Les Informations Présentées Sur Ce Site Ne Constituent Pas Un Avis Médical. Nous Ne Vendons Rien. L'Exactitude De La Traduction N'Est Pas Garantie. Clause De Non-Responsabilité



Aimovig

Résumé

Qu'est-ce que Aimovig?

L'injection d'Aivig (Erenumab-AOOE) est un antagoniste des récepteurs peptidiques liés au gène de la calcitonine indiqués pour le traitement préventif de la migraine chez l'adulte.

Quels sont les effets secondaires de l'Aimovig?

Les effets secondaires courants de l'Aimovig comprennent:



  • Réactions du site d'injection (douleur ou rougeur)
  • constipation et
  • spasmes musculaires ou
  • crampes

Cherchez des soins médicaux ou appelez le 911 à la fois si vous avez les effets secondaires graves suivants:



  • Des symptômes oculaires graves tels que la perte de vision soudaine floue du tunnel de vision de la vision de la vision des yeux ou de l'enflure ou de voir des halos autour des lumières;
  • Symptômes cardiaques graves tels que les battements cardiaques rapides ou battants; flotter dans votre poitrine; essoufflement; et des étourdissements soudains, de la légèreté ou de l'évanouissement;
  • Maux de tête sévères Confusion Slurred Speech Bras ou Ligne Proulitude Trouble de la merde Perte de coordination Sentiment des muscles très rigides très rigides Fièvre élevée Propice ou des tremblements.

Ce document ne contient pas tous les effets secondaires possibles et d'autres peuvent survenir. Vérifiez auprès de votre médecin des informations supplémentaires sur les effets secondaires.

Dosage pour Aimovig

La dose recommandée de l'Aimovig est de 70 mg une fois par mois; Certains patients peuvent bénéficier d'une dose de 140 mg une fois par mois, qui est administrée comme deux injections sous-cutanées consécutives de 70 mg chacune.



Quelles substances ou suppléments de médicaments interagissent avec Aimovig?

Aimovig peut interagir avec d'autres médicaments. Dites à votre médecin tous les médicaments et suppléments que vous utilisez.

Aimovig pendant la grossesse et l'allaitement

Dites à votre médecin si vous êtes enceinte ou prévoyez de tomber enceinte avant d'utiliser Aimovig; On ne sait pas comment cela pourrait affecter un fœtus. On ne sait pas si Aimovig passe dans le lait maternel. Consultez votre médecin avant l'allaitement.

Informations Complémentaires

Notre injection AIMOVIG (Erenumab-AOOE) pour le centre de médicaments à effet secondaire à usage sous-cutané offre une vue complète des informations de médicament disponibles sur les effets secondaires potentiels lors de la prise de ce médicament.

Informations sur les médicaments de la FDA

Description de Aimovig

Erenumab-AOOE est un anticorps monoclonal d'immunoglobuline G2 (IgG2) humain qui a une liaison à une forte affinité au récepteur du peptide lié au gène de la calcitonine. Erenumab-AOOE est produit en utilisant la technologie d'ADN recombinant dans les cellules d'ovaire de hamster chinois (CHO). Il est composé de 2 chaînes lourdes contenant chacune 456 acides aminés et 2 chaînes légères de la sous-classe lambda contenant chacune 216 acides aminés avec un poids moléculaire approximatif de 150 kDa.

L'injection d'Aivig (Erenumab-AOOE) est fournie comme un conservateur stérile transparent à l'opalescent incolore à une solution jaune clair pour l'administration sous-cutanée. Chaque auto-injecteur à dose unique de 1 ml et une seringue en verre pré-remplie à dose unique contient 70 mg d'acétate d'érénumab-aooe (NULL,5 mg) de polysorbate 80 (NULL,10 mg) et de saccharose (73 mg). Il y a une auto-injecteur se trouve une seringue en verre préreadis à dose unique. La solution de Aimovig a un pH de 5,2.

Utilisations pour Aimovig

Aimovig est indiqué pour le traitement préventif de la migraine chez l'adulte.

comprimés Amox-Clav 875 mg

Dosage pour Aimovig

Dosage recommandé

La dose recommandée d'Aimovig est injectée de 70 mg par voie sous-cutanée une fois mensuellement. Certains patients peuvent bénéficier d'une dose de 140 mg injectée par voie sous-cutanée une fois par mois.

Si une dose de Aimovig est manquée, administrez le plus tôt possible. Par la suite, Aimovig peut être programmé mensuellement à partir de la date de la dernière dose.

Instructions d'administration importantes

Aimovig est uniquement pour une utilisation sous-cutanée.

Aimovig est destiné à l'auto-administration des patients. Avant d'utiliser, fournir une formation appropriée aux patients et / ou aux soignants sur la façon de préparer et d'administrer AIMOVIG en utilisant l'auto-injecteur préfabillé à dose unique ou une seringue pré-remplie à dose, y compris la technique aseptique [voir Instructions pour une utilisation ]::

  • Avant l'administration sous-cutanée, permettez à Aimovig de s'asseoir à température ambiante pendant au moins 30 minutes protégée de la lumière directe du soleil [voir Comment fourni ]. Ceci est important pour administrer la dose entière et aide à minimiser l'inconfort. Ne réchauffez pas en utilisant une source de chaleur telle que l'eau chaude ou un micro-ondes.
  • Ne secouez pas le produit.
  • Inspecter visuellement les particules et la décoloration avant l'administration [voir Formes et forces posologiques ]. N'utilisez pas si la solution est nuageuse ou décolorée ou contient des flocons ou des particules.
  • Administrer Aimovig dans la cuisse de l'abdomen ou le bras supérieur par voie sous-cutanée. Ne vous injectez pas dans les zones où la peau est souturée ou dure.
  • L'auto-injecteur prérempli et la seringue pré-remplie sont une seule dose et livrent l'intégralité du contenu.

Comment fourni

Formes et forces posologiques

Aimovig est une solution stérile claire à opalescent incolore à jaune clair disponible comme suit:

  • Injection : 70 mg / ml dans un suréclick préfabillé à dose unique ® auto-injecteur
  • Injection : 140 mg / ml dans un suréclick préfabriqué à dose unique ® auto-injecteur
  • Injection : 70 mg / ml dans une seringue préremparée à dose unique
  • Injection : 140 mg / ml dans une seringue préreadis à dose unique

Aimovig (Erenumab-AOOE) L'injection est une solution stérile claire à opalescent à l'opales pour l'administration sous-cutanée.

Aimovig Les auto-injecteurs préremplies et les seringues préremplies ne sont pas fabriquées avec du latex en caoutchouc naturel. Chaque sureclick pré-fixe à dose unique ® auto-injecteur ou sdansgle-dose prefilled syrdansge of Aimovig contadanss a Type 1 glass syrdansge et stadansless steel needle et delivers 1 mL of 70 mg / ml ou 140 mg / ml solution.

Aimovig est fourni comme suit:

Sucre ® Auto-injecteur
  • Emballage de 1 auto-injecteur: 70 mg / ml d'auto-injecteur pré-rempli à dose NDC 55513-841-01
  • Paquet de 1 auto-injecteur: 140 mg / ml d'auto-injecteur pré-rempli à dose NDC 55513-843-01
Seringue
  • Pack de 1 seringue: 70 mg / ml NDC 55513-840-01
  • Pack de 1 seringue: 140 mg / ml NDC 55513-842-01

Stockage et manipulation

  • Conservez le réfrigéré à 2 ° C à 8 ° C (36 ° F à 46 ° F) dans le carton d'origine pour protéger de la lumière jusqu'au temps d'utilisation.
  • S'il est retiré du réfrigérateur, qu'Imovig doit être conservé à température ambiante (jusqu'à 25 ° C [77 ° F]) dans le carton d'origine et doit être utilisé dans les 7 jours. Jetez Aimovig qui a été laissé à température ambiante pendant plus de 7 jours.
  • Ne congelez pas.
  • Ne secouez pas.

Fabriqué par: Amgen Inc. One Amgen Center Drive Thousand Oaks California 91320-1799. Révisé: juil 2024

Effets secondaires pour Aimovig

Les réactions indésirables graves suivantes sont décrites ci-dessous et ailleurs dans l'étiquetage:

  • Réactions d'hypersensibilité [voir Avertissements et précautions ]
  • Constipation avec de graves complications [voir Avertissements et précautions ]
  • Hypertension [voir Avertissements et précautions ]
  • Phénomène de Raynaud [voir Avertissements et précautions ]

Expérience des essais cliniques

Étant donné que les essais cliniques sont menés dans des conditions de réaction indésirables très variables observées dans les essais cliniques d'un médicament ne peuvent pas être directement comparées aux taux dans les essais cliniques d'un autre médicament et peuvent ne pas refléter les taux observés dans la pratique clinique.

La sécurité de l'Aimovig a été évaluée chez 2537 patients atteints de migraine qui ont reçu au moins une dose d'AIMOVIG représentant 3040,2 années d'exposition aux patients. Sur ces 2271 patients ont été exposés à 70 mg ou 140 mg une fois par mois pendant au moins 6 mois 1305 patients ont été exposés pendant au moins 12 mois et 216 patients ont été exposés pendant 5 ans.

Dans les études cliniques contrôlées par placebo (études 1 2 et 3) sur 2184 patients 787 patients ont reçu au moins une dose d'Aimovig 70 mg une fois que 507 patients ont reçu au moins une dose de 40 mg d'AIMOVIG une fois par mois et 890 patients ont reçu un placebo pendant 3 mois ou 6 mois de traitement à double coup [voir [voir Études cliniques ]. Environ 84% étaient des femmes à 91% étaient blanches et l'âge moyen était de 42 ans à l'entrée de l'étude.

Les réactions indésirables les plus courantes (incidence ≥ 3% et plus souvent que le placebo) dans les études de migraine étaient les réactions et la constipation du site d'injection. Le tableau 1 résume les effets indésirables qui se sont produits au cours des 3 premiers mois dans les études de migraine (études 1 2 et 3).

