Les Informations Présentées Sur Ce Site Ne Constituent Pas Un Avis Médical. Nous Ne Vendons Rien. L'Exactitude De La Traduction N'Est Pas Garantie. Clause De Non-Responsabilité
Agents de contraste contenant du gadolinium
Dotarem
Résumé
Qu'est-ce que Dotarem?
DotaRem (gadoterate meglumine) est un agent de contraste ionique macrocyclique paramagnétique pour une utilisation intraveineuse avec l'imagerie par résonance magnétique (IRM) dans le cerveau (intracrânien) colonne vertébrale et les tissus associés chez les patients adultes et pédiatriques (2 ans et plus âgés) pour détecter et visualiser les zones avec une déruption du cerveau sanguin (BBB) et / ou l'abnorlarité.
Quels sont les effets secondaires de Dotarem?
Dotarem
- urticaire
- difficulté à respirer
- gonflement de ton visage lèvres langue ou gorge
- brûler des démangeaisons gonflant la mise à l'échelle et le resserrement ou le durcissement de votre peau
- faiblesse musculaire
- raideur de joint dans vos bras de bras les jambes ou les pieds
- Douleur osseuse profonde dans vos côtes ou vos hanches
- Problème de déménagement
- rougeur ou décoloration de la peau
- peu ou uriner
- Urinée douloureuse ou difficile
- gonflement dans vos pieds ou chevilles
- fatigue et
- essoufflement
Obtenez de l'aide médicale immédiatement si vous présentez l'un des symptômes énumérés ci-dessus.
Les effets secondaires courants de Dotarem comprennent:
- mal de tête
- nausée
- se sentir froid
- éruption cutanée
- envie de dormir
- fatigue
- vertiges
- vomissement
- démangeaison
- engourdissement ou picotement
- changements de goût
- douleur aux extrémités
- anxiété
- hypertension artérielle
- palpitations
- et réactions du site d'injection (inflammation des démangeaisons de la chaleur de la chaleur à la froideur ou à la sensation de brûlure)
Cherchez des soins médicaux ou appelez le 911 à la fois si vous avez les effets secondaires graves suivants:
- Des symptômes oculaires graves tels que la perte de vision soudaine floue du tunnel de vision de la vision de la vision des yeux ou de l'enflure ou de voir des halos autour des lumières;
- Symptômes cardiaques graves tels que les battements cardiaques rapides ou battants; flotter dans votre poitrine; essoufflement; Et des étourdissements soudains étourdissement ou s'évanouir;
- Maux de tête sévères Confusion Slurred Speech Bras ou Ligne Proulitude Trouble de la merde Perte de coordination Sentiment des muscles très rigides très rigides Fièvre élevée Propice ou des tremblements.
Ce document ne contient pas tous les effets secondaires possibles et d'autres peuvent survenir. Vérifiez auprès de votre médecin des informations supplémentaires sur les effets secondaires.
Dosage pour dotarem
Pour les patients adultes et pédiatriques (2 ans et plus), la dose recommandée de Dotarem est de 0,2 ml / kg (NULL,1 mmol / kg) de poids corporel administré manuellement en injection de bolus intraveineuse ou par un injecteur de puissance à un débit d'environ 2 ml / seconde pour les adultes et 1-2 ml / seconde pour les patients pédiatriques.
Quelles substances ou suppléments de médicaments interagissent avec DotArem?
Dotarem peut interagir avec d'autres médicaments. Dites à votre médecin tous les médicaments et suppléments que vous utilisez.
Dotarem pendant la grossesse ou l'allaitement
Pendant la grossesse, le DotaRem ne doit être utilisé que s'il est prescrit. On ne sait pas si ce médicament passe dans le lait maternel. Consultez votre médecin avant l'allaitement.
Informations Complémentaires
Notre centre de médicaments à effets secondaires de Dotarem (Gadoterate Meglumine) offre une vue complète des informations sur les médicaments disponibles sur les effets secondaires potentiels lors de la prise de ce médicament.
Informations sur les médicaments de la FDA
- Description de la drogue
- Indications
- Effets secondaires
- Avertissements
- Surdosage
- Pharmacologie clinique
- Guide des médicaments
AVERTISSEMENT
Fibrose systémique néphrogénique (NSF)
Les agents de contraste à base de gadolinium (GBCA) augmentent le risque de NSF chez les patients souffrant d'élimination altérée des médicaments. Évitez l'utilisation de GBCA chez ces patients, sauf si les informations de diagnostic sont essentielles et non disponibles avec une IRM non contrôlée ou d'autres modalités. La NSF peut entraîner une fibrose mortelle ou débilitante affectant le muscle cutané et les organes internes.
- Le risque de NSF semble le plus élevé chez les patients avec:
- Maladie rénale grave chronique (GFR <30 mL/min/1.73m 2 ) ou
- Blessure rénale aiguë .
- Prix de dépistage des lésions rénales aiguës et d'autres conditions qui peuvent réduire la fonction rénale. Pour les patients à risque de réduction de la fonction rénale réduite chronique (par exemple, l'âge> 60 ans du diabète hypertension) estimer le taux de filtration glomérulaire (DFG) par le biais de tests de laboratoire AVERTISSEMENTS AND PRÉCAUTIONS .
- Pour les patients à risque le plus élevé de NSF, ne dépassent pas la dose de dotarem recommandée et ne permettent pas une période suffisante pour l'élimination du médicament du corps avant toute réadministration [voir AVERTISSEMENTS AND PRÉCAUTIONS ].
Description de l'équipement
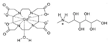
DotaREM (Gadoterate Meglumine) est un agent de contraste ionique macrocyclique paramagnétique administré pour l'imagerie par résonance magnétique. Le nom chimique de la méglumine gadotarée est le d-glutol 1-désoxy-1- (méthylamino) - [14710- tetraazacyclododecane-14710-tetraaceto (4 -) -. Kappa.n1 .kappa.n4 .kappa.n7 .kappa.n10 .kappa.o1 .kappa.o4. .kappa.o10] gadoline (1 -) (1: 1); Il a un poids de formule de 753,9 g / mol et une formule empirique de C 23 H 42 O 13 N 5 GD (base anhydre).
La formule structurelle de la méglumine gadotère en solution est la suivante:
|
N ° 92943-93-6
L'injection de dotarem est une solution aqueuse stérile non pyrogénique sans pyrogénique à la méglumine de la méglumine de gadotation. Aucun conservateur n'est ajouté. Chaque ml de dotarem contient 376,9 mg de méglumine de gadotère 0,25 mg de dota et d'eau pour l'injection. Dotarem a un pH de 6,5 à 8,0.
Les principales propriétés physiochimiques de Dotarem sont fournies ci-dessous:
Tableau 4: Propriétés physicochimiques
| Paramètre | Valeur |
| Densité à 20 ° C | 1,1753 g / cm 3 |
| Viscosité à 20 ° C | 3,4 MPa. |
| Viscosité à 37 ° C | 2,4 MPa. |
| Osmolalité | 1350 mosm / kg d'eau |
Les constantes de stabilité thermodynamique pour le gadotère (log K thermie et log K faire à pH 7,4) sont respectivement de 25,6 et 19,3.
