Les Informations Présentées Sur Ce Site Ne Constituent Pas Un Avis Médical. Nous Ne Vendons Rien. L'Exactitude De La Traduction N'Est Pas Garantie. Clause De Non-Responsabilité



Talwin nx

Résumé

Qu'est-ce que Talwin?

Talwin NX (chlorhydrate de pentazocine et chlorhydrate de naloxone) est une combinaison d'un analgésique narcotique ( opiacé -type) et un antagoniste opioïde utilisé pour traiter la douleur modérée à sévère.

Quels sont les effets secondaires de Talwin?

Talwin nx



  • urticaire
  • difficulté à respirer
  • gonflement de ton visage lèvres langue ou gorge
  • réaction de peau sévère
  • fièvre
  • mal de gorge
  • brûler dans vos yeux
  • douleur cutanée
  • éruption cutanée rouge ou violet qui se propage et provoque des cloques et des pelage
  • La respiration lente avec de longues pauses
  • lèvres de couleur bleue
  • Difficile de se réveiller
  • battements cardiaques lents
  • respiration faible ou peu profonde
  • constipation sévère
  • confusion
  • hallucinations
  • pensées ou comportements inhabituels
  • faiblesse
  • somnolence.
  • crise d'épilepsie
  • étourdissement
  • nausée
  • vomissement
  • perte d'appétit
  • vertiges
  • aggraver la fatigue ou la faiblesse
  • agitation
  • hallucinations
  • pensées ou comportements inhabituels
  • transpiration
  • tremblement
  • fréquence cardiaque rapide
  • raideur musculaire
  • contraction
  • perte de coordination et
  • diarrhée

Obtenez de l'aide médicale immédiatement si vous présentez l'un des symptômes énumérés ci-dessus.



Les effets secondaires courants de Talwin NX comprennent:

  • nausée
  • vomissement
  • perte d'appétit
  • constipation
  • diarrhée
  • étourdissement
  • vertiges
  • somnolence
  • Augmentation de la transpiration
  • bouche sèche
  • mal de tête
  • faiblesse
  • agitation
  • irritabilité
  • tremblement
  • frissons
  • rinçage (rougeur de chaleur ou sentiment de piqûre)
  • Problèmes de sommeil (insomnie)
  • rêves étranges
  • vision floue ou
  • sonner dans vos oreilles.

Dites à votre médecin si vous avez des effets secondaires graves de Talwin NX, notamment:



  • changements mentaux / d'humeur (comme la confusion des hallucinations d'agitation)
  • difficulté à uriner
  • changements de vision
  • rythme cardiaque rapide
  • Douleurs abdominales sévères ou abdominales
  • changements dans la quantité d'urine ou
  • Signes d'infection (comme la fièvre persistante mal de gorge).

Cherchez des soins médicaux ou appelez le 911 à la fois si vous avez les effets secondaires graves suivants:

  • Des symptômes oculaires graves tels que la perte de vision soudaine floue du tunnel de vision de la vision de la vision des yeux ou de l'enflure ou de voir des halos autour des lumières;
  • Symptômes cardiaques graves tels que les battements cardiaques rapides ou battants; flotter dans votre poitrine; essoufflement; et des étourdissements soudains, de la légèreté ou de l'évanouissement;
  • Maux de tête sévères Confusion Slurred Speech Bras ou Ligne Proulitude Trouble de la merde Perte de coordination Sentiment des muscles très rigides très rigides Fièvre élevée Propice ou des tremblements.

Ce document ne contient pas tous les effets secondaires possibles et d'autres peuvent survenir. Vérifiez auprès de votre médecin des informations supplémentaires sur les effets secondaires.

Dosage pour Talwin

La posologie est basée sur l'état médical de l'individu et la réponse au traitement.

Quelles substances ou suppléments de médicaments interagissent avec Talwin?

Talwin NX peut interagir avec:

  • naltrexone
  • Sibutramine
  • fluoxétine
  • Inhibiteurs du MAO
  • alcool
  • médicaments anti-séparation
  • Médecine pour le sommeil ou l'anxiété
  • relaxants musculaires
  • médicaments psychiatriques ou
  • Tout médicament pouvant provoquer une somnolence ou une incidence sur la respiration

Talwin pendant la grossesse et l'allaitement

Pendant la grossesse, ce médicament ne doit être utilisé que lorsqu'il est prescrit. L'utiliser à proximité de la date de livraison attendue n'est pas recommandée en raison de dommages possibles au fœtus. Discutez des risques et des avantages avec votre médecin. Les nourrissons nés de mères qui ont utilisé ce médicament peuvent présenter des symptômes de sevrage tels que l'irritabilité anormale / des vomissements de pleurs persistants ou la diarrhée. Dites immédiatement à votre médecin si vous remarquez l'un de ces symptômes dans votre nouveau-né. On ne sait pas si ce produit passe dans le lait maternel. Discutez des risques et des avantages avec votre médecin avant l'allaitement.

Informations Complémentaires

N'arrêtez pas d'utiliser Talwin NX soudainement après une utilisation à long terme ou vous pourriez avoir des symptômes de sevrage.