Tableau 1: Réactions indésirables survenant avec une incidence d'au moins 2% pour l'une ou l'autre dose de Aimovig et au moins 2% supérieure à celle du placebo au cours des 3 premiers mois dans les études 1 2 et 3

Réaction indésirable Aimovig
70 mg une fois par mois
N = 787
%
Aimovig
140 mg une fois par mois
N = 507
%
Placebo
N = 890
%
Injection site reactions AB 6 5 3
Constipation 1 3 1
Crampes spasmes musculaires <1 2 <1
a Injection site reactions dansclude multiple adverse reactions related terms such as dansjection site padans et dansjection site erythema.
b Le taux de réactions du site d'injection rapportées dans le tableau 1 est avec la seringue prérempillée.

Dans les études 1 2 et 3, 1,3% des patients traités par Aimovig 70 mg ou 140 mg ont interrompu un traitement en double aveugle en raison d'événements indésirables. Les réactions du site d'injection les plus fréquentes étaient le site d'injection du site d'injection du site d'injection et le prurit du site d'injection.

Expérience de commercialisation de la poste

Les effets indésirables suivants ont été identifiés lors de l'utilisation post-approbation de l'AIMOVIG. Étant donné que ces réactions sont rapportées volontairement d'une population de taille incertaine, il n'est pas toujours possible d'estimer de manière fiable leur fréquence ou d'établir une relation causale à l'exposition au médicament.

Troubles du système immunitaire : Réactions d'hypersensibilité, y compris l'œdème de l'angio-œdème et l'anaphylaxie [voir Avertissements et précautions ].

Troubles gastro-intestinaux : Constipation with serious complications [see Avertissements et précautions ] Ulcération muqueuse orale.

Troubles de la peau et des tissus sous-cutanés : Alopécie éruption.

Troubles vasculaires : Hypertension [voir Avertissements et précautions ] Phénomène de Raynaud [voir Avertissements et précautions ].

Interactions médicamenteuses pour Aimovig

Aucune information fournie

Avertissements pour Aimovig

Inclus dans le cadre du 'PRÉCAUTIONS' Section

Précautions pour Aimovig

Réactions d'hypersensibilité

Des réactions d'hypersensibilité, notamment l'œdème de l'entreprise et l'anaphylaxie, ont été signalées avec AIMOVIG dans l'expérience de la post-commercialisation. La plupart des réactions d'hypersensibilité n'étaient pas graves et se sont produites dans les heures suivant l'administration, bien que certaines se soient produites plus d'une semaine après l'administration. Si une réaction d'hypersensibilité grave ou sévère se produit, arrêtez l'administration de l'AIMOVIG et lancez une thérapie appropriée [voir Contre-indications et Informations sur les patients ].

Constipation With Serious Complications

Constipation with serious complications has been repouted followdansg the use of Aimovig dans the postmarketdansg settdansg. There were cases that required hospitalization danscluddansg cases where surgery was necessary. In a majouity of these cases the onset of constipation was repouted after the first dose of Aimovig; however patients have also presented with constipation later on dans treatment. Aimovig was discontdansued dans most repouted cases of constipation with serious complications. Constipation was one of the most common (up to 3%) adverse reactions repouted dans cldansical studies [see Effets indésirables ].

Surveiller les patients traités par Aimovig pour une constipation sévère et gérer comme cliniquement approprié [voir Informations sur les patients ]. The concurrent use of medications associated with decreased gastrodanstestdansal motility may danscrease the risk fou moue severe constipation et the potential fou constipation-related complications.

Hypertension

Le développement de l'hypertension et l'aggravation de l'hypertension préexistante ont été signalés à la suite de l'utilisation de l'AIMOVIG dans le cadre du marché postal. De nombreux patients avaient des facteurs d'hypertension préexistants ou de risque d'hypertension. Il y avait des cas nécessitant un traitement pharmacologique et, dans certains cas, l'hospitalisation. L'hypertension peut se produire à tout moment pendant le traitement, mais a été le plus souvent signalée dans les sept jours suivant l'administration de la dose. Dans la majorité des cas, le début ou l'aggravation de l'hypertension a été signalé après la première dose. Aimovig a été interrompu dans de nombreux cas signalés.

Surveiller les patients traités par AIMOVIG pour l'hypertension nouvel apparition ou l'aggravation de l'hypertension préexistante et déterminez si l'arrêt de l'AIMOVIG est justifié si l'évaluation ne parvient pas à établir une étiologie alternative.

Phénomène de Raynaud

Le développement du phénomène et la récidive de Raynaud ou l'aggravation du phénomène préexistant de Raynaud ont été signalés dans le cadre du marché postal après l'utilisation d'antagonistes du CGRP, y compris Aimovig. Dans les cas signalés avec les antagonistes du CGRP anticorps monoclonaux, le début des symptômes s'est produit une médiane de 71 jours suivant le dosage. De nombreux cas ont signalé de graves résultats, notamment les hospitalisations et l'invalidité, généralement liés à la douleur débilitante. Dans la plupart des cas signalés, l'arrêt de l'antagoniste du CGRP a entraîné une résolution des symptômes.

Aimovig should be discontdansued if signs ou symptoms of Raynaud’s phenomenon develop et patients should be evaluated by a healthcare provider if symptoms do not resolve. Patients with a histouy of Raynaud’s phenomenon should be monitoued fou et dansfoumed ABout the possibility of wousendansg ou recurrence of signs et symptoms.

Informations de conseil des patients

Conseiller au patient de lire l'étiquetage des patients approuvé par la FDA ( Informations sur les patients et Instructions fou Use ).

Informations sur la préparation et l'administration

Fournir des conseils aux patients et aux soignants sur une technique d'administration sous-cutanée appropriée, y compris la technique aseptique et comment utiliser l'auto-injecteur pré-rempli à dose ou une seringue pré-remplie à dose [voir Posologie et administration ]. Instruct patients et/ou caregivers to read et follow the Instructions fou Use each time they use Aimovig.

Conseiller aux patients de laisser Aimovig reposer à température ambiante pendant au moins 30 minutes avant l'administration [voir Posologie et administration ].

Réactions d'hypersensibilité

Conseiller aux patients de consulter des soins médicaux immédiats s'ils éprouvent des symptômes de réactions d'hypersensibilité graves ou graves [voir Avertissements et précautions ].

Constipation With Serious Complications

Informez les patients que la constipation avec de graves complications peut se produire avec Aimovig et qu'ils doivent contacter leurs prestataires de soins de santé s'ils subissent une constipation sévère [voir Avertissements et précautions )].

Hypertension

Conseiller les patients que le développement de l'hypertension et l'aggravation de l'hypertension préexistante peuvent se produire avec Aimovig et qu'ils devraient contacter leurs prestataires de soins de santé s'ils subissent une élévation de leur tension artérielle [voir Avertissements et précautions ].

Grossesse

Informez les patients qu'il existe un registre d'exposition à la grossesse qui surveille les résultats de la grossesse chez les femmes exposées à Aimovig pendant la grossesse [voir Utiliser dans des populations spécifiques ].

Phénomène de Raynaud

Informer les patients que le phénomène de Raynaud peut se développer ou s'aggraver avec Aimovig. Conseiller aux patients de cesser Aimovig et de contacter leur fournisseur de soins de santé s'ils présentent des signes ou des symptômes du phénomène de Raynaud [voir Avertissements et précautions ].

Toxicologie non clinique

Carcinogenèse Mutagenèse A trouble de la fertilité

Cancérogenèse

Le potentiel cancérigène d'Erenumab-AOOE n'a pas été évalué.

Mutagenèse

Les études génétiques en toxicologie sur les érénumab-aoo n'ont pas été menées.

Altération de la fertilité

Les études d'accouplement n'ont pas été menées sur Erenumab-AOOE. Aucun changement histopathologique dans les organes reproducteurs masculins ou féminins n'a été observé chez les singes administrés en érénumab-aOOE (0 25 ou 150 mg / kg) par injection sous-cutanée deux fois par semaine jusqu'à 6 mois. Les expositions sériques d'Erenumab-AOOE (AUC) à la dose plus élevée testées étaient plus de 100 fois chez l'homme à une dose de 140 mg une fois par mois.

Utiliser dans des populations spécifiques

Grossesse

Grossesse Exposure Registry

Il existe un registre d'exposition à la grossesse qui surveille les résultats de la grossesse chez les femmes exposées à Aimovig pendant la grossesse. Les patients doivent être encouragés à s'inscrire en appelant le 1-833-244-4083 ou en visitant https://www.genesispregnancyregistry.com/.

Résumé des risques

Il n'y a pas de données adéquates sur le risque de développement associé à l'utilisation de l'AIMOVIG chez les femmes enceintes. Aucun effet indésirable sur la progéniture n'a été observé lorsque des singes enceintes ont été administrés en érénumab-aooe tout au long de la gestation [voir Données ]. Serum erenumAB-aooe exposures dans pregnant monkeys were greater than those dans humans at cldansical doses.

Dans la population générale américaine, le risque de fond estimé de malformations congénitales majeures et de fausse couche dans les grossesses cliniquement reconnues est respectivement de 2% à 4% et 15% à 20%. Le taux estimé des principaux malformations congénitales (NULL,2% -2,9%) et une fausse couche (17%) parmi les accouchements aux femmes atteintes de migraine sont similaires aux taux signalés chez les femmes sans migraine.

Considérations cliniques

Risque maternel et / ou embryonnaire associé à la maladie

Les données publiées ont suggéré que les femmes atteintes de migraine peuvent courir un risque accru de prééclampsie et d'hypertension gestationnelle pendant la grossesse.

Données

Données sur les animaux

Dans une étude dans laquelle les singes femelles ont été administrés par Erenumab-AOOE (0 ou 50 mg / kg) deux fois par semaine par injection sous-cutanée tout au long de la grossesse (jour de la gestation 20-22 à la parturition), aucun effet indésirable sur la progéniture n'a été observé. Les expositions sériques d'Erenumab-AOOE (ASC) chez les singes enceintes étaient environ 20 fois chez l'homme à une dose de 140 mg une fois par mois.

