Les Informations Présentées Sur Ce Site Ne Constituent Pas Un Avis Médical. Nous Ne Vendons Rien. L'Exactitude De La Traduction N'Est Pas Garantie. Clause De Non-Responsabilité
Agents de type rétinoïde, topiqueSoriatane
Résumé
Qu'est-ce que Soriatane?
Le soriatane (acitrétine) est un rétinoïde qui est une forme de vitamine A utilisée pour traiter sévère psoriasis chez les adultes. Le soriatane est généralement donné après que d'autres médicaments au psoriasis ont échoué. Le soriatane n'est pas un remède contre le psoriasis et vous pouvez rechuter après avoir cessé de prendre ce médicament.
Quels sont les effets secondaires du soriatane?
Soriatane
- urticaire
- difficulté à respirer
- gonflement de ton visage lèvres langue ou gorge
- changements d'humeur
- dépression
- agression
- pensées ou comportements inhabituels
- Pensées d'automutilation
- douleur thoracique
- vertiges
- nausée
- essoufflement
- Engourdissement soudain ou faiblesse (surtout d'un côté du corps)
- Maux de tête soudains graves
- Problèmes de discours ou d'équilibre
- gonflement ou chaleur dans une ou les deux jambes
- augmentation de la soif
- Augmentation de la miction
- bouche sèche
- odeur de respiration fruitée
- mal de tête
- vision floue
- sonner dans vos oreilles
- vertiges
- Douleur derrière tes yeux
- vomissement
- perte d'appétit
- urine sombre
- jaunissement de votre peau ou de vos yeux ( jaunisse )
- Perte de sentiment dans vos mains ou vos pieds
- Problème de déménagement
- Douleur dans vos articulations du dos muscles ou os
- démangeaison
- rougeur
- douleur
- gonflement ou peler de votre peau
- gonflement soudain
- gain de poids rapide
- fièvre
- douleur musculaire et
- étourdissement
Obtenez de l'aide médicale immédiatement si vous présentez l'un des symptômes énumérés ci-dessus.
Les effets secondaires courants du soriatane comprennent:
- rougeur
- démangeaison
- échelle cutanée
- peeling
- peau sec
- sensation collante sur la peau au cours des premières semaines alors que votre corps s'adapte au médicament
- sécher les yeux
- irritation des yeux
- Cruste des couvercles des yeux
- peau gercée ou épluchante
- Sensibilité accrue au soleil
- bouche sèche
- peeling of the skin of fingertips/palms/soles of feet
- ongles faibles
- peau fragile
- lèvres gercées
- nez sec ou coulant
- saignements de nez
- soif
- changements de goût
- perte
- mal de tête
- étanchéité musculaire
- nausée
- douleurs à l'estomac
- diarrhée
- rinçage (rougeur de chaleur ou sentiment de piqûre)
- Problèmes de sommeil (insomnie)
- sonner dans vos oreilles
Cherchez des soins médicaux ou appelez le 911 à la fois si vous avez les effets secondaires graves suivants:
- Des symptômes oculaires graves tels que la perte de vision soudaine floue du tunnel de vision de la vision de la vision des yeux ou de l'enflure ou de voir des halos autour des lumières;
- Symptômes cardiaques graves tels que les battements cardiaques rapides ou battants; flotter dans votre poitrine; essoufflement; et des étourdissements soudains étourdisseurs ou s'évanouissant;
- Maux de tête sévères Confusion Slurred Speech Bras ou Ligne Proulitude Trouble de la merde Perte de coordination Sentiment des muscles très rigides très rigides Fièvre élevée Propice ou des tremblements.
Ce document ne contient pas tous les effets secondaires possibles et d'autres peuvent survenir. Vérifiez auprès de votre médecin des informations supplémentaires sur les effets secondaires.
Dosage pour le soriatane
La dose de départ du soriatane est une dose unique de 25 à 50 mg par jour avec un repas. Des doses d'entretien de 25 à 50 mg par jour peuvent être données.
Quelles substances ou suppléments de médicaments interagissent avec le soriatane?
Le soriatane peut interagir avec Phenytoine ou Saint-John's. D'autres médicaments peuvent interagir avec le soriatane. Dites à votre médecin tous les médicaments et suppléments en vente libre et en vente libre que vous utilisez.
Soriatane pendant la grossesse et l'allaitement
Le soriatane ne doit pas être utilisé pendant la grossesse. Ce médicament ne doit pas être utilisé si vous prévoyez de devenir enceinte pendant le traitement ou dans les 3 ans suivant son utilisation. Utilisez 2 formes de contraception à partir d'un mois avant et pendant le traitement et au moins 3 ans après l'utilisation. Le sperme peut présenter un risque pour une femme enceinte si un homme utilise ce médicament. Consultez votre médecin. On ne sait pas si ce médicament est excrété dans le lait maternel. L'allaitement maternel n'est pas recommandé lors de l'utilisation de ce médicament et pendant au moins trois ans après l'arrêt du médicament.
Informations Complémentaires
Notre centre de médicaments à effets secondaires Soriatane (acitrétine) offre une vue complète des informations sur les médicaments disponibles sur les effets secondaires potentiels lors de la prise de ce médicament.
Informations sur les médicaments de la FDA
- Description de la drogue
- Indications
- Effets secondaires
- Avertissements
- Précautions
- Surdosage
- Pharmacologie clinique
- Guide des médicaments
Contre-indications et avertissements
Grossesse
Le soriatane ne doit pas être utilisé par les femmes enceintes ou qui ont l'intention de devenir enceintes pendant le traitement ou à tout moment pendant au moins 3 ans après l'arrêt du traitement. Le soriatane ne doit pas non plus être utilisé par les femmes qui peuvent ne pas utiliser de contraception fiable pendant le traitement et pendant au moins 3 ans après l'arrêt du traitement. L'acitrétine est un métabolite d'étrétinate (tegison) et des anomalies fœtales humaines humaines ont été signalées avec l'administration de l'acitrétine et de l'étrétinate. Potentiellement tous les fœtus exposés peuvent être affectés.
Des preuves cliniques ont montré que l'ingestion simultanée de l'acitrétine et de l'éthanol a été associée à la formation d'étrétinate qui a une demi-vie d'élimination significativement plus longue que l'acitrétine. Parce que la demi-vie d'élimination plus longue de l'étrétination augmenterait la durée du potentiel tératogène pour les patientes de l'éthanol ne doit pas être ingérée par des patientes de potentiel de procréation pendant le traitement par le soriatane ou pendant 2 mois après l'arrêt du traitement. Cela permet l'élimination de l'acitrétine, en supprimant ainsi le substrat pour la transestérification à l'étrétination. Le mécanisme du processus métabolique pour la conversion de l'acitrétine en étrétinate n'a pas été entièrement défini. On ne sait pas si des substances autres que l'éthanol sont associées à la transestérification.
L'acitrétine s'est avérée être embryotoxique et / ou tératogène chez des souris lapins et des rats à des doses orales de 0,6 3 et 15 mg par kg respectivement. Ces doses sont d'environ 0,2 0,3 et 3 fois la dose thérapeutique maximale recommandée respectivement sur la base d'un MGPER-M 2 comparaison.
Les principales anomalies fœtales humaines associées à l'acitrétine et / ou à l'administration d'étrétination ont été signalées, notamment la méningomyéloce; méningoencéphalocèle; Synostoses multiples; dysmorphie faciale; syndactyly; absence de phalanges terminales; malformations de la cheville et de l'avant-bras de la hanche; oreilles basses; Palé élevé; diminution du volume crânien; malformation cardiovasculaire; et les modifications du crâne et des vertèbres cervicales.
Le soriatane ne doit être prescrit que par ceux qui ont une compétence particulière dans le diagnostic et le traitement du psoriasis sévère sont expérimentés dans l'utilisation des rétinoïdes systémiques et comprennent le risque de tératogénicité.
En raison de la tératogénicité du soriatane, un programme appelé le Faites votre P.A.R.T. Programme La prévention de la grossesse activement requise pendant et après le traitement a été développée pour éduquer les femmes de potentiel de procréation et leurs prestataires de soins de santé sur les risques graves associés à l'acitrétine et pour aider à empêcher les grossesses de se produire avec l'utilisation de ce médicament et pendant 3 ans après son arrêt. Le Faites votre P.A.R.T. Les exigences du programme sont décrites ci-dessous et les documents du programme sont disponibles à www.soriatane.com ou peut être demandé en appelant le 1-888-784-3335 (1-888-Stiefel) (voir également PRÉCAUTIONS ).
Informations importantes pour les femmes en potentiel de procréation:
S L'oriatane ne doit être considéré que pour les femmes atteintes de psoriasis sévère qui ne répondent pas à d'autres thérapies ou dont l'état clinique contre-indique l'utilisation d'autres traitements.
Les femmes de potentiel de reproduction ne doivent pas recevoir de prescription de soriatane avant l'exclusion de la grossesse. Le soriatane est contre-indiqué chez les femelles de potentiel reproducteur À moins que le patient ne rencontre toutes les conditions suivantes:
Informations importantes pour les hommes qui prennent du soriatane:
Les patients ne doivent pas donner de sang pendant et pendant au moins 3 ans après le traitement avec du soriatane parce que les femmes en potentiel de procréation ne doivent pas recevoir de sang des patients traités par du soriatane.
- Doit avoir subi 2 tests de grossesse d'urine ou de sérum négatifs avec une sensibilité d'au moins 25 MIU par ml avant de recevoir la prescription initiale de Soriatane. Le premier test (un test de dépistage) est obtenu par le prescripteur lorsque la décision est prise de suivre une thérapie avec Soriatane. Le deuxième test de grossesse (un test de confirmation) doit être effectué au cours des 5 premiers jours de la période menstruelle précédant immédiatement le début du thérapie avec du soriatane. Pour les patients atteints d'aménorrhée, le deuxième test doit être effectué au moins 11 jours après le dernier acte de rapports sexuels non protégés (sans utiliser 2 formes efficaces de contraception [contraceptif] simultanément). Si le deuxième test de grossesse est une initiation négative du traitement avec le soriatane doit commencer dans les 7 jours suivant la collecte des échantillons. Le soriatane doit être limité à une offre mensuelle.
- Doit avoir un test de grossesse avec une sensibilité d'au moins 25 MIU par ml répétée chaque mois pendant le traitement avec du soriatane. Le patient doit avoir un résultat négatif d'un test d'urine ou de grossesse sérique avant de recevoir une prescription de soriatane. Pour encourager la conformité à cette recommandation, un approvisionnement mensuel du médicament doit être prescrit. Pendant au moins 3 ans après l'arrêt du traitement avec Soriatane, un test de grossesse doit être répété tous les 3 mois.
- Doit avoir sélectionné et s'être engagé à utiliser 2 formes efficaces de contraception (contraception) simultanément au moins 1 dont une forme primaire à moins que l'abstinence absolue ne soit la méthode choisie ou que le patient a subi une hystérectomie ou est clairement postménopause.
- Les patients doivent utiliser 2 formes efficaces de contraception (contrôle des naissances) simultanément pendant au moins 1 mois avant le début du traitement avec du soriatane pendant le traitement avec du soriatane et pendant au moins 3 ans après l'arrêt du traitement avec du soriatane. Un formulaire de référence au conseil de contraception est disponible afin que les patients puissent recevoir une séance de conseil en contraception gratuite initiale et des tests de grossesse. Les conseils sur la contraception et les comportements associés à un risque accru de grossesse doivent être répétés sur une base mensuelle par le prescripteur pendant le traitement avec le soriatane et tous les 3 mois pendant au moins 3 ans après l'arrêt du soriatane.
Les formes efficaces de contraception comprennent les formes primaires et secondaires de contraception. Les principales formes de contraception comprennent: les dispositifs de vasectomie intra-utérine du partenaire de ligature tubaire et les pilules contraceptives injectables / implantables / insérables / topiques sont des produits contraceptifs hormonaux. Les formes secondaires de contraception comprennent des diaphragmes de préservatifs (avec ou sans spermicide) et des caps cervicaux (qui doivent être utilisés avec un spermicide) et des éponges vaginales (contient du spermicide).
