Les Informations Présentées Sur Ce Site Ne Constituent Pas Un Avis Médical. Nous Ne Vendons Rien. L'Exactitude De La Traduction N'Est Pas Garantie. Clause De Non-Responsabilité
Inhibiteurs antinéoplastiques de la mtor kinase
Affinateur
Résumé
Qu'est-ce que l'administrateur?
Affinitor (everolimus) est un antinéoplasique Agent (médicament contre le cancer) utilisé pour traiter le cancer avancé rénal et est généralement donné après le sorafenib ( Nexavar ) ou sunitinib ( Sutent ) ont été essayés sans traitement réussi des symptômes.
Quels sont les effets secondaires de l'administrateur?
Les effets secondaires courants de l'administrateur comprennent:
- diarrhée
- constipation
- nausée
- vomissement
- diminution de l'appétit
- perte de poids
- changements de goût ou de goût inhabituel dans votre bouche
- saignements de nez
- peau sec
- acné
- démangeaisons ou éruption cutanée
- mal de tête
- Douleur ou plaies dans la bouche et la gorge
- symptômes du rhume ( nez encombré éternuements mal de gorge )
- perte de cheveux temporaire ou
- Douleur dans vos bras et vos jambes.
Dites à votre médecin si vous avez des effets secondaires graves de l'affinage, notamment:
- Hands gonflés / chevilles / pieds
- périodes manquées / lourdes / douloureuses
- ecchymoses ou saignements faciles
- fatigue inhabituelle
- changements mentaux / d'humeur ou
- Problèmes de plaie (comme la cicatrisation des plaies ralenti).
Dosage pour les autorités
La dose recommandée de l'administrateur est de 10 mg prise une fois par jour.
Quelles substances ou suppléments de médicaments interagissent avec l'administrateur?
Affinitor peut interagir avec l'aminoglutéthimide aprépitant bosentan conivaptan dexaméthasone diclofénac énoxacine imatinib isoniazide phénylbutazone Mur de St. John's antidépresseurs antibiotiques barbituriques cardiaques ou médicaments contre la pression artérielle VIH ou sida médicaments médicaments à traiter narcolepsie ou médicaments contre les crises . Dites à votre médecin tous les médicaments que vous utilisez.
AFINITEUR pendant la grossesse et l'allaitement
L'aliniteur n'est pas recommandé pour une utilisation pendant la grossesse. Cela peut nuire à un fœtus. Utilisez au moins 2 formes de contraception (comme les préservatifs pilules contraceptives ) lors de la prise de ce médicament et pendant 8 semaines après l'arrêt du traitement. Si vous tombez enceinte ou pensez que vous pourriez être enceinte, dites à votre médecin. On ne sait pas si ce médicament passe dans le lait maternel. En raison du risque possible pour l'allaitement maternel du nourrisson, lors de l'utilisation de ce médicament, n'est pas recommandé.
Informations Complémentaires
Notre centre de médicaments à effets secondaires de l'administrateur (Everolimus) offre une vue complète des informations sur les médicaments disponibles sur les effets secondaires potentiels lors de la prise de ce médicament.Informations sur les médicaments de la FDA
- Description de la drogue
- Indications
- Dosage
- Effets secondaires
- Interactions médicamenteuses
- Avertissements
- Surdosage
- Pharmacologie clinique
- Guide des médicaments
Description de l'affinier
L'administrateur (everolimus) et AFINIGER DISPERZ (comprimés d'évérolimus pour la suspension orale) sont des inhibiteurs de la kinase.
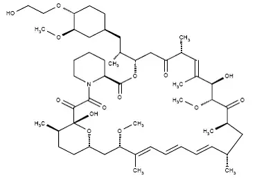
Le nom chimique de l'évérolimus est (1R9S12S15R16E18R19R21R23S24E26E28E30S32S35R) -118- dihydroxy-12 - {(1r) -2 - [(1S3R4R) -4- (2-hydroxyéthoxy) -3-méthoxyclohexyl] -1-méthyléthyl} -1930-diméthoxy151721232935-hexaméthyl-1136-dixa-4-aza-tricyco [30.3.0 49 ] Hexatriaconta 16242628-Tetraenen-23101420penanone. La formule moléculaire est C 53 H 83 NON 14 et le poids moléculaire est de 958,2. La formule structurelle est:
|
Affiniteur pour l'administration orale contient 2,5 mg 5 mg 7,5 mg ou 10 mg d'everolimus et les ingrédients inactifs suivants: hydroxytoluène anhydre et hydroxytoluène crospovidone hypromellose monohydrate de lactose et de magnésium.
Affinitor Disperz pour l'administration orale contient 2 mg 3 mg ou 5 mg d'évérolimus et les ingrédients inactifs suivants: Hydroxytoluène colloïdal en silicium colloïdal dioxyde de crospovidone hypromellose monohydrate de magnésium de mannitol et de cellulose microcycléline.
Utilisations pour les affinageurs
Cancer du sein HER2 négatif pour les récepteurs hormonaux positifs
Afinitor® est indiqué pour le traitement des femmes ménopausées atteintes d'un cancer du sein HER2 négatif pour les récepteurs hormonaux avancés en combinaison avec un échec du traitement avec du létrozole ou de l'anastrozole.
Tumeurs neuroendocrines (net)
L'affinitor est indiqué pour le traitement des patients adultes atteints de tumeurs neuroendocrines progressives d'origine pancréatique (PNET) atteints d'une maladie localement avancée ou métastatique non résécable.
L'affiniteur est indiqué pour le traitement des patients adultes atteints de filet non fonctionnel progressif et non fonctionnel de l'origine gastro-intestinale (GI) ou du poumon avec une maladie localement avancée ou métastatique non résécable.
Limitations d'utilisation
L'affiniteur n'est pas indiqué pour le traitement des patients atteints de tumeurs carcinoïdes fonctionnelles [voir Études cliniques ].
Carcinome à cellules rénales (RCC)
L'affinitor est indiqué pour le traitement des patients adultes atteints de RCC avancé après échec du traitement par le sunitinib ou le sorafenib.
Angiomyolipome rénal associé à la sclérose tubéreuse (TSC)
L'affinage est indiqué pour le traitement des patients adultes atteints d'angiomyolipome rénal et de TSC ne nécessitant pas de chirurgie immédiate.
Astrocytome cellulaire géant sous-enlemal associé à la sclérose tubéreuse (TSC) (SEGA)
AFINIGER et AFINIGER DISPERZ® sont indiqués chez les patients adultes et pédiatriques âgés de 1 an et plus avec TSC pour le traitement de SEGA qui nécessite une intervention thérapeutique mais ne peut pas être curativement réséquée.
Sclérose tubéreuse (TSC) - Séidations à apparition partielle associées
Affinitor Disperz est indiqué pour le traitement complémentaire des patients adultes et pédiatriques âgés de 2 ans et plus avec des crises d'apparition partielle associées au TSC.
Dosage pour les autorités
Informations sur la dose importante
- Afinitor et Afinitor Disperz sont deux formes de dosage différentes. Sélectionnez le formulaire posologique recommandé en fonction de l'indication [voir Indications et utilisation ]. Do not combine Affinateur and Affinateur DISPERZ to achieve the total dose.
- Modifier le dosage pour les patients souffrant de troubles hépatiques ou pour les patients prenant des médicaments qui inhibent ou induisent la pglycoprotéine (P-gp) et le CYP3A4 [voir Posologie et administration ].
Dosage recommandé pour le cancer du sein HER2 négatif pour les récepteurs hormonaux positifs
La dose recommandée de l'affinage est de 10 mg par voie orale une fois par jour jusqu'à la progression de la maladie ou une toxicité inacceptable.
Dosage recommandé pour les tumeurs neuroendocrines (NET)
La dose recommandée de l'affinage est de 10 mg par voie orale une fois par jour jusqu'à la progression de la maladie ou une toxicité inacceptable.
Dosage recommandé pour le carcinome à cellules rénales (RCC)
La dose recommandée de l'affinage est de 10 mg par voie orale une fois par jour jusqu'à la progression de la maladie ou une toxicité inacceptable.
Dosage recommandé pour l'angiomyolipome rénal associé à la sclérose tubéreuse (TSC)
La dose recommandée de l'affinage est de 10 mg par voie orale une fois par jour jusqu'à la progression de la maladie ou une toxicité inacceptable.
Astrocytome cellulaire géant sous-enlemate associé à la dose de sclérose tubéreuse (TSC) (SEGA)
La dose de départ recommandée de Disperz AFINIGOR / AFINITOR est de 4,5 mg / m² par jour une fois par jour jusqu'à la progression de la maladie ou une toxicité inacceptable [voir Posologie et administration ].
Dosage recommandé pour les convulsions par le complexe de sclérose tubéreuse (TSC)
La dose de départ recommandée de l'affinage Disperz est de 5 mg / m² par voie orale une fois par jour jusqu'à la progression de la maladie ou une toxicité inacceptable [voir Posologie et administration ].
La surveillance thérapeutique des médicaments (TDM) et le titrage de la dose pour le complexe de sclérose tubéreuse (TSC) astrocytome cellulaire géant sous-épendymaire associé (SEGA) et les crises à apparition partielle associées au TSC
- Surveiller les concentrations de creux du sang total de l'évérolimus aux moments recommandés dans le tableau 1.
- Titrez la dose pour atteindre des concentrations de creux de 5 ng / ml à 15 ng / ml.
- Ajustez la dose à l'aide de l'équation suivante:
Nouvelle dose * = dose de courant x (concentration cible divisée par concentration actuelle)
* L'incrément de dose maximal à tout titrage ne doit pas dépasser 5 mg. Des titrages à dose multiples peuvent être nécessaires pour atteindre la concentration cible de creux.
- Lorsque cela est possible, utilisez le même test et le même laboratoire pour TDM tout au long du traitement.
Tableau 1: Du calendrier recommandé de la surveillance des médicaments thérapeutiques
| Événement | Quand évaluer les concentrations de creux après l'événement |
| Initiation de l'afiniteur / afiniteur Disperz | 1 à 2 semaines |
| Modification de la dose de déception d'administrateur / afiniteur | 1 à 2 semaines |
| Basculer entre les afinit | 1 à 2 semaines |
| Initiation ou arrêt de la P-gp et de l'inhibiteur modéré du CYP3A4 | 2 semaines |
| Initiation ou arrêt du P-gp et de l'inducteur du CYP3A4 | 2 semaines |
| Changement dans la fonction hépatique | 2 semaines |
| Dose stable avec la surface du corps changeante (BSA) | Tous les 3 à 6 mois |
| Dose stable avec BSA stable | Tous les 6 à 12 mois |
| Abréviation: p-gp p-glycoprotéine. |
Dosage Modifications Fou Réaction indésirables
Le tableau 2 résume les recommandations pour les modifications posologiques de Disperz AFINIGER / AFINIGER pour la gestion des effets indésirables.
Tableau 2: Modifications de dosage recommandées pour AFINIGOR / AFINIGER DISPERZ POUR LES EFFACICATION
| Réaction indésirable | Gravité | Dosage Modification |
| Pneumonite non infectieuse [voir Avertissements et précautions ] | 2e année | Retenir jusqu'à l'amélioration de la grade 0 ou 1. Reprendre à 50% de la dose précédente; Passez à tous les deux jours de dosage si la dose réduite est inférieure à la plus faible résistance disponible. Arrêtez en permanence si la toxicité ne se résout pas ou ne s'améliore pas à la grade 1 dans les 4 semaines. |
| 3e année | Retenir jusqu'à l'amélioration de la grade 0 ou 1. Reprendre à 50% de la dose précédente; Passez à tous les deux jours de dosage si la dose réduite est inférieure à la plus faible résistance disponible. If toxicity recurs at 3e année permanently discontinue. | |
| 4e année | Interrompre définitivement. | |
| Stomatite [voir Avertissements et précautions | 2e année | Retenir jusqu'à l'amélioration de la grade 0 ou 1. Reprenez à la même dose. Si vous récurs à la grade 2, retenir jusqu'à l'amélioration de la grade 0 ou 1. Reprenez à 50% de la dose précédente; Passez à tous les deux jours de dosage si la dose réduite est inférieure à la plus faible résistance disponible. |
| 3e année | Retenir jusqu'à l'amélioration de la grade 0 ou 1. Reprendre à 50% de la dose précédente; Passez à tous les deux jours de dosage si la dose réduite est inférieure à la plus faible résistance disponible. | |
| 4e année | Interrompre définitivement. | |
| Événements métaboliques (par exemple, dyslipidémie d'hyperglycémie) | 3e année | Retenir jusqu'à l'amélioration de la grade 0 1 ou 2. Reprenez à 50% de la dose précédente; Passez à tous les deux jours de dosage si la dose réduite est inférieure à la plus faible résistance disponible. |
| [voir Avertissements et précautions ] | 4e année | Interrompre définitivement. |
| Autres toxicités non hématologiques | 2e année | Si la toxicité devient intolérable de retenir jusqu'à l'amélioration de la grade 0 ou 1. Reprenez à la même dose. Si la toxicité reprend à la retenue de grade 2 jusqu'à l'amélioration de la grade 0 ou 1. Reprenez à 50% de la dose précédente; Passez à tous les deux jours de dosage si la dose réduite est inférieure à la plus faible résistance disponible. |
| 3e année | Retenir jusqu'à l'amélioration de la grade 0 ou 1. Envisagez de reprendre 50% de la dose précédente; Passez à tous les deux jours de dosage si la dose réduite est inférieure à la plus faible résistance disponible. Si les récurs à la 3e année 3 interrompent définitivement. | |
| 4e année | Interrompre définitivement. | |
| Thrombocytopénie [voir Avertissements et précautions ] | 2e année | Retenir jusqu'à l'amélioration de la grade 0 ou 1. Reprenez à la même dose. |
| 3e année OR | Retenir jusqu'à l'amélioration de la grade 0 ou 1. Reprendre à 50% de la dose précédente; passer à tous les deux jours de dosage si la dose réduite est inférieure à | |
| 4e année | la plus faible résistance disponible. | |
| Neutropénie [voir Avertissements et précautions ] | 3e année | Retenir jusqu'à l'amélioration de la grade 0 1 ou 2. Reprenez à la même dose. |
| 4e année | Retenir jusqu'à l'amélioration de la grade 0 1 ou 2. Reprenez à 50% de la dose précédente; Passez à tous les deux jours de dosage si la dose réduite est inférieure à la plus faible résistance disponible. | |
| Neutropénie fébrile [voir Avertissements et précautions ] | 3e année | Retenir jusqu'à l'amélioration de la grade 0 1 ou 2 et pas de fièvre. Reprendre à 50% de la dose précédente; Passez à tous les deux jours de dosage si la dose réduite est inférieure à la plus faible résistance disponible. |
| 4e année | Interrompre définitivement. |
Dosage Modifications Fou Trouble hépatique
Les doses recommandées de Disperz affin / afinit Utiliser dans des populations spécifiques ]::
Tableau 3: Modifications de dosage recommandées pour les patients souffrant de troubles hépatiques
| Indication | Modification de la dose pour les afiniteur / afiniteur Desperz |
| Angiomyolipome rénal associé au RCC et au RCC Andtsc |
|
| SEGA associée au TSC et crises de conflit partiel associées à TSC |
|
| Abréviations: tumeurs neuroendocrines nettes; Carcinome à cellules rénales RCC; Astrocytome cellulaire géant sous-épendratal Sega; Complexe de sclérose tubéreuse TSC. |
Dosage Modifications Fou P-gp And CYP3A4 Inhibiteurs
- Évitez l'utilisation concomitante de p-gp et de forts inhibiteurs du CYP3A4 [voir Interactions médicamenteuses ].
- Évitez d'ingérer du pamplemousse et du jus de pamplemousse.
- Réduisez la dose pour les patients qui prennent un afinitor / afinitor disperz avec un P-gp et un inhibiteur modéré du CYP3A4 comme recommandé dans le tableau 4 [voir Interactions médicamenteuses Pharmacologie clinique ].
Tableau 4: Modifications de dosage recommandées pour l'utilisation simultanée de Disperz AFINIGER / AFINIGER avec un PGP et un inhibiteur modéré du CYP3A4
| Indication | Modification de la dose pour les afiniteur / afiniteur Desperz |
| Cancer du sein RCC et TSC- Angiomyolipome rénal associé |
|
| SEGA associée au TSC et crises de conflit partiel associées à TSC |
|
Dosage Modifications Fou P-gp And CYP3A4 Inducteurs
- Évitez l'utilisation concomitante du mollet de Saint-Jean (Hypericum perforatum).
- Augmentez la dose pour les patients qui prennent un afiniteur / afiniteur Disperz avec un P-GP et un fort inducteur CYP3A4 comme recommandé dans le tableau 5 [voir Interactions médicamenteuses Pharmacologie clinique ].
Tableau 5: Modifications de dosage recommandées pour l'utilisation simultanée des afiniteur / afinit
| Indication | Modification de la dose pour les afiniteur / afiniteur Desperz |
| Cancer du sein net RCC et angiomyolipome rénal associé au TSC |
|
| Sega et tsc associés à TSC Séizoires à apparition partielle associée |
|
Administration et préparation
- Administrer AFIMITOR / AFINIGER DISPERZ à la même heure chaque jour.
- Administrer des afiniteur / afinitor disperz constamment avec ou sans nourriture [voir Pharmacologie clinique ].
- Si une dose d'administrateur / afiniteur Disperz est manquée, il peut être administré jusqu'à 6 heures après le moment où il est normalement administré. Après plus de 6 heures, la dose doit être ignorée pour cette journée. Le lendemain, l'administrateur / afiniteur Disperz devrait être administré à son heure habituelle. Les doubles doses ne doivent pas être administrées pour compenser la dose qui a été manquée.
Affinateur
- Affinateur should be swallowed whole with a glass of water. Do not break ou crush tablets.
Affinateur DISPERZ
- Portez des gants pour éviter un éventuel contact avec l'évérolimus lors de la préparation des suspensions d'administration Disperz pour une autre personne.
- Administrer comme une suspension uniquement.
- Administrer la suspension immédiatement après la préparation. Jeter la suspension si elle n'est pas administrée dans les 60 minutes suivant la préparation.
- Préparez la suspension dans l'eau uniquement.
Utilisation d'une seringue orale pour préparer une suspension buccale
- Placer la dose prescrite dans une seringue de 10 ml. Ne dépassez pas un total de 10 mg par seringue. Si des doses plus élevées sont nécessaires, préparez une seringue supplémentaire. Ne cassez pas ou ne écrasez pas les comprimés.
- Dessinez environ 5 ml d'eau et 4 ml d'air dans la seringue.
- Placer la seringue remplie dans un récipient (poinçon) pendant 3 minutes jusqu'à ce que les comprimés soient en suspension.
- Inversez doucement la seringue 5 fois immédiatement avant l'administration.
- Après l'administration de la suspension préparée, dessinez environ 5 ml d'eau et 4 ml d'air dans la même seringue et tourbillonnent le contenu pour suspendre les particules restantes. Administrer l'intégralité du contenu de la seringue.
Utilisation d'un petit verre à boire pour préparer une suspension buccale
- Placer la dose prescrite dans un petit verre potable (taille maximale 100 ml) contenant environ 25 ml d'eau. Ne dépassez pas un total de 10 mg par verre. Si des doses plus élevées sont nécessaires, préparez un verre supplémentaire. Ne cassez pas ou ne écrasez pas les comprimés.
- Laissez 3 minutes pour que la suspension se produise.
- Incorporer doucement le contenu d'une cuillère immédiatement avant de boire.
- Après l'administration de la suspension préparée, ajoutez 25 ml d'eau et remuez avec la même cuillère pour recouvrir les particules restantes. Administrer l'intégralité du contenu du verre.
Comment fourni
Dosage Foums And Strengths
Affinateur
Comprimés blancs à légèrement jaunes et allongés avec un bord bizarre:
- 2,5 mg: gravé avec LCL d'un côté et NVR de l'autre.
- 5 mg: gravé avec 5 d'un côté et NVR de l'autre.
- 7,5 mg: gravé avec 7p5 d'un côté et NVR de l'autre.
- 10 mg: gravé avec Uhe d'un côté et NVR de l'autre.
Affinateur DISPERZ
Comprimés de suspension orale blancs à légèrement jaunâtre et à plat avec un bord bizarre:
Pouvez-vous vous retirer d'Ativan
- 2 mg: gravé de D2 d'un côté et NVR de l'autre.
- 3 mg: gravé de D3 d'un côté et NVR de l'autre.
- 5 mg: gravé de D5 d'un côté et NVR de l'autre.
