Les Informations Présentées Sur Ce Site Ne Constituent Pas Un Avis Médical. Nous Ne Vendons Rien. L'Exactitude De La Traduction N'Est Pas Garantie. Clause De Non-Responsabilité



Skelax

Résumé

Qu'est-ce que Skelaxin?

Skelaxin (métaxalone) est un squelettique relaxant musculaire prescrit pour le traitement à court terme des spasmes musculaires douloureux. Skelaxin est disponible en tant que drogue générique .

Quels sont les effets secondaires de Skelaxin?

Les effets secondaires courants de Skelaxin comprennent:



  • somnolence
  • vertiges
  • mal de tête
  • nervosité
  • irritabilité
  • nausée
  • vomissement
  • estomac renversé ou
  • éruption cutanée.
Dites à votre médecin si vous ressentez des effets secondaires graves de la skelaxine, y compris la perte de douleur à l'estomac, la perte d'appétit à faible fièvre urine foncée en argile de couleur argile ou jaunisse (jaunissement de la peau ou des yeux).

Dosage pour skelaxin

La dose habituelle de Skelaxin est de 800 mg prise trois ou quatre fois par jour.



Quelles substances ou suppléments de médicaments interagissent avec Skelaxin?

Des interactions importantes sur les médicaments n'ont pas été signalées avec la skelaxine, bien qu'elle puisse augmenter les effets sédatifs de l'alcool et des drogues qui provoquent la sédation.

Skelaxine pendant la grossesse et l'allaitement

Dites à votre médecin si vous êtes enceinte ou prévoyez de devenir enceinte pendant le traitement par Skelaxin; Cela peut nuire à un fœtus. On ne sait pas si le skelaxin passe dans le lait maternel ou si cela pourrait nuire à un bébé qui allaitait. Consultez votre médecin avant l'allaitement.



Informations Complémentaires

Notre centre de médicaments sur les effets secondaires Skelaxin offre une vue complète des informations sur les médicaments disponibles sur les effets secondaires potentiels lors de la prise de ce médicament. Articles.

Informations sur les médicaments de la FDA

Description de Skelaxin

Skelaxin® (métaxalone) est disponible en comprimé rose marqué ovale de 800 mg.

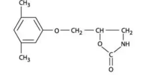
La métaxalone chimiquement est 5 - [(35-diméthylphénoxy) méthyl] -2-oxazolidinone. La formule empirique est C 12 H 15 NON 3 qui correspond à un poids moléculaire de 221,25. La formule structurelle est:

Qu'est-ce que la compazine est utilisée pour traiter

La métaxalone est une poudre cristalline blanche à presque blanche inodore librement soluble dans le chloroforme soluble dans le méthanol et dans de l'éthanol à 96% mais pratiquement insoluble dans l'éther ou dans l'eau.

Chaque comprimé contient 800 mg de métaxalone et les ingrédients inactifs suivants: Alide alginique d'ammonium alginate B-Rose Adons de maïs liquide et stéarate de magnésium.

Utilisations pour Skelaxin

La skelaxine (métaxalone) est indiquée comme un complément pour reposer la physiothérapie et d'autres mesures pour le soulagement des inconforts associés à des affections musculo-squelettiques douloureuses aiguës. Le mode d'action de ce médicament n'a pas été clairement identifié mais peut être lié à ses propriétés sédatives. La métaxalone ne détend pas directement les muscles squelettiques tendus chez l'homme.

Dosage pour skelaxin

La dose recommandée pour les adultes et les enfants de plus de 12 ans est de 800 mg de comprimé trois à quatre fois par jour.

Comment fourni

Skelaxin (métaxalone) est disponible sous forme de tablette rose nominale ovale de 800 mg inscrite avec 8667 sur le côté marqué et S de l'autre. Disponible en bouteilles de 100 ( NDC 60793-136-01) et en bouteilles de 500 ( NDC 60793-136-05).

Conserver à température ambiante contrôlée entre 15 ° C et 30 ° C (59 ° F et 86 ° F).

Skelaxin est une marque déposée de King Pharmaceuticals Research and Development Inc.

Distribué par: Pfizer Inc. New York NY 10017. Révisé: novembre 2015

Effets secondaires pour Skelaxin

Les réactions les plus fréquentes au métaxalone comprennent:

CNS: somnolence vertiges mal de tête et nervosité or irritabilité;

Digestif: nausée vomissement gastrointestinal upset.

Les autres effets indésirables sont:

Système immunitaire: Éruption de réaction d'hypersensibilité avec ou sans prurit;

Hématologique: leukopénie; anémie hémolytique;

Hépatobiliaire: jaunisse .