Toute méthode de contraception peut échouer. Par conséquent, il est extrêmement important que les femmes de potentiel de procréation utilisent simultanément des formes efficaces de contraception (contrôle des naissances). Il n'a pas été établi s'il existe une interaction pharmacocinétique entre l'acitrétine et les contraceptifs oraux combinés. Cependant, il a été établi que l'acitrétine interfère avec l'effet contraceptif des préparations progestantes microdosées. 1 Les préparations progestantes de minipill microdosées ne sont pas recommandées pour une utilisation avec le soriatane. On ne sait pas si d'autres contraceptifs progestatifs tels que les implants et les injectables sont des méthodes adéquates de contraception pendant le traitement par acitrétine. Il est conseillé aux prescripteurs de consulter l'insert de package de tout médicament administré par concomitance avec des contraceptifs hormonaux, car certains médicaments peuvent diminuer l'efficacité de ces produits de contraception. Les patients doivent être avertis de manière prospective de ne pas être sur le modédic avec le moût de St. John’s, une interaction possible, une éventuelle interaction a été suggérée avec des contraceptifs hormonaux sur la base de rapports de saignements révolutionnaires sur les contraceptifs oraux peu de temps après le début du millemet de St. John. Des grossesses ont été signalées par des utilisateurs de contraceptifs hormonaux combinés qui ont également utilisé une forme de millepertuis de Saint-Jean (voir PRÉCAUTIONS ). - Doit avoir signé un accord de patient / consentement éclairé pour les patientes qui contient des avertissements sur le risque de malformations congénitales potentielles si le fœtus est exposé au soriatane au sujet de l'échec contraceptif sur le fait qu'ils ne doivent pas ingérer de boissons ou de produits contenant de l'éthanol tout en prenant du soriatane et pendant 2 mois après le traitement avec le soriatane qui a été interrompu et sur la prévention de la grossesse en prenant du soriatiarane et au moins des années après 3 ans.
Si une grossesse se produit pendant le traitement avec du soriatane ou à tout moment pendant au moins 3 ans après l'arrêt du soriatane, le prescripteur et le patient devraient discuter des effets possibles sur la grossesse. Les informations disponibles sont les suivantes: acitrétine Le métabolite actif de l'étrétination est tératogène et est contre-indiqué pendant la grossesse. Le risque de malformations fœtales graves est bien établie lorsque des rétinoïdes systémiques sont pris pendant la grossesse. La grossesse doit également être évitée après l'arrêt du traitement à l'acitrétine tandis que le médicament est éliminé en dessous d'une concentration sanguine seuil qui serait associée à une incidence accrue de malformations congénitales. Parce que ce seuil n'a pas été établi pour l'acitrétine chez l'homme et parce que les taux d'élimination varient selon les patients, la durée de la contraception post-thérapie pour obtenir une élimination adéquate ne peut pas être calculée avec précision. Il est fortement recommandé que la contraception se poursuive pendant au moins 3 ans après l'arrêt du traitement avec de l'acitrétine en fonction des considérations suivantes:
- En l'absence de transestérification pour former des étrétinds supérieurs à 98% de l'acitrétine serait éliminé dans les 2 mois en supposant une demi-vie d'élimination moyenne de 49 heures.
- Dans les cas où Etrétination est formée comme cela a été démontré avec l'administration concomitante de l'acitrétine et de l'éthanol
- Plus de 98% de l'étrétination formée serait éliminée en 2 ans en supposant une demi-vie d'élimination moyenne de 120 jours.
- Plus de 98% de l'étrétination formée serait éliminée en 3 ans sur la base de la demi-vie d'élimination démontrée la plus longue de 168 jours. Cependant, l'étrétination a été trouvée dans le plasma et les graisses sous-cutanées chez un patient qui aurait eu une consommation d'alcool sporadique 52 mois après avoir arrêté le traitement par acitrétine. 2
- Des malformations congénitales graves ont été signalées où une conception s'est produite pendant l'intervalle de temps lorsque le patient était traité avec de l'acitrétine et / ou de l'étrétination. De plus, de graves malformations congénitales ont également été signalées lorsque la conception s'est produite après la fin de la mère. Ces cas ont été signalés à la fois de manière prospective (avant que le résultat ne soit connu) et rétrospectivement (après que le résultat a été connu). Les événements ci-dessous sont répertoriés sans distinction quant à savoir si les malformations congénitales signalées sont cohérentes avec l'embryopathie induite par les rétinoïdes ou non.
- Il y a eu 318 cas signalés de manière prospective impliquant des grossesses et l'utilisation de l'acitrétine d'étrétination ou des deux. Dans 238 de ces cas, la conception s'est produite après la dernière dose d'acitine d'étrétinate (103 cas) (126) ou les deux (9). Les résultats fœtaux sont restés inconnus dans environ la moitié de ces cas dont 62 ont été résiliés et 14 étaient des avortements spontanés. Le résultat fœtal est connu pour les 118 autres cas et 15 des résultats ont été anormaux (y compris les cas de malformation de malformation de malformations de club de club manie gastro-intestinale / anémie anéonatale Ichtyosis de malformation du membre / anémie Aneonatal Ichtyosis Troubles placentaires / Testicules de décès et 5 cas de naissance prématurée). Dans les 126 cas signalés de manière prospective où la conception s'est produite après la dernière dose d'aciTretine, seulement 43 cas impliquaient une conception au moins 1 an mais moins de 2 ans après la dernière dose. Il y avait 3 rapports de résultats anormaux sur ces 43 cas (impliquant des malformations de malformation des membres et une naissance prématurée). Il n'y avait que 4 cas où la conception s'est produite au moins 2 ans après la dernière dose, mais il n'y a eu aucun rapport de malformations congénitales dans ces cas.
- Il y a également un total de 35 cas signalés rétrospectivement où la conception s'est produite au moins 1 an après la dernière dose d'acirétine d'étrétination ou les deux. From these cases there are 3 reports of birth defects when the conception occurred at least 1 year but less than 2 years after the last dose of acitretin (including heart malformations Turner’s Syndrome and unspecified congenital malformations) and 4 reports of birth defects when conception occurred 2 or more years after the last dose of acitretin (including foot malformation cardiac malformations [2 cases] and unspecified neonatal and infancy trouble). Il y a eu 3 résultats anormaux supplémentaires dans les cas où la conception s'est produite 2 ans ou plus après la dernière dose d'étrétinate (y compris l'aplasie de l'avant-bras des troubles chromosomes et la mortinaissance).
- Les femmes qui ont pris Tegison (Etrétinate) doivent continuer à suivre les recommandations contraceptives pour Tegison. Tegison n'est plus commercialisé aux États-Unis; Pour plus d'informations, appelez Stiefel au 1-888-784-3335 (1-888Stiefel).
- Les patients ne doivent pas donner de sang pendant et pendant au moins 3 ans après la fin de la thérapie avec le soriatane parce que les femmes en potentiel de procréation ne doivent pas recevoir de sang des patients traités par du soriatane.
- Des échantillons de liquide séminal de 3 patients masculins traités par acitrétine et 6 patients masculins traités par étrétination ont été testés pour la présence de l'acitrétine. La concentration maximale d'acirétine observée dans le liquide séminal de ces hommes était de 12,5 ng par ml. En supposant qu'un volume éjaculé de 10 ml, la quantité de médicament transféré dans le sperme serait de 125 ng, soit 1/200000 d'une seule capsule de 25 mg. Ainsi, bien qu'il apparaisse que l'acitrétine résiduelle dans le liquide séminal pose peu ou pas de risque pour un fœtus pendant qu'un patient mâle prend le médicament ou après qu'il soit interrompu la limite de non-effet pour la tératogénicité est inconnue et il n'y a pas de registre pour les malformations congénitales associées à l'acitrétine. Les données disponibles sont les suivantes:
Il y a eu 25 cas de conception rapportée lorsque le partenaire masculin prenait de l'acitrétine. Le résultat de la grossesse est connu dans 13 de ces 25 cas. De ces 9 rapports étaient rétrospectifs et 4 étaient prospectifs (ce qui signifie que la grossesse a été signalée avant la connaissance du résultat) 3 .
|
Pour tous les patients:
Le soriatane Guide des médicaments Doit être donné au patient chaque fois que le soriatane est distribué comme l'exige la loi.
Description du soriatane
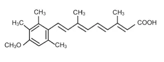
Soriatane (acitrétine) Un rétinoïde est disponible en capsules de gélatine de 10 mg 17,5 mg et 25 mg pour l'administration orale. L'acitrétine chimique est tout-trans-9- (4-méthoxy-236triméthylphényl) -37-diméthyl-2468-non-nonatetraenoïque. Il s'agit d'un métabolite d'étrétination et est lié à la fois à l'acide rétinoïque et au rétinol (vitamine A). Il s'agit d'une poudre jaune à verdâtre jaune avec un poids moléculaire de 326,44. La formule structurelle est:
|
Chaque capsule contient de l'acitrétine en monogrammation noire gélatine maltodextrine (un mélange de polysaccharides) cellulose microcristalline et ascorbate de sodium.
Les coquilles de capsule de gélatine contiennent de l'oxyde de fer de gélatine (noir jaune et rouge) et du dioxyde de titane. Ils peuvent également contenir de l'alcool benzylique carboxyméthylcellulose sodium édétate de calcium.
Références
1. Berbis Ph et al .: Arch dermatol Res (1988) 280: 388-389.
2. Maier H Honigsmann H: concentration d'étrétination dans le plasma et les graisses sous-cutanées après l'acitrétine à long terme. Lancette 348: 1107 1996.
3. Geiger JM Walker M: Y a-t-il un risque de sécurité reproductive chez les patients masculins traités par acitrétine (Neotigason / Soriatane)? Dermatologie 205: 105-107 2002.
Utilisations pour Soriatane
Le soriatane est indiqué pour le traitement du psoriasis sévère chez les adultes. En raison des effets indésirables significatifs associés à son utilisation, le soriatane ne doit être prescrit que par ceux qui connaissent l'utilisation systémique des rétinoïdes. Chez les femmes de potentiel reproducteur, le soriatane doit être réservé aux patients non enceintes qui ne répondent pas à d'autres thérapies ou dont l'état clinique contre-indique l'utilisation d'autres traitements (voir Contre-indications et avertissements en boîte «Le soriatane peut provoquer de graves malformations congénitales).
La plupart des patients éprouvent des rechutes du psoriasis après l'arrêt du traitement. Les cours ultérieurs, lorsqu'ils sont cliniquement indiqués, ont produit des résultats d'efficacité similaires au cours initial du traitement.
Dosage pour le soriatane
Il y a une variation intersubjective dans l'efficacité clinique de la pharmacocinétique et l'incidence des effets secondaires avec le soriatane. Un certain nombre des effets secondaires les plus courants sont liés à la dose. L'individualisation de la dose est nécessaire pour obtenir une réponse thérapeutique suffisante tout en minimisant les effets secondaires. La thérapie avec le soriatane doit être initiée à 25 à 50 mg par jour donnée en une seule dose avec le repas principal. Des doses d'entretien de 25 à 50 mg par jour peuvent être administrées en fonction de la réponse d'un patient individuel au traitement initial. Les rechutes peuvent être traitées comme décrites pour le traitement initial.
Lorsque le soriatane est utilisé avec la photothérapie, le prescripteur devrait diminuer la dose de photothérapie en fonction de la réponse individuelle du patient (voir PRÉCAUTIONS : Général ).
Les femmes qui ont pris Tegison (Etrétinate) doivent continuer à suivre les recommandations contraceptives pour Tegison. Tegison n'est plus commercialisé aux États-Unis; Pour plus d'informations, appelez Stiefel au 1-888-784-3335 (1-888-Stiefel).
Informations pour les pharmaciens
Le soriatane ne doit être dispensé que dans un approvisionnement mensuel. Un guide de médicaments soriatane doit être donné au patient chaque fois que le soriatane est distribué comme l'exige la loi.
Comment fourni
Capsules brunes et blanches 10 mg imprimées A-10 mg; bouteilles de 30 ( NDC 0145-0090-25).
Capsules brunes et jaunes 25 mg imprimés A-25 mg; bouteilles de 30 ( NDC 0145-0091-25).
Stocker entre 15 ° et 25 ° C (59 ° et 77 ° F). Protéger de la lumière. Évitez l'exposition à des températures élevées et à l'humidité après l'ouverture de la bouteille.
Accord des patients / Consentement éclairé pour les patientes
À compléter par la patiente * et signée par son prescripteur
|
* Doit également être paraphé par le parent ou le tuteur d'un patient mineur (moins de 18 ans)
Effets secondaires de la L-carnitine
Lisez chaque élément ci-dessous et initial dans l'espace fourni pour montrer que vous comprenez chaque élément. Ne signez pas ce consentement et ne prenez pas le soriatane (acitrétine) s'il y a quelque chose que vous ne comprenez pas.