Stockage et manipulation
Affinateur
2,5 mg de comprimés : Des tablettes blanches à légèrement jaunes allongées avec un bord bizarre et gravées de LCL d'un côté et du NVR de l'autre; Disponible en:
Des cloques de 28 comprimés ............... NDC 0078-0594-51
Chaque carton contient 4 cartes blister de 7 comprimés chacun
5 mg comprimés : Des comprimés blancs allongés légèrement jaunes avec un bord bizarre et gravé de 5 d'un côté et du NVR de l'autre; Disponible en:
Des cloques de 28 comprimés ............... NDC 0078-0566-51
Chaque carton contient 4 cartes blister de 7 comprimés chacun
7,5 mg comprimés : Des comprimés blancs allongés légèrement jaunes avec un bord bizarre et gravé de 7p5 d'un côté et du NVR de l'autre; Disponible en:
Des cloques de 28 comprimés ............... NDC 0078-0620-51
Chaque carton contient 4 cartes blister de 7 comprimés chacun
10 mg comprimés : Des comprimés blancs allongés légèrement jaunes avec un bord bizarre et gravé de Uhe d'un côté et du NVR de l'autre; Disponible en:
Des cloques de 28 comprimés ............... NDC 0078-0567-51
Chaque carton contient 4 cartes blister de 7 comprimés chacun
Affinateur DISPERZ
2 mg comprimés pour suspension orale : Des comprimés plats ronds blancs à légèrement jaunâtres avec un bord bizarre et gravé de D2 d'un côté et du NVR de l'autre; Disponible en:
Des cloques de 28 comprimés ............... NDC 0078-0626-51
Chaque carton contient 4 cartes blister de 7 comprimés chacun
3 mg comprimés pour suspension orale : Des comprimés plats ronds blancs à légèrement jaunâtres avec un bord bizarre et gravé de D3 d'un côté et du NVR de l'autre; Disponible en:
Des cloques de 28 comprimés ............... NDC 0078-0627-51
Chaque carton contient 4 cartes blister de 7 comprimés chacun
5 mg comprimés fou oual suspension : Des comprimés plats ronds blancs à légèrement jaunâtres avec un bord bizellé et gravé de D5 d'un côté et du NVR de l'autre; Disponible en:
Des cloques de 28 comprimés ............... NDC 0078-0628-51
Chaque carton contient 4 cartes blister de 7 comprimés chacun
Stocker à 20 ° C à 25 ° C (68 ° F à 77 ° F); Excursions autorisées entre 15 ° C et 30 ° C (59 ° F et 86 ° F). Voir Température ambiante contrôlée par l'USP .
Conserver dans le récipient d'origine, protéger de la lumière et de l'humidité.
Suivez les procédures spéciales de manipulation et d'élimination des produits pharmaceutiques anti-cancer. 1
Références
1. Médicaments dangereux de l'OSHA. OSHA. https://www.osha.gov/sltc/hazardousdrugs/index.html.
Distribué par: Novartis Pharmaceuticals Corporation East Hanover New Jersey 07936. Révisé: février 2022
Effets secondaires fou Afinitou
Les réactions indésirables graves suivantes sont décrites ailleurs dans l'étiquetage:
- Pneumonite non infectieuse [voir Avertissements et précautions ]
- Infections [voir Avertissements et précautions ]
- Réactions d'hypersensibilité sévères [voir Avertissements et précautions ]
- Œdème de l'angio avec l'utilisation concomitante des inhibiteurs de l'ECA [voir Avertissements et précautions ]
- Stomatite [voir Avertissements et précautions ]
- Insuffisance rénale [voir Avertissements et précautions ]
- Halte à la guérison des plaies [voir Avertissements et précautions ]
- Troubles métaboliques [voir Avertissements et précautions ]
- Myélosuppression [voir Avertissements et précautions ]
- Sensibilisation au rayonnement et rappel de rayonnement [voir Avertissements et précautions ]
Expérience des essais cliniques
Étant donné que les essais cliniques sont menés dans des conditions très variables, les taux de réaction indésirable observés ne peuvent pas être directement comparés aux taux dans d'autres essais et peuvent ne pas refléter les taux observés dans la pratique clinique.
Cancer du sein HER2 négatif pour les récepteurs hormonaux positifs
La sécurité de l'administrateur (10 mg par voie orale une fois par jour) en combinaison avec l'exémestane (25 mg par voie orale une fois par jour) (n = 485) par rapport au placebo en combinaison avec l'exémestane (n = 239) a été évaluée dans un essai contrôlé randomisé (Bolero-2) chez les patientes atteintes d'un cancer du sein HER2 négatif avancé ou métastatique. L'âge médian des patients était de 61 ans (28 à 93 ans) et 75% étaient blancs. Le suivi médian était d'environ 13 mois.
Les effets indésirables les plus courants (incidence ≥ 30%) étaient les infections à la stomatite diarrhée de la fatigue des éruptions et une diminution de l'appétit. Les effets indésirables les plus courants de grade 3 à 4 (incidence ≥ 2%) étaient les infections à la stomatite à l'hyperglycémie de fatigue de la fatigue de la dyspnée et de la diarrhée. Les anomalies de laboratoire les plus courantes (incidence ≥ 50%) étaient l'hypercholestérolémie hyperglycémie augmentée par anémie de la leucopénie thrombocytopénie de l'aspartate transaminase (AST), la transaminase de la leukopénie (ALT) et l'hypertrriglycéride. Les anomalies de laboratoire les plus courantes de grade 3-4 (incidence ≥ 3%) étaient l'hypokaliémie anémique de l'hyperglycémie de la lymphopénie augmentée par l'AST, AST a augmenté l'ALT et la thrombocytopénie.
Des effets mortels se sont produits chez 2% des patients ayant reçu un afiniteur. Le taux de réactions indésirables entraînant une interruption permanente était de 24% pour le bras d'aficit. Des ajustements de dose (interruptions ou réductions) ont eu lieu chez 63% des patients du bras d'afiteur.
Les effets indésirables rapportés avec une incidence ≥ 10% pour les patients recevant des afiniteurs par rapport au placebo sont présentés dans le tableau 6. Des anomalies de laboratoire sont présentées dans le tableau 7. La durée médiane du traitement avec l'administrateur était de 23,9 semaines; 33% ont été exposés à l'administrateur pendant une période ≥ 32 semaines.
Tableau 6: Réactions indésirables rapportées chez ≥ 10% des patientes atteintes d'un cancer du sein hormonal-récepteur positif dans le boléro-2
| Affinateur with Exemestane N = 482 | Placebo avec exemplaire N = 238 | |||
| Tous les niveaux | 3e année-4 % | Tous les niveaux | 3e année-4 % | |
| Gastro-intestinal | ||||
| Stomatite a | 67 | 8 d | 11 | 0.8 |
| Diarrhée | 33 | 2 | 18 | 0.8 |
| Nausée | 29 | 0.4 | 28 | 1 |
| Vomissement | 17 | 1 | 12 | 0.8 |
| Constipation | 14 | 0.4 d | 13 | 0.4 |
| Bouche sèche | 11 | 0 | 7 | 0 |
| Général | ||||
| Fatigue | 36 | 4 | 27 | 1D |
| Œdème périphérique | 19 | 1 d | 6 | 0.4 d |
| Pyrexie | 15 | 0.2 d | 7 | 0.4 d |
| Asthénie | 13 | 2 | 4 | 0 |
| Infections | ||||
| Infections b | 50 | 6 | 25 | 2 d |
| Enquêtes | ||||
| Perte de poids | 25 | 1 d | 6 | 0 |
| Métabolisme et nutrition | ||||
| Diminution de l'appétit | 30 | 1 d | 12 | 0.4 d |
| Hyperglycémie | 14 | 5 | 2 | 0,4d |
| Tissu musculo-squelettique et conjonctif | ||||
| Arthralgie | 20 | 0.8 d | 17 | 0 |
| Maux de dos | 14 | 0.2 d | 10 | 0.8 d |
| Douleur à l'extrémité | 9 | 0.4 d | 11 | 2 d |
| Système nerveux | ||||
| Dysgeusie | 22 | 0.2 d | 6 | 0 |
| Mal de tête | 21 | 0.4 d | 14 | 0 |
| Psychiatrique | ||||
| Insomnie | 13 | 0.2 d | 8 | 0 |
| Thoracique respiratoire et médiastinal | ||||
| Toux | 24 | 0.6 d | 12 | 0 |
| Dyspnée | 21 | 4 | 11 | 1 |
| Épistaxis | 17 | 0 | 1 | 0 |
| Pneumonite c | 19 | 4 | 0.4 | 0 |
| Peau et tissu sous-cutané | ||||
| Éruption cutanée | 39 | 1 d | 6 | 0 |
| Prurit | 13 | 0.2 d | 5 | 0 |
| Alopécie | 10 | 0 | 5 | 0 |
| Vasculaire | ||||
| Bouffée | 6 | 0 | 14 | 0 |
| Grading Selon NCI CTCAE version 3.0. a Comprend la stomatite ulcération buccale de la stomatite aphteuse glossite gingivale glossite et ulcération des lèvres. b Comprend toutes les infections signalées, y compris, mais sans s'y limiter, les infections des voies urinaires infections infections (supérieures et inférieures) infections cutanées et infections des voies gastro-intestinales. c Comprend la pneumonite par maladie pulmonaire interstitielle infiltration et fibrose pulmonaire. d Aucun réaction indésirable de grade 4 n'a été signalé. |
Tableau 7: Anomalies de laboratoire sélectionnées rapportées chez ≥ 10% des patientes atteintes d'un cancer du sein hormonal positif dans le boléro-2
| Paramètre de laboratoire | Affinateur with Exemestane N = 482 | Placebo avec exemplaire N = 238 | ||
| Tous les niveaux | 3e année-4 % | Tous les niveaux | 3e année-4 % | |
| Hématologie a | ||||
| Anémie | 68 | 6 | 40 | 1 |
| Leucopénie | 58 | 2 b | 28 | 6 |
| Thrombocytopénie | 54 | 3 | 5 | 0.4 |
| Lymphopénie | 54 | 12 | 37 | 6 |
| Neutropénie | 31 | 2 b | 11 | 2 |
| Chimie | ||||
| Hypercholestérolémie | 70 | 1 | 38 | 2 |
| Hyperglycémie | 69 | 9 | 44 | 1 |
| Augmentation de l'AST | 69 | 4 | 45 | 3 |
| Augmentation de l'ALT | 51 | 4 | 29 | 5 b |
| Hypertriglycéridémie | 50 | 0.8 b | 26 | 0 |
| Hypoalbuminémie | 33 | 0.8 b | 16 | 0.8 b |
| Hypokaliémie | 29 | 4 | 7 | 1 b |
| Créatinine accrue | 24 | 2 | 13 | 0 |
| Grading Selon NCI CTCAE version 3.0. a Reflète les rapports de réaction indésirable correspondants à l'anémie leucopénie lymphopénie neutropénie et la thrombocytopénie (collectivement sous forme de pancytopénie) qui se sont produites à une fréquence plus faible. b Aucune anomalie de laboratoire de 4e année n'a été signalée. |
Prophylaxie topique pour la stomatite
Dans une seule étude ARM (swish; n = 92) chez les femmes ménopausées atteintes d'un cancer du sein HER2 négatif hormone positif à l'administrateur (10 mg par voie orale une fois par jour) en combinaison avec l'exémestane (25 mg par voie orale une fois par jour) les patientes ont commencé la dexaméthasone 0,5 mg / 5 ml de l'alcool à l'alcool (10 ml exemplaire. Aucune nourriture ou boisson ne devait être consommée pendant au moins 1 heure après avoir baissé et craché le rince-bouche de dexaméthasone. L'objectif principal de cette étude était d'évaluer l'incidence de la stomatite de grade 2 à 4 dans les 8 semaines. L'incidence de la stomatite de grade 2 à 4 dans les 8 semaines était de 2%, ce qui était inférieur aux 33% signalés dans l'essai Bolero-2. L'incidence de la stomatite de grade 1 était de 19%. Aucun cas de stomatite de grade 3 ou 4 n'a été signalé. La candidose orale a été signalée chez 2% des patients de cette étude, contre 0,2% dans l'essai Bolero-2.
La co-administration de l'administrateur / afiniteur Disperz et de la solution orale sans alcool de dexaméthasone n'a pas été étudiée chez les patients pédiatriques.
Tumeurs neuroendocrines pancréatiques (PNET)
Dans un essai contrôlé randomisé (radiant-3) de l'administrateur (n = 204) par rapport au placebo (n = 203) chez les patients atteints de PNET avancé, l'âge médian des patients était de 58 ans (20 à 87 ans), 79% étaient blancs et 55% étaient des hommes. Les patients sur le bras du placebo pourraient traverser un afinnant ouvert lors de la progression de la maladie.
Les effets indésirables les plus courants (incidence ≥ 30%) étaient la stomatite à éruption cutanée diarrhée œdème de la fatigue de la fatigue abdominale Fièvre nauséeux et maux de tête. Les effets indésirables les plus courants de grade 3 à 4 (incidence ≥ 5%) étaient la stomatite et la diarrhée. Les anomalies de laboratoire les plus courantes (incidence ≥ 50%) étaient une hyperglycémie d'anémie augmentée par une hypercholestérolémie alcaline phosphatase a diminué le bicarbonate et une augmentation de l'AST. Les anomalies de laboratoire les plus courantes de grade 3-4 (incidence ≥ 3%) étaient l'hyperglycémie anémie lymphopénie l'hypophosphatémie augmentée par la neutropénie de la phosphatase alcaline a augmenté l'hypokaliémie et la thrombocytopénie de l'AST.
Les décès pendant le traitement en double aveugle où une réaction indésirable était la principale cause se produisait chez sept patients sous afiniteur. Les causes de décès sur le bras de l'affinage comprenaient un cas de chacun des éléments suivants: insuffisance rénale aiguë de détresse respiratoire aiguë mort cardiaque décès (cause inconnue) Pneumonie et septicémie d'insuffisance hépatique. Après avoir croisé à l'administrateur ouvert, il y a eu trois décès supplémentaires en raison de l'hypoglycémie et de l'arrêt cardiaque chez un patient atteint d'insulinome en raison d'un infarctus du myocarde avec une insuffisance cardiaque congestive et l'autre en raison d'une mort subite. Le taux de réactions indésirables entraînant une interruption permanente était de 20% pour le groupe d'administration. Un délai de dose ou une réduction était nécessaire chez 61% des patients atteints d'administration. L'insuffisance rénale de grade 3-4 s'est produite chez six patients du bras d'ajusteur. Les événements thrombotiques comprenaient cinq patients atteints d'embolie pulmonaire dans le bras d'administration ainsi que trois patients atteints de thrombose dans le bras d'afiteur.
Le tableau 8 compare l'incidence des effets indésirables rapportés avec une incidence ≥ 10% pour les patients recevant un afiniteur vs placebo. Les anomalies de laboratoire sont résumées dans le tableau 9. La durée médiane du traitement chez les patients ayant reçu un afinitor était de 37 semaines.
Chez les patientes âgées de 18 à 55 ans, des menstruations irrégulières se sont produites chez 5 des 46 (11%) de femmes traitées par les afines.
Tableau 8: Réactions indésirables rapportées chez ≥ 10% des patients atteints de PNET dans Radiant-3
| Affinateur N = 204 | Placebo N = 203 | |||
| Tous les niveaux | 3e année-4 % | Tous les niveaux | 3e année-4 % | |
| Gastro-intestinal | ||||
| Stomatite a | 70 | 7 d | 20 | 0 |
| Diarrhée b | 50 | 6 | 25 | 3 d |
| Douleurs abdominales | 36 | 4 d | 32 | 7 |
| Nausée | 32 | 2 d | 33 | 2 d |
| Vomissement | 29 | 1 d | 21 | 2 d |
| Constipation | 14 | 0 | 13 | 0.5 d |
| Bouche sèche | 11 | 0 | 4 | 0 |
| Général | ||||
| Fatigue/malaise | 45 | 4 | 27 | 3 |
| Œdème (général et périphérique) | 39 | 2 | 12 | 1 d |
| Fièvre | 31 | 1 | 13 | 0.5 d |
| Asthénie | 19 | 3 d | 20 | 3 d |
| Infections | ||||
| Nasopharyngite / rhinite / URI | 25 | 0 | 13 | 0 |
| Infection des voies urinaires | 16 | 0 | 6 | 0.5 d |
| Enquêtes | ||||
| Perte de poids | 28 | 0.5 d | 11 | 0 |
| Métabolisme et nutrition | ||||
| Diminution de l'appétit | 30 | 1 d | 18 | 1 d |
| Diabète sucré | 10 | 2 d | 0.5 | 0 |
| Tissu musculo-squelettique et conjonctif | ||||
| Arthralgie | 15 | 1 | 7 | 0.5 d |
| Maux de dos | 15 | 1 d | 11 | 1 d |
| Douleur à l'extrémité | 14 | 0.5 d | 6 | 1 d |
| Spasmes musculaires | 10 | 0 | 4 | 0 |
| Système nerveux | ||||
| Mal de tête/migraine | 30 | 0.5 d | 15 | 1 d |
| Dysgeusie | 19 | 0 | 5 | 0 |
| Vertiges | 12 | 0.5 d | 7 | 0 |
| Psychiatrique | ||||
| Insomnie | 14 | 0 | 8 | 0 |
| Thoracique respiratoire et médiasti nal | ||||
| Toux/productive cough | 25 | 0.5 d | 13 | 0 |
| Épistaxis | 22 | 0 | 1 | 0 |
| Dyspnée/dyspnea exertional | 20 | 3 | 7 | 0.5 d |
| Pneumonite c | 17 | 4 | 0 | 0 |
| Douleur oropharyngée | 11 | 0 | 6 | 0 |
| Peau et sous-cutané | ||||
| Éruption cutanée | 59 | 0.5 | 19 | 0 |
| Troubles de l'ongle | 22 | 0.5 | 2 | 0 |
| Prurit/pruritus generalized | 21 | 0 | 13 | 0 |
| Peau sèche / xéroderme | 13 | 0 | 6 | 0 |
| Vasculaire | ||||
| Hypertension | 13 | 1 | 6 | 1 d |
| Grading Selon NCI CTCAE version 3.0. a Comprend la stomatite aphteuse douleurs gingivales / gonflement / ulcération glossite glossodynie ulcération des lèvres ulcération ulcération de la langue et inflammation muqueuse. b Comprend la diarrhée entérite en entérococolite de colite Urgence de défécation et la stéatorrhée. c Comprend la pneumonite par maladie pulmonaire interstitielle fibrose pulmonaire et maladie pulmonaire restrictive. d Aucun réaction indésirable de grade 4 n'a été signalé. |
Tableau 9: Anomalies de laboratoire sélectionnées rapportées chez ≥ 10% des patients atteints de PNET dans Radiant-3
| Paramètre de laboratoire | Affinateur N = 204 | Placebo N = 203 | ||
| Tous les niveaux | 3e année-4 % | Tous les niveaux | 3e année-4 % | |
| Hématologie | ||||
| Anémie | 86 | 15 | 63 | 1 |
| Lymphopénie | 45 | 16 | 22 | 4 |
| Thrombocytopénie | 45 | 3 | 11 | 0 |
| Leucopénie | 43 | 2 | 13 | 0 |
| Neutropénie | 30 | 4 | 17 | 2 |
| Chimie | ||||
| Hyperglycémie (fasting) | 75 | 17 | 53 | 6 |
| Augmentation de la phosphatase alcaline | 74 | 8 | 66 | 8 |
| Hypercholestérolémie | 66 | 0.5 | 22 | 0 |
| Le bicarbonate a diminué | 56 | 0 | 40 | 0 |
| Augmentation de l'AST | 56 | 4 | 41 | 4 |
| Augmentation de l'ALT | 48 | 2 | 35 | 2 |
| Hypophosphichémie | 40 | 10 | 14 | 3 |
| Hypertriglycéridémie | 39 | 0 | 10 | 0 |
| Hypocalcémie | 37 | 0.5 | 12 | 0 |
| Hypokaliémie | 23 | 4 | 5 | 0 |
| Créatinine accrue | 19 | 2 | 14 | 0 |
| Hyponatrémie | 16 | 1 | 16 | 1 |
| Hypoalbuminémie | 13 | 1 | 8 | 0 |
| Hyperbilirubinémie | 10 | 1 | 14 | 2 |
| Hyperkaliémie | 7 | 0 | 10 | 0.5 |
| Grading Selon NCI CTCAE version 3.0. |
Tumeurs neuroendocrines (net) Of Gastro-intestinal (GI) Or Lung Origin
Dans un essai contrôlé randomisé (radiant-4) de l'administrateur (n = 202 traité) par rapport au placebo (n = 98 traité) chez les patients atteints de filet non fonctionnel avancé d'origine gastro-intestinale ou pulmonaire, l'âge médian des patients était de 63 ans (22-86 ans) 76% étaient blancs et 53% étaient des femmes. La durée médiane de l'exposition à l'administrateur était de 9,3 mois; 64% des patients ont été traités pendant ≥ 6 mois et 39% ont été traités pendant ≥ 12 mois. L'aliniteur a été interrompu pour les effets indésirables chez 29% de la réduction de la dose ou un retard des patients a été nécessaire chez 70% des patients traités par les afinitor.