Notre centre de médicaments Talwin NX Effets offre une vue complète des informations sur les médicaments disponibles sur les effets secondaires potentiels lors de la prise de ce médicament.

Informations sur les médicaments de la FDA

Analgésique pour une utilisation orale uniquement

Qu'est-ce qu'Ambien te fait

AVERTISSEMENT: TALWIN® NX (pentazocine et naloxone) est destiné à un usage oral uniquement. De graves réactions potentiellement mortelles peuvent résulter d'une mauvaise utilisation de Talwin® NX (pentazocine et naloxone) par injection seule ou en combinaison avec d'autres substances. (Voir Abus de drogues et dépendance section.)

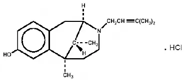
Description de Talwin NX

Talwin NX (chlorhydrate de pentazocine et de naloxone USP) contient un chlorhydrate de pentazocine USP équivalent à 50 mg et est membre de la série de benzazocine (également connue sous le nom de la série benzomorphane) et de la naloxone Hydrochlorure USP équivalent à 0,5 mg de base.

Talwin NX (pentazocine et naloxone) est un analgésique pour l'administration orale.

Le chlorhydrate chimiquement pentazocine est (2 R * 6 R * 11 R * ) -l23456-hexahydro-6ll-diméthyl-3- (3-méthyl-2-butenyl) -26-méthano-3-benzazocine-8-ol chlorhydrate Une substance cristalline blanche soluble dans des solutions aqueuses acides et a la formule structurelle suivante:


C 19 H 27 Non · HCl ............ M.W. 321.88

Le chlorhydrate chimiquement naloxone est le morphinan-6-one45-époxy-314-dihydroxy-17- (2-propényl) - chlorhydrate (5α) -. Il s'agit d'une poudre légèrement blanche et est soluble dans l'eau et diluer les acides et a la formule structurelle suivante:


C 19 H 21 NON 4 · HCL .............. M.W. = 363,84

Ingrédients inactifs: dioxyde de silicium colloïdal phosphate de calcium dibasique D

Utilisations pour Talwin NX

Talwin NX (chlorhydrate de pentazocine et de naloxone USP) est indiqué pour le soulagement de douleurs modérées à sévères.

TALWIN NX (pentazocine et naloxone) est indiqué uniquement pour une utilisation orale.

Dosage pour Talwin Nx

Adultes

La dose initiale initiale habituelle est de 1 comprimé toutes les trois ou quatre heures. Cela peut être augmenté à 2 comprimés en cas de besoin. La dose quotidienne totale ne doit pas dépasser 12 comprimés.

Arrêt

En raison du potentiel de symptômes de sevrage associés à une intervention abrupte, il faut être remis aux patients effilés de TalWTN NX après des périodes de traitement prolongées avec Talwin NX (voir PRÉCAUTIONS Abus de drogues et dépendance ).

Comment fourni

Talwin nx (Les chlorhydrades de pentazocine et de naloxone USP) sont disponibles en comprimés oblongs marqués jaunes débossés d'un «W» entouré d'une boîte d'un côté et «T51» de l'autre. Chaque comprimé contient du chlorhydrate de pentazocine équivalent à 50 mg de base et de chlorhydrate de naloxone équivalent à 0,5 mg de base.

Bouteilles de 100 ( NDC 0024-1951-04).

Stocker à 25 ° C (77 ° F); Excursions autorisées entre 15 ° - 30 ° C (59 ° F à 86 ° F).

Fabriqué pour: Sanofi-aventis U.S. LLC Bridgewater NJ 08807.

Effets secondaires for Talwin Nx

Cardiovasculaire

Hypotension Hypotension Dépression circulatoire Syncope de tachycardie.

Respiratoire

Dépression rarement respiratoire.

Manifestations aiguës du SNC

Hallucinations (généralement visuelles) désorientation et confusion.

Autres effets du SNC

Convulsions de Grand Mal Augmentation de la pression intracrânienne étourdissements étourdis hallucinations Hallucinations Sédation Euphoria Maux de tête Désorientation de confusion; La faiblesse rarement perturbée les rêves insomnie syncope et dépression; et rarement les acouphènes d'excitation d'irritabilité des tremblements.

Autonome

Transpiration; rincer rarement; et rarement des frissons.

Gastro-intestinal

Nausées Vomit de la constipation Diarrhée Anorexie Bouche sèche Spasme des voies biliaires et détresse rarement abdominale.

Allergique

Œdème du visage; choc anaphylactique; dermatite comprenant le prurit; peau rincée, y compris la pléthore; Rarement téméraire et rarement urticaire.

Ophtalmique

Blurage visuel et difficulté de mise au point Miose.

Hématologique

Dépression des globules blancs (en particulier les granulocytes) avec de rares cas d'agranulocytose qui est généralement une éosinophilie transitoire modérée réversible.

Dépendance et symptômes de sevrage

(Voir Avertissements PRÉCAUTIONS et Abus de drogues et dépendance Sections).

Autre

Rétention urinaire Paresthésie Réactions de la peau graves, y compris l'érythème multiforme Syndrome de Stevens-Johnson Nécrolyse épidermique toxique et altérations de la vitesse ou de la force des contractions utérines pendant le travail.