Utilisations pour dotArem
Dotarem est un agent de contraste à base de gadolinium indiqué pour une utilisation intraveineuse avec l'imagerie par résonance magnétique (IRM) dans la colonne vertébrale cérébrale (intracrânienne) et les tissus associés chez les patients adultes et pédiatriques (y compris les nouveau-nés) pour détecter et visualiser les zones avec une perturbation de la barrière cérébrale sanguine (BBB) et / ou une vascularité annulaire.
Dosage pour dotarem
Dossines de dosage
Pour les patients adultes et pédiatriques (y compris les nouveau-nés à terme), la dose recommandée de dotaREM est de 0,2 ml / kg (NULL,1 mmol / kg) le poids corporel administré en tant qu'injection de bolus intraveineuse manuellement ou par un injecteur de puissance à un débit d'environ 2 ml / seconde pour les adultes et 1-2 ml / seconde pour les patients pédiatriques. Le tableau 1 fournit des volumes de dose ajustés en poids.
Qu'est-ce que le nitrostat est utilisé pour traiter
Tableau 1: Volumes d'injection de dotarem par poids corporel
| Poids corporel | Volume | |
| Livres (lb) | Kilogrammes (kg) | Millilitres (ML) |
| 5.5 | 2.5 | 0.5 |
| 11 | 5 | 1 |
| 22 | 10 | 2 |
| 44 | 20 | 4 |
| 66 | 30 | 6 |
| 88 | 40 | 8 |
| 110 | 50 | 10 |
| 132 | 60 | 12 |
| 154 | 70 | 14 |
| 176 | 80 | 16 |
| 198 | 90 | 18 |
| 220 | 100 | 20 |
| 242 | 110 | 22 |
| 264 | 120 | 24 |
| 286 | 130 | 26 |
| 308 | 140 | 28 |
| 330 | 150 | 30 |
Pour assurer une injection complète de dotarem, l'injection peut être suivie d'une chasse à la solution saline normale. L'IRM de contraste peut commencer immédiatement après l'injection de Dotarem.
Manipulation de drogues
- Inspectez visuellement DotaREM pour les particules avant l'administration. N'utilisez pas la solution si des particules sont présentes ou si le récipient apparaît endommagé. Dotarem doit être une solution claire incolore à jaune.
- Ne mélangez pas d'autres médicaments ou nutrition parentérale.
- Jeter toutes les parties inutilisées du médicament.
Itinéraire pour l'utilisation de l'injection Dotarem (Gadoterate Meglumine)
Flacon de verre
Aseptiquement rédiger le milieu de contraste dans une seringue jetable et utiliser immédiatement.
Seringue pré-remplie de verre ou de plastique
- En tenant le baril de seringue à visser fermement la pointe filetée de la tige de piston dans le sens des aiguilles d'une montre dans le piston de la cartouche.
- Pour la seringue pré-remplie de verre: avancez quelques millimètres pour briser tout frottement entre le piston de cartouche et le baril de seringue.
- Pour la seringue pré-remplie en plastique: Après avoir vissé la tige de poussée dans le piston à cartouche de seringue, tournez la tige de poussée dans le sens horaire d'un virage supplémentaire de ½ virage de sorte que le piston de cartouche tourne librement.
- Tenant la seringue verticalement pour que le capuchon en caoutchouc soit pointé vers le haut de manière aseptiquement le capuchon en caoutchouc de la pointe de la seringue et fixez une aiguille jetable stérile ou un ensemble de tubes de verrouillage LUER sans aiguille compatibles à l'aide d'une action push-twist. À ce stade, l'ensemble de tubes n'est pas attaché à la connexion intraveineuse d'un patient.
- Si vous utilisez un jeu de tubes de verrouillage LUER sans aiguille, vérifiez la connexion entre la seringue et le tube lorsque le fluide coule. Assurez-vous que la connexion réussit avant l'administration de l'injection de Dotarem.
- Si vous utilisez une aiguille, maintenez la seringue verticalement et poussez le piston vers l'avant jusqu'à ce que tout l'air soit évacué et que le fluide apparaît à l'extrémité de l'aiguille ou que le tube soit rempli. Après la procédure habituelle d'aspiration sanguine veineuse, terminez l'injection de Dotarem.
- Pour garantir la livraison complète du milieu de contraste, l'injection peut être suivie d'une lutte saline normale.
- Jetez correctement la seringue et tout autre matériau utilisé.
Seringue pré-remplie de verre
|
Seringue pré-remplie en plastique
|
Comment fourni
Formes et forces posologiques
Dotarem 0,5 mmol / ml est une solution aqueuse incolore et jaune claire stérile pour l'injection intraveineuse contenant 376,9 mg / ml de méglumine de gadodérate et est disponible dans les flacons et les seringues pré-remplies.
Stockage et manipulation
Dotarem L'injection est une solution claire incolore à jaune contenant 0,5 mmol / ml de méglumine de gadotère. Il est fourni dans des flacons et des seringues préremplies.
- Dotarem Injection is supplied in 10 mL vials containing 5 mL or 10 mL of solution in 20 mL vials containing 15 mL or 20 mL of solution.
Chaque flacon à dose unique est fermé avec un bouchon en caoutchouc et scellé avec un capuchon en aluminium et le contenu est stérile.
Les flacons sont emballés individuellement dans un package enveloppé de 10 dans les configurations suivantes:
5 ml de flacon en verre NDC 67684-2000-0)
10 ml de flacon en verre NDC 67684-2000-1)
15 ml de flacon en verre NDC 67684-2000-2)
20 ml de flacon en verre NDC 67684-2000-3)
Bupropion xl 150 mg effets secondairesLes flacons sont également emballés dans une boîte de 10 dans les configurations suivantes:
5 ml de flacon en verre ( NDC 67684-2001-0)
10 ml de flacon en verre NDC 67684-2001-1)
15 ml de flacon en verre NDC 67684-2001-2)
20 ml de flacon en verre NDC 67684-2001-3)
- Dotarem Injection is supplied in 10 mL glass pre-filled syringes containing 10 mL of solution et 20 mL glass pre-filled syringes containing 15 mL or 20 mL of solution.
Chaque seringue est scellée avec des fermetures en caoutchouc et le contenu est stérile. Les seringues, y compris la tige de piston sont emballées dans un package enveloppé de pliage de 5 dans les configurations suivantes:
10 ml dans une seringue pré-remplie de verre NDC 67684-2000-5)
15 ml dans une seringue pré-remplie de verre NDC 67684-2000-6)
20 ml dans une seringue pré-remplie de verre NDC 67684-2000-7)
- Dotarem Injection is supplied in 20 mL plastic pre-filled syringes containing 10 mL 15 mL or 20 mL of solution
Chaque seringue est scellée avec des fermetures en caoutchouc et le contenu est stérile. Les seringues, y compris la tige de piston sont emballées dans une boîte de 10 dans les configurations suivantes:
10 ml dans une seringue pré-remplie en plastique NDC 67684-3001-1)
15 ml dans une seringue pré-remplie en plastique NDC 67684-3001-2)
20 ml dans une seringue pré-remplie en plastique NDC 67684-3001-3)
Stockage
Stocker à 25 ° C (77 ° F); Excursions autorisées à 15 ° C à 30 ° C (59 ° F à 86 ° F) [voir la température ambiante contrôlée par l'USP (CRT)].
