Les Informations Présentées Sur Ce Site Ne Constituent Pas Un Avis Médical. Nous Ne Vendons Rien. L'Exactitude De La Traduction N'Est Pas Garantie. Clause De Non-Responsabilité



Metrine 24 Fe

Résumé

Qu'est-ce que Minastrin 24 Fe?

Minastrin 24 Fe (acétate de norethindrone et éthinyle Estradiol / Fumarate ferreux) est une combinaison d'hormones féminines et du fer minéral utilisé comme contraceptif oral pour prévenir la grossesse. Minastrin 24 Fe est disponible en générique formulaire.

Quels sont les effets secondaires de Minastrin 24 Fe?

Metrine 24 Fe



  • urticaire
  • difficulté à respirer
  • gonflement de ton visage lèvres langue ou gorge
  • étourdissements sévères
  • bosse dans le sein
  • changements d'humeur
  • Nouveau ou aggravant la dépression
  • douleur à l'estomac sévère
  • Repérage continu
  • Saignement lourd soudain
  • périodes manquées
  • urine sombre
  • jaunissement des yeux ou de la peau ( jaunisse )
  • mâchoire de poitrine et douleur au bras gauche
  • confusion
  • étourdissements soudains
  • évanouissement
  • Douleur gonflante de la chaleur dans l'aine ou le mollet
  • Diagramme à parler
  • Un essoufflement soudain
  • respiration rapide
  • maux de tête inhabituels
  • Les maux de tête avec des changements de vision
  • manque de coordination
  • aggravation des migraines
  • Maux de tête soudains ou très graves
  • transpiration inhabituelle
  • faiblesse d'un côté du corps
  • problèmes de vision
  • double vision et
  • cécité partielle ou complète

Obtenez de l'aide médicale immédiatement si vous présentez l'un des symptômes énumérés ci-dessus.



Les effets secondaires courants de Minastrin 24 Fe sont:

  • mal de tête
  • candidose vaginale
  • nausée
  • crampes menstruelles
  • tendreté mammaire
  • vaginite bactérienne
  • frottis cervical anormal
  • acné
  • Swings d'humeur et
  • Gain de poids.

Cherchez des soins médicaux ou appelez le 911 à la fois si vous avez les effets secondaires graves suivants:



  • Des symptômes oculaires graves tels que la perte de vision soudaine floue du tunnel de vision de la vision de la vision des yeux ou de l'enflure ou de voir des halos autour des lumières;
  • Symptômes cardiaques graves tels que les battements cardiaques rapides ou battants; flotter dans votre poitrine; essoufflement; et des étourdissements soudains, de la légèreté ou de l'évanouissement;
  • Maux de tête sévères Confusion Slurred Speech Bras ou Ligne Proulitude Trouble de la merde Perte de coordination Sentiment des muscles très rigides très rigides Fièvre élevée Propice ou des tremblements.

Ce document ne contient pas tous les effets secondaires possibles et d'autres peuvent survenir. Vérifiez auprès de votre médecin des informations supplémentaires sur les effets secondaires.

Dosage pour la métrine 24 Fe

La posologie de Minastrin 24 Fe est une capsule de Minastrin 24 jaune par jour à partir du premier jour du cycle menstruel (le premier jour de menstruation est le premier jour) pendant 24 jours consécutifs suivis d'une capsule marron quotidienne les jours 25 à 28. Minastrin 24 Fe doit être pris comme indiqué et à des intervalles ne dépassant pas 24 heures.

Berceau de barque Cactus jus de santé Avantages

Quelles substances ou suppléments de médicaments interagissent avec Minastrin 24 Fe?

Minastrin 24 Fe peut interagir avec les barbituriques de phénytoïne carbamazépine bosentan felbamate griseofulvin oxcarbazépine rifampicine topiramate St. John's Ward's Acid Acid acétaminophène itraconazole kétoconazole VIH / Inhibiteurs de la protéase du VHC HCV Inhibiteurs de transcriptase inverse non nucléoside (NNRTIS) Antibiotiques lamotrigine et thérapie de remplacement des hormones thyroïdiennes. Dites à votre médecin tous les médicaments et suppléments que vous utilisez.

Minastrin 24 Fe pendant la grossesse ou l'allaitement

Il n'y a aucune raison pour les femmes enceintes d'utiliser Minastrin 24 Fe. Minastrin 24 Fe passe dans le lait maternel et peut réduire la production de lait. Les femmes devraient utiliser d'autres formes de contraception jusqu'à ce qu'elles aient sevré leur enfant. Consultez votre médecin avant l'allaitement.

Informations Complémentaires

Minastrin 24 Fe (acétate de norethindrone et éthinyle Estradiol / Ferrous Fumarate) Centre de médicaments à effets secondaires fournit une vue complète des informations sur les médicaments disponibles sur les effets secondaires potentiels lors de la prise de ce médicament.

Informations sur les médicaments de la FDA

AVERTISSEMENT

Tabagisme et événements cardiovasculaires graves

Le tabagisme augmente le risque d'événements cardiovasculaires graves à partir de l'utilisation combinée de contraceptifs oraux (COC). Ce risque augmente avec l'âge, en particulier chez les femmes de plus de 35 ans et avec le nombre de cigarettes fumées. Pour cette raison Contre-indications ].

Description de Metrine 24 Fe

Minastrin 24 Fe (acétate de noréthindrone et capsules d'estradiol et éthinyle et capsules de fumarate ferreux) contiennent l'acétate de noréthindrone un progestatif et l'éthinyle estradiol et les œstrogènes. Minastrin 24 Fe fournit un régime contraceptif oral composé de 24 capsules de gélatine molle active jaunes qui contiennent les ingrédients actifs suivis de 4 capsules de gélatine molle non hormonale marron non hormonale comme spécifié ci-dessous:

  • 24 capsules jaune pâle transparentes ovales contenant chacune 1 mg d'acétate de noréthindrone et 20 mcg d'éthinyle estradiol.
  • 4 capsules marron opaques ovales contenant chacun 75 mg de fumarate ferreux

Chaque capsule active jaune contient également les ingrédients inactifs suivants: l'huile de sésame linoléoyle polyoxylglycérides DL-α-tocophérol déshydraté gélatine sorbitol et glycérine.

Chaque capsule de placebo marron contient du fumarate de soja fumarate lécithine jaune de cire d'abeille jaune gélatine sorbitol glycérine fd

Le nom chimique de l'éthinyle estradiol est [19-norpregna-135 (10) -Trien-20-myne-317-diol (17α) -]. La formule empirique de l'éthinyle Estradiol est C20H24O2 et la formule structurelle est:

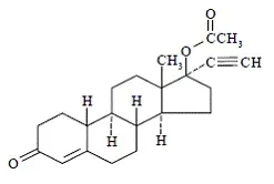
Le nom chimique de l'acétate de Norethindrone est [19-norpregn-4-en-20-synt-3-one 17 (acyloxy) - (17α) -]. La formule empirique de l'acétate de noréthindrone est C 22 H 28 O 3 Et la formule structurelle est:

Utilisations pour Metrine 24 Fe

Minastrin 24 Fe est indiqué pour une utilisation par les femmes d'âge reproducteur pour empêcher la grossesse [voir Études cliniques ].

L'efficacité de Minastrin 24 FE chez les femmes avec un indice de masse corporelle (IMC) de plus de 35 kg / m² n'a pas été évaluée.

Dosage pour la métrine 24 Fe

Comment prendre Minastrin 24 Fe

Pour atteindre l'efficacité contraceptive maximale, le minastrin 24 FE doit être pris exactement comme indiqué. Demandez aux patients de prendre un comprimé par voie bouche à la même heure chaque jour. La tablette peut être mâchée et avalée ou avalée entière. Le patient doit boire un verre complet (8 onces) d'eau immédiatement après que les comprimés blancs soient mâchés ou avalés entiers. Les tablettes doivent être prises dans l'ordre dirigé sur le pack de blister. Les comprimés ne doivent pas être sautés ou pris à des intervalles dépassant 24 heures. Pour les instructions du patient pour les tablettes manquées. Minastrin 24 Fe peut être administré sans égard aux repas [voir Pharmacologie clinique ].

Comment démarrer Minastrin 24 Fe

Demandez à la patiente de commencer à prendre Minastrin 24 Fe soit le premier jour de sa période menstruelle (début du jour 1), soit le premier dimanche après le début de sa période menstruelle (démarrage du dimanche).

Début du jour 1

Au cours du premier cycle de l'utilisation de Minastrin 24 Fe, demandez au patient de prendre une tablette White Minastrin 24 Fe par jour à partir du premier jour (1) de son cycle menstruel (le premier jour de menstruation est le premier jour). Elle devrait prendre une tablette blanche Minastrin 24 Fe par jour pendant 24 jours consécutifs, suivi par une tablette brun par jour les jours 25 à 28. Minastrin 24 Fe doit être pris dans l'ordre dirigé sur l'emballage en même temps chaque jour. Demandez au patient d'utiliser un contraceptif non hormonal comme secours au cours des 7 premiers jours si elle commence à prendre Minastrin 24 Fe un jour autre que le premier jour de son cycle menstruel. La possibilité d'ovulation et de conception avant le début des médicaments doit être prise en compte.