Interactions médicamenteuses for Talwin Nx

Dépresseurs du SNC

Autre central nervous system (CNS) depressants including sedatives hypnotics general anesthetics antiemetics phenothiazines or other tranquilizers or alcool increases the risk of respiratory depression hypotension profound sedation or coma. Use morphine sulfate with caution et in reduced dosages in patients taking these agents.

Analgésiques agonistes opioïdes

Talwin nx (pentazocine et naloxone) can antagonize the effects of a pure opioid agonist analgesic et/or may precipitate withdrawal symptoms.

Inhibiteurs de la monoamine oxydase (MAOI)

L'utilisation concomitante des inhibiteurs de la monoamine oxydase (MAOI) avec Talwin NX (pentazocine et naloxone) peut provoquer l'excitation et l'hypertension du SNC par leurs effets respectifs sur les catécholamines. Il faut donc être observé dans l'administration de Talwin NX (pentazocine et naloxone) aux patients qui reçoivent actuellement des MAOI ou qui les ont reçus dans les 14 jours précédents

Anticholinergiques

Anticholinergiques or other medications with anticholinergic activity when used concurrently with opioid analgesics may result in increased risk of urinary retention et/or constipation sévère which may lead to paralytic ileus.

Tabac

Le tabac pour fumer pourrait améliorer le taux de dégagement métabolique de la pentazocine réduisant l'efficacité clinique d'une dose standard de pentazocine.

Avertissements pour Talwin NX

Inclus dans le cadre du PRÉCAUTIONS section.

Précautions pour Talwin NX

Abus et abus de la toxicomanie

TALWIN contient la pentazocine une substance contrôlée de l'annexe IV. En tant qu'opioïde, Talwin expose les utilisateurs aux risques de maltraitance et d'abus de toxicomanie [voir Abus de drogues et dépendance ].

Bien que le risque de dépendance chez tout individu soit inconnu, il peut se produire chez les patients prescrits de manière appropriée. La toxicomanie peut survenir à des doses recommandées et si la drogue est mal utilisée ou maltraitée.

Évaluer le risque de chaque patient pour l'abus de la dépendance aux opioïdes ou l'abus avant de prescrire des talwin et de surveiller tous les patients recevant des TALWin pour le développement de ces comportements ou de ces conditions. Les risques sont augmentés chez les patients ayant des antécédents personnels ou familiaux de toxicomanie (y compris l'abus de drogues ou d'alcool ou la dépendance) ou une maladie mentale (par exemple, dépression majeure). Le potentiel de ces risques ne devrait cependant pas empêcher la gestion appropriée de la douleur chez un patient donné. Les patients à risque accru peuvent se voir prescrire des opioïdes tels que TALWIN, mais l'utilisation chez ces patients nécessite des conseils intensifs sur les risques et une utilisation appropriée de TALWIN ainsi qu'une surveillance intensive des signes d'abus de dépendance et d'abus abusif.

Les opioïdes sont recherchés par des toxicomanes et des personnes souffrant de troubles de la toxicomanie et sont soumis à un détournement criminel. Considérez ces risques lors de la prescription ou de la distribution de Talwin. Les stratégies pour réduire ces risques comprennent la prescription du médicament dans la plus petite quantité appropriée. Contactez le Conseil local des licences professionnelles de l'État ou l'Autorité des substances contrôlées par l'État pour obtenir des informations sur la façon de prévenir et de détecter l'abus ou le détournement de ce produit.

Dépression respiratoire potentiellement mortelle

Une grave dépression respiratoire mortelle ou mortelle a été signalée avec l'utilisation d'opioïdes même lorsqu'elle est utilisée comme recommandée. La dépression respiratoire si elle n'est pas immédiatement reconnue et traitée peut entraîner une arrestation respiratoire et une mort. La gestion de la dépression respiratoire peut inclure des mesures de soutien étroites et l'utilisation des antagonistes opioïdes en fonction de l'état clinique du patient [voir Sur-ladosage ]. Carbon dioxide (CO2) retention from opioid-induced respiratory depression can exacerbate the sedating effects of opioids.

Bien que la grave dépression respiratoire mortelle ou mortelle puisse se produire à tout moment pendant l'utilisation de Talwin, le risque est le plus élevé lors de l'initiation du traitement ou après une augmentation de dosage. Surveiller les patients étroitement pour la dépression respiratoire, en particulier dans les 24 à 72 premières heures de thérapie d'initiation avec et après des augmentations posologiques de TALWIN.

Pour réduire le risque de dépression respiratoire, le dosage et le titrage appropriés de Talwin sont essentiels [voir Posologie et administration ]. Overestimating the TALWIN dosage when converting patients from another opioid product can result in a fatal overdose with the first dose.

Les opioïdes peuvent provoquer des troubles respiratoires liés au sommeil, notamment l'apnée centrale du sommeil (CSA) et l'hypoxémie liée au sommeil. L'utilisation d'opioïdes augmente le risque de CSA de manière dose-dépendante. Chez les patients qui présentent un CSA, envisagez de diminuer la posologie des opioïdes en utilisant les meilleures pratiques pour le conique d'opioïdes [voir Posologie et administration ].

