Les Informations Présentées Sur Ce Site Ne Constituent Pas Un Avis Médical. Nous Ne Vendons Rien. L'Exactitude De La Traduction N'Est Pas Garantie. Clause De Non-Responsabilité
Agonistes alpha / bêtaSuccion
Résumé
Qu'est-ce que Symjepi?
Sympique ( épinéphrine ) L'injection contient un agoniste récepteur adrénergique alpha et bêta non sélectif indiqué dans le traitement d'urgence des réactions allergiques (type I), y compris anaphylaxie . p>
Quels sont les effets secondaires de Symjepi?
Les effets secondaires courants de Symjepi comprennent: p>
- anxiété
- appréhensivité
- agitation
- tremblements
- faiblesse
- vertiges
- transpiration
- palpitations
- peau pâle (pâleur)
- nausées et vomissements
- Maux de tête et
- difficultés respiratoires.
Cherchez des soins médicaux ou appelez le 911 à la fois si vous avez les effets secondaires graves suivants: p>
- Des symptômes oculaires graves tels que la perte de vision soudaine floue du tunnel de vision de la vision de la vision des yeux ou de l'enflure ou de voir des halos autour des lumières;
- Symptômes cardiaques graves tels que les battements cardiaques rapides ou battants; flotter dans votre poitrine; essoufflement; Et des étourdissements soudains étourdissement ou s'évanouir;
- Maux de tête sévères Confusion Slurred Speech Bras ou Ligne Proulitude Trouble de la merde Perte de coordination Sentiment des muscles très rigides très rigides Fièvre élevée Propice ou des tremblements.
Ce document ne contient pas tous les effets secondaires possibles et d'autres peuvent survenir. Vérifiez auprès de votre médecin des informations supplémentaires sur les effets secondaires. p>
Dosage pour symjepi?
Patients supérieurs ou égaux à 30 kg (66 lb): injecter une dose de symjepi intramusculaire ou par voie sous-cutanée dans l'aspect antérolatéral de la cuisse à travers les vêtements si nécessaire. Chaque seringue prérepillée est pour une seule injection de dose. p>
Quelles substances ou suppléments de médicaments interagissent avec Symjepi?
Symjepi peut interagir avec les inhibiteurs des antidépresseurs tricycliques monoamine oxydase (MAOI) lévothyroxine sodium certain antihistaminiques Beta-bloqueurs alpha-bloquants et ergot alcaloïdes. Dites à votre médecin tous les médicaments et suppléments que vous utilisez. p>
Symjepi pendant la grossesse et l'allaitement
Dites à votre médecin si vous êtes enceinte ou prévoyez de tomber enceinte avant d'utiliser Symjepi; L'épinéphrine est le médicament de première ligne de choix pour le traitement de l'anaphylaxie pendant la grossesse chez l'homme. L'épinéphrine telle que dans Symjepi est la première ligne de ligne de choix pour le traitement de l'anaphylaxie; Il doit être utilisé de la même manière chez les patients allaités et non-rive. p>
Informations Complémentaires
Notre centre de médicaments à effets secondaires de l'injection Symjepi (épinéphrine) offre une vue complète des informations sur les médicaments disponibles sur les effets secondaires potentiels lors de la prise de ce médicament. p>
Informations sur les médicaments de la FDA
- Description de la drogue
- Indications
- Dosage
- Effets secondaires
- Interactions médicamenteuses
- Avertissements
- Surdosage
- Pharmacologie clinique
- Guide des médicaments
Description de Symjepi
Chaque seringue pré-remplie symbépi offre une dose unique de 0,3 mg d'épinéphrine à partir d'injection d'épinéphrine USP (NULL,3 mg / 0,3 ml). p>
Chaque seringue symjepi (injection d'épinéphrine USP) contient 0,8 ml de solution aqueuse stérile d'épinéphrine pour l'administration intramusculaire ou sous-cutanée. La seringue est trop remplie à des fins de stabilité; Plus de la moitié de la solution reste dans la seringue après utilisation et ne peut pas être réutilisée. p>
Chaque 0,3 ml contient 0,3 mg d'épinéphrine 1,8 mg de chlorure de sodium 0,5 mg d'acide chlorhydrique métabisulfite de sodium pour ajuster le pH et l'eau pour l'injection. La plage de pH est de 2,2-5,0. p>
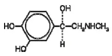
L'épinéphrine est une sympathomimétique catécholamine (un agoniste des récepteurs alpha et bêta-adrénergique non sélectif) désigné chimiquement comme (-) - 34-dihydroxy-α - [(méthylamino) méthyl] benzyl alcool et a la structure suivante: p>
|
Le poids moléculaire de l'épinéphrine est de 183,20. p>
La solution d'épinéphrine se détériore rapidement lors de l'exposition à l'air ou à la lumière qui tourne rose de l'oxydation à l'adrénochrome et brun à la formation de la mélanine. Remplacez Symjepi si la solution apparaît décolorée (couleur rosâtre ou brune) nuageuse ou contient des particules. p>
SYMJEPI is indicated in the emergency treatment of allergic reactions (Type I) including anaphylaxis to stinging insects (e.g. order Hymenoptera which include bees wasps hornets yellow jackets and fire ants) and biting insects (e.g. triatoma mosquitoes) allergen immunotherapy foods drugs diagnostic testing substances (e.g. radiocontrast media) and other allergens as well as Anaphylaxie idiopathique ou anaphylaxie induite par l'exercice. p>
Symjepi est destiné à l'administration immédiate chez les patients qui sont déterminés comme étant à risque accru d'anaphylaxie, y compris les personnes ayant des antécédents de réactions anaphylactiques. p>
p>
Symjepi est destiné à l'administration immédiate en tant que thérapie de soutien aux urgences uniquement et ne remplace pas les soins médicaux immédiats. p>
Dosage for Symjepi
Dosage recommandé selon le poids corporel du patient
- Patients supérieurs ou égaux à 30 kg (environ 66 livres ou plus): 0,3 mg
- Patients de 15 kg à 30 kg (33 livres à 66 livres): 0,15 mg
Instructions d'administration
- Injectez le symjepi à dose unique par voie intramusculaire ou par voie sous-cutanée dans l'aspect antérolatéral de la cuisse avec l'aiguille face vers le bas. Il peut être injecté à travers des vêtements si nécessaire. Ne pas injecter par voie intraveineuse et ne pas vous injecter dans les fesses dans des chiffres des mains et des pieds [voir Avertissements et précautions ].