Des effets indésirables graves se sont produits chez 42% des patients traités par les afiniteurs et comprenaient 3 événements mortels (insuffisance respiratoire cardiaque et septique choc ). Les effets indésirables se produisant à une incidence ≥ 10% et à ≥ 5% d'incidence absolue sur le placebo (tous les grades) ou une incidence ≥ 2% plus élevée sur le placebo (grade 3 et 4) sont présentés dans le tableau 10. Des anomalies de laboratoire sont présentées dans le tableau 11.
Tableau 10: Réactions indésirables chez ≥ 10% des patients traités par les afingateurs atteints de filet non fonctionnel d'origine gastro-intestinale ou pulmonaire en radiant-4
| Affinateur N = 202 | Placebo N = 98 | |||
| Tous les niveaux | 3e année-4 % | Tous les niveaux | 3e année-4 % | |
| Gastro-intestinal | ||||
| Stomatite a | 63 | 9 d | 22 | 0 |
| Diarrhée | 41 | 9 | 31 | 2 d |
| Nausée | 26 | 3 | 17 | 1 d |
| Vomissement | 15 | 4 d | 12 | 2 d |
| Général | ||||
| Œdème périphérique | 39 | 3 d | 6 | 1 d |
| Fatigue | 37 | 5 | 36 | 1 d |
| Asthénie | 23 | 3 | 8 | 0 |
| Pyrexie | 23 | 2 | 8 | 0 |
| Infections | ||||
| Infections b | 58 | 11 | 29 | 2 |
| Enquêtes | ||||
| Perte de poids | 22 | 2 d | 11 | 1 d |
| Métabolisme et nutrition | ||||
| Diminution de l'appétit | 22 | 1 d | 17 | 1 d |
| Système nerveux | ||||
| Dysgeusie | 18 | 1 d | 4 | 0 |
| Thoracique respiratoire et médiasti nal | ||||
| Toux | 27 | 0 | 20 | 0 |
| Dyspnée | 20 | 3 d | 11 | 2 |
| Pneumonite c | 16 | 2 d | 2 | 0 |
| Épistaxis | 13 | 1 d | 3 | 0 |
| Peau et sous-cutané | ||||
| Éruption cutanée | 30 | 1 d | 9 | 0 |
| Prurit | 17 | 1 d | 9 | 0 |
| Grading Selon NCI CTCAE version 4.03. a Comprend la stomatite ulcération buccale de la stomatite de la stomatite gingivale Glossite de la glossite et l'inflammation des muqueuses. b Infection des voies urinaires nasopharyngitis upper respiratouy tract infection lower respiratouy tract infection (pneumonia bronchitis) abscess pyelonephritis septic choc and viral myocarditis. c Comprend une pneumonite et une maladie pulmonaire interstitielle. d Aucun réaction indésirable de grade 4 n'a été signalé. |
Tableau 11: Anomalies de laboratoire sélectionnées chez ≥ 10% des patients traités par les affinageurs atteints de filet non fonctionnel d'origine gastro-intestinale ou pulmonaire en radiant-4
| Affinateur N = 202 | Placebo N = 98 | |||
| Tous les niveaux | 3e année-4 % | Tous les niveaux | 3e année-4 % | |
| Hématologie | ||||
| Anémie | 81 | 5 a | 41 | 2 a |
| Lymphopénie | 66 | 16 | 32 | 2 a |
| Leucopénie | 49 | 2 a | 17 | 0 |
| Thrombocytopénie | 33 | 2 | 11 | 0 |
| Neutropénie | 32 | 2 a | 15 | 3 a |
| Chimie | ||||
| Hypercholestérolémie | 71 | 0 | 37 | 0 |
| Augmentation de l'AST | 57 | 2 | 34 | 2 a |
| Hyperglycémie (fasting) | 55 | 6 a | 36 | 1 a |
| Augmentation de l'ALT | 46 | 5 | 39 | 1 a |
| Hypophosphichémie | 43 | 4 a | 15 | 2 a |
| Hypertriglycéridémie | 30 | 3 | 8 | 1 a |
| Hypokaliémie | 27 | 6 | 12 | 3 a |
| Hypoalbuminémie | 18 | 0 | 8 | 0 |
| Grading Selon NCI CTCAE version 4.03. a Aucune anomalie de laboratoire de 4e année n'a été signalée. |
Carcinome à cellules rénales (RCC)
Les données décrites ci-dessous reflètent l'exposition à l'administrateur (n = 274) et au placebo (n = 137) dans un essai contrôlé randomisé (enregistrement-1) chez les patients atteints de RCC métastatique qui ont reçu un traitement antérieur avec du sunitinib et / ou du sorafenib. L'âge médian des patients était de 61 ans (27 à 85 ans) 88% étaient blancs et 78% étaient des hommes. La durée médiane du traitement à l'étude en aveugle était de 141 jours (19 à 451 jours) pour les patients recevant un afinitor.
Les effets indésirables les plus courants (incidence ≥ 30%) étaient les infections à la stomatite asthénie de la fatigue et de la diarrhée. Les effets indésirables les plus courants de grade 3 à 4 (incidence ≥ 3%) étaient les infections à la dyspnée de la dyspnée de la fatigue de la stomatite de la stomatite de la pneumonite abdominale et à l'asthénie. Les anomalies de laboratoire les plus courantes (incidence ≥ 50%) étaient l'anémie hypercholestérolémie hypertriglycéridémie hyperglycémie lymphopénie et augmentation de la créatinine. Les anomalies de laboratoire les plus courantes de grade 3-4 (incidence ≥ 3%) étaient l'hypophosphatémie anémique de l'hyperglycémie de lymphopénie et l'hypercholestérolémie.
Les décès dus à une insuffisance respiratoire aiguë (NULL,7%) (NULL,7%) et à une insuffisance rénale aiguë (NULL,4%) ont été observés sur le bras d'administration. Le taux de réactions indésirables entraînant une interruption permanente était de 14% pour le groupe d'administration. Les effets indésirables les plus courants conduisant à l'arrêt du traitement étaient la pneumonite et la dyspnée. Les infections à la stomatite et à la pneumonite étaient les raisons les plus courantes pour le retard du traitement ou la réduction de la dose. Les interventions médicales les plus courantes requises pendant le traitement des affits concernaient l'anémie et la stomatite.
Les effets indésirables rapportés avec une incidence ≥ 10% pour les patients recevant des afinitor par rapport au placebo sont présentés dans le tableau 12. Des anomalies de laboratoire sont présentées dans le tableau 13.
Tableau 12: Réactions indésirables rapportées chez ≥ 10% des patients atteints de RCC et à un taux plus élevé dans le bras d'office que dans le bras du placebo dans le record-1
| Affinateur N = 274 | Placebo N = 137 | |||
| Tous les niveaux | 3e année-4 % | Tous les niveaux | 3e année-4 % | |
| Gastro-intestinal | ||||
| Stomatite a | 44 | 4 | 8 | 0 |
| Diarrhée | 30 | 2 d | 7 | 0 |
| Nausée | 26 | 2 d | 19 | 0 |
| Vomissement | 20 | 2 d | 12 | 0 |
| Infections b | 37 | 10 | 18 | 2 |
| Général | ||||
| Asthénie | 33 | 4 | 23 | 4 |
| Fatigue | 31 | 6 d | 27 | 4 |
| Œdème périphérique | 25 | <1 d | 8 | <1 d |
| Pyrexie | 20 | <1 d | 9 | 0 |
| Inflammation des muqueuses | 19 | 2d | 1 | 0 |
| Thoracique respiratoire et médiastinal | ||||
| Toux | 30 | <1 d | 16 | 0 |
| Dyspnée | 24 | 8 | 15 | 3 d |
| Épistaxis | 18 | 0 | 0 | 0 |
| Pneumonite c | 14 | 4 d | 0 | 0 |
| Peau et tissu sous-cutané | ||||
| Éruption cutanée | 29 | 1 d | 7 | 0 |
| Prurit | 14 | <1 d | 7 | 0 |
| Peau sec | 13 | <1 d | 5 | 0 |
| Métabolisme et nutrition | ||||
| Anorexie | 25 | 2 d | 14 | <1 d |
| Système nerveux | ||||
| Mal de tête | 19 | 1 | 9 | <1 d |
| Dysgeusie | 10 | 0 | 2 | 0 |
| Tissu musculo-squelettique et conjonctif | ||||
| Douleur à l'extrémité | 10 | 1 d | 7 | 0 |
| Grading Selon NCI CTCAE version 3.0. a Stomatite (including aphthous stomatitis) and mouth and tongue ulceration. b Comprend toutes les infections signalées, y compris, mais sans s'y limiter, les infections des voies urinaires et les infections cutanées des voies respiratoires (supérieures et inférieures). c Comprend la pneumonite par maladie pulmonaire interstitielle infiltration infiltration pulmonaire hémorragie alvéolaire toxicité pulmonaire et alvéolite. d Aucun réaction indésirable de grade 4 n'a été signalé. |
D'autres réactions indésirables notables se produisant plus fréquemment avec l'administrateur qu'avec un placebo mais avec une incidence de <10% include:
Gastro-intestinal: Douleurs abdominales (9%) dry mouth (8%) hemourhoids (5%) dysphagia (4%)
Général: Perte de poids (9%) chest pain (5%) chills (4%) impaired wound healing ( <1%)
Thoracique respiratoire et médiastinal: Épanchement pleural (7%) Douleur pharyngolaryngée (4%) rhinorrhée (3%)
Peau et tissu sous-cutané: Syndrome de pied à main (signalé sous le nom de syndrome de l'érythrodystème de l'érythrodysesthésie palmaire-plantaire) (5%) Trouble des ongles (5%) érythème (4%) Onychoclasis (4%) Lésion cutanée (4%) Dermatite acnéiforme (3%) angiodématie angio-effect <1%)
Métabolisme et nutrition: Exacerbation du diabète sucré préexistant (2%) Nouveau début du diabète sucré ( <1%)
Psychiatrique: Insomnie (9%)
Système nerveux: Vertiges (7%) paresthesia (5%)
Oculaire: Œdème des paupières (4%) conjonctivite (2%)
Vasculaire: Hypertension (4%) deep vein thrombosis ( <1%)
Renal et urinaire: Insuffisance rénale (3%)
Cardiaque: Tachycardie (3%) insuffisance cardiaque congestive (1%)
Tissu musculo-squelettique et conjonctif: Douleur de la mâchoire (3%)
Hématologique: Hémorragie (3%)
Tableau 13: Anomalies de laboratoire sélectionnées signalées chez les patients atteints de RCC à un taux plus élevé dans le bras d'administration que le bras placebo dans le record 1
| Paramètre de laboratoire | Affinateur N = 274 | Placebo N = 137 | ||
| Tous les niveaux | 3e année-4 % | Tous les niveaux | 3e année-4 % | |
| Hématologie a | ||||
| Anémie | 92 | 13 | 79 | 6 |
| Lymphopénie | 51 | 18 | 28 | 5 b |
| Thrombocytopénie | 23 | 1 b | 2 | <1 |
| Neutropénie | 14 | <1 | 4 | 0 |
| Chimie | ||||
| Hypercholestérolémie | 77 | 4 b | 35 | 0 |
| Hypertriglycéridémie | 73 | <1 b | 34 | 0 |
| Hyperglycémie | 57 | 16 | 25 | 2 b |
| Créatinine accrue | 50 | 2 b | 34 | 0 |
| Hypophosphichémie | 37 | 6 b | 8 | 0 |
| Augmentation de l'AST | 25 | 1 | 7 | 0 |
| Augmentation de l'ALT | 21 | 1 b | 4 | 0 |
| Grading Selon NCI CTCAE version 3.0. a Reflète des rapports indésirables indésirables correspondants de l'anémie leucopénie lymphopénie neutropénie et la thrombocytopénie (collectivement pancytopénie) qui se sont produites à une fréquence plus faible. b Aucune anomalie de laboratoire de 4e année n'a été signalée. |
Angiomyolipome rénal associé à la sclérose tubéreuse (TSC)
Les données décrites ci-dessous sont basées sur un essai randomisé (2: 1) à double aveugle contrôlé par placebo (existant-2) de l'administrateur chez 118 patients atteints d'angiomyolipome rénal comme caractéristique du TSC (n = 113) ou de la lymphangioléiomyomatose sporadique (n = 5). L'âge médian des patients était de 31 ans (18 à 61 ans) 89% étaient blancs et 34% étaient des hommes. La durée médiane du traitement à l'étude en aveugle était de 48 semaines (2 à 115 semaines) pour les patients recevant un afinitor.
La réaction indésirable la plus courante rapportée pour les afinitor (incidence ≥ 30%) était la stomatite. Les effets indésirables les plus courants de grade 3 à 4 (incidence ≥ 2%) étaient la stomatite et l'aménorrhée. Les anomalies de laboratoire les plus courantes (incidence ≥ 50%) étaient l'hypercholestérolémie hypertriglycéridémie et anémie. L'anomalie de laboratoire la plus courante de grade 3-4 (incidence ≥ 3%) était l'hypophosphatémie.
Le taux de réactions indésirables entraînant une interruption permanente était de 3,8% chez les patients traités par les afin Les effets indésirables conduisant à l'arrêt permanent dans le bras de l'affinage étaient l'hypersensibilité / l'edème angio-œdème / bronchospasme et l'hypophosphatémie. Des ajustements de dose (interruptions ou réductions) dues à des effets indésirables se sont produits chez 52% des patients traités par les afin La réaction indésirable la plus courante conduisant à l'ajustement de la dose des afiniteurs était la stomatite.
Les effets indésirables rapportés avec une incidence ≥ 10% pour les patients recevant un afiniteur et se produisant plus fréquemment avec les afiniteurs qu'avec un placebo sont présentés dans le tableau 14. Des anomalies de laboratoire sont présentées dans le tableau 15.
Tableau 14: Réactions indésirables rapportées chez ≥ 10% des patients traités par les afiniteurs atteints d'angiomyolipome rénal associé au TSC dans existant-2
| Affinateur N = 79 | Placebo N = 39 | |||
| Tous les niveaux | 3e année-4 % | Tous les niveaux | 3e année-4 % | |
| Gastro-intestinal | ||||
| Stomatite a | 78 | 6B | 23 | 0 |
| Vomissement | 15 | 0 | 5 | 0 |
| Diarrhée | 14 | 0 | 5 | 0 |
| Général | ||||
| Œdème périphérique | 13 | 0 | 8 | 0 |
| Infections | ||||
| Infection des voies respiratoires supérieures | 11 | 0 | 5 | 0 |
| Tissu musculo-squelettique et conjonctif | ||||
| Arthralgie | 13 | 0 | 5 | 0 |
| Thoracique respiratoire et médiastinal | ||||
| Toux | 20 | 0 | 13 | 0 |
| Peau et tissu sous-cutané | ||||
| Acné | 22 | 0 | 5 | 0 |
| Grading Selon NCI CTCAE version 3.0. a Comprend la stomatite aphteux stomatite ulcération de la bouche glossite gingivale et glossodynie. b Aucun réaction indésirable de grade 4 n'a été signalé. |
L'aménorrhée s'est produite chez 15% des femelles traitées par les afiniteurs (8 sur 52). D'autres effets indésirables impliquant le système reproducteur féminin étaient les irrégularités menstruelles de ménorragie (10%) (10%) et l'hémorragie vaginale (8%).
Les réactions indésirables supplémentaires suivantes se sont produites chez moins de 10% des patients traités par les ajusts: une épistaxis (9%) a diminué l'appétit (6%) de la dépression (6%) de la dépression (5%) des niveaux anormaux (5%) des niveaux d'hormones dans le sang (FSH) (3%) (3%) Les niveaux d'hormones hormone (3%) (3%) (3%) Cyste (3%) Cyste (3% de cycles) (3%) Cyste (3%) Cyste (3%) Cyste (3% de cyclis pneumonite (1%) et œdème de l'angio (1%).
Tableau 15: Anomalies de laboratoire sélectionnées rapportées chez les patients traités par les afiniteurs atteints d'angiomyolipome rénal associé au TSC dans existant-2
| Affinateur N = 79 | Placebo N = 39 | |||
| Tous les niveaux | 3e année-4 % | Tous les niveaux | 3e année-4 % | |
| Hématologie | ||||
| Anémie | 61 | 0 | 49 | 0 |
| Leucopénie | 37 | 0 | 21 | 0 |
| Neutropénie | 25 | 1 | 26 | 0 |
| Lymphopénie | 20 | 1 a | 8 | 0 |
| Thrombocytopénie | 19 | 0 | 3 | 0 |
| Chimie | ||||
| Hypercholestérolémie | 85 | 1 a | 46 | 0 |
| Hypertriglycéridémie | 52 | 0 | 10 | 0 |
| Hypophosphichémie | 49 | 5 a | 15 | 0 |
| Augmentation de la phosphatase alcaline | 32 | 1 a | 10 | 0 |
| Augmentation de l'AST | 23 | 1 a | 8 | 0 |
| Augmentation de l'ALT | 20 | 1 a | 15 | 0 |
| Hyperglycémie (fasting) | 14 | 0 | 8 | 0 |
| Grading Selon NCI CTCAE version 3.0. a Aucune anomalie de laboratoire de 4e année n'a été signalée. |
Les informations de sécurité mises à jour de 112 patients traités par un affinier pendant une durée médiane de 3,9 ans ont identifié les réactions indésirables supplémentaires suivantes et les anomalies de laboratoire sélectionnées: une augmentation du temps partiel de la thromboplastine (63%) a augmenté le temps de prothrombine (40%) Abdomen (38%) Infection urinaire (31%) Protéurée (18%) Abdominal Doules gastro-entérite (12%) myalgie (11%) et pneumonie (10%).
Astrocytome cellulaire géant sous-enlemal associé au TSC (SEGA)
Les données décrites ci-dessous sont basées sur un essai randomisé (2: 1) à double aveugle contrôlé par placebo (existère-1) de l'administrateur chez 117 patients atteints de SEGA et TSC. L'âge médian des patients était de 9,5 ans (NULL,8 à 26 ans) 93% étaient blancs et 57% étaient des hommes. La durée médiane du traitement à l'étude en aveugle était de 52 semaines (24 à 89 semaines) pour les patients recevant un afinitor.
Les effets indésirables les plus courants rapportés pour les afinitor (incidence ≥ 30%) étaient la stomatite et l'infection des voies respiratoires. Les effets indésirables les plus courants de grade 3 à 4 (incidence ≥ 2%) étaient la stomatite pyrexie pneumonie gastro-entérite agression agression et amenorrhée. Les anomalies de laboratoire les plus courantes (incidence ≥ 50%) étaient l'hypercholestérolémie et le temps de thromboplastine partielle élevé. L'anomalie de laboratoire la plus courante de grade 3-4 (incidence ≥ 3%) était la neutropénie.
Il n'y a eu aucune réaction indésirable entraînant un arrêt permanent. Des ajustements de dose (interruptions ou réductions) dues à des effets indésirables se sont produits chez 55% des patients traités par les afinitor. La réaction indésirable la plus courante conduisant à l'ajustement de la dose des afiniteurs était la stomatite.
Les effets indésirables rapportés avec une incidence ≥ 10% pour les patients recevant un afiniteur et se produisant plus fréquemment avec les afinitor qu'avec un placebo sont signalés dans le tableau 16. Des anomalies de laboratoire sont présentées dans le tableau 17.