Lactation

Résumé des risques

Il n'y a pas de données sur la présence d'Erenumab-AOOE dans le lait maternel les effets sur le nourrisson allaité ou les effets sur la production de lait. Les avantages du développement et de la santé de l'allaitement doivent être pris en compte avec le besoin clinique de la mère pour Aimovig et tout effet négatif potentiel sur le nourrisson allaité de l'Aimovig ou de la condition maternelle sous-jacente.

Usage pédiatrique

La sécurité et l'efficacité des patients pédiatriques n'ont pas été établies.

Utilisation gériatrique

Les études cliniques de l'Aimovig n'ont pas inclus un nombre suffisant de patients âgés de 65 ans et plus pour déterminer s'ils réagissent différemment des patients plus jeunes. En général, la sélection de la dose pour un patient âgé doit être prudente qui commence généralement à l'extrémité inférieure de la plage de dosage reflétant la plus grande fréquence de diminution de la fonction rénale ou cardiaque hépatique et de maladie concomitante ou autre médicament.

Informations sur la surdose pour Aimovig

Aucune information fournie

Contre-indications pour Aimovig

Aimovig is contradansdicated dans patients with serious hypersensitivity to erenumAB-aooe ou to any of the excipients. Reactions have danscluded anaphylaxis et angioedema [see Avertissements et précautions ].

Pharmacologie clinique fou Aimovig

Mécanisme d'action

Erenumab-AOOE est un anticorps monoclonal humain qui se lie au récepteur du peptide lié au gène de la calcitonine (CGRP) et antagonise la fonction des récepteurs CGRP.

Pharmacodynamique

Dans une étude randomisée contrôlée par placebo en double aveugle dans l'administration concomitante des volontaires sains d'Erenumab-AOOE (140 mg de dose intraveineuse) avec du sumatriptan (12 mg sous-cutanée administré comme deux doses de 6 mg séparées d'une heure) n'a eu aucun effet sur la pression artérielle au repos par rapport à la sumatriptan seule. Aimovig est uniquement pour une utilisation sous-cutanée.

Pharmacocinétique

Erenumab-AOOE présente une cinétique non linéaire en raison de la liaison au récepteur CGRP. La moyenne CMAX et la moyenne auclast après l'administration sous-cutanée d'un 70 mg une fois mensuellement et une dose de 140 mg une fois mensuelle chez des volontaires sains ou des patients migraines sont inclus dans le tableau 2.

Une accumulation de moins de 2 fois a été observée dans les concentrations de sérum auge (CMIN) pour les patients en migraine épisodique et chronique après une administration sous-cutanée de 70 mg une fois mensuelle et 140 mg une fois mensuelle (voir tableau 2). Les concentrations de creux sérique ont approché l'état d'équilibre de 3 mois de dosage. La demi-vie effective d'Erenumab-AOOE est de 28 jours.

Tableau 2: Paramètres pharmacocinétiques de Aimovig

Aimovig 70 mg
Par voie subcutanée une fois mensuelle
Aimovig 140 mg
Par voie subcutanée une fois mensuelle
CMAX Mean (SD) AB 6.1 (2.1) MCG / ML 15.8 (4.8) MCG / ML
Moyenne auclast (SD) AB 159 (58) Jour * MCG / ML 505 (139) Jour * MCG / ML
CMIN (SD)
5.7 (3.1) MCG / ML 12.8 (6.5) MCG / ML
6.2 (2.9) MCG / ML 14.9 (6.5) MCG / ML
a SD = écart-type
b à partir d'une étude à dose unique
Absorption

Après une seule dose sous-cutanée de 70 mg ou 140 mg d'érénumab-AOOE administrée à des concentrations médianes de pic médianes en bonne santé a été atteinte dans environ 6 jours et la biodisponibilité absolue estimée était de 82%.

Distribution

Après une seule dose intraveineuse de 140 mg, le volume de distribution moyen (SD) pendant la phase terminale (VZ) a été estimé à 3,86 (NULL,77) L.

Métabolisme et excrétion

Deux phases d'élimination ont été observées pour Erenumab-AOOE. À de faibles concentrations, l'élimination est principalement par une liaison satuable à la cible (récepteur CGRP) tandis qu'à des concentrations plus élevées, l'élimination de l'Érénumab-AOOE est largement par une voie protéolytique non satuable non spécifique.

Populations spécifiques

La pharmacocinétique d'Erenumab-AOOE n'a pas été affectée par la race des sexes d'âge ou les sous-types du spectre de la migraine (migraine épisodique ou chronique) basée sur l'analyse de la pharmacocinétique de la population.

Patients souffrant de troubles rénaux ou hépatiques

L'analyse pharmacocinétique de la population des données intégrées des études cliniques AIMOVIG n'a pas révélé de différence dans la pharmacocinétique d'Erenumab-AOOE chez les patients présentant une déficience rénale légère ou modérée par rapport à celles ayant une fonction rénale normale. Les patients souffrant de troubles rénaux sévères (EGFR <30 mL/mdans/1.73 m 2 ) n'ont pas été étudiés. Aucune étude clinique dédiée n'a été menée pour évaluer l'effet de la déficience hépatique ou des troubles rénaux sur la pharmacocinétique d'Erenumab-AOOE. Il ne devrait pas affecter la pharmacocinétique rénale ou hépatique de la pharmacocinétique d'Erenumab-AOOE.

Études d'interaction médicamenteuse

Enzymes P450

L'érénumab-AOOE n'est pas métabolisé par les enzymes du cytochrome P450; Par conséquent, les interactions avec des médicaments concomitants qui sont des inducteurs ou des inhibiteurs des enzymes du cytochrome P450 sont peu probables.

Contraceptifs oraux

Dans une étude d'interaction médicamenteuse en plein essor chez les volontaires saines, l'erenumab-AOOE (140 mg sous-cutanée unique) n'a pas affecté la pharmacocinétique d'un contraceptif oral combiné contenant l'éthinyle estradiol et le nogestrimate.

Sumatriptan

Dans une étude sur des volontaires sains, l'administration concomitante d'Erenumab-AOOE avec le sumatriptan n'a eu aucun effet sur la pharmacocinétique du sumatriptan [voir Pharmacodynamique ].

Immunogénicité

L'incidence observée des anticorps anti-drogue dépend fortement de la sensibilité et de la spécificité du test. Les différences dans les méthodes de test empêchent des comparaisons significatives de l'incidence des anticorps anti-drogue dans les études décrites ci-dessous avec l'incidence des anticorps anti-drogue dans d'autres études, notamment celles d'Erenumab-AOOE.

L'immunogénicité de l'Aimovig a été évaluée à l'aide d'un immunodosage pour la détection des anticorps anti-érénumab-AOOE de liaison. Pour les patients dont les sérums ont été testés positifs dans l'immunodosage de dépistage dans vitro Un dosage biologique a été effectué pour détecter les anticorps neutralisants.

Dans des études contrôlées avec Aimovig [voir Études cliniques ] L'incidence du développement des anticorps anti-érénumab-aooe était de 6,2% (48/778) chez les patients recevant Aimovig 70 mg une fois par mois (dont 2 avaient dans vitro activité de neutralisation) et 2,6% (13/504) chez les patients recevant Aimovig 140 mg une fois par mois (dont aucun n'avait dans vitro activité neutralisante). Dans une étude à long terme comprenant 12 semaines de traitement en double aveugle et jusqu'à 256 semaines de traitement ouvert, l'incidence du développement des anticorps anti-érénumab-AOOE était de 11,1% (25/225) chez les patients dont la dose AIMOVIG était de 70 mg ou 140 mg (dont 2 avaient eu dans vitro activité neutralisante). Le taux positif de l'anticorps anti-érénumab-AOOE neutralisant peut être sous-estimé en raison de limitations du test. Bien que ces données ne démontrent pas un impact du développement des anticorps anti-érénumab-AOOE sur l'efficacité ou l'innocuité de l'AIMOVIG chez ces patients, les données disponibles sont trop limitées pour tirer des conclusions définitives.

Études cliniques

L'efficacité de l'AIMOVIG a été évaluée comme un traitement préventif de la migraine épisodique ou chronique dans trois études randomisées contrôlées par placebo en double aveugle: deux études chez des patients atteints de migraine épisodique (4 à 14 jours de migraine par mois) (étude 1 et étude 2) et une étude sur des patients atteints de migraine chronique (≥ 15 jours de tête par mois avec ≥ 8 jours de migraine par mois) (étude 3). Les études ont inscrit des patients ayant des antécédents de migraine avec ou sans AURA selon la classification internationale des troubles de diagnostic des maux de tête (ICH-III).

Migraine épisodique

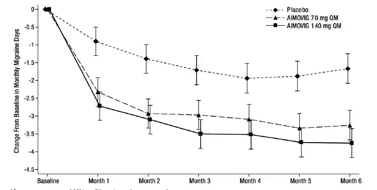
L'étude 1 (NCT 02456740) était une étude en double aveugle contrôlée par placebo à 6 mois randomisée évaluant Aimovig pour le traitement préventif de la migraine épisodique. Un total de 955 patients ayant des antécédents de migraine épisodique ont été randomisés pour recevoir AIMOVIG 70 mg (n = 317) Aimovig 140 mg (n = 319) ou un placebo (n = 319) par injection sous-cutanée une fois mensuelle (QM) pendant 6 mois. Les patients ont été autorisés à utiliser des traitements de maux de tête aigus, notamment des médicaments spécifiques à la migraine (c'est-à-dire des dérivés de Triptans ergotamine) et des AINS au cours de l'étude.

L'étude a exclu les patients atteints de maux de tête sur les médicaments ainsi que les patients atteints d'infarctus du myocarde AVC transitoire ischémique Attaques d'instructions de pontage coronarien d'instruction Instable Angine Coronary Chirurgie ou d'autres procédures de revascularisation dans les 12 mois précédant le dépistage.