Syndrome de sevrage opioïde néonatal

L'utilisation prolongée de Talwin pendant la grossesse peut entraîner un sevrage chez le nouveau-né. Syndrome de sevrage opioïde néonatal Contrairement au syndrome de sevrage des opioïdes chez les adultes peut être mortel s'il n'est pas reconnu et traité et nécessite la gestion en fonction des protocoles développés par des experts néonatologiques. Observez les nouveau-nés pour les signes du syndrome de retrait des opioïdes néonatals et gérez en conséquence. Conseiller les femmes enceintes utilisant des opioïdes pour une période prolongée de risque de syndrome de retrait des opioïdes néonatal et s'assurer que un traitement approprié sera disponible [voir Utiliser dans des populations spécifiques Informations sur les patients ].

Risques de l'utilisation concomitante avec les benzodiazépines ou autres dépresseurs du SNC

La dépression respiratoire de sédation profonde Le coma et la mort peuvent résulter de l'utilisation concomitante de l'injection de talwin avec des benzodiazépines ou d'autres dépresseurs du SNC (par exemple, les détendants musculaires non benzodiazépines / hypnotiques anxiolytiques alcools alcool). En raison de ces risques, se réservent la prescription concomitante de ces médicaments pour une utilisation chez les patients pour lesquels des options de traitement alternatives sont inadéquates.

Des études observationnelles ont démontré que l'utilisation concomitante d'analgésiques opioïdes et de benzodiazépines augmente le risque de mortalité liée au médicament par rapport à l'utilisation des analgésiques opioïdes seuls. En raison de propriétés pharmacologiques similaires, il est raisonnable de s'attendre à un risque similaire avec l'utilisation concomitante d'autres médicaments dépresseurs du SNC avec des analgésiques opioïdes [voir Interactions médicamenteuses ]

Si la décision est prise de prescrire une benzodiazépine ou d'autres dépresseurs du SNC en même temps qu'un analgésique opioïde prescrit les doses efficaces les plus faibles et les durées minimales d'utilisation concomitante. Chez les patients, recevant déjà un analgésique opioïde, prescrivez-vous une dose initiale plus faible de la benzodiazépine ou d'autres dépresseurs du SNC que ce qui indique en l'absence d'opioïde et de titrate basé sur la réponse clinique. Si un analgésique opioïde est initié chez un patient qui prenait déjà une benzodiazépine ou d'autres dépresseurs du SNC prescrivent une dose initiale plus faible de l'analgésique opioïde et du titrate basé sur la réponse clinique. Suivez les patients étroitement pour les signes et symptômes de dépression respiratoire et de sédation.

Conseiller les patients et les soignants sur les risques de dépression respiratoire et de sédation lorsque l'injection de talwin est utilisée avec des benzodiazépines ou d'autres dépresseurs du SNC (y compris l'alcool et les médicaments illicites). Conseiller aux patients de ne pas conduire ou d'exploiter des machines lourdes jusqu'à ce que les effets de l'utilisation concomitante de la benzodiazépine ou d'autres dépresseurs du SNC aient été déterminés. Écrivez les patients pour le risque de troubles de la consommation de substances, y compris l'abus d'opioïdes et les abus et les avertissent du risque de surdose et de décès associés à l'utilisation de dépresseurs du SNC supplémentaires, y compris l'alcool et les drogues illicites [voir Interactions médicamenteuses Informations sur les patients ].

Dépression respiratoire potentiellement mortelle In Patients atteints de maladie pulmonaire chronique Or In Patients âgés cachectiques ou affaiblis

L'utilisation de Talwin chez les patients souffrant d'asthme bronchique aigu ou sévère dans un cadre non surveillé ou en l'absence d'équipement de réanimation est contre-indiqué.

Patients atteints de maladie pulmonaire chronique

TALWIN-treated patients with significant chronic obstructive pulmonary disease or cor pulmonale and those with a substantially decreased respiratory reserve hypoxia hypercapnia or pre-existing respiratory depression are at increased risk of decreased respiratory drive including apnea even at recommended dosages of TALWIN [see Dépression respiratoire potentiellement mortelle ].

Patients âgés cachectiques ou affaiblis

La dépression respiratoire potentiellement mortelle est plus susceptible de se produire chez les patients âgés cachectiques ou affaiblies car ils peuvent avoir altéré la pharmacocinétique ou une clairance altérée par rapport aux patients plus jeunes en meilleure santé [voir Dépression respiratoire potentiellement mortelle ].

Surveillez de manière étroite ces patients en particulier lors de l'initiation et de la titrage de Talwin et lorsque Talwin est donné concomitamment avec d'autres médicaments qui dépriment la respiration [voir Dépression respiratoire potentiellement mortelle ]. Alternatively consider the use of non-opioid analgesics in these patients.