_____________________________________________________________
(Nom du patient)
1. Je comprends qu'il existe un risque très élevé que mon bébé à naître puisse avoir de graves malformations congénitales si je suis enceinte ou si je suis enceinte en prenant du soriatane en toute quantité, même pendant de courtes périodes. Des malformations congénitales se sont également produites chez des bébés de femmes qui sont tombées enceintes après avoir arrêté le traitement par Soriatane.
INITIAL: ___________
2. Je comprends que je ne dois pas tomber enceinte en prenant du soriatane et pendant au moins 3 ans après la fin de mon traitement avec Soriatane.
INITIAL: ___________
3. Je sais que je dois éviter tout alcool, y compris les boissons alimentaires et les produits en vente libre qui contiennent de l'alcool. Je comprends que le risque de malformations congénitales peut durer plus de 3 ans si j'avale une forme d'alcool pendant la thérapie avec du soriatane et pendant 2 mois après avoir cessé de prendre du soriatane.
INITIAL: ___________
4. Je comprends que je ne dois pas avoir de rapports sexuels ou que je dois utiliser 2 formes efficaces de contrôle des naissances distinctes en même temps. Les seules exceptions sont que si j'ai subi une intervention chirurgicale pour retirer l'utérus (une hystérectomie) ou mon prescripteur m'a dit que j'avais complètement traversé la ménopause.
INITIAL: ___________
5. Je comprends que je dois utiliser 2 formes efficaces de contraception (contraception) en même temps pendant au moins 1 mois avant de commencer le soriatane pendant toute la période de thérapie avec le soriatane et pendant au moins 3 ans après l'arrêt du soriatane.
INITIAL: ___________
6. Je comprends que toute forme de contraception peut échouer. Par conséquent, je dois utiliser 2 méthodes différentes en même temps chaque fois que j'ai des rapports sexuels.
INITIAL: ___________
7. Je comprends que les éléments suivants sont considérés comme des formes efficaces de contraception: primaire: ligature tubaire (ayant mes tubes liés) des pilules contraceptives de la vasectomie du partenaire (non des minipills progestables uniquement) des produits de contraception hormonale et des dispositifs intra-uérin insertables / topiques). Secondaire: préservatifs (avec ou sans spermicide qui est une crème ou de la gelée spéciale qui tue le sperme) les diaphragmes et les bouchons cervicaux (qui doivent être utilisés avec un spermicide) et des éponges vaginales (contient du spermicide). Je comprends qu'au moins 1 de mes 2 méthodes de contrôle des naissances doit être une méthode principale.
INITIAL: ___________
8. Je vais parler avec mon prescripteur de tout médicament ou suppléments alimentaires que je prévois de prendre tout en prenant du soriatane, car certaines méthodes de contraception peuvent ne pas fonctionner si je prends certains médicaments ou des produits à base de plantes (par exemple le moût de Saint-Jean).
INITIAL: ___________
9. À moins d'avoir une hystérectomie ou que mon prescripteur dit que je suis complètement passé par la ménopause, je comprends que je dois avoir 2 résultats de test de grossesse négatifs avant de pouvoir obtenir une prescription pour commencer le soriatane. Je comprends que si le deuxième test de grossesse est négatif, je dois commencer à prendre mon soriatane dans les 7 jours suivant la collection d'échantillons. J'aurai ensuite des tests de grossesse sur une base mensuelle pendant la thérapie avec Soriatane comme indiqué par mon prescripteur. De plus, pendant au moins 3 ans après avoir cessé de prendre du soriatane, j'aurai un test de grossesse tous les 3 mois.
INITIAL: ___________
10. Je comprends que je ne devrais pas commencer à prendre du soriatane tant que je suis sûr que je ne suis pas enceinte et que je n'ai pas de résultats négatifs de 2 tests de grossesse.
INITIAL: ___________
11. J'ai reçu des informations sur la contraception d'urgence (contrôle des naissances), y compris des informations sur sa disponibilité en vente libre.
INITIAL: ___________
12. Je comprends que sur une base mensuelle pendant la thérapie avec le soriatane et tous les 3 mois pendant au moins 3 ans après l'arrêt du soriatane, je devrais recevoir des conseils de mon prescripteur sur la contraception (contraception) et les comportements associés à un risque accru de grossesse.
INITIAL: ___________
13. Je comprends que je dois arrêter de prendre du soriatane immédiatement et appeler mon prescripteur si je tombe enceinte, manque-t-il ma période menstruelle, arrêtez d'utiliser le contrôle des naissances ou d'avoir des rapports sexuels sans utiliser mes 2 méthodes de contraception pendant et au moins 3 ans après l'arrêt du soriatane.
INITIAL: ___________
14. Si je tombe enceinte sur Soriatane ou à tout moment dans les 3 ans suivant l'arrêt du soriatane, je comprends que je devrais signaler ma grossesse à Stiefel au 1-888-784-3335 (1-888-Stiefel) ou au programme Medwatch Food and Drug) au 1-800-FDA-1088. Les informations que je partage seront maintenues confidentielles (privées), sauf si la divulgation est légalement requise. Cela aidera l'entreprise et la FDA à évaluer le programme de prévention de la grossesse pour prévenir les malformations congénitales.
INITIAL: ___________
J'ai reçu une copie du Faites votre P.A.R.T. brochure. Mon prescripteur a répondu à toutes mes questions sur Soriatane. Je comprends qu'il est de ma responsabilité de suivre les instructions de mon médecin et de ne pas tomber enceinte pendant le traitement avec du soriatane ou pendant au moins 3 ans après avoir cessé de prendre du soriatane.
J'autorise maintenant mon prescripteur ______________________________________________________ pour commencer mon traitement par Soriatane.
Signature du patient: ____________________________________________
Date: ___________________
Signature des parents / tuteurs (si moins de 18 ans): ____________________
Date: ___________________
Veuillez imprimer: Nom et adresse du patient: ___________________________________________________________________
_______________________________________________________________
Téléphone: _________________________________________________________________
J'ai pleinement expliqué au patient _____________________________________________________ La nature et le but du traitement décrits ci-dessus et les risques pour les femmes de potentiel de procréation. J'ai demandé à la patiente si elle avait des questions concernant son traitement avec Soriatane et j'ai répondu à ces questions au mieux de mes capacités.
Signature du prescripteur: _______________________________________
Date: __________________
Fabriqué pour: Stiefel Laboratories Inc. Durham NC 27701. Révisé: février 2023
Effets secondaires pour le soriatane
L'hypervitaminose a produit un large éventail de signes et symptômes principalement des systèmes nerveux hépatiques musculo-squelettiques mucococutanés. De nombreuses réactions indésirables cliniques rapportées à ce jour avec l'administration de soriatane ressemblent à celles de l'hypervitaminose un syndrome.
Événements indésirables / rapports de commercialisation de la poste
En plus des événements énumérés dans les tableaux pour les essais cliniques, les événements indésirables suivants ont été identifiés lors de l'utilisation post-approbation de Soriatane. Parce que ces événements sont signalés volontairement à partir d'une population de taille incertaine, il n'est pas toujours possible d'estimer de manière fiable leur fréquence ou d'établir une relation causale à l'exposition aux médicaments.
Cardiovasculaire
Thromboembolie aiguë du myocarde (voir Avertissements ) accident vasculaire cérébral.
Troubles du système immunitaire
Hypersensibilité comprenant l'œdème de l'angio et l'urticaire (voir Contre-indications ).
Système nerveux
Une myopathie avec une neuropathie périphérique a été signalée pendant le traitement avec du soriatane. Les deux conditions se sont améliorées avec l'arrêt du médicament.
Psychiatrique
Des sentiments agressifs et / ou des pensées suicidaires ont été signalés. Ces événements, notamment des comportements autonomes, ont été signalés chez des patients prenant d'autres rétinoïdes administrés systémiquement ainsi que chez les patients prenant du soriatane. Étant donné que d'autres facteurs peuvent avoir contribué à ces événements, on ne sait pas s'ils sont liés au soriatane (voir PRÉCAUTIONS ).
Reproducteur
Vaginite à cire due aux albicans blancs.
Peau et appendices
L'amincissement de la fragilité et de l'échelle de la peau de la peau peut se produire sur tout le corps, en particulier sur les paumes et les semelles; La fragilité des ongles est fréquemment observée. La madarose et la dermatite / érythrodermie exfoliative ont été signalées (voir Avertissements ).
Troubles vasculaires
Syndrome de fuite capillaire (voir Avertissements ).
Essais cliniques
Au cours des essais cliniques avec Soriatane 513 sur 525 (98%), des sujets ont signalé un total de 3545 événements indésirables. Cent seize sujets (22%) ont laissé des essais prématurément principalement en raison d'expériences défavorables impliquant les muqueuses et la peau. Trois sujets sont morts. Deux des décès n'ont pas été liés à la médicament (adénocarcinome pancréatique et cancer du poumon); L'autre sujet est décédé d'un infarctus aigu du myocarde considéré comme à distance lié à un traitement médicamenteux. Dans les essais cliniques, le soriatane a été associé à des élévations des résultats des tests de la fonction hépatique ou des niveaux de triglycérides et de l'hépatite.
Les tableaux ci-dessous répertorient par système corporel et fréquence les événements indésirables rapportés lors des essais cliniques de 525 sujets atteints de psoriasis.
Tableau 3: Événements indésirables fréquemment signalés lors des essais cliniques pour cent des rapports des sujets (n = 525)
| Système corporel | > 75% | 50% à 75% | 25% à 50% | 10% à 25% |
| SNC | Rigueurs | |||
| Troubles oculaires | Xérophtalmie | |||
| Membranes muqueuses | Cheilite | Rhinite | Épistaxis de la bouche sèche | |
| Musculo-squelettique | Hyperostose vertébrale de l'arthralgie (progression des lésions existantes) | |||
| Peau et appendices | Épluche de peau d'alopécie | Trouble des ongles de peau sèche prurit | Hypenesthesthésie érythémateuse Paresthésie Paronychia Peau ATrophy Skin Skin |
Tableau 4: Événements indésirables moins fréquemment rapportés lors des essais cliniques (dont certains peuvent ne pas avoir de relation avec la thérapie)
Pourcentage des rapports des sujets (n = 525)
| Système corporel | 1% à 10% | <1% | ||
| Le corps dans son ensemble | Anorexie œdème fatigue hot flash a augmenté l'appétit | Intolérance à l'alcool Strizer Fever Symptômes de type grippe | Malaise moniliase Muscle faiblesse du poids | |
| Cardiovasculaire | Bouffée | La cyanose de la douleur thoracique a augmenté le temps de saignement | Claudication intermittente ischémie périphérique | |
| SNC (also see Psychiatrique) | Douleur aux maux de tête | Névrite de migraine anormale | Pseudotumor cerebri (hypertension intracrânienne) | |
| Troubles oculaires | Vision anormale / floue Blépharite Conjonctivite / irritation Anomalie épithéliale cornéenne | Diminution de la vision nocturne / de la cécité nocturne anomalie anormalité Photophobie pour la douleur oculaire | Lacrimation anormal Chalazion Hémorragie conjonctivale Ulcération cornéenne Diplopie ectropion | Les yeux et les couvercles en papachedème sont récurrentes |
| Gastro-intestinal | Douleur abdominale Diarrhée Trouble de la langue nauséeuse | Constipation dyspepsie œsophagite gastro-entérite | Hémorroïdes de glossite Ulcération de la langue de mélan | |
| Foie et biliaire | Fonction hépatique | |||
| Membranes muqueuses | Gingival Saignement Gingivite Augmentation de la salive | Stomatite soif de stomatite ulcéreuse | Salive altéré Hyperplasie de la gomme anale de la salive | Pharyngite d'hémorragie |
| Musculo-squelettique | Arthrite arthrose maux de dos hypertonia myalgie | Hyperostose articulaire périphérique de l'ostéodynie (progression des lésions existantes) | Trouble osseux Olecranon Bursite Hyperostose vertébrale (Nouvelles Lésions) | |
| Psychiatrique | Dépression insomnie somnolence | La dysphonie anxiété libido diminuait la nervosité | ||
| Reproducteur | Vaginite atrophique leucorrhée | |||
| Respiratoire | Sinusite | Tousser une laryngite aux expectorations | ||
| Peau et appendices | Odeur cutanée anormale texture de cheveux anormale éruption bulle à la dermatite cutanée froide / peau | Psoriasiforme éruption cutanée pura granulome pyogène séborrhée fissures cutanées ulcération cutanée | Acné douleurs mammaires kyste eczéma infection fongique furunculose décoloration des cheveux Herpès simplex hyperkératose hypertrichose hypoesthésie altérée otite de guérison | |
| Sens spéciaux / autre | Perversion au goût d'oreille Terversion des acouphènes | Ceruminos Deast Denned Gott Loss | ||
| Urinaire | Trouble anormal de la dysurie d'urine |
Laboratoire
La thérapie avec le soriatane induit des changements dans les tests de fonction hépatique chez un nombre important de patients. Des élévations de AST (SGOT) ALT (SGPT) ou de LDH ont été vécues d'environ 1 sujets sur 3 traités avec du soriatane. Dans la plupart des sujets, les élévations étaient légères à modérées et sont revenues à la normale soit pendant la poursuite du traitement, soit après l'arrêt du traitement. Chez les sujets recevant du soriatane au cours des essais cliniques, 66% et 33% ont connu une élévation des triglycérides et du cholestérol respectivement. Une diminution des lipoprotéines de haute densité (HDL) s'est produite dans 40% (voir Avertissements ). Transient usually reversible elevations of alkaline phosphatase have been observed.