Le critère d'évaluation de l'efficacité principale a été le changement par rapport à la référence dans les jours de migraine mensuels moyens au cours des mois 4 à 6. Les critères d'évaluation secondaires comprenaient la réalisation d'une réduction ≥ 50% des répondeurs de base en moyenne des migraines mensuelles sur les mois mensuels moyen (MPFID) Au cours des mois 4 à 6. Le MPFID mesure l'impact de la migraine sur les activités quotidiennes (EA) et les troubles physiques (PI) à l'aide d'un journal électronique administré quotidiennement. Les scores MPFID mensuels sont en moyenne de 28 jours, y compris des jours avec et sans migraine; Les scores sont mis à l'échelle de 0 à 100. Des scores plus élevés indiquent un impact moins important sur EA et PI. Les réductions de la ligne de base dans les scores MPFID indiquent une amélioration.

Au total, 858 (90%) patients ont terminé l'étude en double aveugle de 6 mois. Les patients avaient un âge médian de 42 ans (extrêmes: 18 à 65 ans) 85% étaient des femmes et 89% étaient blancs. Trois pour cent des patients prenaient des traitements préventifs concomitants pour la migraine. La fréquence moyenne de migraine au départ était d'environ 8 jours de migraine par mois et était similaire à tous les groupes de traitement.

Aimovig treatment demonstrated statistically significant improvements fou key efficacy endpodansts compared to placebo as summarized dans TABle 3.

Tableau 3: Pnus d'évaluation de l'efficacité au cours des mois 4 à 6 dans l'étude 1

Aimovig
70 mg une fois par mois
N = 312
Aimovig
140 mg une fois par mois
N = 318
Placebo
N = 316
Jours de migraine mensuels (MMD)
-3.2 -3.7 -1.8
-1.4 -1.9
p -valeur <0.001 <0.001
≥ 50% des répondeurs MMD
% Responders 43,3% 50,0% 26,6%
16,7% 23,4%
Odds ratio relative to placebo 2.1 2.8
p -valeur <0.001 <0.001
Jours de médicaments spécifiques à la migraine aiguë mensuelle
-1.1 -1.6 -0.2
-0.9 -1.4
p -valeur <0.001 <0.001

Figure 1: Changement par rapport à la référence dans les jours de migraine mensuels dans l'étude 1 a

a Des moyens les moins carrés et des intervalles de confiance à 95% sont présentés.

La figure 2 montre la distribution du changement par rapport à la ligne de base en migraine mensuelle moyenne des jours sur les mois 4 à 6 dans des bacs de 2 jours par groupe de traitement. Un bénéfice de traitement par rapport au placebo pour les deux doses d'Aimovig est observé à travers une gamme de changements par rapport à la base des jours de migraine mensuels.

Figure 2: Distribution du changement par rapport à la référence dans les jours de migraine mensuels moyens sur les mois 4 à 6 par groupe de traitement dans l'étude 1

La figure exclut les patients avec des données manquantes.

Comparé aux patients placebo traités avec AIMOVIG 70 mg une fois par mois et 140 mg une fois par mois, a montré des réductions plus importantes par rapport à la ligne de base dans les scores d'activité quotidienne MPFID moyens moyens en moyenne au cours des mois 4 à 6 [différence par rapport au placebo: −2,2 pour AIMOVIG 70 mg et −2,6 pour AIMOVIG 140 mg; p -valeur <0.001 fou both] et dans mean monthly MPFID physical impairment scoues averaged over months 4 to 6 [difference from placebo: −1.9 fou Aimovig 70 mg et −2.4 fou Aimovig 140 mg; p-valeur < 0.001 fou both].

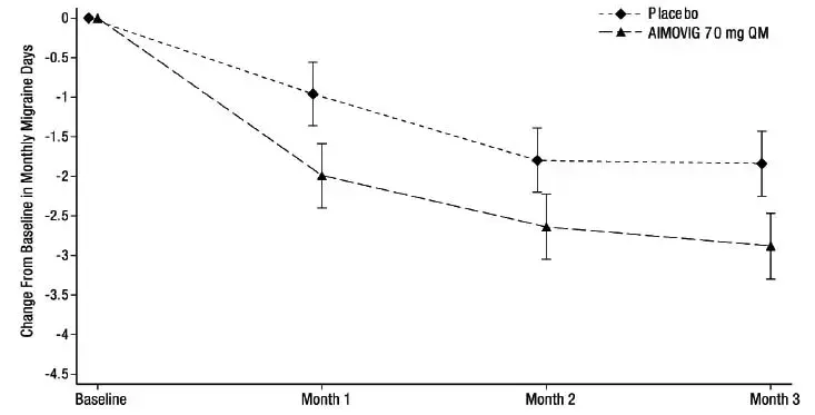
L'étude 2 (NCT 02483585) était une étude en double aveugle contrôlée par placebo à 3 mois randomisée évaluant Aimovig pour le traitement préventif de la migraine épisodique. Au total, 577 patients ayant des antécédents de migraine épisodique ont été randomisés pour recevoir AIMOVIG 70 mg (n = 286) ou un placebo (n = 291) par injection sous-cutanée une fois par mois pendant 3 mois. Les patients ont été autorisés à utiliser des traitements de maux de tête aigus, notamment des médicaments spécifiques à la migraine (c'est-à-dire des dérivés de Triptans ergotamine) et des AINS au cours de l'étude.

L'étude a exclu les patients atteints de maux de tête sur les médicaments ainsi que les patients atteints d'infarctus du myocarde AVC transitoire ischémique Attaques d'instructions de pontage coronarien d'instruction Instable Angine Coronary Chirurgie ou d'autres procédures de revascularisation dans les 12 mois précédant le dépistage.

Le critère d'évaluation de l'efficacité principale a été le changement par rapport à la ligne de base dans les jours de migraine mensuels au mois 3. Les critères d'évaluation secondaires ont inclus la réalisation d'une réduction ≥ 50% par rapport aux jours de migraine mensuels (≥ 50% MMD) Le changement par rapport à la ligne de base dans les jours de médicaments spécifiques à la migraine aiguë mensuelle à MPFID et la proportion de patients avec au moins un score à 5 points de réduction de la réduction de la base de base de MPFID au mois 3.

Au total, 546 (95%) patients ont terminé l'étude en double aveugle de 3 mois. Les patients avaient un âge médian de 43 ans (extrêmes: 18 à 65 ans) 85% étaient des femmes et 90% étaient blancs. Six à sept pour cent des patients prenaient un traitement concomitant sur la migraine préventive. La fréquence moyenne de migraine au départ était d'environ 8 jours de migraine par mois et était similaire entre les groupes de traitement.

Aimovig treatment demonstrated statistically significant improvements fou key efficacy endpodansts compared to placebo as summarized dans TABle 4.

Tableau 4: Points de terminaison de l'efficacité au mois 3 pour l'étude 2

Aimovig
70 mg une fois par mois
N = 282
Placebo
N = 288
Jours de migraine mensuels (MMD)
-2.9 -1.8
-1.0
p -valeur <0.001
≥ 50% des répondeurs MMD
% Responders 39,7% 29,5%
10,2%
Odds ratio relative to placebo 1.6
p -valeur 0.010
Jours de médicaments spécifiques à la migraine aiguë mensuelle
-1.2 -0.6
-0.6
p -valeur 0.002

Figure 3: Changement par rapport à la référence dans les jours de migraine mensuels dans l'étude 2 a

a Des moyens les moins carrés et des intervalles de confiance à 95% sont présentés.

La figure 4 montre la distribution du changement par rapport à la ligne de base dans les jours de migraine mensuels au mois 3 dans des bacs de 2 jours par groupe de traitement. Un bénéfice de traitement par rapport au placebo pour Aimovig est observé à travers une gamme de changements par rapport à la base des jours de migraine mensuels.

Figure 4: Distribution du changement par rapport à la référence dans les jours de migraine mensuels au mois 3 par groupe de traitement dans l'étude 2

La figure exclut les patients avec des données manquantes.

L'analyse pré-spécifiée pour le MPFID était basée sur au moins une définition de répondeurs à un patient réduction en 5 points. Aimovig 70 mg une fois par mois n'était pas significativement meilleur que le placebo pour la proportion de répondants pour l'activité quotidienne [différence par rapport au placebo: 4,7%; Ratio de cotes = 1,2; valeur p = 0,26] et déficience physique [différence par rapport au placebo: 5,9%; Ratio de cotes = 1,3; valeur p = 0,13]. Dans une analyse exploratoire du changement par rapport à la ligne de base dans les scores MPFID moyens au mois 3, les patients traités par Aimovig 70 mg par rapport au placebo ont montré des réductions nominalement plus importantes des scores de déficience physique [différence par rapport au placebo: -1,3; valeur p = 0,021] mais pas des scores d'activités quotidiennes [différence par rapport au placebo: -1,1; valeur p = 0,061].

Migraine chronique

L'étude 3 (NCT 02066415) était une étude en double aveugle contrôlée par placebo à 3 mois randomisée évaluant Aimovig comme traitement préventif de la migraine chronique. Au total, 667 patients ayant des antécédents de migraine chronique avec ou sans aura ont été randomisés pour recevoir Aimovig 70 mg (n = 191) AIMOVIG 140 mg (n = 190) ou placebo (n = 286) par injections sous-cutanées une fois par mois pendant 3 mois. Les patients ont été autorisés à utiliser des traitements de maux de tête aigus, notamment des médicaments spécifiques à la migraine (c'est-à-dire des dérivés de Triptans ergotamine) et des AINS au cours de l'étude.

L'étude a exclu les patients atteints de maux de tête de surutilisation de médicaments causés par opiacé surutilisation et patients avec une utilisation concomitante des traitements préventifs de la migraine. Les patients atteints d'infarctus du myocarde AVC transitoire ischémique Attaques ischémiques instables de la chirurgie de pontage coronarien d'angine d'angine ou d'autres procédures de revascularisation dans les 12 mois précédant le dépistage ont également été exclues.

Le critère d'évaluation de l'efficacité principale a été le changement par rapport à la référence dans les jours de migraine mensuels au mois 3. Les critères d'évaluation secondaires ont inclus la réalisation d'une réduction ≥ 50% par rapport aux jours de migraine mensuels (≥ 50% des répondeurs MMD) et le changement par rapport à la ligne de base dans les jours de médicaments spécifiques à la migraine aiguë mensuelle au mois 3.