Bien que des réactions anaphylactoïdes rares aient été rapportées avec la métaxalone.

meilleure façon de faire Adderall xr

Interactions médicamenteuses pour Skelaxin

Aucune information fournie.

Avertissements pour Skelaxin

Le syndrome de la sérotonine (SS) qui est potentiellement mortel a été signalé avec l'utilisation du métaxalone. Ces rapports se sont généralement produits lorsque le métaxalone a été utilisé concomitamment avec les médicaments sérotoninergiques (tels que le tramadol ou les inhibiteurs sélectifs de la recapture de sérotonine (ISRS)) ou lorsque le métaxalone a été utilisé à des doses plus élevées que la dose recommandée (voir Interactions médicamenteuses et Sur-ladosage ). Les signes de SS peuvent inclure la diaphorèse d'agitation de clonus Tremor Hyperreflexia Hypertonia et élévation de la température.

La skelaxine peut améliorer les effets de l'alcool et d'autres dépresseurs du SNC.

est levaquin dans la famille de la pénicilline

Précautions pour Skelaxin

La métaxalone doit être administrée avec beaucoup de soin aux patients présentant des lésions hépatiques préexistantes. Des études de fonction hépatique en série doivent être réalisées chez ces patients.

Les tests de Benoît en faux positifs en raison d'une substance réductrice inconnue ont été notés. Un test spécifique au glucose différenciera les résultats.

Prendre du skelaxin avec de la nourriture peut améliorer la dépression générale du SNC; Les patients âgés peuvent être particulièrement sensibles à cet effet du SNC. (Voir Pharmacologie clinique : Pharmacocinétique et Informations sur les patients ).

Carcinogenèse Mutagenèse A trouble de la fertilité

Le potentiel cancérigène de la métaxalone n'a pas été déterminé.

Grossesse

Des études de reproduction chez le rat n'ont pas révélé de preuves de fertilité altérée ou de préjudice au fœtus en raison de la métaxalone. L'expérience post-marketing n'a pas révélé de preuves de blessure fœtale, mais une telle expérience ne peut pas exclure la possibilité de dommages peu fréquents ou subtils au fœtus humain. L'utilisation sûre de la métaxalone n'a pas été établie en ce qui concerne les effets néfastes possibles sur le développement fœtal. Par conséquent, les comprimés de métaxalone ne doivent pas être utilisés chez les femmes qui sont ou peuvent devenir enceintes et en particulier en début de grossesse, sauf dans le jugement du médecin, les avantages potentiels l'emportent sur les risques possibles.

Mères qui allaitent

On ne sait pas si ce médicament est sécrété dans le lait maternel. En règle générale, les soins infirmiers ne doivent pas être entrepris pendant qu'un patient prend un médicament car de nombreux médicaments sont excrétés dans le lait maternel.

Usage pédiatrique

La sécurité et l'efficacité des enfants de 12 ans et moins n'ont pas été établies.

Informations sur la surdose pour Skelaxin

Deaths by deliberate or accidental overdose have occurred with metaxalone particularly in combination with antidepressants and have been reported with this class of drug in combination with alcohol.

Le syndrome de la sérotonine a été signalé lorsque le métaxalone a été utilisé à des doses supérieures à la dose recommandée (voir Avertissements ).

Lors de la détermination du LD 50 Chez le rat et les souris, l'hypnose de sédation progressive et enfin une insuffisance respiratoire ont été notées à mesure que la posologie augmentait. Chez les chiens pas LD 50 pourrait être déterminé car les doses plus élevées ont produit une action émétique en 15 à 30 minutes.

Qu'est-ce que le chlorhydrate de propranolol utilisé pour

Traitement

Lavage gastrique et thérapie de soutien. Une consultation avec un centre de contrôle du poison régional est recommandée.

Contre-indications pour skelaxin

Hypersensibilité connue à tous les composants de ce produit.

Tendance connue à la médicament induite par des anémies hémolytiques ou autres.

A altéré de manière significative la fonction rénale ou hépatique.

Pharmacologie clinique for Skelaxin

Mécanisme d'action

Le mécanisme d'action du métaxalone chez l'homme n'a pas été établi mais peut être dû à la dépression générale du système nerveux central.

La métaxalone n'a aucune action directe sur le mécanisme contractile des muscles striés La plaque d'extrémité moteur ou la fibre nerveuse.