Les seringues pré-remplies ne doivent pas être gelées. Les seringues congelées doivent être jetées.
Si une solidification se produit dans le flacon en raison de l'exposition au froid, portez dotaREM à température ambiante avant utilisation. Si elle est autorisée à se tenir à température ambiante pendant un minimum de 90 minutes, Dotarem doit revenir à une solution claire incolore à jaune. Avant d'utiliser, examinez le produit pour s'assurer que tous les solides sont dissous et que le conteneur et la fermeture n'ont pas été endommagés. Jeter le flacon si les solides persistent.
Fabriqué par: Catalent (seringues en verre pré-remplies) Liebel-Farsheim Company LLC (seringues et flacons pré-remplies en plastique) et récipient (flacons) pour Guerbet révisé: mars 2025
Effets secondaires de Guote
Les effets indésirables cliniquement significatifs suivants sont décrits ailleurs dans le marquage: fibrose systémique néphrogénique [voir AVERTISSEMENTS AND PRÉCAUTIONS ].
- Réactions d'hypersensibilité [voir AVERTISSEMENTS AND PRÉCAUTIONS ].
- Rétention du gadolinium [voir AVERTISSEMENTS AND PRÉCAUTIONS ]
Expérience des essais cliniques
Étant donné que les essais cliniques sont menés dans des conditions de réaction indésirables très variables observées dans les essais cliniques d'un médicament ne peuvent pas être directement comparées aux taux dans les essais cliniques d'un autre médicament et peuvent ne pas refléter les taux observés dans la pratique clinique.
Les données décrites ci-dessous reflètent l'exposition à Dotarem chez 2867 patients représentant 2682 adultes et 185 patients pédiatriques. Dans l'ensemble, 55% des patients étaient des hommes. Dans les essais cliniques où l'origine ethnique a été enregistrée, la distribution ethnique était de 81% de Caucasien 11% Asiatique 4% noir et 4% d'autres. L'âge moyen était de 53 ans (varie de <1 week to 97 years).
Dans l'ensemble, 4% des patients ont signalé au moins une réaction indésirable se produisant principalement immédiatement ou dans les 24 heures suivant l'administration de Dotarem. La plupart des effets indésirables étaient de nature légère ou modérée et de nature transitoire.
Le tableau 2 répertorie les effets indésirables qui se sont produits chez ≥ 0,2% de patients qui ont reçu DOTAREM.
Tableau 2: Réactions indésirables dans les essais cliniques
| Réaction | Taux (%) n = 2867 |
| Nausée | 0,6% |
| Mal de tête | 0,4% |
| Douleur du site d'injection | 0,4% |
| Site d'injection Coldness | 0,2% |
| Éruption cutanée | 0,2% |
Réactions indésirables qui se sont produites avec une fréquence <0,2% in patients who received Dotarem include: se sentir froid feeling hot burning sensation somnolence pain vertiges dysgeusia blood creatinine increased hypotension hypertension asthenia fatigue injection site reactions (inflammation extravasation pruritus swelling warmth) paresthesia pruritus laryngeal discomfort pain in extremity vomissement anxiété et palpitations.
Réactions indésirables chez les patients pédiatriques
Pendant les essais cliniques 185 patients pédiatriques (52 ans <24 months 33 aged 2 -5 years 57 aged 6 -11 years et 43 aged 12 – 17 years) received Dotarem. Overall 7 pediatric patients (3.8%) reported at least one adverse reaction following Dotarem administration. The most frequently reported adverse reaction was mal de tête (1.1%). Most adverse events were mild in intensity et transient in nature.
Expérience de commercialisation de la poste
Les effets indésirables supplémentaires suivants ont été identifiés lors de l'utilisation post-commercialisation de DotaRem ou d'autres GBCA. Étant donné que ces réactions sont rapportées volontairement d'une population de taille incertaine, il n'est pas toujours possible d'estimer de manière fiable leur fréquence ou d'établir une relation causale à l'exposition au médicament.
Tableau 3: Réactions indésirables dans l'expérience de commercialisation postale
| Classe d'organes système | Réaction indésirable |
| Troubles cardiaques | arythmie de tachycardie de Bradycardie |
| Troubles du système immunitaire | Hypersensibilité / réactions anaphylactoïdes, y compris l'atelier respiratoire cardiaque Cyanose Cyanose Pharyngée œdage du laryngospasme |
| Troubles du système nerveux | Coma Convulsion Syncope Presyncope Parosmie Tremor |
| Troubles du tissu musculo-squelettique et conjonctif | contracture musculaire faiblesse musculaire |
| Troubles gastro-intestinaux | diarrhée hypersécrétion salivaire pancréatite aiguë avec début dans les 48 heures suivant l'administration de la GBCA |
| Troubles généraux et conditions du site d'administration | Les réactions indésirables de la fièvre des malaises avec apparition et durée variables ont été rapportées après l'administration de GBCA. Il s'agit notamment des syndromes de la douleur de la fatigue et de la douleur et des grappes hétérogènes de symptômes dans les systèmes cutanés et musculo-squelettiques neurologiques. |
| Troubles thoraciques et médiastinaux respiratoires | Syndrome de détresse respiratoire aiguë œdème pulmonaire |
| Troubles de la peau et des tissus sous-cutanés | NSF chez les patients dont les rapports ont été confondus par la réception d'autres GBCA ou dans des situations où la réception d'autres GBCA n'a pas pu être exclue. Aucun cas non confronté de NSF n'a été signalé avec Dotarem. Plaques associées au gadolinium |
| Troubles vasculaires | Phlébite superficielle |
Interactions médicamenteuses pour dotarem
Le gadotère n'interfère pas avec les mesures de calcium sérum et plasmatique déterminées par des tests colorimétriques. Des études spécifiques d'interaction médicamenteuse avec Dotarem n'ont pas été menées.
Avertissements pour dotarem
Inclus dans le cadre du 'PRÉCAUTIONS' Section
Précautions pour Dotarem
Risque associé à l'utilisation intrathécale
L'administration intrathécale des GBCA peut provoquer de graves effets indésirables, notamment l'encéphalopathie et les convulsions de la mort. La sécurité et l'efficacité de Dotarem n'ont pas été établies avec une utilisation intrathécale. Dotarem n'est pas approuvé pour une utilisation intrathécale [voir Posologie et administration ].
Fibrose systémique néphrogénique
Les GBCA augmentent le risque de fibrose systémique néphrogénique (NSF) chez les patients souffrant d'élimination altérée des médicaments. Évitez l'utilisation de Dotarem parmi ces patients, sauf si les informations diagnostiques sont essentielles et non disponibles avec une IRM non contrastée ou d'autres modalités. Le risque NSF associé au GBCA semble le plus élevé pour les patients atteints d'une maladie rénale grave chronique (DFG <30 mL/min/1.73m 2 ) ainsi que des patients souffrant de lésions rénales aiguës. Le risque semble plus faible pour les patients atteints d'une maladie rénale chronique modérée (GFR 30 -59 ml / min / 1,73 m 2 ) et peu, voire pas, pour les patients atteints d'une maladie rénale légère chronique (GFR 60 -89 ml / min / 1,73 m 2 ). La NSF peut entraîner une fibrose mortelle ou débilitante affectant le muscle cutané et les organes internes. Signalez tout diagnostic de NSF après l'administration Dotarem à Guerbet LLC (1-877-729-6679) ou FDA (1-800-FDA-1088 ou www.fda.gov/medwatch).