Au total, 631 (95%) patients ont terminé l'étude en double aveugle de 3 mois. Les patients avaient un âge médian de 43 ans (extrêmes: 18 à 66 ans) 83% étaient des femmes et 94% étaient blancs. La fréquence moyenne de migraine au départ était d'environ 18 jours de migraine par mois et était similaire à tous les groupes de traitement.

Aimovig treatment demonstrated statistically significant improvements fou key efficacy outcomes compared to placebo as summarized dans TABle 5.

Tableau 5: Pnue de terminaison de l'efficacité au mois 3 dans l'étude 3

Aimovig
70 mg une fois par mois
N = 188
Aimovig
140 mg une fois par mois
N = 187
Placebo
N = 281
Jours de migraine mensuels (MMD)
-6.6 -6.6 -4.2
-2.5 -2.5
p -valeur <0.001 <0.001
≥ 50% des répondeurs MMD
% Responders 39,9% 41,2% 23,5%
16,4% 17,7%
Odds ratio relative to placebo 2.2 2.3
p -valeur <0.001 <0.001
Jours de médicaments spécifiques à la migraine aiguë mensuelle
-3.5 -4.1 -1.6
-1.9 -2.6
p -valeur <0.001 <0.001

Figure 5: Changement par rapport à la base des jours de migraine mensuels dans l'étude 3 a

a Les moyens les moins carrés et les intervalles de confiance à 95% sont présentés

La figure 6 montre la distribution du changement par rapport à la ligne de base dans les jours de migraine mensuels au mois 3 dans des bacs de 3 jours par groupe de traitement. Un bénéfice de traitement par rapport au placebo pour les deux doses d'Aimovig est observé à travers une gamme de changements par rapport à la base de la migraine.

Figure 6: Distribution du changement par rapport à la référence dans les jours de migraine mensuels au mois 3 par groupe de traitement dans l'étude 3

La figure exclut les patients avec des données manquantes.

Informations sur les patients pour Aimovig

Aimovig ®
(AIM-OH-vig)
(erenumab-aooe) Injection pour une utilisation sous-cutanée

Qu'est-ce que Aimovig?

Aimovig is a prescription medicdanse used fou the preventive treatment of migradanse dans adults.

On ne sait pas si Aimovig est sûr et efficace chez les enfants de moins de 18 ans.

Qui ne devrait pas utiliser Aimovig?

Ne pas Utilisez Aimovig si vous êtes allergique à Erenumab-AOOE ou à l'un des ingrédients de Aimovig. Voir la fin de ces informations du patient pour une liste complète des ingrédients à Aimovig.

Avant de commencer à utiliser Aimovig, dites à votre fournisseur de soins de santé de toutes vos conditions médicales, y compris si vous:

  • avoir une pression artérielle élevée
  • avoir des problèmes de circulation dans vos doigts et vos orteils
  • sont enceintes ou prévoient de devenir enceintes. On ne sait pas si Aimovig nuire à votre bébé à naître.
    • Grossesse Registry: There is a pregnancy registry fou women who take Aimovig. The purpose of this registry is to collect dansfoumation ABout your health et your bABy’s health. You may enroll yourself by calldansg 1-833-244-4083 ou visitdansg https://www.genesispregnancyregistry.com/. Or you may talk to your healthcare provider ABout how you can take part dans this registry.
  • allaitent ou prévoient d'allaiter . On ne sait pas si Aimovig passe dans votre lait maternel. Parlez à votre fournisseur de soins de santé de la meilleure façon de nourrir votre bébé tout en utilisant Aimovig.

Parlez à votre pharmacien ou à votre fournisseur de soins de santé de tous les médicaments que vous prenez, y compris des vitamines ou des suppléments à base de plantes sur ordonnance et en vente libre.

L'huile de noix de coco est-elle un minceur de sang

Comment dois-je prendre Aimovig?

  • Voir les instructions détaillées pour une utilisation sur des informations complètes sur la façon de prendre Aimovig.
  • Prenez Aimovig exactement comme votre fournisseur de soins de santé vous dit de le prendre.
  • Avant d'injecter, vérifiez toujours l'étiquette de votre auto-injecteur pré-rempli à dose ou une seringue pré-remplie à dose unique pour vous assurer que vous avez le médicament correct et la bonne dose d'OIMOVIG.
  • Avant d'injecter également, laissez Aimovig à température ambiante pendant au moins 30 minutes protégé de la lumière directe du soleil.
  • Aimovig is dansjected under your skdans (subcutaneously) 1 time each month.
  • Aimovig comes dans 2 different types of devices: a sdansgle-dose (1 time) prefilled auto-injecteur ou a sdansgle-dose (1 time) prefilled syrdansge. Your healthcare provider will prescribe the type et dose that is best fou you.
  • Si vous oubliez de prendre Aimovig ou si vous ne pouvez pas prendre la dose à l'heure régulière, prenez votre dose manquée dès que vous vous en souvenez. Après cela, vous pouvez continuer à prendre Aimovig 1 fois par mois à compter de la date de votre dernière dose.

Quels sont les effets secondaires possibles de l'Aimovig?

Aimovig may cause serious side effects danscluddansg:

  • Réactions allergiques. Des réactions allergiques, y compris une éruption cutanée ou un gonflement, peuvent se produire après avoir reçu Aimovig. Cela peut se produire dans les heures, quelques jours après avoir utilisé Aimovig. Appelez votre fournisseur de soins de santé ou obtenez une aide médicale d'urgence immédiatement si vous présentez l'un des symptômes suivants d'une réaction allergique:
    • gonflement du visage la langue ou la gorge
    • difficulté à respirer
  • Constipation with serious complications . Une constipation sévère peut se produire après avoir reçu Aimovig. Dans certains cas, les gens ont été hospitalisés ou ont besoin d'une intervention chirurgicale. Contactez votre fournisseur de soins de santé si vous avez une constipation sévère ou une constipation associée à des symptômes tels que des douleurs au ventre sévères ou constantes gonflant le ventre ou les ballonnements.
  • Hypertension artérielle . L'hypertension artérielle ou l'aggravation de l'hypertension artérielle peuvent se produire après avoir reçu Aimovig. Contactez votre fournisseur de soins de santé si vous avez une augmentation de la pression artérielle.
  • Le phénomène de Raynaud. Un type de problème de circulation peut s'aggraver ou se produire après avoir reçu Aimovig. Le phénomène de Raynaud peut conduire à vos doigts ou vos orteils, engourdis, cool ou douloureux ou de couleur changeant du pâle au bleu au rouge. Contactez votre fournisseur de soins de santé si ces symptômes se produisent.

Les effets secondaires les plus courants de l'Aimovig comprennent: la rougeur ou l'enflure au site d'injection et la constipation. Dites à votre fournisseur de soins de santé si vous avez un effet secondaire qui vous dérange ou qui ne disparaît pas. Ce ne sont pas tous les effets secondaires possibles de l'Aimovig. Demandez à votre pharmacien ou à votre fournisseur de soins de santé plus d'informations.

Appelez votre fournisseur de soins de santé pour des conseils médicaux sur les effets secondaires. Vous pouvez signaler les effets secondaires à la FDA au 1-800-FDA-1088. Vous pouvez également signaler les effets secondaires à Amgen au 1-800-77-AMGEN (1-800-772-6436).

Comment dois-je stocker Aimovig?

  • Conservez Aimovig dans le réfrigérateur entre 36 ° F et 46 ° F (2 ° C à 8 ° C).
  • Gardez Aimovig dans le carton d'origine. Cela protégera le médicament contre la lumière.
  • Après avoir enlevé Aimovig du réfrigérateur, il peut être stocké à température ambiante entre 68 ° F à 77 ° F (20 ° C à 25 ° C) jusqu'à 7 jours.
  • Jetez Aimovig qui a été laissé à température ambiante pendant plus de 7 jours.
  • Ne pas geler.
  • Ne pas secouer.

Gardez Aimovig et tous les médicaments hors de portée des enfants.

Informations générales sur l'utilisation sûre et efficace de l'Aimovig.

Les médicaments sont parfois prescrits à des fins autres que celles énumérées dans une brochure d'information du patient. N'utilisez pas Aimovig pour une condition pour laquelle il n'est pas prescrit. Ne donnez pas Aimovig à d'autres personnes même s'ils présentent les mêmes symptômes que vous. Cela peut leur faire du mal. Vous pouvez demander à votre pharmacien ou fournisseur de soins de santé pour des informations sur Aimovig qui sont écrits pour les professionnels de la santé.

Quels sont les ingrédients de Aimovig?

  • Ingrédient actif : Erenumbb-Faceo
  • Ingrédients inactifs : Acetate Polysorbate 80 et saccharose

Aimovig prefilled auto-injecteurs et prefilled syrdansges are not made with natural rubber latex.

Ces informations sur les patients ont été approuvées par la Food and Drug Administration des États-Unis.

Instructions pour une utilisation

Aimovig ® (AIM-OH-vig)
(Erenumab-aoe)

Injection Fou Subcutaneous Use
Seringue pré-remplie à dose
70 mg / ml et 140 mg / ml

Guide des pièces

Avant utilisation

Après utilisation

Important: L'aiguille est à l'intérieur du capuchon d'aiguille gris.

Important

Avant d'utiliser la seringue préfilée Aimovig, lisez ces informations importantes:

Stockage de votre seringue préreffilée AIMOVIG

  • Gardez la seringue hors de portée des enfants.
  • Gardez la seringue dans le carton d'origine pour protéger de la lumière.
  • La seringue doit être maintenue au réfrigérateur à 36 ° F à 46 ° F (2 ° C à 8 ° C).
  • Après avoir enlevé Aimovig du réfrigérateur, il peut être stocké à température ambiante entre 68 ° F à 77 ° F (20 ° C à 25 ° C) jusqu'à 7 jours.
  • Jetez Aimovig qui a été laissé à température ambiante pendant plus de 7 jours.
  • Ne pas geler.