Début du dimanche

Au cours du premier cycle de l'utilisation de Minastrin 24 Fe, demandez au patient de prendre une tablette White Minastrin 24 Fe par jour à partir du premier dimanche après le début de sa période menstruelle. Elle devrait prendre une tablette blanche Minastrin 24 Fe par jour pendant 24 jours consécutifs, suivi par une tablette brun par jour les jours 25 à 28. Minastrin 24 Fe doit être pris dans l'ordre dirigé sur l'emballage en même temps chaque jour. Minastrin 24 Fe ne doit être considéré comme efficace comme un contraceptif qu'après les 7 premiers jours consécutifs d'administration de produits. Demandez au patient d'utiliser un contraceptif non hormonal en tant que sauvegarde au cours des 7 premiers jours. La possibilité d'ovulation et de conception avant le début des médicaments doit être prise en compte.

La patiente devrait la commencer ensuite et tous les régimes ultérieurs de 28 jours de Minastrin 24 Fe le même jour de la semaine qu'elle a commencé son premier régime après le même annexe. Elle devrait commencer à prendre ses tablettes blanches Minastrin 24 Fe le lendemain après l'ingestion de la dernière tablette brune, si une période menstruelle s'est produite ou non ou est toujours en cours. Chaque fois qu'un cycle ultérieur de Minastrin 24 FE est démarré plus tard que le lendemain de l'administration du dernier comprimé brun, le patient devrait utiliser une autre méthode de contraception jusqu'à ce qu'elle ait pris quotidiennement un comprimé de Minastrin 24 Fe blanc pendant 7 jours consécutifs.

Pour les femmes post-partum qui n'allaitent pas ou après un deuxième trimestre, l'avortement commence Minastrin 24 Fe au début de 4 semaines post-partum en raison du risque accru de thromboembolie. Si le patient commence sur Minastrin 24 Fe post-partum et n'a pas encore eu de période d'évaluation pour une éventuelle grossesse et de lui demander d'utiliser une méthode de contraception supplémentaire jusqu'à ce qu'elle ait pris Minastrin 24 Fe pendant 7 jours consécutifs.

Minastrin 24 FE peut être initié immédiatement après un avortement ou une fausse couche du premier trimestre; Si le patient commence Minastrin 24 Fe immédiatement, des mesures de contraceptif supplémentaires ne sont pas nécessaires.

Passer d'une autre méthode hormonale de contraception

Si le patient passe d'une méthode hormonale combinée telle que:

    • Une autre pilule
    • Bague vaginale
    • Correctif
  • Demandez-lui de prendre la première tablette White Minastrin 24 Fe le jour où elle aurait pris sa prochaine pilule COC. Elle ne devrait pas continuer à prendre les comprimés de son pack de contraception précédente et ne devrait pas sauter de jours entre les packs. Si elle n'a pas de saignement de sevrage, excluez la grossesse avant de commencer Minastrin 24 Fe.
  • Si elle utilisait auparavant un anneau vaginal ou un patch transdermique, elle devrait commencer à utiliser Minastrin 24 Fe le jour où elle aurait repris le produit précédent.

Si le patient passe d'une méthode progestative uniquement comme un:

    • Pilule progestative uniquement
    • Implant
    • Système intra-utérine
    • Injection
  • Elle peut passer n'importe quel jour d'une pilule progestative uniquement; Demandez-lui de prendre la première tablette White Minastrin 24 Fe le jour où elle aurait pris sa prochaine pilule progestative uniquement. Elle doit utiliser une méthode de contraception non hormonale pendant 7 jours consécutifs.
  • Si le passage d'un implant ou d'une injection commence, la première tablette White Minastrin 24 Fe le jour de sa prochaine injection aurait été due ou le jour de l'élimination de son implant.
  • Si le passage d'un DIU en fonction du calendrier de la contraception de sauvegarde de retrait peut être nécessaire.

Doses manquées

Tableau 1: Instructions pour les tablettes Minastrin Fe manquées

Si une tablette blanche est manquée Prenez la tablette manquée dès que possible. Prenez la prochaine tablette à l'heure régulière. Continuez à prendre une tablette par jour jusqu'à la fin du pack.
Une contraception non hormonale supplémentaire (comme les préservatifs) n'est pas nécessaire.
Si deux tablettes blanches d'affilée sont manquées au cours de la semaine 1 ou de la semaine 2 du pack de tablettes Prenez les deux comprimés manqués dès que possible et les deux tablettes suivantes le lendemain. Continuez à prendre une tablette par jour jusqu'à la fin du pack.
Utilisez une contraception non hormonale supplémentaire (comme les préservatifs) jusqu'à ce que des comprimés hormonaux aient été pris pendant 7 jours après les comprimés manquants.
Si deux comprimés blancs sont manqués au cours de la semaine 3 ou de la semaine 4 du pack de tablettes Début du jour 1er: Jetez le reste du pack de tablettes et démarrez un nouveau pack le même jour.
Début du dimancheer: Continuez à prendre une tablette tous les jours jusqu'à dimanche. Dimanche, jetez le reste du peloton et commencez un nouveau paquet de tablettes le même jour.
Utilisez une contraception non hormonale supplémentaire (comme les préservatifs) jusqu'à ce que des comprimés hormonaux aient été pris pendant 7 jours après les comprimés manquants.
Si trois tablettes blanches ou plus d'affilée sont manquées Début du jour 1er: Jetez le reste du pack de tablettes et démarrez un nouveau pack le même jour.
Début du dimancheer: Continuez à prendre une tablette tous les jours jusqu'à dimanche. Dimanche, jetez le reste du peloton et commencez un nouveau paquet de tablettes le même jour.
Des saignements peuvent se produire pendant la semaine qui a suivi les comprimés manqués.
Utilisez une contraception non hormonale supplémentaire (comme les préservatifs) jusqu'à ce que des comprimés hormonaux aient été pris pendant 7 jours après les comprimés manquants.
Si l'une des quatre comprimés bruns est manqué Jetez les tablettes manquées. Continuez à prendre les tablettes restantes jusqu'à la fin du pack. Une contraception non hormonale supplémentaire (comme les préservatifs) n'est pas nécessaire.

Conseil en cas de perturbations gastro-intestinales

Si la patiente vomit ou possède de la diarrhée (dans les 3 à 4 heures après qu'elle prenne une tablette White Minastrin 24 Fe), elle doit suivre les instructions dans What To Faire si vous manquez les tablettes [Voir Doses manquées ].

Comment fourni

Formes et forces posologiques

Metrine 24 Fe est disponible en blister packs.

Chaque pack de cloques contient 28 tablettes dans l'ordre suivant:

  • 24 comprimés à croûte à croûte blanc (actifs) imprimé avec WC d'un côté et 535 de l'autre côté et contenant chacun 1 mg d'acétate de noréthindrone et 20 mcg d'estradiol d'éthinyle.
  • 4 comprimés bruns ronds (placebo non hormonal) imprimés avec WC d'un côté et 624 de l'autre côté et contenant chacun 75 mg de fumarate ferreux. Les comprimés de fumarate ferreux ne servent aucun objectif thérapeutique.

Stockage et manipulation

Metrine 24 Fe est disponible en cartes blister (distributeurs) contenant 28 comprimés:

NDC 0430-0540-50 Cartons de 5 cartes blister (distributeurs)

Chaque carte blister contient 28 comprimés dans l'ordre suivant:

  • 24 comprimés blancs rounds (actifs) imprimés avec WC d'un côté et 535 de l'autre côté et contenant chacun 1 mg d'acétate de Norethindrone et 20 mcg d'estradiol d'éthinyle.
  • 4 comprimés bruns ronds (placebo non hormonal) imprimés avec WC d'un côté et 624 de l'autre côté et contenant chacun 75 mg de fumarate ferreux. Les comprimés de fumarate ferreux ne servent aucun objectif thérapeutique.

Conditions de stockage

Stocker à 20 -25 ° C (68 -77 ° F); Excursions autorisées à 15 -30 ° C (59 -86 ° F) [voir Température ambiante contrôlée par l'USP ].

Gardez ce médicament et tous les médicaments hors de portée des enfants.

Distribué par: Abbvie Inc. 1 N Waukegan Rd North Chicago IL 60064. Révisé: juin 2023

Effets secondaires for Metrine 24 Fe

Les réactions indésirables graves suivantes avec l'utilisation des COC sont discutées ailleurs dans l'étiquetage:

  • Événements cardiovasculaires graves et accident vasculaire cérébral [voir Avertissement en boîte et AVERTISSEMENTS AND PRÉCAUTIONS ]
  • Événements vasculaires [voir AVERTISSEMENTS AND PRÉCAUTIONS ]
  • Maladie du foie [voir AVERTISSEMENTS AND PRÉCAUTIONS ]

Les réactions indésirables couramment rapportées par les utilisateurs de COC sont:

  • Saignement utérine irrégulier
  • Nausée
  • Tendreté mammaire
  • Mal de tête

Expérience d'essai clinique

Étant donné que les essais cliniques sont menés dans des conditions de réaction indésirables très variables observées dans les essais cliniques d'un médicament ne peuvent pas être directement comparées aux taux des essais cliniques d'un autre médicament et ne peuvent pas refléter les taux observés dans la pratique.

Les données présentées dans la section 6.1 proviennent d'un essai clinique mené avec un régime de 24 jours d'acétate de noréthindrone 1 mg / éthinyle estradiol 0,020 mg comprimés. Minastrin 24 Fe est bioéquivalent à ces comprimés de Norethindrone acétate / éthinyle estradiol.

Réactions indésirables courantes (supérieures ou égales à 2% de tous les sujets traités)

Les réactions indésirables les plus courantes rapportées par au moins 2% des 743 femmes utilisant des comprimés de norethindrone acétate / éthinyle estradiol étaient les suivantes par ordre de réduction de l'incidence: casse-tête (NULL,3%) candidiase vaginale (NULL,1%) nausées (NULL,6%) Crampes menstruelles (NULL,4%) (NULL,1%) acné (NULL,7%) sautes d'humeur (NULL,2%) et gain de poids (NULL,0%).

