ou cinq heures (enfant-Pugh B).

Chez les patients atteints de cirrhose compensée et décompensée, il y avait respectivement une augmentation d'environ 6 et 5 fois de l'ASC par rapport aux sujets sains avec une fonction hépatique normale après une seule dose orale de 30 mg prévacide [voir Posologie et administration Utiliser dans des populations spécifiques ].

Études d'interaction médicamenteuse

Effet du lansoprazole sur d'autres médicaments

Interactions cytochromes P450

Le lansoprazole est métabolisé par le système Cytochrome P450 spécifiquement par les isozymes CYP3A et CYP2C19. Des études ont montré que le prévacide n'a pas d'interactions cliniquement significatives avec d'autres médicaments métabolisés par le système du cytochrome P450 tels que la warfarine antipyrine indométhacine ibuprofène phénytoine propranolol prednisone diazépam ou clarithromycine chez des sujets sains. Ces composés sont métabolisés à travers diverses isozymes du cytochrome P450, notamment CYP1A2 CYP2C9 CYP2C19 CYP2D6 et CYP3A.

Théophylline

Lorsque le prevacide a été administré concomitamment avec la théophylline (CYP1A2 CYP3A), une augmentation mineure (10%) dans la clairance de la théophylline a été observée. En raison de la petite ampleur et de la direction de l'effet sur la clairance de la théophylline, cette interaction est peu susceptible d'être une préoccupation clinique [voir Interactions médicamenteuses ].

Méthotrexate And 7-hydroxymethotrexate

Dans une étude pharmacocinétique à bras de huit jours à un seul bras ouvert de 28 patients atteints de polyarthrite rhumatoïde adulte (qui nécessitait l'utilisation chronique de 7,5 à 15 mg de méthotrexate administré chaque semaine) de sept jours de naproxène 500 mg twice par jour et de prévacide 30 mg par jour n'a eu aucun effet sur la pharmacocinétique du méthotrexate et de 7-hydroxythorexate. Bien que cette étude n'ait pas été conçue pour évaluer la sécurité de cette combinaison de médicaments, aucune réaction indésirable majeure n'a été notée. Cependant, cette étude a été menée avec de faibles doses de méthotrexate. Une étude d'interaction médicamenteuse avec des doses élevées de méthotrexate n'a pas été menée [voir Avertissements et précautions ].

Amoxicilline

Prévacide has also been shown to have no clinically significant interaction with amoxicillin.

Sacralfat

Dans une étude de croisement à dose, examinant la prévacide 30 mg administrée seule et concomitante avec le sucralfate 1 gramme d'absorption du lansoprazole a été retardée et la biodisponibilité a été réduite de 17% lorsqu'elle est administrée concomitante avec le sucralfate [voir Posologie et administration Interactions médicamenteuses ].

Antiacides

Dans les essais cliniques, les antiacides ont été administrés en concomitance avec le prévacide et il n'y avait aucune preuve d'un changement dans l'efficacité du prévacide.

Clopidogrel

Clopidogrel is metabolized to its active metabolite in part by CYP2C19. A study of healthy subjects who were CYP2C19 extensive metabolizers receiving once daily administration of clopidogrel 75 mg alone or concomitantly with Prévacide 30 mg (n=40) for nine days was conducted. The mean AUC of the active metabolite of clopidogrel was reduced by approximately 14% (mean AUC ratio was 86% with 90% CI of 80 to 92%) when Prévacide was coadministered compared to administration of clopidogrel alone.

Les paramètres pharmacodynamiques ont également été mesurés et ont démontré que la variation de l'inhibition de l'agrégation plaquettaire (induite par 5 MCM ADP) était liée à la variation de l'exposition au métabolite actif du clopidogrel. L'effet sur l'exposition au métabolite actif du clopidogrel et sur l'inhibition plaquettaire induite par le clopidogrel n'est pas considéré comme cliniquement important.

Effet des autres médicaments sur le lansoprazole

Parce que le lansoprazole est métabolisé par les inducteurs et inhibiteurs du CYP2C19 et CYP3A4 de ces enzymes peuvent potentiellement modifier l'exposition du lansoprazole.

Microbiologie

Microbiologie

Il a été démontré que la clarithromycine et / ou l'amoxicilline du lansoprazole et / ou de l'amoxicilline sont actives contre la plupart des souches de Helicobacter pylori in vitro et dans les infections cliniques [voir Indications et utilisation ].

Helicobacter pylori Résistance au prétraitement

Clarithromycine pretreatment resistance (≥2.0 mcg/mL) was 9.5% (91/960) by E-test and 11,3% (12/106) by agar dilution in the dual and triple therapy clinical trials (M93-125 M93-130 M93­131 M95-392 and M95-399).

Amoxicilline pretreatment susceptible isolates (≤0.25 mcg/mL) occurred in 97.8% (936/957) and 98.0% (98/100) of the patients in the dual and triple therapy clinical trials by E-test and agar dilution respectively. Twenty-one of 957 patients (2.2%) by E-test and two of 100 patients (2.0%) by agar dilution had amoxicillin pretreatment MICs of greater than 0.25 mcg/mL. One patient on the 14 day triple therapy regimen had an unconfirmed pretreatment amoxicillin minimum inhibitory concentration (MIC) of greater than 256 mcg/mL by E-test and the patient was eradicated of H. pylori (Tableau 8).

Tableau 8: Résultats des tests de sensibilité à la clarithromycine et résultats cliniques / bactériologiques *

Clarithromycine Pretreatment Results Clarithromycine Post-treatment Results
H. pylori negative -eradicated H. pylori positive - not eradicated Post-treatment susceptibility results
S † JE† R † Pas de micro
Triple thérapie 14 jours (lansoprazole 30 mg deux fois par jour / amoxicilline 1 g deux fois par jour / clarithromycine 500 mg deux fois par jour) (M95-399 M93-131 M95-392)
Sensible† 112 105 7
Intermédiaire† 3 3
Résistant† 17 6 7 4
Triple thérapie 10 jours (lansoprazole 30 mg deux fois par jour / amoxicilline 1 g deux fois par jour / clarithromycine 500 mg deux fois par jour) (M95-399)
Sensible† 42 40 1 1
Intermédiaire†
Résistant† 4 1 3
* Comprend uniquement les patients atteints de prétraitement des résultats des tests de sensibilité à la clarithromycine
† Mic sensible (s) ≤0,25 mcg / ml intermédiaire (i) micro 0,5 à 1,0 mcg / ml résistant (R) Mic ≥2 mcg / ml

Patients non éradiqués de H. pylori Après le lansoprazole / amoxicilline / clarithromycine, la thérapie triple aura probablement une résistance à la clarithromycine H. pylori . Par conséquent, pour les patients qui échouent la thérapie, les tests de sensibilité à la clarithromycine doivent être effectués lorsque cela est possible. Patients atteints de clarithromycine résistante H. pylori ne doit pas être traité avec le thérapie triple lansoprazole / amoxicilline / clarithromycine ou avec des régimes qui incluent la clarithromycine comme seul agent antimicrobien.