- Instruire les soignants des jeunes enfants qui se sont prescrits Symjepi et qui peuvent être peu coopératifs et se lancer ou se déplacer pendant une injection pour maintenir la jambe fermement en place et limiter les mouvements avant et pendant une injection [voir Avertissements et précautions ].
- Chaque symjepi est une dose unique d'injection d'épinéphrine à usage unique. Étant donné que les doses d'épinéphrine délivrées à partir de symjepi sont fixes, envisagez d'utiliser d'autres formes d'épinéphrine injectable si des doses inférieures à 0,15 mg sont jugées nécessaires.
- Avec une anaphylaxie persistante sévère, des injections répétées avec un symjepi supplémentaire peuvent être nécessaires. Plus de deux doses séquentielles d'épinéphrine ne doivent être administrées que sous surveillance médicale directe [voir Avertissements et précautions ].
- Assurez-vous que le patient ou le soignant est instruit et comprend les indications et l'utilisation de ce produit. Un fournisseur de soins de santé doit examiner les instructions du patient pour Symjepi en détail avec le patient ou le soignant. Les patients et / ou toute autre personne qui pourrait être en mesure d'administrer une injection d'épinéphrine doit être informée du site approprié pour l'injection et de donner des instructions appropriées sur l'ambiance de l'aiguille avant de transférer le pouce vers le piston de seringue [voir Instructions pour une utilisation ].
- La solution d'épinéphrine dans la seringue doit être inspectée visuellement pour les particules et la décoloration.
Comment fourni
Dosage Forms And Strengths
Injection
0,3 mg (NULL,3 mg / 0,3 ml) Solution claire et incolore dans une seringue pré-remplie à dose pour une injection manuelle p>
Injection
0,15 mg (NULL,15 mg / 0,3 ml) Solution claire et incolore dans une seringue pré-remplie à dose pour l'injection manuelle p>
Stockage et manipulation
Comment fourni
Symjepi (injection d'épinéphrine USP) 0,3 mg seringues pré-remplies à dose unique: p>
- Carton à un pack qui contient une seringue pré-remplie de 0,3 mg. NDC 0781-3442-10
- Carton à deux packs qui contient deux seringues pré-remplies de 0,3 mg. NDC 0781-3442-20
Symjepi (injection d'épinéphrine USP) 0,15 mg seringues pré-remplies à dose unique: p>
- Carton à un pack qui contient une seringue pré-remplie de 0,15 mg. NDC 0781-3448-10
- Carton à deux packs qui contient deux seringues pré-remplies de 0,15 mg. NDC 0781-3448-20
Stockage et manipulation
Protéger de la lumière. L'épinéphrine est sensible à la lumière et doit être stockée dans le cas fourni pour le protéger de la lumière. Stocker à 20 ° C à 25 ° C (68 ° F à 77 ° F); Excursions autorisées à 15 ° C à 30 ° C (59 ° F à 86 ° F) [voir la température ambiante contrôlée par l'USP]. Ne réfrigérez pas. Avant d'utiliser le contrôle pour vous assurer que la solution dans la seringue est claire et incolore. Remplacez le produit si la solution est décolorée (couleur rosâtre ou brune) nuageuse ou contient des particules. Symjepi utilisé doit être donné à un fournisseur de soins de santé ou à un personnel d'urgence pour une disposition appropriée. Symjepi expiré ou décoloré doit être retourné à un fournisseur de soins de santé ou à une pharmacie pour une disposition appropriée. p>
Fabriqué pour Adamis Pharmaceuticals Corporation. San Diego CA 92130. Révisé: juin 2021 p>
Effets secondaires for Symjepi
En raison du manque d'essais cliniques contrôlés randomisés de l'épinéphrine pour le traitement de l'anaphylaxie, la véritable incidence des effets indésirables associée à l'utilisation systémique de l'épinéphrine est difficile à déterminer. Les réactions indésirables rapportées dans les rapports de cas et les études des essais observationnels sont répertoriés ci-dessous. p>
Les effets indésirables communs à l'épinéphrine administrée systémiquement comprennent: l'anxiété; appréhensivité; agitation; tremblement; faiblesse; vertiges; transpiration; palpitations; pâleur; nausées et vomissements; mal de tête; et / ou des difficultés respiratoires. Ces symptômes se produisent chez certaines personnes recevant des doses thérapeutiques d'épinéphrine mais sont plus susceptibles de se produire chez les patients souffrant d'hypertension ou d'hyperthyroïdie [voir Avertissements et précautions ]. p>
Réactions cardiovasculaires
- Des arythmies comprenant une fibrillation ventriculaire mortelle ont été signalées en particulier chez les patients atteints d'une maladie cardiaque sous-jacente ou à celles qui reçoivent certains médicaments [voir Avertissements et précautions Interactions médicamenteuses ].
- Des augmentations rapides de la pression artérielle ont produit une hémorragie cérébrale, en particulier chez les patients âgés atteints de maladie cardiovasculaire [voir Avertissements et précautions ].
- L'angine de poitrine peut survenir chez les patients atteints d'une maladie coronarienne [voir Avertissements et précautions ].
- Des cas rares de cardiomyopathie de stress ont été signalés chez les patients traités par épinéphrine.
Réactions de l'injection accidentelle et / ou de la technique inappropriée
- L'injection accidentelle dans les chiffres des mains ou des pieds peut entraîner une perte de flux sanguin vers la zone affectée [voir Avertissements et précautions ].
- Les événements indésirables rencontrés en raison des injections accidentelles peuvent inclure une augmentation des réactions locales de la fréquence cardiaque, notamment le site d'injection, la froideur et l'hypoesthésie ou les blessures sur le site d'injection entraînant une décoloration de saignement de l'érythème ou des lésions squelettiques.
- Injection into the buttock has resulted in cases of gas gangrene [see Avertissements et précautions ].
Infections de la peau et des tissus mous
- De rares cas d'infections graves de la peau et des tissus mous, notamment la fasciite nécrosante et la myonécrose causée par la clostridia (gangrène de gaz), ont été signalées sur le site d'injection après l'injection d'épinéphrine à la cuisse [voir Avertissements et précautions ].