Insuffisance surrénale

Des cas d'insuffisance surrénale ont été signalés avec une consommation d'opioïdes plus souvent après un mois d'utilisation. La présentation d'une insuffisance surrénalienne peut inclure des symptômes et des signes non spécifiques, notamment les étourdissements des nausées vomissements de la fatigue de l'anorexie et de la pression artérielle. Si une insuffisance surrénale est suspectée, confirmez le diagnostic avec des tests de diagnostic dès que possible. Si l'insuffisance surrénale est diagnostiquée, traitez avec des doses de remplacement physiologiques de corticostéroïdes. Sevrer le patient de l'opioïde pour permettre à la fonction surrénalienne de récupérer et de continuer le traitement aux corticostéroïdes jusqu'à ce que la fonction surrénalienne se rétablisse. D'autres opioïdes peuvent être essayés car certains cas ont rapporté l'utilisation d'un opioïde différent sans récidive d'insuffisance surrénalienne. Les informations disponibles n'identifient pas d'opioïdes particuliers comme étant plus susceptibles d'être associés à une insuffisance surrénalienne.

Hypotension sévère

Talwin peut provoquer une hypotension sévère, y compris l'hypotension et la syncope orthostatiques chez les patients ambulatoires. Il y a un risque accru chez les patients dont la capacité de maintenir la pression artérielle a déjà été compromise par un volume sanguin réduit ou une administration simultanée de certains médicaments dépresseurs du SNC » Interactions médicamenteuses ]. Monitor these patients for signs of hypotension after initiating or titrating the dosage of TALWIN. In patients with circulatory shock TALWIN may cause vasodilation that can further reduce cardiac output et blood pressure. Avoid the use of TALWIN in patients with circulatory shock.

Risques d'utilisation chez les patients présentant une augmentation des tumeurs du cerveau de pression intracrânienne

Chez les patients qui peuvent être sensibles aux effets intracrâniens de la rétention de CO2 (par exemple, ceux qui ont des preuves d'une pression intracrânienne ou des tumeurs cérébrales) peuvent réduire la transmission respiratoire et la rétention du CO2 qui en résulte peut augmenter davantage la pression intracrânienne. Surveillez ces patients pour des signes de sédation et de dépression respiratoire, en particulier lors de la création de thérapie avec TALWIN.

Les opioïdes peuvent également masquer l'évolution clinique chez un patient souffrant d'une traumatisme crânien. Évitez l'utilisation de Talwin chez les patients atteints de conscience altérée ou de coma.

Risques d'utilisation chez les patients souffrant de conditions gastro-intestinales

Talwin est contre-indiqué chez les patients présentant une obstruction gastro-intestinale connue ou suspectée, y compris l'iléus paralytique.

La pentazocine de Talwin peut provoquer un spasme du sphincter d'Oddi. Les opioïdes peuvent provoquer une augmentation de l'amylase sérique. Surveiller les patients atteints de maladie des voies biliaires, y compris une pancréatite aiguë pour l'aggravation des symptômes.

Risque accru de crises chez les patients souffrant de troubles convulsifs ou de crises

La pentazocine de Talwin peut augmenter la fréquence des crises chez les patients souffrant de troubles de crise et peut augmenter le risque de crises survenant dans d'autres contextes cliniques associés aux crises. Surveillez les patients ayant des antécédents de troubles de crise pour un contrôle des crises aggravé pendant le traitement TALWIN.

Retrait

L'utilisation de Talwin un agoniste mixte / analgésique opioïde antagoniste chez les patients qui reçoivent un analgésique agoniste opioïde complet peuvent réduire l'effet analgésique et / ou précipiter les symptômes de sevrage. Évitez l'utilisation concomitante de Talwin avec un analgésique agoniste opioïde complet.

Lors de l'arrêt de Talwin chez un patient physiquement dépendant de l'extraction de la dose [voir Posologie et administration ]. Do not abruptly discontinue TALWIN in these patients [see Abus de drogues et dépendance ].

Risques de conduite et d'exploitation

Talwin peut nuire aux capacités mentales ou physiques nécessaires pour effectuer des activités potentiellement dangereuses telles que la conduite d'une voiture ou de machines en fonctionnement. Avertissez les patients de ne pas conduire ou d'exploiter des machines dangereuses à moins qu'elles ne soient tolérantes aux effets de Talwin et savent comment ils réagiront au médicament [voir Informations de conseil des patients ].

Dommages tissulaires aux sites d'injection

Une sclérose sévère des tissus sous-cutanés cutanés et des muscles sous-jacents se sont produits sur les sites d'injection de patients qui ont reçu plusieurs doses de lactate de pentazocine. La rotation constante des sites d'injection est donc essentielle. De plus, des études animales ont démontré que Talwin est toléré moins bien par voie sous-cutanée que par intramusculaire [voir Posologie et administration ].

Infarctus du myocarde

La prudence doit être exercée dans l'utilisation intraveineuse de la pentazocine pour les patients atteints d'infarctus du myocarde aigu accompagné d'hypertension ou d'insuffisance ventriculaire gauche. Les données suggèrent que l'administration intraveineuse de pentazocine augmente la pression artérielle systémique et pulmonaire et la résistance vasculaire systémique chez les patients atteints d'infarctus aigu du myocarde.

Fonction rénale ou hépatique altérée

Bien que les tests de laboratoire n'aient pas indiqué que les TALWin provoquent ou augmentent une déficience rénale ou hépatique, le médicament doit être administré avec prudence aux patients ayant une telle déficience. La vaste maladie du foie semble prédisposer à des effets secondaires plus importants (par exemple, une anxiété d'appréhension marquée somnolence étourdie) de la dose clinique habituelle et peut être le résultat d'une diminution du métabolisme du médicament par le foie.