Pharmacocinétique

La pharmacocinétique de la métaxalone a été évaluée chez des volontaires pour adultes en bonne santé après l'administration de dose unique de skelaxine dans des conditions à jeun et nourries à des doses allant de 400 mg à 800 mg.

Absorption

Les concentrations plasmatiques maximales de métaxalone se produisent environ 3 heures après une dose orale de 400 mg dans des conditions à jeun. Par la suite, les concentrations de métaxalone diminuent log-linéairement avec une demi-vie terminale de 9,0 ± 4,8 heures. Le doublement de la dose de skelaxine de 400 mg à 800 mg entraîne une augmentation à peu près proportionnelle de l'exposition au métaxalone, comme l'indique les concentrations plasmatiques maximales (CMAX) et la superficie sous la courbe (AUC). La proportionnalité de dose à des doses supérieures à 800 mg n'a pas été étudiée. La biodisponibilité absolue du métaxalone n'est pas connue.

Les paramètres pharmacocinétiques à dose unique de la métaxalone dans deux groupes de volontaires sains sont présentés dans le tableau 1.

Tableau 1: Paramètres pharmacocinétiques de métaxalone moyenne (% CV)

Dose (mg) Cmax (ng / ml) Tmax (h) Auc∞ (ng • h / ml) t½ (h) Cl / F (L / H)
400 1 983 (53) 3.3 (35) 7479 (51) 9.0 (53) 68 (50)
800 2 1816 (43) 3.0 (39) 15044 (46) 8.0 (58) 66 (51)
1 Les sujets ont reçu 1x400 mg de comprimé dans des conditions à jeun (n = 42)
2 Les sujets ont reçu des comprimés de 2x400 mg dans des conditions à jeun (n = 59)
Effets alimentaires

Une étude croisée randomisée à double sens a été menée dans 42 volontaires sains (31 hommes 11 femmes) a administré un comprimé de 400 mg de skelaxin dans des conditions à jeun et à la suite d'un petit-déjeuner standard en matières grasses. Les sujets variaient de 18 à 48 ans (âge moyen = 23,5 ± 5,7 ans). Par rapport aux conditions à jeun, la présence d'un repas riche en graisses au moment de l'administration du médicament a augmenté C de 177,5% et a augmenté l'ASC (AUC0-T AUC∞) de 123,5% et 115,4% respectivement. La concentration de temps à crête (TMAX) a également été retardée (NULL,3 h contre 3,3 h) et la demi-vie terminale a été diminuée (NULL,4 h contre 9,0 h) dans des conditions nourries par rapport à jeûne.

Dans une deuxième étude d'effet alimentaire d'une conception similaire, deux comprimés de skelaxine de 400 mg (800 mg) ont été administrés à des volontaires sains (n ​​= 59 37 hommes 22 femmes) âgés de 18 à 50 ans (âge moyen = 25,6 ± 8,7 ans). Par rapport aux conditions à jeun, la présence d'un repas riche en graisses au moment de l'administration du médicament a augmenté C de 193,6% et a augmenté l'ASC (AUC0-T AUC∞) de 146,4% et 142,2% respectivement. La concentration de temps à crête (TMAX) a également été retardée (NULL,9 h contre 3,0 h) et la demi-vie terminale a été diminuée (NULL,2 h contre 8,0 h) dans des conditions nourries par rapport aux conditions à jeun. Des résultats d'effet alimentaires similaires ont été observés dans l'étude ci-dessus lorsqu'un comprimé de skelaxine 800 mg a été administré à la place de deux comprimés de skelaxine 400 mg. L'augmentation de l'exposition au métaxalone coïncidant avec une réduction de la demi-vie peut être attribuée à une absorption plus complète de la métaxalone en présence d'un repas riche en graisses (figure 1).

Figure 1: Concentrations moyennes (SD) de métaxalone après une dose de 800 mg dans des conditions à jeun et nourries

SKELAXIN® (Metaxalone) Figure 1 Illustration
Métabolisme et excrétion de la distribution

Bien que la liaison aux protéines plasmatiques et la biodisponibilité absolue du métaxalone ne soient pas connues, le volume apparent de distribution (v / f ~ 800 L) et la lipophilicité (log p = 2,42) de métaxalone suggèrent que le médicament est largement réparti dans les tissus. La métaxalone est métabolisée par le foie et excrétée dans l'urine sous forme de métabolites non identifiés. Les enzymes hépatiques du cytochrome P450 jouent un rôle dans le métabolisme de la métaxalone. Spécifiquement CYP1A2 CYP2D6 CYP2E1 et CYP3A4 et, dans une moindre mesure, CYP2C8 CYP2C9 et CYP2C19 semblent métaboliser le métaxalone.