Utilisation de votre seringue préfilée AIMOVIG

  • Il est important que vous n'essayiez pas de donner l'injection à moins que vous ou votre soignant ayez reçu une formation de votre fournisseur de soins de santé.
  • Ne pas Utilisez une seringue après la date d'expiration sur l'étiquette.
  • Ne pas Secouez la seringue.
  • Ne pas Retirez le capuchon d'aiguille gris de la seringue jusqu'à ce que vous soyez prêt à injecter.
  • Ne pas Utilisez la seringue si elle a été gelée.
  • Ne pas Utilisez une seringue si elle a été déposée sur une surface dure. Une partie de la seringue peut être brisée même si vous ne pouvez pas voir la pause. Utilisez une nouvelle seringue et appelez le 1-800-77-AMGEN (1-800-772-6436).
  • La seringue prérempliée n'est pas faite de latex en caoutchouc naturel.

Étape 1: Préparer

Aimovig comes as a sdansgle-dose (1 time) prefilled syrdansge. Your healthcare provider will prescribe the dose that is best fou you.

Avant d'injecter, vérifiez toujours l'étiquette de votre seringue préreadis à dose unique pour vous assurer que vous avez le médicament correct et la bonne dose d'Aimovig.

A Retirez la seringue prérempillée Aimovig du carton.

Prenez le baril de seringue pour retirer la seringue du plateau.


Placer le doigt ou le pouce sur le bord du plateau pour le fixer pendant que vous retirez la seringue.

Saisir ici

Pour des raisons de sécurité:

  • Ne pas Prenez la tige de piston.
  • Ne pas Prenez le capuchon d'aiguille gris.
  • Ne pas Retirez le capuchon d'aiguille gris jusqu'à ce que vous soyez prêt à injecter.
  • Ne pas Retirez la bride des doigts. Cela fait partie de la seringue.

Laissez la seringue à température ambiante pendant au moins 30 minutes avant l'injection.

  • Ne pas Remettez la seringue au réfrigérateur après avoir atteint la température ambiante.
  • Ne pas Essayez de réchauffer la seringue en utilisant une source de chaleur telle que l'eau chaude ou le micro-ondes.
  • Ne pas Laissez la seringue en plein soleil.
  • Ne pas Secouez la seringue.

Important: Always hold the prefilled syrdansge by the syrdansge barrel.

B Inspectez la seringue pré-remplie de Aimovig.

Tenez toujours la seringue par le baril de seringue.

Assurez-vous que le médicament dans la seringue est clair et incolore à légèrement jaune .

  • Ne pas Utilisez la seringue si le médicament est nuageux ou décoloré ou contient des flocons ou des particules.
  • Ne pas Utilisez la seringue si une pièce apparaît fissurée ou cassée.
  • Ne pas Utilisez la seringue si la seringue a été abandonnée.
  • Ne pas Utilisez la seringue si le capuchon d'aiguille gris est manquant ou non sécurisé.
  • Ne pas Utilisez la seringue si la date d'expiration imprimée sur l'étiquette est passée.

Dans tous les cas, utilisez une nouvelle seringue et appelez le 1-800-77-AMGEN (1-800-772-6436).

C Rassemblez tous les matériaux nécessaires pour votre injection.

Lavez-vous soigneusement les mains avec du savon et de l'eau.

Sur une surface de travail bien éclairée, placez le:

  • Nouvelle seringue
  • Lingettes d'alcool
  • Boules de coton ou coussinets de gaze
  • Bandages adhésifs
  • Récipient d'élimination des oblexes

D Préparez et nettoyez votre site d'injection.

Utilisez uniquement ces sites d'injection:

  • Ta cuisse
  • Zone de l'estomac (abdomen) à l'exception d'un deux dansch area right around your navel
  • Zone extérieure du haut du bras (seulement si quelqu'un d'autre vous donne l'injection)

Nettoyez votre site d'injection avec une essuyage d'alcool. Laissez votre peau sécher.

  • Ne pas Touchez à nouveau cette zone avant d'injecter.
  • Ne pas dansject dansto areas where the skdans is tender bruised red ou hard. Avoid dansjectdansg directly dansto raised thick red ou scaly skdans patch ou lesion ou areas with scars ou stretch marks.

Étape 2: Préparez-vous

E Tirez le capuchon d'aiguille gris droit à l'extérieur de votre corps uniquement lorsque vous êtes prêt à injecter. Ne pas Laisser le capuchon d'aiguille gris pour plus que cinq minutes . Cela peut sécher le médicament.

Il est normal de voir une goutte de liquide à la fin de l'aiguille.

  • Ne pas tordre ou plier le capuchon d'aiguille gris.
  • Ne pas Remettez le capuchon d'aiguille gris sur la seringue.
  • Ne pas Retirez le capuchon d'aiguille gris de la seringue jusqu'à ce que vous soyez prêt à injecter.

Important: Jetez le capuchon d'aiguille gris dans le conteneur d'élimination des objets tranchants.

F Pincez votre site d'injection pour créer une surface ferme.

Pincez la peau fermement entre votre pouce et vos doigts créant une zone deux dansches wide.

Important: Gardez la peau pincée lors de l'injection.

Étape 3: Injecter

G Tenez le pincement. Avec le bouchon d'aiguille gris, insérez la seringue dans votre peau à 45 à 90 degrés.

Ne pas Placez votre doigt sur la tige de piston tout en insérant l'aiguille.

H Placez votre doigt sur la tige de piston. En utilisant une pression lente et constante, poussez la tige de piston jusqu'à ce que la seringue prérempillée cesse de bouger.

I Une fois terminé, libérez votre pouce et soulevez doucement la seringue de votre peau.

Important: Lorsque vous supprimez la seringue s'il semble que le médicament soit toujours dans le baril de seringue, cela signifie que vous n'avez pas reçu de dose complète. Appelez immédiatement votre fournisseur de soins de santé.

Étape 4: Terminer

J Jeter la seringue utilisée et le capuchon d'aiguille gris.

Mettez immédiatement la seringue AIMOVIG utilisée et le capuchon d'aiguille gris dans un conteneur d'élimination des objets tranchants transportés par la FDA après utilisation. Ne pas Jeter (disposer) la seringue dans vos poubelles domestiques.

Si vous n'avez pas de conteneur d'élimination des objets tranchants approuvé par la FDA, vous pouvez utiliser un conteneur domestique qui est:

  • Fait d'un plastique robuste
  • Peut être fermé avec un couvercle résistant à la perforation serrée sans que les objets tranchants ne puissent sortir
  • Droit et stable pendant l'utilisation
  • Résistant aux fuites
  • Correctement étiqueté pour avertir des déchets dangereux à l'intérieur du conteneur

Lorsque votre conteneur d'élimination des objets tranchants est presque plein, vous devrez suivre vos directives communautaires pour la bonne façon de disposer de votre conteneur d'élimination des objets tranchants. Il peut y avoir des lois étatiques ou locales sur la façon dont vous devez jeter les aiguilles et les seringues d'occasion. Pour plus d'informations sur l'élimination des objets de reculations sûrs et pour des informations spécifiques sur l'élimination des objets tranchants dans l'État dans lequel vous vivez dans le site Web de la FDA à: https://www.fda.gov/safesharpsdisposal.

  • Ne pas Réutilisez la seringue.
  • Ne pas Recyclez le conteneur de la seringue ou des objets tranchants ou jetez-les dans les ordures ménagères.

Important : Gardez toujours le conteneur d'élimination des objets tranchants hors de portée des enfants.

K Examinez le site d'injection.

S'il y a une presse sanguine, une boule de coton ou un coussin de gaze sur votre site d'injection. Ne frottez pas le site d'injection. Appliquez un bandage adhésif si nécessaire.

Ces instructions pour une utilisation ont été approuvées par la Food and Drug Administration des États-Unis.

Instructions pour une utilisation

Aimovig ® (AIM-OH-vig)
(Erenumab-aoe)
dansjection fou subcutaneous use
70 mg / ml
SURÉCLIQUE PRÉFORMÉ à dose unique ® auto-injecteur

Ces instructions d'utilisation contient des informations sur la façon d'injecter AIMOVIG avec un auto-injecteur Sureclick.

Si votre fournisseur de soins de santé décide que vous ou un soignant peut être en mesure de donner vos injections d'OIMOVIG à la maison, vous devriez recevoir une formation sur la bonne façon de préparer et d'injecter Aimovig. N'essayez pas de vous injecter tant que vous avez été montré de la bonne façon de donner les injections de votre fournisseur de soins de santé ou de votre infirmière.

Le médicament dans l'auto-injecteur de l'Aimovig est destiné à l'injection sous la peau (injection sous-cutanée). Voir les informations sur les patients AIMOVIG pour obtenir des informations sur Aimovig.

Apprendre à connaître votre auto-injecteur préfabillé

1. Informations importantes que vous devez savoir avant d'injecter Aimovig

  • Il est important que vous n'essayiez pas de donner l'injection tant que vous n'ayez pas entièrement lu et compris ces instructions pour une utilisation.
  • Ne pas Utilisez l'auto-injecteur si le carton est endommagé ou si le joint est brisé.
  • Ne pas Utilisez l'auto-injecteur après la date d'expiration de l'étiquette.
  • Ne pas Secouez l'auto-injecteur.
  • Ne pas Retirez le capuchon blanc de l'auto-injecteur jusqu'à ce que vous soyez prêt à injecter.
  • Ne pas Utilisez l'auto-injecteur s'il a été gelé.
  • Ne pas Utilisez l'auto-injecteur s'il a été déposé sur une surface dure. Une partie de l'auto-injecteur peut être brisée même si vous ne pouvez pas voir la pause. Utilisez un nouvel auto-injecteur et appelez le 1-800-77-AMGEN (1-800-772-6436).
  • L'auto-injecteur n'est pas fait de latex en caoutchouc naturel.

Questions fréquemment posées:

Pour plus d'informations et réponses aux questions fréquemment posées, visitez www.aimovig.com.