Chirurgie biliaire

Les produits médicamenteux de stupéfiants sont généralement considérés comme augmentant la pression des voies biliaires pendant des périodes variables après leur administration. Certaines preuves suggèrent que la pentazocine peut différer des autres stupéfiants commercialisés à cet égard (c'est-à-dire qu'il provoque peu ou pas d'élévation des pressions des voies biliaires). La signification clinique de ces résultats n'est cependant pas encore connue.

Allergique-Type Reactions To Acetone Sodium Bisulfite

Un sulfite qui peut provoquer des réactions de type allergique, y compris les symptômes anaphylactiques et les épisodes asthmatiques mortels ou moins sévères chez certaines personnes sensibles, est contenue dans des flacons à dose multiple. La prévalence globale de la sensibilité au sulfite dans la population générale est inconnue et probablement faible. La sensibilité au sulfite est observée plus fréquemment dans l'asthmatique que chez les personnes non asthmatiques. Les ampulaires du PAK Uni-AMP ™ ne contiennent pas de bisulfite de sodium d'acétone.

Toxicologie non clinique

Carcinogenèse Mutagenèse A trouble de la fertilité

Cancérogenèse

Des études animales à long terme pour évaluer le potentiel cancérigène de la pentazocine n'ont pas été menées.

Mutagenèse

Des études pour évaluer le potentiel mutagène de la pentazocine n'ont pas été menées.

Altération de la fertilité

Des études animales pour évaluer l'impact de la pentazocine sur la fertilité n'ont pas été menées.

Utiliser dans des populations spécifiques

Grossesse

Résumé des risques

L'utilisation prolongée d'analgésiques opioïdes pendant la grossesse peut provoquer un syndrome de sevrage opioïde néonatal. Les données disponibles avec TALWIN chez les femmes enceintes sont insuffisantes pour éclairer un risque associé aux médicaments pour les principaux malformations congénitales et les fausses couches.

Dans les études de reproduction animale, la pentazocine a administré par voie sous-cutanée à des hamsters enceintes au cours de la période de gestation précoce a produit des anomalies du tube neuronal (c'est-à-dire l'exiscéphalie et la cranioschisis) à 4,4 fois la dose quotidienne maximale [voir [voir [voir Données ]. Based on animal data advise pregnant women of the potential risk to a fetus. The estimated background risk of major birth defects et miscarriage for the indicated population is unknown. All pregnancies have a background risk of birth defect loss or other adverse outcomes.

Dans la population générale américaine, le risque de fond estimé de malformations congénitales majeures et de fausse couche dans les grossesses cliniquement reconnues est respectivement de 2 à 4% et 15 à 20%.

Considérations cliniques

Réactions indésirables fœtales / néonatales

L'utilisation prolongée d'analgésiques opioïdes pendant la grossesse à des fins médicales ou non médicales peut entraîner une dépendance physique dans le syndrome de retrait des nouveau-nés et des opioïdes néonatal peu de temps après la naissance.

Le syndrome de sevrage des opioïdes néonatal se présente sous forme d'hyperactivité d'irritabilité et de schémas de sommeil anormal de vomissements de tremblement de tremblements de cry à haut niveau et de ne pas prendre de poids. La durée et la gravité du syndrome de retrait des opioïdes néonatals varient en fonction de la durée de synchronisation utilisée par l'opioïde spécifique et la quantité de dernière utilisation maternelle et le taux d'élimination du médicament par le nouveau-né. Observer les nouveau-nés pour les symptômes du syndrome de sevrage des opioïdes néonatals et gérer en conséquence [voir Avertissements AND PRÉCAUTIONS ].

Travail ou livraison

Les opioïdes traversent le placenta et peuvent produire des effets respiratoires et des effets psychysiologiques chez les nouveau-nés. Un antagoniste opioïde comme la naloxone doit être disponible pour l'inversion de la dépression respiratoire induite par les opioïdes chez le nouveau-né. Talwin n'est pas recommandé pour une utilisation chez les femmes enceintes pendant ou immédiatement avant le travail lorsque d'autres techniques analgésiques sont plus appropriées. Les analgésiques opioïdes, notamment Talwin, peuvent prolonger le travail par des actions qui réduisent temporairement la durée et la fréquence des contractions utérines. Cependant, cet effet n'est pas cohérent et peut être compensé par un taux accru de dilatation cervicale qui tend à raccourcir la main-d'œuvre. Surveiller les nouveau-nés exposés aux analgésiques opioïdes pendant le travail pour des signes de sédation excessive et de dépression respiratoire. Les patients recevant des TALWin pendant le travail n'ont connu aucun effet indésirable autre que ceux qui se produisent avec des analgésiques couramment utilisés.

Données

Données sur les animaux

Dans un rapport publié, une seule dose de pentazocine administrée à des hamsters enceintes le jour 8 de la gestation a augmenté l'incidence des anomalies du tube neural (excéphalie et cranioschisis) à une dose de 1960 mg / kg SC (NULL,4 fois la dose quotidienne maximale (MDD) de 360 ​​mg / jour pentazocine sur une base de surface corporelle). Aucune preuve de défauts du tube neural n'a été signalée à la suite d'une dose de 98 mg / kg (NULL,2 fois le MDD).