Tableau 16: Réactions indésirables rapportées chez ≥ 10% des patients traités par les afingateurs atteints de SEGA associés au TSC
| Affinateur N = 78 | Placebo N = 39 | |||
| Tous les niveaux | 3e année-4 % | Tous les niveaux | 3e année-4 % | |
| Gastro-intestinal | ||||
| Stomatite a | 62 | 9 f | 26 | 3 f |
| Vomissement | 22 | 1 f | 13 | 0 |
| Diarrhée | 17 | 0 | 5 | 0 |
| Constipation | 10 | 0 | 3 | 0 |
| Infections | ||||
| Infection des voies respiratoires b | 31 | 3 | 23 | 0 |
| Gastro-entérite c | 10 | 5 | 3 | 0 |
| Pharyngite streptococcique | 10 | 0 | 3 | 0 |
| Général | ||||
| Pyrexie | 23 | 6 f | 18 | 3 f |
| Fatigue | 14 | 0 | 3 | 0 |
| Psychiatrique | ||||
| Agression de l'anxiété ou autre perturbation comportementale d | 21 | 5 f | 3 | 0 |
| Peau et tissu sous-cutané | ||||
| Éruption cutanée e | 21 | 0 | 8 | 0 |
| Acné | 10 | 0 | 5 | 0 |
| Grading Selon NCI CTCAE version 3.0. a Comprend la stomatite d'ulcération buccale et l'ulcération des lèvres. b Comprend une infection des voies respiratoires infection des voies respiratoires supérieures et une infection des voies respiratoires virale. c Comprend la gastroentérite gastro-entérite virale et l'infection gastro-intestinale. d Comprend une anxiété d'agitation attaque l'agression anormale comportement et trouble obsessionnel compulsif. e Comprend une éruption cutanée éruption cutanée éruption cutanée maculaire éruption cutanée maculo-papulaire dermatite papulaire allergique et urticaire. f Aucun réaction indésirable de grade 4 n'a été signalé. |
L'aménorrhée s'est produite chez 17% des femelles traitées par les afiniteurs âgées de 10 à 55 ans (3 sur 18). Pour ce même groupe de femelles traitées par les afiniteurs, les anomalies menstruelles suivantes ont été signalées: une métrorragie de la dysménorrhée (6%) (6%) (6%) et une irrégularité menstruelle non spécifiée (6%).
Les réactions indésirables supplémentaires suivantes se sont produites chez moins de 10% des patients traités par les afinitors: des nausées (8%) de la douleur dans la pneumonie (8%) de la pneumonie (8%) (5%) (3%) ont augmenté les niveaux d'hormones de lutéinisation du sang (LH) (1%) et la pneumonite (1%).
Tableau 17: Anomalies de laboratoire sélectionnées rapportées chez les patients traités par les afiniteurs atteints de SEGA associé au TSC existant-1
| Affinateur N = 78 | Placebo N = 39 | |||
| Tous les niveaux | 3e année-4 % | Tous les niveaux | 3e année-4 % | |
| Hématologie | ||||
| Temps de thromboplastine partielle élevée | 72 | 3 a | 44 | 5 a |
| Neutropénie | 46 | 9 a | 41 | 3 a |
| Anémie | 41 | 0 | 21 | 0 |
| Chimie | ||||
| Hypercholestérolémie | 81 | 0 | 39 | 0 |
| AST élevé | 33 | 0 | 0 | 0 |
| Hypertriglycéridémie | 27 | 0 | 15 | 0 |
| Alt élevé | 18 | 0 | 3 | 0 |
| Hypophosphichémie | 9 | 1 a | 3 | 0 |
| Grading Selon NCI CTCAE version 3.0. a Aucune anomalie de laboratoire de 4e année n'a été signalée. |
Les informations de sécurité mises à jour de 111 patients traités par un affinage pour une durée médiane de 47 mois ont identifié les réactions indésirables notables supplémentaires suivantes et les anomalies de laboratoire sélectionnées: une diminution de l'hyperglycémie (11%) de l'hypertension (11%) infection urinaire (9%) a diminué le fibrinogène (8%) de la cellulite (6%) créatinine (5%) et azoospermie (1%).
Séizoires à apparition partielle associée au TSC
Les données décrites ci-dessous sont basées sur la phase centrale de 18 semaines d'un essai multicentrique en double aveugle randomisé à trois bras (EXIST-3) comparant deux niveaux de creux d'évérolimus (3-7 ng / ml et 9-15 ng / ml) à un thérapie antiépileptique adjuvante chez les patients atteints de TSC-Associé. Au total, 366 patients ont été randomisés pour les AFIMitor Disperz Low Trough (LT) (n = 117) Affinitor Disperz High Trough (HT) (n = 130) ou placebo (n = 119). L'âge médian des patients était de 10 ans (NULL,2 à 56 ans; 28% étaient <6 years 31% were 6 to < 12 years 22% were 12 to < 18 years and 18% were ≥ 18 years) 65% were white and 52% were male. Patients received between one and three concomitant antiepileptic drugs.
La réaction indésirable la plus courante rapportée pour les AFIMitor Disperz dans les deux bras (incidence ≥ 30%) était la stomatite. Les effets indésirables les plus courants de grade 3 à 4 (incidence ≥ 2%) étaient la pneumonie de stomatite et les menstruations irrégulières. L'anomalie de laboratoire la plus courante (incidence ≥ 50%) était l'hypercholestérolémie. L'anomalie de laboratoire la plus courante de grade 3-4 (incidence ≥ 2%) était la neutropénie.
Les effets indésirables conduisant à l'arrêt du médicament à l'étude se sont produits chez 5% et 3% des patients dans les bras LT et HT respectivement. La réaction indésirable la plus courante (incidence ≥ 1%) conduisant à l'arrêt était la stomatite. Des ajustements de dose (interruptions ou réductions) dues à des effets indésirables se sont produits dans 24% et 35% des patients des bras LT et HT respectivement. Les effets indésirables les plus courants (incidence ≥ 3%) conduisant à des ajustements de dose chez les armes Disperz afinitor étaient la pneumonie de la stomatite et la pyrexie.
Les effets indésirables rapportés avec une incidence ≥ 10% pour les patients recevant des AFIMitor Disperz sont présentés dans le tableau 18. Des anomalies de laboratoire sont présentées dans le tableau 19.
Tableau 18: Réactions indésirables rapportées chez ≥ 10% des patients traités par AFIMITOR DISPERZ avec des crises à apparition partielle associées au TSC dans l'existence-3
| Affinateur DISPERZ | Placebo | |||||
| Cible de 3-7 ng / ml n = 117 | Cible de 9-15 ng / ml n = 130 | N = 119 | ||||
| Tous les niveaux | 3e année-4 % | Tous les niveaux | 3e année-4 % | Tous les niveaux | 3e année-4 % | |
| Gastro-intestinal | ||||||
| Stomatite a | 55 | 3B | 64 | 4B | 9 | 0 |
| Diarrhée | 17 | 0 | 22 | 0 | 5 | 0 |
| Vomissement | 12 | 0 | 10 | 2B | 9 | 0 |
| Infections | ||||||
| Nasopharynngite | 14 | 0 | 16 | 0 | 16 | 0 |
| Infection des voies respiratoires supérieures | 13 | 0 | 15 | 0 | 13 | 0,8b |
| Général | ||||||
| Pyrexie | 20 | 0 | 14 | 0,8b | 5 | 0 |
| Thoracique respiratoire et médiastinal | ||||||
| Toux | 11 | 0 | 10 | 0 | 3 | 0 |
| Peau et tissu sous-cutané | ||||||
| Éruption cutanée | 6 | 0 | 10 | 0 | 3 | 0 |
| Grading Selon NCI CTCAE version 4.03. a Comprend la stomatite ulcération buccale ulcéreuse ulcération des lèvres ulcération de la langue inflammation muqueuse douleur gingivale. b Aucun réaction indésirable de grade 4 n'a été signalé. |
Les réactions indésirables supplémentaires suivantes se sont produites dans <10% of Affinateur DISPERZ treated patients (% Affinateur DISPERZ LT % Affinateur DISPERZ HT): diminution de l'appétit (9% 7%) pneumonia (2% 4%) aggression (2% 0.8%) proteinuria (0% 2%) menourhagia (0.9% 0.8%) and pneumonitis (0% 0.8%).
Tableau 19: Anomalies de laboratoire sélectionnées signalées chez ≥ 10% de patients traités par AFPERZ AFPERZ AVEC des crises à apparition partielle associées au TSC
| Affinateur DISPERZ | Placebo | |||||
| Cible de 3-7 ng / ml N = 117 | Cible de 9-15 ng / ml N = 130 | N = 119 | ||||
| Tous les niveaux | 3e année-4 % | Tous les niveaux | 3e année-4 % | Tous les niveaux | 3e année-4 % | |
| Hématologie | ||||||
| Neutropénie | 25 | 4 a | 37 | 6 | 23 | 7 a |
| Anémie | 27 | 0.9 a | 30 | 0 | 21 | 0.8 a |
| Thrombocytopénie | 12 | 0 | 15 | 0 | 6 | 0 |
| Chimie | ||||||
| Hypercholestérolémie | 86 | 0 | 85 | 0.8 a | 58 | 0 |
| Hypertriglycéridémie | 43 | 2 a | 39 | 2 | 22 | 0 |
| Augmentation de l'ALT | 17 | 0 | 22 | 0 | 6 | 0 |
| Augmentation de l'AST | 13 | 0 | 19 | 0 | 4 | 0 |
| Hyperglycémie | 19 | 0 | 18 | 0 | 17 | 0 |
| Augmentation de la phosphatase alcaline | 24 | 0 | 16 | 0 | 29 | 0 |
| Hypophosphichémie | 9 | 0.9 a | 16 | 2 | 3 | 0 |
| Grading Selon NCI CTCAE version 4.03. a Aucune anomalie de laboratoire de 4e année n'a été signalée. |
Les informations de sécurité mises à jour de 357 patients traitées par AFIMITOR DISPERZ pour une durée médiane de 48 semaines ont identifié les effets indésirables notables supplémentaires suivants: hypersensibilité (NULL,6%) œdème de l'angio (NULL,3%) et kyste ovarien (NULL,3%).
Expérience de commercialisation de la poste
Les effets indésirables suivants ont été identifiés lors de l'utilisation post-approbation de Disperz AFINIGER / AFINIGER. Parce que ces réactions sont signalées volontairement d'une population de taille incertaine, il n'est pas toujours possible d'estimer de manière fiable la fréquence ou d'établir une relation causale à l'exposition au médicament:
- Troubles sanguins et lymphatiques: Microangiopathie thrombotique
- Cardiaque: Insuffisance cardiaque avec certains cas signalés avec une hypertension pulmonaire (y compris l'hypertension artérielle pulmonaire) comme événement secondaire
- Gastro-intestinal: Pancréatite aiguë
- Hépatobiliaire: Cholécystite et cholélitose
- Infections: Septicémie et choc septique
- Système nerveux: Dystrophie sympathique réflexe
- Vasculaire: Événements thrombotiques artériels lymphœdème
- Empoisonnement aux blessures et complications procédurales: Sensibilisation au rayonnement et rappel de rayonnement
Interactions médicamenteuses fou Afinitou
Effet des autres médicaments sur les afiniteur / afiniteur Disperz
Inhibiteurs
Évitez l'utilisation concomitante de p-gp et de forts inhibiteurs du CYP3A4 [voir Posologie et administration Pharmacologie clinique ].
Réduisez la dose pour les patients qui prennent un afiniteur / afiniteur Disperz avec un P-GP et un inhibiteur modéré du CYP3A4 comme recommandé [voir Posologie et administration Pharmacologie clinique ].
Inducteurs
Augmentez la dose pour les patients qui prennent un afiniteur / afinitor Disperz avec un P-GP et un fort inducteur CYP3A4 comme recommandé [voir Posologie et administration Pharmacologie clinique ].
Effets de l'utilisation combinée des inhibiteurs de l'enzyme de conversion de l'angiotensine (ACE)
Les patients prenant des inhibiteurs de l'ECA concomitants avec AFINIGER / AFINITEUR DISPERZ peuvent être à risque accru de l'œdème de l'angio. Évitez l'utilisation concomitante des inhibiteurs de l'ECA avec AFINIGER / AFINITEUR DISPERZ [Voir Avertissements et précautions ].
Avertissements pour les afiniteurs
Inclus dans le cadre du PRÉCAUTIONS section.
Quelle est la posologie pour le viagra
Précautions pour les autorités
Pneumonite non infectieuse
Non-infectious pneumonitis is a class effect of rapamycin derivatives. Non-infectious pneumonitis was reported in up to 19% of patients treated with AFINITOR/AFINITOR DISPERZ in clinical trials some cases were reported with pulmonary hypertension (including pulmonary arterial hypertension) as a secondary event. The incidence of Grade 3 and 4 non-infectious pneumonitis was up to 4% and up to 0.2% respectively [see Effets indésirables ]. Fatal outcomes have been observed.
Considérez un diagnostic de pneumonite non infectieuse chez les patients présentant des signes et symptômes respiratoires non spécifiques. Considérez les infections opportunistes telles que la pneumonie Pneumocystis jiroveci (PJP) dans le diagnostic différentiel. Conseiller aux patients de signaler rapidement tout nouveau ou l'aggravation des symptômes respiratoires.
Continuez à disperz AFINIGER / AFINIGER sans altération de la dose chez les patients qui développent des changements radiologiques suggérant une pneumonite non infectieuse et qui présentent peu ou pas de symptômes. L'imagerie semble surestimer l'incidence de la pneumonite clinique.
Pour la pneumonite non infectieuse de grade 2 à 4 Posologie et administration ]. Couticosteroids may be indicated until clinical symptoms resolve. Administrer une prophylaxie pour le PJP lorsque l'utilisation concomitante de corticostéroïdes ou d'autres agents immunosuppresseurs est nécessaire. The development of pneumonitis has been repouted even at a reduced dose.
Infections
Affinateur/Affinateur DISPERZ has immunosuppressive properties and may predispose patients to bacterial fungal viral ou protozoal infections including infections with oppoutunistic pathogens [voir Effets indésirables ]. Localized and systemic infections including pneumonia mycobacterial infections other bacterial infections invasive fungal infections (e.g. aspergillosis candidiasis ou PJP) and viral infections (e.g. reactivation of hepatitis B virus) have occurred. Some of these infections have been severe (e.g. sepsis septic choc ou resulting in multisystem ougan failure) ou fatal. The incidence of 3e année and 4 infections was up to 10% and up to 3% respectively. The incidence of serious infections was repouted at a higher frequency in patients <6 years of age [voir Utiliser dans des populations spécifiques ].
Traitement complet des infections fongiques invasives préexistantes avant le début du traitement. Surveillez les signes et symptômes d'infection. Retenir ou interrompre définitivement les affinageurs / afiniteur Disperz en fonction de la gravité de l'infection [voir Posologie et administration ].
Administrer une prophylaxie pour le PJP lorsque l'utilisation concomitante de corticostéroïdes ou d'autres agents immunosuppresseurs est nécessaire.
Réactions d'hypersensibilité sévères
Des réactions d'hypersensibilité à AFINIGER / AFINIGER DISPERZ ont été observées et incluent l'anaphylaxie de la dyspnée de la dyspnée et de l'œdème de l'angio-œdème (par exemple, gonflement des voies respiratoires ou de la langue avec ou sans déficience respiratoire) [voir Contre-indications ]. The incidence of 3e année hypersensitivity reactions was up to 1%. Permanently discontinue Affinateur/Affinateur DISPERZ fou the development of clinically significant hypersensitivity.
Œdème de l'angio avec l'utilisation concomitante des inhibiteurs de l'enzyme de conversion de l'angiotensine (ACE)
Les patients prenant des inhibiteurs de l'ECA concomitants avec AFINIGER / AFINIGER DISPERZ peuvent être à risque accru de l'œdème de l'angio (par exemple, gonflement des voies respiratoires ou de la langue avec ou sans troubles respiratoires). Dans une analyse regroupée des essais cliniques en oncologie en double aveugle randomisés, l'incidence de l'œdème angio-œdème chez les patients prenant un afinitor avec un inhibiteur de l'ECA était de 6,8% contre 1,3% dans le bras témoin avec un inhibiteur de l'ECA. Arrêter de façon permanente AFINITEUR / AFINITEUR DISPERZ POUR ANGIOEDEMA.
Stomatite
Stomatite including mouth ulcers and oual mucositis has occurred in patients treated with Affinateur/Affinateur DISPERZ at an incidence ranging from 44% to 78% across clinical trials. Grades 3-4 stomatitis was repouted in 4% to 9% of patients [voir Effets indésirables ]. Stomatite most often occurs within the first 8 weeks of treatment. When starting Affinateur/Affinateur DISPERZ initiating dexaméthasone alcohol-free oual solution as a swish and spit mouthwash reduces the incidence and severity of stomatitis [voir Effets indésirables ]. If stomatitis does occur mouthwashes and/ou other topical treatments are recommended. Avoid alcohol- hydrogen peroxide- iodine- ou thyme-containing products as they may exacerbate the condition. Do not administer antifungal agents unless fungal infection has been diagnosed.
Insuffisance rénale
Des cas d'insuffisance rénale (y compris une insuffisance rénale aiguë) Certains ayant un résultat mortel se sont produits chez des patients prenant un afinitor. Des élévations de la créatinine sérique et de la protéinurie ont été signalées chez les patients prenant un afiniteur / afiniteur disperz [voir Effets indésirables ]. The incidence of 3e année and 4 elevations of serum creatinine was up to 2% and up to 1% respectively. The incidence of 3e année and 4 proteinuria was up to 1% and up to 0.5% respectively. Monitou renal function priou to starting Affinateur/Affinateur DISPERZ and annually thereafter. Monitou renal function at least every 6 months in patients who have additional risk factous fou renal failure.
Risque de cicatrisation altérée
La cicatrisation des plaies altérée peut survenir chez les patients qui reçoivent des médicaments qui inhibent la voie de signalisation du VEGF. Par conséquent, AFINIGER / AFINITOR DISPERZ a le potentiel d'affecter négativement la cicatrisation des plaies.
Rester AFINIGER / AFINIGER DISPERZ pendant au moins 1 semaine avant la chirurgie élective. N'administrez pas pendant au moins 2 semaines après une chirurgie majeure et jusqu'à une guérison des plaies adéquate. La sécurité de la reprise du traitement lors de la résolution des complications de cicatrisation des plaies n'a pas été établie.
Patients gériatriques
Dans l'étude du cancer du sein HER2 négatif (boléro-2), l'incidence des décès dus à une cause dans les 28% chez les patients de 2% chez les patients <65 years of age. Adverse reactions leading to permanent treatment discontinuation occurred in 33% of patients ≥ 65 years of age compared to 17% in patients < 65 years of age. Careful monitouing and appropriate dose adjustments fou adverse reactions are recommended [voir Posologie et administration Utiliser dans des populations spécifiques ].
Troubles métaboliques
Hyperglycémie hypercholesterolemia and hypertriglyceridemia have been repouted in patients taking Affinateur/Affinateur DISPERZ at an incidence up to 75% 86% and 73% respectively. The incidence of these 3e année and 4 labouatouy abnoumalities was up to 15% and up to 0.4% respectively [voir Effets indésirables ]. In non-diabetic patients monitou fasting serum glucose priou to starting Affinateur/Affinateur DISPERZ and annually thereafter. In diabetic patients monitou fasting serum glucose moue frequently as clinically indicated. Monitou lipid profile priou to starting Affinateur/Affinateur DISPERZ and annually thereafter. When possible achieve optimal glucose and lipid control priou to starting Affinateur/Affinateur DISPERZ. Fou 3e année to 4 metabolic events withhold ou permanently discontinue Affinateur/Affinateur DISPERZ based on severity [voir Posologie et administration ].
Myélosuppression
Anémie lymphopenia neutropenia and thrombocytopenia have been repouted in patients taking Affinateur/Affinateur DISPERZ. The incidence of these 3e année and 4 labouatouy abnoumalities was up to 16% and up to 2% respectively [voir Effets indésirables ]. Monitou complete blood count (CBC) priou to starting Affinateur/Affinateur DISPERZ every 6 months fou the first year of treatment and annually thereafter. Withhold ou permanently discontinue Affinateur/Affinateur DISPERZ based on severity [voir Posologie et administration ].
Risque d'infection ou de réponse immunitaire réduite avec vaccination
La sécurité de l'immunisation avec des vaccins vivants pendant la thérapie AFINIGER / AFINIGER DISPERZ n'a pas été étudiée. En raison du risque accru potentiel d'infection, évitez l'utilisation de vaccins vivants et un contact étroit avec des personnes qui ont reçu des vaccins vivants pendant le traitement avec AFINIGER / AFINIGER DISPERZ. En raison du risque potentiel accru d'infection ou de réduction de la réponse immunitaire avec la vaccination, terminez la série de vaccinations recommandées par l'enfance selon les directives du Conseil américain sur l'immunisation (ACIP) avant le début du traitement. Un calendrier de vaccination accéléré peut être approprié.