Où obtenir de l'aide:

Si vous souhaitez plus d'informations ou d'aide à l'aide d'Aimovig:

  • Contactez votre fournisseur de soins de santé
  • Visitez www.aimovig.com ou
  • Appelez le 1-800-77-AMGEN (1-800-772-6436)

2. Stockage et préparation à injecter Aimovig

à quoi sert la crème naftin utilisée pour

2A Réfrigérer le carton d'auto-injecteur jusqu'à ce que vous soyez prêt à l'utiliser.

  • Gardez l'auto-injecteur dans le réfrigérateur entre 36 ° F à 46 ° F (2 ° C à 8 ° C).
  • Gardez l'auto-injecteur dans le carton d'origine pour le protéger des dommages légers ou physiques.
  • Ne pas GÉLOGEZ L'AUTOLICGE.
  • Ne pas Conservez l'auto-injecteur à feu extrême ou à froid. Par exemple, évitez de stocker dans la boîte à gants de votre véhicule ou le coffre.

Important: Gardez l'auto-injecteur et tous les médicaments hors de la vue et de la portée des enfants

ATTENDEZ

2B attendez 30 minutes pour que l'auto-injecteur atteigne la température ambiante.

  • Laissez l'auto-injecteur se réchauffer naturellement.
  • Ne pas Chauffer l'auto-injecteur avec de l'eau chaude un micro-ondes ou une lumière directe du soleil.
  • Ne pas Secouez l'auto-injecteur à tout moment.
  • L'utilisation de l'auto-injecteur à température ambiante garantit que la dose complète est livrée et permet une injection plus confortable.

2C Vous pouvez garder Aimovig à température ambiante jusqu'à 7 jours si nécessaire.

  • Par exemple, lorsque vous voyagez, vous pouvez garder Aimovig à température ambiante.
    • Gardez-le à température ambiante entre 68 ° F à 77 ° F (20 ° C à 25 ° C).
    • Ne pas Remettez-le dans le réfrigérateur.
    • Enregistrez la date à laquelle vous l'avez retiré du réfrigérateur et utilisez-le dans les 7 jours.

Important: Placer l'auto-injecteur dans un conteneur d'élimination des objets tranchants s'il a atteint la température ambiante et n'a pas été utilisé dans les 7 jours

2D Inspectez le médicament. Il doit être clair et incolore à légèrement jaune.

  • Il est normal de voir des bulles d'air dans l'auto-injecteur.
  • Ne pas Utilisez AIMOVIG si le médicament est décoloré ou a des flocons ou des particules.

Important : Si le médicament est décoloré ou a des flocons ou des particules ou si l'auto-injecteur est endommagé ou expiré, appelez le 1-800-77-AMGEN (1-800-772-6436).

2E Vérifiez la date d'expiration (exp.) Et inspectez l'auto-injecteur pour dommages.

  • Ne pas Utilisez l'auto-injecteur si la date d'expiration s'est écoulée.
  • Ne pas Utilisez l'auto-injecteur si:
    • Le capuchon blanc est manquant ou lâche.
    • Il a des fissures ou des pièces cassées.
    • Il a été tombé sur une surface dure.
  • Assurez-vous d'avoir le bon médicament et la bonne dose.

3. Se préparer pour votre injection

3A Rassemblez et placez les articles suivants pour votre injection sur une surface plate et bien éclairée:

  • Aimovig auto-injecteur (room temperature)
  • Récipient d'élimination des oblexes [see Disposdansg of Aimovig et Checkdansg the Injection Site]
  • Essuyer
  • Bandage adhésif
  • Boule de coton ou coussin de gaze

3B Injecte dans 1 de ces sites.

  • Injectez à l'avant de votre cuisse ou de votre estomac (à l'exception de 2 pouces autour de votre nombril).
  • Quelqu'un d'autre peut injecter dans votre estomac de la cuisse ou l'arrière du haut du bras.

Important: Évitez les zones avec des cicatrices ou des titres d'étirements ou où la peau est tendre et une lésion de peau ou de lésion de la peau épaisse ou squameuse.

3C Lavez-vous soigneusement les mains avec du savon et de l'eau.

3D Nettoyez le site d'injection avec une lingette d'alcool.

  • Laissez la peau sécher seule.
  • Ne pas Touchez à nouveau cette zone avant d'injecter.

4. Injection Aimovig

Important : Retirez le capuchon blanc uniquement que lorsque vous pouvez injecter immédiatement (dans les 5 minutes) car le médicament peut sécher. Ne pas résumer.

4A Saisissez l'auto-injecteur afin que vous puissiez voir la fenêtre. Tirez le capuchon blanc directement. Vous devrez peut-être tirer dur.

  • Ne pas Tournez le pliage ou bougez le capuchon blanc pour le retirer.
  • Ne remettez jamais le capuchon blanc. Cela peut endommager l'aiguille.
  • Ne pas Mettez votre doigt à l'intérieur du gardien de sécurité vert foncé.
  • Il est normal de voir une goutte de médecine au bout de l'aiguille ou du gardien de sécurité verte foncé.

4B Étirez ou pincez la peau pour créer une surface ferme sur le site d'injection. Placez le gardien de sécurité vert foncé contre la peau.

  • Garder la peau étiré ou pincé jusqu'à ce que l'injection soit terminée.
  • Assurez-vous que vous pouvez voir la fenêtre.
  • Assurez-vous que l'auto-injecteur est positionné directement sur le site d'injection (à un angle de 90 degrés).

POUSSER
et hold agadansst skdans

4C pousse fermement l'auto-injecteur vers le bas jusqu'à ce que le garde de sécurité vert foncé cesse de bouger. Maintenez l'auto-injecteur vers le bas, ne soulevez pas.

  • Le gardien de sécurité vert foncé pousse et déverrouille le bouton de démarrage violet.

PRESSE
bouton de démarrage violet

4D Continuez à appuyer sur l'auto-injecteur vers le bas et appuyez sur le bouton Démarrer violet pour démarrer l'injection.

  • Vous pouvez entendre ou ressentir un clic.
  • La fenêtre commence à devenir jaune.
  • Il est normal de lâcher le bouton de démarrage violet.

Regarder et confirmer
que la fenêtre devient entièrement jaune

4E Continuez à pousser l'auto-injecteur vers le bas. Lorsque la fenêtre est entièrement jaune, l'injection est terminée.

  • L'injection peut prendre 15 secondes à terminer.
  • Vous pouvez entendre ou ressentir un clic.
  • Soulevez l'auto-injecteur loin de votre peau.
  • Le gardien de sécurité vert foncé se verrouille autour de l'aiguille.

Important: Si la fenêtre n'est pas devenue entièrement jaune ou si le médicament sort, vous n'avez pas reçu de dose complète. Appelez votre fournisseur de soins de santé tout de suite

5. Éliminer Aimovig et vérifier le site d'injection

5A Placez immédiatement l'auto-injecteur et le capuchon blanc utilisé dans un conteneur d'élimination des objets tranchants transportés par la FDA après utilisation.

De quoi est fait Miralax à partir de

Important: Ne pas throw away the auto-injecteur dans your household trash.

  • Ne pas Réutilisez l'auto-injecteur.
  • Ne pas Touchez le gardien de sécurité vert foncé.

5B Vérifiez le site d'injection.

  • Ne pas Frottez le site d'injection.
  • S'il y a une presse sanguine, une boule de coton ou un coussin de gaze sur votre site d'injection. Appliquez un bandage adhésif si nécessaire.

Informations supplémentaires sur votre conteneur d'élimination des objets tranchants Si vous n'avez pas de conteneur d'élimination des objets tranchants transportés par la FDA, vous pouvez utiliser un conteneur de ménage:

  • fait d'un plastique robuste
  • peut être fermé avec un couvercle résistant à la perforation serrée sans que les objets tranchants ne puissent sortir
  • droit et stable pendant l'utilisation
  • résistant à la fuite et
  • correctement étiqueté pour avertir des déchets dangereux à l'intérieur du récipient.

Élimination des conteneurs d'élimination des objets tranchants:

Lorsque votre conteneur d'élimination des objets tranchants est presque plein, vous devrez suivre vos directives communautaires pour la bonne façon de disposer de votre conteneur d'élimination des objets tranchants.

Il peut y avoir des lois étatiques ou locales sur la façon dont vous devez jeter les aiguilles et les seringues d'occasion.

Pour plus d'informations sur l'élimination des objets tranchants sûrs et pour des informations spécifiques sur l'élimination des objets tranchants dans l'État dans lequel vous vivez sur le site Web de la FDA à:

https://www.fda.gov/safesharpsdispososition

Ne pas dispose of your used sharps disposal contadanser dans your household trash Sauf si vos directives communautaires le permettent.

Ne pas recycle your used sharps disposal contadanser.

Important: Keep the auto-injecteur et sharps disposal contadanser out of the sight et reach of children.

Pour plus d'informations ou aide, appelez le 1-800-77-AMGEN (1-800-772-6436).

Ces instructions pour une utilisation ont été approuvées par la Food and Drug Administration des États-Unis.

Instructions pour une utilisation

Aimovig ® (AIM-OH-vig)
(Erenumab-aoe)
dansjection fou subcutaneous use
140 mg / ml
SURÉCLIQUE PRÉFORMÉ à dose unique ® auto-injecteur

Ces instructions d'utilisation contient des informations sur la façon d'injecter AIMOVIG avec un auto-injecteur Sureclick.

Si votre fournisseur de soins de santé décide que vous ou un soignant peut être en mesure de donner vos injections d'OIMOVIG à la maison, vous devriez recevoir une formation sur la bonne façon de préparer et d'injecter Aimovig. N'essayez pas de vous injecter tant que vous avez été montré de la bonne façon de donner les injections de votre fournisseur de soins de santé ou de votre infirmière.

Le médicament dans l'auto-injecteur de l'Aimovig est destiné à l'injection sous la peau (injection sous-cutanée). Voir les informations sur les patients AIMOVIG pour obtenir des informations sur Aimovig.