Le tableau 5 répertorie les anomalies de laboratoire signalées lors des essais cliniques.
Tableau 5: Résultats anormaux des tests de laboratoire rapportés lors des essais cliniques
Pourcentage de rapports de sujets
| Système corporel | 50% à 75% | 25% à 50% | 10% à 25% | 1% à 10% |
| Électrolytes | Augmentation: -Phosphore -potassium -sodium a augmenté et diminué: -magnésium | Diminué: -phosphore -potassium -sodium a augmenté et diminué: -Calcium-chlorure | ||
| Hématologique | Augmentation: -réticulocytes | Diminué: -Hematocrit -Hemoglobin -WBC augmenté: -Haptoglobin -Neutrophiles -WBC | Augmentation: -bands -Basophiles -Eosinophiles -Hematocrit -Hemoglobin -Lymphocytes -Monocytes diminué: -Haptoglobine -Lymphocytes -Neutrophiles -reticulocytes augmentés ou diminués: -Platelets -RBC | |
| Hépatique | Augmentation: -cholesterol -LDH -Sgot -Sgpt diminué: -HDL cholestérol | Augmentation: -Alkaline phosphatase -Direct bilirubin -gtp | Augmentation: -globuline -potale bilirubine-protéine totale augmente et diminué: -Sérum albumine | |
| Divers | Augmentation: -Triglycérides | Augmentation: -cpk - glycémie | Diminué: -claisant la glycémie - un grand sang occulte | Augmenté et diminué: -eron |
| Rénal | Augmentation: -yurique acide | Augmentation: -bun -Creatinine | ||
| Urinaire | WBC dans l'urine | Acétonurie hématurie RBC dans l'urine | Glycosurie protéinurie |
Interactions médicamenteuses pour le soriatane
Aucune information fournie
Avertissements for Soriatane
(Voir aussi Contre-indications et avertissements en boîte .)
Hépatotoxicité
Sur les 525 sujets traités aux essais cliniques américains, 2 ont eu une ictère clinique avec une bilirubine sérique élevée et des transaminases considérées comme liées au traitement avec du soriatane. Les résultats des tests de la fonction hépatique dans ces sujets sont retournés à la normale après l'arrêt du soriatane. Deux des 1289 sujets traités dans des essais cliniques européens ont développé une hépatite toxique confirmée par la biopsie. Une deuxième biopsie dans l'un de ces sujets a révélé une formation de nodules évoquant une cirrhose. Un sujet dans un essai clinique canadien de 63 sujets a développé une augmentation 3 fois des transaminases. Une biopsie hépatique de ce sujet a montré de légères pertes d'hépatocytes multifocales lobulaires et une légère triadite des voies portales compatibles avec une lésion hépatique réversible aiguë. Les niveaux de transaminase du sujet sont revenus à la normale 2 mois après l'arrêt du soriatane.
The potential of therapy with SORIATANE to induce hepatotoxicity was prospectively evaluated using liver biopsies in an open-label trial of 128 subjects. Pretreatment and posttreatment biopsies were available for 87 subjects. A comparison of liver biopsy findings before and after therapy revealed 49 (58%) subjects showed no change 21 (25%) improved and 14 (17%) subjects had a worsening of their liver biopsy status. For 6 subjects the classification changed from class 0 (no pathology) to class I (normal fatty infiltration; nuclear variability and portal inflammation; both mild); for 7 subjects the change was from class I to class II (fatty infiltration nuclear variability portal inflammation and focal necrosis; all moderate to severe); and for 1 subject the change was from class II to class IIIb (fibrosis moderate to severe). No correlation could be found between liver function test result abnormalities and the change in liver biopsy status and no cumulative dose relationship was found.
Des élévations de AST (SGOT) ALT (SGPT) GGT (GGTP) ou LDH se sont produites chez environ 1 sujets sur 3 traités avec du soriatane. Sur les 525 sujets traités dans des essais cliniques dans le traitement américain ont été interrompus dans 20 (NULL,8%) en raison des résultats élevés des tests de fonction hépatique. Si l'hépatotoxicité est suspectée pendant le traitement par le soriatane, le médicament doit être interrompu et l'étiologie a en outre étudié.
Dix des 652 sujets traités dans les essais cliniques américains d'étrétination dont l'acitrétine est le métabolite actif souffrant d'une hépatite clinique ou histologique considérée comme éventuellement ou probablement liée au traitement de l'étrétination.
Il y a eu des rapports de décès liés à l'hépatite dans le monde entier; Quelques-uns de ces sujets avaient reçu de l'étrétinate pendant un mois ou moins avant de présenter des symptômes ou des signes hépatiques.
Anomalies squelettiques
Chez les adultes recevant un traitement à long terme avec des examens appropriés sur le Soriatane, il faut effectuer périodiquement des anomalies d'ossification possibles (voir (voir Effets indésirables ). Because the frequency et severity of iatrogenic bony abnormality in adults is low periodic radiography is only warranted in the presence of symptoms or long-term use of Soriatane. If such disorders arise the continuation of therapy should be discussed with the patient on the basis of a careful risk/benefit analysis. In clinical trials with Soriatane subjects were prospectively evaluated for evidence of development or change in bony abnormalities of the vertebral column knees et ankles.
Sur 380 sujets traités par Soriatane, 15% avaient des anomalies préexistantes de la colonne vertébrale qui ont montré de nouveaux changements ou progression des résultats préexistants. Les changements ont inclus les éperons dégénératifs ponts antérieurs des vertèbres vertébrés diffuse diffuses diffuses idiopathiques squelettiques Hyperostose Calcification et rétrécissement et destruction d'un espace disque cervical. Des changements de novo (formation de petits éperons) ont été observés chez 3 sujets après 1½ à 2 ans et demi.
Six des 128 sujets traités avec du soriatane ont montré des anomalies dans les genoux et les chevilles avant le traitement qui a progressé pendant le traitement. Dans 5, ces changements impliquaient la formation de Spurs supplémentaires ou l'élargissement des éperons existants. Le sixième sujet avait une maladie articulaire dégénérative qui s'est aggravée. Aucun sujet n'a développé des éperons de novo. Les plaintes cliniques n'ont pas prédit de changements radiographiques.
Lipides et effets cardiovasculaires possibles
Des déterminations lipidiques sanguines doivent être effectuées avant l'administration du soriatane et à nouveau à des intervalles de 1 à 2 semaines jusqu'à ce que la réponse lipidique au médicament soit généralement établie dans les 4 à 8 semaines. Chez les sujets recevant du soriatane au cours des essais cliniques, 66% et 33% ont connu une élévation des triglycérides et du cholestérol respectivement. Une diminution des lipoprotéines de haute densité (HDL) s'est produite chez 40% des sujets. Ces effets du soriatane étaient généralement réversibles lors de l'arrêt du traitement.
Les sujets ayant une tendance accrue à développer une hypertriglycéridémie comprenaient ceux qui ont des perturbations du métabolisme lipidique diabète sucré l'obésité accrue de l'apport d'alcool ou des antécédents familiaux de ces conditions. En raison du risque d'hypertriglycéridémie, les lipides sériques doivent être plus étroitement surveillés chez les patients à haut risque et pendant un traitement à long terme.
L'hypertriglycéridémie et la baisse des HDL peuvent augmenter le statut de risque cardiovasculaire d'un patient. Bien qu'aucune relation causale n'ait été établie, il y a eu des rapports post-commercialisation d'un infarctus aigu du myocarde ou des événements thromboemboliques chez les patients sous traitement avec du soriatane. De plus, une élévation des triglycérides sériques à plus de 800 mg par DL a été associée à une pancréatite fulminante mortelle. Par conséquent, les modifications alimentaires, la réduction de la dose de soriatane ou de traitement médicamenteuse doit être utilisée pour contrôler des élévations importantes des triglycérides. Si malgré ces mesures, l'hypertriglycéridémie et les faibles niveaux de HDL persistent, l'arrêt du soriatane doit être pris en compte.
Effets ophtalmologiques
Les yeux et la vision de 329 sujets traités avec du soriatane ont été examinés par des ophtalmologistes. Les résultats comprenaient l'irritation des yeux secs (23%) des yeux (9%) et la perte de front et de cils (5%). Les éléments suivants ont été signalés chez moins de 5% des sujets: la blépharite par la paralysie de Bell et / ou la croûte de couvercles vision floue conjonctivite anormalité épithéliale cornéale diminution de la vision nocturne des yeux ou des paupières cataracte nucléaire pannus papildema phobia besulaire subcapsulaire cataract.
Tout patient traité avec du soriatane qui éprouve des difficultés visuelles devrait interrompre le médicament et subir une évaluation ophtalmologique.
Pancréatite
Les élévations lipidiques se produisent dans 25% à 50% des sujets traités avec du soriatane. Les triglycérides augmentent suffisamment pour être associés à la pancréatite sont beaucoup moins courants bien que une pancréatite fulminante mortelle ait été signalée. Il y a eu de rares rapports de pancréatite pendant le traitement avec du soriatane en l'absence d'hypertriglycéridémie.
Cerveau pseudotumor
Le soriatane et d'autres rétinoïdes administrés par voie orale ont été associés à des cas de pseudotumor cerebri (hypertension intracrânienne bénigne). Certains de ces événements impliquaient une utilisation concomitante de l'isotrétinoïne et des tétracyclines. Cependant, l'événement vu chez un seul patient recevant du soriatane n'était pas associé à l'utilisation de la tétracycline. Les premiers signes et symptômes incluent les nausées et les vomissements de maux de tête en papillon et les vomissements. Les patients présentant ces signes et symptômes doivent être examinés pour le cachette papilleuse et s'ils sont présents doivent interrompre le soriatane immédiatement et être référés pour l'évaluation et les soins neurologiques. Étant donné que le soriatane et les tétracyclines peuvent entraîner une augmentation de la pression intracrânienne, leur utilisation combinée est contre-indiquée (voir Contre-indications ).
Syndrome de fuite capillaire
Syndrome de fuite capillaire Une manifestation potentielle du syndrome de l'acide rétinoïque a été signalée chez les patients recevant du soriatane. Les caractéristiques de ce syndrome peuvent inclure un œdème localisé ou généralisé avec de la fièvre et de l'hypotension secondaires. La rhabdomyolyse et les myalgies ont été rapportées en association avec le syndrome de la fuite capillaire et les tests de laboratoire peuvent révéler une hypoalbuminémie de neutrophilie et un hématocrite élevé. Arrêtez le soriatane si le syndrome de la fuite capillaire se développe pendant la thérapie.
Dermatite / érythrodermie exfoliative
La dermatite / érythrodermie exfoliative a été signalée chez les patients recevant du soriatane. Interrompre le soriatane si une dermatite / érythrodermie exfoliative se produit pendant le traitement.
Précautions for Soriatane
Une description du Faites votre P.A.R.T. Les matériaux sont fournis ci-dessous. Les principaux objectifs du matériel sont d'expliquer les exigences du programme pour renforcer les messages éducatifs et évaluer l'efficacité du programme.
Le Faites votre P.A.R.T. Le livret comprend:
- Le Faites votre P.A.R.T. Brochure des patients: informations sur les exigences du programme Risques de l'acitrétine et des types de méthodes contraceptives
- Le Patient Agreement/Informed Consent for Female Patients form
- Guide des médicaments
Faites votre P.A.R.T. Les documents de programme sont disponibles sur www.soriatane.com ou peuvent être demandés en appelant le 1-888-784-3335 (1-888-Stiefel).
Informations pour les patients
(Voir Guide des médicaments pour tous les patients et accord des patients / consentement éclairé pour les patientes à la fin de l'étiquetage professionnel).
