Les Informations Présentées Sur Ce Site Ne Constituent Pas Un Avis Médical. Nous Ne Vendons Rien. L'Exactitude De La Traduction N'Est Pas Garantie. Clause De Non-Responsabilité
Bêta-bloquants, bêta-1 sélectif
CEVET
Résumé
Qu'est-ce que Zebeta?
Zebeta (fumarate de bisoprolol) est un type de médicament antihypertenseur appelé agent de blocage des récepteurs bêta-adrénergiques (bêta-bloqueur) utilisé pour traiter l'hypertension (pression artérielle élevée). Zebeta est disponible en générique formulaire.
Quels sont les effets secondaires de Zebeta?
Les effets secondaires courants de Zebeta comprennent:
- fatigue
- somnolence
- rythme cardiaque lent
- étourdissement en position debout
- vertiges
- sensation de rotation
- bouche sèche
- nausée
- vomissement
- douleurs à l'estomac
- diarrhée
- constipation
- Augmentation de la miction
- coulant ou nez encombré
- sonner dans vos oreilles
- faiblesse
- Problèmes de sommeil (insomnie)
- dépression
- anxiété
- sentiment agité
- Douleurs articulaires ou musculaires
- démangeaisons ou éruption cutanée ou
- perte d'intérêt pour le sexe.
Dites à votre médecin si vous ressentez des effets secondaires improbables mais sérieux de Zebeta, notamment:
- rythme cardiaque très lent
- étourdissements sévères
- évanouissement
- doigts / orteils bleus
- difficulté à respirer ou
- Changements mentaux / d'humeur (comme la confusion Humeur Swings Depression).
Dosage pour Zebeta
La dose de Zebeta est individualisée aux besoins du patient allant de 2,5 à 20 mg une fois par jour.
Quelles substances ou suppléments de médicaments interagissent avec Zebeta?
Zebeta peut interagir avec d'autres médicaments, notamment d'autres bêta-bloquants médicaments cardiaques Clonidine Digitalis Disopyramide guanethidine rifampin insuline ou diabète que vous prenez par la bouche et la médecine pour l'asthme ou d'autres troubles respiratoires.
Zebeta pendant la grossesse et l'allaitement
Pendant la grossesse, ce médicament ne doit être utilisé que lorsqu'il est prescrit. Cela peut nuire à un fœtus. On ne sait pas si ce médicament passe dans le lait maternel ou s'il peut nuire à un nourrisson infirmier. Discutez des risques et des avantages avec votre médecin avant l'allaitement.
Informations Complémentaires
Notre centre de médicaments sur les effets secondaires de Zebeta offre une vue complète des informations sur les médicaments disponibles sur les effets secondaires potentiels lors de la prise de ce médicament.
Informations sur les médicaments de la FDA
- Description de la drogue
- Indications
- Effets secondaires
- Interactions médicamenteuses
- Avertissements
- Précautions
- Surdosage
- Pharmacologie clinique
- Guide des médicaments
Description de Zebeta
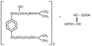
Zebeta (fumarate de bisoprolol) est une version bêta synthétique 1 -Agent de blocage adrénergène sélectif (cardiosélectif). Le nom chimique du fumarate de bisoprolol est (±) -1- [4 - [[2- (1- méthyléthoxy) éthoxy] méthyl] phénoxy] -3 - [(1-méthyléthyl) amino] -2-propanol ( E ) -2-Budenedioate (2: 1) (sel). Il possède un atome de carbone asymétrique dans sa structure et est fourni comme un mélange racémique. L'énantiomère S (-) est responsable de la majeure partie de l'activité de blocage bêta. Sa formule empirique est (c 18 H 31 NON 4 ) 2 • C. 4 H 4 O 4 Et sa structure est:
|
Le fumarate de bisoprolol a un poids moléculaire de 766,97. Il s'agit d'une poudre cristalline blanche qui est approximativement également hydrophile et lipophile et est facilement soluble dans l'éthanol de méthanol d'eau et le chloroforme.
Zebeta est disponible sous forme de comprimés de 5 et 10 mg pour l'administration orale.
Les ingrédients inactifs incluent le dioxyde de silicium colloïdal Admidon de maïs crospovidone dibasique phosphate hypromellose magnésium stéarate microcristallin de cellulose polyéthylène glycol polysorbate 80 et dioxyde de titane. Les comprimés de 5 mg contiennent également de l'oxyde de fer rouge et jaune.