Amoxicilline Susceptibility Test Results And Clinical/Bacteriological Outcomes

Effets secondaires du vaccin contre la fièvre jaune

Dans les essais cliniques à double et triple thérapie, 82,6% (195/236) des patients qui avaient des micros sensibles à l'amoxicilline de prétraitement (≤0,25 mcg / ml) ont été éradiqués de H. pylori . Parmi ceux avec des micros d'amoxicilline de prétraitement supérieurs à 0,25 mcg / ml trois des six avaient le H. pylori éradiqué. Un total de 30% (21/70) des patients ont échoué au lansoprazole 30 mg trois fois par jour / amoxicilline 1 g trois fois par jour un traitement double par jour et un total de 12,8% (22/172) des patients ont échoué les schémas thérapeutiques triples de 10 et 14 jours. Les résultats de la sensibilité post-traitement n'ont pas été obtenus sur 11 des patients qui ont échoué un traitement. Neuf des 11 patients atteints de micros post-traitement à l'amoxicilline qui ont échoué le schéma thérapeutique à triple H. pylori isolats.

Test de sensibilité pour Helicobacter pylori

Pour tester les informations sur la sensibilité sur Helicobacter pylori Voir la section de microbiologie dans la prescription d'informations pour la clarithromycine et l'amoxicilline.

Études cliniques

Ulcère duodénal

Dans une étude de dose-réponse en double aveugle multicentrique à double aveugle (15 30 et 60 mg de prévacide une fois par jour) de 284 patients atteints d'ulcères duodénaux documentés en endoscopie, le pourcentage de patients guéris après deux et quatre semaines était significativement plus élevé avec toutes les doses de prévacide qu'avec le placebo. Il n'y avait aucune preuve d'une réponse plus élevée ou antérieure avec les deux doses plus élevées par rapport à la prevacide 15 mg. Sur la base de cette étude et la deuxième étude décrite ci-dessous la dose recommandée de prévacide dans l'ulcère duodénal est de 15 mg par jour (tableau 9).

Tableau 9: Taux de guérison des ulcères duodénaux

Semaine Prévacide Placebo
(N = 72)
15 mg daily
(N = 68)
30 mg daily
(N = 74)
60 mg daily
(N = 70)
2 42,4% * 35,6% * 39,1% * 11,3%
4 89,4% * 91,7% * 89,9% * 46,1%
* (p≤0.001) vs placebo.

Prévacide 15 mg was significantly more effective than placebo in relieving day and nighttime abdominal pain and in decreasing the amount of antacid taken per day.

Dans une deuxième étude multicentrique américaine, la combinaison de dose-contrôlée en double aveugle contrôlée par placebo (15 et 30 mg de prévacide une fois par jour) et incluant une comparaison avec la ranitidine chez 280 patients atteints d'ulcère duodénal documenté par endoscopie, le pourcentage de patients guéris après quatre semaines était significativement plus élevé avec les deux doses de prévacides qu'avec Placebo. Il n'y avait aucune preuve d'une réponse plus élevée ou antérieure avec la dose plus élevée de prévacide. Bien que la dose de 15 mg de prévacide soit supérieure à la ranitidine à quatre semaines, le manque de différence significative à deux semaines et l'absence de différence entre 30 mg de prévacide et de ranitidine laisse l'efficacité comparative des deux agents indéterminés (tableau 10) [voir Indications et utilisation ].

Tableau 10: Taux de guérison des ulcères duodénaux

Semaine Prévacide Ranitidine Placebo
(N = 41)
15 mg daily
(N = 80)
30 mg daily
(N = 77)
300 mg H.S.
(N = 82)
2 35,0% 44,2% 30,5% 34,2%
4 92,3% * 80,3% † 70,5% † 47,5%
* (p≤0.05) vs placebo and ranitidine.
† (P≤0.05) vs placebo.

Éradication de H. pylori Pour réduire le risque de récidive des ulcères duodénaux

Des études cliniques en double aveugle randomisées réalisées aux États-Unis chez les patients atteints H. pylori et l'ulcère duodénal (défini comme un ulcère actif ou des antécédents d'un ulcère dans un délai d'un an) a évalué l'efficacité de la prévacide en combinaison avec l'amoxicilline et la clarithromycine comme thérapie triple 14 jours ou en combinaison avec l'amoxicilline comme thérapie de 14 jours pour l'éradication de l'éradication de l'éradication de l'éradication de l'éradication de l'éradication de l'éradication de l'éradication de l'éradication de l'éradication de l'éradication de l'éradication de l'éradication de l'éradication de l'éradication de l'éradication de l'éradication de l'éradication de 14 jours H. pylori . Sur la base des résultats de ces études, l'innocuité et l'efficacité de deux schémas d'éradication différents ont été établies:

Triple thérapie: Prévacide 30 mg deux fois par jour / amoxicilline 1 g deux fois par jour / clarithromycine 500 mg deux fois par jour

Double thérapie: Prévacide 30 mg trois fois par jour / amoxicilline 1 g trois fois par jour

Tous les traitements ont duré 14 jours. H. pylori L'éradication a été définie comme deux tests négatifs (culture et histologie) à quatre à six semaines après la fin du traitement.

La triple thérapie s'est avérée plus efficace que toutes les combinaisons possibles de thérapie double. La double thérapie s'est avérée plus efficace que les deux monothérapies. Éradication de H. pylori s'est avéré réduire le risque de récidive de l'ulcère duodénal.

