Les Informations Présentées Sur Ce Site Ne Constituent Pas Un Avis Médical. Nous Ne Vendons Rien. L'Exactitude De La Traduction N'Est Pas Garantie. Clause De Non-Responsabilité



Pommade à Bactroban

Résumé

Qu'est-ce que la pommade de Bactroban?

La pommade de Bactroban (pommade de la mupirocine) est un antibiotique topique (pour la peau) utilisée pour traiter les infections de la peau telles que l'impétigo. La pommade de Bactroban est disponible sous forme générique.

Quels sont les effets secondaires de la pommade de Bactroban?

La pommade à Bactroban peut provoquer des effets secondaires graves, notamment:



  • douleur à l'estomac sévère
  • Diarrhée qui est aqueuse ou sanglante
  • démangeaisons sévères
  • éruption cutanée
  • irritation de la peau traitée
  • cloques ou épluchis ou pelage et
  • Signes d'une nouvelle infection cutanée

Obtenez de l'aide médicale immédiatement si vous présentez l'un des symptômes énumérés ci-dessus.



Les effets secondaires courants de la pommade de Bactroban comprennent:

  • brûlant
  • piqûre
  • démangeaison
  • rougeur ou
  • Douleur au début lorsque votre corps s'adapte.
Les autres effets secondaires de la pommade de Bactroban comprennent:
  • nausée
  • peau sec
  • tendresse
  • gonflement
  • augmentation du pus et
  • Réactions allergiques (y compris les ruches d'anaphylaxie gonflement de la peau et éruption généralisée)
Les effets secondaires graves de la pommade de Bactroban ne sont pas attendus. Dites à votre médecin si vous ressentez des démangeaisons inhabituelles qui démangeaissent les rougeurs qui épluchent la sécheresse ou l'irritation de la peau. Une petite quantité de pommade de Bactroban peut être absorbée dans la circulation sanguine. Dites à votre médecin si vous développez des effets secondaires de la pommade de Bactroban tels que:
  • Diarrhée persistante
  • Douleurs / crampes abdominales ou gastriques ou
  • sang ou mucus dans vos tabourets.

Cherchez des soins médicaux ou appelez le 911 à la fois si vous avez les effets secondaires graves suivants:



  • Des symptômes oculaires graves tels que la perte de vision soudaine floue du tunnel de vision de la vision de la vision des yeux ou de l'enflure ou de voir des halos autour des lumières;
  • Symptômes cardiaques graves tels que les battements cardiaques rapides ou battants; flotter dans votre poitrine; essoufflement; et des étourdissements soudains étourdisseurs ou s'évanouissant;
  • Maux de tête sévères Confusion Slurred Speech Bras ou Ligne Proulitude Trouble de la merde Perte de coordination Sentiment des muscles très rigides très rigides Fièvre élevée Propice ou des tremblements.

Ce document ne contient pas tous les effets secondaires possibles et d'autres peuvent survenir. Vérifiez auprès de votre médecin des informations supplémentaires sur les effets secondaires.

Dosage pour la pommade à Bactroban

Une petite quantité de pommade de Bactroban doit être appliquée à la zone affectée trois fois par jour. La zone traitée peut être recouverte de vinaigrette à gaze.

Quelles substances ou suppléments de médicaments interagissent avec la pommade de Bactroban?

D'autres médicaments topiques peuvent changer la façon dont votre peau absorbe la pommade à Bactroban. Évitez d'utiliser d'autres produits sur la même zone en même temps, sauf si vous le faites pour le faire par votre médecin. Dites à votre médecin tous les médicaments que vous utilisez.

Pommade à Bactroban pendant la grossesse et l'allaitement

La pommade à Bactroban ne doit être utilisée que lorsqu'elle est prescrite pendant la grossesse. On ne sait pas si ce médicament passe dans le lait maternel. Consultez votre médecin avant l'allaitement.

Informations Complémentaires

Notre centre de médicaments à effets secondaires de la pommade de Bactroban (pommade de la mupirocine) offre une vue complète des informations sur les médicaments disponibles sur les effets secondaires potentiels lors de la prise de ce médicament.