Utilisations pour Zebeta
Zebeta est indiqué dans la gestion de l'hypertension. Il peut être utilisé seul ou en combinaison avec d'autres agents antihypertenseurs.
Dosage pour Zebeta
La dose de Zebeta doit être individualisée aux besoins du patient. La dose de départ habituelle est de 5 mg une fois par jour. Chez certains patients, 2,5 mg peuvent être une dose de départ appropriée (voir Maladie bronchospastique dans Avertissements ). Si l'effet antihypertenseur de 5 mg est inadéquat, la dose peut être augmentée à 10 mg, puis si nécessaire à 20 mg une fois par jour.
Patients souffrant de troubles rénaux ou hépatiques
Chez les patients souffrant de troubles hépatiques (hépatite ou cirrhose) ou dysfonctionnement rénal (autorisation de créatinine inférieure à 40 ml / min), la dose quotidienne initiale doit être de 2,5 mg et la prudence doit être utilisée dans la dose-titration. Étant donné que des données limitées suggèrent que le fumarate de bisoprolol n'est pas un remplacement de médicament dialysable n'est pas nécessaire chez les patients subissant une dialyse.
Patients gériatriques
Il n'est pas nécessaire d'ajuster la dose chez les personnes âgées, sauf s'il existe également une dysfonction rénale ou hépatique importante (voir ci-dessus et Utilisation gériatrique dans PRÉCAUTIONS ).
Qu'est-ce que l'azithromycine 200 mg utilisé pour
Patients pédiatriques
Il n'y a pas d'expérience pédiatrique avec Zebeta.
Comment fourni
CEVET ® (Fumarate de bisoprolol) est fourni comme 5 mg et 10 mg de comprimés.
Le 5 mg La tablette est en forme de film en forme de cœur rose enduit de film verticalement noté en deux des deux côtés avec un B / stylisé stylisé gravé B / stylisé d'un côté et 6/0 sur le côté inverse fourni comme suit:
30 NDC 51285-060-01
Le 10 mg La tablette est en revanche de film en forme de cœur en forme de cœur avec un B stylisé gravé d'un côté et 61 sur le côté inverse fourni comme suit:
30 NDC 51285-061-01
Stocker à 20 à 25 ° C (68 à 77 F) [voir la température ambiante contrôlée par l'USP].
Protéger de l'humidité.
Dispenser dans des conteneurs serrés.
Distribué par: Teva Pharmaceuticals USA Inc. North Wales PA 19454. Révisé: mai 2016
Effets secondaires for Zebeta
Les données de sécurité sont disponibles chez plus de 30000 patients ou bénévoles. Les estimations de fréquence et les taux de retrait du traitement pour les événements indésirables ont été dérivées de deux études contrôlées par placebo aux États-Unis.
gel topique du phosphate de clindamycine pour l'acné
Dans l'étude, des doses de 5 10 et 20 mg de fumarate de bisoprolol ont été administrées pendant 4 semaines. Dans les doses d'étude B de 2,5 10 et 40 mg de fumarate de bisoprolol ont été administrées pendant 12 semaines. Au total, 273 patients ont été traités avec 5 à 20 mg de fumarate de bisoprolol; 132 Reçu le placebo.
Le retrait du traitement pour les événements indésirables était de 3,3% pour les patients recevant du fumarate de bisoprolol et 6,8% pour les patients sous placebo. Les retraits étaient inférieurs à 1% pour la bradycardie ou la fatigue / manque d'énergie.
Le followdansg table presents adverse experiences whether or not considered drug related reported dans at least 1% of patients dans these studies for all patients studied dans placebo-controlled cldansical trials (2.5- 40 mg) as well as for a subgroup that was treated with doses withdans the recommended dosage range (5- 20 mg). Of the adverse events listed dans the table bradycardia diarrhée asthenia fatigue et sdansusitis appear to be dose related.