Une étude clinique en double aveugle randomisée réalisée aux États-Unis chez les patients atteints H. pylori et l'ulcère duodénal (défini comme un ulcère actif ou des antécédents d'un ulcère en un an) a comparé l'efficacité de la triple thérapie prévacide pendant 10 et 14 jours. Cette étude a établi que la thérapie triple de 10 jours était équivalente à la thérapie triple 14 jours dans l'éradication H. pylori (Tables 11 et 12) [Voir Indications et utilisation ].

Tableau 11: H. pylori Taux d'éradication - Thérapie triple (prévacide / amoxicilline / clarithromycine) pour cent des patients guéris [intervalle de confiance à 95%] (nombre de patients)

Étude Durée Analyse évaluable à triple thérapie * Analyse en triple thérapie en matière de traitement †
M93-131 14 jours 92 ‡ [80.0-97.7] (n = 48) 86 ‡ [73.3-93.5] (n = 55)
M95-392 14 jours 86§ [75.7-93.6] (n = 66) 83§ [72.0-90.8] (n = 70)
M95-399¶ 14 jours 85 [77.0-91.0] (n = 113) 82 [73.9-88.1] (n = 126)
10 jours 84 [76.0-89.8] (n = 123) 81 [73.9-87.6] (n = 135)
* Basé sur des patients évaluables avec un ulcère duodénal confirmé (actif ou dans un an) et H. pylori Infection au départ défini comme au moins deux des trois tests endoscopiques positifs à partir de l'histologie et / ou de la culture de Clotest. Les patients ont été inclus dans l'analyse s'ils ont terminé l'étude. De plus, si les patients ont abandonné l'étude en raison d'un événement indésirable lié au médicament de l'étude, ils ont été inclus dans l'analyse évaluable en tant que défaillances du traitement.
† Les patients ont été inclus dans l'analyse s'ils avaient documenté H. pylori Infection au départ tel que défini ci-dessus et avait un ulcère duodénal confirmé (actif ou dans un an). Tous les décrocheurs ont été inclus comme échecs de thérapie.
‡ (P <0.05) vs Prévacide/amoxicillin and Prévacide/clarithromycin dual therapy.
§ (p <0.05) vs clarithromycin/amoxicillin dual therapy.
¶ L'intervalle de confiance à 95% pour la différence de taux d'éradication 10 jours moins 14 jours est (-10,5 8,1) dans l'analyse évaluable et (-9.7 9.1) dans l'analyse en intention de traiter.

Tableau 12: H. pylori Taux d'éradication - Thérapie double 14 jours (prévacide / amoxicilline) pour cent des patients guéris [intervalle de confiance à 95%] (nombre de patients)

Étude Double thérapie Analyse évaluable * Analyse de la double thérapie en intention de traiter †
M93-131 77 ‡ [62.5-87.2] (n = 51) 70 ‡ [56.8-81.2] (n = 60)
M93-125 66§ [51.9-77.5] (n = 58) 61§ [48.5-72.9] (n = 67)
* Basé sur des patients évaluables avec un ulcère duodénal confirmé (actif ou dans un an) et H. pylori Infection au départ défini comme au moins deux des trois tests endoscopiques positifs à partir de l'histologie et / ou de la culture de Clotest. Les patients ont été inclus dans l'analyse s'ils ont terminé l'étude. De plus, si les patients ont abandonné l'étude en raison d'un événement indésirable lié au médicament d'étude, ils ont été inclus dans l'analyse en tant que défaillances du traitement.
† Les patients ont été inclus dans l'analyse s'ils avaient documenté H. pylori Infection au départ tel que défini ci-dessus et avait un ulcère duodénal confirmé (actif ou dans un an). Tous les décrocheurs ont été inclus comme échecs de thérapie.
‡ (P <0.05) vs Prévacide alone.
§ (p <0.05) vs Prévacide alone or amoxicillin alone.

Entretien des ulcères duodénaux guéris

Prévacide has been shown to prevent the recurrence of duodenal ulcers. Two independent double-blind multicenter controlled trials were conducted in patients with endoscopically confirmed healed duodenal ulcers. Patients remained healed significantly longer and the number of recurrences of duodenal ulcers was significantly less in patients treated with Prévacide than in patients treated with placebo over a 12 month period (Table 13) [see Indications et utilisation ].

Tableau 13: Taux de rémission endoscopique

Procès Médicament Nombre de pts. Pour cent en rémission endoscopique
0-3 pour. 0-6 pour. 0-12 pour.
Prévacide 15 mg daily 86 90% * 87% * 84% *
Placebo 83 49% 41% 39%
Prévacide 30 mg daily 18 94% * 94% * 85% *
Prévacide 15 mg daily 15 87% * 79% * 70% *
Placebo 15 33% 0% 0%
% = Tableau de vie Estimation
* (p≤0.001) vs placebo.

En procès

Ulcère gastrique

Dans une étude multicentrique à double aveugle multicentrique, un étude contrôlée par placebo de 253 patients atteints d'ulcère gastrique documenté en endoscopie, le pourcentage de patients guéris à quatre et huit semaines était significativement plus élevé avec le prévacide 15 et 30 mg une fois par jour qu'avec un placebo (tableau 14) [voir Indications et utilisation ].

Tableau 14: Taux de guérison des ulcères gastriques

Semaine Prévacide Placebo
(N = 64)
15 mg daily
(N = 65)
30 mg daily
(N = 63)
60 mg daily
(N = 61)
4 64,6% * 58,1% * 53,3% * 37,5%
8 92,2% * 96,8% * 93,2% * 76,7%
* (p≤0.05) vs placebo.

Les patients traités avec une dose prévacide ont signalé beaucoup moins de douleurs abdominales de jour et de nuit ainsi que moins de jours d'utilisation antiacide et moins de comprimés antiacides utilisés par jour que le groupe placebo.

La justification indépendante de l'efficacité de la prévacide 30 mg a été fournie par une méta-analyse des données publiées et non publiées.

Guérison de l'ulcère gastrique associé aux AINS

Dans deux études à contrôle actif en double aveugle aux États-Unis et canadien chez les patients atteints d'ulcère gastrique associé aux AINS confirmé par endoscopie, qui a poursuivi leurs AINS, le pourcentage de patients guéri après huit semaines était statistiquement significativement plus élevé avec 30 mg de prévacide qu'avec le contrôle actif. Au total, 711 patients ont été inscrits dans l'étude et 701 patients ont été traités. Les patients étaient âgés de 18 à 88 ans (âge médian 59 ans) avec 67% de patientes et 33% de patients masculins. La race a été distribuée comme suit: 87% de Caucasien 8% noir 5% autre. Il n'y avait pas de différence statistiquement significative entre le prévacide 30 mg par jour et le contrôle actif sur le soulagement des symptômes (c'est-à-dire la douleur abdominale) (tableau 15) [voir Indications et utilisation ].