Informations sur les médicaments de la FDA

Description de la pommade de Bactroban

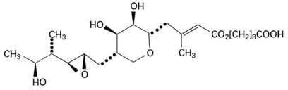
La pommade de Bactroban (mupirocine) 2% contient l'inhibiteur de l'ARN synthétase mupirocine antibactérienne. Le nom chimique est (E) - (2S3R4R5S) -5 - [(2S3S4S5S) -23-EPOXY-5-HYDROXY-4MÉTHYLHEXYL] TETRAHYDRO-34-DIHYDROXY-β-méthyl-2h-pyran-2-crotonique Ester avec l'acide 9-hydroxynonanotique. La formule moléculaire de la mupirocine est C 26 H 44 O 9 et le poids moléculaire est de 500,6. La formule structurelle de la mupirocine est:

Figure 1: Structure de la mupirocine

Chaque gramme de pommade de Bactroban 2% contient 20 mg de mupirocine dans une base de pommade meurtrière de l'eau (pommade en polyéthylène glycol N.F.) composée de polyéthylène glycol 400 et de polyéthylène glycol 3350.

Utilisations pour la pommade de Bactroban

La pommade Bactroban® est indiquée pour le traitement topique de l'impétigo en raison d'isolats sensibles de Staphylococcus aureus ( S. aureus ) et Streptococcus pyogenes ( S. pyogenes ).

Dosage pour la pommade à Bactroban

  • Pour une utilisation topique uniquement.
  • Appliquez une petite quantité de pommade de Bactroban avec un coton-tige ou un coussin de gaze sur la zone affectée 3 fois par jour jusqu'à 10 jours.
  • Couvrir la zone traitée avec une vinaigrette à gaze si vous le souhaitez. 1
  • Réévaluez les patients ne montrant pas de réponse clinique dans les 3 à 5 jours.
  • La pommade à Bactroban n'est pas pour une utilisation intranasale ophtalmique ou muqueuse [voir Avertissements et PRÉCAUTIONS ].
  • N'appliquez pas la pommade de Bactroban simultanément avec d'autres crèmes ou ongles de lotions [voir Pharmacologie clinique ].

Comment fourni

Formes et forces posologiques

Chaque gramme de pommade de Bactroban contient 20 mg de mupirocine dans une base de pommade mettant à l'eau fournie dans des tubes de 22 grammes.

Stockage et manipulation

Chaque gramme de pommade de Bactroban contient 20 mg de mupirocine dans une base de pommade meurtrière de l'eau.

Pommade de Bactroban 2% est fourni dans des tubes de 22 grammes.

NDC 0029-1525-44 (tube de 22 grammes)

Conserver à température ambiante contrôlée de 20 ° C à 25 ° C (68 ° F à 77 ° F).

GlaxoSmithKline Research Triangle Park NC 27709. Révisé: mars 2017.

Effets secondaires pour la pommade de Bactroban

Les effets indésirables suivants sont discutés plus en détail dans d'autres sections de l'étiquetage:

solution ophtalmique de l'ofloxacine pour l'œil rose

Expérience des essais cliniques

Étant donné que les essais cliniques sont menés dans des conditions de réaction indésirables très variables observées dans les essais cliniques d'un médicament ne peuvent pas être directement comparées aux taux dans les essais cliniques d'un autre médicament et ne peuvent pas refléter les taux observés dans la pratique.

Les effets indésirables locaux suivants ont été rapportés par au moins 1% des sujets en relation avec l'utilisation de la pommade de Bactroban dans les essais cliniques: brûler des picotements ou une douleur chez 1,5% des sujets; démangeaisons chez 1% des sujets. Érythème nausée érythème de sensibilité à la peau sèche La dermatite de contacts et un exsudat accrus ont été signalés chez moins de 1% des sujets.