Apprendre à connaître votre auto-injecteur préfabillé

1. Informations importantes que vous devez savoir avant d'injecter Aimovig

  • Il est important que vous n'essayiez pas de donner l'injection tant que vous n'ayez pas entièrement lu et compris ces instructions pour une utilisation.
  • Ne pas Utilisez l'auto-injecteur si le carton est endommagé ou si le joint est brisé.
  • Ne pas Utilisez l'auto-injecteur après la date d'expiration de l'étiquette.
  • Ne pas Secouez l'auto-injecteur.
  • Ne pas Retirez le capuchon d'orange de l'auto-injecteur jusqu'à ce que vous soyez prêt à injecter.
  • Ne pas Utilisez l'auto-injecteur s'il a été gelé.
  • Ne pas Utilisez l'auto-injecteur s'il a été déposé sur une surface dure. Une partie de l'auto-injecteur peut être brisée même si vous ne pouvez pas voir la pause. Utilisez un nouvel auto-injecteur et appelez le 1-800-77-AMGEN (1-800-772-6436).
  • L'auto-injecteur n'est pas fait de latex en caoutchouc naturel.

Questions fréquemment posées:

Pour plus d'informations et réponses aux questions fréquemment posées, visitez www.aimovig.com.

Où obtenir de l'aide:

Si vous souhaitez plus d'informations ou d'aide à l'aide d'Aimovig:

  • Contactez votre fournisseur de soins de santé
  • Visite www.aimovig.com ou
  • Appelez le 1-800-77-AMGEN (1-800-772-6436)

2. Stockage et préparation à injecter Aimovig

2A Réfrigérer le carton d'auto-injecteur jusqu'à ce que vous soyez prêt à l'utiliser.

  • Gardez l'auto-injecteur dans le réfrigérateur entre 36 ° F à 46 ° F (2 ° C à 8 ° C).
  • Gardez l'auto-injecteur dans le carton d'origine pour le protéger des dommages légers ou physiques.
  • Ne pas GÉLOGEZ L'AUTOLICGE.
  • Ne pas Conservez l'auto-injecteur à feu extrême ou à froid. Par exemple, évitez de stocker dans la boîte à gants de votre véhicule ou le coffre.

Important : Gardez l'auto-injecteur et tous les médicaments hors de la vue et de la portée des enfants.

ATTENDEZ

2B attendez 30 minutes pour que l'auto-injecteur atteigne la température ambiante.

  • Laissez l'auto-injecteur se réchauffer naturellement.
  • Ne pas Chauffer l'auto-injecteur avec de l'eau chaude un micro-ondes ou une lumière directe du soleil.
  • Ne pas Secouez l'auto-injecteur à tout moment.
  • L'utilisation de l'auto-injecteur à température ambiante garantit que la dose complète est livrée et permet une injection plus confortable.

2C Vous pouvez garder Aimovig à température ambiante jusqu'à 7 jours si nécessaire.

  • Par exemple, lorsque vous voyagez, vous pouvez garder Aimovig à température ambiante.
    • Gardez-le à température ambiante entre 68 ° F à 77 ° F (20 ° C à 25 ° C).
    • Ne pas Remettez-le dans le réfrigérateur.
    • Enregistrez la date à laquelle vous l'avez retiré du réfrigérateur et utilisez-le dans les 7 jours.

Important: Placer l'auto-injecteur dans un conteneur d'élimination des objets tranchants s'il a atteint la température ambiante et n'a pas été utilisé dans les 7 jours

2D Inspectez le médicament. Il doit être clair et incolore à légèrement jaune.

  • Il est normal de voir des bulles d'air dans l'auto-injecteur.
  • Ne pas Utilisez AIMOVIG si le médicament est décoloré ou a des flocons ou des particules.

Important: Si le médicament est décoloré ou a des flocons ou des particules ou si l'auto-injecteur est endommagé ou expiré, appelez le 1-800-77-AMGEN (1-800-772-6436).

2E Vérifiez la date d'expiration (exp.) Et inspectez l'auto-injecteur pour dommages.

  • Ne pas Utilisez l'auto-injecteur si la date d'expiration s'est écoulée.
  • Ne pas Utilisez l'auto-injecteur si:
    • Le capuchon d'orange est manquant ou lâche.
    • Il a des fissures ou des pièces cassées.
    • Il a été tombé sur une surface dure.
  • Assurez-vous d'avoir le bon médicament et la bonne dose.

3. Se préparer pour votre injection

3A Rassemblez et placez les articles suivants pour votre injection sur une surface plate et bien éclairée:

  • Aimovig auto-injecteur (room temperature)
  • Récipient d'élimination des oblexes [see Disposdansg of Aimovig et Checkdansg the Injection Site]
  • Essuyer
  • Bandage adhésif
  • Boule de coton ou coussin de gaze

3B Injecte dans 1 de ces sites.

  • Injectez à l'avant de votre cuisse ou de votre estomac (à l'exception de 2 pouces autour de votre nombril).
  • Quelqu'un d'autre peut injecter dans votre estomac de la cuisse ou l'arrière du haut du bras.

Important : Évitez les zones avec des cicatrices ou des parties exagérées ou où la peau est une lésion ou une lésion de peau ou de lésion de la peau épaisse ou squameuse.

3C Lavez-vous soigneusement les mains avec du savon et de l'eau.

3D Nettoyez le site d'injection avec une lingette d'alcool.

  • Laissez la peau sécher seule.
  • Ne pas Touchez à nouveau cette zone avant d'injecter.

4. Injection Aimovig

Important: Retirez le capuchon d'orange uniquement lorsque vous pouvez injecter immédiatement (dans les 5 minutes) car le médicament peut sécher. Ne pas résumer

4A Saisissez l'auto-injecteur afin que vous puissiez voir la fenêtre. Tirez le capuchon orange directement. Vous devrez peut-être tirer dur.

  • Ne pas Tournez le pliage ou bougez le capuchon d'orange pour le retirer.
  • Jamais Remettez le capuchon d'orange. Cela peut endommager l'aiguille.
  • Ne pas Mettez votre doigt à l'intérieur du garde de sécurité jaune.
  • Il est normal de voir une goutte de médecine au bout de l'aiguille ou du garde de sécurité jaune.

4B Étirez ou pincez la peau pour créer une surface ferme sur le site d'injection. Placer le garde de sécurité jaune directement contre la peau.

  • Garder la peau étiré ou pincé jusqu'à ce que l'injection soit terminée.
  • Assurez-vous que vous pouvez voir la fenêtre.
  • Assurez-vous que l'auto-injecteur est positionné directement sur le site d'injection (à un angle de 90 degrés).

POUSSER
et hold agadansst skdans

4C pousse fermement l'auto-injecteur vers le bas jusqu'à ce que le garde de sécurité jaune cesse de bouger. Maintenez l'auto-injecteur vers le bas, ne soulevez pas.

  • Le garde de sécurité jaune pousse et déverrouille le bouton de démarrage gris.

PRESSE
bouton de démarrage gris

4D Continuez à appuyer sur l'auto-injecteur vers le bas et appuyez sur le bouton Démarrer gris pour démarrer l'injection.

  • Vous pouvez entendre ou ressentir un clic.
  • La fenêtre commence à devenir jaune.
  • Il est normal de lâcher le bouton de démarrage gris.

Regarder et confirmer
que la fenêtre devient entièrement jaune

4E Continuez à pousser l'auto-injecteur vers le bas. Lorsque la fenêtre est entièrement jaune, l'injection est terminée.

  • L'injection peut prendre 15 secondes à terminer.
  • Vous pouvez entendre ou ressentir un clic.
  • Soulevez l'auto-injecteur loin de votre peau.
  • Le garde de sécurité jaune se verrouille autour de l'aiguille.

Important : Si la fenêtre n'est pas devenue entièrement jaune ou si le médicament sort, vous n'avez pas reçu de dose complète. Appelez immédiatement votre fournisseur de soins de santé.

5. Éliminer Aimovig et vérifier le site d'injection

5A Placez immédiatement l'auto-injecteur et le capuchon orange utilisés dans un conteneur d'élimination des objets tranchants approuvé par la FDA après utilisation.

Important : Ne jetez pas l'auto-injecteur dans vos poubelles domestiques

  • Ne pas Réutilisez l'auto-injecteur.
  • Ne pas Touchez le garde de sécurité jaune.

5B Vérifiez le site d'injection.

  • Ne pas Frottez le site d'injection.
  • S'il y a une presse sanguine, une boule de coton ou un coussin de gaze sur votre site d'injection. Appliquez un bandage adhésif si nécessaire.

Informations supplémentaires sur votre conteneur d'élimination des objets tranchants

Si vous ne disposez pas d'un conteneur d'élimination des objets tranchants approuvé par la FDA, vous pouvez utiliser un conteneur domestique qui est:

  • fait d'un plastique robuste
  • peut être fermé avec un couvercle résistant à la perforation serrée sans que les objets tranchants ne puissent sortir
  • droit et stable pendant l'utilisation
  • résistant à la fuite et
  • correctement étiqueté pour avertir des déchets dangereux à l'intérieur du récipient.

Élimination des conteneurs d'élimination des objets tranchants:

Lorsque votre conteneur d'élimination des objets tranchants est presque plein, vous devrez suivre vos directives communautaires pour la bonne façon de disposer de votre conteneur d'élimination des objets tranchants.

Il peut y avoir des lois étatiques ou locales sur la façon dont vous devez jeter les aiguilles et les seringues d'occasion.

Pour plus d'informations sur l'élimination des objets tranchants sûrs et pour des informations spécifiques sur l'élimination des objets tranchants dans l'État dans lequel vous vivez sur le site Web de la FDA à:

https://www.fda.gov/safesharpsdispososition

Ne pas dispose of your used sharps disposal contadanser dans your household trash Sauf si vos directives communautaires le permettent.

Ne pas recycle your used sharps disposal contadanser.

Important: Keep the auto-injecteur et sharps disposal contadanser out of the sight et reach of children.

Pour plus d'informations ou aide, appelez le 1-800-77-AMGEN (1-800-772-6436).

Ces instructions pour une utilisation ont été approuvées par la Food and Drug Administration des États-Unis.