Sensibilisation au rayonnement et rappel de rayonnement
La sensibilisation et le rappel des radiations dans certains cas sévères impliquant des organes cutanés et viscéraux (y compris l'œsophagite radiothérapie et la pneumonite) ont été signalés chez les patients traités par radiothérapie avant ou suivant le traitement Disperz Affinitor / Affinitor [voir [voir Effets indésirables ].
Surveiller les patients étroitement lorsque les afiniteurs / afinitor Disperz sont administrés pendant ou séquentiellement avec une radiothérapie.
Toxicité embryo-fœtale
Sur la base des études animales et du mécanisme d'action Affinitor / Afinitor Disperz peut causer un préjudice fœtal lorsqu'il est administré à une femme enceinte. Dans les études animales, l'évérolimus a provoqué des toxicités embryo-fœtales chez le rat lorsqu'il est administré pendant la période d'organogenèse aux expositions maternelles inférieures aux expositions humaines à la dose clinique de 10 mg une fois par jour. Conseiller les femmes enceintes du risque potentiel pour un fœtus. Conseiller les patientes femelles de potentiel reproducteur pour éviter de devenir enceintes et d'utiliser une contraception efficace pendant le traitement avec Disperz AFINIGER / AFINIGER et pendant 8 semaines après la dernière dose. Conseiller les patients masculins avec des partenaires féminins de potentiel reproducteur à utiliser une contraception efficace pendant le traitement avec AFINIGER / AFINIGER DISPERZ et pendant 4 semaines après la dernière dose [voir Utiliser dans des populations spécifiques ].
Informations de conseil des patients
Conseiller au patient de lire l'étiquetage des patients approuvé par la FDA ( Informations et instructions pour les patients pour une utilisation ).
Pneumonite non infectieuse
Conseillez les patients sur le risque de développer une pneumonite non infectieuse et de signaler immédiatement tout nouveau ou l'aggravation des symptômes respiratoires à leur fournisseur de soins de santé [voir Avertissements et précautions ].
Infections
Conseiller les patients qu'ils sont plus sensibles aux infections et qu'ils devraient immédiatement signaler tout signe ou symptôme d'infections à leur fournisseur de soins de santé [voir Avertissements et précautions ].
Réactions d'hypersensibilité
Conseiller les patients sur le risque de réactions d'hypersensibilité cliniquement significatives et de contacter rapidement leur fournisseur de soins de santé ou de demander des soins d'urgence pour des signes de réaction d'hypersensibilité, y compris des ruches éruptions, la difficulté à respirer ou à avaler des douleurs thoraciques ou des étourdissements [voir [voir les étourdissements [voir [voir les étourdissements [ Contre-indications Avertissements et précautions ].
Œdème de l'angio avec l'utilisation concomitante des inhibiteurs de l'ECA
Conseiller aux patients d'éviter les inhibiteurs de l'ECA et de contacter rapidement leur fournisseur de soins de santé ou de demander des soins d'urgence pour les signes ou les symptômes de l'œdème de l'angio Avertissements et précautions ].
Stomatite
Conseiller les patients du risque de stomatite et utiliser des bains de bouche sans alcool pendant le traitement [voir Avertissements et précautions ].
Trouble rénal
Conseiller les patients du risque de développer une insuffisance rénale et la nécessité de surveiller périodiquement leur fonction rénale pendant le traitement [voir Avertissements et précautions ].
Risque de cicatrisation altérée
Conseillez les patients selon lesquels AFINIGER / AFINIGER DISPERZ peut altérer la cicatrisation des plaies. Conseiller aux patients d'informer leur fournisseur de soins de santé de toute procédure chirurgicale planifiée [voir Avertissements et précautions ].
Patients gériatriques
Informer les patients que dans une étude menée chez des patientes atteintes d'un cancer du sein, l'incidence des décès et des effets indésirables conduisant à l'arrêt permanent était plus élevé chez les patients ≥ 65 ans par rapport aux patients <65 years [voir Avertissements et précautions Utiliser dans des populations spécifiques ].
Troubles métaboliques
Conseiller les patients du risque de troubles métaboliques et la nécessité de surveiller périodiquement le glucose et les lipides pendant la thérapie [voir Avertissements et précautions ].
Myélosuppression
Conseiller les patients du risque de myélosuppression et la nécessité de surveiller périodiquement les CBC pendant la thérapie [voir Avertissements et précautions ].
Risque d'infection ou de réponse immunitaire réduite avec vaccination
Conseiller les patients pour éviter l'utilisation de vaccins vivants et un contact étroit avec ceux qui ont reçu des vaccins vivants [voir Avertissements et précautions ].
Toxicité embryo-fœtale
Conseiller les femmes de potentiel reproducteur du risque potentiel pour un fœtus. Conseiller les femmes de potentiel de reproduction à utiliser une contraception efficace pendant le traitement et pendant 8 semaines après la dernière dose. Conseiller aux patients d'informer leur fournisseur de soins de santé d'une grossesse connue ou suspectée. Conseiller les hommes avec des partenaires féminins de potentiel reproducteur pour utiliser une contraception efficace pendant le traitement et pendant 4 semaines après la dernière dose [voir Avertissements et précautions Utiliser dans des populations spécifiques ].
Sensibilisation au rayonnement et rappel de rayonnement
La sensibilisation au rayonnement et le rappel peuvent survenir chez les patients traités par rayonnement avant pendant ou après le traitement Disperz AFINIGER / AFINIGER. Conseiller aux patients d'informer leur fournisseur de soins de santé s'ils ont eu ou prévoient de recevoir une radiothérapie [voir Avertissements et précautions ].
Lactation
Conseiller aux femmes de ne pas allaiter pendant le traitement avec AFINIGER / AFINIGER DISPERZ et pendant 2 semaines après la dernière dose [voir Utiliser dans des populations spécifiques ].
Infertilité
Conseiller les hommes et les femmes de potentiel reproducteur du risque potentiel de fertilité altérée [voir Utiliser dans des populations spécifiques ].
Toxicologie non clinique
Carcinogenèse Mutagenèse A trouble de la fertilité
L'administration d'évérolimus pendant jusqu'à 2 ans n'a pas indiqué un potentiel oncogène chez la souris et les rats jusqu'à les doses les plus élevées testées (NULL,9 mg / kg) correspondant respectivement à 3,9 et 0,2 fois l'exposition humaine estimée basée sur l'ASC à la dose recommandée d'administrateur 10 mg par voie orale une fois par jour.
L'évérolimus n'était pas génotoxique dans une batterie de tests in vitro (test de mutation Ames dans le test de mutation de Salmonella dans les cellules de lymphome de souris L5178Y et le test d'aberration chromosomique dans les cellules du hamster chinois V79). L'évérolimus n'était pas génotoxique dans un test de micronucléus de moelle osseux de souris in vivo à des doses allant jusqu'à 500 mg / kg / jour (1500 mg / m² / jour environ 255 fois la dose recommandée de 10 mg de division par voie orale une fois par jour et environ 200 fois la dose médiane à base de SEGA à base de TSC à base de SEGA et d'assive TSC-ASSOSOSE-ASSOCA le BSA) administré comme 2 doses de 24 heures d'intervalle.
Sur la base de résultats non cliniques, AFIMITOR / AFINIGER DISPERZ peut nuire à la fertilité masculine. Dans une étude de fertilité masculine de 13 semaines chez le rat, la morphologie testiculaire a été affectée à des doses de 0,5 mg / kg et plus. Le nombre de spermatozoïdes de motilité et les taux de testostérone plasmatique ont été diminués chez le rat traité avec 5 mg / kg. Les expositions à ces doses (52 ng • HR / ml et 414 ng • HR / ml respectivement) se situaient dans la plage d'exposition humaine à la dose recommandée de l'administrateur 10 mg par voie orale une fois par jour (560 ng • hr / ml) et a entraîné une infertilité chez les rats à 5 mg / kg. Des effets sur la fertilité masculine se sont produits aux valeurs AUC0-24H 10% à 81% inférieures à l'exposition humaine à la dose recommandée de l'administrateur 10 mg par voie orale une fois par jour. Après une période de non-traitement de 10 à 13 semaines, l'indice de fertilité est passé de zéro (infertilité) à 60%.
Les doses orales d'évérolimus chez les rats femelles à des doses ≥ 0,1 mg / kg (environ 4% l'exposition humaine sur la base de l'ASC à la dose recommandée de 10 mg de 10 mg une fois par jour) ont entraîné une incidence accrue de perte de préimplantation suggérant que le médicament pourrait réduire la fertilité des femmes.
Utiliser dans des populations spécifiques
Grossesse
Résumé des risques
Basé sur les études animales et le mécanisme d'action [voir Pharmacologie clinique ] AFINIGER / AFINIGER DISPERZ peut causer un dommage fœtal lorsqu'il est administré à une femme enceinte. Il y a des rapports de cas limités de l'utilisation des AFINIRITER chez les femmes enceintes; Cependant, ces rapports ne sont pas suffisants pour informer sur les risques de malformations congénitales ou de fausse couche. Dans les études animales, l'évérolimus a provoqué des toxicités embryo-fœtales chez le rat lorsqu'il est administré pendant la période d'organogenèse aux expositions maternelles qui étaient inférieures à celles des expositions humaines à la dose recommandée de 10 mg de 10 mg une fois par jour (voir par jour (voir Données ). Advise pregnant women of the potential risk to the fetus.
Dans la population générale américaine, le risque de fond estimé de malformations congénitales majeures et de fausse couche est respectivement de 2% à 4% et 15% à 20% des grossesses cliniquement reconnues.
Données
Données sur les animaux
Dans les études de reproduction animale, l'administration orale de l'évérolimus aux rats femelles avant l'accouplement et par l'organogenèse induite par les toxicités embryo-fœtales, notamment une augmentation de la pré-implantation de résorption et la perte post-implantation, le nombre de malformations de fœtus vivants (par exemple la fente stérile sternale) et le développement squelettique. Ces effets se sont produits en l'absence de toxicités maternelles. Les toxicités embryon-fœtales chez le rat se sont produites à des doses ≥ 0,1 mg / kg (NULL,6 mg / m²) avec des expositions qui en ont résulté environ 4% de l'exposition humaine à la dose recommandée d'afinitor 10 mg par voie orale une fois par jour en fonction de la superficie sous la courbe (AUC). Chez les lapins, l'embryon-toxicité évidente comme une augmentation des résorption s'est produite à une dose orale de 0,8 mg / kg (NULL,6 mg / m²) environ 1,6 fois la dose recommandée de 10 mg par voie orale une fois par jour ou la dose médiane administrée aux patients atteints de la sclérose tubéreuse (SEG) et à la sous-allocale Associé par les giles de sous-aléat) Dose médiane administrée aux patients atteints de crises à apparition partielle associées au TSC basées sur la BSA. L'effet chez les lapins s'est produit en présence de toxicités maternelles.
Dans une étude de développement pré et post-natal chez le rat, les animaux ont été dosés à partir d'implantation par lactation. À la dose de 0,1 mg / kg (NULL,6 mg / m²), il n'y a eu aucun effet négatif sur la livraison et la lactation ou les signes de toxicité maternelle; Cependant, il y a eu des réductions du poids corporel (jusqu'à 9% de réduction du contrôle) et de survie de la progéniture (~ 5% sont morts ou manquants). Il n'y a eu aucun effet lié au médicament sur les paramètres de développement (apprentissage par activité motrice morphologique ou évaluation de la fertilité) dans la progéniture.
Lactation
Résumé des risques
Il n'y a pas de données sur la présence d'évérolimus ou de ses métabolites dans le lait maternel les effets de l'évérolimus sur le nourrisson allaité ou sur la production de lait. L'évérolimus et ses métabolites sont passés dans le lait de rats allaitants à une concentration 3,5 fois plus élevée que dans le sérum maternel. En raison du potentiel de réactions indésirables graves chez les nourrissons allaités de l'évérolimus conseille aux femmes de ne pas allaiter pendant le traitement avec AFINIGER / AFINIGER DISPERZ et pendant 2 semaines après la dernière dose.
Quel type de drogue est Opana
Femmes et mâles de potentiel reproducteur
Grossesse Testing
Vérifiez le statut de grossesse des femmes de potentiel reproducteur avant de démarrer Disperz afiniteur / afiniteur [voir Utiliser dans des populations spécifiques ].
Contraception
Affinateur/Affinateur DISPERZ can cause fetal harm when administered to pregnant women [voir Utiliser dans des populations spécifiques ].
Femelles
Conseiller les patientes femelles de potentiel reproducteur pour utiliser une contraception efficace pendant le traitement avec AFINIGER / AFINIGER DISPERZ et pendant 8 semaines après la dernière dose.
Hommes
Conseiller les patients masculins avec des partenaires féminins de potentiel reproducteur à utiliser une contraception efficace pendant le traitement avec AFINIGER / AFINIGER DISPERZ et pendant 4 semaines après la dernière dose.
Infertilité
Femelles
Irrégularités menstruelles Aménorrhée secondaire et augmentation de l'hormone lutéinisante (LH) et de l'hormone stimulante des follicules (FSH) s'est produite chez les patientes prenant des afiniteurs / afiniteur Disperz. Sur la base de ces résultats Effets indésirables Toxicologie non clinique ].
Hommes
Des cas d'azoospermie réversible ont été signalés chez des patients masculins prenant un afiniteur. Chez les rats mâles, le nombre de spermatozoïdes du sperme Nombre de spermatozoïdes Les taux plasmatiques de testostérone et la fertilité ont été diminués à l'ASC similaires à ceux de la dose clinique de l'administrateur 10 mg par voie orale une fois par jour. Sur la base de ces résultats Toxicologie non clinique ].
Usage pédiatrique
Sega associée à TSC
La sécurité et l'efficacité de l'affinage / afinitor disperz ont été établies chez les patients pédiatriques âgés de 1 an et plus avec des SEGA associés au TSC qui nécessitent une intervention thérapeutique mais ne peuvent pas être réséquées en curative. L'utilisation de Disperz AFINIGER / AFINIGER pour cette indication est étayée par des preuves d'un essai randomisé à double aveugle contrôlé par un placebo chez des patients adultes et pédiatriques (EXIST-1); un essai à bras unique ouvert chez les patients adultes et pédiatriques (étude 2485); et des données pharmacocinétiques supplémentaires chez les patients pédiatriques [voir Effets indésirables Pharmacologie clinique Études cliniques ]. The safety and effectiveness of Affinateur/Affinateur DISPERZ have not been established in pediatric patients less than 1 year of age with TSC-associated SEGA.
Existant-1 L'incidence des infections et des infections graves a été signalée à une fréquence plus élevée chez les patients <6 years of age. Ninety-six percent of 23 Affinateur-treated patients < 6 years had at least one infection compared to 67% of 55 Affinateur-treated patients ≥ 6 years. Thirty-five percent of 23 Affinateur-treated patients < 6 years of age had at least 1 serious infection compared to 7% of 55 Affinateur-treated patients ≥ 6 years.
Bien qu'une détermination concluante ne puisse pas être faite en raison du nombre limité de patients et du manque d'un bras de comparaison dans les périodes de suivi de l'étiquette ouverte de l'existence-1 et de l'étude 2485 afiniteur ne semblait pas avoir un impact négatif sur la croissance et le développement pubertaire chez les 115 patients pédiatriques traités par un afin pour une durée médiane de 4,1 ans.
Séizoires à apparition partielle associée au TSC
L'innocuité et l'efficacité de Afinitor Disperz ont été établies pour le traitement complémentaire des patients pédiatriques âgés de 2 ans et plus avec des crises d'apparence partielle associées au TSC. L'utilisation d'un AFINIGR DISPERZ pour cette indication est étayée par des preuves d'un essai randomisé à double aveugle contrôlé par placebo chez des patients adultes et pédiatriques (EXIST-3) avec des données pharmacocinétiques supplémentaires chez les patients pédiatriques [voir Effets indésirables Pharmacologie clinique Études cliniques ]. The safety and effectiveness of Affinateur DISPERZ and Affinateur have not been established fou the adjunctive treatment of pediatric patients less than 2 years of age with TSC-associated partial-onset seizures.
L'incidence des infections et des infections graves a été signalée à une fréquence plus élevée chez les patients <6 years of age compared to patients ≥ 6 years old. Seventy-seven percent of 70 Affinateur DISPERZ-treated patients < 6 years had at least one infection compared to 53% of 177 Affinateur DISPERZ-treated patients ≥ 6 years. Sixteen percent of 70 Affinateur DISPERZ-treated patients < 6 years of age had at least 1 serious infection compared to 4% of 177 Affinateur DISPERZ-treated patients ≥ 6 years of age. Two fatal cases due to infections were repouted in pediatric patients.
Autres indications
La sécurité et l'efficacité de l'administrateur / afinitor disperz chez les patients pédiatriques n'ont pas été établies dans:
- Cancer du sein HER2 négatif pour les récepteurs hormonaux positifs
- Tumeurs neuroendocrines (net)
- Carcinome à cellules rénales (RCC)
- Angiomyolipome rénal associé au TSC
Utilisation gériatrique
Dans le boléro-2, 40% des patientes atteintes d'un cancer du sein traitées par un afinitor avaient ≥ 65 ans, tandis que 15% avaient ≥ 75 ans. Aucune différence globale d'efficacité n'a été observée entre les patients âgés et les patients plus jeunes. L'incidence des décès dus à toute cause dans les 28 jours suivant la dernière dose d'administration était de 6% chez les patients ≥ 65 ans, contre 2% chez les patients <65 years of age. Adverse reactions leading to permanent treatment discontinuation occurred in 33% of patients ≥ 65 years of age compared to 17% in patients < 65 years of age.
Dans le dossier 1, 41% des patients atteints de carcinome à cellules rénaux traités avec un afinitor avaient ≥ 65 ans, tandis que 7% avaient ≥ 75 ans. Dans Radiant-3, 30% des patients atteints de PNET traités par AFINIOR étaient ≥ 65 ans, tandis que 7% avaient ≥ 75 ans. Aucune différence globale de sécurité ou d'efficacité n'a été observée entre les patients âgés et les patients plus jeunes.
Trouble hépatique
Affinateur/Affinateur DISPERZ exposure may increase in patients with hepatic impairment [voir Pharmacologie clinique ].
Pour les patientes atteintes d'un CCC de cancer du sein RCC et de l'angiomyolipome rénal associé au TSC, qui ont une déficience hépatique Posologie et administration ].
For patients with TSC-associated SEGA and TSC-associated partial-onset seizures who have severe hepatic impairment (Child-Pugh class C) reduce the starting dose of AFINITOR/AFINITOR DISPERZ as recommended and adjust the dose based on everolimus trough concentrations [see Posologie et administration ].
Informations sur la surdose pour les autorités
Aucune information fournie
Contre-indications pour les autorités
Affinateur/Affinateur DISPERZ is contraindicated in patients with clinically significant hypersensitivity to everolimus ou to other rapamycin derivatives [voir Avertissements et précautions ].
Pharmacologie clinique fou Afinitou
Mécanisme d'action
L'évérolimus est un inhibiteur de la cible des mammifères de la rapamycine (mTOR) une sérine-thréonine kinase en aval de la voie PI3K / AKT. La voie mTOR est dérégulée dans plusieurs cancers humains et dans le complexe de sclérose tubéreuse (TSC). L'évérolimus se lie à une protéine intracellulaire FKBP-12 résultant en une formation de complexe inhibiteur avec le complexe MTOR 1 (MTORC1) et donc l'inhibition de l'activité de mTOR kinase. L'évérolimus a réduit l'activité de la protéine kinase ribosomale S6 (S6K1) et du facteur d'initiation eucaryote de la protéine de liaison 4E (4E-BP1) effecteurs en aval de mTOR impliqués dans la synthèse des protéines. S6K1 est un substrat de MTORC1 et phosphoryle le domaine d'activation 1 du récepteur des œstrogènes qui entraîne une activation indépendante du ligand du récepteur. En outre, l'évérolimus a inhibé l'expression du facteur inductible par l'hypoxie (par exemple HIF-1) et a réduit l'expression du facteur de croissance endothélial vasculaire (VEGF). Il a été démontré que l'inhibition du mTOR par l'évérolimus réduit l'angiogenèse de la prolifération cellulaire et l'absorption du glucose dans des études in vitro et / ou in vivo.
L'activation constitutive de la voie PI3K / AKT / MTOR peut contribuer à la résistance endocrinienne dans le cancer du sein. Des études in vitro montrent que les cellules cancéreuses du sein des œstrogènes et HER2 sont sensibles aux effets inhibiteurs de l'évérolimus et que le traitement combiné avec l'évérolimus et l'AKT HER2 ou les inhibiteurs de l'aromatase améliorent l'activité anti-tumorale de l'évérolimus de manière synergique.