La phentermine provoque-t-elle une pression artérielle élevée
Prix de dépistage des lésions rénales aiguës et d'autres conditions qui peuvent réduire la fonction rénale. Les caractéristiques des lésions rénales aiguës sont constituées d'une diminution rapide (pendant des heures à des jours) et généralement réversible de la fonction rénale couramment dans le cadre de la chirurgie des lésions sévères de l'infection ou de la toxicité rénale induite par le médicament. Les taux de créatinine sérique et le DFG estimé ne peuvent pas évaluer de manière fiable la fonction rénale dans le cadre d'une lésion rénale aiguë. Pour les patients à risque de réduction chronique de la fonction rénale (par exemple, l'âge> 60 ans du diabète sucré ou l'hypertension chronique) estiment le DFG par le biais de tests en laboratoire.
Les facteurs qui peuvent augmenter le risque de NSF sont répétés ou plus élevés que les doses recommandées d'un GBCA et le degré de déficience rénale au moment de l'exposition. Enregistrez la GBCA spécifique et la dose administrée à un patient. Pour les patients à risque le plus élevé de NSF, ne dépassent pas la dose de dotarem recommandée et ne permettent pas une période suffisante d'élimination du médicament avant la ré-administration. Pour les patients recevant des hémodialysés, les médecins peuvent considérer l'initiation rapide de l'hémodialyse après l'administration d'un GBCA afin d'améliorer l'élimination de l'agent de contraste. L'utilité de l'hémodialyse dans la prévention de la NSF est inconnue [voir Posologie et administration et Pharmacologie clinique ].
Réactions d'hypersensibilité
Des réactions anaphylactiques et anaphylactoïdes ont été rapportées avec Dotarem impliquant des manifestations respiratoires cardiovasculaires et / ou cutanées. Certains patients ont connu un effondrement circulatoire et sont morts. Dans la plupart des cas, les symptômes initiaux se sont produits dans les minutes suivant l'administration DotaRem et résolus avec un traitement d'urgence rapide [voir Effets indésirables ].
- Avant l'administration de Dotarem, évaluez tous les patients pour toute histoire de réaction pour contraster l'asthme bronchique des milieux et / ou les troubles allergiques. Ces patients peuvent avoir un risque accru de réaction d'hypersensibilité à Dotarem.
- Administrer Dotarem uniquement dans les situations où le personnel formé et les thérapies sont rapidement disponibles pour le traitement des réactions d'hypersensibilité, y compris le personnel formé à la réanimation.
- Pendant et après l'administration de Dotarem observer les patients pour des signes et symptômes de réactions d'hypersensibilité.
Rétention de gadolinium
Le gadolinium est conservé pendant des mois ou des années dans plusieurs organes. Les concentrations les plus élevées (nanomoles par gramme de tissu) ont été identifiées dans l'os suivi d'autres organes (par exemple, le foie et la rate rénale de la peau du cerveau). La durée de rétention varie également selon les tissus et est la plus longue en os. Les GBCA linéaires provoquent plus de rétention que les GBCA macrocycliques. À des doses équivalentes, la rétention de gadolinium varie selon les agents linéaires avec Omniscan (gadodiamide) et Optimark (gadoverstamide) provoquant une plus grande rétention que les autres agents linéaires [eovist (gadoxetate disodium) magnévisiste (gadopentatet dimeglumine) multihance (gadobénat diméglue)]. La rétention est la plus faible et similaire parmi les GBCA macrocycliques [dotarem (gadoterate meglumine) Gadavist (gadobutrol) interdiction (gadoteridol)].
Les conséquences de la rétention du gadolinium dans le cerveau n'ont pas été établies. Les conséquences pathologiques et cliniques de l'administration et de la rétention de la GBCA dans la peau et d'autres organes ont été établies chez des patients présentant une fonction rénale altérée [voir Fibrose systémique néphrogénique ]. There are rare reports of pathologic skin changes in patients with normal renal function. Adverse events involving multiple organ systems have been reported in patients with normal renal function without an established causal link to gadolinium retention [see Effets indésirables ].
Bien que les conséquences cliniques de la rétention du gadolinium n'aient pas été établies chez les patients ayant une fonction rénale normale, certains patients pourraient être plus à risque. Il s'agit notamment des patients nécessitant plusieurs doses à vie des patients enceintes et pédiatriques et des patients atteints de conditions inflammatoires. Considérez les caractéristiques de rétention de l'agent lors du choix d'une GBCA pour ces patients. Minimiser les études répétitives d'imagerie GBCA de GBCA particulièrement étroitement espacées lorsque cela est possible.
Blessure rénale aiguë
Chez les patients atteints de fonction réduite chroniquement réduite, une lésion rénale aiguë nécessitant une dialyse s'est produite avec l'utilisation de GBCA. Le risque de lésion rénale aiguë peut augmenter avec une dose croissante de l'agent de contraste; Administrer la dose la plus faible nécessaire pour une imagerie adéquate. Écranz tous les patients pour les troubles rénaux en obtenant des tests d'histoire et / ou de laboratoire. Envisagez des évaluations de fonctions de suivi pour les patients ayant des antécédents de dysfonctionnement rénal.
Réactions d'extravasation et de site d'injection
Assurer le cathéter et la perméabilité veineuse avant l'injection de Dotarem. L'extravasation dans les tissus pendant l'administration de Dotarem peut entraîner une irritation des tissus [voir Toxicologie non clinique ].
Informations de conseil des patients
- Conseiller au patient de lire l'étiquetage des patients approuvé par la FDA ( Guide des médicaments )
Fibrose systémique néphrogénique
Demandez aux patients d'informer leur fournisseur de soins de santé s'ils:
- ont des antécédents de maladie rénale ou
- ont récemment reçu une GBCA.
Les GBCA augmentent le risque de NSF chez les patients souffrant d'élimination altérée des médicaments. Pour conseiller les patients à risque de NSF:
- Décrire les manifestations cliniques de la NSF.
- Décrivez les procédures pour dépister la détection des troubles rénaux.
Demandez aux patients de contacter leur médecin s'ils développent des signes ou des symptômes de NSF après l'administration de Dotarem tels que la brûlure des démangeaisons de gonflement du durcissement et du resserrement de la peau; plaques rouges ou foncées sur la peau; raideur dans les articulations avec du mal à déplacer la flexion ou le redressement des jambes des mains ou les pieds; douleur dans les os ou les côtes de la hanche; ou faiblesse musculaire.
Réactions indésirables courantes
Informer les patients qu'ils peuvent vivre:
- Réactions along the venous injection site such as mild et transient burning or pain or feeling of warmth or coldness at the injection site.