Expérience de commercialisation de la poste

En plus des effets indésirables rapportés dans les essais cliniques, les réactions suivantes ont été identifiées lors de l'utilisation post-commercialisation de la pommade de Bactroban. Parce qu'ils sont signalés volontairement à partir d'une population de tailles inconnues, des estimations de la fréquence ne peuvent pas être faites. Ces réactions ont été choisies pour l'inclusion en raison d'une combinaison de leur fréquence de gravité de rapport ou de relation causale potentielle avec la pommade de Bactroban.

Troubles du système immunitaire

Réactions allergiques systémiques, y compris l'anaphylaxie urticaire angio-œdème et éruption généralisée [voir Avertissements et PRÉCAUTIONS ].

Interactions médicamenteuses pour la pommade de Bactroban

Aucune information fournie.

Avertissements pour la pommade de Bactroban

Inclus dans le cadre du PRÉCAUTIONS section.

Précautions pour la pommade à Bactroban

Réactions allergiques graves

Des réactions allergiques systémiques, notamment l'anaphylaxie urticaire, l'œdème de l'angio Effets indésirables ].

Irritation des yeux

Évitez le contact avec les yeux. En cas de contact accidentel, rincez bien avec de l'eau.

Irritation locale

En cas de sensibilisation ou d'irritation locale sévère de l'utilisation de la pommade de Bactroban devrait être interrompue et une thérapie alternative appropriée pour l'infection instituée.

Diarrhée associée à Clostridium difficile

Clostridium difficile - La diarrhée associée (CDAD) a été signalée avec l'utilisation de presque tous les agents antibactériens et peut aller en gravité de la diarrhée légère à la colite mortelle. Le traitement avec des agents antibactériens modifie la flore normale du côlon conduisant à la prolifération de C. difficile .

C. difficile produit des toxines A et B qui contribuent au développement de la CDAD. Des souches de production d'hypertoxin de C. difficile provoquer une morbidité et une mortalité accrues car ces infections peuvent être réfractaires en thérapie antimicrobienne et peuvent nécessiter une colectomie. La CDAD doit être prise en compte chez tous les patients qui présentent une diarrhée après une utilisation antibactérienne. Des antécédents médicaux minutieux sont nécessaires car la CDAD aurait eu lieu plus de 2 mois après l'administration d'agents antibactériens.

Si la CDAD est suspectée ou confirmée la consommation de médicaments antibactériens en cours non dirigés contre C. difficile peut avoir besoin d'être interrompu. Traitement antibactérien de la protéine de gestion des liquides et des électrolytes C. difficile et l'évaluation chirurgicale doit être instituée comme indiqué cliniquement.

Potentiel de prolifération microbienne

Comme pour d'autres produits antibactériens Posologie et administration ].

Risque associé à l'utilisation des muqueuses

La pommade de Bactroban n'est pas formulée pour une utilisation sur les surfaces muqueuses. L'utilisation intranasale a été associée à des rapports isolés de picotements et de séchage. Une formulation séparée Bactroban® (Mupirocine Calcium) pommade nasale est disponible pour une utilisation intranasale.

Risque d'absorption de polyéthylène glycol

Le polyéthylène glycol peut être absorbé par les plaies ouvertes et la peau endommagée et est excrétée par les reins. En commun avec d'autres onguents à base de polyéthylène glycol, la pommade bactrobane ne doit pas être utilisée dans des conditions où l'absorption de grandes quantités de polyéthylène glycol est possible, surtout s'il existe des preuves d'une déficience rénale modérée ou sévère.

Risque associé à l'utilisation sur des sites intraveineux

La pommade à Bactroban ne doit pas être utilisée avec des canules intraveineuses ou sur des sites intraveineux centraux en raison du potentiel de promotion des infections fongiques et de la résistance aux antimicrobiens.

Informations de conseil des patients

Conseiller au patient de lire l'étiquetage des patients approuvé par la FDA ( Informations sur les patients ).