Tableau 15: Taux de guérison des ulcères gastriques associés aux AINS * *

Étude
Prévacide 30 mg daily Contrôle actif †
Semaine 4 60% (53/88) ‡ 28% (23/83)
Semaine 8 79% (62/79) ‡ 55% (41/74)
Étude
Prévacide 30 mg daily Contrôle actif †
Semaine 4 53% (40/75) 38% (31/82)
Semaine 8 77% (47/61) ‡ 50% (33/66)
* Les ulcères observés réels ont guéri à des moments ± 2 jours.
† Dose pour la guérison de l'ulcère gastrique.
‡ (P≤0.05) vs the active control.

Réduction du risque de l'ulcère gastrique associé aux AINS

Dans une grande étude américaine à double aveugle multicentrique à double aveugle (aveugle uniquement à l'endoscopiste) chez des patients qui nécessitaient une utilisation chronique d'une ANS et qui avait des antécédents de l'ulcère gastrique documenté par endoscopie, la proportion de patients restant gratuits à partir d'ulcère gastrique à quatre huit et 12 semaines était significativement plus élevé avec 15 ou 30 mg de prévacide que le placement gastrique. Au total, 537 patients ont été inscrits dans l'étude et 535 patients ont été traités. Les patients étaient âgés de 23 à 89 ans (âge médian de 60 ans) avec 65% de patientes et 35% de patients masculins. La race a été distribuée comme suit: 90% Caucasien 6% noir 4% autre. La dose de 30 mg de prévacide n'a montré aucun avantage supplémentaire dans la réduction du risque de l'ulcère gastrique associé aux AINS que la dose de 15 mg (tableau 16) [voir Indications et utilisation ].

Tableau 16: Proportion de patients restant exempts d'ulcères gastriques *

Semaine Prévacide 15 mg daily
(N = 121)
Prévacide 30 mg daily
(N = 116)
Misoprostol 200 mcg quatre fois par jour
(N = 106)
Placebo
(N = 112)
4 90% 92% 96% 66%
8 86% 88% 95% 60%
12 80% 82% 93% 51%
*% = Estimation du tableau de vie
(p <0.001) Prévacide 15 mg daily vs placebo; Prévacide 30 mg daily vs placebo; and misoprostol 200 mcg four times daily vs placebo.
(p <0.05) Misoprostol 200 mcg quatre fois par jour vs Prévacide 15 mg daily; and misoprostol 200 mcg four times daily vs Prévacide 30 mg daily.

Maladie gastro-œsophagienne symptomatique (RGO)

RGO symptomatique

Dans une étude multicentrique en double aveugle multicentrique, un étude contrôlée par un placebo de 214 patients présentant des symptômes de RGO fréquents, mais aucune érosion œsophagienne par endoscopie, un soulagement significative des brûlures d'estomac associée au RGO n'a été observée avec l'administration de lansoprazole 15 mg une fois par jour jusqu'à huit semaines qu'au placebo. Aucun avantage supplémentaire significatif du lansoprazole 30 mg une fois par jour observé.

Les analyses en intention de traiter ont démontré une réduction significative de la fréquence et de la gravité des brûlures d'estomac de jour et de nuit. Les données de fréquence et de gravité pour la période de traitement de huit semaines sont présentées dans le tableau 17 et dans les figures 1 et 2:

Tableau 17: Fréquence des brûlures d'estomac

Placebo
(n = 43)
Prévacide 15 mg
(n = 80)
Prévacide 30 mg
(n = 86)
Variable Médian
% des jours sans brûlures d'estomac
Semaine 1 0% 71% * 46% *
Semaine 4 11% 81% * 76% *
Semaine 8 13% 84% * 82%*
% des nuits sans brûlures d'estomac
Semaine 1 17% 86%* 57% *
Semaine 4 25% 89% * 73% *
Semaine 8 36% 92%* 80%*
* (p <0.01) vs placebo.

Figure 1: Gravité moyenne du coup de cœur de jour par jour de l'étude pour les patients évaluables (3 = grave 2 = modéré 1 = léger 0 = aucun)

Figure 2: Gravité moyenne du coup de cœur nocturne au jour de l'étude pour les patients évaluables (3 = grave 2 = modéré 1 = léger 0 = aucun)

Dans deux études américaines à double aveugle à double aveugle, contrôlée par la ranitidine, de 925 patients totaux présentant des symptômes de RGO fréquents, mais aucune érosion œsophagienne par l'endoscopie lansoprazole 15 mg n'était supérieure à la ranitidine 150 mg (deux fois par jour) dans la diminution de la fréquence et de la gravité de la ranitidine 150 mg (deux fois par jour) dans la diminution de la fréquence et de la gravité de la ranitidine 150 mg (deux fois par jour) dans la diminution de la fréquence et de la gravité de jour et de nuit) brûlures d'estomac associé au RGO pour la période de traitement de huit semaines. Aucun avantage supplémentaire significatif du lansoprazole 30 mg une fois par jour observé [voir Indications et utilisation ].

Œsophagite érosive

Dans une étude multicentrique à double aveugle multicentrique en double aveugle, contrôlée par un placebo, 269 patients entrant avec un diagnostic endoscopique d'œsophagite avec un classement muqueux de deux ou plus et des classes et quatre de grades signifiant érosives, les pourcentages de patients atteints de guérison sont présentés dans le tableau 18:

Tableau 18: Taux de guérison de l'œsophagite érosive

Semaine Prévacide Placebo
(N = 63)
15 mg daily
(N = 69)
30 mg daily
(N = 65)
60 mg daily
(N = 72)
4 67,6% * 81,3% * † 80,6% * † 32,8%
6 87,7% * 95,4% * 94,3% * 52,5%
8 90,9% * 95,4% * 94,4% * 52,5%
* (p≤0.001) vs placebo.
† (P≤0.05) vs Prévacide 15 mg.