- Effets secondaires des maux de tête Nausées Goûts anormaux et se sentir chauds.
Précautions générales
Grossesse
Conseiller les femmes enceintes du risque potentiel d'exposition fœtale aux gadotérarés [voir Utiliser dans des populations spécifiques ]
Rétention de gadolinium
Informez les patients que le gadolinium est conservé pendant des mois ou des années dans la peau osseuse du cerveau et d'autres organes chez les patients ayant une fonction rénale normale. Les conséquences cliniques de la rétention sont inconnues. La rétention dépend de plusieurs facteurs et est plus grande suite à l'administration de GBCA linéaires que après l'administration de GBCA macrocycliques [voir AVERTISSEMENTS AND PRÉCAUTIONS ].
Toxicologie non clinique
Carcinogenèse Mutagenèse A trouble de la fertilité
Des études sur les animaux à long terme n'ont pas été réalisées pour évaluer le potentiel cancérigène de la méglumine gadotère.
Le gadotère de la méglumine n'a pas démontré de potentiel mutagène dans in vitro tests bactériens de mutation inverse (test d'Ames) en utilisant Salmonella typhimurium dans un in vitro test d'aberration chromosomique dans les cellules ovaires du hamster chinois dans un in vitro test de mutation génique dans les cellules pulmonaires de hamster chinois ni dans un en vain test de micronucléus de souris.
Aucune altération de la fertilité masculine ou féminine et des performances de reproduction n'a été observée chez le rat après l'administration intraveineuse de méglumine gadotère à la dose maximale testée de 10 mmol / kg / jour (16 fois la dose humaine maximale basée sur la surface) donnée pendant plus de 9 semaines chez les hommes et plus de 4 semaines chez les femmes. Le nombre de spermatozoïdes et la motilité des spermatozoïdes n'ont pas été affectés par le traitement par le médicament.
Utiliser dans des populations spécifiques
Grossesse
Résumé des risques
Les GBCA traversent le placenta humain et entraînent une exposition fœtale et une rétention de gadolinium. Les données humaines sur l'association entre les GBCA et les résultats fœtaux défavorables sont limités et non concluants (voir Données ). Dans les études de reproduction animale, aucun effet de développement défavorable n'a été observé chez les rats ou les lapins avec une administration intraveineuse de méglumine de gadotère pendant l'organogenèse à des doses jusqu'à 16 et 10 fois respectivement la dose humaine recommandée (voir (voir Données ). En raison des risques potentiels de gadolinium au fœtus, n'utilisez DotaRem que si l'imagerie est essentielle pendant la grossesse et ne peut être retardée.
Le risque de fond estimé de malformations congénitales majeures et de fausse couche pour la ou les populations indiquées sont inconnues. Toutes les grossesses présentent un risque de fond de perte de maltraitance natale ou d'autres résultats indésirables. Dans la population générale américaine, le risque de fond estimé de malformations congénitales majeures et de fausse couche dans les grossesses cliniquement reconnues est respectivement de 2 à 4% et 1520%.
Données
Données humaines
L'amélioration du contraste est visualisée dans le placenta et les tissus fœtaux après l'administration maternelle du GBCA.
Les études de cohorte et les rapports de cas sur l'exposition aux GBCA pendant la grossesse n'ont pas signalé une association claire entre les GBCA et les effets indésirables dans les nouveau-nés exposés. Cependant, une étude de cohorte rétrospective comparant les femmes enceintes qui avaient une IRM GBCA aux femmes enceintes qui n'avaient pas d'IRM ont signalé une occurrence plus élevée de mortinaissances et de décès néonatals dans le groupe recevant l'IRM GBCA. Les limites de cette étude comprennent un manque de comparaison avec l'IRM non contrastée et le manque d'informations sur l'indication importante de l'IRM. Dans l'ensemble, ces données empêchent une évaluation fiable du risque potentiel de résultats fœtaux défavorables avec l'utilisation de GBCA pendant la grossesse.
Données sur les animaux
Rétention de gadolinium
Les GBCAS administrés à des primates non humains enceintes (NULL,1 mmol / kg les jours gestationnels 85 et 135) entraînent une concentration mesurable de gadolinium dans la progéniture dans les reins hépatiques et la rate de la peau du cerveau osseux pendant au moins 7 mois. Les GBCAS administrés à des souris enceintes (2 mmol / kg par jour les jours gestationnels 16 à 19) entraînent des concentrations de gadolinium mesurables chez les chiots dans le muscle du sang hépatique du cerveau osseux et la rate à un mois d'âge postnatal.
Toxicologie reproductive
La méglumine de gadotère a été administrée à des doses intraveineuses de 0 2 4 et 10 mmol / kg / jour [3 7 et 16 fois la dose humaine recommandée (RHD) basée sur la surface du corps (BSA)] à des rats femelles pendant 14 jours avant de s'accoupler tout au long de la période d'accouplement et jusqu'à la gestation Day (GD) 17. Les lapins enceintes ont été administrés au gadoard mmol / kg / jour (3 10 et 23 fois le RHD basé sur BSA) de GD6 à GD19. Aucun effet sur le développement des embryons-foetaux n'a été observé à des doses allant jusqu'à 10 mmol / kg / jour chez le rat et 3 mmol / kg / jour chez le lapin. La toxicité maternelle a été observée chez le rat à 10 mmol / kg / jour et chez le lapin à 7 mmol / kg / jour. Cette toxicité maternelle a été caractérisée chez le rat par une taille de litière légèrement inférieure et un poids d'utérus gravide par rapport au groupe témoin et chez les lapins par une réduction du poids corporel et de la consommation alimentaire.
Lactation
Résumé des risques
Il n'y a pas de données sur la présence de gadotère dans le lait maternel les effets sur le nourrisson allaité ou les effets sur la production de lait. Cependant, les données de lactation publiées sur d'autres GBCA indiquent que 0,01 à 0,04% de la dose de gadolinium maternelle est excrétée dans le lait maternel. De plus, il existe une absorption gastro-intestinale GBCA limitée chez le nourrisson allaité. Le gadotatère est présent dans le lait de chèvre (voir Données ). Les avantages du développement et de la santé de l'allaitement doivent être pris en compte avec le besoin clinique de la mère de Dotarem et tout effet indésirable potentiel sur le nourrisson allaité de Dotarem ou de l'état maternel sous-jacent.
Données
Les données non cliniques démontrent que le gadotérate est détecté dans le lait de chèvre en quantités <0.1% of the dose intravenously administered. Furthermieore in rats absorption of gadoterate via the gastrointestinal tract is poor (1.2% of the administered dose was absorbed et eliminated in urine).
Usage pédiatrique
The safety and efficacy of DOTAREM at a single dose of 0.1 mmol/kg have been established in pediatric patients from birth (term neonates ≥ 37 weeks gestational age) to 17 years of age based on clinical data in 133 pediatric patients 2 years of age and older and clinical data in 52 pediatric patients birth to less than 2 years of age that supported extrapolation from adult data [see Études cliniques ]. Adverse reactions in pediatric patients were similar to those reported in adults [see Effets indésirables ]. No dosage adjustment according to age is necessary in pediatric patients [see Posologie et administration Pharmacocinétique ]. The safety of Dotarem has not been established in preterm neonates.