Les patients doivent être invités à lire le guide de médicaments fourni comme l'exige la loi lorsque le soriatane est distribué.
Femelles de potentiel reproducteur
Le soriatane peut provoquer de graves malformations congénitales. Les patientes ne doivent pas être enceintes lorsque le traitement avec du soriatane est initié, ils ne doivent pas tomber enceintes lors de la prise de Soriatane et pendant au moins 3 ans après l'arrêt du soriatane afin que le médicament puisse être éliminé en dessous d'une concentration sanguine qui serait associée à une incidence accrue de malformations congénitales. Parce que ce seuil n'a pas été établi pour l'acitrétine chez l'homme et parce que les taux d'élimination varient selon les patients, la durée de la contraception post-thérapie pour obtenir une élimination adéquate ne peut pas être calculée avec précision (voir Contre-indications et avertissements en boîte ).
Les femmes de potentiel de reproduction doivent également être informées qu'elles ne doivent pas ingérer de boissons ou de produits contenant de l'éthanol tout en prenant du soriatane et pendant 2 mois après l'arrêt du soriatane. Cela permet l'élimination de l'acitrétine qui peut être convertie en étrétination en présence d'alcool.
Les patientes doivent être informées que toute méthode de contraception peut échouer, y compris la ligature des tubales et que les préparations de minipill progestatif microdosées ne sont pas recommandées pour une utilisation avec le soriatane (voir Pharmacologie clinique : Interactions pharmacocinétiques ). Data from one patient who received a very low-dosed progestin contraceptive (levonorgestrel 0.03 mg) had a significant increase of the progesterone level after 3 menstrual cycles during acitrétine treatment. 2
Les patientes devraient être informées de contacter les centres de santé de leurs médecins en pharmacies ou les salles d'urgence de l'hôpital pour obtenir des informations sur la façon d'obtenir la contraception d'urgence si les rapports sexuels se produisent sans utiliser 2 formes efficaces de contraception simultanément. Un numéro sans frais de 24 heures (1-800-739-6700) est également disponible pour les patients pour recevoir des informations automatisées de contraception et de contraception d'urgence.
Les patientes doivent signer un formulaire de consentement avant de commencer la thérapie avec Soriatane (voir boxé Contre-indications et avertissements ).
Mères qui allaitent
Des études sur des rats allaitantes ont montré que l'étrétination est excrétée dans le lait. Il existe un rapport de cas potentiel où l'acitrétine serait excrétée dans le lait maternel. Par conséquent, les mères qui allaitent ne devraient pas recevoir de soriatane avant ou pendant les soins infirmiers en raison du potentiel de réactions indésirables graves chez les nourrissons en soins infirmiers.
Tous les patients
La dépression et / ou d'autres symptômes psychiatriques tels que des sentiments agressifs ou des pensées d'automutilation ont été signalés. Lese events including self-injurious behavior have been reported in patients taking other systemically administered retinoids as well as in patients taking Soriatane. Since other factors may have contributed to these events it is not known if they are related to Soriatane. Patients should be counseled to stop taking Soriatane et notify their prescriber immediately if they experience psychiatric symptoms.
Les patients doivent être informés qu'une aggravation transitoire du psoriasis est parfois observée pendant la période de traitement initiale. Les patients doivent être informés qu'ils peuvent avoir à attendre 2 à 3 mois avant d'obtenir tout le bénéfice du soriatane, bien que certains patients puissent obtenir des améliorations significatives au cours des 8 premières semaines de traitement comme démontré dans les essais cliniques.
Une diminution de la vision nocturne a été signalée pendant le traitement avec du soriatane. Les patients doivent être informés de ce problème potentiel et averti d'être prudent lors de la conduite ou de la conduite d'un véhicule la nuit. Les problèmes visuels doivent être soigneusement surveillés (voir Avertissements et Effets indésirables ). Patients should be advised that they may experience decreased tolerance to contact lenses during the treatment period et sometimes after treatment has stopped.
Les patients ne doivent pas donner de sang pendant et pendant au moins 3 ans après le traitement, car le soriatane peut provoquer des malformations congénitales et les femmes de potentiel de procréation ne doivent pas recevoir de sang des patients traités par du soriatane.
En raison de la relation entre le soriatane avec la vitamine A, les patients doivent être informés de prendre des suppléments de vitamine A supérieurs à des allocations quotidiennes minimales recommandées pour éviter d'éventuels effets toxiques additifs.
Les patients devraient éviter l'utilisation de lampes à la soleil et une exposition excessive à la lumière du soleil (exposition aux UV non médicaux) car les effets de la lumière UV sont améliorés par les rétinoïdes.
Il faut informer les patients qu'ils ne doivent pas donner leur soriatane à aucune autre personne.
Pour les prescripteurs
Le soriatane n'a pas été étudié et n'est pas indiqué pour le traitement de l'acné.
Photothérapie
Des doses de photothérapie significativement plus faibles sont nécessaires lorsque le soriatane est utilisé car les effets sur la strate cornée induits par le soriatane peuvent augmenter le risque d'érythème (brûlure) (voir Posologie et administration ).
Interactions médicamenteuses
Éthanol
Des preuves cliniques ont montré que l'étrétination peut être formée avec une ingestion simultanée de l'acitrétine et de l'éthanol (voir Contre-indications et avertissements en boîte et Pharmacologie clinique : Pharmacocinétique ).
Glyburide
Dans un essai de 7 volontaires mâles en bonne santé, le traitement à l'acitrétine a potentialisé l'effet d'appréciation de la glycémie du glyburide (une sulfonylurée similaire au chlorpropamide) chez 3 des 7 sujets. Répéter l'essai avec 6 volontaires masculins en bonne santé en l'absence de glyburide n'a pas détecté d'effet de l'acitrétine sur la tolérance au glucose. Une supervision attentive des patients diabétiques sous traitement par soriatane est recommandée (voir Pharmacologie clinique : Pharmacocinétique et Posologie et administration ).
Contraceptifs hormonaux
Il n'a pas été établi s'il existe une interaction pharmacocinétique entre l'acitrétine et les contraceptifs oraux combinés. Cependant, il a été établi que l'acitrétine interfère avec l'effet contraceptif des préparations de minipill progestantes microdosées. Les préparations progestantes de minipill microdosées ne sont pas recommandées pour une utilisation avec Soriatane (voir Pharmacologie clinique : Interactions pharmacocinétiques ). It is not known whether other progestin-only contraceptives such as implants et injectables are adequate methods of contraception during acitrétine therapy.
Méthotrexate
Il a été rapporté qu'un risque accru d'hépatite résulte d'une utilisation combinée de méthotrexate et d'étrétination. Par conséquent, la combinaison de méthotrexate avec de l'acitrétine est également contre-indiquée (voir Contre-indications ).
Lable
Si l'acitrétine est donnée simultanément avec la phénytoïne, la liaison aux protéines de la phénytoïne peut être réduite.
Tétracyclines
Étant donné que l'acitrétine et les tétracyclines peuvent provoquer une pression intracrânienne accrue, leur utilisation combinée est contre-indiquée (voir Contre-indications et Avertissements : Cerveau pseudotumor ).
Vitamine A et rétinoïdes oraux
L'administration concomitante de vitamine A et / ou d'autres rétinoïdes oraux avec de l'acitrétine doit être évité en raison du risque d'hypervitaminose A.
Le baclofène peut-il vous rendre somnolent?
Autre
Lere appears to be no pharmacokinetic interaction between acitrétine et cimetidine digoxin or glyburide. Investigations into the effect of acitrétine on the protein binding of anticoagulants of the coumarin type (warfarin) revealed no interaction.
Laboratoire Tests
Si des résultats de laboratoire anormaux significatifs sont obtenus, soit une réduction de posologie avec une surveillance minutieuse, soit un arrêt de traitement, un arrêt est recommandé en fonction du jugement clinique.
Glycémie
Certains patients recevant des rétinoïdes ont connu des problèmes de contrôle de la glycémie. De plus, de nouveaux cas de diabète ont été diagnostiqués pendant le thérapie rétinoïde, y compris la cétoacidose diabétique. Dans les diabétiques, les niveaux de sucre sanguin doivent être surveillés très attentivement.
Lipides
Dans les essais cliniques, l'incidence de l'hypertriglycéridémie était de 66% d'hypercholestérolémie était de 33% et celle d'une diminution du HDL était de 40%. Des mesures de prétraitement et de suivi doivent être obtenues dans des conditions de jeûne. Il est recommandé que ces tests soient effectués chaque semaine ou toutes les deux semaines jusqu'à ce que la réponse lipidique au soriatane se stabilise (voir Avertissements ).
Tests de la fonction hépatique
Des élévations de AST (SGOT) ALT (SGPT) ou de LDH ont été vécues d'environ 1 patients sur 3 traités par du soriatane. Il est recommandé que ces tests soient effectués avant le début de la thérapie avec du soriatane à des intervalles de 1 à 2 semaines jusqu'à ce qu'ils soient stables et par la suite à des intervalles comme indiqué cliniquement (voir Contre-indications et Avertissements en boîte ).
Carcinogenèse Mutagenèse A trouble de la fertilité
Cancérogenèse
Une étude de cancérogenèse de l'acitrétine chez les rats Wistar à des doses allant jusqu'à 2 mg par kg par jour administrées 7 jours par semaine pendant 104 semaines a été achevée. Aucune lésion néoplasique n'a été observée qui ont été considérées comme liées au traitement avec de l'acitrétine. Une étude de carcinogenèse de 80 semaines chez la souris a été achevée par étrétination de l'ester éthylique de l'acitrétine. Les données de taux sanguin obtenues au cours de cette étude ont démontré que l'étrétinate était métabolisée en acitrétine et que les taux sanguins d'acirétine dépassaient ceux de l'étrétination à tout moment étudié. Dans l'étude de l'étrétination, une incidence accrue des tumeurs des vaisseaux sanguins (hémangiomes et hémangiosarcomes sur plusieurs sites différents) a été notée chez les souris mâles mais pas féminines à des doses d'environ la moitié de la dose thérapeutique humaine maximale recommandée sur la base d'une comparaison Mg-Per-M².
Mutagenèse
L'acitrétine a été évaluée pour le potentiel mutagène dans le test Ames dans le test du hamster chinois (V79 / HGPRT) dans les tests de synthèse d'ADN non planifiés utilisant des hépatocytes de rat et des fibroblastes humains et dans un test de micronucleus de souris in vivo. Aucune preuve de mutagénicité de l'acitrétine n'a été démontrée dans aucun de ces tests.
Altération de la fertilité
Dans une étude de fertilité chez le rat, la fertilité des animaux traitées n'a pas été altérée à la dose la plus élevée d'acitrétine testée 3 mg par kg par jour (environ la moitié de la dose thérapeutique maximale recommandée basée sur une comparaison mg par m²). Les études de toxicité chronique chez les chiens ont révélé des changements testiculaires (arrêt spermatogène et apparition réversibles et modérés et apparition de cellules géantes multinucléées) dans le groupe posologique le plus élevé (50 alors 30 mg par kg par jour).
Aucune diminution du nombre de spermatozoïdes ou de la concentration et aucun changement dans la motilité ou la morphologie des spermatozoïdes n'a été notée chez 31 hommes (17 sujets psoriasiques 8 sujets souffrant de troubles de la kératinisation et de 6 volontaires sains) ont reçu 30 à 50 mg par jour d'acirétine pendant au moins 12 semaines. Dans ces essais, aucun effet délétère n'a été observé sur la production de testostérone LH ou FSH chez l'un des 31 hommes. 4-6 Aucun effet délétère n'a été observé sur l'axe hypothalamique-hypophysaire dans l'un des 18 hommes où il a été mesuré. 45
Grossesse
Effets tératogènes
(voir Contre-indications et avertissements en boîte ).
Dans une étude dans laquelle l'acitrétine n'a été administrée à des rats mâles uniquement à une dose de 5 mg par kg par jour pendant 10 semaines (durée approximative d'un cycle spermatogène) avant et pendant l'accouplement avec des rats femelles non traités, aucun effet tératogène n'a été observé dans la progéniture (voir (voir Contre-indications et avertissements en boîte pour plus d'informations sur l'utilisation masculine du soriatane).
Effets non teratogènes
Chez le rat dosé à 3 mg par kg par jour (environ la moitié de la dose thérapeutique maximale recommandée sur la base d'une comparaison Mg-Per-M²) a légèrement diminué la survie des PUP et une éruption des incisives retardée ont été notées. À la prochaine dose la plus basse testée 1 mg par kg par jour, aucun effet indésirable lié au traitement n'a été observé.