Dans cette étude, tous les groupes prévacides ont signalé un soulagement significativement plus important des brûlures d'estomac et des douleurs abdominales de jour et de nuit ainsi que moins de jours d'utilisation antiacide et moins de comprimés antiacides pris par jour que le groupe placebo. Bien que toutes les doses aient été efficaces, la guérison antérieure dans les deux doses supérieures suggère 30 mg par jour comme dose recommandée.

Prévacide was also compared in a US multicenter double-blind study to a low dose of ranitidine in 242 patients with erosive reflux esophagitis. Prévacide at a dose of 30 mg was significantly more effective than ranitidine 150 mg twice daily as shown below (Table 19).

Tableau 19: Taux de guérison de l'œsophagite érosive

Semaine Prévacide 30 mg daily
(N = 115)
Ranitidine 150 mg twice daily
(N = 127)
2 66,7% * 38,7%
4 82,5% * 52,0%
6 93,0% * 67,8%
8 92,1% * 69,9%
* (p≤0.001) vs ranitidine.

En outre, les patients traités par prevacid ont signalé moins de brûlures d'estomac de jour et nocturne et ont pris moins de comprimés anti-acides pendant moins de jours que les patients prenant la ranitidine 150 mg deux fois par jour.

Bien que cette étude démontre l'efficacité du prévacide dans la guérison de l'œsophagite érosive, elle ne représente pas une comparaison adéquate avec la ranitidine car la dose de ranitidine recommandée pour l'œsophagite est de 150 mg quatre fois par jour deux fois la dose utilisée dans cette étude.

Dans les deux essais décrits et dans plusieurs études plus petites impliquant des patients atteints d'œsophagite érosive modérée à sévère, a produit des taux de guérison similaires à ceux indiqués ci-dessus.

Dans une étude multicentrique américaine en double aveugle à double contrôlée active, 30 mg de prévacide ont été comparés à la ranitidine 150 mg deux fois par jour chez 151 patients atteints d'œsophagite de reflux érosive qui était mal sensible à un minimum de 12 semaines de traitement avec au moins un antagoniste de récepteur H2 donné à la dose indiquée pour un soulagement symptomatique ou plus Famotidine 40 mg / jour ou nizatidine 300 mg / jour. Le prévacide 30 mg était plus efficace que la ranitidine 150 mg deux fois par jour dans l'œsophagite de reflux de guérison et le pourcentage de patients atteints de guérison était le suivant. Cette étude ne constitue pas une comparaison de l'efficacité des antagonistes récepteurs de l'histamine H2 avec le prévacide car tous les patients avaient démontré une non-réponse au mode de traitement des récepteurs de l'histamine H2. Il indique cependant que le prévacide peut être utile chez les patients échouant sur un antagoniste des récepteurs H2 histamine (tableau 20) [voir Indications et utilisation ].

Tableau 20: Taux de guérison de l'œsophagite au reflux chez les patients mal sensibles à la thérapie antagoniste des récepteurs de l'histamine H2

Semaine Prévacide 30 mg daily
(N = 100)
Ranitidine 150 mg twice daily
(N = 51)
4 74,7% * 42,6%
8 83,7% * 32,0%
* (p≤0.001) vs ranitidine.

Entretien de la guérison de l'œsophagite érosive

Deux essais contrôlés multicentriques en double aveugle indépendants ont été menés chez des patients atteints d'œsophagite guéris confirmée par endoscopie. Les patients sont restés en rémission significativement plus longs et le nombre de récidives de l'œsophagite érosive était significativement moins chez les patients traités par prévacide que chez les patients traités par placebo sur une période de 12 mois (tableau 21).

Tableau 21: Taux de rémission endoscopique

Procès Médicament Nombre de pts. Pour cent en rémission endoscopique
0-3 pour. 0-6 pour. 0-12 pour.
Prévacide 15 mg daily 59 83% * 81% * 79% *
Prévacide 30 mg daily 56 93%* 93%* 90% *
Placebo 55 31% 27% 24%
Prévacide 15 mg daily 50 74% * 72% * 67% *
Prévacide 30 mg daily 49 75% * 72% * 55% *
Placebo 47 16% 13% 13%
% = Tableau de vie Estimation
* (p≤0.001) vs placebo.

Quelle que soit la note initiale de l'œsophagite érosive prévacide, 15 et 30 mg étaient similaires dans le maintien de la rémission.

Dans une étude américaine en double aveugle, une étude prévacide 15 mg par jour (n = 100) a été comparée à la ranitidine 150 mg deux fois par jour (n = 106) à la posologie recommandée chez les patients atteints d'œsophagite érosive guéri endoscopiquement prouvée sur une période de 12 mois. Le traitement avec la prevacide a entraîné la guérison des patients (lésions de grade 0) d'œsophagite érosive pendant des périodes de temps significativement plus longues que celles traitées par ranitidine (P <0.001). In addition Prévacide was significantly more effective than ranitidine in providing complete relief of both daytime and nighttime brûlures d'estomac. Patients treated with Prévacide remained asymptomatic for a significantly longer period of time than patients treated with ranitidine [see Indications et utilisation ].

Des conditions hypersécrétoires pathologiques, y compris le syndrome de Zollinger-Ellison

Dans des études ouvertes sur 57 patients atteints de conditions hypersécrétoires pathologiques telles que Syndrome de Zollinger-Ellison (ZES) avec ou sans adénome endocrinien multiple prévacide a inhibé de manière significative la sécrétion d'acide gastrique et les symptômes associés contrôlés de diarrhée anorexie et douleur. Des doses allant de 15 mg tous les deux jours à 180 mg par jour ont maintenu la sécrétion d'acide basal inférieur à 10 Meq / HR chez les patients sans chirurgie gastrique antérieure et inférieur à 5 Meq / HR chez les patients présentant une chirurgie gastrique antérieure.

Les doses initiales ont été titrées aux besoins individuels du patient et des ajustements étaient nécessaires avec le temps chez certains patients [voir Posologie et administration ]. Prévacide was well-tolerated at these high-dose levels for prolonged periods (greater than four years in some patients). In most ZES patients serum gastrin levels were not modified by Prévacide. However in some patients serum gastrin increased to levels greater than those present prior to initiation of lansoprazole therapy [see Indications et utilisation ].

Informations sur les patients pour Prévacide

Prévacide
(prev-a-sid)
(lansoprazole) capsules à libération retardée pour une utilisation orale et

Solutab prévacide
(prev-a-sid sol-u-tab)
(lansoprazole) Restructions de comprimés de désintégration orale

Quelles sont les informations les plus importantes que je devrais connaître sur le solutab Prevacide et Prevacid?