Réactions indésirables conduisant à l'arrêt de l'étude

Parmi les 743 femmes utilisant des comprimés d'acétate de noréthindrone / éthinyle d'estradiol 46 femmes (NULL,2%) se sont retirées en raison d'un événement indésirable. Les événements indésirables survenant chez 3 sujets ou plus conduisant à l'arrêt du traitement étaient dans l'ordre décroissant: des saignements anormaux ou irréguliers (NULL,3%) nausées (NULL,8%) crampes menstruelles (NULL,5%) et augmentation de la pression artérielle (NULL,4%).

Expérience de commercialisation de la poste

Cinq études qui ont comparé le risque de cancer du sein entre toujours les utilisateurs (utilisation actuelle ou antérieure) des COC et les utilisateurs de COC n'ont signalé aucune association entre l'utilisation de COC et le risque de cancer du sein avec des estimations d'effet allant de 0,90 à1,12 (figure 1).

Trois études ont comparé le risque de cancer du sein entre les utilisateurs de COC actuels ou récents ( <6 months since last use) et never users of COCs (Figure 1). One of these studies reported no association between breast cancer risk et COC use. The other two studies found an increased relative risk of 1.19 - 1.33 with current or recent use. Both of these studies found an increased risk of breast cancer with current use of longer duration with relative risks ranging from 1.03 with less than one year of COC use to approximately 1.4 with more than 8-10 years of COC use.

Figure 1:

Les effets indésirables suivants ont été identifiés lors de l'utilisation post-approbation d'un régime de 24 jours d'acétate de noréthindrone 1 mg / éthinyle estradiol 0,020 mg comprimés. Parce que ces réactions sont rapportées volontairement à partir d'une population de taille incertaine, il n'est pas toujours possible d'estimer de manière fiable leur fréquence ou d'évaluer une relation causale à l'exposition aux médicaments.

Les effets indésirables sont regroupés en classes d'organes système.

Troubles vasculaires: thrombose / embolie (veine profonde cérébrale pulmonaire de l'artère coronaire).

Troubles hépatobiliaires: cholélithiase cholécystite hémangiome hépatique du foie.

Troubles du système immunitaire: réaction d'hypersensibilité.

Droits cutanés et sous-cutanés: Alopécie éruption cutanée (généralisée et allergique) décoloration cutanée prurit.

Troubles gi: nausée vomiting abdominal pain.

Troubles du tissu musculo-squelettique et conjonctif: myalgie.

Troubles oculaires: vision floue des troubles visuels du changement cornéen changement dans la courbure cornéenne

(caisse).

Infections et infestations: Infection fongique Infection vaginale.

Investigations: Changement de poids ou d'appétit (augmenter ou diminuer) La pression artérielle de la pression de la fatigue périphérique du malaise de la malaise a augmenté.

Troubles du système nerveux: mal de tête dizziness migraine loss of consciousness.

Troubles psychiatriques: Humeur balançoires dépression insomnie anxiété suicidaire des efforts de panique de panique change dans la libido.

Troubles rénaux et urinaires: Syndrome de type cystite.

Système de reproduction et troubles mammaires: Changements mammaires (élargissement et sécrétion de la douleur de sensibilité) Dyndrome prémenstruel dysménorrhée.

Cardiovasculaire: Palpitations de douleur thoracique Tachycardie Infarctus du myocarde.

Interactions médicamenteuses for Metrine 24 Fe

Consultez l'étiquetage du médicament utilisé simultanément pour obtenir de plus amples informations sur les interactions avec les COC ou le potentiel d'altérations enzymes.

Aucune étude d'interaction médicament-médicament n'a été menée avec Minastrin 24 Fe.

Effets d'autres médicaments sur les contraceptifs oraux combinés

Substances diminuant l'efficacité des COC

Les médicaments ou les produits à base de plantes qui induisent certaines enzymes, notamment le cytochrome P450 3A4 (CYP3A4) peuvent diminuer l'efficacité des COC ou augmenter les saignements percés. Certains médicaments ou produits à base de plantes qui peuvent diminuer l'efficacité des contraceptifs hormonaux comprennent les barbituriques de phénytoïne carbamazépine bosentan felbamate griseofulvin oxcarbazépine rifampicine topiramate et produits contenant le wort de St. John's. Interactions entre oral

Substances augmentant les concentrations plasmatiques de COC

La co-administration de l'atorvastatine et de certains COC contenant de l'éthinyle estradiol augmentent les valeurs AUC de l'éthinyle estradiol d'environ 20%. L'acide ascorbique et l'acétaminophène peuvent augmenter les concentrations plasmatiques d'éthinyle estradiol éventuellement par inhibition de la conjugaison. Les inhibiteurs du CYP3A4 tels que l'itraconazole ou le kétoconazole peuvent augmenter les concentrations d'hormones plasmatiques.

Les inhibiteurs de protéase du virus de l'immunodéficience humaine (VIH) / Virus de l'hépatite C (VHC) et des inhibiteurs de transcriptase inverse non nucléoside

Des changements significatifs (augmentation ou diminution) des concentrations plasmatiques de l'oestrogène et du progestatif ont été notées dans certains cas de co-administration d'inhibiteurs de protéase VIH / HCV ou d'inhibiteurs de transcriptase inverse non nucléoside.

Antibiotiques

Il y a eu des rapports de grossesse lors de la prise de contraceptifs hormonaux et d'antibiotiques, mais les études pharmacocinétiques cliniques n'ont pas montré d'effets cohérents des antibiotiques sur les concentrations plasmatiques de stéroïdes synthétiques.

Effets des contraceptifs oraux combinés sur d'autres médicaments

Les COC contenant l'éthinyle estradiol peuvent inhiber le métabolisme d'autres composés. Il a été démontré que les COC diminuent significativement les concentrations plasmatiques de lamotrigine probablement en raison de l'induction de la glucuronidation lamotrigine. Cela peut réduire le contrôle des crises; Par conséquent, des ajustements posologiques de la lamotrigine peuvent être nécessaires.

Les femmes sous l'hormonothérapie de l'hormone thyroïdienne peuvent nécessiter des doses accrues d'hormone thyroïdienne car la concentration sérique de globuline se liant à la thyroïde augmente avec l'utilisation de COC.

Utilisation concomitante avec la thérapie combinée du VHC - élévation de l'enzyme hépatique

Ne co-admencez pas Minastrin 24 FE avec des combinaisons de médicaments HCV contenant de l'ombitasvir / paritaprevir / ritonavir avec ou sans Dasabuvir en raison du potentiel d'élévation de l'ALT [voir AVERTISSEMENTS AND PRÉCAUTIONS ].

Interférence avec les tests de laboratoire

L'utilisation de stéroïdes contraceptifs peut influencer les résultats de certains tests de laboratoire tels que les facteurs de coagulation lipides Tolérance au glucose et protéines de liaison.

Avertissements pour Metrin 24 Fe

Inclus dans le cadre du PRÉCAUTIONS section.

Précautions pour Minastrin 24 Fe

Troubles thromboemboliques et autres problèmes vasculaires

Arrêtez Minastrin 24 Fe si un événement thrombotique veineux artériel ou profond (TEV) se produit. Arrêtez Minastrin 24 Fe s'il y a une perte inexpliquée de la proptose de la vision diplopie papilledème ou des lésions vasculaires rétiniennes. Évaluez immédiatement la thrombose de la veine rétinienne.

Si cela est possible, arrête de Minastrin 24 Fe au moins 4 semaines avant et 2 semaines après une chirurgie majeure ou d'autres chirurgies connues pour avoir un risque élevé de TEV.

Commencez Minastrin 24 Fe au début de 4 semaines après l'accouchement chez les femmes qui n'allaitent pas. Le risque de TEV post-partum diminue après la troisième semaine post-partum tandis que le risque d'ovulation augmente après la troisième semaine post-partum.

L'utilisation des COC augmente le risque de TEV. Cependant, la grossesse augmente le risque de TEV autant ou plus que l'utilisation des COC. Le risque de TEV chez les femmes utilisant des COC est de 3 à 9 pour 10000 femmes-années. Le risque de TEV est le plus élevé au cours de la première année d'utilisation d'un COC. Le risque de maladie thromboembolique due aux contraceptifs oraux disparaît progressivement après l'utilisation du COC est interrompu.

L'utilisation de COC augmente également le risque de thromboses artérielles telles que les accidents vasculaires cérébraux et les infarctus du myocarde, en particulier chez les femmes ayant d'autres facteurs de risque pour ces événements. Il a été démontré que les COC augmentent à la fois les risques relatifs et attribuables des événements cérébrovasculaires (AVC thrombotiques et hémorragiques), bien que, en général, le risque soit le plus grand chez les femmes hypertensives plus âgées (plus âgées de 35 ans) qui fument également. Les COC augmentent également le risque d'AVC chez les femmes présentant des facteurs de risque sous-jacents.

Utilisez des COC avec prudence chez les femmes atteintes de facteurs de risque de maladie cardiovasculaire.

Maladie du foie

Fonction hépatique altérée

N'utilisez pas de minastrin 24 Fe chez les femmes souffrant d'hépatite virale aiguë ou de cirrhose sévère (décompensée) du foie [voir Contre-indications ]. Acute or chronic disturbances of liver function may necessitate the discontinuation of COC use until markers of liver function return to normal et COC causation has been excluded. Discontinue Metrine 24 Fe if jaunisse se développe.