Interactions médicamenteuses for Symjepi
Glycosides cardiaques Diurectiques et anti-arythmiques
Les patients qui reçoivent de l'épinéphrine tout en prenant concomitamment les glycosides cardiaques diurétiques ou anti-arythmiques doivent être observés avec soin pour le développement d'arythmies cardiaques [voir Avertissements et précautions ]. p>
Antidépresseurs monoamine oxydase inhibiteurs de la lévothyroxine et des antihistaminiques
Les effets de l'épinéphrine peuvent être potentialisés par les antidépresseurs tricycliques des inhibiteurs de monoamine oxydase de la lévothyroxine sodium et certains antihistamines, notamment la chlorphéniramine tripelélénamine et la diphenhydramine. p>
Bloqueurs bêta-adrénergiques
Les effets cardiostimulants et bronchodilatants de l'épinéphrine sont antagonisés par des médicaments de blocage bêta-adrénergiques tels que le propranolol. p>
Bloqueurs alpha-adrénergiques
Les effets vasoconstricteurs et hypertendants de l'épinéphrine sont antagonisés par des médicaments de blocage alpha-adrénergiques tels que la pantolamine. p>
Alcaloïdes d'ergot
Les alcaloïdes de l'ergot peuvent également inverser les effets pressifs de l'épinephrine. p>
Avertissements pour symjepi
Inclus dans le cadre du 'PRÉCAUTIONS' Section p>
Précautions pour Symjepi
Traitement d'urgence
Symjepi est destiné à l'administration immédiate comme thérapie de soutien aux urgences et n'est pas destiné à substituer aux soins médicaux immédiats. En collaboration avec l'administration d'épinéphrine, le patient doit demander des soins médicaux ou des hôpitaux immédiats. Plus de deux doses séquentielles d'épinéphrine ne doivent être administrées que sous surveillance médicale directe [voir Indications Posologie et administration Informations sur les patients ]. p>
Injection-Related Complications
Symjepi devrait seulement être injecté dans l'aspect antérolatéral de la cuisse [voir Posologie et administration et Informations sur les patients ]. p>
Ne pas injecter par voie intraveineuse
De grandes doses ou une injection intraveineuse accidentelle d'épinéphrine peuvent entraîner une hémorragie cérébrale due à une forte augmentation de la pression artérielle. Les vasodilatateurs à action rapide peuvent contrer les effets pressants marqués de l'épinéphrine en cas d'administration par inadvertance. p>
Ne pas injecter dans les fesses
Injection into the buttock may not provide effective treatment of anaphylaxie. Advise the patient to go immediately to the nearest emergency room for further treatment of anaphylaxie. Additionally injection into the buttock has been associated with gas gangrene. Cleansing with alcohol does not kill bacterial spores et therefore does not lower the risk. p>
Ne pas injecter dans les mains ou les pieds
Étant donné que l'épinéphrine est une forte injection accidentelle vasoconstricteuse dans les chiffres des mains ou des pieds peut entraîner une perte de flux sanguin vers la zone affectée. Conseiller au patient d'aller immédiatement aux urgences les plus proches et d'informer le fournisseur de soins de santé aux urgences de l'emplacement de l'injection accidentelle. Le traitement d'une telle administration par inadvertance devrait consister en une vasodilatation en plus d'un traitement approprié de l'anaphylaxie [voir Effets indésirables ]. p>
Tenir la jambe fermement pendant l'injection
Pour minimiser le risque de blessure liée à l'injection lors de l'administration de symjepi aux jeunes enfants tienant fermement la jambe de l'enfant et limitez les mouvements avant et pendant l'injection. p>
Infections graves sur le site d'injection
De rares cas d'infections graves et de tissus mous, notamment la fasciite nécrosante et la myonécrose causée par la clostridia (gangrène de gaz), ont été signalées sur le site d'injection après l'injection d'épinéphrine pour l'anaphylaxie. Les spores de Clostridium peuvent être présentes sur la peau et introduites dans le tissu profond avec injection sous-cutanée ou intramusculaire. Bien que le nettoyage avec de l'alcool puisse réduire la présence de bactéries sur la peau que le nettoyage de l'alcool ne tue pas les spores Clostridium. Pour diminuer le risque d'infection à Clostridium, n'injectez pas de symbepi dans la fesse [voir Injection-Related Complications ]. Advise patients to seek medical care if they develop signs or symptoms of infection such as persistent redness warmth gonflement or tendresse at the épinéphrine injection site. p>
Réactions allergiques associées au sulfite
La présence d'un sulfite dans ce produit ne devrait pas dissuader l'administration du médicament pour le traitement des situations d'urgence graves allergiques ou autres même si le patient est sensible au sulfite. p>
L'épinéphrine est le traitement préféré des réactions allergiques graves ou d'autres situations d'urgence, même si ce produit contient du métabisulfite de sodium un sulfite qui peut dans d'autres produits provoquer des réactions de type allergique, y compris des symptômes anaphylactiques ou des épisodes d'asthmie moins sévères ou moins sévères chez certains personnes sensibles. p>
Les alternatives à l'utilisation de l'épinéphrine dans une situation mortelle peuvent ne pas être satisfaisantes. p>
Interactions de la maladie
Certains patients peuvent être plus à risque de développer des effets indésirables après l'administration d'épinéphrine. Malgré ces préoccupations, il convient de reconnaître que la présence de ces conditions n'est pas une contre-indication à l'administration de l'épinéphrine dans une situation mortelle aiguë. Par conséquent, les patients atteints de ces conditions et / ou toute autre personne qui pourraient être en mesure d'administrer Symjepi à un patient souffrant d'anaphylaxie devraient être soigneusement instruits en ce qui concerne les circonstances dans lesquelles l'épinéphrine doit être utilisée. p>
Patients atteints de maladie cardiaque
L'épinéphrine doit être administrée avec prudence aux patients atteints d'une maladie cardiaque, y compris des patients atteints d'arythmies cardiaques, l'artère coronaire ou une maladie cardiaque organique ou une hypertension. Chez ces patients ou chez des patients sous des médicaments qui peuvent sensibiliser le cœur aux arythmies épinéphrine peuvent précipiter ou aggraver l'angine de poitrine et produire des arythmies ventriculaires [voir Interactions médicamenteuses Effets indésirables ]. p>