Usage pédiatrique
La sécurité et l'efficacité des patients pédiatriques n'ont pas été établies. Aucun essai clinique n'a été mené chez des sujets pédiatriques. L'ossification des ligaments et tendons interosseous des extrémités des hyperostoses squelettiques diminution de la densité minérale osseuse et de la fermeture épiphysaire prématurée a été signalée chez les enfants prenant d'autres rétinoïdes systémiques, notamment l'étroutine d'un métabolite du soriatane. Une relation causale entre ces effets et le soriatane n'a pas été établie. Bien qu'il ne sache pas que ces occurrences sont plus graves ou plus fréquentes chez les enfants, les patients pédiatriques sont particulièrement préoccupants en raison des implications pour le potentiel de croissance (voir Avertissements : Hyperostose ).
Utilisation gériatrique
Les essais cliniques de Soriatane n'ont pas inclus un nombre suffisant de sujets âgés de 65 ans et plus pour déterminer s'ils réagissent différemment des sujets plus jeunes. D'autres expériences cliniques signalées n'ont pas identifié de différences dans les réponses entre les sujets âgés et les plus jeunes. En général, la sélection de la dose pour un patient âgé doit être prudente qui commence généralement à l'extrémité inférieure de la plage de dosage reflétant la plus grande fréquence de diminution de la fonction rénale ou cardiaque hépatique et de maladie concomitante ou autre médicament. Une augmentation de 2 fois des concentrations plasmatiques d'acitrétine a été observée chez les sujets âgés en bonne santé par rapport aux jeunes sujets bien que la demi-vie d'élimination n'ait pas changé (voir Pharmacologie clinique : Populations spéciales ).
Références
4. Sigg C et al .: Investigations andrologiques chez les patients traités par Etrétine. Dermatologica 175: 48-49 1987.
5. Parsch Em et al .: Investigation andrologique chez les hommes traités avec de l'acitrétine (RO 10-1670). Andrologia 22: 479-482 1990.
6. Kadar L et al .: Investigations spermatologiques chez les patients psoriasiques traités par acitrétine. Dans: Pharmacologie des rétinoïdes dans la peau; Reichert U. et al. Ed Karger Basel Vol. 3 pp 253-254 1988.
Informations sur la surdose pour le soriatane
En cas de surdosage aigu, le soriatane doit être retiré immédiatement. Les symptômes de surdose sont identiques à l'hypervitaminose aiguë A (par exemple, maux de tête et vertige). La toxicité orale aiguë (LD50) de l'acitrétine chez les souris et les rats était supérieure à 4000 mg par kg.
Dans un cas de surdose signalé, un homme de 32 ans atteint de la maladie de Darier a pris 21 x 25 mg de capsules (dose unique de 525 mg). Il a vomi plusieurs heures plus tard mais n'a connu aucun autre effet malade.
Toutes les patientes de potentiel de procréation qui ont pris une surdose de soriatane doivent:
1) Passez un test de grossesse au moment de la surdose; 2) Soyez conseillé conformément aux sections contre-indications et avertissements et précautions concernant les malformations congénitales et l'utilisation des contraceptifs pendant au moins 3 ans de durée après la surdose.
Contre-indications pour le soriatane
Grossesse
Voir Contre-indications et avertissements en boîte .
Le soriatane est contre-indiqué chez les patients présentant une fonction hépatique ou rénale gravement altérée et chez les patients atteints de valeurs de lipides sanguins chroniques anormalement élevé Avertissements en boîte : Hépatotoxicité Avertissements : Lipides et Possible Cardiovasculaire Effects et PRÉCAUTIONS ).
Il a été rapporté qu'un risque accru d'hépatite résulte d'une utilisation combinée de méthotrexate et d'étrétination. Par conséquent, la combinaison de méthotrexate avec le soriatane est également contre-indiquée (voir PRÉCAUTIONS : Interactions médicamenteuses ).
Étant donné que le soriatane et les tétracyclines peuvent entraîner une augmentation de la pression intracrânienne, leur utilisation combinée est contre-indiquée (voir Avertissements : Cerveau pseudotumor ).
Le soriatane est contre-indiqué en cas d'hypersensibilité (par exemple l'angio-œdème urticaire) à la préparation (acitrétine ou excipients) ou à d'autres rétinoïdes.
Pharmacologie clinique for Soriatane
Le mechanism of action of Soriatane is unknown.
Pharmacocinétique
Absorption
L'absorption orale de l'acitrétine est optimale lorsqu'elle est donnée avec de la nourriture. Pour cette raison, l'acitrétine a été donnée avec de la nourriture dans tous les essais suivants. Après l'administration d'une seule dose orale de 50 mg d'acirétine à 18 sujets sains, des concentrations plasmatiques maximales variaient de 196 à 728 ng par ml (moyenne: 416 ng par ml) et ont été obtenues en 2 à 5 heures (moyenne: 2,7 heures). L'absorption orale de l'acitrétine est linéaire et proportionnelle à l'augmentation des doses de 25 à 100 mg. Environ 72% (plage: 47% à 109%) de la dose administrée ont été absorbés après qu'une seule dose de 50 mg d'acitrétine a été donnée à 12 sujets sains.
Distribution
L'acitrétine est plus de 99,9% liée aux protéines plasmatiques principalement albumine.
Métabolisme
(Voir Interactions pharmacocinétiques : Éthanol .) Following oral absorption acitrétine undergoes extensive metabolism et interconversion by simple isomerization to its 13-cis form (cis-acitrétine). Le formation of cis-acitrétine relative to parent compound is not altered by dose or fed/fast conditions of oral administration of acitrétine. Both parent compound et isomer are further metabolized into chain-shortened breakdown products et conjugates which are excreted. Following multiple-dose administration of acitrétine steady-state concentrations of acitrétine et cis-acitrétine in plasma are achieved within approximately 3 weeks.
Élimination
Le chain-shortened metabolites et conjugates of acitrétine et cis-acitrétine are ultimately excreted in the feces (34% to 54%) et urine (16% to 53%). Le terminal elimination half-life of acitrétine following multiple-dose administration is 49 hours (range: 33 to 96 hours) et that of cis-acitrétine under the same conditions is 63 hours (range: 28 to 157 hours). Le accumulation ratio of the parent compound is 1.2; that of cis-acitrétine is 6.6.
Populations spéciales
Psoriasis
Dans un essai de 8 semaines sur la pharmacocinétique de l'acitrétine chez les sujets atteints de psoriasis, les concentrations d'apitrétine à l'état d'équilibre moyen ont augmenté de manière proportionnelle à la dose avec des doses allant de 10 à 50 mg par jour. Les concentrations plasmatiques d'acitrétine n'étaient pas mesurables ( <4 ng per mL) in all subjects 3 weeks after cessation of therapy.
Âgé
Dans un essai à dose multiple chez des sujets sains (n = 6) et âgés (n = 8), une augmentation de 2 fois des concentrations plasmatiques d'acitrétine a été observée chez les sujets âgés, bien que la demi-vie d'élimination n'ait pas changé.
Rénal Failure
Les concentrations plasmatiques d'acirétine étaient significativement (NULL,3%) plus faibles chez les sujets présentant une insuffisance rénale terminale (n = 6) par rapport aux témoins appariés à l'âge après des doses orales de 50 mg. L'acitrétine n'a pas été éliminée par l'hémodialyse chez ces sujets.
Interactions pharmacocinétiques
(voir also Contre-indications et avertissements en boîte et PRÉCAUTIONS : Interactions médicamenteuses )
Dans des études sur les interactions pharmacocinétiques in vivo, aucune interaction n'a été observée entre l'acitrétine et la digoxine de la cimétidine phénprocoumon ou le glyburide.
Éthanol
Des preuves cliniques ont montré que l'étrétination (un rétinoïde avec une demi-vie beaucoup plus longue ci-dessous) peut être formée avec une ingestion simultanée de l'acitrétine et de l'éthanol. Dans un essai croisé à deux voies, les 10 sujets ont formé l'étrétination avec une ingestion simultanée d'une seule dose orale de 100 mg d'acitrétine pendant une période de 3 heures d'ingestion d'éthanol (éthanol total d'environ 1,4 g par kg de poids corporel). Une concentration moyenne d'étrétinate de pic de 59 ng par ml (plage: 22 à 105 ng par ml) a été observée et que l'extrapolation des valeurs AUC a indiqué que la formation d'étrétinate dans cet essai était comparable à une seule dose orale de 5 mg d'étrétinate. Il n'y avait pas de formation détectable d'étrétinate lorsqu'une seule dose orale d'acitrétine de 100 mg a été administrée sans ingestion d'éthanol simultanée bien que la formation d'étrétinate sans ingestion d'éthanol simultanée ne puisse pas être exclue (voir Contre-indications et avertissements en boîte ). Sur 93 sujets psoriasiques évaluables sur le traitement par acitrétine dans plusieurs essais étrangers (10 à 80 mg par jour) 16% avaient des niveaux d'étrétination mesurables (> 5 ng par ml).
L'étrétinate a une demi-vie d'élimination beaucoup plus longue par rapport à celle de l'acitrétine. Dans un essai, la demi-vie terminale moyenne apparente après 6 mois de thérapie était d'environ 120 jours (extrêmes: 84 à 168 jours). Dans un autre essai de 47 sujets traités de façon chronique avec Etrétinate 5, des taux de médicaments sériques détectables (dans la plage de 0,5 à 12 ng par ml) 2,1 à 2,9 ans après l'arrêt du traitement. La longue demi-vie semble être due au stockage de l'étrétinate dans le tissu adipeux.
Contraceptifs progestatifs
Il n'a pas été établi s'il existe une interaction pharmacocinétique entre l'acitrétine et les contraceptifs oraux combinés. Cependant, il a été établi que l'acitrétine interfère avec l'effet contraceptif des préparations progestantes microdosées. 1 Les préparations progestantes de minipill microdosées ne sont pas recommandées pour une utilisation avec le soriatane. It is not known whether other progestin-only contraceptives such as implants et injectables are adequate methods of contraception during acitrétine therapy.
Études cliniques
Dans 2 essais contrôlés par placebo en double aveugle, le soriatane a été administré une fois par jour à des sujets atteints de psoriasis sévère (par exemple couvrant au moins 10% à 20% de la surface du corps). À 8 semaines (voir le tableau 1), les sujets traités dans l'essai A avec 50 mg de soriatane par jour ont montré des améliorations significatives (p ≤0,05) par rapport à la ligne de base et au placebo dans l'évaluation globale du médecin et dans les évaluations moyennes de la gravité du psoriasis (épaisseur d'échelle et érythème). Dans l'essai B, les différences par rapport à la ligne de base et par le placebo étaient statistiquement significatives (p ≤0,05) pour toutes les variables à la fois aux doses de 25 mg et 50 mg; Il convient de noter pour l'essai B qu'aucun ajustement statistique pour la multiplicité n'a été effectué.
Tableau 1: Résumé des résultats de l'efficacité de la phase en double aveugle de 8 semaines des essais a et b de soriatane
| Variables d'efficacité | Procès A | Procès B | |||
| Dose quotidienne totale | Dose quotidienne totale | ||||
| Placebo (N = 29) | 50 mg (N = 29) | Placebo (N = 72) | 25 mg (N = 74) | 50 mg (N = 71) | |
| Évaluation globale du médecin | |||||
| Base de base | 4.62 | 4.55 | 4.43 | 4.37 | 4.49 |
| Changement moyen après 8 semaines | -0.29 | -2.00 a | -0.06 | -1.06 a | -1.57 a |
| Éclatement | |||||
| Base de base | 4.10 | 3.76 | 3.97 | 4.11 | 4.10 |
| Changement moyen après 8 semaines | -0.22 | -1.62 a | -0.21 | -1.50 a | -1.78 a |
| Épaisseur | |||||
| Base de base | 4.10 | 4.10 | 4.03 | 4.11 | 4.20 |
| Changement moyen après 8 semaines | -0.39 | -2.10 a | -0.18 | -1.43 a | -2.11 a |
| Érythème | |||||
| Base de base | 4.21 | 4.59 | 4.42 | 4.24 | 4.45 |
| Changement moyen après 8 semaines | -0.33 | -2.10 a | -0.37 | -1.12 a | -1.65 a |
| a Les valeurs étaient statistiquement significativement différentes du placebo et de la ligne de base (p ≤0,05). Aucun ajustement pour la multiplicité n'a été effectué pour l'essai B. |
Le efficacy variables consisted of: the mean severity rating of scale lesion thickness erythema et the physician’s global evaluation of the current status of the disease. Ratings of scaling erythema et lesion thickness et the ratings of the global assessments were made using a 7-point scale (0 = none 1 = trace 2 = mild 3 = mild-moderate 4 = moderate 5 = moderate-severe 6 = severe).