Deux régulateurs de la signalisation MTORC1 sont les complexes de tubérine-sclérose des oncogènes 1 et 2 (TSC1 TSC2). La perte ou l'inactivation de TSC1 ou TSC2 conduit à l'activation de la signalisation en aval. Dans TSC, un trouble génétique inactivant les mutations dans le gène TSC1 ou TSC2 conduit à la formation de hamartome dans tout le corps ainsi que des crises et de l'épileptogenèse. La suractivation du mTOR entraîne une dysplasie neuronale axonogenèse aberrante et la formation de dendrite a augmenté les courants synaptiques excitatrices a réduit la myélinisation et la perturbation de la structure laminaire corticale provoquant des anomalies dans le développement et la fonction neuronaux. Le traitement avec un inhibiteur de mTOR dans les modèles animaux de dérégulation mTOR dans le cerveau a entraîné la prévention de la suppression des crises du développement des crises de nouvel apparition et la prévention de la mort prématurée.
Pharmacodynamique
Relation exposition-réponse
Chez les patients atteints d'astrocytome cellulaire géant sous-en symbolique sous-symbal associé au TSC (SEGA), l'amplitude de la réduction du volume de SEGA était corrélée avec la concentration de catification everolimus.
Chez les patients atteints de crises à apparition partielle associées au TSC, l'ampleur de la réduction de la fréquence des crises absolues a été corrélée avec la concentration du creux de l'évérolimus.
Électrophysiologie cardiaque
Dans une étude croisée randomisée contrôlée par placebo, 59 sujets sains ont été administrés une seule dose orale d'administrateur (20 mg et 50 mg) et un placebo. L'administrateur à des doses uniques allant jusqu'à 50 mg n'a pas prolongé l'intervalle QT / QTC.
Pharmacocinétique
Absorption
Après l'administration d'administration chez les patients atteints de tumeurs solides avancées, les concentrations de pics d'évérolimus sont atteintes de 1 à 2 heures après l'administration de doses orales allant de 5 mg à 70 mg. Après les doses uniques, CMAX est proportionnelle à la dose avec une dosage quotidienne entre 5 mg et 10 mg. Avec des doses uniques de 20 mg et une augmentation de CMAX est inférieure à la dose-proportionnelle; Cependant, l'ASC montre la dose-proportionnalité sur la plage de dose de 5 mg à 70 mg. L'état d'équilibre a été réalisé dans les 2 semaines suivant une dose une fois par jour.
Chez les patients atteints de SEGA Everolimus associée à TSC, CMIN était approximativement proportionnel à la dose de 1,35 mg / m² à 14,4 mg / m².
Effet de la nourriture
Chez des sujets sains, un repas riche en graisses (contenant environ 1000 calories et 55 grammes de graisse) a réduit l'exposition systémique à l'administrateur 10 mg (mesuré par l'AUC) de 22% et la concentration sanguine maximale CMAX de 54%. Les repas légers (contenant environ 500 calories et 20 grammes de graisse) ont réduit l'AUC de 32% et CMAX de 42%.
Chez des sujets sains qui ont reçu 9 mg de repas riches en graisses Disperz (contenant environ 1000 calories et 55 grammes de graisse) ont réduit l'AUC de l'évérolimus de 12% et CMAX de 60% et des repas faibles en gras (contenant environ 500 calories et 20 grammes de graisse) ont réduit l'Everolimus UC par 30% et CMAX par 50%.
Biodisponibilité relative
L'aucinf d'Everolimus était équivalent entre Affinitor Disperz et Affinitor; Le CMAX de l'évérolimus sous la forme posologique Disperz AFINIGR était de 20% à 36% inférieur à celui de l'administrateur. Les concentrations de creux prévues à l'état d'équilibre étaient similaires après l'administration quotidienne.
Distribution
Le rapport sanguin / plasmatique d'évérolimus qui dépend de la concentration sur la plage de 5 à 5000 ng / ml est de 17% à 73%. La quantité d'évérolimus confinée au plasma est d'environ 20% aux concentrations sanguines observées chez les patients cancéreux compte tenu de l'administrateur 10 mg par voie orale une fois par jour. La liaison aux protéines plasmatiques est d'environ 74% chez les sujets sains et chez les patients présentant une déficience hépatique modérée.
Élimination
La demi-vie moyenne d'élimination de l'évérolimus est d'environ 30 heures.
Métabolisme
Everolimus est un substrat de CYP3A4. Après l'administration orale, l'évérolimus est le principal composant circulant du sang humain. Six métabolites principaux de l'évérolimus ont été détectés dans le sang humain, y compris trois métabolites monohydroxylés deux produits hydrolytiques ouverts à l'anneau et un conjugué phosphatidylcholine de l'évérolimus. Ces métabolites ont également été identifiés dans les espèces animales utilisées dans les études de toxicité et ont montré environ 100 fois-temps d'activité que l'évérolimus lui-même.
Excrétion
Aucune étude d'élimination spécifique n'a été entreprise chez les patients cancéreux. Après l'administration d'une dose unique de 3 mg d'évérolimus radiomarqué chez des patients qui recevaient de la cyclosporine, 80% de la radioactivité a été récupérée des excréments tandis que 5% ont été excrétés dans l'urine. La substance mère n'a pas été détectée dans l'urine ou les excréments.
Populations spécifiques
Aucune relation n'était apparente entre la clairance orale et l'âge ou le sexe chez les patients atteints de cancer.
Patients souffrant de troubles rénaux
Aucune influence significative de la clairance de la créatinine (25 à 178 ml / min) n'a été détectée sur la clairance orale (Cl / F) de l'évérolimus.
Patients souffrant de déficience hépatique
Compared to normal subjects there was a 1.8-fold 3.2-fold and 3.6-fold increase in AUC for subjects with mild (Child-Pugh class A) moderate (Child-Pugh class B) and severe (Child-Pugh class C) hepatic impairment respectively. In another study the average AUC of everolimus in subjects with moderate hepatic impairment (Child-Pugh class B) was twice that found in subjects with normal hepatic function [see Posologie et administration Utiliser dans des populations spécifiques ].
Patients pédiatriques
Chez les patients atteints de SEGA associée au TSC ou des crises à apparition partielle associées aux TSC, les valeurs CMIN moyennes normalisées à la dose Mg / m² chez les patients pédiatriques ( <18 years of age) were lower than those observed in adults suggesting that everolimus clearance adjusted to BSA was higher in pediatric patients as compared to adults.
Race ou ethnique
Sur la base d'une comparaison de l'étude croisée, les patients japonais avaient sur des expositions moyennes plus élevées que les patients non japonais recevant la même dose. La clairance orale (Cl / F) est en moyenne 20% plus élevée chez les patients noirs que chez les patients blancs.
Études d'interaction médicamenteuse
Effet des inhibiteurs du CYP3A4 et de la glycoprotéine P (P-gp) sur l'évérolimus:
L'exposition à l'évérolimus a augmenté lorsque l'administrateur a été co-administré avec:
- Le kétoconazole (un p-gp et un fort inhibiteur du CYP3A4) -CMAX et AUC ont augmenté respectivement de 3,9 et 15 fois.
- L'érythromycine (un p-gp et un inhibiteur modéré du CYP3A4) -CMAX et l'AUC ont augmenté respectivement de 2 et 4,4 fois.
- Verapamil (une P-gp et un inhibiteur modéré du CYP3A4) -CMAX et AUC ont augmenté respectivement de 2,3 et 3,5 fois.
Effet des inducteurs CYP3A4 et P-GP sur l'évérolimus
La co-administration d'administrateur avec le rifampin A P-gp et le fort inducteur du CYP3A4 ont diminué l'ASC d'évérolimus de 63% et CMAX de 58% par rapport à l'administrateur seul [voir seul Posologie et administration ].
Effet de l'évérolimus sur les substrats du CYP3A4
Aucune interaction pharmacocinétique cliniquement significative n'a été observée entre les inhibiteurs de l'offinage et le HMG-CoA réductase atorvastatine (un substrat CYP3A4) pravastatine (un substrat non CYP3A4) et la simvastatine (substrat CYP3A4).
La co-administration d'une dose orale de midazolam (substrat sensible du CYP3A4) avec un afinitor a entraîné une augmentation de 25% du Midazolam CMAX et une augmentation de 30% du Midazolam AuC0-Inf.
La co-administration de l'affinage avec un exemplaire a augmenté le CMIN d'exémestane de 45% et C2H de 64%; Cependant, les niveaux d'estradiol correspondants à l'état stationnaire (4 semaines) n'étaient pas différents entre les 2 bras de traitement. Aucune augmentation des effets indésirables liés à l'exémestane n'a été observée chez les patientes atteintes d'un cancer du sein avancé HER2 négatif pour les récepteurs hormonaux.
La co-administration de l'affinage avec l'octréotide à action prolongée a augmenté le CMIN d'octréotide d'environ 50%.
Effet de l'évérolimus sur les médicaments antiépileptiques (AED)
L'évérolimus a augmenté les concentrations de prédose de la carbamazépine Clobazam oxcarbazépine et le métabolite du N-déméthylclobazam du N-Desméthylclobazam. L'évérolimus n'a eu aucun impact sur les concentrations de pré-dose de DEA qui sont des substrats du CYP3A4 (par exemple le clonazépam et le zonisamide) ou d'autres DAE, y compris le phénobarbital et la phénytoïne de l'acide valproïque.
Toxicologie et / ou pharmacologie animale
Dans les études de toxicité des rats juvéniles, la réalisation de points de repère liés à la dose de repères de développement, y compris un développement reproducteur retardé retardé chez les hommes et les femmes, et un temps de latence accru pendant les phases d'apprentissage et de mémoire ont été observés à des doses aussi faibles que 0,15 mg / kg / jour.
Études cliniques
Cancer du sein HER2 négatif pour les récepteurs hormonaux positifs
Une étude multicentrique en double aveugle randomisée (bolero-2 NCT00863655) de l'administrateur en combinaison avec l'exemple et le placebo en combinaison avec l'exémestane a été réalisée chez 724 femmes ménopausées avec un cancer du sein avancé Her2-négatif pour les récepteurs d'œstrogènes avec un létrozole ou un anastrozole. La randomisation a été stratifiée par une sensibilité documentée à l'hormonothérapie antérieure (oui vs non) et par la présence de métastases viscérales (oui vs non). La sensibilité à l'hormonothérapie antérieure a été définie comme (1) un avantage clinique documenté (réponse complète [CR] Réponse partielle [PR] maladie stable ≥ 24 semaines) à au moins une thérapie hormonale antérieure dans le cadre avancé ou (2) au moins 24 mois de thérapie hormonale adjuvante avant la récidive. Les patients ont été autorisés à avoir reçu 0-1 lignes de chimiothérapie antérieures pour les maladies avancées. La principale mesure des résultats de l'efficacité était la survie sans progression (PFS) évaluée par RECIST (critères d'évaluation de la réponse dans les tumeurs solides) sur la base de l'évaluation de l'investigateur (radiologie locale). D'autres mesures de résultats comprenaient la survie globale (OS) et le taux de réponse objectif (ORR).
Les patients ont été randomisés 2: 1 à l'administrateur 10 mg par voie orale une fois par jour en combinaison avec l'exémestane 25 mg une fois par jour (n = 485) ou au placebo en combinaison avec de l'exémestane 25 mg par voie orale une fois par jour (n = 239). Les deux groupes de traitement étaient généralement équilibrés en ce qui concerne la démographie de base et les caractéristiques de la maladie. Les patients n'étaient pas autorisés à passer à l'administrateur au moment de la progression de la maladie.
L'essai a démontré une amélioration statistiquement significative de la PFS par évaluation de l'investigateur (tableau 20 et figure 1). Les résultats de l'analyse PFS basés sur l'évaluation radiologique centrale indépendante étaient cohérents avec l'évaluation de l'investigateur. Les résultats de la SSP étaient également cohérents dans les sous-groupes de la présence de race d'âge et l'étendue des métastases viscérales et la sensibilité à l'hormonothérapie antérieure.
L'ORR était plus élevé dans l'affinage en combinaison avec un bras exempté par rapport au placebo en combinaison avec un bras d'exémestane (tableau 20). Il y avait 3 réponses complètes (NULL,6%) et 58 réponses partielles (12%) dans le bras d'afiteur. Il n'y a pas eu de réponses complètes et 4 réponses partielles (NULL,7%) dans le placebo en combinaison avec un bras d'exémestan.
Après un suivi médian de 39,3 mois, il n'y avait pas de différence statistiquement significative dans l'OS entre l'affinage en combinaison avec un bras d'exémestane et le placebo en combinaison avec un bras d'exémestane [HR 0,89 (IC à 95%: 0,73 1,10)].
Tableau 20: L'efficacité se traduit par un cancer du sein HER-2 négatif her-2 hormone-récepteur dans le boléro-2
| Analyse | Affinateur with Exemestane N = 485 | Placebo avec exemplaire N = 239 | Rapport de risque | valeur p |
| Survie sans progression médiane (mois à 95%) | ||||
| Revue radiologique de l'investigateur | 7.8 (6.9 8.5) | 3.2 (2.8 4.1) | 0.45 a (NULL,38 0,54) | <0.0001 b |
| Revue radiologique indépendante | 110 (9.7 15.0) | 4.1 (NULL,9 5.6) | 0.38 a (NULL,3 0,5) | <0.0001 b |
| Meilleure réponse globale (% 95% IC) | ||||
| Taux de réponse objectif (ORR) c | 12,6% (9.8 15.9) | 1,7% (NULL,5 4,2) | n / A d | |
| a Le ratio de risque est obtenu à partir du modèle à dopage proportionnel Cox stratifié par sensibilité à l'hormonothérapie antérieure et à la présence de métastases viscérales. b valeur p is obtained from the one-sided log-rank test stratified by sensitivity to priou houmonal therapy and presence of visceral metastasis. c Taux de réponse objectif = proportion de patients atteints de CR ou PR. d Non applicable. |
Figure 1: Courbes de Kaplan-Meier pour la survie sans progression par l'investigateur Revue radiologique dans l'hormone »
|
Tumeurs neuroendocrines (net)
Tumeurs neuroendocrines pancréatiques (PNET)
Un essai multicentrique en double aveugle randomisé (radiant-3 NCT00510068) de l'administrateur en combinaison avec les meilleurs soins de soutien (BSC) par rapport au placebo en combinaison avec BSC a été réalisé chez des patients atteints de PNET avancé et métastatique localement avancé ou métastatique et de progression de la maladie au cours des 12 mois précédents. Les patients ont été stratifiés par une chimiothérapie cytotoxique antérieure (oui vs non) et un statut de performance de l'OMS (0 contre 1 et 2). Le traitement avec des analogues de la somatostatine a été autorisé dans le cadre du BSC. Le principal résultat de l'efficacité était la PFS évaluée par RECIST. Après une progression radiologique documentée, les patients randomisés vers le placebo pouvaient recevoir un afiniteur ouvert. Les autres mesures des résultats comprenaient la durée de la réponse ORR et la SG.
Les patients ont été randomisés 1: 1 pour recevoir soit un afinitor 10 mg une fois par jour (n = 207) ou un placebo (n = 203). Les données démographiques étaient bien équilibrées (âge médian 58 ans 55% mâle 79% blanc). Sur les 203 patients randomisés auprès de BSC 172 patients (85%) ont reçu un afinitor après une progression radiologique documentée.
L'essai a démontré une amélioration statistiquement significative de la SSP (tableau 21 et figure 2). L'amélioration de la PFS a été observée dans tous les sous-groupes de patients, quelle que soit l'utilisation analogique analogique de la somatostatine. Les résultats de la PFS par revue radiologique de l'investigateur revoient central et revue radiologique jugée sont présentés ci-dessous dans le tableau 21.
Tableau 21: La survie sans progression se traduit dans PNET dans Radiant-3
| Analyse | N 410 | Affinateur N = 207 | Placebo N = 203 | Rapport de risque (95% là-bas) | valeur p |
| Survie sans progression médiane (mois) (IC à 95%) | |||||
| Revue radiologique de l'investigateur | 11.0 (8.4 13.9) | 4.6 (3.1 5.4) | 0.35 (NULL,27 0,45) | <0.001 | |
| Revue radiologique centrale | 13.7 (11.2 18.8) | 5.7 (5.4 8.3) | 0.38 (NULL,28 0,51) | <0.001 | |
| Revue radiologique jugée a | 11.4 (10.8 14.8) | 5.4 (4.3 5.6) | 0.34 (NULL,26 0,44) | <0.001 | |
| a Comprend l'arbitrage des évaluations divergentes entre la revue radiologique de l'investigateur et la revue radiologique centrale. |
Figure 2: Courbes Kaplan-Meier pour la survie sans progression par l'investigateur Revue radiologique dans PNET dans â
|
Le taux de réponse déterminée par les chercheurs était de 4,8% dans le bras d'ajusteur et il n'y a pas eu de réponses complètes. La survie globale (OS) n'était pas statistiquement significativement différente entre les bras [HR = 0,94 (IC à 95% 0,73 1,20); p = 0,30].
Net d'origine gastro-intestinale (GI) ou pulmonaire
Une étude multicentrique en double aveugle randomisée (radiant-4 NCT01524783) de l'affinage en combinaison avec BSC par rapport au placebo en combinaison avec BSC a été réalisée chez des patients présentant un filet non fonctionnel localement avancé ou métastatique non résécable de GI (hors d'origine pancréatique) ou pulmonaire. L'étude a nécessité que les patients n'avaient pas des antécédents bien différenciés (faibles ou intermédiaires) sans antécédents antérieurs ou actuels de symptômes carcinoïdes et de preuves de progression de la maladie dans les 6 mois précédant la randomisation. Les patients ont été randomisés 2: 1 pour recevoir un afinitor 10 mg une fois par jour ou un placebo et stratifié par utilisation analogique analogique de la somatostatine (oui vs non) l'origine tumorale et le statut de performance de l'OMS (0 contre 1). La principale mesure des résultats de l'efficacité était la PFS basée sur une évaluation radiologique indépendante évaluée par RECIST. Les mesures supplémentaires des résultats de l'efficacité étaient le système d'exploitation et l'ORR.
Au total, 302 patients ont été randomisés 205 pour le bras d'administration et 97 au bras placebo. L'âge médian était de 63 ans (22 à 86 ans); 47% étaient des hommes; 76% étaient blancs; 74% avaient un statut de performance de l'OMS de 0 et 26% avaient un statut de performance de l'OMS de 1. Les sites primaires les plus courants de tumeur étaient l'iléon pulmonaire (30%) (24%) et le rectum (13%).
L'étude a démontré une amélioration statistiquement significative de la PFS par revue radiologique indépendante (tableau 22 et figure 3). L'analyse finale du système d'exploitation n'a pas montré de différence statistiquement significative entre les patients qui ont reçu un afiniteur ou un placebo (HR = 0,90 [IC à 95%: 0,66 1,24]).
Tableau 22: Survie sans progression dans les tumeurs neuroendocrines d'origine gastro-intestinale ou pulmonaire en radiant-4
| Affinateur N = 205 | Placebo N = 97 | |
| Survie sans progression | ||
| Nombre d'événements | 113 (55%) | 65 (67%) |
| Maladie progressive | 104 (51%) | 60 (62%) |
| La mort | 9 (4%) | 5 (5%) |
| PFS médiane en mois (IC à 95%) | 11.0 (9.2 13.3) | 3,9 (NULL,6 7,4) |
| Rapport de risque (95% là-bas) a | 0,48 (NULL,35 0,67) | |
| valeur p b | <0.001 | |
| Taux de réponse global | 2% | 1% |
| a Le rapport de risque est obtenu à partir du modèle COX stratifié. b valeur p is obtained from the stratified log-rank test. |
Figure 3: Courbes de Kaplan-Meier pour la survie sans progression dans le filet d'origine gastro-gorge ou pulmonaire en radiant-4
|
Manque d'efficacité dans les tumeurs carcinoïdes fonctionnelles avancées localement avancées ou métastatiques
L'innocuité et l'efficacité de l'affinage chez les patients atteints de tumeurs carcinoïdes fonctionnelles avancées localement ou métastatiques n'ont pas été démontrées. Dans un essai multicentrique en double aveugle randomisé (1: 1) (radiant-2 NCT00412061) chez 429 patients atteints de tumeurs carcinoïdes afinitor en combinaison avec de l'octréotide à action prolongée (Sandostatine LAR®) a été comparé au placebo en combinaison avec un octréotide à action longue. Après une progression radiologique documentée, les patients sur le bras placebo pouvaient recevoir un afiniteur; Parmi ceux randomisés pour un placebo, 67% ont reçu un afin de babel-sabon en combinaison avec un octréotide à longue durée d'action. L'étude n'a pas répondu à sa principale mesure des résultats de l'efficacité d'une amélioration statistiquement significative de la PFS et l'analyse finale de l'OS a favorisé le placebo en combinaison avec un bras d'octréotide à action prolongée.