Autres patients et maladies
L'épinéphrine doit être administrée avec prudence aux patients atteints de diabète hyperthyroïdie des personnes âgées et des femmes enceintes. Les patients atteints de la maladie de Parkinson peuvent remarquer une aggravation temporaire des symptômes. p>
Informations de conseil des patients
Conseiller au patient de lire l'étiquetage des patients approuvé par la FDA ( Informations sur les patients et Instructions pour une utilisation ). p>
Un fournisseur de soins de santé doit examiner en détail les instructions du patient et le fonctionnement de Symjepi avec le patient ou le soignant. p>
L'épinéphrine est essentielle pour le traitement de l'anaphylaxie. Les patients qui sont à risque ou ont des antécédents de réactions allergiques sévères (anaphylaxie) pour les piqûres d'insectes ou mord les médicaments alimentaires et autres allergènes ainsi que l'anaphylaxie idiopathique et induite par l'exercice doivent être soigneusement instruits sur les circonstances dans lesquelles l'épinéphrine doit être utilisée. p>
Administration et formation
Instruire les patients et / ou les soignants dans l'utilisation appropriée de Symjepi. Symjepi doit être injecté au milieu de la cuisse extérieure (à travers les vêtements si nécessaire). Chaque seringue est pour une injection à usage unique. Conseiller aux patients de demander des soins médicaux immédiats en conjonction avec l'administration de Symjepi. p>
Les jeunes enfants peuvent être peu coopératifs et se lancer ou se déplacer pendant et l'injection. Instruire les soignants des jeunes enfants qui se sont prescrits Symjepi pour tenir la jambe fermement en place et limiter les mouvements avant et pendant une injection [voir Avertissements et précautions ]. p>
Des informations complètes sur les patients, y compris les instructions posologiques pour une administration appropriée et des précautions, peuvent être trouvées à l'intérieur de chaque carton Symjepi. Une étiquette imprimée à la surface du boîtier Symjepi montre des instructions pour une utilisation. p>
Effets indésirables
L'épinéphrine peut produire des symptômes et des signes qui incluent une augmentation de la fréquence cardiaque La sensation d'une palpitation du rythme cardiaque plus puissant transpirant des nausées et des difficultés de vomissements à respirer la faiblesse des étourdissements de la pâleur ou une agitation des maux de tête, la nervosité ou l'anxiété. Ces signes et symptômes se calment généralement rapidement, en particulier avec le calme et la réclamation. Les patients souffrant d'hypertension ou d'hyperthyroïdie peuvent développer des effets plus graves ou persistants et les patients atteints d'une maladie coronarienne pourraient souffrir d'angine de poitrine. Les patients atteints de diabète peuvent développer une augmentation de la glycémie après l'administration d'épinéphrine. Les patients atteints de la maladie de Parkinson peuvent remarquer une aggravation temporaire des symptômes. [voir Avertissements et précautions ]. p>
Injection accidentelle
Conseiller aux patients de demander des soins médicaux immédiats en cas d'injection accidentelle. Étant donné que l'épinéphrine est un vasoconstricteur fort lorsqu'il est injecté dans les mains des mains ou le traitement des pieds doit être dirigée vers la vasodilatation s'il y a une telle injection accidentelle à ces zones [voir Avertissements et précautions ]. p>
Infections graves sur le site d'injection
De rares cas d'infections graves et de tissus mous, notamment la fasciite nécrosante et la myonécrose causée par la clostridia (gangrène de gaz), ont été signalées sur le site d'injection après l'injection d'épinéphrine pour l'anaphylaxie. Conseiller aux patients de consulter des soins médicaux s'ils développent des signes ou des symptômes d'infection tels que le gonflement ou la sensibilité de la rougeur persistante sur le site d'injection d'épinéphrine [voir Avertissements et précautions ]. p>
Stockage et manipulation
Demandez aux patients d'inspecter la solution d'épinéphrine visuellement périodiquement. Symjepi doit être remplacé si la solution d'épinéphrine apparaît décolorée (couleur rosée ou brune) nuageuse ou contient des particules. L'épinéphrine est sensible à la lumière et doit être stockée dans le cas extérieur fourni pour le protéger de la lumière. p>
Instruire les patients que Symjepi doit être utilisé ou correctement éliminé une fois que le capuchon de protection couvrant l'aiguille est retiré [voir Comment fourni ]. Instruct patients to give a used Succion syringe to their healthcare provider or emergency room personnel for proper disposal et to return expired or discolored Succion to their healthcare provider or pharmacy for proper disposal. p>
Des informations complètes sur les patients, y compris les instructions posologiques pour une administration appropriée et des précautions, peuvent être trouvées dans chaque cas Symjepi. p>
Toxicologie non clinique
Carcinogenèse Mutagenèse A trouble de la fertilité
Des études à long terme pour évaluer le potentiel cancérigène de l'épinéphrine n'ont pas été menées. p>
Il a été démontré que l'épinéphrine et d'autres catécholamines ont un potentiel mutagène in vitro . L'épinéphrine était positive dans le Salmonelle test de mutation inverse bactérien positive dans le test de lymphome de souris et négatif dans le en vain test de micronucléus. L'épinéphrine est un mutagène oxydatif basé sur le E. coli Dosage de mutation inverse bactérienne le plus mutoxitest WP2. Cela ne devrait pas empêcher l'utilisation de l'épinéphrine dans les conditions notées sous Indications . p>
Le potentiel d'épinéphrine pour altérer les performances de reproduction n'a pas été évalué, mais il a été démontré que l'épinéphrine diminue l'implantation chez les lapins femelles dose par voie sous-cutanée avec 1,2 mg / kg / jour (40 fois le plus haut intramusculaire ou la dose quotidienne sous-cutanée) pendant les jours de gestation 3 à 9. p>
Utiliser dans des populations spécifiques
Grossesse
Résumé des risques