Tumeurs du foie

Metrine 24 Fe is contraindicated in women with benign et malignant liver tumors [see Contre-indications ]. Hepatic adenomas are associated with COC use. An estimate of the attributable risk is 3.3 cases per 100000 COC users. Rupture of hepatic adenomas may cause death through intra-abdominal hemorrhage.

Des études ont montré un risque accru de développer un carcinome hépatocellulaire chez les utilisateurs de COC à long terme (plus de 8 ans). Cependant, le risque attribuable de cancers du foie chez les utilisateurs de COC est inférieur à un cas par million d'utilisateurs.

Risque d'élévation des enzymes hépatiques avec un traitement concomitant en hépatite C

Au cours des essais cliniques avec le régime de médicaments combinés à l'hépatite C qui contient des élévations Ombitasvir / Paritaprevir / Ritonavir avec ou sans Dasabuvir, plus de 5 fois la limite supérieure de la normale (ULN), y compris des cas supérieurs à 20 fois l'uln, étaient significativement plus fréquents chez les femmes en utilisant des médicaments contre l'éthinyle de l'estradiol tels que les COC. Arrêter Minastrin 24 Fe avant de commencer la thérapie avec le régime de médicament combiné Ombitasvir / Paritaprevir / Ritonavir avec ou sans Dasabuvir [voir Contre-indications ]. Metrine 24 Fe can be restarted approximately 2 weeks following completion of treatment with the Hepatitis C combination drug regimen.

Hypertension artérielle

Metrine 24 Fe is contraindicated in women with uncontrolled hypertension or hypertension avec une maladie vasculaire [voir Contre-indications ]. For women with well-controlled hypertension monitor blood pressure et stop Metrine 24 Fe if blood pressure rises significantly.

Une augmentation de la pression artérielle a été signalée chez les femmes prenant des COC et cette augmentation est plus probable chez les femmes âgées avec une durée d'utilisation prolongée. L'incidence de l'hypertension augmente avec l'augmentation des concentrations de progestatif.

Maladie de la vésicule biliaire

Des études suggèrent un petit risque relatif accru de développer une maladie de la vésicule biliaire chez les utilisateurs de COC. L'utilisation de COC peut également aggraver la maladie de la vésicule biliaire existante.

Des antécédents de cholestase liée au COC prédisent un risque accru avec l'utilisation ultérieure du COC. Les femmes ayant des antécédents de cholestase liée à la grossesse peuvent être à un risque accru de cholestase liée au COC.

Effets métaboliques des glucides et lipidiques

Surveillez soigneusement les femmes prédiabétiques et diabétiques qui prennent Minastrin 24 Fe. Les COC peuvent diminuer la tolérance au glucose de manière liée à la dose.

Considérez une contraception alternative pour les femmes souffrant de dyslipidémies incontrôlées. Une petite proportion de femmes aura des changements lipidiques défavorables sur les COC.

Les femmes atteintes d'hypertriglycéridémie ou de leurs antécédents familiaux peuvent être à un risque accru de pancréatite lors de l'utilisation de COC.

Mal de tête

Si une femme prenant Minastrin 24 Fe développe de nouveaux maux de tête qui sont récurrents persistants ou sévèrement évaluer la cause et interrompre le minastrin 24 FE si indiqué.

Envisagez l'arrêt de Minastrin 24 Fe dans le cas d'une fréquence ou d'une gravité accrue de la migraine pendant l'utilisation du COC (qui peut être prodrome d'un événement cérébrovasculaire) [voir Contre-indications ].

Irrégularités saignantes et aménorrhée

Saignement et repérage imprévus

Des saignements imprévus (percés ou intracycliques) et des taches se produisent parfois chez les patients sous COC, en particulier pendant les trois premiers mois d'utilisation. Si le saignement persiste ou se produit après les cycles auparavant réguliers, vérifiez des causes telles que la grossesse ou la malignité. Si la pathologie et la grossesse sont exclues des irrégularités des saignements peuvent se résoudre au fil du temps ou avec un changement à un COC différent.

Sur la base des journaux des patients à partir d'un essai clinique évaluant l'innocuité et l'efficacité d'un régime de 24 jours d'acétate de noréthindrone 1 mg / estradiol éthinyle 0,020 mg comprimés 24 à 35% des femmes ont subi des saignements non programmés par cycle. Un total de 10 sujets sur 743 (NULL,3%) ont été interrompus en raison de saignement ou de repérage.

Aménorrhée et oligoménorrhée

Les femmes qui ne sont pas enceintes et qui utilisent des comprimés d'acétate de noréthindrone et de l'éthinyle estradiol et des comprimés de fumarate ferreux peuvent ressentir de l'aménorrhée. Dans l'essai clinique avec un régime de 24 jours d'acétate de noréthindrone 1 mg / éthinyle estradiol 0,020 mg comprimés et comprimés de fummarate ferreux 22 à 36% des femmes utilisant des comprimés de norethindrone 1 mg / éthinyle estradiol 0,020 mg comprimés et des comprimés de fumarate ferreux. Certaines femmes peuvent éprouver une amenorrhée ou une oligoménorrhée post-pliante, en particulier lorsqu'une telle condition était préexistante.

Si le saignement (le retrait) prévu ne se produit pas, considérez la possibilité de grossesse. Si le patient n'a pas adhéré au calendrier de dosage prescrit (a raté une ou plusieurs comprimés actifs ou a commencé à les prendre un jour plus tard qu'elle aurait dû), considérez la possibilité d'une grossesse au moment de la première période manquée et prenez des mesures de diagnostic appropriées. Si le patient a adhéré au schémamin prescrit et manque deux périodes consécutives excluant la grossesse.

Utilisation du COC avant ou pendant la grossesse précoce

Des études épidémiologiques approfondies n'ont révélé aucun risque accru de malformations congénitales chez les femmes qui ont utilisé des contraceptifs oraux avant la grossesse. Les études ne suggèrent pas non plus d'effet tératogène, en particulier dans la mesure où les anomalies cardiaques et les défauts de réduction des membres sont concernés lorsque les contraceptifs oraux sont pris par inadvertance au début de la grossesse. Arrêtez Minastrin 24 Fe si la grossesse est confirmée.

L'administration de contraceptifs oraux pour induire des saignements de sevrage ne doit pas être utilisé comme test de grossesse [voir Utiliser dans des populations spécifiques ].

Dépression

Observez soigneusement les femmes ayant des antécédents de dépression et arrêtent Minastrin 24 Fe si la dépression se reproduit sérieusement.

Néoplasmes malins

Cancer du sein

Metrine 24 Fe is contraindicated in females who currently have or have had breast cancer because breast cancer may be hormonally sensitive [see Contre-indications ].

Les études d'épidémiologie n'ont pas trouvé d'association cohérente entre l'utilisation de contraceptifs oraux combinés (COC) et le risque de cancer du sein. Les études ne montrent pas d'association entre l'utilisation (actuelle ou passée ou passée) de COC et le risque de cancer du sein. Cependant, certaines études rapportent une faible augmentation du risque de cancer du sein chez les utilisateurs actuels ou récents ( <6 months since last use) et current users with longer duration of COC use [see Effets indésirables ].

Cancer du col de l'utérus

Certaines études suggèrent que les COC sont associés à une augmentation du risque de cancer du col de l'utérus ou de néoplasie intraépithéliale. Cependant, il y a une controverse sur la mesure dans laquelle ces résultats peuvent être dus à des différences de comportement sexuel et d'autres facteurs.

Effet sur les globulines de liaison

La composante œstrogène des COC peut augmenter les concentrations sériques de la globuline de liaison sexuelle et de liaison au cortisol de liaison à la globuline se liant à la globuline. La dose d'hormones thyroïdiennes de remplacement ou de thérapie par cortisol peut devoir être augmentée.

Surveillance

Une femme qui prend des COC devrait avoir une visite annuelle avec son fournisseur de soins de santé pour une vérification artérielle et pour d'autres soins de santé indiqués.

Œdème héréditaire de l'angio

Chez les femmes atteintes d'œdème angio-œdème héréditaire, des œstrogènes exogènes peuvent induire ou exacerber les symptômes de l'œdème de l'angio.

Chloasma

Chloasma may occasionally occur especially in women with a history of chloasma gravidarum. Women with a tendency to chloasma should avoid exposure to the sun or ultraviolet radiation while taking Metrine 24 Fe.

Informations de conseil des patients

Voir l'étiquetage des patients approuvé par la FDA ( Informations sur les patients )

Conseiller les patients sur les informations suivantes:

  • Le tabagisme augmente le risque d'événements cardiovasculaires graves de l'utilisation du COC et des femmes de plus de 35 ans et de la fumée ne devraient pas utiliser de COC.
  • Metrine 24 Fe does not protect against VIH infection (AIDS) et other sexually transmitted infections.
  • Les avertissements et les précautions associés aux COC.
  • Metrine 24 Fe is not to be used during pregnancy; if pregnancy occurs during use of Metrine 24 Fe instruct the patient to stop further intake.
  • Prenez un comprimé tous les jours par la bouche à la même époque tous les jours. Instruisez les patients quoi faire dans l'événement que les comprimés sont manqués. Voyez quoi faire si vous manquez la section des comprimés dans l'étiquetage des patients approuvé par la FDA.
  • Utilisez une méthode de sauvegarde ou alternative de contraception lorsque les inducteurs enzymatiques sont utilisés avec Minastrin 24 Fe.
  • Les COC peuvent réduire la production de lait maternel. Cela est moins susceptible de se produire si l'allaitement est bien établi.
  • Les femmes qui commencent le COC post-partum et qui n'ont pas encore eu de règles devraient utiliser une méthode supplémentaire de contraception jusqu'à ce qu'elles aient pris un comprimé blanc pendant 7 jours consécutifs.
  • Une aménorrhée peut se produire. Excluez la grossesse en cas d'aménorrhée dans deux cycles consécutifs ou plus.