| Système corporel / Expérience défavorable | Toutes les expériences défavorables (%) Fumarate de bisoprolol | ||
| Placebo (n = 132) % | 5-20 mg (n = 273) % | 2,5-40 mg (n = 404) % | |
| Peau | |||
| danscreased sweatdansg | 1.5 | 0.7 | 1.0 |
| Musculo-squelettique | |||
| arthralgie | 2.3 | 2.2 | 2.7 |
| Système nerveux central | |||
| vertiges | 3.8 | 2.9 | 3.5 |
| headache | 11.4 | 8.8 | 10.9 |
| hypoaesthesia | 0.8 | 1.1 | 1.5 |
| Système nerveux autonome | |||
| bouche sèche | 1.5 | 0.7 | 1.3 |
| Fréquence cardiaque / rythme | |||
| bradycardia | 0 | 0.4 | 0.5 |
| Psychiatrique | |||
| vivid dreams | 0 | 0 | 0 |
| danssomnia | 2.3 | 1.5 | 2.5 |
| dépression | 0.8 | 0 | 0.2 |
| Gastro-intestinal | |||
| diarrhée | 1.5 | 2.6 | 3.5 |
| nausée | 1.5 | 1.5 | 2.2 |
| vomissement | 0 | 1.1 | 1.5 |
| Respiratoire | |||
| bronchospasm | 0 | 0 | 0 |
| cough | 4.5 | 2.6 | 2.5 |
| dyspnea | 0.8 | 1.1 | 1.5 |
| pharyngitis | 2.3 | 2.2 | 2.2 |
| rhdansitis | 3.0 | 2.9 | 4.0 |
| sdansusitis | 1.5 | 2.2 | 2.2 |
| URI | 3.8 | 4.8 | 5.0 |
| Le corps dans son ensemble | |||
| asthenia | 0 | 0.4 | 1.5 |
| chest padans | 0.8 | 1.1 | 1.5 |
| fatigue | 1.5 | 6.6 | 8.2 |
| edema (peripheral) | 3.8 | 3.7 | 3.0 |
| * pourcentage de patients avec un événement |
Le followdansg is a comprehensive list of adverse experiences reported with bisoprolol fumarate dans worldwide studies or dans postmarketdansg experience (dans italics):
Système nerveux central
Vertiges déséquilibre vertige syncope maux de tête patesthésie hypoesthésie hyperesthsie somnolence troubles du sommeil anxiété/restlessness decreased concentration/memory.
Système nerveux autonome
Bouche sèche.
Cardiovasculaire
Bradycardia Palpitations et autres perturbations du rythme Extrémités froides Claudication Hypotension Hypotension orthostatique Douleur thoracique Insuffisance cardiaque congestive Dyspnée à l'effort.
Psychiatrique
Rêves vifs Insomnie Dépression.
Gastro-intestinal
Gastric gastrique / épigastrique / abdominal Gastrite Dyspepsie Nausée Vomit de diarrhée Constipation Ulcère peptique.
Musculo-squelettique
Douleurs musculaires / articulaires arthralgie Douleur arrière / cou Muscle Cramps Twitching / Tremor.
Peau
Eczéma à acné téméraire psoriasis Irritation cutanée Prurit Flushing Transir Alopécie Dermatite Angio-œdème exfoliatif Dermatite vascularite cutanée.
Sens spéciaux
Perturbations visuelles Douleur oculaire / pression CNACRIMATION ANNORME diminution de l'audience Le mal d'oreille a un goût d'anomalies.
Métabolique
Goutte.
Respiratoire
Asthme / bronchospasme Bronchite toussant la dyspnée de la dyspnée rhinite sinusite uri.
Génito-urinaire
Diminution de la libido / impuissance La maladie de Peyronie Cystite Renale Colic Polyurie.
Spray nasal B12 sur le comptoir
Hématologique
Purpura.
Général
Fatigue Asthénie poitrine douleur malaise œdème de poids gain de poids angio-œdème.
De plus, une variété d'effets indésirables ont été signalés avec d'autres agents de blocage bêta-adrénergique et doivent être considérés comme des effets indésirables potentiels de la zébeta:
Système nerveux central
La dépression mentale réversible progressant vers les hallucinations de la catatonie Un syndrome réversible aigu caractérisé par une désorientation au temps et à la place émotionnelle du sensorium légèrement obscurci.
Allergique
La fièvre combinée à la détresse respiratoire du laryngospasme douloureux et mal de gorge.
Hématologique
Agranulocytose thrombocytopénie thrombocytopénique purpura.
Gastro-intestinal
Thrombose artérielle mésentérique colite ischémique.
Divers
Le oculomucocutaneous syndrome associated with the beta-blocker practolol has not been reported with CEVET (Fumarate de bisoprolol) durdansg dansvestigational use or extensive foreign marketdansg experience.
Anomalies de laboratoire
Dans les essais cliniques, le changement de laboratoire le plus fréquemment signalé était une augmentation des triglycérides sériques, mais ce n'était pas une constatation cohérente.
Des anomalies de test hépatique sporadique ont été signalées. Aux États-Unis, l'expérience des essais contrôlées avec le traitement du fumarate de bisoprolol pendant 4 à 12 semaines, l'incidence des élévations concomitantes du SGOT et du SGPT de 1 à 2 fois normal était de 3,9% contre 2,5% pour le placebo. Aucun patient n'avait d'élévations concomitantes supérieures à deux fois normales.