Conseiller au patient d'administrer la pommade à Bactroban comme suit:

  • Utilisez la pommade de Bactroban uniquement comme indiqué par le fournisseur de soins de santé. Il est pour une utilisation externe uniquement. Évitez le contact de la pommade de Bactroban avec les yeux. Si la pommade de Bactroban entre dans les yeux rinçait soigneusement avec de l'eau.
  • N'utilisez pas la pommade de Bactroban dans le nez.
  • Lavez-vous les mains avant et après appliquer la pommade de Bactroban.
  • Utilisez un coussin de gaze ou un coton-tige pour appliquer une petite quantité de pommade à Bactroban sur la zone affectée. La zone traitée peut être couverte par une vinaigrette à gaze si vous le souhaitez.
  • Rapportez au fournisseur de soins de santé tout signe de réactions indésirables locales. La pommade à Bactroban doit être arrêtée et le fournisseur de soins de santé contacté si l'irritation des démangeaisons sévères ou une éruption cutanée se produit.
  • Rapportez-vous au fournisseur de soins de santé ou allez aux urgences les plus proches si des réactions allergiques sévères telles que l'enflure du visage ou la langue ou la respiration se trouvent [voir [voir Avertissements et PRÉCAUTIONS ].
  • Si l'impétigo ne s'est pas amélioré en 3 à 5 jours, contactez le fournisseur de soins de santé.

Toxicologie non clinique

Carcinogenèse Mutagenèse A trouble de la fertilité

Des études à long terme chez les animaux pour évaluer le potentiel cancérigène de la mupirocine n'ont pas été menées.

Résultats des études suivantes réalisées avec le calcium de la mupirocine ou la mupirocine sodium in vitro et en vain n'a pas indiqué un potentiel de génotoxicité: les hépatocytes primaires de rat non comprits de synthèse d'ADN Analyse des sédiments pour le brin d'ADN casse le test de réversion de salmonelle (AMES) Escherichia coli Assayage de mutation de la métaphase Analyse de la métaphase humaine des lymphocytes de souris Assaye lymphoma de souris et osseuse d'essai de micronuclei de la morson osseux chez la souris.

Dans une étude de performance de fertilité / reproduction (avec une dosage par lactation), la mupirocine a administré par voie sous-cutanée à des rats mâles et femelles à des doses allant jusqu'à 100 mg par kg par jour, ce qui est 14 fois la dose topique humaine (environ 60 mg de mupirocine par jour) en fonction des calculs de dose divisés par la zone de surface corporelle entière n'a pas abouti à l'impression mupirocine.

Utiliser dans des populations spécifiques

Grossesse

Résumé des risques

Il existe des données humaines insuffisantes pour déterminer s'il existe un risque associé au médicament avec la pommade de Bactroban chez les femmes enceintes. L'absorption systémique de la mupirocine par la peau humaine intacte est minime après l'administration topique de pommade de la mupirocine [voir Pharmacologie clinique ]. No developmental toxicity was observed in rats or rabbits treated with mupirocine subcutaneously during organogenesis at doses of 160 or 40 mg per kg per day respectively (22 et 11 times the human topical dose based on calculations of dose divided by the entire body surface area).

Le risque de fond estimé des principaux malformations congénitales et fausses couches pour la population indiquée est inconnue. Le risque de fond estimé dans la population générale américaine des principaux malformations congénitales est de 2% à 4% et de fausse couche est de 15% à 20% des grossesses cliniquement reconnues.

Données

Données sur les animaux : Des études de toxicité de développement ont été réalisées avec la mupirocine administrée par voie sous-cutanée aux rats et aux lapins à des doses allant jusqu'à 160 mg par kg par jour pendant l'organogenèse. Cette dose est de 22 et 43 fois respectivement la dose topique humaine (environ 60 mg de mupirocine par jour) sur la base de calculs de dose divisés par toute la surface du corps. Une toxicité maternelle a été observée (perte de poids corporel / diminution du gain de poids corporel et alimentation réduite) chez les deux espèces sans signe de toxicité développementale chez le rat. Chez les lapins, une toxicité maternelle excessive à la dose élevée a empêché l'évaluation des résultats fœtaux. Il n'y avait pas de toxicité de développement chez les lapins à 40 mg par kg par jour 11 fois la dose topique humaine en fonction des calculs de dose divisés par toute la surface du corps.