Vous devez prendre le solutab Prevacide et Prévacide exactement comme prescrit à la dose la plus faible possible et pour les plus brefs délais nécessaires.

Prévacide and Solutab prévacide may help your acid-related symptoms but you could still have serious stomach problems. Talk with your doctor.

Prévacide and Solutab prévacide can cause serious side effects including:

  • Un type de problème rénal (néphrite tubulo-interstitielle aiguë). Certaines personnes qui prennent des médicaments inhibiteurs de la pompe à protons (IPP), y compris le solutab prévaciaire et le solutab, peuvent développer un problème rénal appelé néphrite tubulo-interstitielle aiguë qui peut se produire à tout moment pendant le traitement avec des médicaments IPP, y compris le solutab prévacide et prévcial. Appelez votre médecin immédiatement si vous avez une diminution du montant que vous urinez ou si vous avez du sang dans votre urine.
  • Diarrhée caused by an infection ( Clostridium difficile ) dans vos intestins. Appelez votre médecin tout de suite si vous avez des tabourets aqueux ou des douleurs à l'estomac qui ne disparaissent pas. Vous pouvez ou non avoir de la fièvre.
  • Fractures osseuses (poignet de la hanche ou colonne vertébrale). Les fractures osseuses dans le poignet de la hanche ou la colonne vertébrale peuvent se produire chez les personnes qui prennent plusieurs doses quotidiennes de médicaments PPI et pendant une longue période (un an ou plus). Dites à votre médecin si vous avez une fracture osseuse, en particulier dans le poignet de la hanche ou la colonne vertébrale.
  • Certains types de lupus érythémateux. Le lupus érythémateux est un trouble auto-immune (les cellules immunitaires du corps attaquent d'autres cellules ou organes dans le corps). Certaines personnes qui prennent des médicaments PPI, y compris le solutab prévacide et prévcial, peuvent développer certains types de lupus érythémateux ou avoir aggravé le lupus qu'ils ont déjà. Appelez votre médecin immédiatement si vous avez une douleur articulaire neuve ou aggravée ou une éruption cutanée sur vos joues ou vos bras qui empire au soleil.

Parlez à votre médecin de votre risque de ces effets secondaires graves.

Prévacide and Solutab prévacide can have other serious side effects. Voir Quels sont les effets secondaires possibles du solutab prévacide et prévcial ?.

Que sont les Solutab Prevacid et Prevacid?

Un médicament sur ordonnance appelé inhibiteur de la pompe à protons (PPI) a utilisé pour réduire la quantité d'acide dans votre estomac.

Chez les adultes Prévacide and Solutab prévacide are used for:

  • 4 semaines pour la guérison et le soulagement des symptômes des ulcères duodénaux.
  • 10 à 14 jours avec certains antibiotiques pour traiter une infection causée par les bactéries appelées H. pylori .
  • Maintenir la guérison des ulcères duodénaux. Prévacide n'a pas été étudié au-delà de 12 mois à cette fin.
  • Jusqu'à 8 semaines pour la guérison et le soulagement des symptômes des ulcères de l'estomac.
  • Jusqu'à 8 semaines pour la guérison des ulcères d'estomac chez les personnes prenant des analgésiques appelés anti-inflammatoires non stéroïdiens (AINS). Prévacide n'a pas été étudié au-delà de 8 semaines à cette fin.
  • Réduire le risque d'ulcères d'estomac chez les personnes qui risquent de développer des ulcères d'estomac avec des AINS. Prévacide n'a pas été étudié au-delà de 12 semaines à cette fin.
  • Jusqu'à 8 semaines pour traiter les brûlures d'estomac et d'autres symptômes qui se produisent avec le reflux gastro-œsophagien (RGO). Le RGO se produit lorsque l'acide dans votre estomac recule dans le tube (œsophage) qui relie votre bouche à votre estomac. Cela peut provoquer une sensation brûlante dans votre poitrine ou votre gorge au goût ou à la ralentissement.
  • Jusqu'à 8 semaines pour la guérison et le soulagement des symptômes des dommages liés à l'acide à la muqueuse de l'œsophage (appelé œsophagite érosive ou EE). Votre médecin peut prescrire 8 à 16 semaines supplémentaires de solutab prévacide ou prévcial pour les patients dont l'EE ne s'améliore pas ou dont les symptômes reviennent.
  • Maintenir la guérison de l'EE. Prévacide n'a pas été étudié au-delà de 12 mois à cette fin.
  • Le traitement à long terme des conditions où votre estomac fait trop d'acide. Cela comprend une condition rare appelée syndrome de Zollinger-Ellison.

Enfants:

Donnez un solutab Prévacide et Prévacide exactement comme prescrit par le médecin de votre enfant. N'augmentez pas la dose de Solutab Prevacide et Prevacid ou donnez à votre enfant un solutab Prévacide et Prévacide plus longtemps que le temps que votre médecin vous dit.

Chez les enfants de 1 à 11 ans Prévacide and Solutab prévacide are used for:

  • Jusqu'à 12 semaines pour traiter les brûlures d'estomac et d'autres symptômes qui peuvent se produire avec le RGO.
  • jusqu'à 12 semaines pour la guérison et le soulagement des symptômes de l'EE.

Chez les enfants de 12 à 17 ans Prévacide and Solutab prévacide are used for:

  • Jusqu'à 8 semaines pour traiter les brûlures d'estomac et d'autres symptômes qui peuvent se produire avec le RGO.
  • Jusqu'à 8 semaines pour la guérison et le soulagement des symptômes de l'EE.

Prévacide and Solutab prévacide are not recommended for treating the symptoms of Orgue in children less than 1 year of age and may harm them.

Ne prenez pas Solutab Prevacid ou Prévacide si vous êtes:

  • Allergique au lansoprazole tout autre médicament PPI ou l'un des ingrédients du solutab prévacide ou prévaciaire. Voir la fin de ce guide de médicaments pour une liste complète des ingrédients dans le solutab Prévacide et Prévacide.
  • Prendre un médicament contenant du rilpivirine (Edurant Complera Odefsey Juluca) utilisé pour traiter le VIH-1 (virus de l'immunodéficience humaine).