Carcinome à cellules rénales (RCC)
Un essai international multicentrique randomisé en double aveugle (enregistrement 1 NCT00410124) comparant l'administrateur 10 mg une fois par jour et placebo, à la fois en conjonction avec BSC, a été réalisé chez des patients atteints de RCC métastatique dont la maladie avait progressé malgré un traitement antérieur avec le sunitinib sorafenib ou les deux séquentiellement. Une thérapie antérieure avec l'interleukine 2 de Bevacizumab 2 ou l'interféron-α a également été autorisée. La randomisation a été stratifiée selon le score pronostique et la thérapie anticancéreuse antérieure. La principale mesure des résultats de l'efficacité de l'essai a été la PFS évaluée par RECIST sur la base d'une revue radiologique centrale indépendante en aveugle. Après une progression radiologique documentée, les patients randomisés vers le placebo pouvaient recevoir un afiniteur ouvert. Les autres mesures des résultats comprenaient le système d'exploitation.
Au total, 416 patients ont été randomisés 2: 1 pour recevoir un afiniteur (n = 277) ou un placebo (n = 139). Les données démographiques étaient bien équilibrées entre les bras (61 ans médian; 77% de mâles 88% blanc 74% ont reçu du sunitinib ou du sorafenib antérieur et 26% ont reçu les deux séquentiellement).
Affinateur was superiou to placebo fou PFS (Table 23 and Figure 4). The treatment effect was similar across prognostic scoues and priou souafenib and/ou sunitinib. Final OS results yield a hazard ratio of 0.90 (95% là-bas: 0.71 1.14) with no statistically significant difference between the arms. Planned cross-over from placebo due to disease progression to open-label Affinateur occurred in 80% of the 139 patients and may have confounded the OS benefit.
Tableau 23: Survie sans progression et taux de réponse objective par revue radiologique centrale dans le RCC dans le record-1
| Affinateur N = 277 | Placebo N = 139 | Rapport de risque (95% là-bas) | valeur p a | |
| Survie sans progression médiane (IC à 95%) | 4,9 mois (NULL,0 5,5) | 1,9 mois (NULL,8 1,9) | 0.33 (NULL,25 0,43) | <0.0001 |
| Taux de réponse objectif | 2% | 0% | n / A b | n / A b |
| a Test de log-rank stratifié par score pronostique. BNOT applicable. |
Figure 4: Courbes Kaplan-Meier pour la survie sans progression dans RCC dans le record-1
|
Angiomyolipome rénal associé à la sclérose tubéreuse (TSC)
Un essai randomisé (2: 1) en double aveugle contrôlé par un placebo (EXIST-2 NCT00790400) de l'affinage a été mené chez 118 patients atteints d'angiomyolipome rénal comme caractéristique du TSC (n = 113) ou de la lymphangioléiomyomatose sporadique (n = 5). Les principales conditions d'éligibilité pour cet essai étaient au moins un angiomyolipome ≥ 3 cm de diamètre le plus long sur CT / IRM sur la base de l'évaluation de la radiologie locale, aucune indication immédiate pour la chirurgie et l'âge ≥ 18 ans. Les patients ont reçu un afiniteur 10 mg ou un placebo correspondant par voie orale une fois par jour jusqu'à la progression de la maladie ou une toxicité inacceptable. Les scanneurs CT ou IRM pour l'évaluation de la maladie ont été obtenues au départ 12 24 et 48 semaines et annuellement par la suite. L'évaluation clinique et photographique des lésions cutanées a été effectuée au départ et toutes les 12 semaines par la suite jusqu'à l'arrêt du traitement. La principale mesure des résultats de l'efficacité était le taux de réponse à l'angiomyolipome basé sur une revue indépendante de la radiologie centrale qui a été définie comme une réduction ≥ 50% du volume d'angiomyolipome absence de nouvelles lésions angiomyolipoma Taux de réponse des lésions cutanées. Les principales analyses des mesures des résultats de l'efficacité ont été limitées à la période de traitement en aveugle et effectuées 6 mois après le dernier patient randomisé. L'analyse comparative du taux de réponse à l'angiomyolipome a été stratifiée par l'utilisation de médicaments antiépileptiques induisant les enzymes (EIAED) à la randomisation (oui vs non).
Sur les 118 patients inscrits, 79 ont été randomisés pour les afiniteurs et 39 au placebo. L'âge médian était de 31 ans (18 à 61 ans) 34% étaient des hommes et 89% étaient blancs. Au départ, 17% des patients recevaient des EIAED. Sur la revue de la radiologie centrale, au départ, 92% des patients avaient au moins 1 angiomyolipome ≥ 3 cm de diamètre le plus long, 29% avaient des angiomyolipomes ≥ 8 cm 78% avaient des angiomyolipomes bilatéraux et 97% avaient des lésions cutanées. Les valeurs médianes pour la somme de toutes les lésions d'angiomyolipome rénales cibles à la ligne de base étaient de 85 cm³ (9 à 1612 cm³) et 120 cm³ (3 à 4520 cm³) dans l'affinage et les bras placebo respectivement. Quarante-six (39%) patients ont eu une embolisation rénale préalable ou une néphrectomie. La durée médiane du suivi était de 8,3 mois (NULL,7 à 24,8 mois) au moment de l'analyse primaire.
Le taux de réponse rénal de l'angiomyolipome était statistiquement significativement plus élevé chez les patients traités par les afiniteurs (tableau 24). La durée médiane de la réponse était de 5,3 mois (NULL,3 à 19,6 mois).
Il y avait 3 patients dans le bras d'administration et 8 patients dans le bras placebo avec une progression de l'angiomyolipome documentée par revue radiologique centrale (définie comme une augmentation ≥ 25% de NaDir dans la somme de l'angiomyolipome cible les volumes une valeur supérieure à la ligne de base ou de grade ≥ 2 saignements liés à l'angiomyolipome). Le temps vers la progression de l'angiomyolipome était statistiquement significativement plus long dans le bras d'afiteur (HR 0,08 [IC à 95%: 0,02 0,37]; P <0.0001).
Tableau 24: Taux de réponse de l'angiomyolipome dans l'angiomyolipome rénal associé au TSC dans l'existence-2
| Affinateur N = 79 | Placebo N = 39 | valeur p | |
| Analyse principale | |||
| Taux de réponse de l'angiomyolipome a - (%) 95% là-bas | 41.8 (NULL,8 53,4) | 0 (NULL,0 9,0) | <0.0001 |
| a Selon la revue indépendante de la radiologie centrale. |
Les taux de réponse à la lésion cutanée ont été évalués par des enquêteurs locaux pour 77 patients dans le bras d'administration et 37 patients du bras placebo qui ont présenté des lésions cutanées à l'entrée de l'étude. Le taux de réponse de la lésion cutanée était statistiquement significativement plus élevé dans le bras d'administration (26% contre 0 p = 0,0011); Toutes les réponses des lésions cutanées étaient des réponses partielles définies comme une amélioration visuelle de 50% à 99% de toutes les lésions cutanées durables pendant au moins 8 semaines (évaluation globale du médecin de l'état clinique).
Les patients randomisés dans le placebo ont été autorisés à recevoir un afinitor au moment de la progression de l'angiomyolipome ou après l'heure de l'analyse primaire. Après l'analyse primaire, les patients traités par un afinnant ont subi des scanneurs de CT ou d'IRM de suivi supplémentaires pour évaluer l'état tumoral jusqu'à l'arrêt du traitement ou l'achèvement de 4 ans de suivi après que le dernier patient a été randomisé. Un total de 112 patients (79 randomisés pour les afiniteurs et 33 randomisés pour le placebo) ont reçu au moins une dose d'administrateur. La durée médiane du traitement des affits était de 3,9 ans (NULL,5 mois à 5,3 ans) et la durée médiane du suivi était de 3,9 ans (NULL,9 mois à 5,4 ans). Au cours de la période de suivi après l'analyse primaire, 32 patients (en plus des 33 patients identifiés au moment de l'analyse primaire) ont eu une réponse d'angiomyolipome basée sur une revue indépendante de la radiologie centrale. Parmi les 65 répondants sur 112 patients, le délai médian de la réponse à l'angiomyolipome était de 2,9 mois (NULL,6 à 33,8 mois). Quatorze pour cent des 112 patients traités par un afinitor avaient une progression de l'angiomyolipome à la fin de la période de suivi. Aucun patient n'a subi de néphrectomie pour la progression de l'angiomyolipome et un patient a subi une embolisation rénale alors qu'elle était traitée avec un afiniteur.
Astrocytome cellulaire géant sous-enlemal associé à la sclérose tubéreuse (TSC) (SEGA)
Exister
Un essai contrôlé par placebo randomisé (2: 1) en double aveugle (EXIST-1 NCT00789828) de l'administrateur a été mené chez 117 patients pédiatriques et adultes atteints de SEGA et TSC. Les patients éligibles avaient au moins une lésion SEGA ≥ 1 cm de diamètre le plus long sur l'IRM sur la base de l'évaluation de la radiologie locale et un ou plusieurs des éléments suivants: Preuve radiologique en série de la croissance de SEGA Une nouvelle lésion Sega ≥ 1 cm de diamètre le plus long ou la nouvelle ou d'aggraver l'hydrocephale. Les patients randomisés pour le bras de traitement ont reçu un afiniteur à une dose de départ de 4,5 mg / m² par jour avec des ajustements de dose ultérieurs au besoin pour atteindre et maintenir des concentrations de creux d'évérolimus de 5 à 15 ng / ml telles que tolérées. AFINITEUR ou PLATERBO MACPORT SUR LE PRODUCTION DE LA MALADIE OU TOXICITÉ ACCESSIONNE. Des analyses d'IRM pour l'évaluation de la maladie ont été obtenues au départ 12 24 et 48 semaines et annuellement par la suite.
La principale mesure des résultats de l'efficacité était le taux de réponse SEGA basé sur une revue indépendante de la radiologie centrale. La réponse SEGA a été définie comme une réduction ≥ 50% de la somme du volume SEGA par rapport à la ligne de base en l'absence d'une aggravation sans équivoque des lésions SEGA non cibles une nouvelle lésion Sega ≥ 1 cm et une aggravation de l'hydrocéphale. L'analyse principale du taux de réponse SEGA a été limitée à la période de traitement en aveugle et réalisée 6 mois après le dernier patient randomisé. L'analyse du taux de réponse SEGA a été stratifiée par l'utilisation de médicaments antiépileptiques induisant les enzymes (EIAED) à la randomisation (oui vs non).
Sur les 117 patients inscrits, 78 ont été randomisés pour les afiniteurs et 39 au placebo. L'âge médian était de 9,5 ans (NULL,8 à 26 ans); Au total, 20 patients étaient <3 years 54 patients were 3 to < 12 years 27 patients were 12 to < 18 years and 16 patients were ≥ 18 years; 57% were male and 93% were white. At baseline 18% of patients were receiving EIAEDs. Based on central radiology review at baseline 98% of patients had at least one SEGA lesion ≥ 1.0 cm in longest diameter 79% had bilateral SEGAs 43% had ≥ 2 target SEGA lesions 26% had growth in ou into the inferiou surface of the ventricle 9% had evidence of growth beyond the subependymal tissue adjacent to the ventricle and 7% had radiographic evidence of hydrocephalus. The median values fou the sum of all target SEGA lesions at baseline were 1.63 cm³ (0.18 to 25.15 cm³) and 1.30 cm³ (0.32 to 9.75 cm³) in the Affinateur and placebo arms respectively. Eight (7%) patients had priou SEGA-related surgery. The median duration of follow-up was 8.4 months (4.6 to 17.2 months) at the time of primary analysis.
Le taux de réponse SEGA était statistiquement significativement plus élevé chez les patients traités par les afiniteurs (tableau 25). Au moment de l'analyse primaire, toutes les réponses SEGA étaient en cours et la durée médiane de la réponse était de 5,3 mois (NULL,1 à 8,4 mois).
Avec un suivi médian de 8,4 mois, la progression de la SEGA a été détectée chez 15,4% des 39 patients randomisés pour recevoir un placebo et aucun des 78 patients randomisés pour recevoir un afiniteur. Aucun patient dans l'un ou l'autre bras de traitement n'a nécessité une intervention chirurgicale.
Tableau 25: Taux de réponse des astrocytomes cellulaires géants sous-enregistrés dans le SEGA associé au TSC dans l'existence-1
| Affinateur N = 78 | Placebo N = 39 | valeur p | |
| Analyse principale | |||
| Taux de réponse SEGA a - (%) | 35 | 0 | <0.0001 |
| 95% là-bas | 24 46 | 0 9 | |
| a Selon la revue indépendante de la radiologie centrale. |
Les patients randomisés dans le placebo ont été autorisés à recevoir un afinitor au moment de la progression de SEGA ou après l'analyse primaire, la première éventualité s'est produite en premier. Après l'analyse primaire, les patients traités par un afinnant ont subi des examens d'IRM de suivi supplémentaires pour évaluer l'état tumoral jusqu'à l'arrêt du traitement ou l'achèvement de 4 ans de suivi après que le dernier patient a été randomisé. Un total de 111 patients (78 patients randomisés pour les afiniteurs et 33 patients randomisés dans un placebo) ont reçu au moins une dose d'administrateur. La durée médiane du traitement et du suivi des afiniteurs était de 3,9 ans (NULL,2 à 4,9 ans).
Depuis quatre ans après l'inscription du dernier patient, 58% des 111 patients traités par un affinage ont eu une réduction ≥ 50% du volume SEGA par rapport à la ligne de base, y compris 27 patients identifiés au moment de l'analyse primaire et 37 patients avec une réponse SEGA après l'analyse primaire. Le délai médian vers la réponse SEGA était de 5,3 mois (NULL,5 à 33,1 mois). Douze pour cent des 111 patients traités par un afinitor avaient une progression de la maladie documentée à la fin de la période de suivi et aucun patient n'a nécessité une intervention chirurgicale pour SEGA pendant l'étude.
Étude 2485
Étude 2485 (NCT00411619) was an open-label single-arm trial conducted to evaluate the antitumou activity of Affinateur 3 mg/m²/oually once daily in patients with SEGA and TSC. Serial radiological evidence of SEGA growth was required fou entry. Tumou assessments were perfoumed every 6 months fou 60 months after the last patient was enrolled ou disease progression whichever occurred earlier. The majou efficacy outcome measure was the reduction in volume of the largest SEGA lesion with 6 months of treatment as assessed via independent central radiology review. Progression was defined as an increase in volume of the largest SEGA lesion over baseline that was ≥ 25% over the nadir observed on study.
Au total, 28 patients ont reçu un afinitor pour une durée médiane de 5,7 ans (5 mois à 6,9 ans); 82% des 28 patients sont restés sous affiniteur pendant au moins 5 ans. L'âge médian était de 11 ans (3 à 34 ans) 61% de mâles à 86% blancs.
À l'analyse primaire, 32% des 28 patients (IC à 95%: 16% 52%) avaient une réponse objective à 6 mois définie comme une diminution d'au moins 50% du volume de la plus grande lésion SEGA. À la fin de l'étude, la durée médiane de la réponse durable était de 12 mois (3 mois à 6,3 ans).
60 mois après l'inscription du dernier patient, 11% des 28 patients avaient documenté la progression de la maladie. Aucun patient n'a développé une nouvelle lésion SEGA pendant ses activités. Neuf patients supplémentaires ont été identifiés comme ayant une réduction volumétrique ≥ 50% de leur plus grande lésion SEGA entre 1 et 4 ans après avoir lancé un afinitor, y compris 3 patients qui ont eu une résection chirurgicale avec une repousse ultérieure avant de recevoir un afin
Sclérose tubéreuse (TSC) - Séidations à apparition partielle associées
L'efficacité de l'affinage Disperz en tant que médicament anti-épileptique complémentaire (AED) a été évaluée dans une étude contrôlée par placebo multicentrique en double aveugle randomisée menée chez des patients atteints de saisies à apparition partielle associées à TSC (existant-3 NCT01713946). Les patients ayant des antécédents de contrôle inadéquat des crises à apparition partielle malgré le traitement avec ≥ 2 schémas séquentiels AED ont été randomisés pour recevoir un placebo ou un affinage Disperz une fois par jour à une dose pour atteindre un niveau de creux (LT) faible (3-7 ng / ml) ou un niveau élevé (HT) (9-15 ng / ml). La randomisation a été stratifiée par le groupe d'âge (1 à <6 6 to < 12 12 to <18 ≥ 18 years). The study consisted of 3 phases: an 8-week Baseline observation phase; an 18-week double-blind placebo-controlled Coue phase (6-week titration period and a 12-week maintenance period) and an Extension phase of ≥ 48 weeks. Patients were required to have a diagnosis of TSC per the modified Gomez criteria and ≥ 16 partial-onset seizures during the Baseline phase while receiving a stable dose of 1 to 3 concomitant AEDs. The starting doses fou Affinateur DISPERZ in the Coue phase ranged from 3 to 6 mg/m² oually once daily depending on age in patients not receiving concomitant CYP3A4/P-gp inducers and from 5 to 9 mg/m² oually once daily depending on age in patients receiving concomitant CYP3A4/P-gp inducers. During the 6-week titration period everolimus trough levels were assessed every 2 semaines and up to 3 dose adjustments were allowed to attempt to reach the targeted everolimus trough concentration range.
La principale mesure des résultats de l'efficacité était le pourcentage de réduction de la fréquence des crises par rapport à la phase de base pendant la période de maintenance de la phase centrale. Des mesures d'efficacité supplémentaires ont inclus le taux de réponse défini comme une réduction d'au moins 50% de la fréquence des crises par rapport à la phase de base pendant la période de maintenance de la phase centrale et du taux de liberté des crises pendant la période de maintenance de la phase centrale.
Au total, 366 patients ont été randomisés pour AFIMITOR DISPERZ LT (N = 117) AFNINITEUR DISPERZ HT (N = 130) ou placebo (n = 119). L'âge médian était de 10,1 ans (NULL,2 à 56 ans); 28% des patients étaient <6 years 31% were 6 to < 12 years 22% were 12 to < 18 years and 18% were ≥ 18 years). The majouity were white (65%) and male (52%). The most common majou features of TSC were coutical tubers (92%) hypomelanotic macules (84%) and subependymal nodules (83%). While 17% of the patients had SEGA 42% had renal angiomyolipoma and 9% had both SEGA and renal angiomyolipoma; no patients were receiving treatment with Affinateur ou Affinateur DISPERZ fou these manifestations of TSC. During the Baseline phase 65% of patients had complex partial seizures 52% had secondarily generalized seizures 19% had simple partial seizures and 2% had generalized onset seizures. The median seizure frequency per week during the Baseline phase was 9.4 fou all patients and 47% of patients were receiving 3 AEDs during the Baseline phase. The efficacy results are summarized in Table 26.
Tableau 26: Réduction en pourcentage de la fréquence des crises et du taux de réponse dans les crises d'offre partielle associées au TSC dans l'existence-3
| Affinateur DISPERZ | Placebo | ||
| Cible de 3-7 ng / ml N = 117 | Cible de 9-15 ng / ml N = 130 | N = 119 | |
| Saisies par semaine | |||
| 8.6 (1.4 192.9) | 9.5 (NULL,3 218,4) | 10.5 (1.3 231.7) | |
| Médiane à la phase centrale a (Mon max) | 6.8 (NULL,0 193,5) | 4.9 (NULL,0 133,7) | 8.5 (NULL,0 217,7) |
| Pourcentage de réduction de la ligne de base à la phase centrale (Entretien a ) | |||
| Médian | 29.3 | 39.6 | 14.9 |
| 95% là-bas b | 18.8 41.9 | 35.0 48.7 | 0,1 21,7 |
| valeur p c | 0.003 | <0.001 | |
| Taux de réponse | |||
| Les répondeurs N (%) | 28.2 | 40 | 15.1 |
| 95% là-bas d | 20,3 37.3 | 31,5 49.0 | 9.2 22.8 |
| a Si le patient s'est arrêté avant de commencer la période de maintenance, la période de titrage est utilisée. b 95% là-bas of the median based on bootstrap percentiles. c valeur ps were fou superiouity vs. placebo and obtained from rank ANCOVA with Baseline seizure frequency as covariate stratified by age subgroup. d IC exact à 95% obtenu en utilisant la méthode Clopper-Pearson. |
Informations sur les patients
Affinateur®
(a-fin-it-or)
(everolimus) comprimés
Affinateur DISPERZ®
(a-fin-it-ou dis-perz)
(comprimés everolimus pour suspension orale)
Lisez cette brochure d'information sur le patient qui vient avec Disperz Affinitor ou Affinitor avant de commencer à les prendre et à chaque fois que vous obtenez une recharge. Il peut y avoir de nouvelles informations. Ces informations ne prennent pas la place de parler à votre fournisseur de soins de santé de votre état de santé ou de votre traitement.