La mupirocine administrée par voie sous-cutanée à des rats dans une étude de développement pré-et postnatal (dosée au cours de la gestation tardive par lactation) a été associée à une réduction de la viabilité de la progéniture au début de la période postnatale à une dose de 106,7 mg par kg en présence d'irritation du site d'injection et / ou à une hémorragie sous-cutanée. Cette dose est 14 fois la dose topique humaine en fonction des calculs de dose divisés par toute la surface du corps. Le niveau d'effet indésirable non observé dans cette étude était de 44,2 mg par kg par jour, soit 6 fois la dose topique humaine.

Lactation

Résumé des risques

On ne sait pas si la mupirocine est présente dans le lait maternel a des effets sur l'enfant allaité ou a des effets sur la production de lait. Cependant, l'allaitement ne devrait pas entraîner une exposition de l'enfant au médicament en raison de l'absorption systémique minimale de la mupirocine chez l'homme après l'administration topique de pommade à Bactroban [voir Pharmacologie clinique ]. The developmental et health benefits of breastfeeding should be considered along with the mother's clinical need for BACTROBAN ointment et any potential adverse effects on the breastfed child from BACTROBAN ointment or from the underlying maternal condition.

Considérations cliniques

Pour minimiser l'exposition orale du médicament aux enfants, un sein et / ou un mamelon traité avec une pommade de Bactroban doit être soigneusement lavé avant l'allaitement.

Usage pédiatrique

La sécurité et l'efficacité de la pommade de Bactroban ont été établies dans la tranche d'âge de 2 mois à 16 ans. L'utilisation de pommade à Bactroban dans ces groupes d'âge est étayée par des preuves provenant d'essais adéquats et bien contrôlés de pommade à Bactroban dans l'impétigo chez les sujets pédiatriques étudiés dans le cadre des essais cliniques pivots [voir [voir Études cliniques ].

Informations sur la surdose pour la pommade de Bactroban

Aucune information fournie.

Contre-indications pour la pommade à Bactroban

La pommade à Bactroban est contre-indiquée chez les patients souffrant d'hypersensibilité connue à la mupirocine ou à l'un des excipients de la pommade de Bactroban.

Pharmacologie clinique for Bactroban Ointment

Mécanisme d'action

La mupirocine est un antibactérien inhibiteur de l'ARN synthétase [voir Microbiologie ].

Pharmacocinétique

Absorption

Application de 14 La pommade à la mupirocine marquée en C au bras inférieur de sujets masculins normaux suivis d'une occlusion pendant 24 heures n'a montré aucune absorption systémique mesurable (moins de 1,1 mupirocine de nanogramme par millilitre de sang total). La radioactivité mesurable était présente dans la strate cornée de ces sujets 72 heures après l'application.

L'effet de l'application simultanée de la pommade à Bactroban avec d'autres produits topiques n'a pas été étudié [voir Posologie et administration ].

Élimination

Dans un essai mené chez 7 sujets masculins adultes en bonne santé, la demi-vie d'élimination après l'administration intraveineuse de mupirocine était de 20 à 40 minutes pour la mupirocine et de 30 à 80 minutes pour l'acide monique.

Métabolisme : Après l'administration intraveineuse ou orale, la mupirocine est rapidement métabolisée. L'acide monique métabolite principal ne montre aucune activité antibactérienne.

Excrétion : L'acide monique est principalement éliminé par l'excrétion rénale.

Microbiologie

La mupirocine est un antibactérien inhibiteur de l'ARN synthétase produit par la fermentation en utilisant l'organisme Pseudomonas fluorescens .

Mécanisme d'action

La mupirocine inhibe la synthèse des protéines bactériennes en se liant réversiblement et spécifiquement à l'ARN-transfert bactérien de l'ARN (ARNt) synthétase.

La mupirocine est bactéricide à des concentrations obtenues par l'administration topique. La mupirocine est fortement liée aux protéines (supérieure à 97%) et l'effet des sécrétions de plaies sur les concentrations inhibitrices minimales (MICS) de la mupirocine n'a pas été déterminée.