Un sous-ensemble de 141 sujets des deux essais pivots A et B a continué à recevoir Soriatane de manière ouverte jusqu'à 24 semaines. À la fin de la période de traitement, toutes les variables d'efficacité comme indiqué dans le tableau 2 ont été significativement améliorées (p ≤0,01) de la ligne de base, y compris l'étendue des évaluations moyennes du psoriasis de la gravité du psoriasis et de l'évaluation globale du médecin.
Tableau 2: Résumé du premier cours de thérapie avec Soriatane (24 semaines)
| Variables | Procès A | Procès B |
| Dose quotidienne totale moyenne de soriatane (mg) | 42.8 | 43.1 |
| Durée moyenne de la thérapie (semaines) | 21.1 | 22.6 |
| Évaluation globale du médecin | N = 39 | N = 98 |
| Base de base | 4.51 | 4.43 |
| Changement moyen par rapport à la ligne de base | -2.26 a | -2.60 a |
| Éclatement | N = 59 | N = 132 |
| Base de base | 3.97 | 4.07 |
| Changement moyen par rapport à la ligne de base | -2.15 a | -2.42 a |
| Épaisseur | N = 59 | N = 132 |
| Base de base | 4.00 | 4.12 |
| Changement moyen par rapport à la ligne de base | -2.44 a | -2.66 a |
| Érythème | N = 59 | N = 132 |
| Base de base | 4.35 | 4.33 |
| Changement moyen par rapport à la ligne de base | -2.31 a | -2.29 a |
| a Indique que la différence par rapport à la ligne de base était statistiquement significative (p ≤0,01). |
Le efficacy variables consisted of: the mean severity rating of scale lesion thickness erythema et the physician’s global evaluation of the current status of the disease. Ratings of scaling erythema et lesion thickness et the ratings of the global assessments were made using a 7-point scale (0 = none 1 = trace 2 = mild 3 = mild-moderate 4 = moderate 5 = moderate-severe 6 = severe).
Toutes les variables d'efficacité se sont améliorées de manière significative dans un sous-ensemble de 55 sujets de l'essai A traité pour un deuxième cours d'entretien de 6 mois (pour un total de 12 mois de traitement); Un petit sous-ensemble de sujets (n = 4) de l'essai A a continué de s'améliorer après un troisième cours de traitement de 6 mois (pour un total de 18 mois de traitement).
Informations sur les patients pour Soriatane
Guide des médicaments
Soriatane
(Sor -rye-uh-tane) (acitrétine) capsules
Lisez attentivement ce guide de médicaments avant de commencer à prendre du soriatane et de le lire chaque fois que vous obtenez plus de soriatane. Il peut y avoir de nouvelles informations.
Le first information in this Guide des médicaments is about birth defects et how to avoid pregnancy. Après cette section, il existe des informations de sécurité importantes sur les effets possibles pour tout patient prenant du soriatane. Tous les patients devrait lire attentivement tout ce guide de médicaments. Ces informations ne prennent pas la place de parler avec votre prescripteur de votre état de santé ou de votre traitement.
Quelles sont les informations les plus importantes que je devrais connaître sur le soriatane?
Soriatane can cause serious side effects including:
- Malformations congénitales sévères. Si vous êtes une femme qui peut tomber enceinte, vous ne devriez utiliser Soriatane que si vous n'êtes pas enceinte maintenant, vous pouvez éviter de devenir enceinte pendant au moins 3 ans et que d'autres médicaments ne fonctionnent pas pour votre psoriasis grave ou si vous ne pouvez pas utiliser d'autres médicaments psoriasis. Des informations sur les effets sur les bébés à naître et sur la façon d'éviter la grossesse se trouve dans la section suivante: Quels sont les avertissements et instructions importants pour les femmes qui prennent du soriatane?
|
- Problèmes de foie y compris les tests de fonction hépatique anormaux et l'inflammation de votre foie (hépatite). Votre prescripteur doit faire des tests sanguins pour vérifier comment votre foie fonctionne avant de commencer à prendre et pendant le traitement avec Soriatane. Arrêtez de prendre du soriatane et appelez immédiatement votre prescripteur si vous avez l'un des signes ou symptômes suivants d'un grave problème de foie:
- jaunissement de votre peau ou des blancs de vos yeux
- nausée et vomissement
- perte d'appétit
- urine sombre
Quels sont les avertissements et instructions importants pour les femmes qui prennent du soriatane?
- Avant de recevoir votre première ordonnance pour Soriatane, vous auriez dû discuter et signer un accord de patient / consentement éclairé pour les patientes avec votre prescripteur. Il s'agit de vous assurer de comprendre le risque de malformations congénitales et comment éviter de tomber enceinte. Si vous n'avez pas parlé à votre prescripteur à ce sujet et signez le formulaire, contactez votre prescripteur.
Important: si vous êtes une femme qui peut devenir enceinte:
- Vous ne devez pas prendre de soriatane si vous êtes enceinte ou si vous pouvez devenir enceinte pendant le traitement ou à tout moment pendant au moins 3 ans après l'arrêt du traitement car le soriatane peut provoquer de graves malformations congénitales.
- Pendant le traitement par Soriatane et pendant 2 mois après l'arrêt du traitement avec Soriatane, vous devez éviter de boire des aliments et tous les médicaments qui contiennent de l'alcool. Cela comprend des produits en vente libre qui contiennent de l'alcool. Éviter l'alcool est très important car l'alcool transforme le soriatane en une drogue qui peut prendre plus de 3 ans pour quitter votre corps. Les chances de malformations congénitales peuvent durer plus de 3 ans si vous avalez une forme d'alcool pendant le traitement avec du soriatane et pendant 2 mois après votre arrêt du soriatane.
- Vous et votre prescripteur devez être sûr que vous n'êtes pas enceinte avant de commencer la thérapie avec Soriatane. Vous devez avoir des résultats négatifs de 2 tests de grossesse avant de commencer le traitement avec Soriatane. Un résultat négatif montre que vous n'êtes pas enceinte. Parce que cela prend quelques jours après le début de la grossesse pour qu'un test montre que vous êtes enceinte, le premier test négatif peut ne pas vous assurer que vous n'êtes pas enceinte. Ne commencez pas le soriatane tant que vous avez des résultats négatifs à partir de 2 tests de grossesse.
- Le premier test de grossesse (L'urine ou le sang) serez fait au moment où vous et votre prescripteur décidez si Soriatane pourrait vous convenir.
- Le Deuxième test de grossesse se fera généralement pendant les 5 premiers jours de votre période menstruelle. Vous devez commencer à prendre du soriatane dans les 7 jours suivant le moment où l'urine ou le sang pour le deuxième test de grossesse est collecté.
- Après avoir commencé à prendre du soriatane, vous devez faire répéter un test de grossesse chaque mois que vous prenez du soriatane. Ceci doit être sûr que vous n'êtes pas enceinte pendant le traitement, car le soriatane peut provoquer des malformations congénitales. De plus, votre prescription de soriatane sera limitée à une offre mensuelle.
- Pendant au moins 3 ans après l'arrêt du traitement avec Soriatane, vous devez faire répéter un test de grossesse tous les 3 mois pour vous assurer que vous n'êtes pas enceinte.
- Discutez du contrôle des naissances (contraception) efficace avec votre prescripteur. Vous devez utiliser 2 formes efficaces de contraception (contraception) en même temps au cours de tous les éléments suivants:
- pendant au moins 1 mois avant de commencer le traitement avec Soriatane
- Pendant le traitement avec Soriatane
- pendant au moins 3 ans après l'arrêt du traitement avec Soriatane
- Si vous êtes sexuellement actif, vous devez utiliser 2 formes efficaces de contraception (contraception) en même temps même si vous pensez que vous ne pouvez pas devenir enceinte à moins que l'un des éléments suivants ne soit vrai pour vous:
- Vous avez fait enlever votre ventre (utérus) lors d'une opération (une hystérectomie).
- Votre prescripteur a dit que vous aviez complètement traversé ménopause (Le changement de vie).
Le following are considered effective forms of birth control:
Formes primaires:
- Avoir vos tubes attachés (ligature tubaire)
- Vasectomie du partenaire
- DIU (appareil intra-utérine)
- Les pilules contraceptives qui contiennent à la fois les œstrogènes et les progestatifs (combinaison des contraceptifs oraux); pas de minift progestatif uniquement
- Produits de contracepulation hormonaux qui sont injectés implantés ou insérés dans votre corps
- patch de contraception
Formes secondaires (utilisation avec une forme primaire):
- diaphragmes avec spermicide
- préservatifs (avec ou sans spermicide)
- Caps cervicaux avec spermicide
- éponge vaginale (contient du spermicide)
Au moins 1 de vos 2 méthodes de contraception doit être une forme principale.
- Si vous avez des relations sexuelles à tout moment sans utiliser 2 formes efficaces de contraception (contraception) en même temps ou si vous tombez enceinte ou manquez vos règles, arrêtez d'utiliser le soriatane et appelez votre prescripteur immédiatement.
- Considérez la contraception d'urgence (CE) si vous avez des relations sexuelles avec un mâle sans utiliser correctement 2 formes efficaces de contraception (contraception) en même temps. La CE est également appelée contraception d'urgence qui comprend le matin après la pilule. Contactez votre prescripteur dès que possible si vous avez des relations sexuelles sans utiliser 2 formes efficaces de contraception (contraception) en même temps car EC fonctionne mieux si elle est utilisée dans les 1 ou 2 jours après le sexe. La CE ne remplace pas vos 2 formes efficaces habituelles de contraception (contraception) car elle n'est pas aussi efficace que les méthodes de contraception régulières. Contactez les pharmacies de votre prescripteur pour les femmes de santé pour les femmes pour obtenir des informations sur la façon d'obtenir une contraception d'urgence. Un numéro sans frais de 24 heures (1-800-739-6700) est également disponible pour les patients pour recevoir des informations automatisées de contraception et de contraception d'urgence.
- Arrêtez de prendre du soriatane immédiatement et contactez votre prescripteur si vous tombez enceinte en prenant du soriatane ou à tout moment pendant au moins 3 ans après l'arrêt du traitement. Vous devez discuter des effets possibles sur le bébé à naître avec votre prescripteur.
- Si vous tombez enceinte en prenant du soriatane ou à tout moment pendant au moins 3 ans après l'arrêt du soriatane, vous devez signaler votre grossesse à Stiefel Laboratories Inc. au 1-888-784-3335 (1-888-Stiefel) ou directement au programme Food and Drug Administration (FDA) MedWatch au 1-800-FDA-1088. Votre nom sera conservé en privé (confidentiel). Les informations que vous partagez aideront la FDA et le fabricant à évaluer le programme de prévention de la grossesse pour le soriatane.
- Ne prenez pas le soriatane si vous allaitez. Soriatane can pass into your milk et may harm your baby. You will need to choose either to breast feed or take Soriatane but not both.
Que devraient savoir les hommes avant de prendre Soriatane?
De petites quantités de soriatane se trouvent dans le sperme des mâles prenant du soriatane. Sur la base des informations disponibles, il semble que ces petites quantités de soriatane dans le sperme ne présentent peu ou pas de risque pour un enfant à naître tandis qu'un patient masculin prend le médicament ou après sa fin. Discutez de toute préoccupation que vous avez à ce sujet avec votre prescripteur.
Tous les patients doivent lire le reste de ce guide de médicaments.
Qu'est-ce que Soriatane?
Soriatane is a medicine used to treat severe forms of psoriasis in adults. Psoriasis is a skin disease that causes cells in the outer layer of the skin to grow faster than normal et pile up on the skin’s surface. In the most common type of psoriasis the skin becomes inflamed et produces red thickened areas often with silvery scales.
Parce que le soriatane peut avoir des effets secondaires graves Vous devriez parler à votre prescripteur de savoir si les avantages possibles du soriatane l'emportent sur ses risques possibles.
Soriatane may not work right away. You may have to wait 2 to 3 months before you get the full benefit of Soriatane. Psoriasis gets worse for some patients when they first start treatment with Soriatane.
Soriatane has not been studied in children.
Qui ne devrait pas prendre Soriatane?