Aucun cas de NSF associé à Dotarem ou à tout autre GBCA n'a été identifié chez les patients pédiatriques âgés de 6 ans et moins [voir AVERTISSEMENTS AND PRÉCAUTIONS ]. Normal estimated GFR (eGFR) is approximately 30 mL/minute/1.73m 2 à la naissance et augmente aux valeurs adultes de 2 ans.
Données d'animaux juvéniles
Les études de toxicité à dose unique et répétée chez les rats néonatals et juvéniles n'ont pas révélé de résultats suggérant un risque spécifique d'utilisation chez les patients pédiatriques, y compris les nouveau-nés et les nourrissons.
Utilisation gériatrique
Dans les études cliniques sur DOTAREM, 900 patients étaient âgés de 65 ans et plus et 304 patients étaient âgés de 75 ans et plus. Aucune différence globale de sécurité ou d'efficacité n'a été observée entre ces sujets et les sujets plus jeunes. En général, l'utilisation du dotarem chez les patients âgés devrait être prudente reflétant la plus grande fréquence de la fonction rénale altérée et de la maladie concomitante ou une autre thérapie médicamenteuse. Aucun ajustement posologique lié à l'âge n'est nécessaire.
Trouble rénal
Aucun ajustement de dosage de Dotarem n'est recommandé pour les patients souffrant de troubles rénaux. Le gadotatère peut être retiré du corps par l'hémodialyse [voir AVERTISSEMENTS AND PRÉCAUTIONS et Pharmacologie clinique ].
réaction aux oreilleurs de la rougeole vaccin contre la rubéole
Informations sur la surdose pour DotArem
Dotarem administered to healthy volunteers et to adult patients at cumulative doses up to 0.3 mmol/kg was tolerated in a manner similar to lower doses. Adverse reactions to overdosage with Dotarem have not been reported. Gadoterate meglumine can be removed from the body by hemodialysis [see Pharmacologie clinique ].
Contre-indications pour doter
Antécédents de réactions d'hypersensibilité cliniquement importantes à Dotarem [voir AVERTISSEMENTS AND PRÉCAUTIONS ].
Pharmacologie clinique for Dotarem
Mécanisme d'action
Le gadotère est une molécule paramagnétique qui développe un moment magnétique lorsqu'il est placé dans un champ magnétique. Le moment magnétique améliore les taux de relaxation des protons d'eau à proximité entraînant une augmentation de l'intensité du signal (luminosité) des tissus.
Dans l'imagerie par résonance magnétique (IRM), la visualisation du tissu normal et pathologique dépend en partie de variations de l'intensité du signal radiofréquence qui se produit avec:
- différences de densité de protons
- Différences des temps de relaxation spin-latrice ou longitudinaux (T1)
- Différences dans le temps de relaxation du spin ou de la transversale (T2)
Lorsqu'il est placé dans un gadotérate de champ magnétique raccourcit les temps de relaxation T1 et T2 dans les tissus cibles. Aux doses recommandées, l'effet est observé avec la plus grande sensibilité dans les séquences pondérées en T1.
Pharmacodynamique
Le gadotère affecte les temps de relaxation des protons et, par conséquent, le signal MR et le contraste obtenu sont caractérisés par la relativité de la molécule de gadotère. Les valeurs de relaxation pour le gadotère sont similaires à travers le spectre des forces de champ magnétique utilisées dans l'IRM clinique (NULL,2-1,5 T).
La perturbation de la barrière hémato-encéphalique ou de la vascularité anormale permet la distribution du gadotère dans les lésions telles que les abcès et les infarcations de néoplasmes.
Pharmacocinétique
La pharmacocinétique du gadolinium total a évalué jusqu'à 48 heures après une dose de dotaRem de 0,1 mmol / kg par voie intraveineuse a démontré une demi-vie d'élimination moyenne (rapportée respectivement en moyenne ± ET) d'environ 1,4 ± 0,2 HR et 2,0 ± 0,7 h chez les femmes et masculines. Des valeurs de profil pharmacocinétique et d'élimination similaires ont été observées après une injection intraveineuse de 0,1 mmol / kg de dotarem ont suivi 20 minutes plus tard par une deuxième injection de 0,2 mmol / kg (NULL,7 ± 0,3 h et 1,9 ± 0,2 HR chez les sujets femelles et masculins respectivement).
Distribution
Le volume de distribution à l'état d'équilibre du gadolinium total chez les sujets sains est de 179 ± 26 et 211 ± 35 ml / kg chez les sujets femelles et masculins respectivement à peu près équivalent à celui de l'eau extracellulaire. Le gadotatère ne subit pas de liaison protéique in vitro . L'étendue de la partitionnement des cellules sanguines du gadotère n'est pas connue. Après l'administration de la GBCA, le gadolinium est présent pendant des mois ou des années dans la peau des os du cerveau et d'autres organes [voir AVERTISSEMENTS AND PRÉCAUTIONS ].
Métabolisme
Le gadotère n'est pas connu pour être métabolisé.
Élimination
Après une dose de 0,1 mmol / kg de gadolinium total de Dotarem est excrété principalement dans l'urine avec 72,9 ± 17,0% et 85,4 ± 9,7% (moyenne ± ET) éliminée respectivement dans les 48 heures chez les femmes et masculines. Des valeurs similaires ont été obtenues après une dose cumulée de 0,3 mmol / kg (NULL,1 0,2 mmol / kg 20 minutes plus tard) avec 85,5 ± 13,2% et 92,0 ± 12,0% récupérées dans l'urine dans les 48 heures chez les sujets féminins et masculins respectivement.
Chez des sujets sains, les taux de clairance rénaux et totaux du gadolinium total sont comparables (NULL,27 ± 0,32 et 1,74 ± 0,12 ml / min / kg chez les femmes; et 1,40 ± 0,31 et 1,64 ± 0,35 ml / min / kg chez les mâles respectivement) indiquant que le médicament est principalement dégagé par les reins. Dans la plage de dose étudiée (NULL,1 à 0,3 mmol / kg), la cinétique du gadolinium total semble être linéaire.
Populations spécifiques
Trouble rénal
Une seule dose intraveineuse de 0,1 mmol / kg de dotarem a été administrée à 8 patients (5 hommes et 3 femmes) avec une fonction rénale altérée (créatinine sérique moyenne de 498 ± 98 μmol / L dans le groupe de dégagement de créatinine de 10-30 ml / min et 192 ± 62 μmol / L dans le groupe de dégagement de 30-60 ml / min / min crétinine). L'insuffisance rénale a retardé l'élimination du gadolinium total. La clairance totale a diminué en fonction du degré de déficience rénale. Le volume de distribution n'a pas été affecté par la gravité des troubles rénaux (tableau 5). Aucun changement dans les paramètres de test de la fonction rénale n'a été observé après l'injection de Dotarem. L'excrétion urinaire cumulative moyenne du gadolinium total était d'environ 76,9 ± 4,5% dans 48 heures chez les patients présentant une trouble rénal modéré 68,4 ± 3,5% en 72 heures chez les patients présentant une fonction rénale sévère et 93,3 E ± 4,7% en 24 heures pour les sujets ayant une fonction rénale normale.