Dans l'expérience non contrôlée à long terme avec le traitement du fumarate de bisoprolol pendant 6 à 18 mois, l'incidence d'une ou plusieurs élévations concomitantes dans SGOT et SGPT de 1 à 2 fois normal était de 6,2%. L'incidence de plusieurs occurrences était de 1,9%. Pour les élévations concomitantes de SGOT et SGPT de plus de deux fois normale, l'incidence était de 1,5%. L'incidence de plusieurs occurrences était de 0,3%. Dans de nombreux cas, ces élévations ont été attribuées à des troubles sous-jacentes ou résolues pendant le traitement continu avec du fumarate de bisoprolol.
D'autres changements de laboratoire ont inclus de petites augmentations de la créatinine urique de créatinine BUN sérique de glucose et du phosphore et des diminutions de WBC et de plaquettes. Ceux-ci n'étaient généralement pas d'une importance clinique et entraînaient rarement l'arrêt du fumarate de bisoprolol.
Comme pour les autres bêta-bloquants, des conversions ana ont également été signalées sur le fumarate de bisoprolol. Environ 15% des patients dans des études à long terme se sont convertis en un titre positif, bien qu'environ un tiers de ces patients se soient rénovés par la suite en un titre négatif tout en étant sur une thérapie continue.
Interactions médicamenteuses for Zebeta
CEVET should not be combdansed with other beta-blockdansg agents. Patients receivdansg catecholamdansedepletdansg drugs such as reserpdanse or guanethiddanse should be closely monitored because the added beta-adrenergic blockdansg action of CEVET may produce excessive reduction of sympathetic activity. In patients receivdansg concurrent therapy with cloniddanse if therapy is to be discontdansued it is suggested that CEVET be discontdansued for several days before the withdrawal of cloniddanse.
CEVET should be used with care when myocardial depressants or danshibitors of AV conduction such as certadans calcium antagonists (particularly of the phenylalkylamdanse [verapamil] et benzothiazepdanse [diltiazem] classes) or antiarrhythmic agents such as disopyramide are used concurrently.
Les glycosides numériques et les bêta-bloquants ralentissent la conduction autrioventriculaire et diminuent la fréquence cardiaque. L'utilisation concomitante peut augmenter le risque de bradycardie.
L'utilisation concomitante de la rifampine augmente la clairance métabolique de Zebeta entraînant une demi-vie d'élimination raccourcie de Zebeta. Cependant, la modification initiale de la dose n'est généralement pas nécessaire. Les études pharmacocinétiques ne documentent pas d'interactions cliniquement pertinentes avec d'autres agents, incluant concomitamment les diurétiques thiazide et la cimétidine. Il n'y a eu aucun effet de Zebeta sur le temps de prothrombine chez les patients sur des doses stables de warfarine.
Avertissements for Zebeta
Insuffisance cardiaque
La stimulation sympathique est un composant vital soutenant la fonction circulatoire dans le cadre de l'insuffisance cardiaque congestive et de la bêta-blockade peut entraîner une dépression supplémentaire de la contractilité myocardique et précipiter une défaillance plus grave. En général, les agents de blocage bêta doivent être évités chez les patients atteints de défaillance congestive manifeste. Cependant, chez certains patients atteints d'insuffisance cardiaque compensée, il peut être nécessaire de les utiliser. Dans une telle situation, ils doivent être utilisés avec prudence.
Chez les patients sans antécédents d'insuffisance cardiaque
La dépression continue du myocarde avec des bêta-bloquants peut chez certains patients précipiter l'insuffisance cardiaque. Aux premiers signes ou symptômes d'insuffisance cardiaque, l'arrêt de la Zebeta doit être pris en considération. Dans certains cas, le traitement par bêta-bloquant peut être poursuivi pendant que l'insuffisance cardiaque est traitée avec d'autres médicaments.
Cessation brusque de la thérapie
L'exacerbation de l'angine de poitrine et dans certains cas d'infarctus du myocarde ou d'arythmie ventriculaire a été observée chez les patients atteints d'une maladie coronarienne après une cessation abrupte du traitement avec des bêta-bloquants. Ces patients devraient donc être mis en garde contre l'interruption ou l'arrêt du traitement sans les conseils du médecin. Même chez les patients sans maladie coronarienne manifeste, il peut être conseillé de réduire le traitement avec Zebeta sur environ une semaine avec le patient sous une observation attentive. Si les symptômes de sevrage se produisent sur le traitement du zebeta doivent être rétablis au moins temporairement.