Il n'y a pas d'études adéquates et bien contrôlées sur l'effet aigu de l'épinéphrine chez les femmes enceintes. Dans les études de reproduction animale, l'épinéphrine administrée par la route sous-cutanée vers des souris et des hamsters pendant la période d'organogenèse était tératogène à des doses 7 fois et plus que la dose intramusculaire et sous-cutanée humaine recommandée sur un Mg / m recommandé 2 base. L'épinéphrine est le médicament de première ligne de choix pour le traitement de l'anaphylaxie pendant la grossesse chez l'homme. L'épinéphrine doit être utilisée pour le traitement de l'anaphylaxie pendant la grossesse de la même manière qu'elle est utilisée chez les patients non enceintes. p>
Dans la population générale américaine, les risques de fond estimés des principaux malformations congénitales et une fausse couche dans les grossesses cliniquement reconnues sont de 2% à 4% et la fausse couche est respectivement de 15% à 20%. p>
Considérations cliniques
Risque maternel et embryonnaire / fœtal associé à la maladie p>
Pendant la grossesse, l'anaphylaxie peut être catastrophique et peut entraîner une encéphalopathie hypoxicischémique et des dommages ou la mort permanents du système nerveux central chez la mère et plus souvent chez le fœtus ou le nouveau-né. La prévalence de l'anaphylaxie survenue pendant la grossesse serait d'environ 3 cas pour 100 000 accouchements. p>
La gestion de l'anaphylaxie pendant la grossesse est similaire à la gestion de la population générale. L'épinéphrine est la première médance de ligne de choix pour le traitement de l'anaphylaxie; Il doit être utilisé de la même manière chez les patients enceintes et non enceintes. En collaboration avec l'administration d'épinéphrine, le patient doit demander des soins médicaux ou des hôpitaux immédiats. p>
Données
Données sur les animaux p>
Dans une étude de développement embryofétal avec des lapins dosés pendant la période d'organogenèse, l'épinephrine s'est avérée être tératogène (y compris la gastroschisie et la létalité embryonnaire) à des doses d'environ 40 fois la dose intramusculaire ou sous-cutanée maximale (sur un mg / m 2 base à une dose sous-cutanée maternelle de 1,2 mg / kg / jour pendant deux à trois jours). p>
Dans une étude de développement embryofétal avec des souris dosées pendant la période d'organogenèse, l'épinephrine s'est avérée être tératogène (y compris la létalité embryonnaire) à des doses d'environ 8 fois la dose maximale recommandée intramusculaire ou sous-cutanée (sur un mg / m 2 base à la dose sous-cutanée maternelle de 1 mg / kg / jour pendant 10 jours). Ces effets n'ont pas été observés chez la souris à environ 4 fois la dose intramusculaire ou sous-cutanée maximale recommandée (sur un mg / m 2 base à une dose maternelle sous-cutanée de 0,5 mg / kg / jour pendant 10 jours). p>
Dans une étude de développement embryofétal avec des hamsters dosés pendant la période d'organogenèse des jours de gestation 7 à 10 épinéphrine s'est avéré être tératogène à des doses environ 7 fois la dose intramusculaire ou sous-cutanée maximale (sur un Mg / m Mg / m 2 base à une dose sous-cutanée maternelle de 0,5 mg / kg / jour). p>
Lactation
Résumé des risques
Il n'y a aucune information concernant la présence d'épinéphrine dans le lait maternel les effets sur les nourrissons allaités ou les effets sur la production de lait. L'épinéphrine est la première médance de ligne de choix pour le traitement de l'anaphylaxie; Il doit être utilisé de la même manière chez les patients allaités et non-rive. p>
Usage pédiatrique
Symjepi peut être donné en toute sécurité aux patients pédiatriques à une dose appropriée au poids corporel [voir Posologie et administration ]. Clinical experience with the use of épinéphrine suggests that the adverse reactions seen in children are similar in nature et extent to those both expected et reported in adults. Since the dose of épinéphrine delivered from Succion is fixed consider using other forms of injectable épinéphrine if a dose lower than 0.15 mg is deemed necessary. p>
Utilisation gériatrique
Les études cliniques pour le traitement de l'anaphylaxie n'ont pas été réalisées chez des sujets âgés de 65 ans et plus pour déterminer s'ils répondent différemment des sujets plus jeunes. Cependant, d'autres expériences cliniques signalées avec l'utilisation de l'épinéphrine pour le traitement de l'anaphylaxie ont identifié que les patients gériatriques peuvent être particulièrement sensibles aux effets de l'épinéphrine. Par conséquent, Symjepi doit être administré avec prudence chez les personnes âgées qui peuvent être plus à risque de développer des effets indésirables après l'administration d'épinéphrine. [voir Avertissements et précautions Surdosage ]. p>
Informations sur la surdose pour Symjepi
Le surdosage de l'épinéphrine peut produire une pression artérielle extrêmement élevée, ce qui peut entraîner une hémorragie cérébrovasculaire, en particulier chez les patients âgés. Un surdosage peut également entraîner un œdème pulmonaire en raison de la constriction vasculaire périphérique ainsi que de la stimulation cardiaque. Le traitement consiste à des vasodilatateurs à action rapide ou à des médicaments de blocage alpha-adrénergiques et / ou à un soutien respiratoire. p>
Le surdosage de l'épinéphrine peut également provoquer une bradycardie transitoire suivie d'une tachycardie et celles-ci peuvent être accompagnées d'arythmies cardiaques potentiellement mortelles. Les contractions ventriculaires prématurées peuvent apparaître dans une minute après l'injection et peuvent être suivies par une tachycardie ventriculaire multifocale (rythme de préfibrillation). L'affaissement des effets ventriculaires peut être suivi par la tachycardie auriculaire et occasionnellement par un bloc autrioventriculaire. Le traitement des arythmies consiste en l'administration d'un médicament de blocage bêta-adrénergique tel que le propranolol. p>
Le surdosage entraîne parfois une pâleur extrême et une froideur de l'acidose métabolique cutanée et de l'insuffisance rénale. Des mesures correctives appropriées doivent être prises dans de telles situations. p>
Contre-indications pour symjepi
Aucun. p>
Pharmacologie clinique for Symjepi
Mécanisme d'action
L'épinéphrine agit sur les récepteurs alpha et bêta-adrénergiques. p>
Pharmacodynamique