Toxicologie non clinique

Carcinogenèse Mutagenèse A trouble de la fertilité

[Voir AVERTISSEMENTS AND PRÉCAUTIONS ].

Utiliser dans des populations spécifiques

Grossesse

Résumé des risques

Il n'y a aucune usage de contraception pendant la grossesse; Par conséquent, Minastrin 24 Fe devrait être interrompu pendant la grossesse. Les études épidémiologiques et les méta-analyses n'ont pas trouvé de risque accru de malformations congénitales génitales ou non congénitales (y compris des anomalies cardiaques et des défauts de réduction des membres) après une exposition aux COC avant conception ou au début de la grossesse.

Dans la population générale américaine, le risque de fond estimé de malformations congénitales majeures et de fausse couche dans les grossesses cliniquement reconnues est respectivement de 2 à 4% et 15 à 20%.

Lactation

Résumé des risques

Des hormones contraceptives et / ou des métabolites sont présentes dans le lait maternel. Les COC peuvent réduire la production de lait chez les femmes allaitées. Cette réduction peut se produire à tout moment mais est moins susceptible de se produire une fois que l'allaitement est bien établi. Lorsque cela vous conseille aux femmes infirmières d'utiliser d'autres méthodes de contraception jusqu'à ce qu'elle interrompt l'allaitement [voir Posologie et administration ]. The developmental et health benefits of breast-feeding should be considered along with the mother’s clinical need for MINASTRIN 24 Fe et any potential adverse effects on the breast-fed child from MINASTRIN 24 Fe or from the underlying maternal condition.

Usage pédiatrique

La sécurité et l'efficacité de Minastrin 24 FE ont été établies chez les femmes d'âge reproducteur. L'efficacité devrait être la même chez les adolescents postpubertaux de moins de 18 ans que pour les utilisateurs de 18 ans et plus. L'utilisation de ce produit avant la ménarche n'est pas indiquée.

Utilisation gériatrique

Metrine 24 Fe has not been studied in postmenopausal women et is not indicated in this population.

Trouble rénal

La pharmacocinétique de Minastrin 24 FE n'a pas été étudiée chez des sujets souffrant de troubles rénaux.

Trouble hépatique

La pharmacocinétique de Minastrin 24 FE n'a pas été étudiée chez des sujets souffrant de troubles hépatiques. Cependant, les hormones stéroïdes peuvent être mal métabolisées chez les patients souffrant de troubles hépatiques. Les perturbations aiguës ou chroniques de la fonction hépatique peuvent nécessiter l'arrêt de l'utilisation du COC jusqu'à ce que les marqueurs de la fonction hépatique reviennent à la causalité normale et COC a été exclue [voir Contre-indications et AVERTISSEMENTS AND PRÉCAUTIONS ].

Indice de masse corporelle

La sécurité et l'efficacité de Minastrin 24 Fe chez les femmes avec un indice de masse corporelle (IMC) supérieure à 35 kg / m² n'ont pas été évaluées [voir Études cliniques ].

Informations sur la surdose pour Minastrin 24 Fe

Il n'y a eu aucun rapport d'effets néfastes graves de la surdose des contraceptifs oraux, y compris l'ingestion des enfants. Un surdosage peut provoquer des saignements de sevrage chez les femmes et les nausées.

Contre-indications pour Minastrin 24 Fe

Metrine 24 Fe is contraindicated in females who are known to have or develop the following conditions:

  • Un risque élevé de maladies thrombotiques artérielles ou veineuses. Les exemples incluent les femmes connues pour:
    • Fumer si plus de 35 ans [voir Avertissement en boîte et AVERTISSEMENTS AND PRÉCAUTIONS ]
    • Avoir une thrombose veineuse profonde ou une embolie pulmonaire maintenant ou dans le passé [voir AVERTISSEMENTS AND PRÉCAUTIONS ]
    • Avoir une maladie cérébrovasculaire [voir AVERTISSEMENTS AND PRÉCAUTIONS ]
    • Avoir une maladie coronarienne [voir AVERTISSEMENTS AND PRÉCAUTIONS ]
    • Ont des maladies du rythme valvulaire ou thrombogène thrombogène du cœur (par exemple l'endocardite bactérienne subaiguë atteinte d'une maladie valvulaire ou d'une fibrillation auriculaire) [voir AVERTISSEMENTS AND PRÉCAUTIONS ]
    • Ont hérité ou acquis des hypercoagulopathies [voir AVERTISSEMENTS AND PRÉCAUTIONS ]
    • Avoir une hypertension incontrôlée [voir AVERTISSEMENTS AND PRÉCAUTIONS ]
    • Avoir diabète sucré avec une maladie vasculaire [voir AVERTISSEMENTS AND PRÉCAUTIONS ]
    • Avoir mal de têtes with focal neurological symptoms or have migraine mal de têtes with aura
      • Toutes les femmes de plus de 35 ans avec des maux de tête migraineux [voir AVERTISSEMENTS AND PRÉCAUTIONS ]
  • Tumeurs hépatiques bénignes ou malignes ou maladie du foie [voir AVERTISSEMENTS AND PRÉCAUTIONS ]
  • Saignements anormaux utérins anormaux non diagnostiqués [voir AVERTISSEMENTS AND PRÉCAUTIONS ]
  • Diagnostic actuel ou antécédents de cancer du sein qui peut être sensible aux hormones [voir AVERTISSEMENTS AND PRÉCAUTIONS ]
  • Utilisation de combinaisons de médicaments à l'hépatite C contenant de l'ombitasvir / paritaprevir / du ritonavir avec ou sans Dasabuvir en raison du potentiel d'élévation de l'ALT [voir AVERTISSEMENTS AND PRÉCAUTIONS ]

Pharmacologie clinique for Metrine 24 Fe

Mécanisme d'action

Les CHC réduisent le risque de devenir enceinte principalement en supprimant l'ovulation.

Pharmacodynamique

Aucune étude pharmacodynamique spécifique n'a été menée avec Minastrin 24 Fe.

Pharmacocinétique

Absorption

Dans une étude clinique à deux voies à deux voies réalisée dans 35 femmes préménopausées non-fumeurs saines à l'état de jeûne, comprimé Minastrin 24 Fe mâché et avalé est bioéquivalent au comprimé de Norethindrone 1 mg / éthinyle estradiol 0,020 mg comprimé (comprimés de régime à 24 jours). Norethindrone et éthinyle Estradiol.

L'acétate de noréthindrone semble être complètement et rapidement désacétylé à la noréthindrone après l'administration orale parce que la disposition de l'acétate de noréthindrone est indiscernable de celle de la norethindrone administrée par voie orale. L'acétate de noréthindrone et l'estradiol de l'éthinyle sont absorbés par les comprimés de Minastrin 24 Fe (mâchés et avalés) avec des concentrations plasmatiques maximales de noréthindrone et d'éthinyle estradiol se produisant à 1,0 h (plage: 0,7 à 2,5 heures) et 1,3 h (plage: 1 à 2,5 heures) après la dose respectivement. Les deux sont soumis à un métabolisme de premier passage après le dosage oral, ce qui entraîne une biodisponibilité absolue d'environ 64% pour la noréthindrone et 43% pour l'éthinyle estradiol.

La pharmacocinétique plasmatique de la norethindrone et de l'éthinyle estradiol après des administrations à dose unique de comprimés de Minastrin 24 Fe (mâchés et avalés) chez 35 sujets féminins en bonne santé est fourni sur les figures 2 et 3 et le tableau 1.

Après l'administration de dose multiples de comprimés d'acétate de noréthindrone / éthinyle d'estradiol (entièrement avalé) chez 17 sujets femelles en bonne santé signifie que des concentrations maximales de noréthindrone et d'éthinyle estradiol ont augmenté respectivement de 95% et 27% par rapport à l'administration d'une seule dose. Les expositions moyennes de la noréthindrone et de l'éthinyle estradiol (valeurs de l'ASC) ont augmenté respectivement de 164% et 51% par rapport à l'administration à dose unique de comprimés d'acétate de noréthindrone / d'éthinyle estradiol.

L'état d'équilibre par rapport à la noréthindrone a été atteint au jour 17 et l'état d'équilibre par rapport à l'éthinyle estradiol a été atteint au jour 13.

Les concentrations moyennes de SHBG ont été augmentées de 150% par rapport à la ligne de base (NULL,5 nmol / L) à 144 nmol / L à l'état d'équilibre.