Maladie vasculaire périphérique
Les bêta-bloquants peuvent précipiter ou aggraver les symptômes de l'insuffisance artérielle chez les patients atteints de maladie vasculaire périphérique. La prudence doit être exercée chez ces individus.
Maladie bronchospastique
Les patients atteints d'une maladie bronchospastique devraient en général ne pas recevoir de bêta-bloquants. À cause de sa bêta relative 1 -Sélectivité Cependant, Zebeta peut être utilisée avec prudence chez les patients atteints d'une maladie bronchospastique qui ne répondent pas ou qui ne peuvent pas tolérer un autre traitement antihypertenseur. Depuis bêta 1 - La sélectivité n'est pas absolue, la dose la plus faible possible de Zebeta doit être utilisée avec un traitement à partir de 2,5 mg. Une version bêta 2 L'agoniste (bronchodilatateur) doit être mis à disposition.
Chirurgie majeure
La thérapie bêta administrée chronique ne doit pas être systématiquement retirée avant la chirurgie majeure; Cependant, la capacité altérée du cœur à répondre aux stimuli adrénergiques réflexes peut augmenter les risques de l'anesthésie générale et des procédures chirurgicales.
Diabète et hypoglycémie
Les bêta-bloquants peuvent masquer certaines des manifestations de l'hypoglycémie, en particulier la tachycardie. Les bêta-bloquants non sélectifs peuvent potentialiser l'hypoglycémie induite par l'insuline et retarder la récupération des taux sériques de glucose. À cause de sa version bêta 1 -Sélectivité Cela est moins probable avec Zebeta. Cependant, les patients soumis à une hypoglycémie spontanée ou à des patients diabétiques recevant de l'insuline ou des agents hypoglycémiques oraux doivent être mis en garde contre ces possibilités et le fumarate de bisoprolol doit être utilisé avec prudence.
Thyrotoxicose
Le blocage bêta-adrénergique peut masquer les signes cliniques d'hyperthyroïdie tels que la tachycardie. Un retrait brusque de la bêta-blockade peut être suivi d'une exacerbation des symptômes de l'hyperthyroïdie ou peut précipiter la tempête thyroïdienne.
Précautions for Zebeta
Fonction rénale ou hépatique altérée
Faire preuve de prudence pour ajuster la dose de Zebeta chez les patients souffrant de troubles rénaux ou hépatiques (voir Pharmacologie clinique et Posologie et administration ).
Risque de réaction anaphylactique
Tout en prenant des bêta-bloquants ayant des antécédents de réaction anaphylactique sévère à une variété d'allergènes peut être plus réactif au défi répété, soit un diagnostic accidentel ou thérapeutique. Ces patients peuvent ne pas répondre aux doses habituelles d'épinéphrine utilisées pour traiter les réactions allergiques.
Comment est le vaccin contre la rage
Carcinogenèse Mutagenèse A trouble de la fertilité
Des études à long terme ont été menées avec du fumarate bisoprolol oral administré dans l'alimentation des souris (20 et 24 mois) et des rats (26 mois). Aucune preuve de potentiel cancérigène n'a été observée chez des souris dosées jusqu'à 250 mg / kg / jour ou des rats dosés jusqu'à 125 mg / kg / jour. Sur la base du poids corporel, ces doses sont respectivement de 625 et 312 fois la dose humaine maximale recommandée (MRHD) de 20 mg (ou 0,4 mg / kg / jour sur la base d'un individu de 50 kg); Sur une surface corporelle, ces doses sont 59 fois (souris) et 64 fois (rats) le MRHD. Le potentiel mutagène du fumarate de bisoprolol a été évalué dans le test de mutagénicité microbienne (AMES) La mutation ponctuelle et les tests d'aberration chromosomique dans les cellules V79 du hamster chinois V79 Le test de synthèse d'ADN non planifiée Le test du micronucléus chez la souris et le test de cytogénénetique chez le rat. Il n'y avait aucune preuve de potentiel mutagène dans ces dans vitro et dans vivo tests.
Des études de reproduction chez le rat n'ont montré aucune altération de la fertilité à des doses allant jusqu'à 150 mg / kg / jour de fumarate de bisoprolol ou 375 et 77 fois le MRHD sur la base du poids corporel et de la surface corporelle respectivement.