- Ne prenez pas le soriatane si vous pouvez tomber enceinte. Ne prenez pas le soriatane si vous êtes enceinte ou si vous pouvez tomber enceinte pendant le traitement avec du soriatane ou à tout moment pendant au moins 3 ans après l'arrêt du traitement avec Soriatane (voir Quels sont les avertissements et instructions importants pour les femmes qui prennent du soriatane? ).
- Ne prenez pas le soriatane si vous allaitez. Soriatane can pass into your milk et may harm your baby. You will need to choose either to breast feed or take Soriatane but not both.
- Ne prenez pas le soriatane si vous souffrez d'une grave maladie du foie ou de la rein.
- Ne prenez pas le soriatane si vous avez répété les lipides de sang élevé (graisse dans le sang).
- Ne prenez pas le soriatane si vous prenez ces médicaments:
- méthotrexate
- tétracyclines
Le use of these medicines with Soriatane may cause serious side effects.
- Ne prenez pas le soriatane si vous êtes allergique à l'acitrétine L'ingrédient actif de Soriatane à l'un des autres ingrédients du soriatane (voir la fin de ce guide de médicaments pour une liste de tous les ingrédients du soriatane) ou à tout médicament qui ressemble au soriatane. Demandez à votre prescripteur ou à votre pharmacien si des médicaments auxquels vous êtes allergique sont comme Soriatane.
Avant de prendre Soriatane, informez votre prescripteur de toutes vos conditions médicales, y compris si vous avez ou avez eu:
- diabète ou glycémie
- problèmes de foie
- problèmes rénaux
- Cholestérol élevé ou triglycérides élevés (graisse dans le sang)
- maladie cardiaque
- dépression
- alcoolisme
- Une réaction allergique à un médicament
Votre prescripteur a besoin de ces informations pour décider si Soriatane vous convient et sait quelle dose vous convient le mieux.
Parlez à votre prescripteur de tous les médicaments que vous prenez y compris les médicaments sur ordonnance et en vente libre des vitamines et des suppléments à base de plantes.
Certains médicaments peuvent provoquer des effets secondaires graves s'ils sont pris pendant que vous prenez également du soriatane. Certains médicaments peuvent affecter le fonctionnement du soriatane ou le soriatane peut affecter le fonctionnement des autres médicaments.
Soyez particulièrement sûr de dire à votre prescripteur si vous prenez les médicaments suivants:
- méthotrexate
- tétracyclines
- glyburide
- lable
- Vitamine A suppléments
- contraceptifs oraux progestatifs (minipills)
Tegison ou Tigason (Etrétinate). Dites à votre prescripteur si vous avez déjà pris ce médicament dans le passé.
Supplément à base de herbe de Saint-Jean
Dites à votre prescripteur si vous recevez un traitement de photothérapie. Vos doses de photothérapie peuvent devoir être modifiées pour éviter une brûlure.
Comment devrais-je prendre du soriatane?
- Prenez du soriatane avec de la nourriture.
- Assurez-vous de prendre votre médicament comme prescrit par votre prescripteur. La dose de soriatane varie d'un patient à l'autre. Le nombre de capsules que vous devez prendre est choisi spécialement pour vous par votre prescripteur. Cette dose peut changer pendant le traitement.
- Si vous manquez une dose, ne doublez pas la prochaine dose. Évitez la dose manquée et reprenez votre horaire normal.
- Si vous prenez trop de soriatane (surdose), appelez votre centre de contrôle de poison local ou votre salle d'urgence.
Vous devriez subir des tests sanguins pour le cholestérol des fonctions hépatiques et les triglycérides avant de commencer le traitement et pendant le traitement pour vérifier la réponse de votre corps au soriatane. Votre prescripteur peut également faire d'autres tests.
Une fois que vous arrêtez de prendre Soriatane, votre psoriasis peut revenir. Ne traitez pas ce nouveau psoriasis avec des restes de soriatane. Il est important de revoir votre prescripteur pour des recommandations de traitement car votre situation peut avoir changé.
Que dois-je éviter en prenant du soriatane?
- Évitez la grossesse. Voir Quelles sont les informations les plus importantes que je devrais connaître sur le soriatane? et Quels sont les avertissements et instructions importants pour les femmes qui prennent du soriatane?
- Évitez l'allaitement. Voir Quels sont les avertissements et instructions importants pour les femmes qui prennent du soriatane?
- Évitez l'alcool. Les femmes capables de devenir enceintes doivent éviter de boire des médicaments alimentaires et des produits en vente libre qui contiennent de l'alcool. Le risque de malformations congénitales peut se poursuivre pendant plus de 3 ans si vous avalez une forme d'alcool pendant le traitement avec du soriatane et pendant 2 mois après l'arrêt du soriatane (voir quels sont les avertissements et instructions importants pour les femmes qui prennent du soriatane?).
- Évitez de donner du sang. Ne donnez pas de sang Pendant que vous prenez du soriatane et pendant au moins 3 ans après l'arrêt du traitement avec Soriatane. Le soriatane dans votre sang peut nuire à un bébé à naître si votre sang est donné à une femme enceinte. Le soriatane n'affecte pas votre capacité à recevoir une transfusion sanguine.
- Évitez les pilules contraceptives progestantes (minipills). Ce type de pilule contraceptive peut ne pas fonctionner pendant que vous prenez du soriatane. Demandez à votre prescripteur si vous n'êtes pas sûr du type de pilules que vous utilisez.
- Évitez la conduite nocturne si vous développez des problèmes de vision soudains. Arrêtez de prendre du soriatane et appelez votre prescripteur si cela se produit (voir quels sont les effets secondaires possibles du soriatane?).
- Évitez la lumière ultraviolette non médicale (UV). Soriatane can make your skin more sensitive to UV light. Do not use sunlamps et avoid sunlight as much as possible. If you are taking light treatment (phototherapy) your prescriber may need to change your light dosages to avoid burns.
- Évitez les compléments alimentaires contenant de la vitamine A. Soriatane is related to vitamin A. Lerefore do not take supplements containing vitamin A because they may add to the unwanted effects of Soriatane. Check with your prescriber or pharmacist if you have any questions about vitamin supplements.
- Ne partagez pas le soriatane avec quelqu'un d'autre même s'ils présentent les mêmes symptômes. Votre médicament peut leur faire du mal ou leur enfant à naître.
Quels sont les effets secondaires possibles du soriatane?
- Soriatane can cause serious side effects including:
Voir Quelles sont les informations les plus importantes que je devrais connaître sur le soriatane? et Quels sont les avertissements et instructions importants pour les femmes qui prennent du soriatane?
Arrêtez de prendre du soriatane et appelez votre prescripteur immédiatement si vous obtenez les signes ou symptômes suivants des effets secondaires graves possibles:
- Mauvais maux de tête nausées vomissements de vision floue. Lese symptoms can be signs of increased brain pressure that can lead to blindness or even death.
- Problèmes de vision. Diminution de la vision dans l'obscurité (cécité nocturne). Étant donné que cela peut commencer soudainement, vous devriez être très prudent lorsque vous conduisez la nuit. Ce problème disparaît généralement lorsque le traitement avec du soriatane s'arrête. Arrêtez de prendre du soriatane et appelez votre prescripteur si vous développez des problèmes de vision ou des douleurs oculaires.
- Dépression. Lere have been some reports of patients developing mental problems including a depressed mood aggressive feelings or thoughts of ending their own life (suicide). Lese events including suicidal behavior have been reported in patients taking other drugs similar to Soriatane as well as patients taking Soriatane. Since other things may have contributed to these problems it is not known if they are related to Soriatane.
- Les maux ou les douleurs dans les articulations de vos os ou le dos du dos se déplacer ou la perte de sentiment dans vos mains ou vos pieds. Lese can be signs of abnormal changes to your bones or muscles.
- Urilation fréquente grande soif ou faim. Soriatane can affect blood sugar control even if you do not already have diabetes. Lese are some of the signs of glycémie.
- Braveur d'essentiel vertigineux nausée nausée poitrine faiblesse du mal à parler ou à gonfler une jambe. Il peut s'agir de signes de caillots sanguins de crise cardiaque ou d'accident vasculaire cérébral. Soriatane can cause serious changes in blood fats ( lipides ). It is possible for these changes to cause blood vessel blockages that lead to heart attacks strokes or blood clots.
- Problèmes de vaisseau sanguin. Soriatane can cause fluid to leak out of your blood vessels into your body tissues. Appelez votre prescripteur immédiatement si vous présentez l'un des symptômes suivants: gonflement soudain in one part of your body or all over your body weight gain fièvre étourdissement or feeling faint or muscle aches. If this happens your prescriber will tell you to stop taking Soriatane.
- Réactions allergiques graves. Voir Qui ne devrait pas prendre Soriatane? Serious allergic reactions can happen Pendant le traitement avec Soriatane. Appelez votre prescripteur immédiatement si vous obtenez l'un des symptômes suivants d'une réaction allergique: urticaire démangeaison swelling of your face mouth or tongue or problems breathing. Si cela se produit, arrêtez de prendre du soriatane et ne le reprenez pas.
- Problèmes de peau graves. Soriatane can cause skin problems that can begin in a small area et then spread over large areas of your body. Appelez votre prescripteur immédiatement si votre peau devient rouge et gonflée (enflammée) que vous avez un pelage de votre peau ou si votre peau devient démangeaisons et douloureuses. Vous devez arrêter Soriatane si cela se produit.
Effets secondaires communs
Si vous développez l'un de ces effets secondaires ou toute une vérification inhabituelle avec votre prescripteur pour savoir si vous devez modifier la quantité de soriatane que vous prenez. Ces effets secondaires s'améliorent généralement si la dose de soriatane est réduite ou si le soriatane est arrêté.
- Lèvres gercées épluchant les doigts des doigts et des semelles qui démangent la peau écailleuse sur les ongles faibles des ongles collants ou fragiles (faibles) coulissants ou le nez sec ou les saignements de nez. Votre prescripteur ou pharmacien peut recommander une lotion ou une crème pour aider à traiter le séchage ou le chappage.
- Bouche sèche
- Douleurs articulaires
- Muscles serrés
- Perte de cheveux. La plupart des patients ont une certaine perte de cheveux, mais cette condition varie selon les patients. Personne ne peut dire si vous perdrez les cheveux combien de cheveux vous pourrez perdre ou si et quand ils peuvent repousser. Vous pouvez également perdre vos cils.
- Les yeux secs. Soriatane may dry your eyes. Wearing contact lenses may be uncomfortable during et after treatment with Soriatane because of the dry feeling in your eyes. If this happens remove your contact lenses et call your prescriber. Also read the section about vision problems under Serious side effects.
- Augmentation des graisses sanguines (lipides). Soriatane can cause your blood fats (lipides) to rise. Most of the time this is not serious. But sometimes the increase can become a serious problem (voir information under Serious side effects). You should have blood tests as directed by your prescriber.
Psoriasis gets worse for some patients when they first start treatment with Soriatane. Some patients have more rougeur or démangeaison. If this happens tell your prescriber. Lese symptoms usually get better as treatment continues but your prescriber may need to change the amount of your medicine.
Lese are not all the possible side effects of Soriatane. For more information ask your prescriber or pharmacist.
Appelez votre médecin pour des conseils médicaux sur les effets secondaires. Vous pouvez signaler les effets secondaires à la FDA au 1-800-FDA-1088.
Comment dois-je stocker le soriatane?
- Stockez le soriatane entre 59of à 77of (15OC à 25OC).
- Gardez le soriatane loin de la lumière du soleil à haute température et à l'humidité.
Gardez le soriatane et tous les médicaments hors de portée des enfants.
Général information about the safe et effective use of Soriatane
Les médicaments sont parfois prescrits à des fins autres que celles énumérées dans un guide de médicaments. N'utilisez pas le soriatane pour une condition pour laquelle il n'a pas été prescrit. Ne donnez pas de soriatane à d'autres personnes même s'ils présentent les mêmes symptômes que vous. Cela peut leur faire du mal. Vous pouvez demander à votre pharmacien ou fournisseur de soins de santé pour des informations sur Soriatane qui sont écrits pour les professionnels de la santé.
Quels sont les ingrédients de Soriatane?
Ingrédient actif: acitrétine
Ingrédients inactifs: Encre de monogrammation noire gélatine maltodextrine (un mélange de polysaccharides) cellulose microcristalline et ascorbate de sodium. Les coquilles de capsule de gélatine contiennent de l'oxyde de fer de gélatine (noir jaune et rouge) et du dioxyde de titane. Ils peuvent également contenir de l'alcool benzylique carboxyméthylcellulose sodium édétate de calcium.
Ce guide de médicaments a été approuvé par la Food and Drug Administration des États-Unis