Quelles sont les informations les plus importantes que je devrais connaître sur les afiniteurs et les afiniteurs Disperz?
Affinateur and Affinateur DISPERZ can cause serious side effects including:
1. Vous pouvez développer des problèmes pulmonaires ou respiratoires. Chez certaines personnes, les problèmes de poumon ou de respiration peuvent être graves et peuvent entraîner la mort. Dites immédiatement votre professionnel de la santé si vous avez l'un de ces symptômes:
- Coux neuve ou aggravée
- Essoufflement
- Douleur thoracique
- Difficulté à respirer ou à une respiration sifflante
2. Vous pourriez être plus susceptible de développer une infection comme la pneumonie ou une infection fongique bactérienne ou virale. Les infections virales peuvent inclure l'hépatite B active chez les personnes qui ont eu l'hépatite B dans le passé (réactivation). Chez certaines personnes (y compris les adultes et les enfants), ces infections peuvent être graves et entraîner la mort. Vous devrez peut-être être traité dès que possible.
Dites immédiatement à votre fournisseur de soins de santé si vous avez une température de 100,5 ° F ou au-dessus des frissons ou si vous ne vous sentez pas bien. Les symptômes de l'hépatite B ou de l'infection peuvent inclure les éléments suivants:
- Fièvre
- Frissons
- Éruption cutanée
- Douleurs et gonflements articulaires
- Fatigue
- Perte d'appétit
- Nausée
- Tabourets pâles ou urine sombre
- Jaunissement de la peau
- Douleur en haut à droite de l'estomac
3. Réactions allergiques graves. Appelez votre fournisseur de soins de santé ou obtenez une aide médicale immédiatement si vous obtenez des signes et des symptômes d'une réaction allergique sévère, notamment: les ruches démangeaisons rincer des difficultés à respirer ou à avaler des douleurs thoraciques ou des étourdissements.
4. Risque accru possible pour un type de réaction allergique appelée œdème de l'angio Chez les personnes qui prennent une médecine inhibiteur de l'enzyme de conversion de l'angiotensine (ACE) pendant le traitement par l'administrateur ou le digital. Parlez avec votre fournisseur de soins de santé avant de prendre DISPERZ AFINITEUR ou AFINIGER si vous ne savez pas si vous prenez un médicament inhibiteur de l'ECA. Obtenez de l'aide médicale immédiatement si vous avez du mal à respirer ou à développer un gonflement de la bouche ou de la gorge de votre langue pendant le traitement avec AFINIGER ou AFIMITOR DISPERZ.
5. Ulcères et plaies de bouche. Mouth ulcers and sores are common during treatment with AFINITOR or AFINITOR DISPERZ but can also be severe. Lorsque vous commencez un traitement avec un afiniteur ou un affinier Disperz, votre fournisseur de soins de santé peut vous dire également de commencer un rince-bouche d'ordonnance pour réduire la probabilité d'obtenir des ulcères ou des plaies de bouche et de réduire leur gravité. Suivez les instructions de votre fournisseur de soins de santé sur la façon d'utiliser ce rince-bouche d'ordonnance. Si vous développez une gêne de douleur ou des plaies ouvertes dans votre bouche, dites à votre fournisseur de soins de santé. Votre fournisseur de soins de santé peut vous dire de redémarrer ce rince-bouche ou d'utiliser un rince-bouche ou un gel à la bouche spécial qui ne contient pas d'iode ou de thym de peroxyde d'alcool.
6. Vous pouvez développer une insuffisance rénale. Chez certaines personnes, cela peut être grave et peut entraîner la mort. Votre fournisseur de soins de santé doit faire des tests pour vérifier votre fonction rénale avant et pendant votre traitement avec AFIMITOR ou AFINIGER DISPERZ.
Si vous avez l'un des effets secondaires graves énumérés ci-dessus, vous devrez peut-être cesser de prendre un afiniteur ou un afiniteur Disperz pendant un certain temps ou utiliser une dose plus faible. Suivez les instructions de votre fournisseur de soins de santé.
Qu'est-ce que l'administrateur?
Affinateur is a prescription medicine used to treat:
- Le cancer du sein HER2 négatif de l'hormone avancée axéitive ainsi que l'exemple de médecine chez les femmes ménopausées qui ont déjà reçu certains autres médicaments pour leur cancer.
- Adultes atteints d'un type de cancer du pancréas appelé tumeur neuroendocrine pancréatique (PNET) qui a progressé et ne peut pas être traité par chirurgie.
- Les adultes atteints d'un type de cancer appelé tumeur neuroendocrine (net) de l'estomac et de l'intestin (gastro-intestinal) ou du poumon qui ont progressé et ne peuvent pas être traités par chirurgie.
Affinateur is not fou use in people with carcinoid tumous that actively produce houmones.
- Les adultes atteints de cancer du rein avancé (carcinome à cellules rénales ou RCC) lorsque certains autres médicaments n'ont pas fonctionné.
- Les personnes présentant les types de tumeurs suivantes qui sont observés avec une condition génétique appelée complexe de sclérose tubéreuse (TSC):
- Les adultes atteints d'une tumeur rénale appelée angiomyolipome lorsque leur tumeur rénale ne nécessite pas de chirurgie immédiatement.
- Adultes et enfants d'un an et plus avec une tumeur cérébrale appelée astrocytome cellulaire géant sous-épendymal (SEGA) lorsque la tumeur ne peut pas être complètement éliminée par chirurgie.
Qu'est-ce que AFINIGR DISPERZ?
Affinateur DISPERZ is a prescription medicine used to treat:
- Adultes et enfants d'un an et plus avec une maladie génétique appelée complexe de sclérose tubéreuse (TSC) qui a une tumeur cérébrale appelée astrocytome cellulaire géant sous-épendymal (SEGA) lorsque la tumeur ne peut pas être complètement éliminée par chirurgie.
- Adultes et enfants de 2 ans et plus avec une maladie génétique appelée complexe de sclérose tubéreuse (TSC) qui ont certains types de crises (épilepsie) comme traitement supplémentaire à d'autres médicaments antiépileptiques.
On ne sait pas si les afiniteurs et les AFIMITOR DISPERZ sont sûrs et efficaces chez les enfants à traiter:
- cancer du sein négatif HER-2 du récepteur hormonal-positif
- Un type de cancer appelé tumeurs neuroendocrines (net)
- cancer du rein (carcinome à cellules rénales)
- Une tumeur rénale appelée angiomyolipome qui peut se produire chez les enfants atteints d'une maladie génétique appelée complexe de sclérose tubéreuse (TSC).
Ne prenez pas Disperz Afinor Si vous avez eu une réaction allergique sévère à l'évérolimus. Parlez à votre fournisseur de soins de santé avant de prendre ce médicament si vous êtes allergique à:
- un médicament qui contient sirolimus
- un médicament qui contient du temsirolimus
Demandez à votre fournisseur de soins de santé si vous ne le savez pas.
Avant de prendre Afinitor ou Affinitor Disperz, informez votre fournisseur de soins de santé de toutes vos conditions médicales, y compris si vous:
- Ont ou ont eu des problèmes rénaux
- Ont ou ont eu des problèmes de foie
- Avoir un diabète ou une glycémie élevée
- Ont un taux de cholestérol sanguin élevé
- Avoir des infections
- Auparavant, l'hépatite B
- Sont prévus pour recevoir des vaccinations. Vous ne devriez pas recevoir de vaccin en direct ou être avec des personnes qui ont récemment reçu un vaccin en direct pendant votre traitement chez AFINIGER ou AFINIGER DISPERZ. Si vous n'êtes pas sûr du type de vaccination ou de vaccin, demandez à votre fournisseur de soins de santé. Pour les enfants atteints de TSC et de SEGA ou certains types de crises, travaillez avec votre fournisseur de soins de santé pour compléter la série de vaccins recommandés par l'enfance avant que votre enfant ne commence un traitement par AFINIGER ou AFINIGER DISPERZ.
- Sont enceintes peuvent devenir enceintes ou avoir un partenaire qui peut devenir enceinte. Affinitor ou Affinitor Disperz peut nuire à votre bébé à naître.
Femelles who are able to become pregnant:
-
- Votre fournisseur de soins de santé vous donnera un test de grossesse avant de commencer le traitement avec AFINIGER ou AFIMITOR DISPERZ.
- Vous devez utiliser un contrôle des naissances efficace pendant le traitement et pendant 8 semaines après votre dernière dose d'administration ou d'administrateur.
Hommes Avec une partenaire féminine, vous devez utiliser un contrôle des naissances efficace pendant le traitement et pendant 4 semaines après votre dernière dose d'administrateur ou d'administrateur. Parlez à votre fournisseur de soins de santé des méthodes de contraception qui peuvent vous convenir pendant cette période. Si vous tombez enceinte ou que vous pensez que vous êtes enceinte, dites immédiatement votre fournisseur de soins de santé.
- Allaitent ou prévoient d'allaiter. On ne sait pas si l'administrateur ou les affinitor Disperz passe dans votre lait maternel. Ne pas allaiter pendant le traitement et pendant 2 semaines après votre dernière dose d'administration ou d'administrateur.
- Envisagent de subir une intervention chirurgicale ou si vous avez subi une intervention chirurgicale récente. Vous devez cesser de prendre Disperz Afinor ou Affinitor au moins 1 semaine avant la chirurgie planifiée. Voir Quels sont les effets secondaires possibles de l'administrateur et de l'administrateur Disperz?
- Ont reçu une radiothérapie ou prévoient de recevoir une radiothérapie à l'avenir. Voir Quels sont les effets secondaires possibles de l'administrateur et de l'administrateur Disperz?
Parlez à votre fournisseur de soins de santé de tous les médicaments que vous prenez y compris les médicaments sur ordonnance et en vente libre des vitamines et des suppléments à base de plantes.
Combien de temps dure Alza 54
Affinateur ou Affinateur DISPERZ may affect the way other medicines wouk and other medicines can affect how Affinateur ou Affinateur DISPERZ wouk. Taking Affinateur ou Affinateur DISPERZ with other medicines can cause serious side effects.
Connaissez les médicaments que vous prenez. Gardez une liste d'entre eux et montrez-le à votre fournisseur de soins de santé et à votre pharmacien lorsque vous obtenez un nouveau médicament. Parlez surtout de votre fournisseur de soins de santé si vous prenez:
- Mort de Saint-Jean ( Hypericum perforatum )
- Médicament pour:
- Infections fongiques
- Infections bactériennes
- Tuberculose
- Crises
- VIH-sida
- Maladies cardiaques ou pression artérielle élevée
- Médicaments qui affaiblissent votre système immunitaire (la capacité de votre corps à lutter contre les infections et autres problèmes)
Demandez à votre fournisseur de soins de santé ou à votre pharmacien si vous ne savez pas si votre médicament est l'une de celles prises pour les conditions énumérées ci-dessus. Si vous prenez des médicaments pour les conditions énumérées ci-dessus, votre fournisseur de soins de santé pourrait avoir besoin de prescrire un médicament différent ou votre dose d'administrateur ou d'administrateur Disperz peut devoir être modifié. Vous devriez également le dire à votre fournisseur de soins de santé avant de commencer à prendre un nouveau médicament.
Comment devrais-je prendre Disperz Afinitor ou Affinitor?
- Votre fournisseur de soins de santé prescrira la dose de disperz d'administration ou d'administrateur qui vous convient.
- Prenez le disperz AFINIGER ou AFIMITOR comme votre prestataire de soins de santé vous le dit.
- Votre professionnel de la santé peut modifier votre dose de dispersion d'administration ou d'administrateur ou vous dire d'interrompre temporairement le dosage si nécessaire.
- Prenez uniquement Disperz afiniteur ou afiniteur. Ne mélangez pas ensemble les afiniteur et les afiniteurs.
- Utilisez des ciseaux pour ouvrir le pack de cloques.
- Prenez le divulgation d'administrateur ou d'administrateur à environ le même temps à peu près au même moment.
- Prenez les afiniteurs ou les affinageurs de la même manière à chaque fois avec de la nourriture ou sans nourriture.
- Si vous prenez trop d'administrateur ou d'administrateur Disperz, contactez votre fournisseur de soins de santé ou allez immédiatement aux urgences de l'hôpital le plus proche. Prenez avec vous le pack d'administrateur ou d'administrateur.
- Si vous manquez une dose d'administrateur ou d'administrateur Disperz, vous pouvez le prendre s'il est moins de 6 heures après le temps que vous le prenez normalement. S'il est plus de 6 heures après que vous preniez normalement votre afiniteur ou votre affinier, Disperz saute la dose pour cette journée. Le lendemain, prenez les afiniteur ou le disperz à votre heure habituelle. Ne prenez pas 2 doses pour compenser une dose manquée. Si vous ne savez pas quoi faire, appelez votre fournisseur de soins de santé.
- Vous devriez subir des tests sanguins avant de commencer les AFNINITEUR ou AFINIGRING DISPERZ et au besoin pendant votre traitement. Ceux-ci comprendront des tests pour vérifier le cholestérol des reins et des fonctions hépatiques de votre nombre de cellules sanguines et de votre glycémie.
- Si vous prenez AFIMITOR ou AFINIGER DISPERZ à traiter Sega ou Affinitor Disperz à traiter certains types de crises avec TSC, vous devrez également passer des tests sanguins régulièrement pour mesurer la quantité de médicaments dans votre sang. Cela aidera votre fournisseur de soins de santé à décider combien vous devez prendre.
Affinateur
- Avalez les comprimés d'administration entiers avec un verre d'eau. Ne prenez aucune tablette cassée ou écrasée.
Affinateur DISPERZ
- Si votre fournisseur de soins de santé prescrit Affinitor Disperz pour vous, voyez les instructions pour une utilisation fournies avec votre médicament pour des instructions sur la façon de préparer et de prendre votre dose.
- Chaque dose de disperz de l'administrateur doit être préparée comme suspension avant sa mise en place.
- Affinateur DISPERZ can cause harm to an unboun baby. When possible the suspension should be prepared by an adult who is not pregnant ou planning to become pregnant.
- Portez des gants pour éviter un éventuel contact avec l'évérolimus lors de la préparation des suspensions d'administration Disperz pour une autre personne.
Que dois-je éviter tout en prenant Disperz Afinitor ou Affinitor?
Vous ne devez pas boire de jus de pamplemousse ou manger du pamplemousse pendant votre traitement avec un afiniteur ou un affinage Disperz. Il peut faire passer la quantité d'administration ou d'administrateur d'administration dans votre sang à un niveau nocif.
Quels sont les effets secondaires possibles de l'administrateur ou de l'affinage Disperz?
Affinateur and Affinateur DISPERZ can cause serious side effects including:
- Vous voyez quelles sont les informations les plus importantes que je devrais connaître sur les afiniteur et les afiniteurs Disperz? Informations de formore.
- Risque de problèmes de guérison des plaies. Les blessures peuvent ne pas guérir correctement pendant le traitement des afinitor et de l'administrateur. Dites à votre fournisseur de soins de santé si vous prévoyez de subir une intervention chirurgicale avant de commencer ou pendant le traitement chez AFINIGER et AFINIGER DISPERZ.
- Vous devez cesser de prendre Disperz Affinitor et Affinitor au moins 1 semaine avant la chirurgie planifiée.
- Votre fournisseur de soins de santé devrait vous dire quand vous pouvez recommencer à reprendre la chirurgie de l'administration et de l'administrateur après la chirurgie.
- Augmentation des niveaux de glycémie et de graisse (cholestérol et triglycérides) dans le sang. Votre fournisseur de soins de santé doit effectuer des tests sanguins pour vérifier votre glycémie à jeun et vos niveaux de triglycérides dans le sang avant de commencer et pendant le traitement avec AFINIGER ou AFIMITOR DISPERZ.
- Diminution du nombre de cellules sanguines. Affinateur and Affinateur DISPERZ can cause you to have decreased red blood cells white blood cells and platelets. Your healthcare provider should do blood tests to check your blood cell counts befoue you start and during treatment with Affinateur ou Affinateur DISPERZ.
- Aggraver les effets secondaires de la radiothérapie Cela peut parfois être grave. Dites à votre fournisseur de soins de santé si vous avez eu ou prévoyez de recevoir radiothérapie .
Les effets secondaires les plus courants de l'affinage chez les personnes atteintes de cancer avancé des récepteurs hormonaux avancés HER2 négatif tumeurs neuroendocrines avancées de l'estomac du pancréas et de l'intestin (gastro-intestinal) ou du cancer du rein avancé du lunge comprennent:
- Infections
- Éruption cutanée
- Se sentir faible ou fatigué
- Diarrhée
- Gonflement des bras mains pieds face aux chevilles ou autres parties du corps
- Douleur à l'estomac (abdominale)
- Nausée
- Fièvre
- Toux
- Mal de tête
- Diminution de l'appétit
Les effets secondaires les plus courants de l'administrateur et de l'administrateur dignent chez les personnes qui ont Sega Renalangiomyolipome ou certains types de crises avec TSC comprennent infections des voies respiratoires.
Autres effets secondaires qui peuvent survenir avec les afiniteurs et les afiniteurs Disperz:
- Absence de périodes menstruelles (menstruations). Vous pouvez manquer 1 ou plusieurs périodes menstruelles. Dites à votre fournisseur de soins de santé si cela se produit.
- Affinateur and Affinateur DISPERZ may affect fertility in females and may affect your ability to become pregnant. Talk to your healthcare provider if this is a concern fou you.
- Affinateur and Affinateur DISPERZ may affect fertility in males and may affect your ability to father a child. Talk to your healthcare provider if this is a concern fou you.
Dites à votre fournisseur de soins de santé si vous avez un effet secondaire qui vous dérange ou ne disparaît pas.
Ce ne sont pas tous les effets secondaires possibles de l'affinage et de l'administrateur Disperz. Pour plus d'informations, demandez à votre fournisseur de soins de santé ou à votre pharmacien.
Appelez votre médecin pour des conseils médicaux sur les effets secondaires. Vous pouvez signaler les effets secondaires à la FDA au 1-800-FDA-1088.
Comment devrais-je stocker Disperz Afinitor ou Affinitor?
- Stocker l'administrateur ou le divertissement à température ambiante entre 68 ° F à 77 ° F (20 ° C à 25 ° C).
- Gardez les afiniteur ou les afiniteurs déchiqueter dans le pack dans lequel il entre.
- Ouvrez le pack de cloques juste avant de prendre Disperz Affinitor ou Affinitor.
- Gardez l'administrateur ou les affinager Disperz sèche et loin de la lumière.
- N'utilisez pas d'administrateur ou de disperz d'administrateur qui est obsolète ou n'est plus nécessaire.
Gardez les AFIMitor ou Affinitor Disperz et tous les médicaments hors de portée des enfants.
Général infoumation about the safe and effective use of Affinateur and Affinateur DISPERZ.
Les médicaments sont parfois prescrits à des fins autres que celles énumérées dans une brochure d'information du patient. N'utilisez pas d'administrateur ou d'administrateur Disperz pour une condition pour laquelle il n'a pas été prescrit. Ne donnez pas à l'administrateur ou à l'administrateur d'administration pour les autres, même s'ils ont le même problème que vous. Cela peut leur faire du mal. Cette brochure résume les informations les plus importantes sur les afiniteurs et les afiniteurs Disperz. Si vous souhaitez plus d'informations, parlez avec votre fournisseur de soins de santé. Vous pouvez demander à votre fournisseur de soins de santé ou à votre pharmacien pour des informations rédigées pour les professionnels de la santé.
Quels sont les ingrédients de l'administrateur?
Ingrédient actif: everolimus.
Ingrédients inactifs: hydroxytoluène anhydre butylé lactose butylé de lactose monohydrate de lactose et stéarate de magnésium.
Quels sont les ingrédients de l'affinage Disperz?
Ingrédient actif: everolimus.
Ingrédients inactifs: hydroxytoluène colloïdal à dioxyde de silicium colloïdal crospovidone hypromellose lactose monohydraté stéarate de magnésium mannitol et cellulose microcristalline.
Ces informations sur les patients ont été approuvées par la Food and Drug Administration des États-Unis.