Grâce à son action sur les récepteurs alpha-adrénergiques, l'épinephrine diminue la vasodilatation et l'augmentation de la perméabilité vasculaire qui se produit pendant l'anaphylaxie qui peut entraîner une perte de volume et d'hypotension du liquide intravasculaire. p>
Grâce à son action sur les récepteurs bêta-adrénergiques, l'épinéphrine provoque la relaxation des muscles lisses bronchiques et aide à atténuer la respiration sifflante et la dyspnée des bronchospasmes qui peuvent survenir pendant l'anaphylaxie. p>
L'épinéphrine atténue également le prurit urticaire et l'œdème de l'angio-œdème et peut soulager les symptômes gastro-intestinaux et génito-urinaires associés à l'anaphylaxie en raison de ses effets relaxants sur le muscle lisse de l'utérus de l'intestin de l'estomac et de la vessie urinaire. p>
Lorsqu'on lui donne une épinéphrine par voie sous-cutanée ou intramusculaire a un début rapide et une courte durée d'action. p>
Informations sur les patients pour symjepi
Symejepi ™
(Sim-jep-ee)
(épinéphrine) Injection
Pour une utilisation intramusculaire ou sous-cutanée
Pour les urgences allergiques (anaphylaxie) p>
Lisez attentivement cette brochure d'information du patient avant d'utiliser Symjepi et chaque fois que vous obtenez une recharge. Il peut y avoir de nouvelles informations. Votre soignant parent ou d'autres personnes qui peuvent être en mesure d'administrer Symjepi devraient savoir comment l'utiliser avant d'avoir une urgence allergique. Ces informations ne prennent pas la place de parler avec votre fournisseur de soins de santé de votre état de santé ou de votre traitement. p>
Quelles sont les informations les plus importantes que je devrais connaître sur Symjepi? p>
Les symptômes d'anaphylaxie peuvent inclure: p>
Parlez à votre fournisseur de soins de santé si vous avez besoin de seringues pré-remplies supplémentaires pour garder à l'école de travail ou à d'autres endroits. Dites les soignants des membres de votre famille et d'autres où vous gardez votre symbepi et comment l'utiliser avant d'en avoir besoin. Vous pouvez ne pas pouvoir parler en cas d'urgence allergique. p>
- Symjepi contient l'épinéphrine A médicament utilisé pour traiter les urgences allergiques (anaphylaxie). L'anaphylaxie peut être mettant la vie en danger peut se produire en quelques minutes et peut être causée par des picotements et des insectes d'insectes Allergy Injections Foods Médicaments Exercice ou des causes inconnues.
- difficulté à respirer
- respiration sifflante
- Enrouement (changements dans la façon dont votre voix sonne)
- ruches (éruption cutanée relevée qui peut démanger)
- démangeaisons sévères
- gonflement de ton visage lèvres bouche ou langue
- Redness ou gonflement des éruptions cutanées
- rythme cardiaque rapide
- impulsion faible
- Se sentir très anxieux
- confusion
- douleurs à l'estomac
- Perdre le contrôle des selles d'urine ou d'intestin (incontinence)
- diarrhée ou crampes d'estomac
- vertiges fainting or passing out (unconsciousness)
- Emportez toujours votre symjepi avec vous car vous ne savez peut-être pas quand l'anaphylaxie peut se produire.
- Lorsque vous avez une urgence allergique (anaphylaxie)
- Utilisez immédiatement Symjepi.
- Obtenez une aide médicale d'urgence immédiatement. Vous pouvez avoir besoin de soins médicaux supplémentaires. Vous devrez peut-être utiliser un deuxième symbepi si les symptômes continuent ou se reproduisent. Seul un professionnel de la santé devrait donner des doses supplémentaires d'épinéphrine si vous avez besoin de plus de 2 injections pour un seul épisode d'anaphylaxie.
Qu'est-ce que Symjepi? p>
- Symjepi est une seringue pré-remplie jetable utilisée pour traiter les urgences allergiques potentiellement mortelles, y compris l'anaphylaxie chez les personnes qui risquent ou ont des antécédents d'urgence allergique grave. Chaque seringue prérepassée contient une dose unique (1 temps) d'épinéphrine.
- Symjepi est pour l'administration immédiate (ou soignante) et ne prend pas la place des soins médicaux d'urgence. Vous devriez obtenir une aide d'urgence immédiatement après avoir utilisé Symjepi.
- Symjepi est destiné aux personnes qui ont été prescrites ce médicament par leur fournisseur de soins de santé.
- La seringue pré-remplie de Symjepi 0,3 mg concerne les patients qui pèsent 66 livres ou plus (30 kilogrammes ou plus).
- La seringue pré-remplie de Symjepi 0,15 mg concerne les patients qui pèsent entre 33 et 66 livres (15 à 30 kilogrammes).
- On ne sait pas si la seringue pré-remplie de symjepi est sûre et efficace chez les patients qui pèsent moins de 33 livres (15 kilogrammes).
Avant d'utiliser Symjepi, dites à votre fournisseur de soins de santé de toutes vos conditions médicales, y compris si vous: p>
- avoir des problèmes cardiaques ou une pression artérielle élevée.
- avoir le diabète.
- avoir des problèmes thyroïdiens.
- avoir de l'asthme.
- avoir des antécédents de dépression.
- sont enceintes ou prévoient de devenir enceintes. On ne sait pas si l'épinéphrine nuira à votre bébé à naître.
- allaitent ou prévoient d'allaiter. On ne sait pas si l'épinéphrine passe dans votre lait maternel.
Parlez à votre fournisseur de soins de santé de tous les médicaments que vous prenez y compris les médicaments sur ordonnance et en vente libre des vitamines et des suppléments à base de plantes. Dites à votre fournisseur de soins de santé de toutes les allergies connues. p>
Parlez surtout de votre fournisseur de soins de santé si vous prenez certains médicaments contre l'asthme. p>
Symjepi et d'autres médicaments peuvent affecter les uns les autres provoquant des effets secondaires. Symjepi peut affecter le fonctionnement des autres médicaments et d'autres médicaments peuvent affecter le fonctionnement de Symjepi. p>
Connaissez les médicaments que vous prenez. Gardez une liste d'entre eux pour montrer votre fournisseur de soins de santé et votre pharmacien lorsque vous obtenez un nouveau médicament. p>
Utilisez votre symjepi pour le traitement de l'anaphylaxie comme prescrit par votre fournisseur de soins de santé, quelles que soient vos conditions médicales ou les médicaments que vous prenez. p>
Comment dois-je utiliser Symjepi? p>
- Chaque seringue pré-remplie de symjepi ne contient qu'une dose de médecine.