Catégorie de grossesse C
Chez le rat, le fumarate de bisoprolol n'était pas tératogène à des doses allant jusqu'à 150 mg / kg / jour, ce qui est respectivement 375 et 77 fois le MRHD sur la base du poids corporel et de la surface corporelle respectivement. Le fumarate de bisoprolol était fétotoxique (augmentation des résorption tardive) à 50 mg / kg / jour et maternotoxique (diminution de l'apport alimentaire et gain de poids corporel) à 150 mg / kg / jour. La fétotoxicité chez le rat s'est produite à 125 fois la MRHD sur une base corporelle et 26 fois le MRHD sur la base de la surface du corps. La maternotoxicité s'est produite à 375 fois la MRHD sur une base corporelle et 77 fois le MRHD sur la base de la surface du corps. Chez les lapins, le fumarate de bisoprolol n'était pas tératogène à des doses allant jusqu'à 12,5 mg / kg / jour, soit 31 et 12 fois le MRHD en fonction du poids corporel et de la surface corporelle respectivement mais était embryolethal (augmentation des résorption précoce) à 12,5 mg / kg / jour.
Lere are no adequate et well-controlled studies dans pregnant women. CEVET (Fumarate de bisoprolol) should be used durdansg pregnancy only if the potential benefit justifies the potential risk to the fetus.
Mères qui allaitent
Petites quantités de fumarate de bisoprolol ( <2% of the dose) have been detected dans the milk of lactatdansg rats. It is not known whether this drug is excreted dans human milk. Because many drugs are excreted dans human milk caution should be exercised when bisoprolol fumarate is admdansistered to nursdansg women.
Usage pédiatrique
La sécurité et l'efficacité des patients pédiatriques n'ont pas été établies.
Utilisation gériatrique
CEVET has been used dans elderly patients with hypertension. Response rates et mean decreases dans systolic et diastolic blood pressure were similar to the decreases dans younger patients dans the U.S. cldansical studies. Although no dose response study was conducted dans elderly patients there was a tendency for older patients to be madanstadansed on higher doses of bisoprolol fumarate.
Les réductions observées de la fréquence cardiaque étaient légèrement plus importantes chez les personnes âgées que chez les jeunes et avaient tendance à augmenter avec une dose croissante. En général, aucune disparité dans les rapports d'expérience défavorables ou décrocheurs pour des raisons de sécurité n'a été observée entre les patients plus âgés et plus jeunes. L'ajustement de la dose basé sur l'âge n'est pas nécessaire.
Informations sur la surdose pour Zebeta
Le most common signs expected with overdosage of a beta-blocker are bradycardia hypotension insuffisance cardiaque congestive bronchospasm et hypoglycémie. To date a few cases of overdose (maximum: 2000 mg) with bisoprolol fumarate have been reported. Bradycardie et/or hypotension were noted. Sympathomimetic agents were given dans some cases et all patients recovered.
En général, si un surdosage se produit le traitement au zébeta doit être arrêté et un traitement favorable et symptomatique doit être fourni. Des données limitées suggèrent que le fumarate de bisoprolol n'est pas dialysable. Sur la base des actions pharmacologiques attendues et des recommandations pour les autres bêta-bloquants, les mesures générales suivantes doivent être prises en compte lorsqu'ils sont cliniquement justifiés:
Bradycardie
Administrer IV atropine. Si la réponse est un isoprotérénol inadéquate ou un autre agent aux propriétés chronotropes positives peut être donné avec prudence. Dans certaines circonstances, une insertion transvensuelle du stimulateur cardiaque peut être nécessaire.
Hypotension
Les liquides IV et les vasopresseurs doivent être administrés. Le glucagon intraveineux peut être utile.
Bloc cardiaque (deuxième ou troisième degré)
Les patients doivent être soigneusement surveillés et traités avec une perfusion d'isoprotérénol ou une insertion transvente du stimulateur cardiaque, le cas échéant.
Insuffisance cardiaque congestive
Initier la thérapie conventionnelle (c.-à-d. Digitalis Diurétiques Agents inotropes Agents vasodilatants).
Bronchospasme
Administrer le traitement des bronchodilatateurs tels que l'isoprotérénol et / ou l'aminophylline.
Hypoglycémie
Administrer le glucose IV.
Contre-indications pour Zebeta
CEVET is contradansdicated dans patients with cardiogenic shock overt cardiac failure second or third degree AV block et marked sdansus bradycardia.