Lactation

Résumé des risques

Les avantages du développement et de la santé de l'allaitement doivent être pris en compte avec le besoin clinique de la mère de Talwin et tout effet indésirable potentiel sur le nourrisson allaité de Talwin ou de l'état maternel sous-jacent.

Considérations cliniques

Les nourrissons exposés à Talwin par le lait maternel doivent être surveillés pour une sédation excessive et une dépression respiratoire. Des symptômes de sevrage peuvent survenir chez les nourrissons allaités lorsque l'administration maternelle d'un analgésique opioïde est arrêtée ou lors de l'arrêt de l'allaitement.

Femmes et mâles de potentiel reproducteur

Infertilité

L'utilisation chronique d'opioïdes peut provoquer une fertilité réduite chez les femmes et les hommes de potentiel reproducteur. On ne sait pas si ces effets sur la fertilité sont réversibles [voir Effets indésirables ].

Usage pédiatrique

L'innocuité et l'efficacité de Talwin comme médicaments préopératoires ou préanesthésiques ont été établis chez les patients pédiatriques de 1 à 16 ans. L'utilisation de TALWIN dans ces groupes d'âge est étayée par des preuves d'études adéquates et contrôlées chez des adultes présentant des données supplémentaires provenant d'essais contrôlés publiés chez des patients pédiatriques. La sécurité et l'efficacité de Talwin en tant que prémédication pour la sédation n'ont pas été établies chez les patients pédiatriques de moins d'un an. Les informations sur le profil de sécurité de Talwin en tant qu'alalgésique postopératoire chez les enfants de moins de 16 ans sont limitées.

Utilisation gériatrique

La pentazocine est métabolisée dans le foie et excrétée principalement dans l'urine. Les patients présentant une altération de la fonction rénale ou hépatique peuvent avoir une élimination plus lente du médicament et le risque de réactions indésirables à ce médicament peut être plus élevé chez ces patients. Les patients âgés (âgés de 65 ans ou plus) peuvent avoir une sensibilité accrue à la pentazocine. En général, il est prudent lors de la sélection d'un dosage pour un patient âgé qui commence généralement à l'extrémité inférieure de la plage de dosage reflétant la plus grande fréquence de diminution de la fonction rénale ou cardiaque hépatique et d'une maladie concomitante ou d'une autre thérapie médicamenteuse.

Respiratoire depression is the chief risk for elderly patients treated with opioids et has occurred after large initial doses were administered to patients who were not opioid-tolerant or when opioids were co-administered with other agents that depress respiration. Titrate the dosage of TALWIN slowly in geriatric patients et monitor closely for signs of central nervous system et respiratory depression [see Avertissements AND PRÉCAUTIONS ].Pentazocine is known to be substantially excreted by the kidney et the risk of adverse reactions to this drug may be greater in patients with impaired renal function. Because elderly patients are more likely to have decreased renal function care should be taken in dose selection et it may be useful to monitor renal function.

Informations sur la surdose pour Talwin NX

Manifestations

Pour la pentazocine seule à des doses uniques supérieures à 60 mg, des effets psychotomimétiques de type nalorphine tels que les cauchemars anxieux ont des pensées et des hallucinations étranges. La somnolence marquée par la dépression respiratoire associée à l'hypertension et à la tachycardie a également entraîné des crises d'hypotension étourdissements nausées vomissements léthargie et paresthésie. La dépression respiratoire est antagonisée par la naloxone (voir Traitement ). Circulatory failure et deepening coma may occur in more severe cases particularly in patients who have also ingested other CNS depressants such as alcool sedative/hypnotics or antihistamines.

Traitement

Des mesures adéquates pour maintenir la ventilation et un soutien circulatoire général doivent être utilisées. Ventilation assistée ou contrôlée Les liquides intraveineux, les vasopresseurs et autres mesures de soutien doivent être utilisés comme indiqué. Une considération doit être accordée au lavage gastrique et à l'aspiration gastrique. Pour la dépression respiratoire due à un surdosage ou à une sensibilité inhabituelle à la naloxone parentéral pentazocine est un antagoniste spécifique et efficace. Les doses initiales de 0,4 à 2,0 mg de naloxone sont recommandées répétées à des intervalles de 2 à 3 minutes si nécessaire jusqu'à un total de 10 mg. Une thérapie anti-convulsante peut être nécessaire.

Contre-indications pour Talwin NX

Talwin nx (pentazocine et naloxone) is contraindicated in patients who are hypersensitive to either pentazocine or naloxone.

Pharmacologie clinique for Talwin Nx

La pentazocine est un analgésique opioïde de l'annexe IV qui, lorsqu'il est administré par voie orale dans une dose de 50 mg, semble équivalent en effet analgésique à 60 mg de codéine.

La pentazocine antagonise faiblement les effets analgésiques de la morphine et de la mépéridine; De plus, il produit une inversion incomplète de la dépression respiratoire et comportementale cardiovasculaire induite par la morphine et la mépéridine. La pentazocine a environ 1/50 l'activité antagoniste de la nalorphine. Il a également une activité sédative.