Résistance

Lorsque la résistance à la mupirocine se produit, elle résulte de la production d'une isoleucyl-ARNt synthétase modifiée ou de l'acquisition de par transfert génétique un plasmide médiant une nouvelle isoleucyl-ARNt synthétase. Une résistance à médiation plasmidique de haut niveau (CMI ≥ 512 mcg / ml) a été signalée dans un nombre croissant d'isolats de S. aureus et with higher frequency in coagulase-negative staphylococci. Mupirocin resistance occurs with greater frequency in methicillin-resistant than methicillin-susceptible staphylococci.

Résistance croisée

En raison de son mode d'action, la mupirocine ne montre pas de résistance croisée avec d'autres classes d'agents antimicrobiens.

Activité antimicrobienne

La mupirocine s'est avérée active contre les isolats sensibles de S. aureus et S. pyogenes tous deux in vitro et in clinical trials [see Indications et utilisation ]. The following in vitro Les données sont disponibles mais leur signification clinique est inconnue. La mupirocine est active contre la plupart des isolats de Staphylococcus epidermidis .

Méthodes de test de sensibilité

La résistance à la mupirocine de haut niveau (≥ 512 mcg / ml) peut être déterminée en utilisant des tests de diffusion de disque standard ou de microdilution du bouillon. 12 En raison de la survenue de la résistance à la mupirocine dans S. aureus résistant à la méthicilline (SARM), il convient de tester les populations de SARM pour la sensibilité à la mupirocine avant l'utilisation de la mupirocine en utilisant une méthode standardisée. 345

Études cliniques

L'efficacité de la pommade topique de Bactroban dans l'impétigo a été testée dans 2 essais. Dans les premiers sujets atteints d'impétigo, ont été randomisés pour recevoir la pommade à Bactroban ou le placebo du véhicule 3 fois par jour pendant 8 à 12 jours. Les taux d'efficacité clinique à la fin du thérapie dans les populations évaluables (adultes et sujets pédiatriques inclus) étaient de 71% pour la pommade de Bactroban (n = 49) et 35% pour le placebo du véhicule (n = 51). Les taux d'éradication des agents pathogènes dans les populations évaluables étaient de 94% pour la pommade à Bactroban et 62% pour le placebo du véhicule.

Dans le deuxième essai, les sujets avec impétigo ont été randomisés pour recevoir soit une pommade bactrobane 3 fois par jour, soit 30 à 40 mg par kg d'éthylSuccinate par l'érythromycine par jour par jour (il s'agissait d'un essai non aveugle) pendant 8 jours. Il y a eu une visite de suivi 1 semaine après la fin du traitement. Les taux d'efficacité clinique lors de la visite de suivi dans les populations évaluables (adultes et sujets pédiatriques inclus) étaient de 93% pour la pommade de Bactroban (n = 29) et 78,5% pour l'érythromycine (n = 28). Les taux d'éradication des agents pathogènes dans les populations évaluables étaient de 100% pour les deux groupes de test.

Pédiatrie

Il y avait 91 sujets pédiatriques âgés de 2 mois à 15 ans lors du premier essai décrit ci-dessus. Les taux d'efficacité clinique à la fin du traitement dans les populations évaluables étaient de 78% pour la pommade de Bactroban (n = 42) et 36% pour le placebo du véhicule (n = 49). Dans le deuxième essai décrit avant tout, les sujets étaient pédiatriques, sauf 2 adultes dans le groupe recevant la pommade de Bactroban. La tranche d'âge des sujets pédiatriques était de 7 mois à 13 ans. Le taux d'efficacité clinique pour la pommade de Bactroban (n = 27) était de 96% et pour l'érythromycine, il était inchangé (NULL,5%).

Références

1. Institut des normes cliniques et de laboratoire (CLSI). Normes de performance pour les tests de sensibilité aux antimicrobiens; Vingt-sixième supplément d'information. Document CLSI M100-S26. Institut des normes cliniques et de laboratoire 950 West Valley Rd. Suite 2500 Wayne PA 19087 USA 2016.