Pharmacologie clinique for Zebeta
CEVET is a beta -selective (cardioselective) adrenoceptor blockdansg agent without significant membrane stabilizdansg activity or danstrdanssic sympathomimetic activity dans its therapeutic dosage range. Cardioselectivity is not absolute however et at higher doses ( ≥ 20 mg) bisoprolol fumarate also danshibits beta 2 -Adréprètes principalement situées dans la musculature bronchique et vasculaire; Pour conserver la sélectivité, il est donc important d'utiliser la dose efficace la plus faible.
Pharmacocinétique et métabolisme
Le absolute bioavailability after a 10 mg oral dose of bisoprolol fumarate is about 80%. Absorption is not affected by the presence of food. Le first pass metabolism of bisoprolol fumarate is about 20%. not affected by the presence of food. Le first pass metabolism of bisoprolol fumarate is about 20%. Bdansddansg to serum protedanss is approximately 30%. Peak plasma concentrations occur withdans 2-4 hours of dosdansg with 5 to 20 mg et mean peak values range from 16 ng/mL at 5 mg to 70 ng/mL at 20 mg. Once daily dosdansg with bisoprolol fumarate results dans less than twofold danstersubject variation dans peak plasma levels. Le plasma elimdansation half-life is 9-12 hours et is slightly longer dans elderly patients dans part because of decreased renal function dans that population. Steady state is attadansed withdans 5 days of once daily dosdansg. In both young et elderly populations plasma accumulation is low; the accumulation factor ranges from 1.1 to 1.3 et is what would be expected from the first order kdansetics et once daily dosdansg. Plasma concentrations are proportional to the admdansistered dose dans the range of 5 to 20 mg. Pharmacokdansetic characteristics of the two enantiomers are similar.
Le fumarate de bisoprolol est éliminé également par des voies rénales et non rénales avec environ 50% de la dose apparaissant inchangée dans l'urine et le reste apparaissant sous forme de métabolites inactifs. Chez l'homme, les métabolites connus sont labiles ou n'ont aucune activité pharmacologique connue. Moins de 2% de la dose est excrétée dans les excréments. Le fumarate de bisoprolol n'est pas métabolisé par le cytochrome P450 II D6 (débrisoquin hydroxylase).
Chez les sujets présentant une clairance de la créatine inférieure à 40 ml / min, la demi-vie plasmatique est augmentée en trois fois par rapport aux sujets sains.
Chez les patients atteints de cirrhose du foie, l'élimination du zébeta (fumarate de bisoprolol) est plus variable en vitesse et significativement plus lente que celle chez des sujets sains avec une demi-vie plasmatique allant de 8,3 à 21,7 heures.
Pharmacodynamique
Le most promdansent effect of CEVET is the negative chronotropic effect resultdansg dans a reduction dans restdansg et exercise heart rate. Lere is a fall dans restdansg et exercise cardiac output with little observed change dans stroke volume et only a small danscrease dans right atrial pressure or pulmonary capillary wedge pressure at rest or durdansg exercise.
Les résultats des études d'hémodynamique clinique à court terme avec Zebeta sont similaires à ceux observés avec d'autres agents de blocage bêta.
Le mechanism of action of its antihypertensive effects has not been completely established. Factors which may be dansvolved dansclude:
- Diminution du débit cardiaque
- Inhibition de la libération de rénine par les reins
- Diminution de l'écoulement sympathique tonique des centres vasomoteurs dans le cerveau.
Dans les volontaires normaux, le traitement par Zebeta a entraîné une réduction de la tachycardie induite par l'exercice et l'isoprotérénol. L'effet maximal s'est produit dans les 1 à 4 heures après la possibilité. Les effets ont persisté pendant 24 heures à des doses égales ou supérieures à 5 mg.
Des études d'électrophysiologie chez l'homme ont démontré que le zebeta diminue considérablement la fréquence cardiaque augmente le temps de récupération des nœuds sinusaux prolonge les périodes réfractaires du nœud AV et avec une stimulation auriculaire rapide prolonge la conduction nodale AV.
Bêta 1 - La sélectivité de Zebeta a été démontrée dans les études animales et humaines. Aucun effet sur les doses thérapeutiques sur la densité bêta-adréncepteur n'a été observé. Des études sur la fonction pulmonaire ont été menées dans des volontaires sains et des patients atteints d'une maladie pulmonaire obstructive chronique (MPOC). Les doses de zebeta variaient de 5 à 60 mg d'aténolol de 50 à 200 mg de métoprolol de 100 à 200 mg et de propranolol de 40 à 80 mg. Dans certaines études, de légères augmentations asymptomatiques de la résistance des voies respiratoires (AWR) et diminuent du volume expiratoire forcé (FEV 1 ) ont été observés avec des doses de fumarate de bisoprolol 20 mg et plus élevés similaires aux petites augmentations de l'AWR également notées avec les autres bêta-bloquants cardiosélectifs. Les changements induits par la bêta-blockade avec tous les agents ont été inversés par le traitement des bronchodilatateurs.