Tableau 5: Profil pharmacocinétique du gadolinium total chez les patients normaux et à troubles rénaux
| Population | Élimination Half-life (heure) | Autorisation du plasma (L / h / kg) | Distribution Volume (L / kg) |
| Volontaires sains | 1,6 ± 0,2 | 0,10 ± 0,01 | 0,246 ± 0,03 |
| Patients souffrant de troubles rénaux modérés | 5.1 ± 1,0 | 0,036 ± 0,007 | 0,236 ± 0,01 |
| Patients souffrant de troubles rénaux graves | 13,9 ± 1,2 | 0,012 ± 0,001 | 0,234 ± 0,01 |
Le gadotère s'est avéré dialysable après une injection IV de DotaREM chez 10 patients atteints d'insuffisance rénale terminale qui nécessitait un traitement à l'hémodialyse. La concentration sérique de GD a diminué avec le temps de 88% 93% et 97% à 0,5 HR 1,5 HR et 4 heures après le début de la dialyse respectivement. Une deuxième et la troisième session d'hémodialyse ont en outre supprimé GD. Une fois la troisième concentration sérique de dialyse GD a diminué de 99,7%.
Population pédiatrique
La pharmacocinétique du gadotère chez les patients pédiatriques recevant une naissance âgée de DotaRem (nouveau-nés à terme) à 23 mois a été étudiée dans une étude multicentrique à label ouvert à l'aide d'une approche pharmacocinétique de la population. Au total, 45 sujets (22 hommes 23 femmes) ont reçu une seule dose intraveineuse de dotarem 0,1 mmol / kg (NULL,2 ml / kg). L'âge variait de moins d'une semaine à 23,8 mois (moyenne de 9,9 mois) et le poids corporel variait de 3 à 15 kg (moyenne 8,1 kg). Le niveau individuel de maturité rénale dans la population d'étude telle qu'exprimée par l'EGFR variait entre 52 et 281 ml / min / 1,73 m² et 11 patients avaient un EGFR inférieur à 100 ml / min / 1,73 m 2 (plage de 52 à 95 ml / min / 1,73 m 2 ).
Les concentrations de gadotérate obtenues jusqu'à 8 heures après l'administration de Dotarem ont été mieux ajustées à l'aide d'un modèle biphasique avec élimination linéaire de l'espace intravasculaire. Le dégagement moyen ajusté au poids corporel a été estimé à 0,16 ± 0,07 L / h / kg et augmenté avec l'EGFR. La demi-vie estimée d'élimination moyenne était de 1,47 ± 0,45 h.
Le poids corporel a ajusté la clairance du gadotérate après une injection intraveineuse unique de 0,1 mmol / kg de dotarem chez des sujets pédiatriques âgés de moins de 2 ans était similaire à celui observé chez des adultes en bonne santé.
Toxicologie et / ou pharmacologie animale
Des réactions d'intolérance locales, notamment une irritation modérée associée à l'infiltration de cellules inflammatoires, ont été observées après l'injection périvenue chez les lapins suggérant la possibilité d'une irritation locale si le milieu de contraste fuit autour des veines en milieu clinique [voir AVERTISSEMENTS AND PRÉCAUTIONS ].
La toxicité de la méglumine gadotère a été évaluée chez des rats néonatals et juvéniles (pré-et post-sevrage) après une administration intraveineuse unique ou répétée à des doses 1 2 et 4 fois le MHD sur la base de la BSA. La méglumine de gadotère a été bien tolérée à tous les niveaux de dose testés et n'a eu aucun effet sur le comportement de développement de la croissance et la maturation sexuelle.
Études cliniques
Imagerie du SNC
L'efficacité et l'innocuité de Dotarem ont été évaluées dans un essai clinique multicentrique (étude A) qui a inscrit 364 patients adultes et 38 patients pédiatriques (âgés ≥ 2 ans) avec des lésions du SNC connues ou suspectes. Les adultes ont été randomisés de 2 à 1 pour recevoir le DOTAREM ou le gadopentate dimeglumine administré chacun à une dose de 0,1 mmol / kg. Tous les patients pédiatriques ont reçu un dotarem également à une dose de 0,1 mmol / kg. Dans l'essai, les patients ont d'abord subi un examen IRM de référence (pré-contraste) suivi de l'administration GBCA attribuée et d'un examen MR post-contraste. Les images (pré-contraste post-contraste et avant et post-contraste) ont été interprétées par trois lecteurs indépendants hors site aveugle sur des informations cliniques. La principale analyse d'efficacité a comparé trois scores de visualisation au niveau du patient (images appariées) à l'IRM de base (images pré-contraste) pour les adultes qui ont reçu DotaRem. Les trois principales composantes de visualisation étaient: la délimitation des frontières d'amélioration du contraste et la morphologie interne. Pour chacun de ces composants, il y avait une échelle de notation prédéfinie. Le comptage des lésions (jusqu'à cinq par patient) s'est également reflété dans le score de visualisation au niveau du patient de chaque composant.
Parmi les patients adultes, 245 ont reçu Dotarem et leurs données comprenaient la principale population d'efficacité. Il y avait 114 (47%) hommes et 131 (53%) femmes ayant un âge moyen de 53 ans (intervalle de 18 à 85 ans), les représentations raciales et ethniques étaient 84% Caucasien 11% Asian 4% noir et 1% d'autres.
Le tableau 6 affiche une comparaison des images appariées (pré-et post-contraste) aux images pré-contrastes en ce qui concerne la proportion de patients qui avaient des scores d'image appariés qui étaient plus meilleurs ou les mêmes / pires pas mieux que les scores pré-contrastes et en ce qui concerne la différence dans le score de visualisation moyen au niveau du patient. Dans les trois lecteurs, 56% à 94% des patients avaient amélioré la visualisation des lésions pour les images appariées par rapport aux images pré-contrastes. Dotarem a fourni une amélioration statistiquement significative pour les trois composantes de visualisation primaires. Plus de lésions ont été observées sur les images appariées que les images pré-contrastes.