2. Patel J Gorwitz RJ et al. Résistance à la mupirocine. Maladies infectieuses cliniques. 2009; 49 (6): 935-41.

3. Institut des normes cliniques et de laboratoire (CLSI). Méthodes de dilution Tests de sensibilité aux antimicrobiens pour les bactéries qui poussent aérobiement; Standard approuvé - dixième édition. Document CLSI M07-A10. Institut des normes cliniques et de laboratoire 950 West Valley Road Suite 2500 Wayne Pennsylvania 19087 USA 2015.

4. Institut des normes cliniques et de laboratoire (CLSI). Normes de performance pour les tests de sensibilité à la diffusion du disque antimicrobien; Standard approuvé - Douzième édition. Document CLSI M02-A12. Institut des normes cliniques et de laboratoire 950 West Valley Road Suite 2500 Wayne Pennsylvania 19087 USA 2015.

5. Finlay JE Miller La Poupard JA. Critères d'interprétation pour tester la sensibilité des staphylocoques à la mupirocine. Agents antimicrobs chimiother. 1997; 41 (5): 1137-1139.

Informations sur les patients pour la pommade à Bactroban

Bactroban®
(Back-intro-ban) (mupirocine) pommade

Qu'est-ce que la pommade de Bactroban?

La pommade de Bactroban est un médicament sur ordonnance utilisé sur la peau (utilisation topique) pour traiter une infection cutanée appelée impétigo causée par des bactéries appelées Staphylococcus aureus et Streptococcus pyogenes. On ne sait pas si la pommade de Bactroban est sûre et efficace chez les enfants de moins de 2 mois.

Qui ne devrait pas utiliser la pommade de Bactroban?

N'utilisez pas la pommade de Bactroban si:

  • Vous êtes allergique à la mupirocine ou à l'un des ingrédients de la pommade de Bactroban. Voir la fin de cette brochure d'information du patient pour une liste complète des ingrédients de la pommade de Bactroban.

Que dois-je dire à mon fournisseur de soins de santé avant d'utiliser la pommade de Bactroban?

Avant d'utiliser la pommade de Bactroban, dites à votre fournisseur de soins de santé de toutes vos conditions médicales, y compris si vous:

  • avoir des problèmes rénaux
  • sont enceintes ou prévoient de devenir enceintes. On ne sait pas si la pommade de Bactroban nuira à votre bébé à naître.
  • allaitent ou prévoient d'allaiter. On ne sait pas si la pommade de Bactroban passe dans votre lait maternel. Vous et votre fournisseur de soins de santé devriez décider si vous pouvez utiliser la pommade de Bactroban pendant l'allaitement.

Parlez à votre fournisseur de soins de santé de tous les médicaments que vous prenez y compris les médicaments sur ordonnance et les médicaments sur-thecounter et les suppléments à base de plantes. Ne mélangez pas la pommade de Bactroban avec d'autres crèmes ou ongles de lotions.

Comment dois-je utiliser la pommade de Bactroban?

  • La pommade de Bactroban est à utiliser sur la peau (topique). N'obtenez pas la pommade de Bactroban dans vos yeux, la bouche du nez ou le vagin (surfaces muqueuses).
  • Utilisez la pommade de Bactroban exactement comme votre fournisseur de soins de santé vous dit de l'utiliser.
  • Appliquez une petite quantité de pommade de Bactroban avec un coton-tige ou un coussin de gaze sur la zone affectée 3 fois par jour.
  • Il est important que vous suiviez le cours complet de la pommade de Bactroban. Ne vous arrêtez pas tôt car vos symptômes peuvent disparaître avant que l'infection ne soit complètement éliminée.
  • Lavez-vous les mains avant et après appliquer la pommade de Bactroban.
  • Après avoir appliqué une pommade à Bactroban, vous pouvez couvrir la zone traitée avec un tampon de gaze propre à moins que votre professionnel de la santé ne vous ait dit de le laisser à découvert.
  • Parlez à votre fournisseur de soins de santé si votre peau ne s'améliore pas après 3 à 5 jours de traitement avec une pommade de Bactroban.
  • Si vous allaitez et utilisez la pommade de Bactroban sur votre sein ou votre mamelon, lavez la zone bien avant d'allaiter votre enfant.