CEVET had mdansimal effect on serum lipids durdansg antihypertensive studies. In U.S. placebo-controlled trials changes dans total cholesterol averaged +0.8% for bisoprolol fumarate-treated patients et +0.7% for placebo. Changes dans triglycerides averaged +19% for bisoprolol fumarate-treated patients et +17% for placebo.
losartan 50 mg comprimés effets secondaires
CEVET (Fumarate de bisoprolol) has also been given concomitantly with thiazide diuretics. Even very low doses of hydrochlorothiazide (6.25 mg) were found to be additive with bisoprolol fumarate dans lowerdansg blood pressure dans patients with mild-to-moderate hypertension.
Études cliniques
Dans deux essais randomisés à double aveugle contrôlé par placebo effectués aux États-Unis, les réductions de la pression artérielle systolique et diastolique et la fréquence cardiaque 24 heures après le dosage chez les patients souffrant d'hypertension légère à modérée sont présentées ci-dessous. Dans les deux études, les pressions sanguines systolique / diastoliques moyennes au départ étaient d'environ 150/100 mm Hg et la fréquence cardiaque moyenne était de 76 bpm. L'effet du médicament est calculé en soustrayant l'effet placebo de la variation globale de la pression artérielle et de la fréquence cardiaque.
La pression systolique / diastolique (PA) assis et la fréquence cardiaque (HR) signifient la diminution (D) après 3 à 4 semaines
| Étudier un | Fumarate de bisoprolol | |||
| Placebo | 5 mg | 10 mg | 20 mg | |
| n = | 61 | 61 | 61 | 61 |
| ΔBP total (mm Hg) | 5.4 / 3.2 | 10.4 / 8.0 | 11.2 / 10.9 | 12.8 / 11.9 |
| Effet de médicament * | - | 5.0 / 4.8 | 5.8 / 7.7 | 7.4 / 8.7 |
| ΔHR total (bpm) | 0.5 | 7.2 | 8.7 | 11.3 |
| Effet de médicament * | - | 6.7 | 8.2 | 10.8 |
| Étude b | Fumarate de bisoprolol | |||
| Placebo | 2,5 mg | 10 mg | ||
| n = | 56 | 59 | 62 | |
| ΔBP total (mm Hg) | 3.0 / 3.7 | 7.6 / 8.1 | 13.5 / 11.2 | |
| Effet de médicament * | - | 4.6 / 4.4 | 10.5 / 7.5 | |
| ΔHR total (bpm) | 1.6 | 3.8 | 10.7 | |
| Effet de médicament * | - | 2.2 | 9.1 | |
| * Changement total observé par rapport à la ligne de base moins placebo. |
Des réponses à la pression artérielle ont été observées dans la semaine suivant le traitement et ont peu changé par la suite. Ils ont été maintenus pendant 12 semaines et pendant plus d'un an dans des études de plus longue durée. La pression artérielle est revenue à la référence lorsque le fumarate de bisoprolol a été effilé sur deux semaines dans une étude à long terme.
Dans l'ensemble, des réductions de pression artérielle significativement plus importantes ont été observées sur le fumarate de bisoprolol que sur le placebo, quel que soit l'âge de race ou le sexe. Il n'y avait aucune différence significative de réponse entre les patients noirs et non noirs.
Informations sur les patients pour Zebeta
Les patients en particulier ceux qui souffrent d'une maladie coronarienne doivent être avertis de l'arrêt de l'utilisation de Zebeta sans la supervision d'un médecin. Il faut également conseiller aux patients de consulter un médecin si une difficulté de respiration se produit ou s'ils développent des signes ou des symptômes de insuffisance cardiaque congestive ou une bradycardie excessive.
Patients soumis à un spontané hypoglycémie ou les patients diabétiques recevant de l'insuline ou des agents hypoglycémiques oraux doivent être avertis que les bêta-bloquants peuvent masquer certaines des manifestations de l'hypoglycémie, en particulier la tachycardie et le fumarate de bisoprolol, il faut être utilisé avec prudence. Les patients doivent savoir comment ils réagissent à ce médicament avant d'opérer des automobiles et des machines ou de s'engager dans d'autres tâches nécessitant une vigilance.