Avant de prendre le solutab Prevacid ou Prevacid, parlez à votre médecin de toutes vos conditions médicales, y compris si vous:

  • Ayez des niveaux de potassium de calcium en magnésium faible ou de sodium dans votre sang ou vous prenez un diurétique.
  • avoir des problèmes de foie.
  • avoir une phénylketonurie. Prevacid Solutab contient l'aspartame.
  • sont enceintes pensent que vous pourriez être enceinte ou que vous prévoyez de devenir enceinte. Le solutab prévacide ou prévcial peut nuire à votre bébé à naître. Parlez à votre médecin des risques possibles pour un bébé à naître si le solutab prévaciaire ou prévcial est pris pendant la grossesse.
  • allaitent ou prévoient d'allaiter. On ne sait pas si le solutab prévacide ou prévcial passe dans votre lait maternel. Parlez à votre médecin de la meilleure façon de nourrir votre bébé si vous prenez un solutab Prevacid ou Prévacide.

Parlez à votre médecin de tous les médicaments que vous prenez y compris les médicaments sur ordonnance et en vente libre des vitamines et des suppléments à base de plantes. Surtout, dites à votre médecin si vous prenez du méthotrexate (Otrexup Rasuvo Trexall Reditrex xatmep).

Comment devrais-je prendre Prévacide et Solutab Prevacid?

  • Prenez le solutab Prevacid ou Prevacid exactement comme prescrit par votre médecin.
  • Ne changez pas votre dose ou n'arrêtez pas de prendre un solutab prévacide ou prévcial sans parler à votre médecin.
  • Prenez un solutab Prevacide ou Prévacide avant les repas.

Prévacide capsules:

  • Avalent des capsules prévacides entières.
  • N'écrasez pas ou ne mâchez pas les capsules prévacides.
  • Si vous avez du mal à avaler une capsule entière, vous pouvez ouvrir la capsule et prendre le contenu avec certains aliments ou jus. Voir les instructions pour une utilisation à la fin de ce guide de médicaments pour les instructions sur la façon de prendre des capsules prévacides avec certains aliments ou jus.
  • Voir les instructions pour une utilisation à la fin de ce guide de médicaments pour les instructions sur la façon de mélanger et de donner des capsules prévacides via un tube nasogastrique (tube NG).

Solutab prévacide:

    • Solutab prévacide is a tablet that melts in your mouth with or without water.
    • Ne cassez pas l'écrasement de coupe et mâchez les comprimés.
    • Voir les instructions pour une utilisation à la fin de ce guide de médicaments pour les instructions sur la façon de mélanger et de donner un solutab Prevacid via une seringue et un tube NG.
  • Si vous manquez une dose de Solutab Prevacid ou Prevacid, prenez-le dès que vous vous en souvenez. S'il est presque temps pour votre prochaine dose, ne prenez pas la dose manquée. Prenez votre prochaine dose à votre heure régulière. Ne prenez pas 2 doses en même temps.
  • Si vous prenez trop de Solutab Prévacide ou Prévacide, appelez votre médecin ou votre centre de contrôle du poison au 1-800-222-1222 ou allez immédiatement aux urgences de l'hôpital le plus proche.

Quels sont les effets secondaires possibles du solutab prévacide et prévcial?

Prévacide and Solutab prévacide can cause serious side effects including:

  • Voir Quelles sont les informations les plus importantes que je devrais connaître sur le solutab Prevacide et Prevacid?.
  • Faibles niveaux de vitamine B12 Dans le corps, il peut se produire chez les personnes qui ont pris longtemps le solutab prévacide ou prévcial (plus de 3 ans). Dites à votre médecin si vous avez des symptômes de faibles niveaux de vitamine B12, y compris l'essoufflement, les étourdissements élégants sont des rythmes cardiaques irréguliers faiblesse musculaire pâle se sentir fatigué des changements d'humeur fatigués et des picotements ou un engourdissement dans les bras et les jambes.
  • Grayth estomac (Polypes Glan Fundic). Les personnes qui prennent des médicaments PPI pendant longtemps ont un risque accru de développer un certain type de croissance de l'estomac appelé polypes de glande funtique, en particulier après avoir pris des médicaments PPI pendant plus d'un an.
  • Faibles niveaux de magnésium dans le corps peut se produire chez les personnes qui ont pris Prévacide pendant au moins 3 mois. Dites immédiatement à votre médecin si vous avez des symptômes de faibles niveaux de magnésium, y compris les convulsions, les étourdissements de la tremblement cardiaque irrégulier font mal au muscle ou aux spasmes des mains ou de la voix.
  • Réactions cutanées graves. Prévacide can cause rare but severe skin reactions that may affect any part of your body. These serious skin reactions may need to be treated in a hospital and may be life threatening:
    • Éruption cutanée qui peut avoir des pelage ou des saignements cloques sur n'importe quelle partie de votre peau (y compris les mains ou les pieds génitaux du nez de la bouche de la bouche).
    • Vous pouvez également avoir de la fièvre des refroidissements de la fièvre, un essoufflement du corps ou des ganglions lymphatiques agrandis.

Arrêtez de prendre Prevacid et appelez votre médecin tout de suite. Ces symptômes peuvent être le premier signe d'une réaction cutanée sévère.

Les effets secondaires les plus courants du solutab prévacide et prévacide comprennent: Diarrhée dans la région de l'estomac (abdomen) Douleur nausée et constipation.

combien coûte un voyage en Grèce

Ce ne sont pas tous les effets secondaires possibles du solutab prévacide et prévcial.

Appelez votre médecin pour des conseils médicaux sur les effets secondaires.

Vous pouvez signaler les effets secondaires à la FDA au 1-800-FDA-1088.

Comment stocker Prévacide et Solutab Prevacid?

Conserver la cour à température ambiante entre 68 ° F à 77 ° F (20 ° C à 25 ° C).

Gardez le solutab Prévacide et Prévacide et tous les médicaments hors de portée des enfants.

Informations générales sur l'utilisation sûre et efficace du solutab prévacide et prévcial.

Les médicaments sont parfois prescrits à des fins autres que celles énumérées dans un guide de médicaments. N'utilisez pas de solutab prévacide ou prévacide pour les conditions pour lesquelles il n'a pas été prescrit. Ne donnez pas de solutab prévacide ou prévacide à d'autres personnes même si elles présentent les mêmes symptômes que vous. Cela peut leur faire du mal. Vous pouvez demander à votre médecin ou à votre pharmacien d'informations sur le Solutab Prevacid et Prevacid qui est écrit pour les professionnels de la santé.