- Symjepi devrait be injected into the middle of your outer cuisse (upper leg) with the needle facing downwards. It can be injected through your clothing if needed.
- Lisez les instructions à utiliser à la fin de cette brochure d'information sur le patient sur la bonne façon d'utiliser Symjepi.
- Votre fournisseur de soins de santé vous montrera comment utiliser en toute sécurité la seringue pré-remplie Symjepi.
- Utilisez Symjepi exactement car votre fournisseur de soins de santé vous dit de l'utiliser.
- Si vous injectez un jeune enfant avec Symjepi tiendra fermement la jambe en place avant et pendant l'injection pour éviter les blessures. Demandez à votre fournisseur de soins de santé de vous montrer comment tenir correctement la jambe d'un jeune enfant pendant l'injection.
- Vous devrez peut-être utiliser un deuxième symbepi si les symptômes continuent ou se reproduisent. Seul un professionnel de la santé devrait donner des doses supplémentaires d'épinéphrine si vous avez besoin de plus de 2 injections pour un seul épisode d'anaphylaxie.
- ATTENTION: Ne mettez jamais vos doigts de pouce et ne remettez jamais l'aiguille exposée. Une injection accidentelle d'épinéphrine dans les mains ou les pieds du doigt peut entraîner une perte de flux sanguin vers ces zones. Si cela se produit, allez immédiatement aux urgences les plus proches. Dites au fournisseur de soins de santé où sur votre corps vous avez reçu l'injection accidentelle.
- Emportez toujours votre symjepi avec vous en cas d'urgence allergique. Des documents et informations pédagogiques supplémentaires sont disponibles sur www.symjepi.com.
- Ne déposez pas le boîtier du transporteur ou la seringue pré-remplie Symjepi. Si le boîtier du transporteur ou la seringue pré-remplie est abandonné, vérifiez les dommages et les fuites. Jetez le boîtier de seringue et de transporteur pré-rempli et remplacer si des dommages ou des fuites sont remarqués ou suspectés.
Quels sont les effets secondaires possibles de Symjepi? p>
Symjepi peut provoquer des effets secondaires graves. p>
Si vous injectez accidentellement Symjepi dans une autre partie de votre corps, rendez-vous immédiatement aux urgences les plus proches. Dites au fournisseur de soins de santé où sur votre corps vous avez reçu l'injection accidentelle. p>
Les effets secondaires courants de Symjepi comprennent: p>
- Symjepi devrait seulement be injected into the middle of your outer cuisse (upper leg). Ne pas Injectez Symjepi dans votre:
- veines
- fesses
- les doigts les mains ou les pieds
- Rarement les patients qui ont utilisé Symjepi peuvent développer des infections sur le site d'injection en quelques jours d'une injection. Certaines de ces infections peuvent être graves. Appelez votre professionnel de la santé immédiatement si vous avez l'un des éléments suivants sur un site d'injection:
- rougeur qui ne disparaît pas
- gonflement
- tendresse
- La zone est chaude au toucher
- Les coupures sur les aiguilles et les aiguilles pliées de la peau qui restent dans la peau après l'injection se sont produites chez les jeunes enfants qui ne coopèrent pas et ne font pas de coups de pied ou se déplacent pendant une injection. Si vous injectez un jeune enfant avec Symjepi tiendra fermement la jambe en place avant et pendant l'injection pour éviter les blessures. Demandez à votre fournisseur de soins de santé de vous montrer comment tenir correctement la jambe d'un jeune enfant pendant l'injection.
- Si vous avez certaines conditions médicales ou prenez certains médicaments, votre état peut empirer ou si vous pouvez avoir des effets secondaires plus durables lorsque vous utilisez votre symjepi. Parlez à votre fournisseur de soins de santé de toutes vos conditions médicales.
- rythme cardiaque rapide ou battant
- transpiration
- mal de tête
- faiblesse
- shakakess
- Pâleur
- sentiments d'excitation de nervosité ou d'anxiété
- vertiges
- nausées et vomissements
- problèmes de respiration
Ces effets secondaires peuvent disparaître avec le repos. Dites à votre fournisseur de soins de santé si vous avez un effet secondaire qui vous dérange ou qui ne disparaît pas. p>
Ce ne sont pas tous les effets secondaires possibles de Symjepi. Pour plus d'informations, demandez à votre fournisseur de soins de santé ou à votre pharmacien. p>
Appelez votre médecin pour des conseils médicaux sur les effets secondaires. Vous pouvez signaler des effets secondaires à la FDA au 1-800-FDA-1088 p>
Comment dois-je stocker Symjepi? p>
- Stockez les symbes à température ambiante entre 68 ° et 77 ° F (20 ° à 25 ° C).
- Protéger de la lumière.
- Ne pas exposer à un froid extrême ou à la chaleur. Par exemple, ne stockez pas dans la boîte à gants de votre véhicule et ne stockez pas dans le réfrigérateur ou le congélateur.
- Examinez le contenu dans la fenêtre claire de votre seringue pré-remplie périodiquement. La solution doit être claire. Si la solution est décolorée (couleur rosâtre ou brune) est nuageuse ou contient des particules solides, remplacez l'unité.
- Gardez toujours votre seringue pré-remplie Symjepi dans le boîtier du transporteur pour la protéger des dommages. Le boîtier du transporteur n'est pas étanche.
- Le capuchon d'aiguille aide à prévenir l'injection accidentelle. Ne supprimez pas le capuchon d'aiguille tant que vous avez besoin d'utiliser Symjepi.
- Votre Symjepi a une date d'expiration. Remplacez-le avant la date d'expiration.