Tableau 6: Étude A. Amélioration des scores de visualisation de la lésion au niveau du patient appariés par rapport aux images pré-contrastes (un)
| Scores de lésion | Lecteur 1 | Lecteur 2 | Lecteur 3 |
| n = 231 | n = 232 | n = 237 | |
| Délimitation des frontières | |||
| Mieux | 195 (84%) | 215 (93%) | 132 (56%) |
| Pas mieux | 28 (12%) | 7 (3%) | 88 (37%) |
| Manquant | 8 (4%) | 10 (4%) | 17 (7%) |
| Différence de score moyen (b) | 2.26 * | 2.89 * | 1.17 * |
| Morphologie interne | |||
| Mieux | 218 (94%) | 214 (93%) | 187 (79%) |
| Pas mieux | 5 (2%) | 8 (3%) | 33 (14%) |
| Manquant | 8 (4%) | 10 (4%) | 17 (7%) |
| Différence de score moyen (b) | 2.74 * | 2,75 * | 1,54 * |
| Amélioration du contraste | |||
| Mieux | 208 (90%) | 216 (93%) | 208 (88%) |
| Pas mieux | 15 (6%) | 6 (3%) | 12 (5%) |
| Manquant | 8 (4%) | 10 (4%) | 17 (7%) |
| Différence de score moyen (b) | 3.09 * | 3.69 * | 2.92 * |
| (un) Mieux: number of patients with paired (pre-et post-contrast) score greater than the pre-contrast score Not better: number of patients with paired score same as or worse than the pre-contrast score Manquant: number of patients with missing score (b) Différence = score moyen apparié moins score moyen pré-contraste * Amélioration statistiquement significative par test t apparié |
Dans les analyses secondaires, les images post-contrastes ont été améliorées par rapport aux images pré-contrastes. Les scores de visualisation des lésions DotaRarem étaient similaires à ceux du gadopentate dimeglumine. Les résultats de l'imagerie DOTAREM chez les patients pédiatriques étaient également similaires à ceux observés chez les adultes.
Dans un deuxième essai clinique (étude B), les images MR ont été reliées à 150 patients adultes avec des lésions connues du SNC qui avaient participé à un essai clinique précédemment mené. L'administration de Dotarem et l'interprétation de l'image ont été réalisées de la même manière que dans l'étude A. similaire à l'étude A Cet essai a également démontré une amélioration de la visualisation des lésions avec DotaREM.
Imagerie du SNC In The Sub-Population Of Pediatric Patients <2 Years Old
Une étude non randomisée (étude C) avec 28 patients pédiatriques de moins de 2 ans qui ont été référés pour l'IRM contraste de la CNS ont soutenu l'extrapolation des résultats de l'efficacité du SNC d'adultes et d'enfants plus âgés. Les lésions du SNC ont été identifiées chez 16 de ces 28 patients sur des images pré-et post-contrastes appariées par rapport à 15 patients sur des images pré-contrastes seules. Chez les 16 patients qui avaient des lésions identifiables, les scores des co-points de visualisation de la lésion ont été améliorés pour au moins une lésion sur des images pré-et post-contrastes appariées par rapport aux images pré-contrastes chez 8 des 16 (50%) des patients pour la délimitation de la frontière des lésions 8 sur 16 (50%) patients pour la morphologie interne de lésion et 14 sur 16 (88%) pour les patients de la lérsion de la lésion.
Informations sur les patients pour dotarem
Dotarem ®
(Doh tah rem)
(Gadoterate Meglumine) Injection pour une utilisation intraveineuse
Quelles sont les informations les plus importantes que je devrais connaître sur Dotarem?
- Les GBCA comme Dotarem peuvent provoquer des effets secondaires graves, notamment l'encéphalopathie et les convulsions du coma à la mort lorsqu'il est donné par voie intrathécale (injection donnée dans le canal vertébral). On ne sait pas si Dotarem est sûr et efficace avec une utilisation intrathécale. Dotarem n'est pas approuvé pour cette utilisation.
- Dotarem contains a metal called gadolinium. Small amounts of gadolinium can stay in your body including the brain bones skin et other parts of your body for a long time (several months to years).
- On ne sait pas comment le gadolinium peut vous affecter, mais jusqu'à présent, les études n'ont pas trouvé d'effets nocifs chez les patients avec des reins normaux.
- Les patients ont rarement signalé une fatigue de la douleur et des muscles de la peau ou des affections osseuses pendant longtemps, mais ces symptômes n'ont pas été directement liés au gadolinium.
- Il existe différents GBCA qui peuvent être utilisés pour votre examen IRM. La quantité de gadolinium qui reste dans le corps est différente pour différents médicaments au gadolinium. Le gadolinium reste davantage dans le corps après Omniscan ou Optimark qu'après Eovist Magnevist ou Multihance. Le gadolinium reste dans le corps le moins après le gadaviste ou la prohance Dotarem.
- Les personnes qui reçoivent de nombreuses doses de gadolinium médicaments par les femmes enceintes et les jeunes enfants peuvent courir un risque accru de la séjour du gadolinium dans le corps.
- Certaines personnes ayant des problèmes rénaux qui obtiennent des médicaments de gadolinium peuvent développer une condition avec un épaississement grave des muscles de la peau et d'autres organes du corps (fibrose systémique néphrogénique). Votre fournisseur de soins de santé devrait vous projeter pour voir dans quelle mesure vos reins fonctionnent avant de recevoir Dotarem.
Qu'est-ce que Dotarem?
- Dotarem is a prescription medicine called a gadolinium-based contrast agent (GBCA). Dotarem like other GBCAs is injected into your vein et used with a magnetic resonance imaging (MRI) scanner.
- Un examen IRM avec une GBCA, y compris DotaRem, aide votre médecin à mieux voir les problèmes qu'un examen IRM sans GBCA.
Votre médecin a examiné vos dossiers médicaux et a déterminé que vous bénéficieriez de l'utilisation d'un GBCA avec votre examen IRM.
Ne recevez pas Dotarem si vous avez eu une réaction allergique sévère à Dotarem.
Avant de recevoir Dotarem, dites à votre fournisseur de soins de santé de toutes vos conditions médicales, y compris si vous:
- ont eu des procédures IRM dans le passé où vous avez reçu une GBCA. Votre professionnel de la santé peut vous demander plus d'informations, y compris les dates de ces procédures d'IRM.
- sont enceintes ou prévoient de devenir enceintes. On ne sait pas si Dotarem peut nuire à votre bébé à naître. Parlez à votre fournisseur de soins de santé des risques possibles pour un bébé à naître si un GBCA tel que Dotarem est reçu pendant la grossesse.
- avoir des problèmes rénaux diabétiques ou l'hypertension artérielle.
- ont eu une réaction allergique aux colorants (agents de contraste), y compris les GBCA.
Quels sont les effets secondaires possibles de Dotarem?
- Vous voyez quelles sont les informations les plus importantes que je devrais connaître sur Dotarem?
- Réactions allergiques. Le dotarem peut provoquer des réactions allergiques qui peuvent parfois être graves. Votre fournisseur de soins de santé vous surveillera de près pour les symptômes d'une réaction allergique.
Les effets secondaires les plus courants de Dotarem comprennent: la douleur des maux de tête de nausée ou la sensation de froid au site d'injection et de l'éruption cutanée.
Ce ne sont pas tous les effets secondaires possibles de Dotarem.
Quel est le générique pour Ambien
Appelez votre médecin pour des conseils médicaux sur les effets secondaires. Vous pouvez signaler les effets secondaires à la FDA au 1-800-FDA-1088.
Informations générales sur les utilisations sûres et efficaces de Dotarem.
Les médicaments sont parfois prescrits à des fins autres que celles énumérées dans un guide de médicaments. Vous pouvez demander à votre professionnel de la santé des informations sur Dotarem qui est écrite pour les professionnels de la santé.
Quels sont les ingrédients de Dotarem?
Ingrédient actif: Gadoterate Meglumine
Ingrédients inactifs: eau dota pour l'injection
Ce guide de médicaments a été approuvé par la Food and Drug Administration des États-Unis.