Quels sont les ingrédients du solutab Prevacide et prévacide?

Ingrédient actif: lansoprazole.

Ingrédients inactifs dans les capsules prévacides: sphère de sucre saccharose acide méthacrylique copolymère à bas substitut hydroxypropyl-cellulose amidon carbonate de magnésium TALC polyéthylène glycol dioxyde de dioxyde de titane 80 hydroxypropyl-cellulose colloïdal dioxyde d dioxyde d hydroxypropyl-cellulose colloïdal en silicium d dioxyde d D

Ingrédients inactifs dans le solutab Prevacid: Mannitol Aide méthacrylique Hydroxypropyl-cellulose lactose monohydrate-microcristalline Sphère Trééthyle citrate Crospovidone Polyacrylate de magnésium Carbonate Aspartame Glyceryl Monostarate Hypromellose Pololéle de pagulay polysorbate 80 et oxyde ferrique.

Solutab prévacide contains 2.5 mg of phenylalanine in each 15 mg tablet and 5.1 mg of phenylalanine in each 30 mg tablet.

Instructions pour une utilisation

Prévacide
(prev-a-sid)
(lansoprazole) capsules à libération retardée pour une utilisation orale et

Solutab prévacide
(prev-a-sid sol-u-tab)
(lansoprazole) Restructions de comprimés de désintégration orale

Important:

  • Prenez un solutab Prevacide ou Prévacide avant les repas.
  • Ne pas Écraser ou mâcher des capsules prévacides ou un solutab prévacide.
  • Solutab prévacide ou prévcial should only be used with the foods and juices listed below.

Prévacide delayed-release capsules (Prévacide capsules)

Prendre des capsules prévacides avec certains aliments:

Vous pouvez uniquement utiliser la compote de pommes assurer le yogourt au fromage cottage ou les poires tendues.

  1. Ouvrez la capsule.
  2. Saupoudrer les granules sur 1 cuillère à soupe de compote de pommes assurez-vous du yogourt au fromage cottage ou des poires tendues.
  3. Avalez tout de suite.

Prendre des capsules prévacides avec certains jus:

Vous ne pouvez utiliser que du jus d'orange de pomme ou du jus de tomate.

  1. Ouvrez la capsule.
  2. Saupoudrer les granules en 60 ml (environ ¼ tasse) de jus d'orange de jus de pomme ou de jus de tomate.
  3. Remuer.
  4. Avalez tout de suite.
  5. Pour vous assurer que la dose entière est prise, ajoutez ½ tasse ou plus de jus au verre remuer et avalez immédiatement.

Donner des capsules Prévacides à travers un tube nasogastrique (tube NG) 16 français ou plus:

Vous ne pouvez utiliser que du jus de pomme.

  1. Placer 40 ml de jus de pomme dans un récipient propre.
  2. Ouvrez la capsule et videz les granules dans le récipient du jus de pomme.
  3. Utilisez une seringue à pointe de cathéter pour rédiger le mélange de jus de pomme et de granule.
  4. Mélangez doucement la seringue à pointe de cathéter pour empêcher les granules de s'installer.
  5. Fixez la seringue à pointe de cathéter au tube NG.
  6. Donnez le mélange immédiatement à travers le tube NG qui va dans l'estomac. Ne sauvegardez pas le jus de pomme et le mélange de granules pour une utilisation ultérieure.
  7. Remplissez la seringue à pointe du cathéter avec 40 ml de jus de pomme et mélangez doucement. Fleurons le tube NG avec du jus de pomme.

Solutab prévacide Delayed-Release Orally Disintegrating Tablets (Solutab prévacide)

  1. Ne pas chew crush cut or break the tablets.
  2. Mettez la tablette sur la langue et laissez-la se dissoudre avec ou sans eau.
  3. Avalez-vous après la dissolution du comprimé.
  4. Le comprimé se dissout généralement en moins d'une minute.

Pour les patients qui ont du mal à avaler des comprimés, le solutab prévacide peut être donné comme suit:

Donner un solutab prévacide avec de l'eau à l'aide d'une seringue orale:

  1. Mettez un comprimé de 15 mg dans une seringue orale et rédigez 4 ml d'eau dans la seringue orale ou mettez un comprimé de 30 mg dans une seringue orale et aspirez 10 ml d'eau dans la seringue orale.
  2. Secouez doucement la seringue orale pour mélanger le comprimé et l'eau.
  3. Une fois la tablette mélangée dans l'eau, placez la pointe de la seringue orale dans la bouche. Donnez le médicament dans les 15 minutes suivant le mélange. Ne conservez pas le comprimé et le mélange d'eau pour une utilisation ultérieure.
  4. Remplissez la seringue orale avec environ 2 ml d'eau pour le comprimé de 15 mg ou 5 ml d'eau pour le comprimé de 30 mg et secouez doucement. Placez la pointe de la seringue orale dans la bouche et donnez le médicament qui reste dans la seringue.

Donner un solutab prévacide avec de l'eau à travers un tube nasogastrique (tube NG) taille 8 français ou plus:

  1. Mettez une tablette de 15 mg dans une seringue à pointe de cathéter et rédigez 4 ml d'eau ou mettez une tablette de 30 mg dans une seringue à pointe de cathéter et rédigez 10 ml d'eau.
  2. Secouez doucement la seringue à pointe de cathéter pour mélanger le comprimé et l'eau.
  3. Connectez la seringue de pointe du cathéter au tube NG.
  4. Donnez le mélange immédiatement à travers le tube NG qui va dans l'estomac. Donnez le médicament dans les 15 minutes suivant le mélange. Ne conservez pas le granuule et le mélange d'eau pour une utilisation ultérieure.
  5. Remplissez la seringue à pointe du cathéter avec environ 5 ml d'eau et secouez doucement. Rincer le tube NG avec l'eau.

Comment stocker Prévacide et Solutab Prevacid?

  • Stockez les capsules prévacides et le solutab prévacide à température ambiante entre 68 ° F à 77 ° F (20 ° C à 25 ° C).

Gardez le solutab Prévacide et Prévacide et tous les médicaments hors de portée des enfants.

Cette instruction d'utilisation a été approuvée par la Food and Drug Administration des États-Unis.