Figure 2: Moyenne (± écart-type) Profil de concentration de norethindrone plasmatique suite à l'administration orale à dose unique de comprimés de Minastrin 24 Fe (mâché et avalé) à des femmes volontaires en bonne santé dans des conditions à jeun (n = 35)

Figure 3: Moyenne (± écart-type) Profil de concentration de concentration d'éthinyle d'éthinyle plasmatique suite à l'administration orale à dose unique de comprimés Minastrin 24 Fe (mâché et avalé) à des volontaires saines dans des conditions de jeûne (n = 35)

Tableau 1: Résumé de la pharmacocinétique de Norethindrone (NE) et de l'éthinyle Estradiol (EE) après une administration orale à dose unique de comprimés de Minastrin 24 Fe (mâché et avalé) à des femmes volontaires saines dans des conditions de jeûne (n = 35)

Analyte Arithmétique Meana (% CV) par paramètre pharmacocinétique
Cmax (pg / ml) Tmax (HR) AUC (0 ± TLDC) (pg / ml • h) AUC (0 ± inf) (pg / ml • h) T½ (HR)
Ne 10200
(36)
1.03
(NULL,67-2,50)
48620
(40)
49250
(40)
8.58
De 84.7
(24)
1.33
(NULL,00-2.50)
677.5
(33)
741.6
(33)
9.68
CMAX = concentration plasmatique maximale
Tmax = temps de CMAX
AUC (0 ± TLDC) = zone sous concentration plasmatique en fonction de la courbe temporelle de 0 à TLDC le temps de la dernière concentration déterminable
AUC (0 ± inf) = zone sous la concentration plasmatique en fonction de la courbe de temps du temps 0 à l'infini
T½ = demi-vie en phase terminale
% Cv = coefficient de variation (%)
a La moyenne harmonique (NULL,693 / constante de vitesse de phase terminale moyenne) est signalée pour T½ et la médiane (plage) est signalée pour Tmax
Effet alimentaire

Metrine 24 Fe tablets may be administered without regard to meals.

Une administration à dose unique de comprimés d'acétate de noréthindrone / éthinyle d'estradiol avec des aliments a diminué la concentration maximale de la noréthindrone de 51% et a augmenté l'étendue de l'absorption de 15% et a diminué la concentration maximale de l'éthinyle estradiol de 51% mais pas l'étendue de l'absorption.

Distribution

Le volume de distribution de la noréthindrone et de l'éthinyle estradiol varie de 2 à 4 L / kg. La liaison aux protéines plasmatiques des deux stéroïdes est étendue (supérieure à 95%); Norethindrone se lie à la fois à l'albumine et au SHBG tandis que l'estradiol de l'éthinyle se lie uniquement à l'albumine. Bien que l'éthinyle estradiol ne se lie pas au SHBG, il induit une synthèse de SHBG.

Métabolisme

Norethindrone subit une biotransformation étendue principalement par réduction suivie d'une conjugaison de sulfate et de glucuronide. La majorité des métabolites de la circulation sont des sulfates avec des glucuronides représentant la plupart des métabolites urinaires.

L'éthinyle estradiol est également largement métabolisé à la fois par oxydation et par conjugaison avec du sulfate et du glucuronide. Les sulfates sont les principaux conjugués circulants de l'éthinyle estradiol et les glucuronides prédominent dans l'urine. Le métabolite oxydatif primaire est l'estradiol de l'éthinyle 2-hydroxy formé par l'isoforme CYP3A4 du cytochrome P450. Une partie du métabolisme des premiers passes de l'éthinyle estradiol se produirait dans la muqueuse gastro-intestinale. L'estradiol de l'éthinyle peut subir une circulation entérohépatique.

Excrétion

La noréthindrone et l'éthinyle estradiol sont excrétés dans l'urine et les excréments principalement sous forme de métabolites. Les valeurs de clairance du plasma pour la noréthindrone et l'éthinyle estradiol sont similaires (environ 0,4 L / h / kg). Les demi-vies d'élimination à l'état d'équilibre de la noréthindrone et de l'éthinyle estradiol après l'administration des comprimés de norethindrone acétate / éthinyle estradiol sont respectivement d'environ 8 heures et 14 heures.

Études cliniques

Les données présentées dans la section 14 proviennent d'un essai clinique mené avec un régime de 24 jours d'acétate de noréthindrone 1 mg / éthinyle estradiol 0,020 mg comprimés. Minastrin 24 Fe est bioéquivalent à ces comprimés de Norethindrone acétate / éthinyle estradiol.

Dans une étude clinique, 743 femmes de 18 à 45 ans ont été étudiées pour évaluer l'efficacité des comprimés d'acétate de noréthindrone / éthinyle d'estradiol jusqu'à six cycles de 28 jours, fournissant un total de 3823 cycles d'exposition au traitement. La démographie raciale de toutes les femmes inscrites était: 70% Caucasien 16% afro-américain 10% hispanique 2% asiatique et 2% autres. Les femmes avec un indice de masse corporelle (IMC) supérieure à 35 kg / m² ont été exclues de l'étude. La plage de poids pour les femmes traitées était de 90 à 260 livres avec un poids moyen de 147 livres. Parmi les femmes de l'étude, environ 40% n'avaient pas utilisé la contraception hormonale immédiatement avant de s'inscrire à cette étude.

Au total, 583 femmes ont effectué 6 cycles de traitement. Il y a eu un total de 5 grossesses sur le traitement dans 3565 cycles de traitement au cours desquels aucune contraception de sauvegarde n'a été utilisée. L'indice de perles pour l'acétate de noréthindrone et les comprimés d'éthinyle estradiol était de 1,82 (intervalle de confiance à 95% 0,59 -4,25).

Informations sur les patients pour Minastrin 24 Fe

Guide pour utiliser Minastrin 24 Fe

AVERTISSEMENT TO WOMEN WHO SMOKE

N'utilisez pas Minastrin 24 Fe si vous fumez des cigarettes et que vous avez plus de 35 ans. Le tabagisme augmente votre risque d'effets secondaires cardiovasculaires graves (problèmes cardiaques et des vaisseaux sanguins) des pilules contraceptives, y compris la mort de caillots sanguins ou d'accident vasculaire cérébral à la mort de la crise cardiaque. Ce risque augmente avec l'âge et le nombre de cigarettes que vous fumez.

Les pilules contraceptives aident à abaisser les chances de devenir enceinte lorsqu'elles sont prises comme indiqué. Ils ne protègent pas contre l'infection par le VIH (SIDA) et d'autres infections sexuellement transmissibles.

Qu'est-ce que Minastrin 24 Fe?

Metrine 24 Fe is a birth control pill. It contains two female hormones an estrogen called ethinyl estradiol et a progestin called norethindrone acetate.

Quel type de drogue est benadryl

Dans quelle mesure Minastrin 24 Fe fonctionne-t-il?

Votre chance de tomber enceinte dépend de la façon dont vous suivez les instructions pour prendre vos pilules contraceptives. Mieux vous suivez les instructions, moins vous avez de chances de tomber enceinte.

Sur la base des résultats d'une étude clinique d'un régime de 24 jours d'acétate de noréthindrone 1 mg / estradiol éthinyle 0,020 mg de comprimés de six mois d'environ 1 à 4 femmes sur 100 peuvent tomber enceintes au cours de la première année qu'ils utilisent Minastrin 24 Fe.

Les femmes avec un IMC supérieur à 35 kg / m² n'ont pas été étudiées dans l'essai clinique, il n'est donc pas connu à quel point Minastrin 24 FE protège contre la grossesse chez ces femmes. Si vous êtes en surpoids, discutez avec votre fournisseur de soins de santé, si Minastrin 24 Fe est le meilleur choix pour vous.

Le tableau suivant montre la possibilité de tomber enceinte pour les femmes qui utilisent différentes méthodes de contrôle des naissances. Chaque boîte du graphique contient une liste de méthodes de contraception qui sont similaires en efficacité. Les méthodes les plus efficaces sont en haut du graphique. La boîte au bas du graphique montre la possibilité de tomber enceinte pour les femmes qui n'utilisent pas le contrôle des naissances et essaient de tomber enceinte.

Graphique de flux

Comment prendre Minastrin 24 Fe?

Si vous manquez des comprimés, vous pourriez tomber enceinte. Cela comprend le démarrage du pack tardif. Plus vous manquez de comprimés, plus vous êtes susceptible de tomber enceinte. Voir «Que faire si vous manquez des comprimés» ci-dessous.

  1. Assurez-vous de lire ces instructions Avant de commencer à prendre vos tablettes ou à tout moment, vous ne savez pas quoi faire.
  2. Les comprimés peuvent être mâchés et avalés ou avalés entiers. Vous devez boire un verre complet (8 onces) d'eau immédiatement après la mastication ou la déglutition.
  3. La bonne façon de prendre la tablette est de prendre une tablette tous les jours en même temps dans la commande dirigée sur le package. Minastrin 24 FE peut être pris sans égard aux repas.
  4. De nombreuses femmes ont des taches ou des saignements légers à des moments inattendus ou peuvent se sentir malades à l'estomac pendant les 1 à 3 premiers paquets de comprimés. Si vous avez des taches ou des saignements légers ou si vous vous sentez malade à l'estomac, n'arrêtez pas de prendre les comprimés. Le problème disparaîtra généralement. S'il ne disparaît pas, vérifiez avec votre fournisseur de soins de santé.
  5. Les comprimés manquants peuvent également provoquer des taches ou des saignements légers même lorsque vous inventez ces comprimés manqués. Les jours où vous prenez deux comprimés pour compenser les comprimés manqués, vous pouvez également vous sentir un peu malade à l'estomac.
  6. Si vous avez des vomissements (dans les 3 à 4 heures après avoir pris votre tablette), vous devez suivre les instructions pour quoi faire si vous manquez des tablettes. Si vous souffrez de diarrhée ou si vous prenez certains médicaments, y compris certains antibiotiques et certains produits à base de plantes tels que le moût de St. John's, vos comprimés peuvent ne pas fonctionner aussi bien. Utilisez une méthode de sauvegarde (comme les préservatifs et les spermicides) jusqu'à ce que vous vérifiiez votre fournisseur de soins de santé.
  7. Si vous avez du mal à vous souvenir de prendre Minastrin 24 FE, parlez-en à votre fournisseur de soins de santé sur la façon de faciliter la prise de comprimés ou d'utiliser une autre méthode de contraception.
  8. Si vous avez des questions ou si vous n'êtes pas sûr des informations de cette brochure, appelez votre fournisseur de soins de santé.