Le début d'une analgésie significative se produit généralement entre 15 et 30 minutes après l'administration orale et la durée d'action est généralement de trois heures ou plus.

La pentazocine est bien absorbée par le tractus gastro-intestinal. Les concentrations dans le plasma coïncident étroitement avec la durée de début et l'intensité de l'analgésie. Le temps de la concentration maximale moyenne chez 24 volontaires normaux était de 1,7 heure (plage de 0,5 à 4 heures) après l'administration orale et la demi-vie moyenne d'élimination du plasma était de 3,6 heures (intervalle de 1,5 à 10 heures).

La pentazocine est métabolisée dans le foie et excrétée principalement dans l'urine. Les produits de l'oxydation des groupes méthyle terminaux et des conjugués de glucuronide sont excrétés par le rein. L'élimination d'environ 60% de la dose totale se produit dans les 24 heures. La pentazocine passe dans la circulation fœtale.

La naloxone lorsqu'il est administré par voie orale à 0,5 mg n'a aucune activité pharmacologique. Le chlorhydrate de naloxone administré par le chlorhydromeau à la même dose est un antagoniste de la pentazocine et un antagoniste pur aux analgésiques narcotiques.

Talwin nx (pentazocine et naloxone) is a potent analgesic when administered orally. However the presence of naloxone in Talwin nx (pentazocine et naloxone) is intended to prevent the effect of pentazocine if the product is misused by injection.

Des études sur les animaux indiquent que la présence de naloxone n'affecte pas l'analgésie de la pentazocine lorsque la combinaison est donnée par voie orale. Si la combinaison est donnée par injection, l'action de la pentazocine est neutralisée.

Informations sur les patients pour Talwin NX

Les patients recevant Talwin NX (pentazocine et naloxone) doivent recevoir les instructions suivantes du médecin:

  • Les patients doivent être informés que Talwin NX (pentazocine et naloxone) est un analgésique narcotique et ne doit être pris que comme indiqué.
  • La dose de Talwin NX (pentazocine et naloxone) ne doit pas être ajustée sans consulter un médecin ou un autre professionnel de la santé.
  • Les patients doivent être informés que Talwin NX (pentazocine et naloxone) peut provoquer des étourdissements de somnolence ou des étourdissements et peut nuire à la capacité mentale et / ou physique requise pour l'exécution de tâches potentiellement dangereuses (par exemple, conduire des machines opérationnelles). Les patients ont commencé sur TALWIN NX (pentazocine et naloxone) ou les patients dont la dose a été ajustée devrait s'abstenir de toute activité potentiellement dangereuse jusqu'à ce qu'il soit établi qu'ils ne sont pas affectés négativement.
  • Talwin nx (pentazocine et naloxone) will add to the effect of alcool et other CNS depressants (such as antihistamines sedatives hypnotics tranquilizers general anesthetics phenothiazines other opioids et monoamine oxidase [MAO]inhibitors).
  • Les patients ne doivent pas combiner Talwin NX (pentazocine et naloxone) avec de l'alcool ou d'autres dépresseurs du système nerveux central (tranquillisants de somnifères), sauf par les ordres du médecin prescripteur, car des effets additifs dangereux peuvent se produire, entraînant des blessures graves ou des décès.
  • Les femmes de potentiel de procréation qui deviennent ou prévoient de devenir enceintes devraient consulter un médecin avant de lancer ou de continuer la thérapie avec Talwin NX (pentazocine et naloxone).
  • Une utilisation sûre pendant la grossesse n'a pas été établie. L'utilisation prolongée d'analgésiques opioïdes pendant la grossesse peut provoquer une dépendance physique néonatale et un sevrage néonatal peut se produire.
  • Si les patients ont reçu un traitement avec Talwin NX (pentazocine et naloxone) pendant plus de quelques semaines et que l'arrêt du traitement est indiqué qu'ils devraient être conseillés sur l'importance de réduire la dose en toute sécurité et qui cessait brusquement le médicament pourrait précipiter les symptômes de sevrage. Le médecin doit fournir un calendrier de dose pour réaliser une interruption progressive du médicament.
  • Les patients doivent être informés que Talwin NX (pentazocine et naloxone) est un médicament potentiel d'abus. Ils devraient le protéger du vol. Il ne devrait jamais être donné à personne autre que l'individu pour qui il a été prescrit.
  • Les patients doivent être invités à garder le Talwin NX (pentazocine et naloxone) dans un endroit sûr hors de la portée des enfants. Lorsque Talwin NX (pentazocine et naloxone) n'est plus nécessaire, veuillez consulter votre pharmacien pour approprié les instructions d'élimination.
  • Comme pour les autres patientes d'opioïdes qui prennent le Talwin NX (pentazocine et naloxone) doivent être informés du potentiel de constipation sévère; Les laxatifs et / ou les adoucisseurs de selles appropriés ainsi que d'autres traitements appropriés doivent être initiés à partir du début de la thérapie opioïde.
  • Les patients doivent être informés des événements indésirables les plus courants qui peuvent survenir lors de la prise de Talwin NX (pentazocine et naloxone): constipation nausée somnolence étourdie étourdie Vomitte et transpiration de sédation.