La métaxalone n'inhibe pas significativement les principales enzymes CYP telles que le CYP1A2 CYP2A6 CYP2B6 CYP2C8 CYP2C9 CYP2C19 CYP2D6 CYP2E1 et CYP3A4. La métaxalone n'induit pas de manière significative des enzymes CYP majeures telles que CYP1A2 CYP2B6 et CYP3A4 in vitro .

Quel genre d'insuline est novolog

Pharmacocinétique In Special Populations

Âge

Les effets de l'âge sur la pharmacocinétique de la métaxalone ont été déterminés après l'administration unique de deux comprimés de 400 mg (800 mg) dans des conditions à jeun et nourries. Les résultats ont été analysés séparément ainsi qu'en combinaison avec les résultats de trois autres études. En utilisant les données combinées, les résultats indiquent que la pharmacocinétique de la métaxalone est significativement plus affectée par l'âge dans des conditions à jeun que dans des conditions alimentées par la biodisponibilité dans des conditions à jeun augmente avec l'âge.

La biodisponibilité de la métaxalone dans des conditions à jeun et nourries dans trois groupes de volontaires sains d'âge variable est indiqué dans le tableau 2.

Tableau 2: Paramètres pharmacocinétiques moyens (% CV) après administration unique de deux comprimés de skelaxin de 400 mg (800 mg) dans des conditions à jeun et nourries

Âge (years) Volontaires plus jeunes Volontaires plus âgés
25,6 ± 8,7 39,3 ± 10,8 71,5 ± 5,0
N 59 21 23
Nourriture À jeun Nourri À jeun Nourri À jeun Nourri
Cmax (ng / ml) 1816 (43) 3510 (41) 2719 (46) 2915 (55) 3168 (43) 3680 (59)
Tmax (h) 3.0 (39) 4.9 (48) 3.0 (40) 8.7 (91) 2.6 (30) 6.5 (67)
AUC0-T (ng • h / ml) 14531 (47) 20683 (41) 19836 (40) 20482 (37) 23797 (45) 24340 (48)
Auc∞ (ng • h / ml) 15045 (46) 20833 (41) 20490 (39) 20815 (37) 24194 (44) 24704 (47)
Genre

L'effet du sexe sur la pharmacocinétique de la métaxalone a été évalué dans une étude de marque ouverte dans laquelle 48 volontaires pour adultes en bonne santé (24 hommes 24 femmes) ont été administrés deux comprimés de skelaxine 400 mg (800 mg) dans des conditions à jeun. La biodisponibilité de la métaxalone était significativement plus élevée chez les femmes par rapport aux mâles, comme en témoigne CMAX (2115 ng / ml contre 1335 ng / ml) et AUC oc (17884 ng · h / ml contre 10328 ng · h / ml). La demi-vie moyenne était de 11,1 heures chez les femmes et 7,6 heures chez les hommes. Le volume apparent de distribution de la métaxalone était environ 22% plus élevé chez les hommes que chez les femmes mais pas significativement différent lorsqu'il est ajusté pour le poids corporel. Des résultats similaires ont également été observés lorsque l'ensemble de données combiné décrit précédemment a été utilisé dans l'analyse.

Insuffisance hépatique / rénale

L'impact de la maladie hépatique et rénale sur la pharmacocinétique de la métaxalone n'a pas été déterminé. En l'absence d'informations, la skelaxine doit être utilisée avec prudence chez les patients souffrant de troubles hépatiques et / ou rénaux.

Informations sur les patients pour Skelaxin

Skelaxin peut altérer les capacités mentales et / ou physiques nécessaires à l'exécution des tâches dangereuses telles que les machines à opération ou la conduite d'un véhicule à moteur, en particulier lorsqu'ils sont utilisés avec de l'alcool ou d'autres dépresseurs du SNC.

Interactions médicamenteuses pour Skelaxin

Les effets sédatifs de la skelaxine et d'autres dépresseurs du SNC (par exemple les antidépresseurs tricycliques d'alcool benzodiazépines) peuvent être additifs. Par conséquent, la prudence doit être exercée avec des patients qui prennent simultanément plus d'un de ces dépresseurs du SNC.

En raison du potentiel de prudence SS, il est conseillé lorsque la métaxalone est co-administrée avec des médicaments qui peuvent affecter les systèmes de neurotransmetteurs sérotoninergiques tels que le tramadol ou les ISRS (voir (voir Avertissements ).