Avant de commencer à prendre vos tablettes Minastrin 24 Fe

  1. Décidez à quelle heure de la journée vous souhaitez prendre votre tablette. Il est important de prendre des tablettes Minastrin 24 Fe dans la commande dirigée sur le package à la fois tous les jours. Minastrin 24 FE peut être pris sans égard aux repas.
  2. Regardez votre pack de tablettes - il contient 28 tablettes

Le pack Minastrin 24 Fe dispose de 24 tablettes blanches actives (avec hormones) à prendre pendant 24 jours, suivies de 4 comprimés bruns de rappel (sans hormones) à prendre pour les quatre prochains jours.

3. Recherchez également:

  1. Où sur le pack pour commencer à prendre des tablettes
  2. Dans quel ordre prendre les tablettes (suivez les flèches indiquées dans l'image ci-dessus)
  3. Les numéros de semaine comme indiqué dans l'image ci-dessus.

4. Assurez-vous d'avoir prêt à tout moment

  1. Un autre type de contraception (comme un préservatif et un spermicide) à utiliser comme sauvegarde au cas où vous manqueriez des comprimés et
  2. un pack de tablette complet.

Quand démarrer le premier paquet de tablettes

Vous avez le choix du jour pour commencer à prendre votre premier paquet de tablettes. Décidez avec votre fournisseur de soins de santé, ce qui est le meilleur jour pour vous. Choisissez une heure de la journée qui sera facile à retenir.

Début du jour 1:

  1. Choisissez la bande d'étiquette de jour qui commence par le premier jour de vos règles (c'est le jour où vous commencez à saigner ou à repérer même s'il est presque minuit lorsque le saignement commence).
  2. Placez cette bande d'étiquette de cette journée sur le distributeur de tablettes sur la zone qui a les jours de la semaine (à partir du dimanche) imprimé sur le plastique.
  3. Prenez la première tablette blanche du pack pendant les 24 premières heures de vos règles.
  4. Vous n'aurez pas besoin d'utiliser une méthode de contraception de secours car vous commencez la tablette au début de vos règles. Cependant, si vous commencez Minastrin 24 Fe plus tard que le premier jour de vos règles, vous devez utiliser une autre méthode de contraception (comme un préservatif et un spermicide) comme méthode de secours jusqu'à ce que vous ayez pris 7 comprimés blancs.

Début du dimanche:

  1. Prenez la première tablette blanche du peloton le dimanche après le début de vos règles, même si vous saignez toujours. Si vos règles commencent le dimanche, commencez le pack le même jour.
  2. Utilisez une autre méthode de contraception (comme un préservatif et un spermicide) comme méthode de secours si vous avez des relations sexuelles à tout moment du dimanche, vous commencez votre premier pack jusqu'au dimanche suivant (7 jours). Cela s'applique également si vous commencez Minastrin 24 Fe après avoir été enceinte et que vous n'avez pas eu de période depuis votre grossesse.

Lorsque vous passez d'une tablette ou d'une capsule de contraception différente

Lors du passage d'une autre pilule contraceptive, terminez toutes les comprimés ou capsules, Minastrin 24 Fe devrait être démarré le même jour où un nouveau pack de comprimés ou capsule de contraception précédente aurait été commencé.

Lorsque vous passez d'un autre type de méthode de contrôle des naissances

Lors du passage d'un patch transdermique ou d'un anneau vaginal, terminez les 21 jours d'utilisation, attendez 7 jours, alors Minastrin 24 Fe devrait être démarré lorsque la prochaine application aurait été due. Lors du passage d'une injection, Minastrin 24 FE devrait être démarré lorsque la prochaine injection aurait été due. Lors du passage d'un appareil intra-utérine ou d'un implant Minastrin 24 Fe, il faut démarrer le jour de l'enlèvement.

Que faire pendant le mois

1. Prenez une tablette à la même heure chaque jour jusqu'à ce que le pack soit vide.

Ne sautez pas les comprimés même si vous repérez ou saignez entre les périodes mensuelles ou que vous vous sentez malade à l'estomac (nausées).

2. Ne sautez pas les comprimés même si vous n'avez pas de relations sexuelles très souvent.

Lorsque vous avez terminé un paquet de tablettes, commencez le prochain pack le lendemain de votre dernière tablette brune. N'attendez aucun jour entre les packs.

Que faire si vous manquez des tablettes

Metrine 24 Fe may not be as effective if you miss any white tablets especially if you miss the first few or the last few white tablets in a pack.

Si vous manquez 1 tablette blanche:

  1. Prenez la tablette dès que vous vous en souvenez. Prenez la prochaine tablette à votre heure régulière. Cela signifie que vous pouvez prendre deux tablettes en une journée.
  2. Vous n'avez pas besoin d'utiliser une méthode de contraception de secours si vous avez des relations sexuelles.

Si vous manquez 2 tablettes blanches d'affilée dans la semaine 1 ou la semaine 2 de votre pack:

1. Prenez deux comprimés le jour de votre souvenir et deux comprimés le lendemain.

2. Ensuite, prenez une tablette par jour jusqu'à ce que vous terminez le pack.

3. Vous pourriez tomber enceinte Si vous avez des relations sexuelles dans les 7 jours après avoir redémarré vos comprimés. Vous devez utiliser une autre méthode contraceptive (comme un préservatif et un spermicide) comme un back-up pendant ces 7 jours.

Si vous manquez 2 tablettes blanches d'affilée dans la semaine 3 ou la semaine 4 de votre pack:

1. Si vous êtes un démarreur du jour 1:

Jetez le reste du pack de tablettes et démarrez un nouveau pack le même jour.

Si vous êtes un démarreur du dimanche:

Continuez à prendre une tablette tous les jours jusqu'à dimanche. Dimanche, jetez le reste du peloton et commencez un nouveau paquet de tablettes le même jour.

2. Vous pourriez tomber enceinte Si vous avez des relations sexuelles dans les 7 jours après avoir redémarré vos comprimés. Vous devez utiliser une autre méthode contraceptive (comme un préservatif et un spermicide) comme un back-up pendant ces 7 jours.

3. Vous n'avez peut-être pas vos règles ce mois-ci, mais cela est prévu. Cependant, si vous manquez vos règles, deux mois consécutifs, appelez votre fournisseur de soins de santé parce que vous pourriez être enceinte.

Si vous manquez 3 tablettes blanches ou plus d'affilée pendant toute semaine:

1. Si vous êtes un démarreur du jour 1:

Jetez le reste du pack de tablettes et démarrez un nouveau pack le même jour.

Si vous êtes un démarreur du dimanche:

Continuez à prendre 1 tablette tous les jours jusqu'au dimanche. Dimanche, jetez le reste du peloton et commencez un nouveau paquet de tablettes le même jour.

2. Vous pourriez tomber enceinte Si vous avez des relations sexuelles les jours où vous avez manqué des comprimés ou pendant les 7 premiers jours après avoir redémarré vos comprimés. Vous devez utiliser une autre méthode contraceptive (comme un préservatif et un spermicide) comme sauvegarde la prochaine fois que vous aurez des relations sexuelles et pendant les 7 premiers jours après votre redémarrage de vos comprimés.

3. Vous n'avez peut-être pas vos règles ce mois-ci, mais cela est prévu. Cependant, si vous manquez vos règles, deux mois consécutifs, appelez votre fournisseur de soins de santé parce que vous pourriez être enceinte.

Si vous manquez l'une des 4 comprimés bruns de la semaine 4:

  1. Jetez les tablettes que vous avez manquées.
  2. Continuez à prendre une tablette chaque jour jusqu'à ce que le pack soit vide.
  3. Vous n'avez pas besoin d'une méthode de sauvegarde.
  4. Commencez le prochain pack de Minastrin 24 Fe comme prévu.

Enfin, si vous ne savez toujours pas quoi faire sur les tablettes que vous avez manquées:

  1. Utilisez une méthode de sauvegarde (comme un préservatif et un spermicide) chaque fois que vous avez des relations sexuelles.
  2. Contactez votre fournisseur de soins de santé et continuez à prendre un comprimé blanc actif chaque jour jusqu'à ce qu'il soit autrement dirigé.

Qui ne devrait pas prendre Minastrin 24 Fe?

Votre fournisseur de soins de santé ne vous donnera pas Minastrin 24 Fe si vous avez:

  • J'ai déjà eu des caillots sanguins dans vos jambes de bras (thrombose veineuse profonde) des poumons (embolie pulmonaire) ou des yeux (thrombose rétinienne)
  • J'ai déjà eu un accident vasculaire cérébral
  • Jamais eu un crise cardiaque
  • Certains problèmes de valve cardiaque ou des anomalies du rythme cardiaque qui peuvent provoquer la formation de caillots sanguins dans le cœur
  • Un problème hérité de votre sang qui le fait coaguler plus que la normale
  • Hypertension artérielle que la médecine ne peut contrôler
  • Diabète avec un nerf rénal ou des dommages causés par les vaisseaux sanguins
  • J'ai déjà eu certains types de maux de tête graves avec une faiblesse de l'engourdissement de l'aura ou des changements de vision ou si vous avez des maux de tête de migraine si vous avez plus de 35 ans.
  • A déjà eu un cancer du sein qui peut être sensible aux hormones féminines
  • Maladie du foie, y compris les tumeurs hépatiques
  • Prenez toute combinaison de médicaments à l'hépatite C contenant de l'ombitasvir / paritaprevir / ritonavir avec ou sans Dasabuvir. Cela peut augmenter les niveaux de l'enzyme hépatique alanine aminotransférase (Alt) dans le sang

Ne prenez pas non plus des pilules contraceptives si vous:

  • Fumer et a plus de 35 ans
  • Sont ou suspects que vous êtes enceinte
  • Avoir any unexplained bleeding from the vagina

Les pilules contraceptives peuvent ne pas être un bon choix pour vous si vous avez déjà eu une ictère (jaunissement de la peau ou des yeux) causée par la grossesse également appelée cholestasie de la grossesse.