Gardez Symjepi et tous les médicaments hors de portée des enfants. p>
Informations générales sur l'utilisation sûre et efficace de Symjepi. p>
Les médicaments sont parfois prescrits à des fins autres que celles énumérées dans une brochure d'information du patient. N'utilisez pas Symjepi pour une condition pour laquelle il n'a pas été prescrit. Ne donnez pas votre symjepi à d'autres personnes. p>
Ce dépliant d'information du patient résume les informations les plus importantes sur Symjepi. Si vous souhaitez plus d'informations, parlez-en à votre fournisseur de soins de santé. Vous pouvez demander à votre pharmacien ou fournisseur de soins de santé pour des informations sur Symjepi qui sont écrits pour les professionnels de la santé. p>
Quels sont les ingrédients de Symjepi? p>
Ingrédients actifs: épinéphrine p>
Ingrédients inactifs: Acide chlorhydrique Chlorure de sodium Métabisulfite de sodium et eau. p>
Informations importantes p>
- Votre seringue prérepillée est conçue pour fonctionner à travers des vêtements.
- Le capuchon d'aiguille sur la seringue pré-remplie de symjepi aide à prévenir les bâtons d'aiguille et à injection accidentelle de l'épinéphrine. Ne retirez pas le capuchon d'aiguille tant que vous n'êtes pas prêt à l'utiliser.
- Injecter uniquement au milieu de la cuisse extérieure (jambe supérieure). Ne jamais injecter dans une autre partie du corps.
- Ne mettez jamais vos doigts de pouce ou votre main sur l'aiguille exposée.
- Si une injection accidentelle se produit, obtenez une aide médicale immédiatement.
- Ne pas place patient information or any other foreign objects in the carrier case with the pre-filledsyringe as this may prevent you from removing the pre-filled syringe for use.
Instructions pour une utilisation p>
Succion
(Sim-jep-ee)
(injection d'épinéphrine USP) Stéringe pré-rempli
Pour les urgences allergiques (anaphylaxie) p>
Lisez attentivement ces instructions pour utiliser ce produit. p>
Avant de devoir utiliser votre seringue Symjepi, assurez-vous que votre fournisseur de soins de santé vous montre la bonne façon de l'utiliser. Les soignants des parents et d'autres personnes qui peuvent être en mesure d'administrer Symjepi devraient également comprendre comment l'utiliser. Si vous avez des questions, posez votre fournisseur de soins de santé. p>
Préparez-vous à utiliser Symjepi p>
Succion works like a stetard pre-filled syringe. p>
|
Succion is injected downwards into the cuisse tout en étant assis (comme indiqué) à travers des vêtements si nécessaire. p>
|
1. Symjepi prêt à l'emploi p>
2. Lorsque vous êtes prêt à injecter le capuchon de retire pour exposer l'aiguille. p>
Ne pas put finger on top of the device. p>
Si vous administrez Symjepi à un jeune enfant, maintenez la jambe fermement en place lors de l'administration de l'injection. p>
Tenez uniquement les poignées des doigts et insérez lentement l'aiguille dans la cuisse. p>
Fenêtre de solution p>
|
Une fois que l'aiguille est à la cuisse: poussez le piston jusqu'à ce qu'il soit bas clics et hold for 2 seconds. p>
|
Retirez la seringue et massez la zone d'injection pendant 10 secondes. p>
Obtenir de l'aide p>
Obtenez une aide médicale d'urgence maintenant. p>
|
Dites à un fournisseur de soins de santé que vous avez reçu une injection d'épinéphrine. p>
Utilisez la deuxième seringue si nécessaire p>
|
Vous pouvez avoir besoin d'une deuxième seringue symbepi si les symptômes continuent ou se reproduisent. p>
Succion est une seringue pré-remplie à usage unique qui offre une dose fixe d'épinéphrine. La seringue pré-remplie ne peut pas être réutilisée. Il est normal que la plupart des médicaments restent dans la seringue une fois la dose injectée. p>
La dose correcte a été injectée si le piston a été poussé tout le long et la fenêtre de la solution est au moins partiellement bloquée. p>
Si vous administrez Symjepi à un jeune enfant, demandez à votre fournisseur de soins de santé de vous montrer comment maintenir correctement la jambe en place tout en administrant une dose. p>
Après utilisation et élimination -Soltez Symjepi d'une main avec vos doigts derrière l'aiguille et faites glisser le garde de sécurité sur l'aiguille jusqu'à ce qu'il clique. Mettez la seringue utilisée dans le boîtier gris et fermez le boîtier. p>
- Prenez le cas avec la seringue utilisée avec vous lorsque vous allez voir un fournisseur de soins de santé.
- Dites au fournisseur de soins de santé que vous avez reçu une injection d'épinéphrine. Montrez le fournisseur de soins de santé où vous avez reçu l'injection.
- Donnez votre seringue Symjepi d'occasion à votre fournisseur de soins de santé pour inspection et élimination appropriée.
Après utilisation p>
Gardien de sécurité p>
|
Utilisation d'une main avec des doigts derrière le gardien de la sécurité de glissière à l'aiguille sur l'aiguille. p>
Pour plus d'informations, consultez la fiche d'information du patient ou demandez à votre fournisseur de soins de santé. p>
Comment stocker -Seiller Symjepi dans son étui en plastique à proximité et prêt à l'emploi à tout moment. p>
- Stocker à température ambiante entre 68 ° F à 77 ° F (20 ° C à 25 ° C). N'exposez pas à un froid extrême ou à la chaleur. Par exemple ne pas stocker dans la boîte à gants de votre véhicule et ne pas Conserver au réfrigérateur ou au congélateur.
- Conservez la seringue Symjepi dans son boîtier en plastique fermé pour se protéger de la lumière.
Vérifiez périodiquement votre symjepi -La solution doit être claire lorsqu'il est visualisé via la fenêtre de l'appareil. Si la solution est décolorée (couleur rosâtre ou brune) nuageuse ou contient des particules, remplacez le symjepi par un nouveau. p>
Votre symjepi a une date d'expiration -Exemple 2021 12 = 31 décembre 2021. Remplacez Symjepi avant la date d'expiration. Effacer correctement Symjepi expiré en prenant le Symjepi dans son cas à un fournisseur de soins de santé ou à une salle d'urgence à l'hôpital. p>
Pour plus d'informations sur la seringue pré-remplie Symjepi et une utilisation appropriée du produit, appelez le 1-800-230-3935 ou visitez www.symjepi.com. p>
Succion is a trademark of Adamis Pharmaceuticals Corporation. p>
Ces instructions pour une utilisation ont été approuvées par la Food and Drug Administration des États-Unis. p>