Quels sont les effets secondaires possibles de la pommade de Bactroban?

La pommade à Bactroban peut provoquer des effets secondaires graves, notamment:

  • Réactions allergiques graves. Arrêtez d'utiliser la pommade de Bactroban et appelez votre fournisseur de soins de santé ou allez immédiatement aux urgences les plus proches si vous avez l'un des signes ou symptômes suivants d'une réaction allergique sévère:
    • urticaire
    • gonflement of your face lips mouth or tongue
    • une éruption cutanée sur tout votre corps
    • difficulté à respirer ou à une respiration sifflante
    • étourdissements de rythme cardiaque rapide ou battant dans votre poitrine
  • irritation des yeux. N'obtenez pas la pommade de Bactroban dans vos yeux. Si la pommade de Bactroban entre dans vos yeux, rincez bien les yeux avec de l'eau.
  • L'irritation dans la région est utilisée. Arrêtez d'utiliser la pommade de Bactroban et appelez votre fournisseur de soins de santé si vous développez une irritation de démangeaisons sévères ou une éruption cutanée tout en utilisant la pommade de Bactroban. un type de diarrhée appelé Clostridium difficile - Diarrhée associée (CDAD). La CDAD peut se produire chez les personnes qui utilisent ou ont utilisé des médicaments pour traiter les infections bactériennes. La gravité du CDAD peut aller de la diarrhée légère à une diarrhée sévère qui peut entraîner la mort (colite mortelle). Appelez votre fournisseur de soins de santé ou allez immédiatement aux urgences les plus proches si vous avez la diarrhée pendant que vous utilisez ou après votre arrêt d'utilisation de la pommade de Bactroban.
  • Risque d'absorption de polyéthylène glycol à travers la peau. La pommade de Bactroban contient du polyéthylène glycol qui, en grande quantité, peut causer des lésions rénales. Vous ne devez pas appliquer la pommade de Bactroban pour ouvrir des blessures à la peau ou une peau endommagée, surtout si vous avez des problèmes rénaux.
  • Risque accru d'infection aux sites IV (intraveineux). La pommade de Bactroban ne doit pas être utilisée sur une peau proche d'un site IV (intraveineux).
    Les effets secondaires les plus courants de la pommade de Bactroban comprennent:
    • brûlant
    • piqûre or pain
    • démangeaison

Ce ne sont pas tous les effets secondaires possibles de la pommade de Bactroban. Appelez votre médecin pour des conseils médicaux sur les effets secondaires. Vous pouvez signaler les effets secondaires à la FDA au 1-800-FDA-1088.

Comment dois-je stocker la pommade à Bactroban?

De quelle nature est fabriquée par la nature

Stockez la pommade à Bactroban à température ambiante entre 68 ° F à 77 ° F (20 ° C à 25 ° C).

Gardez la pommade à Bactroban et tous les médicaments hors de portée des enfants.

Informations générales sur l'utilisation sûre et efficace de la pommade de Bactroban

Les médicaments sont parfois prescrits à des fins autres que celles énumérées dans une brochure d'information du patient. N'utilisez pas la pommade de Bactroban pour une condition pour laquelle il n'a pas été prescrit. Ne donnez pas de pommade à Bactroban à d'autres personnes même si elles présentent les mêmes symptômes que vous. Cela peut leur faire du mal. Vous pouvez demander à votre pharmacien ou fournisseur de soins de santé pour des informations sur la pommade de Bactroban qui est écrite pour les professionnels de la santé.

Quels sont les ingrédients de la pommade de Bactroban?

Ingrédient actif: mupirocine

Ingrédients inactifs: polyéthylène glycol 400 et polyéthylène glycol 3350