Dites à votre fournisseur de soins de santé si vous avez déjà eu l'une des conditions ci-dessus (votre professionnel de la santé peut recommander une autre méthode de contraception).

Que dois-je savoir d'autre sur la prise de Minastrin 24 Fe?

Les pilules contraceptives ne vous protègent pas contre une infection sexuellement transmissible, y compris le VIH, le virus qui provoque le SIDA.

Ne sautez pas de comprimés même si vous n'avez pas de relations sexuelles souvent.

Si vous manquez une période, vous pourriez être enceinte. Cependant, certaines femmes manquent des périodes ou ont des périodes légères sur les pilules contraceptives même lorsqu'elles ne sont pas enceintes. Contactez votre fournisseur de soins de santé pour obtenir des conseils si vous:

  • Je pense que tu es enceinte
  • Manquer une période et je n'ai pas pris vos pilules contraceptives tous les jours
  • Manquer deux périodes de suite

Les pilules contraceptives ne doivent pas être prises pendant la grossesse. Cependant, les contraceptifs natals pris par accident pendant la grossesse ne sont pas connus pour provoquer des malformations congénitales.

Vous devez arrêter Minastrin 24 Fe au moins quatre semaines avant de subir une intervention chirurgicale et de ne pas le redémarrer avant au moins deux semaines après la chirurgie en raison d'un risque accru de caillots sanguins.

Si vous allaitez, considérez une autre méthode de contraception jusqu'à ce que vous soyez prêt à arrêter l'allaitement. Les pilules contraceptives contenant des œstrogènes comme Minastrin 24 FE peuvent réduire la quantité de lait que vous faites. Une petite quantité d'hormones de la pilule passe dans le lait maternel.

Parlez à votre fournisseur de soins de santé de tous les médicaments et produits à base de plantes que vous prenez. Certains médicaments et produits à base de plantes peuvent rendre les pilules contraceptives moins efficaces, notamment:

  • barbituriques
  • bosentan
  • carbamazépine
  • felbamate
  • griseofulvin
  • oxcarbazépine
  • lable
  • rifampin
  • Mort de Saint-Jean
  • topiramate

Utilisez une méthode de contrainte de sauvegarde ou alternative lorsque vous prenez des médicaments qui peuvent rendre les pilules contraceptives moins efficaces.

Les pilules contraceptives peuvent interagir avec le lamotrigine un anticonvulsivant utilisé pour l'épilepsie. Cela peut augmenter le risque de crises afin que votre fournisseur de soins de santé puisse avoir besoin d'ajuster la dose de lamotrigine.

Si vous avez des vomissements ou de la diarrhée, vos pilules contraceptives peuvent ne pas fonctionner aussi bien. Utilisez une autre méthode de contraception comme un préservatif et un spermicide jusqu'à ce que vous vérifiiez votre fournisseur de soins de santé.

Les femmes sous l'hormonothérapie de l'hormone thyroïdienne peuvent nécessiter des doses accrues d'hormone thyroïdienne.

Si vous êtes prévu pour des tests de laboratoire, dites à votre fournisseur de soins de santé que vous prenez des pilules contraceptives. Certains tests sanguins peuvent être affectés par les pilules contraceptives.

Quels sont les risques les plus graves de prendre Minastrin 24 Fe?

Comme les pilules contraceptives de grossesse augmentent le risque de caillots sanguins graves, en particulier chez les femmes qui ont d'autres facteurs de risque tels que l'obésité ou l'âge de tabagisme ou l'âge de plus de 35 ans. Ce risque accru est le plus élevé lorsque vous commencez à prendre des contraceptifs natals et lorsque vous redémarrez les mêmes pilules contraceptives ou différentes après ne pas les avoir utilisées pendant un mois ou plus.

Il est possible de mourir d'un problème causé par un caillot sanguin tel qu'une crise cardiaque ou un accident vasculaire cérébral.

Quelques exemples de caillots sanguins graves sont les caillots sanguins dans le:

  • Jambes (thrombose veine profonde)
  • Poumons (embolie pulmonaire)
  • Yeux (perte de vue)
  • Cœur (crise cardiaque)
  • Cerveau (AVC)

Les femmes qui prennent des pilules contraceptives peuvent obtenir:

  • Hypertension artérielle
  • Problèmes de la vésicule biliaire
  • Rare tumeurs hépatiques cancéreuses ou non cancéreuses

Tous ces événements sont rares chez les femmes en bonne santé.

Appelez votre fournisseur de soins de santé immédiatement si vous avez:

  • Douleur persistante des jambes
  • Un essoufflement soudain
  • Absouche soudaine partielle ou complète
  • Douleur ou pression sévère dans votre poitrine
  • Un mal de tête soudain sévère contrairement à vos maux de tête habituels
  • Faiblesse ou engourdissement dans un bras ou une jambe ou du mal à parler
  • Jaunissement de la peau ou des globes oculaires

Quels sont les effets secondaires courants des pilules contraceptives?

Les effets secondaires les plus courants des pilules contraceptives sont:

  • Repérage ou saignement entre les périodes menstruelles
  • Nausée
  • Tendreté mammaire
  • Mal de tête

Ces effets secondaires sont généralement doux et disparaissent généralement avec le temps.

Les effets secondaires moins courants sont:

  • Acné
  • Moins de désir sexuel
  • Boulanges ou rétention de liquide
  • Assombrissement taché de la peau en particulier sur le visage
  • Glycémie Surtout chez les femmes qui souffrent déjà du diabète
  • Niveaux élevés en graisses (triglycérides de cholestérol) dans le sang
  • Dépression especially if you have had depression in the past. Call your healthcare provider immediately if you have any thoughts of harming yourself
  • Problèmes tolérer les lentilles de contact
  • Prise de poids

Ce n'est pas une liste complète des effets secondaires possibles. Parlez à votre fournisseur de soins de santé si vous développez des effets secondaires qui vous concernent. Vous pouvez signaler les effets secondaires à la FDA au 1-800-FDA-1088.

Aucun problème grave n'a été signalé dans une surdose de pilule contraceptive même lorsqu'il est accidentellement pris par les enfants.

Les pilules contraceptives provoquent-elles un cancer?

On ne sait pas si les pilules hormonales contraceptives provoquent un cancer du sein. Certaines études mais toutes ne suggèrent pas qu'il pourrait y avoir une légère augmentation du risque de cancer du sein chez les utilisateurs actuels avec une durée d'utilisation plus longue. Si vous avez un cancer du sein maintenant ou si vous l'avez eu dans le passé, n'utilisez pas le contrôle des naissances hormonales parce que certains cancers du sein sont sensibles aux hormones. Les femmes qui utilisent des pilules contraceptives peuvent avoir une chance légèrement plus élevée d'obtenir un cancer du col utérin. Cependant, cela peut être dû à d'autres raisons comme avoir plus de partenaires sexuels.

Que dois-je savoir de mes règles lorsque je prends Minastrin 24 Fe?

Des saignements vaginaux irréguliers peuvent se produire pendant que vous prenez Minastrin 24 Fe. Les saignements irréguliers peuvent varier d'une légère coloration entre les périodes menstruelles à des saignements percés qui ressemblent à une période régulière. Des saignements irréguliers se produisent le plus souvent au cours des premiers mois d'utilisation des contraceptifs oraux, mais peuvent également se produire après avoir pris la pilule depuis un certain temps. Un tel saignement peut être temporaire et n'indique généralement aucun problème grave. Il est important de continuer à prendre vos tablettes dans les délais. Si le saignement se produit dans plus d'un cycle est exceptionnellement lourd ou dure plus de quelques jours, appelez votre fournisseur de soins de santé.

Certaines femmes peuvent ne pas avoir de période menstruelle, mais cela ne devrait pas être une alarme tant que vous avez pris les comprimés en fonction de la direction.

Et si je manque mes règles prévues lors de la prise de Minastrin 24 Fe?

Il n'est pas rare de manquer vos règles. Cependant, si vous passez deux mois ou plus de suite sans règles ou si vous manquez vos règles après un mois où vous n'avez pas pris toutes vos tablettes, appelez correctement votre fournisseur de soins de santé car vous pouvez être enceinte. Informez également votre fournisseur de soins de santé si vous avez des symptômes de grossesse tels que les nausées matinales ou la sensibilité inhabituelle des seins. Arrêtez de prendre Minastrin 24 Fe si vous êtes enceinte.

Et si je veux devenir enceinte?

Vous pouvez arrêter de prendre les tablettes quand vous le souhaitez. Envisagez une visite avec votre fournisseur de soins de santé pour un bilan avant la grossesse avant d'arrêter de prendre les comprimés.

Conseils généraux sur Minastrin 24 Fe

Votre fournisseur de soins de santé vous a prescrit Minastrin 24 Fe pour vous. Veuillez ne pas partager Minastrin 24 Fe avec quelqu'un d'autre. Gardez Minastrin 24 Fe hors de portée des enfants.

Si vous avez des inquiétudes ou des questions, posez des problèmes de santé. Vous pouvez également demander à votre pharmacien une étiquette plus détaillée écrite pour les professionnels de la santé.

Pour toutes les demandes médicales, contactez: AbbVie Medical Communications 1-800-678-1605